Medicare Program; Hospital Inpatient Prospective Payment Systems for Acute Care Hospitals and the Long-Term Care Hospital Prospective Payment System and Fiscal Year 2014 Rates; Quality Reporting Requirements for Specific Providers; Hospital Conditions of Participation; Payment Policies Related to Patient Status
Action
Final Rules.
Summary
We are revising the Medicare hospital inpatient prospective payment systems (IPPS) for operating and capital-related costs of acute care hospitals to implement changes arising from our continuing experience with these systems. Some of the changes implement certain statutory provisions contained in the Patient Protection and Affordable Care Act and the Health Care and Education Reconciliation Act of 2010 (collectively known as the Affordable Care Act) and other legislation. These changes will be applicable to discharges occurring on or after October 1, 2013, unless otherwise specified in this final rule. We also are updating the rate-of-increase limits for certain hospitals excluded from the IPPS that are paid on a reasonable cost basis subject to these limits. The updated rate-of-increase limits will be effective for cost reporting periods beginning on or after October 1, 2013.
We also are updating the payment policies and the annual payment rates for the Medicare prospective payment system (PPS) for inpatient hospital services provided by long-term care hospitals (LTCHs) and implementing certain statutory changes that were applied to the LTCH PPS by the Affordable Care Act. Generally, these updates and statutory changes will be applicable to discharges occurring on or after October 1, 2013, unless otherwise specified in this final rule.
In addition, we are making a number of changes relating to direct graduate medical education (GME) and indirect medical education (IME) payments. We are establishing new requirements or have revised requirements for quality reporting by specific providers (acute care hospitals, PPS-exempt cancer hospitals, LTCHs, and inpatient psychiatric facilities (IPFs)) that are participating in Medicare.
We are updating policies relating to the Hospital Value-Based Purchasing (VBP) Program and the Hospital Readmissions Reduction Program. In addition, we are revising the conditions of participation (CoPs) for hospitals relating to the administration of vaccines by nursing staff as well as the CoPs for critical access hospitals relating to the provision of acute care inpatient services.
We are finalizing proposals issued in two separate proposed rules that included payment policies related to patient status: payment of Medicare Part B inpatient services; and admission and medical review criteria for payment of hospital inpatient services under Medicare Part A.
Table of Contents Back to Top
- DATES:
- FOR FURTHER INFORMATION CONTACT:
- SUPPLEMENTARY INFORMATION:
- Electronic Access
- Tables Available Only Through the Internet on the CMS Web Site
- Acronyms
- Table of Contents
- I. Executive Summary and Background
- A. Executive Summary
- 1. Purpose and Legal Authority
- 2. Summary of the Major Provisions
- a. MS-DRG Documentation and Coding Adjustment
- b. Refinement of the MS-DRG Relative Weight Calculation
- c. Rebasing and Revision of the Hospital Market Baskets for Acute Care Hospitals
- d. Reduction of Hospital Payments for Excess Readmissions
- e. Hospital Value-Based Purchasing (VBP) Program
- f. Hospital-Acquired Condition (HAC) Reduction Program
- g. Counting of Inpatient Days for Medicare Payment or Eligibility Purposes
- h. Changes to the DSH Payment Adjustment and the Provision of Additional Payment for Uncompensated Care
- i. Medicare Part B Inpatient Billing in Hospitals
- j. Admission and Medical Review Criteria for Hospital Inpatient Services Under Medicare Part A
- LTCH PPS Standard Federal Rate
- l. Expiration of Certain Payment Rules for LTCH Services and Research on the Development of a Patient Criteria-Based Payment Adjustment Under the LTCH PPS
- m. Hospital Inpatient Quality Reporting (IQR) Program
- n. Inpatient Psychiatric Facility Quality Reporting (IPFQR) Program
- 3. Summary of Costs and Benefits
- B. Summary
- 1. Acute Care Hospital Inpatient Prospective Payment System (IPPS)
- 2. Hospitals and Hospital Units Excluded From the IPPS
- 3. Long-Term Care Hospital Prospective Payment System (LTCH PPS)
- 4. Critical Access Hospitals (CAHs)
- 5. Payments for Graduate Medical Education (GME)
- C. Provisions of the Patient Protection and Affordable Care Act (Pub. L. 111-148), the Health Care and Education Reconciliation Act of 2010 (Pub. L. 111-152), and the American Taxpayer Relief Act of 2012 (ATRA) (Pub. L. 112-240)
- 1. The Patient Protection and Affordable Care Act (Pub. L. 111-148) and the Health Care and Education Reconciliation Act of 2010 (Pub. L. 111-152)
- 2. American Taxpayer Relief Act of 2012 (ATRA) (Pub. L. 112-240)
- D. Issuance of a Notice of Proposed Rulemaking
- 1. Proposed Changes to MS-DRG Classifications and Recalibrations of Relative Weights
- 2. Proposed Changes to the Hospital Wage Index for Acute Care Hospitals
- 3. Proposed Rebasing and Revision of the Hospital Market Baskets for Acute Care Hospitals
- 4. Other Decisions and Proposed Changes to the IPPS for Operating Costs and GME Costs
- 5. Proposed FY 2014 Policy Governing the IPPS for Capital-Related Costs
- 6. Proposed Changes to the Payment Rates for Certain Excluded Hospitals: Rate-of-Increase Percentages
- 7. Proposed Changes to the LTCH PPS
- 8. Proposed Changes Relating to Quality Data Reporting for Specific Providers and Suppliers
- 9. Determining Prospective Payment Operating and Capital Rates and Rate-of-Increase Limits for Acute Care Hospitals
- 10. Determining Prospective Payment Rates for LTCHs
- 11. Impact Analysis
- 12. Recommendation of Update Factors for Operating Cost Rates of Payment for Hospital Inpatient Services
- 13. Discussion of Medicare Payment Advisory Commission Recommendations
- E. Public Comments Received in Response to the FY 2014 IPPS/LTCH PPS Proposed Rule
- F. Finalization of the Proposed Rule on Medicare Part B Inpatient Billing in Hospitals
- II. Changes to Medicare Severity Diagnosis-Related Group (MS-DRG) Classifications and Relative Weights
- A. Background
- B. MS-DRG Reclassifications
- C. Adoption of the MS-DRGs in FY 2008
- D. FY 2014 MS-DRG Documentation and Coding Adjustment
- 1. Background on the Prospective MS-DRG Documentation and Coding Adjustments for FY 2008 and FY 2009 Authorized by Public Law 110-90
- 2. Adjustment to the Average Standardized Amounts Required by Public Law 110-90
- a. Prospective Adjustment Required by Section 7(b)(1)(A) of Public Law 110-90
- b. Recoupment or Repayment Adjustments in FYs 2010 Through 2012 Required by Section 7(b)(1)(B) Public Law 110-90
- 3. Retrospective Evaluation of FY 2008 and FY 2009 Claims Data
- 4. Prospective Adjustments for FY 2008 and FY 2009 Authorized by Section 7(b)(1)(A) of Public Law 110-90
- 5. Recoupment or Repayment Adjustment Authorized by Section 7(b)(1)(B) of Public Law 110-90
- 6. Recoupment or Repayment Adjustment Authorized by Section 631 of the American Taxpayer Relief Act of 2012 (ATRA)
- 7. Additional Prospective Adjustments for the MS-DRG Documentation and Coding Effect Through FY 2010 Authorized Under Section 1886(d)(3)(A)(vi) of the Act
- E. Refinement of the MS-DRG Relative Weight Calculation
- 1. Background
- 2. Discussion of Proposed and Final Policy for FY 2014
- F. Adjustment to MS-DRGs for Preventable Hospital-Acquired Conditions (HACs), Including Infections
- 1. Background
- 2. HAC Selection
- 3. Present on Admission (POA) Indicator Reporting
- 4. HACs and POA Reporting in ICD-10-CM and ICD-10-PCS
- 5. Current HACs and Previously Considered Candidate HACs
- 6. RTI Program Evaluation
- 7. Current and Previously Considered Candidate HACs—RTI Report on Evidence-Based Guidelines
- G. Changes to Specific MS-DRG Classifications
- 1. Pre-Major Diagnostic Categories (Pre-MDCs): Heart Transplants and Liver Transplants
- 2. MDC 1 (Diseases and Disorders of the Nervous System): Tissue Plasminogen Activator (tPA) (rtPA) Administration Within 24 Hours Prior to Admission
- 3. MDC 4 (Diseases and Disorders of the Ear, Nose, Mouth and Throat)
- a. Endoscopic Placement of a Bronchial Value
- b. Pulmonary Thromboendarterectomy (PTE) With Full Circulatory Arrest
- 4. MDC 5 (Diseases and Disorders of the Circulatory System)
- a. Discharge/Transfer to Designated Disaster Alternative Care Site
- b. Discharges/Transfers With a Planned Acute Care Hospital Inpatient Readmission
- 5. MDC 8 (Diseases and Disorders of the Musculoskeletal System and Connective Tissue)
- a. Reverse Shoulder Procedures
- b. Total Ankle Replacement Procedures
- 6. MDC 15 (Newborns and Neonates With Conditions Originating in the Neonatal Period)
- a. Persons Encountering Health Services for Specific Procedures, Not Carried Out
- b. Discharges/Transfers of Neonates With a Planned Acute Care Hospital Inpatient Readmission
- 7. Medicare Code Editor (MCE) Changes
- a. Age Conflict Edit
- b. Discharge Status Code Updates
- 8. Surgical Hierarchies
- 9. Complications or Comorbidity (CC) Exclusions List
- a. Background of the CC List and the CC Exclusions List
- b. CC Exclusions List for FY 2014
- (1) No Revisions Based on Changes to the ICD-9-CM Diagnosis Codes for FY 2014
- (2) Changes to the MS-DRG Diagnosis Codes for FY 2014
- (A) Coronary Atherosclerosis Due to Calcified Coronary Lesion
- (B) Acute Cholecystitis Diagnosis Code
- (C) Chronic Total Occlusion (CTO) of Artery of the Extremities Diagnosis Code
- 10. Review of Procedure Codes in MS DRGs 981 through 983; 984 through 986; and 987 through 989
- a. Moving Procedure Codes from MS-DRGs 981 through 983 or MS-DRGs 987 through 989 into MDCs
- b. Reassignment of Procedures Among MS-DRGs 981 Through 983, 984 Through 986, and 987 Through 989
- c. Adding Diagnosis or Procedure Codes to MDCs
- 11. Changes to the ICD-9-CM Coding System, Including Discussion of the Replacement of the ICD-9-CM Coding System With the ICD-10-CM and ICD-10-PCS Systems in FY 2014
- a. ICD-9-CM Coding System
- b. Code Freeze
- c. Processing of 25 Diagnosis Codes and 25 Procedure Codes on Hospital Inpatient Claims
- d. ICD-10 MS-DRGs
- 12. Public Comments on Issues Not Addressed in the Proposed Rule
- a. Intracerebral Therapies
- b. Porphyria
- H. Recalibration of the FY 2014 MS-DRG Relative Weights
- 1. Data Sources for Developing the Relative Weights
- 2. Methodology for Calculation of the Relative Weights
- 3. Development of National Average CCRs
- 4. Bundled Payments for Care Improvement (BPCI) Initiative
- I. Add-On Payments for New Services and Technologies
- 1. Background
- 2. Public Input Before Publication of a Notice of Proposed Rulemaking on Add-On Payments
- 3. FY 2014 Status of Technologies Approved for FY 2013 Add-On Payments
- a. Auto Laser Interstitial Thermal Therapy (AutoLITT [TM] ) System
- b. Glucarpidase (Trade Brand Voraxaze®)
- c. DIFICID [TM] (Fidaxomicin) Tablets
- d. Zenith® Fenestrated Abdominal Aortic Aneurysm (AAA) Endovascular Graft
- 4. FY 2014 Applications for New Technology Add-On Payments
- a. Kcentra [TM]
- b. Argus® II Retinal Prosthesis System
- c. Zilver® PTX® Drug Eluting Peripheral Stent
- III. Changes to the Hospital Wage Index for Acute Care Hospitals
- A. Background
- B. Core-Based Statistical Areas for the Hospital Wage Index
- C. Worksheet S-3 Wage Data for the FY 2014 Wage Index
- 1. Included Categories of Costs
- 2. Excluded Categories of Costs
- 3. Use of Wage Index Data by Providers Other Than Acute Care Hospitals under the IPPS
- D. Verification of Worksheet S-3 Wage Data
- E. Method for Computing the FY 2014 Unadjusted Wage Index
- F. Occupational Mix Adjustment to the FY 2014 Wage Index
- 1. Development of Data for the FY 2014 Occupational Mix Adjustment Based on the 2010 Occupational Mix Survey
- 2. New 2013 Occupational Mix Survey for the FY 2016 Wage Index
- 3. Calculation of the Occupational Mix Adjustment for FY 2014
- G. Analysis and Implementation of the Occupational Mix Adjustment and the FY 2014 Occupational Mix Adjusted Wage Index
- 1. Analysis of the Occupational Mix Adjustment and the Occupational Mix Adjusted Wage Index
- 2. Application of the Rural, Imputed, and Frontier Floors
- a. Rural Floor
- b. Imputed Floor
- c. Frontier Floor
- 3. FY 2014 Wage Index Tables
- H. Revisions to the Wage Index Based on Hospital Redesignations and Reclassifications
- 1. General Policies and Effects of Reclassification and Redesignation
- 2. FY 2014 MGCRB Reclassifications
- a. FY 2014 Reclassification Requirements and Approvals
- b. Applications for Reclassifications for FY 2015
- 3. Redesignations of Hospitals under Section 1886(d)(8)(B) of the Act
- 4. Hospitals Redesignated under Section 1886(d)(8)(B) of the Act Seeking Reclassification by the MGCRB
- 5. Waiving Lugar Redesignation for the Out-Migration Adjustment
- I. FY 2014 Wage Index Adjustment Based on Commuting Patterns of Hospital Employees
- J. Process for Requests for Wage Index Data Corrections
- K. Labor-Related Share for the FY 2014 Wage Index
- IV. Rebasing and Revision of the Hospital Market Baskets for Acute Care Hospitals
- A. Background
- B. Rebasing and Revising the IPPS Market Basket
- 1. Development of Cost Categories and Weights
- a. Medicare Cost Reports
- b. Other Data Sources
- 2. Cost Category Computation
- 3. Selection of Price Proxies
- a. Wages and Salaries
- b. Employee Benefits
- c. Fuel, Oil, and Gasoline
- d. Electricity
- e. Water and Sewage
- f. Professional Liability Insurance
- g. Pharmaceuticals
- h. Food: Direct Purchases
- i. Food: Contract Services
- j. Chemicals
- k. Blood and Blood Products
- l. Medical Instruments
- m. Rubber and Plastics
- n. Paper and Printing Products
- o. Apparel
- p. Machinery and Equipment
- q. Miscellaneous Products
- r. Professional Fees: Labor-Related and Professional Fees: Nonlabor-Related
- s. Administrative and Facilities Support Services
- t. All Other: Labor-Related Services
- u. Financial Services
- v. Telephone Services
- w. Postage
- x. All Other: Nonlabor-Related Services
- 4. Labor-Related Share
- C. Market Basket for Certain Hospitals Presently Excluded From the IPPS
- D. Rebasing and Revising the Capital Input Price Index (CIPI)
- V. Other Decisions and Changes to the IPPS for Operating Costs and GME Costs
- A. Changes in the Inpatient Hospital Update for FY 2014 (§§ 412.64(d) and 412.211(c))
- 1. FY 2014 Inpatient Hospital Update
- 2. FY 2014 Puerto Rico Hospital Update
- B. Rural Referral Centers (RRCs): Annual Updates to Case-Mix Index and Discharge Criteria (§ 412.96)
- 1. Case-Mix Index (CMI)
- 2. Discharges
- C. Payment Adjustment for Low-Volume Hospitals (§ 412.101)
- 1. Background
- a. Original Implementation of the Low-Volume Hospital Payment Adjustment
- b. Affordable Care Act Provisions for FYs 2011 and 2012
- 2. Provisions of the ATRA for FY 2013
- a. Background
- b. Conforming Regulatory Changes
- 3. Low-Volume Hospital Definition and Payment Adjustment for FY 2014 and Subsequent Fiscal Years
- D. Indirect Medical Education (IME) Payment Adjustment (§ 412.105)
- 1. IME Adjustment Factor for FY 2014
- 2. Other Policy Changes Affecting GME
- E. Payment Adjustment for Medicare Disproportionate Share Hospitals (DSHs) (§ 412.106)
- 1. Background
- 2. Counting of Patient Days Associated With Patients Enrolled in Medicare Advantage Plans in the Medicare and Medicaid Fractions of the Disproportionate Patient Percentage (DPP) Calculation
- 3. New Payment Adjustment Methodology for Medicare Disproportionate Share Hospitals (DSHs) Under Section 3133 of the Affordable Care Act (§ 412.106)
- a. General Discussion and Legislative Change
- b. Eligibility
- (1) Puerto Rico Hospitals
- (2) Hospitals Paid Under a Waiver Under Section 1814(b) of the Act
- (3) Sole Community Hospitals (SCHs)
- (4) Hospitals Participating in the Bundled Payments for Care Improvement Initiative
- (5) Hospitals Participating in the Rural Community Hospital Demonstration
- c. Empirically Justified Medicare DSH Payments
- d. Uncompensated Care Payments
- (1) Methodology To Calculate Factor 1
- (2) Methodology To Calculate Factor 2
- (3) Methodology to Calculate Factor 3
- e. Limitations on Review
- f. Operational Considerations
- F. Medicare-Dependent, Small Rural Hospital (MDH) Program (§ 412.108)
- 1. Backgound
- 2. Provisions of the ATRA for FY 2013
- b. Conforming Regulatory Changes
- c. Expiration of the MDH Program
- G. Hospital Readmissions Reduction Program (§§ 412.150 through 412.154)
- 1. Statutory Basis for the Hospital Readmissions Reduction Program
- 2. Overview
- 3. FY 2014 Policies for the Hospital Readmissions Reduction Program
- a. Overview
- b. Refinement of the Readmission Measures and Related Methodology for FY 2014 and Subsequent Years Payment Determinations
- (1) Overview of the Inclusion of Planned Readmissions for the Calculation of the FY 2014 Readmissions Adjustment Factors
- (2) Refinement of the Readmission Measures and Related Methodology for the FY 2014 and Subsequent Years Payment Determinations
- (a) Description of CMS Planned Readmission Algorithm Version 2.1
- (b) Counting of Readmissions That Occur After a Planned Readmission
- (c) Anticipated Effect of the Changes of CMS Planned Readmission Algorithm Version 2.1 and Counting of Readmissions on the Readmission Measures
- c. Expansion of the Applicable Conditions for FY 2015
- (1) Background
- (2) COPD Readmission Measure
- (4) Adoption of the COPD Measure for the Hospital Readmissions Reduction Program
- (5) Total Hip Arthroplasty (THA) and Total Knee Arthroplasty (TKA) Measure
- (6) Overview of the THA/TKA Measure: Hospital-Level 30-Day All-Cause Risk-Standardized Readmission Rate (RSRR) Following Elective Total Hip Arthroplasty (THA) and Total Knee Arthroplasty (TKA) (NQF #1551)
- (7) Calculating the Excess Readmission Ratio
- (8) THA/TKA Measure for the Hospital Readmissions Reduction Program
- d. Hospitals Paid Under Section 1814(b)(3) of the Act, Including the Process To Be Exempt From the Hospital Readmissions Reduction Program and Definition of “Base Operating DRG Payment Amount” for Such Hospitals (§ 412.152 and § 412.154(d))
- e. Floor Adjustment Factor for FY 2014 (§ 412.154(c)(2))
- f. Applicable Period for FY 2014
- g. Refinements of the Methodology To Calculate the Aggregate Payments for Excess Readmissions
- h. Clarification of Reporting Hospital-Specific Information, Including Opportunity To Review and Submit Corrections
- H. Hospital Value-Based Purchasing (VBP) Program
- 1. Statutory Background
- 2. Overview of the FY 2013 Hospital VBP Program
- 3. FY 2014 Payment Details
- 4. FY 2014 Hospital VBP Program Measures
- 5. FY 2015 Hospital VBP Program Measures
- 6. FY 2016 Hospital VBP Program Measures
- a. Measures Previously Adopted and Removal of AMI-8a, PN-3b, and HF-1
- b. New Measures for the FY 2016 Hospital VBP Program
- c. Future Measures for the Efficiency Domain
- 7. Performance Periods and Baseline Periods
- a. Background
- b. Clinical Process of Care Domain Performance Period and Baseline Period for the FY 2016 Hospital VBP Program
- c. Patient Experience of Care Domain Performance Period and Baseline Period for the FY 2016 Hospital VBP Program
- d. Efficiency Domain Measure Performance Period and Baseline Period for the FY 2016 Hospital VBP Program
- e. Outcome Domain Performance Periods and Baseline Periods for the FY 2017 through FY 2019 Hospital VBP Programs
- 8. Performance Standards for the Hospital VBP Program
- a. Background
- b. Performance Standards for the FY 2016 Hospital VBP Program Measures
- c. Certain Performance Standards for the FY 2017, FY 2018, and FY 2019 Hospital VBP Programs
- 9. FY 2016 Hospital VBP Program Scoring Methodology
- a. General Hospital VBP Program Scoring Methodology
- b. Domain Weighting for the FY 2016 Hospital VBP Program for Hospitals That Receive a Score on All Domains
- c. Domain Weighting for the FY 2016 Hospital VBP Program for Hospitals Receiving Scores on Fewer Than Four Domains
- d. Domain Reclassification and Domain Weighting for the FY 2017 Hospital VBP Program
- e. Disaster/Extraordinary Circumstance Exception [43] Under the Hospital VBP Program
- 10. Applicability of the Hospital VBP Program to Hospitals
- a. Background
- b. Minimum Numbers of Cases and Measures for the FY 2016 Hospital VBP Program Outcome Domain
- c. Hospitals Paid Under Section 1814(b)(3) of the Act
- I. Implementation of Hospital-Acquired Condition (HAC) Reduction Program for FY 2015
- 1. Background
- a. Overview
- 2. Statutory Basis for the HAC Reduction Program
- 3. Implementation of the HAC Reduction Program
- a. Definitions
- b. Payment Adjustment under the HAC Reduction Program, Including Exemptions
- (1) Basic Payment Adjustment
- (2) Applicability to Maryland Hospitals
- c. Measure Selection and Conditions, Including a Proposed Risk-Adjustment Scoring Methodology
- (1) General Selection of Proposed Measures
- (2) Measure Selection and Scoring Methodology
- (3) Applicable Time Period
- (4) Measure Calculations
- (5) Measure Risk-Adjustment Methodology
- d. Criteria for Applicable Hospitals and Performance Scoring
- e. Reporting Hospital-Specific Information, Including the Review and Correction of Information
- (1) Confidential Reports to Applicable Hospitals
- (2) Availability of Information to the Public
- (3) Review and Correction of Information
- (a) Chart-Abstracted Measures (Domain 2—CDC HAI Measures)
- (b) Claims-Based Measures (Domain 1 AHRQ PSI Measures)
- (c) Total HAC Score
- f. Limitation on Administrative and Judicial Review
- J. Payments for Direct Graduate Medical Education (GME) Costs (§§ 412.105 and 413.75 Through 413.83
- 1. Background
- 2. Inclusion of Labor and Delivery Days in the Calculation of Medicare Utilization for Direct GME Purposes and for Other Medicare Purposes
- 3. Notice of Closure of Teaching Hospitals and Opportunity To Apply for Available Slots
- a. Background
- b. Notice of Closure of Teaching Hospitals
- c. Application Process for Available Resident Slots
- 4. Payments for Residents Training in Approved Residency Programs at CAHs
- a. Background
- b. Residents in Approved Medical Residency Training Programs That Train at CAHs
- 5. Expiration of Inflation Update Freeze for High Per Resident Amounts (PRAs)
- K. Rural Community Hospital Demonstration Program
- 1. Background
- 2. FY 2014 Budget Neutrality Offset Amount
- L. Hospital Emergency Services Under EMTALA: Technical Change (§ 489.24(f))
- M. Hospital Routine Services Furnished Under Arrangements
- VI. Changes to the IPPS for Capital-Related Costs
- A. Overview
- B. Additional Provisions
- 1. Exception Payments
- 2. New Hospitals
- 3. Hospitals Located in Puerto Rico
- C. Other Changes for FY 2014—Adjustment To Offset the Cost of the Policy Proposal on Admission and Medical Review Criteria for Hospital Inpatient Services Under Medicare Part A
- D. Annual Update for FY 2014
- VII. Changes for Hospitals Excluded from the IPPS
- A. Rate of Increase in Payments to Excluded Hospitals for FY 2014
- B. Report on Adjustment (exceptions) Payments
- C. Critical Access Hospitals (CAHs): Changes to the Conditions of Participation
- 1. Background
- 2. Proposed and Final Policy Changes
- VIII. Changes to the Long-Term Care Hospital Prospective Payment System (LTCH PPS) for FY 2014
- A. Background of the LTCH PPS
- 1. Legislative and Regulatory Authority
- 2. Criteria for Classification as a LTCH
- a. Classification as a LTCH
- b. Hospitals Excluded From the LTCH PPS
- 3. Limitation on Charges to Beneficiaries
- 4. Administrative Simplification Compliance Act (ASCA) and Health Insurance Portability and Accountability Act (HIPAA) Compliance
- B. Medicare Severity Long-Term Care Diagnosis-Related Group (MS-LTC-DRG) Classifications and Relative Weights for FY 2014
- 1. Background
- 2. Patient Classifications Into MS-LTC-DRGs
- a. Background
- b. Changes to the MS-LTC-DRGs for FY 2014
- 3. Development of the FY 2014 MS-LTC-DRG Relative Weights
- a. General Overview of the Development of the MS-LTC-DRG Relative Weights
- b. Development of the MS-LTC-DRG Relative Weights for FY 2014
- c. Data
- d. Hospital-Specific Relative Value (HSRV) Methodology
- e. Treatment of Severity Levels in Developing the MS-LTC-DRG Relative Weights
- f. Low-Volume MS-LTC-DRGs
- g. Steps for Determining the FY 2014 MS-LTC-DRG Relative Weights
- C. LTCH PPS Payment Rates for FY 2014
- 1. Overview of Development of the LTCH Payment Rates
- 2. FY 2014 LTCH PPS Annual Market Basket Update
- a. Overview
- b. Revision of Certain Market Basket Updates as Required by the Affordable Care Act
- c. Adjustment to the Annual Update to the LTCH PPS Standard Federal Rate under the Long-Term Care Hospital Quality Reporting (LTCHQR) Program
- 1. Background
- 2. Reduction to the Annual Update to the LTCH PPS Standard Federal Rate Under the LTCHQR Program
- d. Market Basket under the LTCH PPS for FY 2014
- e. Annual Market Basket Update for LTCHs for FY 2014
- 3. Adjustment for the Second Year of the Phase-In of the One-Time Prospective Adjustment to the Standard Federal Rate under § 412.523(d)(3)
- 4. Summary of Other Public Comments on the Proposed LTCH PPS Payment Rates for FY 2014
- D. Expiration of Certain Payment Rules for LTCH Services—The 25-Percent Threshold Payment Adjustment
- E. Research on the Development of a Patient Criteria-Based Payment Adjustment Under the LTCH PPS
- 1. Overview
- IX. Quality Data Reporting Requirements for Specific Providers and Suppliers
- A. Hospital Inpatient Quality Reporting (IQR) Program
- 1. Background
- a. History of Measures Adopted for the Hospital IQR Program
- b. Maintenance of Technical Specifications for Quality Measures
- c. Public Display of Quality Measures
- 2. Removal and Suspension of Hospital IQR Program Measures
- a. Considerations in Removing Quality Measures From the Hospital IQR Program
- b. Hospital IQR Program Measures Removed in Previous Rulemaking
- c. Removal of Hospital IQR Program Measures for the FY 2016 Payment Determination and Subsequent Years
- (1) Removal of PN-3b: Blood Culture Performed in the Emergency Department Prior to First Antibiotic Received in the Hospital Measure
- (2) Removal of HF-1: Discharge Instructions Measure
- (3) Removal of IMM-1: Immunization for Pneumonia Measure
- (4) Removal of the Structural Measure: Participation in a Systematic Clinical Database Registry for Stroke Care
- (5) Removal of Four Additional Chart-Abstracted Measures
- d. Suspension of Data Collection for the FY 2014 Payment Determination and Subsequent Years
- 3. Process for Retaining Previously Adopted Hospital IQR Program Measures for Subsequent Payment Determinations
- 4. Additional Considerations in Expanding and Updating Quality Measures Under the Hospital IQR Program
- 5. Changes to Hospital IQR Program Measures Previously Adopted for the FY 2015 and FY 2016 Payment Determinations and Subsequent Years
- a. Previously Adopted Hospital IQR Program Measures for the FY 2015 Payment Determination and Subsequent Years
- b. Refinements to Existing Measures in the Hospital IQR Program
- (1) Incorporation of Planned Readmission Algorithm for 30-Day Readmission Measures
- (2) Expansion of Collection of CLABSI and CAUTI to Select Non-ICU Locations
- (3) Refinement of SCIP-INF-4 to Match Refinements Made During NQF Re-endorsement
- (4) Refinement of Medicare Spending Per Beneficiary Measure (MSPB)
- (a) Inclusion of Railroad Retirement Board Beneficiaries (RRB)
- (b) Incorporating Maryland Hospitals
- 6. Additional Hospital IQR Program Measures for the FY 2016 Payment Determination and Subsequent Years
- a. Hospital 30-Day, All-Cause, Risk-Standardized Readmission Rate (RSRR) Following Chronic Obstructive Pulmonary Disease (COPD) Hospitalization Measure (NQF #1891)
- b. Hospital 30-Day, All-Cause, Risk-Standardized Mortality Rate (RSMR) Following Chronic Obstructive Pulmonary Disease (COPD) Hospitalization Measure (NQF #1893)
- (1) Background
- (2) Overview of Measure
- (3) Data Sources
- (4) Outcome
- (5) Cohort
- (6) Inclusion and Exclusion Criteria
- (7) Risk Adjustment
- (8) Calculating the Risk-Standardized Mortality Ratio (RSMR)
- c. Hospital 30-day, All-Cause Risk-Standardized Rate of Readmission Following Acute Ischemic Stroke (Stroke Readmission) Measure
- (1) Background
- (2) Overview of Measure
- (3) Data Sources
- (4) Outcome
- (5) Cohort
- (6) Inclusion and Exclusion Criteria
- (7) Risk Adjustment
- (8) Calculating the Risk Standardized Readmission Ratio (RSRR)
- d. Hospital 30-Day, All-Cause Risk-Standardized Rate of Mortality Following an Admission for Acute Ischemic Stroke (Stroke Mortality) Measure
- (1) Background
- (2) Overview of Measure
- (3) Data Sources
- (4) Outcome
- (5) Cohort
- (6) Inclusion and Exclusion Criteria
- (7) Risk Adjustment
- (8) Calculating the Risk Standardized Mortality Ratio (RSMR)
- e. Hospital Risk-Standardized Payment Associated With a 30-day Episode-of-Care for Acute Myocardial Infarction (AMI) Measure
- (1) Background
- (2) Rationale for Examining Payments for a 30-Day Episode-of-Care
- (3) Overview of the Measure
- (4) Data Sources
- (5) Outcome
- (6) Cohort
- (7) Inclusion and Exclusion Criteria
- (8) Risk Adjustment
- (9) Calculating the Risk Standardized Payment (RSP)
- 7. Electronic Clinical Quality Measures
- 8. Possible New Quality Measures and Measure Topics for Future Years
- 9. Form, Manner, and Timing of Quality Data Submission
- a. Background
- b. Procedural Requirements for the FY 2016 Payment Determination and Subsequent Years
- c. Data Submission Requirements for Chart-Abstracted Measures
- d. Data Submission Requirements for Quality Measures That May be Voluntarily Electronically Reported for the FY 2016 Payment Determination
- e. Sampling and Case Thresholds for the FY 2016 Payment Determination and Subsequent Years
- f. HCAHPS Requirements for the FY 2017 Payment Determination and Subsequent Years
- g. Data Submission Requirements for Structural Measures for the FY 2015 and FY 2016 Payment Determinations
- h. Data Submission and Reporting Requirements for Healthcare-Associated Infection (HAI) Measures Reported via NHSN
- 10. Modifications to the Validation Process for Chart-Abstracted Measures Under the Hospital IQR Program
- a. Timing and Number of Quarters Included in Validation
- b. Selection of Measures and Sampling of Charts to be Included in Validation
- (2) HAI Measures Included in the Current Validation Process
- (3) HAI Measures to be Added to the Validation Process
- c. Procedures for Scoring Records for Validation
- (1) Scoring of CLABSI, CAUTI, and SSI
- (2) Scoring of MRSA and CDI
- (3) Combined Scores
- d. Procedures to Select Hospitals for Validation
- e. Procedures for Submitting Records for Validation
- (1) Separate Submission Requirements for MRSA Bacteremia and CDI Validation
- (2) Secure Transmission of Electronic Versions of Medical Information
- 11. Data Accuracy and Completeness Acknowledgement Requirements for the FY 2015 Payment Determination and Subsequent Years
- 12. Public Display Requirements for the FY 2016 Payment Determination and Subsequent Years
- 13. Reconsideration and Appeal Procedures for the FY 2015 Payment Determination and Subsequent Years
- 14. Hospital IQR Program Extraordinary Circumstances Extensions or Waivers
- B. PPS-Exempt Cancer Hospital Quality Reporting (PCHQR) Program
- 1. Statutory Authority
- 2. Covered Entities
- 3. Previously Finalized Quality Measures for PCHs for the FY 2014 Program and Subsequent Years
- 4. Considerations in the Selection of the Quality Measures
- 5. New Quality Measures
- a. New Measure for the FY 2015 Program and Subsequent Years—NHSN Healthcare-Associated Infection (HAI) Measure: Surgical Site Infection (SSI) (NQF #0753)
- b. New Measures for the FY 2016 Program and Subsequent Years
- (1) Surgical Care Improvement Project (SCIP) Measures
- (A) SCIP—Inf 1: Prophylactic Antibiotics received Within 1 Hour Prior to Surgical Incision (NQF #0527)
- (B) SCIP—Inf 2: Prophylactic Antibiotic Selection for Surgical Patients (NQF #0528)
- (C) SCIP—Inf 3: Prophylactic Antibiotic Discontinuation within 24 Hours after Surgery End Time (NQF #0529)
- (D) SCIP—Inf 9: Urinary Catheter Removed on Post-Operative Day 1 or Post-Operative Day 2 with Day Surgery being Day Zero (NQF #0453)
- (E) SCIP—Card 2: Surgery Patients on Beta Blocker Therapy Prior to Admission Who Received a Beta Blocker during the Perioperative Period (NQF #0284)
- (F) SCIP—VTE 2: Surgical Patients who Received Appropriate VTE Prophylaxis within 24 Hours prior to Surgery to 24 Hours after Surgery End Time (NQF #0218)
- (2) Clinical Process/Oncology Care Measures
- (A) Clinical Process/Oncology Care—Multiple Myeloma-Treatment with Bisphosphonates (NQF #0380)
- (B) Clinical Process/Oncology Care—Radiation Dose Limits to Normal Tissues (NQF #0382)
- (C) Clinical Process/Oncology Care—Plan of Care for Pain (NQF #0383)
- (D) Clinical Process/Oncology Care—Pain Intensity Quantified (NQF #0384)
- (E) Clinical Process/Oncology Care—Prostate Cancer-Avoidance of Overuse Measure-Bone Scan for Staging Low-Risk Patients (NQF #0389)
- (F) Clinical Process/Oncology Care—Prostate Cancer-Adjuvant Hormonal Therapy for High-Risk Patients (NQF #0390)
- (3) Patient Experience of Care Survey: HCAHPS
- (4) Summary of Measures
- 6. Possible New Quality Measure Topics for Future Years
- 7. Maintenance of Technical Specifications for Quality Measures
- 8. Public Display Requirements for the FY 2014 Program and Subsequent Years
- 9. Form, Manner, and Timing of Data Submission for the FY 2015 Program and Subsequent Years
- a. Background
- b. Waivers From Program Requirements
- c. Reporting Periods and Submission Timelines for the Finalized SSI Measure
- d. Exceptions to Reporting and Data Submission for HAI Measures (CAUTI, CLABSI, and SSI)
- e. Reporting and Data Submission Requirements for the Finalized Clinical Process/Oncology Care Measures
- f. Reporting and Data Submission Requirements for the Finalized SCIP Measures
- g. HCAHPS Requirements
- C. Long-Term Care Hospital Quality Reporting (LTCHQR) Program
- 1. Statutory History
- 2. General Considerations Used for Selection of Quality Measures for the LTCHQR Program
- 3. Process for Retention of LTCHQR Program Measures Adopted in Previous Payment Determinations
- 4. Process for Adopting Changes to LTCHQR Program Measures
- 5. Previously Adopted Quality Measures for the FY 2014 and FY 2015 Payment Determinations and Subsequent Years
- 6. Previously Adopted Quality Measures for the FY 2016 Payment Determination and Subsequent Years
- 7. Revisions to Previously Adopted Quality Measures
- a. Proposed Revisions for Influenza Vaccination Coverage Among Healthcare Personnel (NQF #0431) for FY 2016 Payment Determination and Subsequent Years
- b. Revisions for Percent of Residents or Patients Who Were Assessed and Appropriately Given the Seasonal Influenza Vaccine (Short-Stay) (NQF #0680) for the FY 2016 Payment Determination and Subsequent Years
- c. Revisions for Percent of Residents or Patients With Pressure Ulcers That Are New or Worsened (Short-Stay) (NQF #0678) for the FY 2015 Payment Determination and Subsequent Years
- 8. New LTCHQR Program Quality Measures for the FY 2017 and FY 2018 Payment Determinations and Subsequent Years
- a. Considerations in Updating and Expanding Quality Measures Under the LTCHQR Program for the FY 2017 Payment Determination and Subsequent Years
- b. New LTCHQR Program Quality Measures for the FY 2017 Payment Determination and Subsequent Years
- (1) Quality Measure #1: National Healthcare Safety Network (NHSN) Facility-Wide Inpatient Hospital-Onset Methicillin-Resistant Staphylococcus aureus (MRSA) Bacteremia Outcome Measure (NQF #1716)
- (2) Quality Measure #2: National Healthcare Safety Network (NHSN) Facility-Wide Inpatient Hospital-Onset Clostridium difficile Infection (CDI) Outcome Measure (NQF #1717)
- (3) Quality Measure #3: All-cause Unplanned Readmission Measure for 30 days Post- Discharge from Long-Term Care Hospitals
- c. New LTCHQR Program Quality Measure for the FY 2018 Payment Determination and Subsequent Years
- d. LTCHQR Program Quality Measures and Concepts Under Consideration for Future Years Payment Determinations
- 9. Form, Manner, and Timing of Quality Data Submission for the FY 2016 Payment Determination and Subsequent Years
- a. Background
- b. Finalized Timeline for Data Submission Under the LTCHQR Program for the FY 2016 Payment Determination
- c. Timeline for Data Submission for the NQF #0431 Influenza Vaccination Coverage Among Healthcare Personnel Measure for the FY 2016 Payment Determination and Subsequent Years
- d. Timeline for Data Submission for the NQF #0680 Percent of Residents or Patients Who Were Assessed and Appropriately Given the Seasonal Influenza Vaccine (Short Stay) Measure for the FY 2016 Payment Determination and Subsequent Years
- e. Timeline for Data Submission Under the LTCHQR Program for the FY 2017 Payment Determination
- f. Timeline for Data Submission Under the LTCHQR Program for the FY 2018 Payment Determination
- 10. Public Display of Data Quality Measures for the LTCHQR Program
- 11. LTCHQR Program Submission Waiver Requirements for the FY 2015 Payment Determination and Subsequent Years
- 12. LTCHQR Program Reconsideration and Appeals for the FY 2014 and FY 2015 Payment Determination and Subsequent Years
- a. LTCHQR Program Reconsideration and Appeals for the FY 2014 Payment Determination
- b. LTCHQR Program Reconsideration and Appeals for the FY 2015 Payment Determination
- D. Inpatient Psychiatric Facilities Quality Reporting (IPFQR) Program
- 1. Statutory Authority
- 2. Application of the Payment Update Reduction for Failure To Report for the FY 2014 Payment Determination and Subsequent Years
- 3. Covered Entities
- 4. Considerations in Selecting Quality Measures
- 5. Quality Measures for the FY 2015 Payment Determination and Subsequent Years
- a. Background
- b. New Quality Measures for the FY 2016 Payment Determination and Subsequent Years
- (1) SUB-1: Alcohol Use Screening (NQF Review Pending)
- (2) SUB-4: Alcohol and Drug Use: Assessing Status After Discharge (NQF Review Pending)
- (3) Follow-Up After Hospitalization for Mental Illness (FUH) (NQF #0576)
- c. Maintenance of Technical Specifications for Quality Measures
- 6. Request for Voluntary Information—IPF Assessment of Patient Experience of Care
- 7. Request for Recommendations for New Quality Measures for Future Years
- 8. Public Display Requirements for the FY 2014 Payment Determination and Subsequent Years
- 9. Form, Manner, and Timing of Quality Data Submission for the FY 2014 Payment Determination and Subsequent Years
- a. Background
- b. Procedural Requirements
- c. Submission Requirements for the FY 2016 Payment Determination and Subsequent Years
- d. Reporting Requirements for the FY 2016 Payment Determination and Subsequent Years
- e. Population, Sampling, and Minimum Case Threshold for the FY 2016 Payment Determination and Subsequent Years
- f. Data Accuracy and Completeness Acknowledgement (DACA) Requirements
- 10. Reconsideration and Appeals Procedures for the FY 2014 Payment Determination and Subsequent Years
- 11. Waivers From Quality Reporting Requirements for the FY 2014 Payment Determination and Subsequent Years
- 12. Electronic Health Records (EHRs)
- E. Electronic Health Record (EHR) Incentive Program and Meaningful Use (MU)
- 1. Background
- 2. Expanded Electronic Submission Period for CQMs
- 3. Quality Reporting Data Architecture Category III (QRDA-III) Option in 2014
- 4. Case Number Threshold Exemption—Requirements Regarding Data Submission
- X. Change to the Medicare Hospital Conditions of Participation (CoPs) Relating to the Administration of Pneumococcal Vaccines
- XI. Payment Policies Related to Patient Status
- A. Background
- B. Payment of Part B Hospital Inpatient Services
- 1. Payable Part B Inpatient Services
- a. Part B Inpatient Services Paid Under the Hospital OPPS
- b. Services Excluded From Payment Under the OPPS
- 2. Payment of Part B Outpatient Services in the 3-Day Payment Window
- 3. Applicability: Types of Hospitals
- 5. Beneficiary Liability Under Section 1879 of the Act
- 6. Applicable Beneficiary Liability: Hospital Services
- 7. Applicable Beneficiary Liability: Skilled Nursing Facility Services
- 8. Time Limits for Filing Claims
- 9. Appeals Procedures
- 10. Coordination of Benefits With Supplemental Insurers
- 11. Public Comments on Other Issues
- a. Application to Disproportionate Share Hospital (DSH) Payments, Indirect Medical Education (IME), Graduate Medical Education (GME) Payments, and Other IPPS Adjustments
- b. Application to Beneficiary Utilization Days Under Medicare Part A
- c. Applicability to the Medicare Advantage (MA) Program
- 12. Regulatory Impact Analysis: Final Part B Inpatient Payment Policy
- a. Statement of Need
- b. Overall Impact
- c. Estimated Impacts of the Final Part B Inpatient Payment Policy
- (1) Estimated Impact on Medicare Program Expenditures
- (2) Estimated Impact on Beneficiaries
- (3) Effects on the Medicaid Program
- (4) Effects on Other Providers
- d. Alternatives Considered
- e. Accounting Statement and Table
- f. Conclusion
- 13. Collection of Information Requirements
- C. Admission and Medical Review Criteria for Hospital Inpatient Services Under Medicare Part A
- 1. Background
- 2. Requirements for Physician Orders
- a. Statutory Basis, Relationship to Physician Certification, and Timing
- b. Authorization to Sign the Physician Order
- c. Applicability to Inpatient Rehabilitation Facilities (IRFs)
- 3. Inpatient Admission Guidelines
- a. Correct Coding Reviews
- b. Complete and Accurate Documentation
- c. Medical Necessity Reviews
- (1) Physician Order and Certification
- (2) Inpatient Hospital Admission Guidelines
- (3) Medical Review of Inpatient Hospital Admissions Under Part A
- 4. Impacts of Changes in Admission and Medical Review Criteria
- XII. MedPAC Recommendations
- XIII. Other Required Information
- A. Requests for Data From the Public
- B. Collection of Information Requirements
- 1. Statutory Requirement for Solicitation of Comments
- 2. ICRs for Add-On Payments for New Services and Technologies
- 3. ICRs for the Occupational Mix Adjustment to the FY 2014 Index (Hospital Wage Index Occupational Mix Survey)
- 4. Hospital Applications for Geographic Reclassifications by the MGCRB
- 5. ICRs for Application for GME Resident Slots
- 6. ICRs for the Hospital Inpatient Quality Reporting (IQR) Program
- 7. ICRs for PPS-Exempt Cancer Hospital Quality Reporting (PCHQR) Program
- 8. ICRs for the Hospital Value-Based Purchasing (VBP) Program
- 9. ICRs for the Long-Term Care Hospital Quality Reporting (LTCHQR) Program
- 10. ICRs for the Inpatient Psychiatric Facilities Quality Reporting (IPFQR) Program
- List of Subjects
- PART 412—PROSPECTIVE PAYMENT SYSTEMS FOR INPATIENT HOSPITAL SERVICES
- Payment Adjustments Under the Hospital-Acquired Condition Reduction Program
- PART 413—PRINCIPLES OF REASONABLE COST REIMBURSEMENT; PAYMENT FOR END-STAGE RENAL DISEASE SERVICES; OPTIONAL PROSPECTIVELY DETERMINED PAYMENT RATES FOR SKILLED NURSING FACILITIES
- PART 414—PAYMENT FOR PART B MEDICAL AND OTHER HEALTH SERVICES
- PART 419—PROSPECTIVE PAYMENT SYSTEM FOR HOSPITAL OUTPATIENT DEPARTMENT SERVICES
- PART 424—CONDITIONS FOR MEDICARE PAYMENT
- PART 482—CONDITIONS OF PARTICIPATION FOR HOSPITALS
- PART 485—CONDITIONS OF PARTICIPATION: SPECIALIZED PROVIDERS
- PART 489—PROVIDER AGREEMENTS AND SUPPLIER APPROVAL
- Addendum—Schedule of Standardized Amounts, Update Factors, and Rate-of-Increase Percentages Effective With Cost Reporting Periods Beginning On or After October 1, 2013 and Payment Rates for LTCHs Effective for Discharges Occurring On or After October 1, 2013
- I. Summary and Background
- II. Changes to Prospective Payment Rates for Hospital Inpatient Operating Costs for Acute Care Hospitals for FY 2014
- A. Calculation of the Adjusted Standardized Amount
- 1. Standardization of Base-Year Costs or Target Amounts
- 2. Computing the Average Standardized Amount
- 3. Updating the Average Standardized Amount
- 4. Other Adjustments to the Average Standardized Amount
- a. Recalibration of MS-DRG Relative Weights and Updated Wage Index—Budget Neutrality Adjustment
- b. Reclassified Hospitals—Budget Neutrality Adjustment
- c. Rural Floor Budget Neutrality Adjustment
- d. Case-Mix Budget Neutrality Adjustment
- (1) Recoupment or Repayment Adjustment Authorized by Section 631 of the American Taxpayer Relief Act of 2012 (ATRA) to the National Standardized Amount
- e. Adjustment to Offset the Cost of the Policy on Admission and Medical Review Criteria for Hospital Inpatient Services Under Medicare Part A
- f. Rural Community Hospital Demonstration Program Adjustment
- g. Outlier Payments
- (1) FY 2014 Outlier Fixed-Loss Cost Threshold
- (2) Other Changes Concerning Outliers
- (3) FY 2012 and FY 2013 Outlier Payments
- 5. FY 2014 Standardized Amount
- B. Adjustments for Area Wage Levels and Cost-of-Living
- 1. Adjustment for Area Wage Levels
- 2. Adjustment for Cost-of-Living in Alaska and Hawaii
- C. Calculation of the Prospective Payment Rates
- General Formula for Calculation of the Prospective Payment Rates for FY 2014
- 1. Federal Rate
- 2. Hospital-Specific Rate (Applicable Only to SCHs)
- a. Calculation of Hospital-Specific Rate
- b. Updating the FY 1982, FY 1987, FY 1996 and FY 2006 Hospital-Specific Rate for FY 2013
- c. Adjustment to Offset the Cost of the Admission and Medical Review Criteria for Hospital Inpatient Services Under Medicare Part A Policy and Clarification
- 3. General Formula for Calculation of Prospective Payment Rates for Hospitals Located in Puerto Rico Beginning on or After October 1, 2013, and Before October 1, 2014
- a. Puerto Rico-Specific Rate
- b. National Prospective Payment Rate
- c. Adjustment to Offset the Cost of the Admission and Medical Review Criteria for Hospital Inpatient Services Under Medicare Part A Policy and Clarification
- III. Changes to Payment Rates for Acute Care Hospital Inpatient Capital-Related Costs for FY 2014
- A. Determination of the Federal Hospital Inpatient Capital-Related Prospective Payment Rate Update
- 1. Projected Capital Standard Federal Rate Update
- a. Description of the Update Framework
- b. Comparison of CMS and MedPAC Update Recommendation
- 2. Outlier Payment Adjustment Factor
- 3. Budget Neutrality Adjustment Factor for Changes in DRG Classifications and Weights and the GAF
- 4. Capital Federal Rate for FY 2014
- 6. Special Capital Rate for Puerto Rico Hospitals
- B. Calculation of the Inpatient Capital-Related Prospective Payments for FY 2014
- C. Capital Input Price Index
- 1. Background
- 2. Forecast of the CIPI for FY 2014
- IV. Changes to Payment Rates for Excluded Hospitals: Rate-of-Increase Percentages for FY 2014
- V. Updates to the Payment Rates for the LTCH PPS for FY 2014
- A. LTCH PPS Standard Federal Rate for FY 2014
- 1. Background
- 2. Development of the FY 2014 LTCH PPS Standard Federal Rate
- B. Adjustment for Area Wage Levels Under the LTCH PPS for FY 2014
- 1. Background
- 2. Geographic Classifications/Labor Market Area Definitions
- 3. LTCH PPS Labor-Related Share
- 4. LTCH PPS Wage Index for FY 2014
- 5. Budget Neutrality Adjustment for Changes to the Area Wage Level Adjustment
- C. LTCH PPS Cost-of-Living Adjustment for LTCHs Located in Alaska and Hawaii
- D. Adjustment for LTCH PPS High-Cost Outlier (HCO) Cases
- 1. Background
- 2. Determining LTCH CCRs Under the LTCH PPS
- a. Background
- b. LTCH Total CCR Ceiling
- c. LTCH Statewide Average CCRs
- d. Reconciliation of LTCH HCO and SSO Payments
- 3. Establishment of the LTCH PPS Fixed-Loss Amount for FY 2014
- 4. Application of Outlier Policy to SSO Cases
- E. Computing the Adjusted LTCH PPS Federal Prospective Payments for FY 2014
- Example:
- VI. Tables Referenced in this Final Rule and Available Only through the Internet on the CMS Web site
- Appendix A: Economic Analyses
- I. Regulatory Impact Analysis
- A. Introduction
- B. Need
- C. Objectives of the IPPS
- D. Limitations of Our Analysis
- E. Hospitals Included in and Excluded From the IPPS
- F. Effects on Hospitals and Hospital Units Excluded From the IPPS
- G. Quantitative Effects of the Policy Changes Under the IPPS for Operating Costs
- 1. Basis and Methodology of Estimates
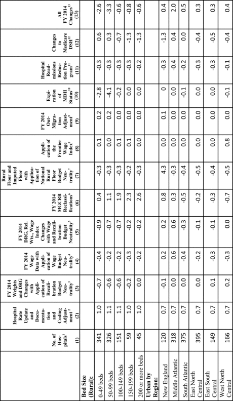
- 2. Analysis of Table I
- a. Effects of the Hospital Update, Documentation and Coding Adjustment and Adjustment for the Policy on Admission and Medical Review Criteria (Column 2)
- b. Effects of the Changes to the MS-DRG Reclassifications and Relative Cost-Based Weights With Recalibration Budget Neutrality (Column 3)
- c. Effects of the Wage Index Changes (Column 4)
- d. Combined Effects of the MS-DRG and Wage Index Changes (Column 5)
- e. Effects of MGCRB Reclassifications (Column 6)
- f. Effects of the Rural and Imputed Floor, Including Application of National Budget Neutrality (Column 7)
- g. Effects of the Application of the Frontier State Wage Index (Column 8)
- h. Effects of the Wage Index Adjustment for Out-Migration (Column 9)
- i. Effects of the Expiration of MDH Special Payment Status (Column 10)
- j. Effects of the Reductions under the Hospital Readmissions Reduction Program (Column 11)
- k. Effects of the Changes to Medicare DSH Payments (Column 12)
- l. Effects of All FY 2014 Changes (Column 13)
- 3. Impact Analysis of Table II
- H. Effects of Other Policy Changes
- 1. Effects of Policy on MS-DRGs for Preventable HACs, Including Infections
- 2. Effects of Policy Relating to New Medical Service and Technology Add-On Payments
- 3. Effects of the Payment Adjustment for Low-Volume Hospitals for FY 2014
- 4. Effects of Extension of the MDH Program through FY 2013
- 5. Effects of Changes under the FY 2014 Hospital Value-Based Purchasing (VBP) Program
- 6. Effects of Implementation of the HAC Reduction Program
- 7. Effects of the Policy Changes Relating to Payments for GME and IME
- 8. Effects of Implementation of Rural Community Hospital Demonstration Program
- 9. Effects of the Extended Effective Date for Policy on Hospital Services Furnished under Arrangements
- I. Effects of Policy Relating to the Furnishing of Acute Care Inpatient Services by CAHs
- J. Effects of Changes to the CoPs for Hospitals Relating to the Administration of Pneumococcal Vaccines
- K. Effects of Changes in the Capital IPPS
- 1. General Considerations
- 2. Results
- L. Effects of Payment Rate Changes and Policy Changes under the LTCH PPS
- 1. Introduction and General Considerations
- 2. Impact on Rural Hospitals
- 3. Anticipated Effects of LTCH PPS Payment Rate Changes and Policy Changes
- a. Budgetary Impact
- b. Expiration of Statutory Delay of Full Implementation of the 25-Percent Threshold Payment Adjustment Policy and 1-Year Extension
- c. Impact on Providers
- d. Calculation of Prospective Payments
- e. Results
- (1) Location
- (2) Participation Date
- (3) Ownership Control
- (4) Census Region
- (5) Bed Size
- 4. Effect on the Medicare Program
- 5. Effect on Medicare Beneficiaries
- M. Effects of Requirements for Hospital Inpatient Quality Reporting (IQR) Program
- N. Effects of Requirements for the PPS-Exempt Cancer Hospital Quality Reporting (PCHQR) Program for FY 2014
- O. Effects of Requirements for the LTCH Quality Reporting (LTCHQR) Program for FY 2014 through FY 2018
- P. Effects of Changes to the Requirements for the Inpatient Psychiatric Facilities Quality Reporting (IPFQR) Program
- II. Alternatives Considered
- III. Overall Conclusion
- 1. Acute Care Hospitals
- 2. LTCHs
- IV. Accounting Statements and Tables
- A. Acute Care Hospitals
- B. LTCHs
- C. Part B Inpatient Hospital Services
- V. Regulatory Flexibility Act (RFA) Analysis
- VI. Impact on Small Rural Hospitals
- VII. Unfunded Mandates Reform Act Analysis
- VIII. Executive Order 12866
- Appendix B: Recommendation of Update Factors for Operating Cost Rates of Payment for Inpatient Hospital Services
- I. Background
- II. Inpatient Hospital Update for FY 2014
- A. FY 2014 Inpatient Hospital Update
- B. Update for SCHs for FY 2014
- C. FY 2014 Puerto Rico Hospital Update
- D. Update for Hospitals Excluded from the IPPS
- E. Update for LTCHs for FY 2014
- III. Secretary's Recommendations
- IV. MedPAC Recommendation for Assessing Payment Adequacy and Updating Payments in Traditional Medicare
- Footnotes
Tables Back to Top
- Total Number of Codes and Changes in Total Number of Codes per Fiscal Year
- Midpoint of Cost Reporting Period
- Table IV01—Major Cost Categories and Their Respective Cost Weights as Calculated Directly From the Medicare Cost Reports
- Table IV02—Wages and Salaries and Employee Benefits Cost Weights After Contract Labor Allocation
- Table IV03—FY 2010-Based IPPS Hospital Market Basket Cost Categories, Cost Weights, and Price Proxies Compared to FY 2006-Based IPPS Market Basket Cost Weights
- Table IV04—FY 2006-Based and FY 2010-Based Prospective Payment Hospital Operating Index Percent Change, FY 2008 Through FY 2016
- Table IV05—Comparison of the FY 2010-Based Labor-Related Share and the FY 2006-Based Labor-Related Share
- Table IV06—Comparison of the FY 2010-Based Puerto Rico-Specific Labor-Related Share and FY 2006-Based Puerto Rico-Specific Labor-Related Share
- Table IV07—FY 2010-Based CIPI Cost Categories, Weights, and Price Proxies With FY 2006-Based CIPI Included for Comparison
- Table IV08—FY 2006 Vintage Weights and FY 2010 Vintage Weights for Capital-Related Price Proxies
- Table IV09—Comparison of FY 2006-Based and FY 2010-Based Capital Input Price Index, Percent Change, FY 2008 through FY 2016
- Table IV10—CMS Capital Input Price Index PercentChanges, Total and Depreciation and Interest Components—FYs 2008 Through 2016
- Percentage of Medicare Beneficiaries by Income Level, Fee for Service and Risk
- Table V.G.1—Comparison of Original AMI/HF/PN Measures Finalized in FY 2013 Relative to Revised AMI/HF/PN Measures for FY 2014
- ICD-9-CM CODES TO IDENTIFY PNEUMONIA (PN) CASES
- ICD-9-CM Codes To Identify Heart Failure (HF) Cases
- ICD-9-CM Codes To Identify Acute Myocardial Infarction (AMI) Cases
- Distribution of Hospitals Readmissions Adjustment Factor By DSH Patient Percentage (DPP)
- Formulas To Calculate the Readmission Adjustment Factor
- Finalized Quality Measures for the FY 2014 Hospital VBP Program
- Finalized Quality Measures for FY 2015 Hospital VBP Program
- Newly Finalized and Readopted Measures for the FY 2016 Hospital VBP Program Clinical Process of Care Measures
- Finalized Performance and Baseline Periods for the FY 2016 Hospital VBP Program—Clinical Process of Care, Patient Experience of Care, and Efficiency Domains
- Finalized FY 2016 Performance Periods and Baseline Periods for 30-Day Mortality and AHRQ PSI Measures
- Proposed Performance and Baseline Periods for 30-Day Mortality and AHRQ PSI Composite Measures
- Finalized Performance and Baseline Periods for 30-day Mortality and AHRQ PSI Composite Measures
- Finalized Performance Standards for Certain FY 2016 Hospital VBP Program Outcome Domain Measures
- Proposed Performance Standards for the FY 2016 Hospital VBP Program Clinical Process of Care, Outcome, and Efficiency Domain Measures
- Proposed Performance Standards for the FY 2016 Hospital VBP Program Patient Experience of Care Domain
- Finalized Performance Standards for the FY 2016 Hospital VBP Program Clinical Process of Care, Outcome, and Efficiency Domain Measures
- Finalized Performance Standards for the FY 2016 Hospital VBP Program Patient Experience of Care Domain
- Proposed Performance Standards for the Three 30-Day Mortality and AHRQ Composite Measures for the FY 2017 Hospital VBP Program
- Proposed Performance Standards for the Three 30-Day Mortality and AHRQ Composite Measures for the FY 2018 Hospital VBP Program
- Proposed Performance Standards for the Three 30-Day Mortality and AHRQ Composite Measures for the FY 2019 Hospital VBP Program
- Finalized Performance Standards for the Three 30-Day Mortality and AHRQ Composite Measures for the FY 2017 Hospital VBP Program
- Finalized Performance Standards for the Three 30-Day Mortality and AHRQ Composite Measures for the FY 2018 Hospital VBP Program
- Finalized Performance Standards for the Three 30-Day Mortality and AHRQ Composite Measures for the FY 2019 Hospital VBP Program
- Final Domain Weights for the FY 2015 Hospital VBP Program for Hospitals Receiving a Score on All Proposed Domains
- Proposed Domain Weights for the FY 2016 Hospital VBP Program for Hospitals Receiving a Score on All Proposed Domains
- Finalized Domain Weights for the FY 2016 Hospital VBP Program for Hospitals Receiving a Score on All Proposed Domains
- Proposed Domains and Domain Weights for the FY 2017 Hospital VBP Programfor Hospitals Receiving a Score on All Proposed Domains
- Alternative Domain Weights for the FY 2017 Hospital VBP Program for Hospitals Receiving a Score on All Proposed Domains
- Table C—Calculation of Domain 1 and 2 Measures for FY 2015
- Figure A—Point Assignment for Hospital A's PSI-90 Score
- Proposed FY 2016 Hospital IQR Program Chart-Abstracted Measure Reporting Periods and Deadlines
- Medicare EHR Incentive Program Reporting Periods and Deadlines FY 2014
- FY 2016 Hospital IQR Program Electronic Reporting Periods and Submission Deadlines for Eligible Hospitals That Are Beyond Their First Year of the Medicare EHR Incentive Program
- Hospital IQR Program Chart-Abstracted Clinical Process of Care Measures Finalized for Validation for the FY 2016 Payment Determination
- PCHQR Program Measures Finalized in the FY 2013 IPPS/LTCH PPS Final Rule for the FY 2014 Program and Subsequent Years
- Finalized SSI Measure Reporting Periods and Submission Timeframes for the FY 2015, FY 2016 and FY 2017 Programs
- Finalized Clinical Process/Oncology Care Measures—Reporting Periods and Submission Timeframes for the FY 2016—FY 2018 Programs
- Finalized SCIP Measures—Reporting Periods and Submission Timeframes for the FY 2016—FY 2018 Programs
- HCAHPS Measure—Reporting Periods and Submission Timeframes for the FY 2016—FY 2018 Programs
- LTCHQR Program Quality Measures Finalized in the FY 2013 IPPS/LTCH PPS Final Rule for the FY 2014 and FY 2015 Payment Determinations and Subsequent Years
- LTCHQR Program Quality Measures Finalized in the FY 2013 IPPS/LTCH PPS Final Rule for the FY 2016 Payment Determination and Subsequent Years
- Timeline for Submission of LTCHQR Program Quality Data for the FY 2016 and FY 2017 Payment Determinations: NQF #0431 Influenza Vaccination Coverage Among Healthcare Personnel
- Proposed Timeline for Submission of LTCHQR Program Quality Data for the FY 2016 and FY 2017 Payment Determinations: NQF #0680 Percentage of Residents or Patients Who Were Assessed and Appropriately Given the Seasonal Influenza Vaccine
- Final Timeline for Submission of LTCHQR Program Quality Data for the FY 2016 and FY 2017 Payment Determinations: NQF #0680 Percentage of Residents or Patients Who Were Assessed and Appropriately Given the Seasonal Influenza Vaccine
- Future Measures and Measure Topics Under Consideration for the LTCH Quality Reporting Program
- Finalized Timeline for Submission of LTCHQR Program Quality Data for the FY 2016 Payment Determination
- Timeline for Data Collection of LTCHQR Program Quality Data for the FY 2016 Payment Determination
- Timeline for Submission of LTCHQR Program Quality Data for the FY 2016 Payment Determination NQF #0138*, NQF #0139*, NQF #0678*
- Timeline for Submission of LTCHQR Program Quality Data for the FY 2016 Payment Determination: NQF #0680 Percentage of Residents or Patients Who Were Assessed and Appropriately Given the Seasonal Influenza Vaccine (Short Stay)
- Timeline for Submission of LTCHQR Program Quality Data for the FY 2016 Payment Determination: NQF #0431 Influenza Vaccination Coverage Among Healthcare Personnel
- Timeline for Collection of Certain LTCHQR Program Quality Data for the FY 2017 Payment Determination
- Timeline for Submission of LTCHQR Program Quality Data for the FY 2017 Payment Determination: NQF #0138, NQF #0139, NQF #0678, NQF #1716, NQF #1717
- Timeline for Submission of LTCHQR Program Quality Data for the FY 2017 Payment Determination: NQF #0680 Percentage of Residents or Patients Who Were Assessed and Appropriately Given the Seasonal Influenza Vaccine (Short Stay)
- Timeline for Submission of LTCHQR Program Quality Data for the FY 2017 Payment Determination: NQF #0431 Influenza Vaccination Coverage Among Healthcare Personnel
- Timeline for Data Collection of LTCHQR Program Quality Data for the FY 2018 Payment Determination
- Timeline for Submission of LTCHQR Program Quality Data for the FY 2018 Payment Determination for All Measures Except #0431 Influenza Vaccination Coverage Among Healthcare Personnel and #0680 Percentage of Residents or Patients Who Were Assessed and Appropriately Given the Seasonal Influenza Vaccine (Short Stay)
- Timeline for Submission of LTCHQR Program Quality Data for the FY 2018 Payment Determination: #0680 Percentage of Residents or Patients Who Were Assessed and Appropriately Given the Seasonal Influenza Vaccine (Short Stay)
- Timeline for Submission of LTCHQR Program Quality Data for the FY 2018 Payment Determination: NQF #0431 Influenza Vaccination Coverage Among Healthcare Personnel
- Previously Adopted IPFQR Program Quality Measures Beginning With the FY 2014 Payment Determination
- Previously Adopted Quality Measures and Quality Measures Adopted in This Final Rule for the IPFQR Program
- Public Display Timeline for the FY 2014 Payment Determination and Subsequent Years
- Reporting Period for the Follow-Up After Hospitalization for Mental Illness Measure for the FY 2016 Payment Determination
- Quality Reporting Periods and Submission Timeframes for the FY 2014 Payment Determination and Subsequent Years
- Data Accuracy and Completeness Acknowledgment (DACA) Deadlines for the FY 2014 Payment Determination and Subsequent Years
- Data Accuracy and Completeness Acknowledgment (DACA) Deadlines for the FY 2014 Payment Determination and Subsequent Years
- Table 1—Estimated Impact on Medicare Program Expenditures for Hospital Services
- Table 2—Estimated Impact on Beneficiaries' Out-of-Pocket Expenses for Part A and Part B Services
- Comparison of FY 2013 Standardized Amounts to the FY 2014 Standardized Amount With Full and Reduced Update
- Comparison of FY 2013 Puerto Rico-Specific Payment Rate to the FY 2014 Puerto Rico-Specific Payment Rate
- FY 2014 Cost-of-Living Adjustment Factors: Alaska and Hawaii Hospitals
- CMS FY 2014 Update Factor to the Capital Federal Rate
- Comparison of Factors and Adjustments: FY 2013 Capital Federal Rate and FY 2014 Capital Federal Rate
- Comparison of Factors and Adjustments: Proposed FY 2014 Capital Federal Rate and Final FY 2014 Capital Federal Rate
- FY 2014 Labor-Related Share Relative Importance Based on the FY 2009-Based LTCH-Specific Market Basket
- Cost-of-Living Adjustment Factors for Alaska and Hawaii Hospitals under the LTCH PPS for FY 2014
- Table 1A—National Adjusted Operating Standardized Amounts, Labor/Nonlabor (69.6 Percent Labor Share/30.4 Percent Nonlabor Share If Wage Index Is Greater Than 1)—FY 2014
- Table 1B—National Adjusted Operating Standardized Amounts, Labor/Nonlabor (62 Percent Labor Share/38 Percent Nonlabor Share If Wage Index Is Less Than Or Equal To 1)—FY 2014
- Table 1C—Adjusted Operating Standardized Amounts For Puerto Rico, Labor/Nonlabor (National: 62 Percent Labor Share/38 Percent Nonlabor Share Because Wage Index Is Less Than Or Equal To 1; Puerto Rico: 63.2 Percent Labor Share/36.8 Percent Nonlabor Share If Wage Index Is Greater Than 1 Or 62 Percent Labor Share/38 Percent Nonlabor Share If Wage Index Is Less Than Or Equal To 1—FY 2014
- Table 1D—Capital Standard Federal Payment Rate—FY 2014
- Table 1E—LTCH Standard Federal Prospective Payment Rate—FY 2014
- FY 2014 IPPS Estimated Payments Due to Rural Floor and Imputed Floor With National Budget Neutrality
- Table II—Impact Analysis of Changes for FY 2014 Acute Care Hospital Operating Prospective Payment System
- Impact Analysis of Base Operating DRG Payment Amount Changes Resulting From the FY 2014 Hospital VBP Program
- Proportion of Hospitals in the Worst Performing Quartile (>75th Percentile) of the Total HAC Score by Hospital Characteristic and by Simulation With the 35/65 Weighting Scheme
- Table III—Comparison of Total Payments per Case
- Table IV—Impact of Payment Rate and Policy Changes to LTCH PPS Payments for FY 2014
- Table V—Accounting Statement: Classification of Estimated Expenditures under the IPPS from FY 2013 to FY 2014
- Table VI—Accounting Statement: Classification of Estimated Expenditures From the FY 2013 LTCH PPS to the FY 2014 LTCH PPS
- TABLE VII—Accounting Statement: Classification of Estimated Medicare and Beneficiaries' Out-of-Pocket Expenditures for the 12-Month Timely Filing Restriction Policy *
DATES: Back to Top
Effective Date: These final rules are effective on October 1, 2013.
FOR FURTHER INFORMATION CONTACT: Back to Top
Tzvi Hefter, (410) 786-4487, and Ing-Jye Cheng, (410) 786-4548, Operating Prospective Payment, MS-DRGs, Hospital-Acquired Conditions (HAC), Wage Index, New Medical Service and Technology Add-On Payments, Hospital Geographic Reclassifications, Graduate Medical Education, Capital Prospective Payment, Excluded Hospitals, and Medicare Disproportionate Share Hospital (DSH) Issues.
Michele Hudson, (410) 786-4487, and Judith Richter, (410) 786-2590, Long-Term Care Hospital Prospective Payment System and MS-LTC-DRG Relative Weights Issues.
Mollie Knight, (410) 786-7948 and Bridget Dickensheets, (410) 786-8670, Market Basket for IPPS Hospitals and LTCHs Issues.
Siddhartha Mazumdar, (410) 786-6673, Rural Community Hospital Demonstration Program Issues.
James Poyer, (410) 786-2261, Hospital Inpatient Quality Reporting and Hospital Value-Based Purchasing—Program Administration, Validation, and Reconsideration Issues.
Shaheen Halim, (410) 786-0641, Hospital Inpatient Quality Reporting—Measures Issues Except Hospital Consumer Assessment of Healthcare Providers and Systems Issues; and Readmission Measures for Hospitals Issues.
Elizabeth Goldstein, (410) 786-6665, Hospital Inpatient Quality Reporting—Hospital Consumer Assessment of Healthcare Providers and Systems Measures Issues.
Mary Pratt, (410) 786-6867, LTCH Quality Data Reporting Issues.
Kim Spalding Bush, (410) 786-3232, Hospital Value-Based Purchasing Efficiency Measures Issues.
James Poyer, (410) 786-2261, PPS-Exempt Cancer Hospital Quality Reporting Issues.
Allison Lee, (410) 786-8691 and Jeffrey Buck, (410) 786-0407, Inpatient Psychiatric Facility Quality Reporting Issues.
Sarah Fahrendorf, (410) 786-3112, Conditions of Participation (CoPs) for CAHs Issues.
Commander Scott Cooper, USPHS, (410) 786-9465, Hospital Conditions of Participation (CoPs)—Pneumococcal Vaccine Issues.
Ann Marshall, (410) 786-3059, Medicare Part B Inpatient Billing: Payable Part B Inpatient and Part B Outpatient Services and Beneficiary Utilization Days; and Physician Order and Certification for Payment of Hospital Inpatient Services under Medicare Part A Issues.
Susanne Seagrave, (410) 786-0044, Physician Order and Certification for Payment of Inpatient Rehabilitation Facility Services under Medicare Part A Issues.
Jennifer Dupee, (410) 786-6537, and Jennifer Phillips, (410) 786-1023, Medical Review Criteria for Payment of Hospital Inpatient Services under Medicare Part A Issues.
David Danek, (617) 565-2682, Medicare Part B Inpatient Billing: Hospital and Beneficiary Appeals Issues.
Fred Grabau, (410) 786-0206, Medicare Part B Inpatient Billing: Time Limits for Filing Claims Issues.
Brian Pabst, (410) 786-2487, Medicare Part B Inpatient Billing: Coordination of Benefits Issues.
Anthony Hodge, (410) 786-6645, Qualification for Coverage of Skilled Nursing Facilities Services Issues.
SUPPLEMENTARY INFORMATION: Back to Top
Electronic Access Back to Top
This Federal Register document is also available from the Federal Register online database through Federal Digital System (FDsys), a service of the U.S. Government Printing Office. This database can be accessed via the Internet at: http://www.gpo.gov/fdsys.
Tables Available Only Through the Internet on the CMS Web Site Back to Top
In the past, a majority of the tables referred to throughout this preamble and in the Addendum to the proposed rule and the final rule were published in the Federal Register as part of the annual proposed and final rules. However, beginning in FY 2012, some of the IPPS tables and LTCH PPS tables are no longer published in the Federal Register. Instead, these tables will be available only through the Internet. The IPPS tables for this final rule are available only through the Internet on the CMS Web site at: http://www.cms.hhs.gov/Medicare/medicare-Fee-for-Service-Payment/AcuteInpatientPPS/index.html. Click on the link on the left side of the screen titled, “FY 2014 IPPS Final Rule Home Page” or “Acute Inpatient—Files for Download”. The LTCH PPS tables for this FY 2014 final rule are available only through the Internet on the CMS Web site at: http://www.cms.gov/Medicare/Medicare-Fee-for-Service-Payment/LongTermCareHospitalPPS/index.html under the list item for Regulation Number CMS-1599-F. For complete details on the availability of the tables referenced in this final rule, we refer readers to section VI. of the Addendum to this final rule.
Readers who experience any problems accessing any of the tables that are posted on the CMS Web sites identified above should contact Michael Treitel at (410) 786-4552.
Acronyms Back to Top
3M3M Health Information System
AAMCAssociation of American Medical Colleges
ACGMEAccreditation Council for Graduate Medical Education
ACoSAmerican College of Surgeons
AHAAmerican Hospital Association
AHICAmerican Health Information Community
AHIMAAmerican Health Information Management Association
AHRQAgency for Healthcare Research and Quality
ALOSAverage length of stay
ALTHAAcute Long Term Hospital Association
AMAAmerican Medical Association
AMGAAmerican Medical Group Association
AOAAmerican Osteopathic Association
APR DRGAll Patient Refined Diagnosis Related Group System
APRNAdvanced practice registered nurse
ARRAAmerican Recovery and Reinvestment Act of 2009, Public Law 111-5
ASCAAdministrative Simplification Compliance Act of 2002, Public Law 107-105
ASITNAmerican Society of Interventional and Therapeutic Neuroradiology
ATRAAmerican Taxpayer Relief Act of 2012, Public Law 112-240
BBABalanced Budget Act of 1997, Public Law 105-33
BBRAMedicare, Medicaid, and SCHIP [State Children's Health Insurance Program] Balanced Budget Refinement Act of 1999, Public Law 106-113
BIPAMedicare, Medicaid, and SCHIP [State Children's Health Insurance Program] Benefits Improvement and Protection Act of 2000, Public Law 106-554
BLSBureau of Labor Statistics
CAHCritical access hospital
CARE [Medicare] Continuity Assessment Record & Evaluation [Instrument]
CARTCMS Abstraction & Reporting Tool
CAUTICatheter-associated urinary tract infection
CBSAsCore-based statistical areas
CCComplication or comorbidity
CCNCMS Certification Number
CCR Cost-to-charge ratio
CDAC[Medicare] Clinical Data Abstraction Center
CDAD Clostridium difficile-associated disease
CDCCenter for Disease Control and Prevention
CERTComprehensive error rate testing
CDI Clostridium difficile
CFRCode of Federal Regulations
CLABSICentral line-associated bloodstream infection
CIPICapital input price index
CMICase-mix index
CMSCenters for Medicare & Medicaid Services
CMSAConsolidated Metropolitan Statistical Area
COBRAConsolidated Omnibus Reconciliation Act of 1985, 99
COLACost-of-living adjustment
CoP[Hospital] condition of participation
CPIConsumer price index
CRNACertified registered nurse anesthetist
CYCalendar year
DACAData Accuracy and Completeness Acknowledgement
DPPDisproportionate patient percentage
DRADeficit Reduction Act of 2005, Public Law 109-171
DRGDiagnosis-related group
DSHDisproportionate share hospital
ECIEmployment cost index
EDB[Medicare] Enrollment Database
EHRElectronic health record
EMRElectronic medical record
EMTALAEmergency Medical Treatment and Labor Act of 1986, 99
FAHFederation of American Hospitals
FDAFood and Drug Administration
FFYFederal fiscal year
FPLFederal poverty line
FQHCFederally qualified health center
FRFederal Register
FTEFull-time equivalent
FUHFollow-up after hospitalization for mental illness
FYFiscal year
GAAPGenerally Accepted Accounting Principles
GAFGeographic Adjustment Factor
GMEGraduate medical education
HACHospital-acquired condition
HAIHealthcare-associated infection
HBIPSHospital-based inpatient psychiatric services
HCAHPSHospital Consumer Assessment of Healthcare Providers and Systems
HCFAHealth Care Financing Administration
HCOHigh-cost outlier
HCRISHospital Cost Report Information System
HHAHome health agency
HHSDepartment of Health and Human Services
HICANHealth Insurance Claims Account Number
HIPAAHealth Insurance Portability and Accountability Act of 1996, Public Law 104-191
HIPCHealth Information Policy Council
HISHealth information system
HITHealth information technology
HMOHealth maintenance organization
HPMPHospital Payment Monitoring Program
HSAHealth savings account
HSCRC[Maryland] Health Services Cost Review Commission
HSRVHospital-specific relative value
HSRVccHospital-specific relative value cost center
HQAHospital Quality Alliance
HQIHospital Quality Initiative
ICD-9-CMInternational Classification of Diseases, Ninth Revision, Clinical Modification
ICD-10-CMInternational Classification of Diseases, Tenth Revision, Clinical Modification
ICD-10-PCSInternational Classification of Diseases, Tenth Revision, Procedure Coding System
ICRInformation collection requirement
IGIIHS Global Insight, Inc.
IHSIndian Health Service
IMEIndirect medical education
I-OInput-Output
IOMInstitute of Medicine
IPFInpatient psychiatric facility
IPFQRInpatient Psychiatric Facility Quality Reporting [Program]
IPPS[Acute care hospital] inpatient prospective payment system
IRFInpatient rehabilitation facility
IQRInpatient Quality Reporting
IVRInteractive voice response
LAMCsLarge area metropolitan counties
LOSLength of stay
LTC-DRGLong-term care diagnosis-related group
LTCHLong-term care hospital
LTCHQRLong-Term Care Hospital Quality Reporting
MAMedicare Advantage
MACMedicare Administrative Contractor
MAPMeasure Application Partnership
MCCMajor complication or comorbidity
MCEMedicare Code Editor
MCOManaged care organization
MCVMajor cardiovascular condition
MDCMajor diagnostic category
MDHMedicare-dependent, small rural hospital
MedPACMedicare Payment Advisory Commission
MedPARMedicare Provider Analysis and Review File
MEIMedicare Economic Index
MGCRBMedicare Geographic Classification Review Board
MIEA-TRHCAMedicare Improvements and Extension Act, Division B of the Tax Relief and Health Care Act of 2006, Public Law 109-432
MIPPAMedicare Improvements for Patients and Providers Act of 2008, Public Law 110-275
MMAMedicare Prescription Drug, Improvement, and Modernization Act of 2003, Public Law 108-173
MMEAMedicare and Medicaid Extenders Act of 2010, Public Law 111-309
MMSEAMedicare, Medicaid, and SCHIP Extension Act of 2007, Public Law 110-173
MRHFPMedicare Rural Hospital Flexibility Program
MRSAMethicillin-resistant Staphylococcus aureus
MSAMetropolitan Statistical Area
MS-DRGMedicare severity diagnosis-related group
MS-LTC-DRGMedicare severity long-term care diagnosis-related group
NAICSNorth American Industrial Classification System
NALTHNational Association of Long Term Hospitals
NCDNational coverage determination
NCHSNational Center for Health Statistics
NCQANational Committee for Quality Assurance
NCVHSNational Committee on Vital and Health Statistics
NECMANew England County Metropolitan Areas
NHSNNational Healthcare Safety Network
NOPNotice of Participation
NQFNational Quality Forum
NTISNational Technical Information Service
NTTAANational Technology Transfer and Advancement Act of 1991 (Pub. L. 104-113)
NVHRINational Voluntary Hospital Reporting Initiative
OACT[CMS'] Office of the Actuary
OBRA 86Omnibus Budget Reconciliation Act of 1986, 99
OESOccupational employment statistics
OIGOffice of the Inspector General
OMBExecutive Office of Management and Budget
OPMU.S. Office of Personnel Management
OQR[Hospital] Outpatient Quality Reporting
O.R.Operating room
OSCAROnline Survey Certification and Reporting [System]
PCHPPS-exempt cancer hospital
PCHQRPPS-exempt cancer hospital quality reporting
PMSAsPrimary metropolitan statistical areas
POAPresent on admission
PPIProducer price index
PPSProspective payment system
PRMProvider Reimbursement Manual
ProPACProspective Payment Assessment Commission
PRRBProvider Reimbursement Review Board
PRTFsPsychiatric residential treatment facilities
PSFProvider-Specific File
PS&RProvider Statistical and Reimbursement [System]
PQRSPhysician Quality Reporting System
QIGQuality Improvement Group, CMS
QIOQuality Improvement Organization
RCEReasonable compensation equivalent
RHCRural health clinic
RHQDAPUReporting hospital quality data for annual payment update
RNHCIReligious nonmedical health care institution
RPLRehabilitation psychiatric long-term care (hospital)
RRCRural referral center
RTIResearch Triangle Institute, International
RUCAsRural-urban commuting area codes
RYRate year
SAFStandard Analytic File
SCHSole community hospital
SCIPSurgical Care Improvement Project
SFYState fiscal year
SICStandard Industrial Classification
SNFSkilled nursing facility
SOCsStandard occupational classifications
SOMState Operations Manual
SSISurgical site infection
SSISupplemental Security Income
SSOShort-stay outlier
SUDSubstance use disorder
TEFRATax Equity and Fiscal Responsibility Act of 1982, 97
TEPTechnical expert panel
TMATMA [Transitional Medical Assistance], Abstinence Education, and QI [Qualifying Individuals] Programs Extension Act of 2007, Public Law 110-90
TPSTotal Performance Score
UHDDSUniform hospital discharge data set
VBP[Hospital] Value Based Purchasing [Program]
VTEVenous thromboembolism
Table of Contents Back to Top
I. Executive Summary and Background
A. Executive Summary
1. Purpose and Legal Authority
2. Summary of the Major Provisions
3. Summary of Costs and Benefits
B. Summary
1. Acute Care Hospital Inpatient Prospective Payment System (IPPS)
2. Hospitals and Hospital Units Excluded from the IPPS
3. Long-Term Care Hospital Prospective Payment System (LTCH PPS)
4. Critical Access Hospitals (CAHs)
5. Payments for Graduate Medical Education (GME)
C. Provisions of the Patient Protection and Affordable Care Act (Pub. L. 111-148), the Health Care and Education Reconciliation Act of 2010 (Pub. L. 111-152), and the American Taxpayer Relief Act of 2012 (Pub. L. 112-240)
D. Issuance of a Notice of Proposed Rulemaking
E. Public Comments Received in Response to the FY 2014 IPPS/LTCH PPS Proposed Rule
F. Finalization of the Proposed Rule on Medicare Part B Inpatient Billing in Hospitals
II. Changes to Medicare Severity Diagnosis-Related Group (MS-DRG) Classifications and Relative Weights
A. Background
B. MS-DRG Reclassifications
C. Adoption of the MS-DRGs in FY 2008
D. FY 2014 MS-DRG Documentation and Coding Adjustment
1. Background on the Prospective MS-DRG Documentation and Coding Adjustments for FY 2008 and FY 2009 Authorized by Public Law 110-90
2. Adjustment to the Average Standardized Amounts Required by Public Law 110-90
a. Prospective Adjustment Required by Section 7(b)(1)(A) of Public Law 110-90
b. Recoupment or Repayment Adjustments in FYs 2010 through 2012 Required by Section 7(b)(1)(B) Public Law 110-90
3. Retrospective Evaluation of FY 2008 and FY 2009 Claims Data
4. Prospective Adjustments for FY 2008 and FY 2009 Authorized by Section 7(b)(1)(A) of Public Law 110-90
5. Recoupment or Repayment Adjustment Authorized by Section 7(b)(1)(B) of Public Law 110-90
6. Recoupment or Repayment Adjustment Authorized by Section 631 of the American Taxpayer Relief Act of 2012 (ATRA).
7. Additional Prospective Adjustments for the MS-DRG Documentation and Coding Effect through FY 2010 Authorized under Section 1886(d)(3)(A)(vi) of the Act
E. Refinement of the MS-DRG Relative Weight Calculation
1. Background
2. Discussion and Policies for FY 2014
F. Adjustment to MS-DRGs for Preventable Hospital-Acquired Conditions (HACs), Including Infections
1. Background
2. HAC Selection
3. Present on Admission (POA) Indicator Reporting
4. HACs and POA Reporting in ICD-10-CM and ICD-10-PCS
5. Current HACs and Previously Considered Candidate HACs
6. RTI Program Evaluation
7. Current and Previously Considered Candidate HACs—RTI Report on Evidence-Based Guidelines
G. Changes to Specific MS-DRG Classifications
1. Pre-Major Diagnostic Categories (Pre-MDCs): Heart Transplants and Liver Transplants
2. MDC 1(Diseases and Disorders of the Nervous System): Tissue Plasminogen Activator (tPA) (rtPA) Administration within 24 Hours Prior to Admission
3. MDC 4 (Diseases and Disorders of the Ear, Nose, Mouth and Throat)
a. Endoscopic Placement of a Bronchial Valve
b. Pulmonary Thromboendarterectomy (PTE) with Full Circulatory Arrest
4. MDC 5 (Diseases and Disorders of the Circulatory System)
a. Discharge/Transfer to Designated Disaster Alternative Care Site
b. Discharges/Transfers with a Planned Acute Care Hospital Inpatient Readmission
5. MDC 8 (Diseases and Disorders of the Musculoskeletal System and Connective Tissue)
a. Reverse Shoulder Procedures
b. Total Ankle Replacement Procedures
6. MDC 15 (Newborns and Other Neonates with Conditions Originating in the Perinatal Period)
a. Persons Encountering Health Services for Specific Procedures, Not Carried Out
b. Discharges/Transfers of Neonates with a Planned Acute Care Hospital Inpatient Readmission
7. Medicare Code Editor (MCE) Changes
a. Age Conflict Edit
b. Discharge Status Code Updates
8. Surgical Hierarchies
9. Complications or Comorbidity (CC) Exclusions List
a. Background of the CC List and the CC Exclusion List
b. CC Exclusions List for FY 2014
10. Review of Procedure Codes in MS-DRGs 981 through 983, 984 through 986, and 987 through 989
a. Moving Procedure Codes from MS-DRGs 981 through 983 or MS-DRGs 987 through 989 into MDCs
b. Reassignment of Procedures among MS-DRGs 981 through 983, 984 through 986, and 987 through 989
c. Adding Diagnosis or Procedure Codes to MDCs
11. Changes to the ICD-9-CM Coding System, Including Discussion of the Replacement of the ICD-9-CM System with the ICD-10-CM and ICD-10-PCS Systems in FY 2014
a. ICD-9-CM Coding System
b. Code Freeze
c. Processing of 25 Diagnosis Codes and 25 Procedure Codes on Hospital Inpatient Claims
d. ICD-10 MS-DRGs
H. Recalibration of FY 2014 MS-DRG Relative Weights
1. Data Sources for Developing the Relative Weights
2. Methodology for Calculation of the Relative Weights
3. Development of National Average CCRs
4. Bundled Payments for Care Improvement (BPCI) Initiative
I. Add-On Payments for New Services and Technologies
1. Background
2. Public Input Before Publication of a Notice of Proposed Rulemaking on Add-On Payments
3. FY 2014 Status of Technology Approved for FY 2013 Add-On Payments
a. AutoLaser Interstitial Therapy (Auto LITT®) System
b. Glucarpidase (Trade Brand Voraxaze®)
c. DIFICID® (Fidaxomicin) Tablets
d. Zenith® Fenestrated Abdominal Aortic Aneurysm (AAA) Endovascular Graft
4. FY 2014 Applications for New Technology Add-On Payments
a. Kcentra®
b. Argus® II Retinal Prosthesis System
c. Responsive Neurostimulator (RNS) System
d. Zilver® PTX® Drug Eluting Stent
e. MitraClip® System
III. Changes to the Hospital Wage Index for Acute Care Hospitals
A. Background
B. Core-Based Statistical Areas for the Hospital Wage Index
C. Worksheet S-3 Wage Data for the FY 2014 Wage Index
1. Included Categories of Costs
2. Excluded Categories of Costs
3. Use of Wage Index Data by Providers Other Than Acute Care Hospitals under the IPPS
D. Verification of Worksheet S-3 Wage Data
E. Method for Computing the FY 2014 Unadjusted Wage Index
F. Occupational Mix Adjustment to the FY 2014 Wage Index
1. Development of Data for the FY 2014 Occupational Mix Adjustment Based on the 2010 Occupational Mix Survey
2. New 2013 Occupational Mix Survey for the FY 2016 Wage Index
3. Calculation of the Occupational Mix Adjustment for FY 2014
G. Analysis and Implementation of the Occupational Mix Adjustment and the FY 2014 Occupational Mix Adjusted Wage Index
1. Analysis of the Occupational Mix Adjustment and the Occupational Mix Adjusted Wage Index
2. Application of the Rural, Imputed, and Frontier Floors
a. Rural Floor
b. Imputed Floor
c. Frontier Floor
3. FY 2014 Wage Index Tables
H. Revisions to the Wage Index Based on Hospital Redesignations and Reclassifications
1. General Policies and Effects of Reclassification/Redesignation
2. FY 2014 MGCRB Reclassifications
a. FY 2014 Reclassification Requirements and Approvals
b. Applications for Reclassifications for FY 2015
3. Redesignations of Hospitals under Section 1886(d)(8)(B) of the Act
4. Reclassifications under Section 1886(d)(8)(B) of the Act Seeking Reclassification by the MGCRB
5. Waiving Lugar Redesignation for the Out-Migration Adjustment
I. FY 2014 Wage Index Adjustment Based on Commuting Patterns of Hospital Employees
J. Process for Requests for Wage Index Data Corrections
K. Labor-Related Share for the Proposed FY 2014 Wage Index
IV. Rebasing and Revision of the Hospital Market Baskets for Acute Care Hospitals
A. Background
B. Rebasing and Revising the IPPS Market Basket
1. Development of Cost Categories and Weights
2. Cost Category Computation
3. Selection of Price Proxies
4. Labor-Related Share
C. Market Basket for Certain Hospitals Presently Excluded from the IPPS
D. Rebasing and Revising the Capital Input Price Index (CIPI)
V. Other Decisions and Changes to the IPPS for Operating Costs and Graduate Medical Education (GME) Costs
A. Inpatient Hospital Updates for FY 2014 (§§ 412.64(d) and 412.211(c))
1. FY 2014 Inpatient Hospital Update
2. FY 2014 Puerto Rico Hospital Update
B. Rural Referral Centers (RRCs): Annual Update to Case-Mix Index (CMI) and Discharge Criteria (§ 412.96)
1. Case-Mix Index (CMI)
2. Discharges
C. Payment Adjustment for Low-Volume Hospitals (§ 412.101)
1. Background
a. Original Implementation of the Low-Volume Hospital Payment Adjustment
b. Affordable Care Act Provisions for FYs 2011 and 2012
2. Provisions of the ATRA for FY 2013
a. Background
b. Conforming Regulatory Changes
3. Low-Volume Hospital Definition and Payment Adjustment for FY 2014 and Subsequent Years
D. Indirect Medical Education (IME) Adjustment (§ 412.105)
1. IME Adjustment Factor for FY 2014
2. Other Policy Changes Affecting GME
E. Payment Adjustment for Medicare Disproportionate Share Hospitals (DSHs) § 412.106)
1. Background
2. Counting of Patient Days Associated with Patients Enrolled in Medicare Advantage Plans in the Medicare and Medicaid Fractions of the Disproportionate Share Patient Percentage (DPP) Calculation
3. New Payment Adjustment Methodology for Medicare DSH under Section 3133 of the Affordable Care Act
F. Medicare-Dependent, Small Rural Hospital (MDH) Program (§ 412.108)
1. Background
2. Provisions of the ATRA for FY 2013
a. Background
b. Conforming Regulatory Changes
c. Expiration of the MDH Program
G. Hospital Readmissions Reduction Program (§§ 412.150 through 412.154)
1. Statutory Basis for the Hospital Readmissions Reduction Program
2. Overview
3. FY 2014 Policies for the Hospital Readmissions Reduction Program
a. Overview
b. Refinement of the Readmission Measures and Related Methodology for FY 2014 and Subsequent Years Payment Determinations
c. Expansion of the Applicable Conditions for FY 2015
d. Hospitals Paid under Section 1814(b)(3) of the Act, Including the Process to be Exempt from the Hospital Readmissions Reduction Program and Definition of “Base Operating DRG Payment Amount” for Such Hospitals (§ 412.152 and § 412.154(d))
e. Floor Adjustment Factor for FY 2014 (§ 412.154(c)(2))
f. Applicable Period for FY 2014
g. Refinements of the Methodology to Calculate the Aggregate Payments for Excess Readmissions
h. Clarification of Reporting Hospital-Specific Information, Including Opportunity to Review and Submit Corrections
H. Hospital Value-Based Purchasing Program (§§ 412.160 through 412.165)
1. Statutory Background
2. Overview of the FY 2013 Hospital VBP Program
3. FY 2014 Payment Details
4. FY 2014 Hospital VBP Program Measures
5. FY 2015 Hospital VBP Program Measures
6. FY 2016 Hospital VBP Program Measures
a. Measures Previously Adopted and Removal of AMI-8a, PN-3b, and HF-1 Measures
b. New Measures for the FY 2016 Hospital VBP Program
c. Future Measures for the Efficiency Domain
7. Performance Periods and Baseline Periods
a. Background
b. Clinical Process of Care Domain Performance Period and Baseline Periods for the FY 2016 Hospital VBP Program
c. Experience of Care Domain Performance Period and Baseline Period for the FY 2016 Hospital VBP Program
d. Efficiency Domain Measure Performance Period and Baseline Period for the FY 2016 Hospital VBP Program
e. Outcome Domain Performance Periods and Baseline Periods for the FY 2017 through FY 2019 Hospital VBP Programs
8. Performance Standards for the Hospital VBP Program
a. Background
b. Performance Standards for the FY 2016 Hospital VBP Program Measures
c. Certain Performance Standards for the FY 2017, FY 2018, and FY 2019 Hospital VBP Programs
9. FY 2016 Hospital VBP Program Scoring Methodology
a. General Hospital VBP Program Scoring Methodology
b. Domain Weighting for the FY 2016 Hospital VBP Program for Hospitals That Receive a Score on All Domains
c. Domain Weighting for the FY 2016 Hospital VBP Program for Hospitals Receiving Scores on Fewer than Four Domains
d. Domain Reclassification and Domain Weighting for the FY 2017 Hospital VBP Program
e. Disaster/Extraordinary Circumstance Waivers under the Hospital VBP Program
10. Applicability of the Hospital VBP Program to Hospitals
a. Background
b. Minimum Numbers of Cases and Measures for the FY 2016 Hospital VBP Program Outcome Domain
c. Hospitals Paid under Section 1814(b)(3) of the Act
I. Hospital-Acquired Condition (HAC) Reduction Program
1. Background
2. Statutory Basis for the HAC Reduction Program
3. Implementation of the HAC Reduction Program
a. Definitions
b. Payment Adjustment under the HAC Reduction Program, Including Exemptions
c. Measure Selection and Conditions, Including a Proposed Risk-Adjustment Scoring Methodology
d. Criteria for Applicable Hospitals and Performance Scoring
e. Reporting Hospital-Specific Information, Including the Review and Correction of Information
f. Limitation on Administrative and Judicial Review
J. Payment for Graduate Medical Education (GME) and Indirect Medical Education (IME) Costs (§§ 412.105, 413.75 through 413.83)
1. Background
2. Inclusion of Labor and Delivery Days in the Calculation of Medicare Utilization for Direct GME Payment Purposes and for Other Medicare Purposes
3. Notice of Closure of Teaching Hospital and Opportunity to Apply for Available Slots
4. Payments for Residents Training in Approved Residency Programs at CAHs
a. Background
b. Residents in Approved Medical Residency Training Programs That Train at CAHs
5. Expiration of Inflation Update Freeze for High Per Resident Amounts (PRAs)
K. Rural Community Hospital Demonstration Program
1. Background
2. FY 2014 Budget Neutrality Offset Amount
L. Hospital Emergency Services under EMTALA: Technical Change (§ 489.24(f))
M. Hospital Services Furnished under Arrangements
VI. Changes to the IPPS for Capital-Related Costs
A. Overview
B. Additional Provisions
1. Exception Payments
2. New Hospitals
3. Hospitals Located in Puerto Rico
C. Other Changes for FY 2014—Adjustment to Offset the Cost of the Policy Proposal on Admission and Medical Review Criteria for Hospital Inpatient Services under Medicare Part A
D. Annual Update for FY 2014
VII. Changes for Hospitals Excluded from the IPPS
A. Rate-of-Increase in Payments to Excluded Hospitals for FY 2014
B. Report of Adjustment (Exceptions) Payments
C. Critical Access Hospitals (CAHs): Changes to Conditions of Participation (CoPs)
1. Background
2. Policy Changes
VIII. Changes to the Long-Term Care Hospital Prospective Payment System (LTCH PPS) for FY 2014
A. Background of the LTCH PPS
1. Legislative and Regulatory Authority
2. Criteria for Classification as a LTCH
a. Classification as a LTCH
b. Hospitals Excluded from the LTCH PPS
3. Limitation on Charges to Beneficiaries
4. Administrative Simplification Compliance Act (ASCA) and Health Insurance Portability and Accountability Act (HIPAA) Compliance
B. Medicare Severity Long-Term Care Diagnosis-Related Group (MS-LTC-DRG) Classifications and Relative Weights for FY 2014
1. Background
2. Patient Classifications into MS-LTC-DRGs
a. Background
b. Changes to the MS-LTC-DRGs for FY 2014
3. Development of the FY 2014 MS-LTC-DRG Relative Weights
a. General Overview of the Development of the MS-LTC-DRG Relative Weights
b. Development of the MS-LTC-DRG Relative Weights for FY 2014
c. Data
d. Hospital-Specific Relative Value (HSRV) Methodology
e. Treatment of Severity Levels in Developing the MS-LTC-DRG Relative Weights
f. Low-Volume MS-LTC-DRGs
g. Steps for Determining the FY 2014 MS-LTC-DRG Relative Weights
C. LTCH PPS Payment Rates for FY 2014
1. Overview of Development of the LTCH Payment Rates
2. FY 2014 LTCH PPS Annual Market Basket Increase
a. Overview
b. Revision of Certain Market Basket Updates as Required by the Affordable Care Act
c. Adjustment to the Annual Update to the LTCH PPS Standard Federal Rate under the Long-Term Care Hospital Quality Reporting (LTCHQR) Program
1. Background
2. Reduction to the Annual Update to the LTCH PPS Standard Federal Rate under the LTCHQR Program
d. Market Basket Under the LTCH PPS for FY 2014
e. Annual Market Basket Update for LTCHs for FY 2014
3. Adjustment for the Second Year of the Phase-In of the One-Time Prospective Adjustment to the Standard Federal Rate under § 412.523(d)(3)
D. Expiration of Certain Payment Rules for LTCH Services—The 25-Percent Threshold Payment Adjustment
E. Research on the Development of a Patient Criteria-Based Payment Adjustment under the LTCH PPS
1. Overview
2. MedPAC's 2004 Report to Congress
3. LTCHs in the Medicare Program
4. CMS' Research: The RTI Report
5. CMS' Report to Congress: Determining Medical Necessity and Appropriateness of Care for Medicare Long-Term Care Hospitals
6. Current Practices in LTCHs
7. Identification of Chronically Critically Ill/Medically Complex (CCI/MC) Patients
8. LTCH PPS Payments for CCI/MC Patients
IX. Quality Data Reporting Requirements for Specific Providers and Suppliers
A. Hospital Inpatient Quality Reporting (IQR) Program
1. Background
a. History of Measures Adopted for the Hospital IQR Program
b. Maintenance of Technical Specifications for Quality Measures
c. Public Display of Quality Measures
2. Removal and Suspension of Hospital IQR Program Measures
a. Considerations in Removing Quality Measures from the Hospital IQR Program
b. Hospital IQR Program Measures Removed in Previous Rulemaking
c. Removal of Hospital IQR Program Measures for the FY 2016 Payment Determination and Subsequent Years
d. Suspension of Data Collection for the FY 2014 Payment Determination and Subsequent Years
3. Process for Retaining Previously Adopted Hospital IQR Program Measures for Subsequent Payment Determinations
4. Additional Considerations in Expanding and Updating Quality Measures under the Hospital IQR Program
5. Changes to Hospital IQR Program Measures Previously Adopted for the FY 2015 and FY 2016 Payment Determinations and Subsequent Years
a. Previously Adopted Hospital IQR Program Measures for the FY 2015 Payment Determination and Subsequent Years
b. Refinements to Existing Measures in the Hospital IQR Program
6. Additional Hospital IQR Program Measures for the FY 2016 Payment Determination and Subsequent Years
a. Hospital 30-Day, All-Cause, Risk-Standardized Readmission Rate (RSRR) Following Chronic Obstructive Pulmonary Disease (COPD) Hospitalization Measure (NQF #1891)
b. Hospital 30-Day, All-Cause, Risk-Standardized Mortality Rate (RSMR) Following Chronic Obstructive Pulmonary Disease (COPD) Hospitalization Measure (NQF #1893)
c. Hospital 30-day, All-Cause Risk-Standardized Rate of Readmission Following Acute Ischemic Stroke (Stroke Readmission) Measure
d. Hospital 30-Day, All-Cause Risk-Standardized Rate of Mortality Following an Admission for Acute Ischemic Stroke (Stroke Mortality) Measure
e. Hospital Risk-Standardized Payment Associated with a 30-day Episode-of-Care for Acute Myocardial Infarction (AMI) Measure
7. Electronic Clinical Quality Measures
8. Possible New Quality Measures and Measure Topics for Future Years
9. Form, Manner, and Timing of Quality Data Submission
a. Background
b. Procedural Requirements for the FY 2016 Payment Determination and Subsequent Years
c. Data Submission Requirements for Chart-Abstracted Measures
d. Data Submission Requirements for Quality Measures That May be Voluntarily Electronically Reported for the FY 2016 Payment Determination
e. Sampling and Case Thresholds for the FY 2016 Payment Determination and Subsequent Years
f. HCAHPS Requirements for the FY 2017 Payment Determination and Subsequent Years
g. Data Submission Requirements for Structural Measures for the FY 2015 and FY 2016 Payment Determinations
h. Data Submission and Reporting Requirements for Healthcare-Associated Infection (HAI) Measures Reported via NHSN
10. Modifications to the Validation Process for Chart-Abstracted Measures under the Hospital IQR Program
a. Timing and Number of Quarters Included in Validation
b. Selection of Measures and Sampling of Charts to be Included in Validation
c. Procedures for Scoring Records for Validation
d. Procedures to Select Hospitals for Validation
e. Procedures for Submitting Records for Validation
11. Data Accuracy and Completeness Acknowledgement Requirements for the FY 2015 Payment Determination and Subsequent Years
12. Public Display Requirements for the FY 2016 Payment Determination and Subsequent Years
13. Reconsideration and Appeal Procedures for the FY 2015 Payment Determination and Subsequent Years
14. Hospital IQR Program Extraordinary Circumstances Extensions or Waivers
B. PPS-Exempt Cancer Hospital Quality Reporting (PCHQR) Program
1. Statutory Authority
2. Covered Entities
3. Previously Finalized Quality Measures for PCHs for the FY 2014 Program Year and Subsequent Years
4. Considerations in the Selection of the Quality Measures
5. New Quality Measures
a. New Measure Beginning for the FY 2015 Program Year and Subsequent Years—NHSN Healthcare-Associated Infection (HAI) Measure: Surgical Site Infection (SSI) (NQF #0753)
b. New Measures Beginning for the FY 2016 PQHQR Program Year and Subsequent Years
6. Possible New Quality Measure Topics for Future Years
7. Maintenance of Technical Specifications for Quality Measures
8. Public Display Requirements for the FY 2014 Program Year and Subsequent Years
9. Form, Manner, and Timing of Data Submission Beginning with FY 2015 Program Year and Subsequent Years
a. Background
b. Waivers from Program Requirements
c. Reporting Periods and Submission Timelines for the Finalized SSI Measure
d. Exceptions to Reporting and Data Submission for HAI Measures (CAUTI, CLABSI, and SSI)
e. Reporting and Data Submission Requirements for the Finalized Clincial Process/Oncology Care Measures
f. Reporting and Data Submission Requirements for the Finalized SCIP Measures
g. HCAHPS Requirements
C. Long-Term Care Hospital Quality Reporting (LTCHQR) Program
1. Statutory History
2. General Considerations Used for Selection of Quality Measures for the LTCHQR Program
3. Process for Retention of LTCHQR Program Measures Adopted in Previous Payment Determinations
4. Process for Adopting Changes to LTCHQR Program Measures
5. Previously Adopted Quality Measures for the FY 2014 and FY 2015 Payment Determinations and Subsequent Years
6. Previously Adopted Quality Measures for the FY 2016 Payment Determination and Subsequent Years
7. Revisions to Previously Adopted Quality Measures
a. Revisions for Influenza Vaccination Coverage among Healthcare Personnel (NQF #0431)
b. Revisions for Percent of Residents or Patients Who Were Assessed and Appropriately Given the Seasonal Influenza Vaccine (Short-Stay) (NQF #0680) for the FY 2016 Payment Determination and Subsequent Years
c. Revisions for Percent of Residents or Patients with Pressure Ulcers That Are New or Worsened (Short-Stay) (NQF #0678) for the FY 2015 Payment Determination and Subsequent Years
8. New LTCHQR Program Quality Measures Affecting the FY 2017 an FY 2018 Payment Determinations and Subsequent Years
a. Considerations in Updating and Expanding Quality Measures under the LTCHQR Program for the FY 2017 Payment Determination and Subsequent Years
b. New LTCHQR Program Quality Measures for the FY 2017 Payment Determination and Subsequent Years
c. New LTCHQR Program Quality Measure for the FY 2018 Payment Determination and Subsequent Years
d. LTCHQR Program Quality Measures and Concepts under Consideration for Future Years Payment Determinations
9. Form, Manner, and Timing of Quality Data Submission for the FY 2016 Payment Determination and Subsequent Years
a. Background
b. Finalized Timeline for Data Submission under the LTCHQR Program for the FY 2016 Payment Determination
c. Timeline for Data Submission for the NQF #0431 Influenza Vaccination Coverage Among Healthcare Personnel Measure for the FY 2016 Payment Determination and Subsequent Years
d. Timeline for Data Submission for the NQF #0680 Percent of Residents or Patients Who Were Assessed and Appropriately Given the Seasonal Influenza Vaccine (Short Stay) Measure for the FY 2016 Payment Determination and Subsequent Years
e. Timeline for Data Submission under the LTCHQR Program for the FY 2017 Payment Determination and Subsequent Years
f. Timeline for Data Submission under the LTCHQR Program for the FY 2018 Payment Determination and Subsequent Years
10. Public Display of Data Quality Measures for the LTCHQR Program
11. LTCHQR Program Submission Waiver Requirements for the FY 2015 Payment Determination and Subsequent Years
12. LTCHQR Program Reconsideration and Appeals for the FY 2015 Payment Determination and Subsequent Years
a. LTCHQR Program Reconsideration and Appeals for the FY 2014 Payment Determination
b. LTCHQR Program Reconsideration and Appeals for the FY 2015 Payment Determination
D. Inpatient Psychiatric Facilities Quality Reporting (IPFQR) Program
1. Statutory Authority
2. Application of the Payment Update Reduction for Failure to Report for the FY 2014 Payment Determination and Subsequent Years
3. Covered Entities
4. Considerations in Selecting Quality Measures
5. Quality Measures for the FY 2015 Payment Determination and Subsequent Years
a. Background
b. New Quality Measures for the FY 2016 Payment Determination and Subsequent Years
c. Maintenance of Technical Specifications for Quality Measures
6. Request for Voluntary Information—IPF Assessment of Patient Experience of Care
7. Request for Recommendations for New Quality Measures for Future Years
8. Public Display Requirements for the FY 2014 Payment Determination and Subsequent Years
9. Form, Manner, and Timing of Quality Data Submission for the FY 2014 Payment Determination and Subsequent Years
a. Background
b. Procedural Requirements
c. Submission Requirements for the FY 2016 Payment Determination and Subsequent Years
d. Reporting Requirements for the FY 2016 Payment Determination and Subsequent Years
e. Population, Sampling, and Minimum Case Threshold for the FY 2016 Payment Determination and Subsequent Years
f. Data Accuracy and Completeness Acknowledgement (DACA) Requirements
10. Reconsideration and Appeals Procedures for the FY 2014 Payment Determination and Subsequent Years
11. Waivers from Quality Reporting Requirements for the FY 2014 Payment Determination and Subsequent Years
12. Electronic Health Records (EHRs)
E. Electronic Health Records (EHRs) Incentive Program and Meaningful Use (MU)
1. Background
2. Expanded Electronic Submission Period for CQMs
3. Quality Reporting Data Architecture Category III (QRDA-III) Option in 2014
4. Case Number Threshold Exemption—Requirements Regarding Data Submission
X. Change to the Medicare Hospital Conditions of Participation (CoPs) Relating to the Administration of Pneumococcal Vaccines
XI. Payment Policies Related to Patient Status
A. Background
B. Payment of Medicare Part B Hospital Inpatient Services
1. Payable Medicare Part B Inpatient Services
a. Payment Methodology
b. Other Revisions Resulting from Our Review of the Regulations
2. Billing for Part B Outpatient Services in the 3-Day Payment Window
3. Applicability: Hospital Self-Audit
4. Applicability: Types of Hospitals
5. Beneficiary Liability under Section 1879 of the Act
6. Applicable Beneficiary Liability: Hospital Services
7. Applicable Beneficiary Liability: Skilled Nursing Facility Services
8. Time Limits for Filing Claims
9. Appeal Procedures
10. Coordination of Benefits with Supplemental Insurers
11. Public Comments on Other Issues
a. Application to Disproportionate Share Hospital (DSH) Payments, Indirect Medical Education (IME) and Graduate Medical Education (GME) Payments, and Other IPPS Adjustments
b. Application to Beneficiary Utilization Days under Medicare Part A
c. Applicability to the Medicare Advantage (MA) Program
12. Regulatory Impact Analysis: Final Part B Inpatient Payment Policy
a. Statement of Need
b. Overall Impact
c. Estimated Impacts of the Final Part B Inpatient Payment Policy
d. Alternatives Considered
e. Accounting Statement and Table
f. Conclusion
13. Collection of Information Requirements
C. Admission and Medical Review Criteria for Hospital Inpatient Services under Medicare Part A
1. Background
2. Requirements for Physician Orders and Physician Certification
a. Applicability for All Hospitals
b. Applicability to Inpatient Rehabilitation Facilities (IRFs)
3. Inpatient Admission Guidelines
a. Correct Coding Reviews
b. Complete and Accurate Documentation
c. Medical Necessity Reviews
4. Impacts of Changes in Admission and Medical Review Criteria
XII. MedPAC Recommendations
XIII. Other Required Information
A. Requests for Data from the Public
B. Collection of Information Requirements
1. Statutory Requirement for Solicitation of Comments
2. ICRs for Add-On Payments for New Services and Technologies
3. ICRs for the Occupational Mix Adjustment to the FY 2014 Wage Index (Hospital Wage Index Occupational Mix Survey)
4. Hospital Applications for Geographic Reclassifications by the MGCRB
5. ICRs for Application for GME Resident Slots
6. ICRs for the Hospital Inpatient Quality Reporting (IQR) Program
7. ICRs for PPS-Exempt Cancer Hospital Quality Reporting (PCHQR) Program
8. ICRs for Hospital Value-Based Purchasing (VBP) Program
9. ICRs for the Long-Term Care Hospital Quality Reporting (LTCHQR) Program
10. ICRs for the Inpatient Psychiatric Facilities Quality Reporting (IPFQR) Program
Regulation Text
Addendum—Schedule of Standardized Amounts, Update Factors, and Rate-of-Increase Percentages Effective with Cost Reporting Periods Beginning on or after October 1, 2013 and Payment Rates for LTCHs Effective with Discharges Occurring on or after October 1, 2013
I. Summary and Background
II. Changes to the Prospective Payment Rates for Hospital Inpatient Operating Costs for Acute Care Hospitals for FY 2014
A. Calculation of the Adjusted Standardized Amount
B. Adjustments for Area Wage Levels and Cost-of-Living
C. Calculation of the Prospective Payment Rates
III. Changes to Payment Rates for Acute Care Hospital Inpatient Capital-Related Costs for FY 2014
A. Determination of Federal Hospital Inpatient Capital-Related Prospective Payment Rate Update
B. Calculation of the Inpatient Capital-Related Prospective Payments for FY 2014
C. Capital Input Price Index
IV. Changes to Payment Rates for Excluded Hospitals: Rate-of-Increase Percentages for FY 2014
V. Updates to the Payment Rates for the LTCH PPS for FY 2014
A. LTCH PPS Standard Federal Rate for FY 2014
B. Adjustment for Area Wage Levels under the LTCH PPS for FY 2014
1. Background
2. Geographic Classifications/Labor Market Area Definitions
3. LTCH PPS Labor-Related Share
4. LTCH PPS Wage Index for FY 2014
5. Budget Neutrality Adjustment for Changes to the Area Wage Level Adjustment
C. LTCH PPS Cost-of-Living Adjustment (COLA) for LTCHs Located in Alaska and Hawaii
D. Adjustment for LTCH PPS High-Cost Outlier (HCO) Cases
E. Computing the Adjusted LTCH PPS Federal Prospective Payments for FY 2014
VI. Tables Referenced in this Final Rulemaking and Available through the Internet on the CMS Web site
Appendix A—Economic Analyses
I. Regulatory Impact Analysis
A. Introduction
B. Need
C. Objectives of the IPPS
D. Limitations of Our Analysis
E. Hospitals Included in and Excluded from the IPPS
F. Effects on Hospitals and Hospital Units Excluded from the IPPS
G. Quantitative Effects of the Policy Changes under the IPPS for Operating Costs
1. Basis and Methodology of Estimates
2. Analysis of Table I
3. Impact Analysis of Table II
H. Effects of Other Policy Changes
1. Effects of Policy on MS-DRGs for Preventable HACs, Including Infections
2. Effects of Policy Relating to New Medical Service and Technology Add-On Payments
3. Effects of Payment Adjustment for Low-Volume Hospitals for FY 2014
4. Effects of Extension of the MDH Program
5. Effects of Changes under the FY 2014 Hospital Value-Based Purchasing (VBP) Program
6. Effects of the Implementation of the HAC Reduction Program
7. Effects of Policy Changes Relating to Payments for Direct GME and IME Costs
8. Effects of Implementation of Rural Community Hospital Demonstration Program
9. Effects of the Extended Effective Date for Policy on Hospital Services Furnished under Arrangements
I. Effects of Policy Relating to the Furnishing of Acute Care Inpatient Services by CAHs
J. Effects of Changes to the COPs for Hospitals Relating to the Administration of Pneumococcal Vaccines
K. Effects of Changes in the Capital IPPS
1. General Considerations
2. Results
L. Effects of Payment Rate Changes and Policy Changes under the LTCH PPS
1. Introduction and General Considerations
2. Impact on Rural Hospitals
3. Anticipated Effects of LTCH PPS Payment Rate Changes and Policy Changes
4. Effect on the Medicare Program
5. Effect on Medicare Beneficiaries
M. Effects of Requirements for Hospital Inpatient Quality Reporting (IQR) Program
N. Effects of Changes in the PPS-Exempt Cancer Hospital Quality Reporting (PCHQR) Program
O. Effects of Changes in the LTCH Quality Reporting (LTCHQR) Program
P. Effects of Changes in the Requirements for the Inpatient Psychiatric Facilities Quality Reporting (IPFQR) Program
II. Alternatives Considered
III. Overall Conclusion
1. Acute Care Hospitals
2. LTCHs
IV. Accounting Statements and Tables
A. Acute Care Hospitals
B. LTCHs
C. Part B Inpatient Hospital Services
V. Regulatory Flexibility Act (RFA) Analysis
VI. Impact on Small Rural Hospitals
VII. Unfunded Mandate Reform Act (UMRA) Analysis
VIII. Executive Order 12866
Appendix B: Recommendation of Update Factors for Operating Cost Rates of Payment for Inpatient Hospital Services
I. Background
II. Inpatient Hospital Update for FY 2014
A. FY 2014 Inpatient Hospital Update
B. Update for SCHs for FY 2014
C. FY 2014 Puerto Rico Hospital Update
D. Update for Hospitals Excluded from the IPPS
E. Update for LTCHs for FY 2014
III. Secretary's Recommendation
IV. MedPAC Recommendation for Assessing Payment Adequacy and Updating Payments in Traditional Medicare
I. Executive Summary and Background Back to Top
A. Executive Summary
1. Purpose and Legal Authority
This final rule makes payment and policy changes under the Medicare inpatient prospective payment systems (IPPS) for operating and capital-related costs of acute care hospitals as well as for certain hospitals and hospital units excluded from the IPPS. In addition, it makes payment and policy changes for inpatient hospital services provided by long-term care hospitals (LTCHs) under the long-term care hospital prospective payment system (LTCH PPS). It also makes policy changes to programs associated with Medicare IPPS hospitals, IPPS-excluded hospitals, and LTCHs.
Under various statutory authorities, we are making changes to the Medicare IPPS, to the LTCH PPS, and to other related payment methodologies and programs for FY 2014 and subsequent fiscal years. These statutory authorities include, but are not limited to, the following:
- Section 1886(d) of the Social Security Act (the Act), which sets forth a system of payment for the operating costs of acute care hospital inpatient stays under Medicare Part A (Hospital Insurance) based on prospectively set rates. Section 1886(g) of the Act requires that, instead of paying for capital-related costs of inpatient hospital services on a reasonable cost basis, the Secretary use a prospective payment system (PPS).
- Section 1886(d)(1)(B) of the Act, which specifies that certain hospitals and hospital units are excluded from the IPPS. These hospitals and units are: rehabilitation hospitals and units; LTCHs; psychiatric hospitals and units; children's hospitals; and cancer hospitals. Religious nonmedical health care institutions (RNHCIs) are also excluded from the IPPS.
- Sections 123(a) and (c) of Public Law 106-113 and section 307(b)(1) of Public Law 106-554 (as codified under section 1886(m)(1) of the Act), which provide for the development and implementation of a prospective payment system for payment for inpatient hospital services of long-term care hospitals (LTCHs) described in section 1886(d)(1)(B)(iv) of the Act.
- Sections 1814(l), 1820, and 1834(g) of the Act, which specifies that payments are made to critical access hospitals (CAHs) (that is, rural hospitals or facilities that meet certain statutory requirements) for inpatient and outpatient services and that these payments are generally based on 101 percent of reasonable cost.
- Section 1866(k) of the Act, as added by section 3005 of the Affordable Care Act, which establishes a quality reporting program for hospitals described in section 1886(d)(1)(B)(v) of the Act, referred to as “PPS-Exempt Cancer Hospitals.”
- Section 1886(d)(3)(A)(vi) of the Act, which authorizes us to maintain budget neutrality by adjusting the national standardized amount, to eliminate the estimated effect of changes in coding or classification that do not reflect real changes in case-mix.
- Section 1886(d)(4)(D) of the Act, which addresses certain hospital-acquired conditions (HACs), including infections. Section 1886(d)(4)(D) of the Act specifies that, by October 1, 2007, the Secretary was required to select, in consultation with the Centers for Disease Control and Prevention (CDC), at least two conditions that: (a) Are high cost, high volume, or both; (b) are assigned to a higher paying MS-DRG when present as a secondary diagnosis (that is, conditions under the MS-DRG system that are CCs or MCCs); and (c) could reasonably have been prevented through the application of evidence-based guidelines. Section 1886(d)(4)(D) of the Act also specifies that the list of conditions may be revised, again in consultation with CDC, from time to time as long as the list contains at least two conditions. Section 1886(d)(4)(D)(iii) of the Act requires that hospitals, effective with discharges occurring on or after October 1, 2007, submit information on Medicare claims specifying whether diagnoses were present on admission (POA). Section 1886(d)(4)(D)(i) of the Act specifies that effective for discharges occurring on or after October 1, 2008, Medicare no longer assigns an inpatient hospital discharge to a higher paying MS-DRG if a selected condition is not POA.
- Section 1886(a)(4) of the Act, which specifies that costs of approved educational activities are excluded from the operating costs of inpatient hospital services. Hospitals with approved graduate medical education (GME) programs are paid for the direct costs of GME in accordance with section 1886(h) of the Act.
- Section 1886(b)(3)(B)(viii) of the Act, which requires the Secretary to reduce the applicable percentage increase in payments to a subsection (d) hospital for a fiscal year if the hospital does not submit data on measures in a form and manner, and at a time, specified by the Secretary.
- Section 1886(o) of the Act, which requires the Secretary to establish a Hospital Value-Based Purchasing (VBP) Program under which value-based incentive payments are made in a fiscal year to hospitals meeting performance standards established for a performance period for such fiscal year.
- Section 1886(p) of the Act, as added by section 3008 of the Affordable Care Act, which establishes an adjustment to hospital payments for hospital-acquired conditions (HACs), or a Hospital-Acquired Condition (HAC) Reduction Program, under which payments to applicable hospitals are adjusted to provide an incentive to reduce hospital-acquired conditions, effective for discharges beginning on October 1, 2014.
- Section 1886(q) of the Act, as added by section 3025 of the Affordable Care Act and amended by section 10309 of the Affordable Care Act, which establishes the “Hospital Readmissions Reduction Program” effective for discharges from an “applicable hospital” beginning on or after October 1, 2012, under which payments to those hospitals under section 1886(d) of the Act will be reduced to account for certain excess readmissions.
- Section 1886(r) of the Act, as added by section 3313 of the Affordable Care Act, which provides for a reduction to disproportionate share payments under section 1886(d)(5)(F) of the Act and for a new uncompensated care payment to eligible hospitals. Specifically, section 1886(r) of the Act now requires that, for “fiscal year 2014 and each subsequent fiscal year,” “subsection (d) hospitals” that would otherwise receive a “disproportionate share payment . . . made under subsection (d)(5)(F)” will receive two separate payments: (1) 25 percent of the amount they previously would have received under subsection (d)(5)(F) for DSH (“the empirically justified amount”), and (2) an additional payment for the DSH hospital's proportion of uncompensated care, determined as the product of three factors. These three factors are: (1) 75 percent of the payments that would otherwise be made under subsection (d)(5)(F); (2) 1 minus the percent change in the percent of individuals under the age of 65 who are uninsured (minus 0.1 percentage points for FY 2014, and minus 0.2 percentage points for FY 2015 through FY 2017); and (3) a hospital's uncompensated care amount relative to the uncompensated care amount of all DSH hospitals expressed as a percentage.
- Section 1886(s)(4) of the Act, as added and amended by section 3401(f) and 10322(a) of the Affordable Care Act, respectively, which requires the Secretary to implement a quality reporting program for inpatient psychiatric hospitals and psychiatric units. Under this program, known as the Inpatient Psychiatric Facility Quality Reporting (IPFQR) Program, beginning with FY 2014, the Secretary must reduce any annual update to a standard Federal rate for discharges occurring during a fiscal year by 2.0 percentage points for any inpatient psychiatric hospital or psychiatric unit that does not comply with quality data submission requirements with respect to an applicable fiscal year.
2. Summary of the Major Provisions
a. MS-DRG Documentation and Coding Adjustment
Section 631 of the American Taxpayer Relief Act (ATRA, Pub. L. 112-240) amended section 7(b)(1)(B) of Public Law 110-90 to require the Secretary to make a recoupment adjustment to the standardized amount of Medicare payments to acute care hospitals to account for changes in MS-DRG documentation and coding that do not reflect real changes in case-mix, totaling $11 billion over a 4-year period of FYs 2014, 2015, 2016, and 2017. This adjustment represents the amount of the increase in aggregate payments as a result of not completing the prospective adjustment authorized under section 7(b)(1)(A) of Public Law110-90 until FY 2013. Prior to the ATRA, this amount could not have been recovered under Public Law 110-90.
While our actuaries estimate that a −9.3 percent adjustment to the standardized amount would be necessary if CMS were to fully recover the $11 billion recoupment required by section 631 of the ATRA in FY 2014, it is often our practice to delay or phase in rate adjustments over more than one year, in order to moderate the effects on rates in any one year. Therefore, consistent with the policies that we have adopted in many similar cases, we are making a −0.8 percent recoupment adjustment to the standardized amount in FY 2014. Although we are not making an additional prospective adjustment in FY 2014 for the cumulative MS-DRG documentation and coding effects through FY 2010, we solicited public comments as to whether any portion of the proposed −0.8 percent recoupment adjustment to the operating IPPS standardized amount should be reduced and instead applied as a prospective adjustment to the operating IPPS standardized amount (and hospital-specific rates) for the cumulative MS-DRG documentation and coding effect through FY 2010. The public comments that we received are addressed in section II.C. of the preamble of this final rule.
b. Refinement of the MS-DRG Relative Weight Calculation
Beginning in FY 2007, we implemented relative weights for DRGs based on cost report data instead of charge information. To address the issue of charge compression (the hospital practice of applying higher charges to lower cost items and applying lesser charges to higher cost items) when using cost report data to set the MS-DRG relative weights, in FYs 2009 and 2010, we created additional cost centers on the Medicare cost report to distinguish implantable devices from other medical supplies, MRIs and CT scans, respectively, from other radiology services, and cardiac catheterization from other cardiology services. As compared to previous years, we currently have a significant volume of hospitals completing all, or some, of these new cost centers on the Medicare cost report. Therefore, beginning in FY 2014, we are calculating the MS-DRG relative weights using 19 CCRs, creating distinct CCRs from cost report data for implantable devices, MRIs, CT scans, and cardiac catheterization.
c. Rebasing and Revision of the Hospital Market Baskets for Acute Care Hospitals
In section IV. of the preamble of this final rule, we are rebasing and revising the acute care hospital operating and capital market baskets used to update IPPS payment rates. For both market baskets, we are updating the base year cost weights from a FY 2006 base year to a FY 2010 base year. We also are recalculating the labor-related share using the FY 2010-based hospital market basket, for discharges occurring on or after October 1, 2013. We used the FY 2010-based market baskets in developing the FY 2014 update factor for the operating and capital prospective payment rates and the FY 2014 update factor for the excluded hospital rate-of-increase limits. We also are setting forth the data sources used to determine the revised market basket costs weights.
d. Reduction of Hospital Payments for Excess Readmissions
We are making a number of changes in policies to implement section 1886(q) of the Act, as added by section 3025 of the Affordable Care Act, which establishes the Hospital Readmissions Reduction Program. The Hospital Readmissions Reduction Program requires a reduction to a hospital's base operating DRG payment to account for excess readmissions of selected applicable conditions. For FYs 2013 and 2014, these conditions are acute myocardial infarction, heart failure, and pneumonia. For FY 2014, we are establishing additional exclusions to the three existing readmission measures (that is, the excess readmission ratio) to account for additional planned readmissions. We also are establishing additional readmissions measures to be used in the Hospital Readmissions Reduction Program for FY 2015. In addition, we are specifying that the readmissions payment adjustment factors for FY 2014 can be no more than a 2-percent reduction (there is a 1-percent cap in FY 2013), in accordance with the statute. We are making a change in the methodology we use to calculate the readmissions payment adjustment factors to make it more consistent with the calculation of the excess readmissions ratio.
e. Hospital Value-Based Purchasing (VBP) Program
Section 1886(o) of the Act requires the Secretary to establish a Hospital Value-Based Purchasing (VBP) Program under which value-based incentive payments are made in a fiscal year to hospitals meeting performance standards established for a performance period for such fiscal year. Both the performance standards and the performance period for a fiscal year are to be established by the Secretary.
In this final rule, we are outlining payment details for the FY 2014 Hospital VBP Program. In addition, we are establishing numerous policies for the FY 2016 Hospital VBP Program, including measures, performance standards, and performance and baseline periods. We also are establishing a disaster/extraordinary circumstances exceptions process, domain reclassification and weighting based on CMS' National Quality Strategy for the FY 2017 Hospital VBP Program, and certain measures, performance and baseline periods, and performance standards for the FY 2017 through FY 2019 Programs.
f. Hospital-Acquired Condition (HAC) Reduction Program
In this final rule, we are establishing measures, scoring, and risk adjustment methodology to implement the FY 2015 payment adjustment under the HAC Reduction Program. Section 1886(p) of the Act, as added under section 3008(a) of the Affordable Care Act, establishes an adjustment to hospital payments for HACs, or a HAC Reduction program, under which payments to applicable hospitals are adjusted to provide an incentive to reduce HACs, effective for discharges beginning on October 1, 2014 and for subsequent program years. The amount of payment shall be equal to 99 percent of the amount of payment that would otherwise apply to such discharges under section 1886(d) or 1814(b)(3) of the Act, as applicable.
g. Counting of Inpatient Days for Medicare Payment or Eligibility Purposes
In response to a comment we received on the FY 2013 IPPS/LTCH PPS final rule and consistent with the inpatient day counting rules for DSH as clarified in the FY 2010 IPPS/RY 2010 LTCH PPS final rule, we are providing that patient days associated with maternity patients who were admitted as inpatients and were receiving ancillary labor and delivery services at the time the inpatient routine census is taken, regardless of whether the patient actually occupied a routine bed prior to occupying an ancillary labor and delivery bed and regardless of whether the patient occupies a “maternity suite” in which labor, delivery recovery, and postpartum care all take place in the same room, would be included in the Medicare utilization calculation. We understand that including labor and delivery inpatient days in the Medicare utilization calculation invariably will reduce direct GME payments because direct GME payments are based, in part, on a hospital's Medicare utilization ratio and the denominator of that ratio, which includes the hospital's total inpatient days, will increase at a higher rate than the numerator of the ratio, which includes the hospital's Medicare inpatient days. However, because the Medicare utilization ratio is a comparison of a hospital's total Medicare inpatient days to its total inpatient days, we believe that revising the ratio to include labor and delivery days is appropriate because they are inpatient days and therefore should be counted as such. We are including labor and delivery days as inpatient days in the Medicare utilization calculation effective for cost reporting periods beginning on or after October 1, 2013.
h. Changes to the DSH Payment Adjustment and the Provision of Additional Payment for Uncompensated Care
Section 3133 of the Affordable Care Act modified the Medicare disproportionate share hospital (DSH) payment methodology beginning in FY 2014. Currently, Medicare DSHs qualify for a DSH payment adjustment under a statutory formula that considers their Medicare utilization due to beneficiaries who also receive Supplemental Security Income benefits and their Medicaid utilization. Under section 1886(r) of the Act, which was added by section 3133 of the Affordable Care Act, starting in FY 2014, DSHs will receive 25 percent of the amount they previously would have received under the current statutory formula for Medicare DSH payments. The remaining amount, equal to 75 percent of what otherwise would have been paid as Medicare DSH payments, will be paid as additional payments after the amount is reduced for changes in the percentage of individuals that are uninsured. Each Medicare DSH hospital will receive its additional amount based on its share of the total amount of uncompensated care for all Medicare DSH hospitals for a given time period. In this final rule, we are implementing these statutory changes.
i. Medicare Part B Inpatient Billing in Hospitals
We are finalizing our proposal that when a Medicare Part A claim for hospital inpatient services is denied because the inpatient admission was determined not reasonable and necessary, or if a hospital determines under 42 CFR 482.30(d) or § 485.641 after a beneficiary is discharged that his or her inpatient admission was not reasonable and necessary, the hospital may be paid for the Part B services that would have been reasonable and necessary if the beneficiary had been treated as a hospital outpatient rather than admitted as an inpatient, provided the beneficiary is enrolled in Medicare Part B. We are finalizing our proposal to continue applying the timely filing restriction to the billing of all Part B inpatient services, under which claims for Part B services must be filed within 1 year from the date of service. However, we are modifying what we stated in the preamble of the proposed rule regarding the applicability of the CMS Ruling 1455-R to certain claims. We will permit hospitals to follow the Part B billing timeframes established in the Ruling after the effective date of this rule, provided (1) the Part A claim denial was one to which the Ruling originally applied; or (2) the Part A inpatient claims has a date of admission before October 1, 2013, and is denied after September 30, 2013 on the grounds that although the medical care was reasonable and necessary, the inpatient admission was not. In this final rule, we also describe the beneficiary liability and other impacts of our final policies.
j. Admission and Medical Review Criteria for Hospital Inpatient Services Under Medicare Part A
To reduce uncertainty regarding the requirements for payments to hospitals and CAHs under Medicare Part A related to when a Medicare beneficiary should be admitted as a hospital inpatient, in this final rule, we are clarifying the rules governing physician orders of hospital inpatient admissions for payment under Medicare Part A. We are clarifying and specifying in the regulations that an individual becomes an inpatient of a hospital, including a CAH, when formally admitted as such pursuant to an order for inpatient admission by a physician or other qualified practitioner described in the final regulations. The order is required for payment of hospital inpatient services under Medicare Part A. We are specifying that for those hospital stays in which the physician expects the beneficiary to require care that crosses 2 midnights and admits the beneficiary based upon that expectation, Medicare Part A payment is generally appropriate. Conversely, we are specifying that hospital stays in which the physician expects the patient to require care less than 2 midnights, payment under Medicare Part A is generally inappropriate. This will revise our guidance to hospitals and physicians relating to when hospital inpatient admissions are determined reasonable and necessary for payment under Part A. We also are using our exceptions and adjustments authority under section 1886(d)(5)(I)(i) of the Act to offset the additional IPPS expenditures under this policy change by reducing the standardized amount, the hospital-specific amount, and the Puerto Rico-specific standardized amount by 0.2 percent.
LTCH PPS Standard Federal Rate
In section VIII.A. of the preamble of this final rule, we present the LTCH PPS standard Federal rate for FY 2014, which includes an adjustment factor of 0.98734 for the second year of the 3-year phase-in of the permanent one-time adjustment to the standard Federal rate. In addition, under the LTCH Quality Reporting (LTCHQR) Program, the annual update to the standard Federal rate will be reduced by 2 percentage points for LTCHs that fail to submit data for FY 2014 on specific measures under section 3004 of the Affordable Care Act.
l. Expiration of Certain Payment Rules for LTCH Services and Research on the Development of a Patient Criteria-Based Payment Adjustment Under the LTCH PPS
In section VIII.D. of the preamble of this final rule, we note the expiration of the moratorium on the full implementation of the “25 percent threshold” payment adjustment to LTCHs under the LTCH PPS for cost reporting periods beginning on or after October 1, 2013.
In section VIII.E. of the preamble of this final rule, we discuss the ongoing research being done by a CMS contractor, Kennell and Associates (Kennell) and its subcontractor, Research Triangle Institute, International (RTI), on the development of a payment adjustment under the LTCH PPS based on the establishment of LTCH patient criteria that was described in the proposed rule.
m. Hospital Inpatient Quality Reporting (IQR) Program
Under section 1886(b)(3)(B)(viii) of the Act, hospitals are required to report data on measures selected by the Secretary for the Hospital IQR Program in order to receive the full annual percentage increase. In past rules, we have established measures for reporting and the process for submittal and validation of the data.
In this final rule, we are making several changes to: (1) The measure set, including the removal of some measures, the suspension of one measure, the refinement of some measures, and the adoption of several new measures; (2) the administrative processes; and (3) the validation methodologies. We also are allowing hospitals the option of reporting up to four measure sets electronically for the FY 2016 payment determination. These changes will improve the timeliness and efficiency of the Hospital IQR Program and begin the process of incorporating electronic reporting into the Hospital IQR Program.
n. Inpatient Psychiatric Facility Quality Reporting (IPFQR) Program
Section 1886(s)(4) of the Act authorizes the Secretary to implement a quality reporting program for inpatient psychiatric hospitals and psychiatric units. Section 1886(s)(4) of the Act, as added and amended by sections 3401(f) and 10322(a) of the Affordable Care Act, requires the Secretary to implement a quality reporting program for inpatient psychiatric hospitals and psychiatric units. Section 1886(s)(4)(A)(i) of the Act requires that, for rate year 2014 and each subsequent rate year, the Secretary shall reduce any annual update to a standard Federal rate for discharges occurring during such rate year by 2.0 percentage points for any inpatient psychiatric hospital or psychiatric unit that does not comply with quality data submission requirements with respect to an applicable rate year.
In this final rule, we are establishing new measures and related policies for the IPFQR Program beginning with FY 2016.
3. Summary of Costs and Benefits
- Adjustment for MS-DRG Documentation and Coding Changes. We are making a −0.8 percent recoupment adjustment to the standardized amount for FY 2014 to implement, in part, the requirement of section 631 of the ATRA that the Secretary make an adjustment totaling $11 billion over a 4-year period of FYs 2014, 2015, 2016, and 2017. This recoupment adjustment represents the amount of the increase in aggregate payments as a result of not completing the prospective adjustment authorized under section 7(b)(1)(A) of Public Law 110-90 until FY 2013. Prior to the ATRA, this amount could not have been recovered under Public Law 110-90.
While our actuaries estimate that a −9.3 percent recoupment adjustment to the standardized amount would be necessary if CMS were to fully recover the $11 billion recoupment required by section 631 of the ATRA in FY 2014, it is often our practice to delay or phase in rate adjustments over more than one year, in order to moderate the effects on rates in any one year. Therefore, consistent with the policies that we have adopted in many similar cases, we are making a −0.8 percent recoupment adjustment to the standardized amount in FY 2014. We estimate that this level of adjustment would recover $0.96 billion in FY 2014, with approximately $10.04 billion remaining to be addressed. We are not making any future adjustments at this time but note that if recoupment adjustments of approximately −0.8 percent are implemented in FYs 2014, 2015, 2016, and 2017, we estimate that the entire $11 billion will be recovered by the end of the statutory 4-year timeline.
- Refinement of the MS-DRG Relative Weight Calculation. We refer readers to section VI.C. of Appendix A of this final rule for the overall IPPS operating impact, which includes the impact for the refinement of the MS-DRG relative weight calculation. This impact models payments to various hospital types using relative weights developed from 19 CCRs as compared to 15 CCRs. As with other changes to the MS-DRGs, these changes are to be implemented in a budget neutral manner.
- Rebasing and Revision of the Hospital Market Baskets for Acute Care Hospitals.
The finalized FY 2010-based IPPS market basket update (as measured by percentage increase) for FY 2014 is currently forecasted to be the same as the market basket update based on the FY 2006-based IPPS market basket at 2.5 percent (currently used under the IPPS). Therefore, we are projecting that there will be no fiscal impact on the IPPS operating payment rates in FY 2014 as a result of the rebasing and revision of the IPPS market basket.
The FY 2010-based IPPS capital input price index update (as measured by percentage increase) for FY 2014 is currently forecasted to be 1.2 percent, 0.2 percentage point lower than the update based on the FY 2006-based capital input price index. Therefore, we are projecting that there will be a fiscal impact of −$16 million to the IPPS capital payments in FY 2014 as a result of this policy (0.2 percentage point * annual capital IPPS payments of approximately $8 billion).
In addition, we are updating the labor-related share under the IPPS for FY 2014 based on the final FY 2010-based IPPS market basket, which will result in a labor-related share of 69.6 percent (compared to the FY 2013 labor-related share of 68.8 percent) or 62 percent, depending on which results in higher payments to the hospital. For FY 2014, the labor-related share for the Puerto Rico-specific standardized amount will be either 63.2 percent or 62 percent, depending on which results in higher payments to the hospital. We are projecting that there will be no impact on aggregate IPPS payments as a result of this policy due to the statutory requirement that any changes to the IPPS area wage adjustment (including the labor-related share) are adopted in a budget neutral manner.
- Reduction to Hospital Payments for Excess Readmissions. The provisions of section 1886(q) of the Act which establishes the Hospital Readmissions Reduction Program are not budget neutral. For FY 2014, a hospital's readmissions payment adjustment factor is the higher of a ratio of a hospital's aggregate payments for excess readmissions to its aggregate payments for all discharges, or 0.98 (that is, or a 2-percent reduction). In this final rule, we estimate that the reduction to a hospital's base operating DRG payment amount to account for excess readmissions of selected applicable conditions under the Hospital Readmissions Reduction Program will result in a 0.2 percent decrease, or approximately −$227 million, in payments to hospitals for FY 2014.
- Value-Based Incentive Payments under the Hospital Value-Based Purchasing (VBP) Program. We estimate that there will be no net financial impact to the Hospital VBP Program for FY 2014 in the aggregate because, by law, the amount available for value-based incentive payments under the program in a given fiscal year must be equal to the total amount of base operating DRG payment amount reductions for that year, as estimated by the Secretary. The estimated amount of base operating DRG payment amount reductions for FY 2014, and therefore the estimated amount available for value-based incentive payments for FY 2014 discharges, is approximately $1.1 billion. We believe that the program's benefits will be seen in improved patient outcomes, safety, and in the patient's experience of care. However, we cannot estimate these benefits in actual dollar and patient terms.
- Implementation of the HAC Reduction Program for FY 2014. We note that there is no payment impact for FY 2014 for implementing the HAC Reduction Program. For FY 2015, we are presenting the overall impact of the HAC Reduction Program provision along with other IPPS payment provision impacts in section I.G. of Appendix A of this final rule.
- Counting of Inpatient Days in the Medicare Utilization Calculation. We believe our policy change to include labor and delivery days as inpatient days in the Medicare utilization calculation will result in a savings of approximately $19 million for FY 2014.
- Changes to the Medicare DSH Payment Adjustment and Provision of Additional Payment for Uncompensated Care. Under section 1886(r) of the Act (as added by section 3313 of the Affordable Care Act), disproportionate share payments to hospitals under section 1886(d)(5)(F) of the Act are reduced and an additional payment to eligible hospitals will be made beginning in FY 2014. Hospitals that receive Medicare DSH payments will receive 25 percent of the amount they previously would have received under the current statutory formula for Medicare DSH payments. The remainder, equal to 75 percent of what otherwise would have been paid as Medicare DSH payments, will be the basis for additional payments after the amount is reduced for changes in the percentage of individuals that are uninsured and additional statutory adjustments. Each hospital that receives Medicare DSH payments will receive an additional payment based on its share of the total uncompensated care amount reported by Medicare DSHs. The reduction to Medicare DSH payments is not budget neutral.
We are specifying that 75 percent of what otherwise would have been paid for Medicare DSH payments is adjusted to 94.3 percent of that amount for changes in the percentage of individuals that are uninsured and additional statutory adjustments. In other words, Medicare DSH payments prior to the application of section 3133 of the Affordable Care Act are adjusted to 70.7 percent (the product of 75 percent and 94.3 percent) and that resulting payment amount is used to create an additional payment for a hospital's relative uncompensated care. As a result, we project that the reduction of Medicare DSH payments and the inclusion of the additional payments will reduce payments overall by 0.4 percent as compared to Medicare DSH payments prior to the implementation of section 3133 of the Affordable Care Act. The additional payments have redistributive effects based on a hospital's uncompensated care amount relative to the uncompensated care amount for all hospitals that are estimated to receive Medicare DSH payments. These additional payments will be made through the claims processing system for each hospital discharge.
- Part B Hospital Inpatient Payment Policy. In this final rule, we are revising Medicare's policy for payment of Part B hospital inpatient services following the denial of a Part A hospital inpatient claim on the basis that the inpatient admission was not reasonable and necessary, but hospital outpatient services would have been reasonable and necessary in treating the beneficiary. We estimate that the final policy will result in an approximately $4.6 billion decrease in Medicare program expenditures over 5 years. In section XI. of the preamble of this final rule, we set forth a detailed analysis of the regulatory and Federalism impacts that the policy changes are expected to have on affected entities and beneficiaries.
- Admission and Medical Review Criteria for Hospital Inpatient Services under Medicare Part A. In this final rule, we are making changes relating to admission and medical review criteria for hospital inpatient admissions under Medicare Part A. One aspect of these changes is that hospital inpatient admissions spanning 2 midnights in the hospital will generally qualify as appropriate for payment under Medicare Part A. Our actuaries estimate that the change will increase IPPS expenditures by approximately $220 million due to an expected net increase in inpatient encounters. We are using our exceptions and adjustments authority under section 1886(d)(5)(I)(i) of the Act to make a reduction of 0.2 percent to the standardized amount, the Puerto Rico standardized amount, and the hospital-specific payment rate to offset this estimated $200 million in additional IPPS expenditures. We also are applying that 0.2 percent reduction to the capital Federal rates using our authority under section 1886(g) of the Act.
- Hospital Inpatient Quality Reporting (IQR) Program. We are providing that hospitals participating in the Hospital IQR Program will have the option to report a subset of measures electronically in CY 2014 for the FY 2016 payment determination. Under this policy, hospitals may choose to report the measures in four measure sets electronically or as chart-abstracted measures in CY 2014. For the FY 2016 payment determination, we also are removing seven measures (six chart-abstracted measures and one structural measure) and suspending one measure. We also are adopting five new claims-based measures for the FY 2016 payment determination and subsequent years. For the FY 2016 payment determination and subsequent years, we will validate two additional chart-abstracted HAI measures: MRSA bacteremia, and C. difficile. We also are reducing the number of records used for HAI validation from 48 records per year to 36 records per year beginning with the FY 2015 payment determination. Finally, we are allowing hospitals to submit patient charts for purposes of validation either in paper form or by means of electronic transmission. We believe the changes to the measure set, processes, and validation methodologies, the electronic submission of records for validation, as well as allowing hospitals to report certain measures electronically for the FY 2016 payment determination will result in improved program efficiency and begin the process of incorporating electronic reporting into the program. We estimate that the combination of these changes and the reduction in measures mentioned above will reduce burden hours by 700,000 hours annually.
- Update to the LTCH PPS Standard Federal Rate and Other Payment Factors. Based on the best available data for the 425 LTCHs in our database, we estimate that the changes we are presenting in the preamble and Addendum of this final rule, including the update to the standard Federal rate for FY 2014, the changes to the area wage adjustment for FY 2014, and the changes to short-stay outliers and high-cost outliers, will result in an increase in estimated payments from FY 2013 of approximately $72 million (or 1.3 percent). Although we generally project an increase in payments for all LTCHs in FY 2014 as compared to FY 2013, we expect rural LTCHs to experience slightly lower increases than the national average due to decreases in their wage index for FY 2014 compared to FY 2013. In addition, under current law, our moratoria on the full implementation of the “25-percent threshold” payment adjustment policy will expire for certain LTCHs for cost reporting periods beginning on or after October 1, 2013. These regulatory moratoria extended, for an additional year, the 5-year statutory moratorium on the application of the “25-percent threshold” payment adjustment policy as provided by section 114(c) of the MMSEA, as amended by section 4302(a) of the ARRA and sections 3106(a) and 10312(a) of the Affordable Care Act, which expired for cost reporting periods beginning on or after October 1, 2012 (“October LTCHs”), and for other LTCHs and LTCH satellite facilities for cost reporting periods beginning on or after July 1, 2012 (“July LTCHs”) (77 FR 53483 through 53484, as amended by the FY 2013 IPPS/LTCH PPS correcting amendment (77 FR 63751 through 63753)), as explained in section VIII.D. of the preamble of this proposed rule. We estimate that the expiration of the regulatory moratoria will result in a reduction in payments of $90 million to LTCHs. Overall, we estimate that the effect of the changes we are making for FY 2014 in conjunction with the expiration of the regulatory moratoria would result in a decrease in aggregate LTCH PPS payments in FY 2014 relative to FY 2013 of approximately -$18 million (that is, the estimated increase of $72 million plus the estimated reduction of $90 million, as described above).
B. Summary
1. Acute Care Hospital Inpatient Prospective Payment System (IPPS)
Section 1886(d) of the Social Security Act (the Act) sets forth a system of payment for the operating costs of acute care hospital inpatient stays under Medicare Part A (Hospital Insurance) based on prospectively set rates. Section 1886(g) of the Act requires the Secretary to use a prospective payment system (PPS) to pay for the capital-related costs of inpatient hospital services for these “subsection (d) hospitals.” Under these PPSs, Medicare payment for hospital inpatient operating and capital-related costs is made at predetermined, specific rates for each hospital discharge. Discharges are classified according to a list of diagnosis-related groups (DRGs).
The base payment rate is comprised of a standardized amount that is divided into a labor-related share and a nonlabor-related share. The labor-related share is adjusted by the wage index applicable to the area where the hospital is located. If the hospital is located in Alaska or Hawaii, the nonlabor-related share is adjusted by a cost-of-living adjustment factor. This base payment rate is multiplied by the DRG relative weight.
If the hospital treats a high percentage of certain low-income patients, it receives a percentage add-on payment applied to the DRG-adjusted base payment rate. This add-on payment, known as the disproportionate share hospital (DSH) adjustment, provides for a percentage increase in Medicare payments to hospitals that qualify under either of two statutory formulas designed to identify hospitals that serve a disproportionate share of low-income patients. For qualifying hospitals, the amount of this adjustment varies based on the outcome of the statutory calculations. The Affordable Care Act revised the Medicare DSH payment methodology and provides for a new additional Medicare payment that considers the amount of uncompensated care beginning on October 1, 2013.
If the hospital is an approved teaching hospital, it receives a percentage add-on payment for each case paid under the IPPS, known as the indirect medical education (IME) adjustment. This percentage varies, depending on the ratio of residents to beds.
Additional payments may be made for cases that involve new technologies or medical services that have been approved for special add-on payments. To qualify, a new technology or medical service must demonstrate that it is a substantial clinical improvement over technologies or services otherwise available, and that, absent an add-on payment, it would be inadequately paid under the regular DRG payment.
The costs incurred by the hospital for a case are evaluated to determine whether the hospital is eligible for an additional payment as an outlier case. This additional payment is designed to protect the hospital from large financial losses due to unusually expensive cases. Any eligible outlier payment is added to the DRG-adjusted base payment rate, plus any DSH, IME, and new technology or medical service add-on adjustments.
Although payments to most hospitals under the IPPS are made on the basis of the standardized amounts, some categories of hospitals are paid in whole or in part based on their hospital-specific rate, which is determined from their costs in a base year. For example, sole community hospitals (SCHs) receive the higher of a hospital-specific rate based on their costs in a base year (the highest of FY 1982, FY 1987, FY 1996, or FY 2006) or the IPPS Federal rate based on the standardized amount. Through and including FY 2006, a Medicare-dependent, small rural hospital (MDH) received the higher of the Federal rate or the Federal rate plus 50 percent of the amount by which the Federal rate is exceeded by the higher of its FY 1982 or FY 1987 hospital-specific rate. As discussed below, for discharges occurring on or after October 1, 2007, but before October 1, 2013, an MDH will receive the higher of the Federal rate or the Federal rate plus 75 percent of the amount by which the Federal rate is exceeded by the highest of its FY 1982, FY 1987, or FY 2002 hospital-specific rate. (We note that the statutory provision for payments to MDHs expires at the end of FY 2013, that is, on September 30, 2013.) SCHs are the sole source of care in their areas, and MDHs are a major source of care for Medicare beneficiaries in their areas. Specifically, section 1886(d)(5)(D)(iii) of the Act defines an SCH as a hospital that is located more than 35 road miles from another hospital or that, by reason of factors such as isolated location, weather conditions, travel conditions, or absence of other like hospitals (as determined by the Secretary), is the sole source of hospital inpatient services reasonably available to Medicare beneficiaries. In addition, certain rural hospitals previously designated by the Secretary as essential access community hospitals are considered SCHs. Section 1886(d)(5)(G)(iv) of the Act defines an MDH as a hospital that is located in a rural area, has not more than 100 beds, is not an SCH, and has a high percentage of Medicare discharges (not less than 60 percent of its inpatient days or discharges in its cost reporting year beginning in FY 1987 or in two of its three most recently settled Medicare cost reporting years). Both of these categories of hospitals are afforded this special payment protection in order to maintain access to services for beneficiaries.
Section 1886(g) of the Act requires the Secretary to pay for the capital-related costs of inpatient hospital services “in accordance with a prospective payment system established by the Secretary.” The basic methodology for determining capital prospective payments is set forth in our regulations at 42 CFR 412.308 and 412.312. Under the capital IPPS, payments are adjusted by the same DRG for the case as they are under the operating IPPS. Capital IPPS payments are also adjusted for IME and DSH, similar to the adjustments made under the operating IPPS. In addition, hospitals may receive outlier payments for those cases that have unusually high costs.
The existing regulations governing payments to hospitals under the IPPS are located in 42 CFR Part 412, Subparts A through M.
2. Hospitals and Hospital Units Excluded From the IPPS
Under section 1886(d)(1)(B) of the Act, as amended, certain hospitals and hospital units are excluded from the IPPS. These hospitals and units are: Rehabilitation hospitals and units; long-term care hospitals (LTCHs); psychiatric hospitals and units; children's hospitals; and cancer hospitals. Religious nonmedical health care institutions (RNHCIs) are also excluded from the IPPS. Various sections of the Balanced Budget Act of 1997 (BBA, Pub. L. 105-33), the Medicare, Medicaid and SCHIP [State Children's Health Insurance Program] Balanced Budget Refinement Act of 1999 (BBRA, Pub. L. 106-113), and the Medicare, Medicaid, and SCHIP Benefits Improvement and Protection Act of 2000 (BIPA, Pub. L. 106-554) provide for the implementation of PPSs for rehabilitation hospitals and units (referred to as inpatient rehabilitation facilities (IRFs)), LTCHs, and psychiatric hospitals and units (referred to as inpatient psychiatric facilities (IPFs)). (We note that the annual updates to the LTCH PPS are now included as part of the IPPS annual update document. Updates to the IRF PPS and IPF PPS are issued as separate documents.) Children's hospitals, cancer hospitals, and RNHCIs continue to be paid solely under a reasonable cost-based system subject to a rate-of-increase ceiling on inpatient operating costs.
The existing regulations governing payments to excluded hospitals and hospital units are located in 42 CFR Parts 412 and 413.
3. Long-Term Care Hospital Prospective Payment System (LTCH PPS)
The Medicare prospective payment system (PPS) for LTCHs applies to hospitals described in section 1886(d)(1)(B)(iv) of the Act effective for cost reporting periods beginning on or after October 1, 2002. The LTCH PPS was established under the authority of sections 123 of the BBRA and section 307(b) of the BIPA (as codified under section 1886(m)(1) of the Act). During the 5-year (optional) transition period, a LTCH's payment under the PPS was based on an increasing proportion of the LTCH Federal rate with a corresponding decreasing proportion based on reasonable cost principles. Effective for cost reporting periods beginning on or after October 1, 2006, all LTCHs are paid 100 percent of the Federal rate. The existing regulations governing payment under the LTCH PPS are located in 42 CFR Part 412, Subpart O. Beginning October 1, 2009, we issue the annual updates to the LTCH PPS in the same documents that update the IPPS (73 FR 26797 through 26798).
4. Critical Access Hospitals (CAHs)
Under sections 1814(l), 1820, and 1834(g) of the Act, payments made to critical access hospitals (CAHs) (that is, rural hospitals or facilities that meet certain statutory requirements) for inpatient and outpatient services are generally based on 101 percent of reasonable cost. Reasonable cost is determined under the provisions of section 1861(v)(1)(A) of the Act and existing regulations under 42 CFR Parts 413 and 415.
5. Payments for Graduate Medical Education (GME)
Under section 1886(a)(4) of the Act, costs of approved educational activities are excluded from the operating costs of inpatient hospital services. Hospitals with approved graduate medical education (GME) programs are paid for the direct costs of GME in accordance with section 1886(h) of the Act. The amount of payment for direct GME costs for a cost reporting period is based on the hospital's number of residents in that period and the hospital's costs per resident in a base year. The existing regulations governing payments to the various types of hospitals are located in 42 CFR Part 413.
C. Provisions of the Patient Protection and Affordable Care Act (Pub. L. 111-148), the Health Care and Education Reconciliation Act of 2010 (Pub. L. 111-152), and the American Taxpayer Relief Act of 2012 (ATRA) (Pub. L. 112-240)
The Patient Protection and Affordable Care Act (Pub. L. 111-148), enacted on March 23, 2010, and the Health Care and Education Reconciliation Act of 2010 (Pub. L. 111-152), enacted on March 30, 2010, made a number of changes that affect the IPPS and the LTCH PPS. (Pub. L. 111-148 and Pub. L. 111-152 are collectively referred to as the “Affordable Care Act.”) A number of the provisions of the Affordable Care Act affect the updates to the IPPS and the LTCH PPS and providers and suppliers. The provisions of the Affordable Care Act that were applicable to the IPPS and the LTCH PPS for FYs 2010, 2011, and 2012 were implemented in the June 2, 2010 Federal Register notice (75 FR 31118), the FY 2011 IPPS/LTCH PPS final rule (75 FR 50042) and the FY 2012 IPPS/LTCH PPS final rule (76 FR 51476).
The American Taxpayer Relief Act of 2012 (ATRA) (Pub. L. 112-240), enacted on January 2, 2013, also made a number of changes that affect the IPPS. We announced changes related to certain IPPS provisions for FY 2013 pursuant to sections 605 and 606 of Public Law 112-240 in a notice issued in the Federal Register on March 7, 2013 (78 FR 14689).
1. The Patient Protection and Affordable Care Act (Pub. L. 111-148) and the Health Care and Education Reconciliation Act of 2010 (Pub. L. 111-152)
In this final rule, we are implementing, or continuing in FY 2014 to implement, the following provisions (or portions of the following provisions) of the Affordable Care Act that are applicable to the IPPS, the LTCH PPS, and PPS-exempt cancer hospitals:
- Section 3001(a) of Public Law 111-148, which requires the establishment of a hospital inpatient value-based purchasing program under which value-based incentive payments are made in a fiscal year to hospitals that meet performance standards for the performance period for that fiscal year.
- Section 3004 of Public Law 111-148, which provides for the submission of quality data by LTCHs in order for them to receive the full annual update to the payment rates beginning with the FY 2014 rate year.
- Section 3005 of Public Law 111-148, which provides for the establishment of a quality reporting program for PPS-exempt cancer hospitals beginning with FY 2014, and for subsequent program years.
- Section 3008 of Public Law 111-148, which establishes the Hospital-Acquired Condition (HAC) Reduction Program and requires the Secretary to make an adjustment to hospital payments for applicable hospitals, effective for discharges beginning on October 1, 2014, and for subsequent program years.
- Section 3025 of Public Law 111-148, which establishes a hospital readmissions reduction program and requires the Secretary to reduce payments to applicable hospitals with excess readmissions effective for discharges beginning on or after October 1, 2012.
- Section 3133 of Public Law 111-148, as amended by section 10316 of Public Law 111-148 and section 1104 of Pub. L. 111-152, which modifies the methodologies for determining Medicare DSH payments and creates a new additional payment for uncompensated care.
- Section 3401 of Public Law 111-148, which provides for the incorporation of productivity adjustments into the market basket updates for IPPS hospitals and LTCHs.
- Section 10324 of Public Law 111-148, which provides for a wage adjustment for hospitals located in frontier States.
- Sections 3401 and 10319 of Public Law 111-148 and section 1105 of Public Law 111-152, which revise certain market basket update percentages for IPPS and LTCH PPS payment rates for FY 2014.
- Section 5506 of Public Law 111-148, which added a provision to the Act that instructs the Secretary to establish a process by regulation under which, in the event a teaching hospital closes, the Secretary will permanently increase the FTE resident caps for hospitals that meet certain criteria up to the number of the closed hospital's FTE resident caps. The Secretary is directed to ensure that the aggregate number of FTE resident cap slots distributed is equal to the amount of slots in the closed hospital's direct GME and IME FTE resident caps, respectively.
2. American Taxpayer Relief Act of 2012 (ATRA) (Pub. L. 112-240)
In this final rule, we are implementing or making conforming changes to regulation text in accordance with the following provisions (or portions of the following provisions) of the American Taxpayer Relief Act of 2012 that are applicable to the IPPS:
- Section 605, which amended sections 1886(d)(12)(B), (C)(i), and (D) of the Act to extend changes to the payment methodology for the Medicare inpatient hospital payment adjustment for low-volume hospitals through September 30, 2013 (FY 2013). Beginning with FY 2014, the preexisting low-volume hospital qualifying criteria and payment adjustment, as implemented in FY 2005, will resume.
- Section 606(a), which amended sections 1886(d)(5)(G)(i) and (ii)(II) of the Act to extend the MDH program through September 30, 2013 (FY 2013), and section 606(b), which made conforming amendments to sections 1886(b)(3)(D)(i) and (iv) of the Act and amended section 13501(e)(2) of the Omnibus Budget Reconciliation Act of 1993 to permit hospitals to decline reclassification through FY 2013.
- Section 631, which amended section 7(b)(1)(B) of Public Law 110-90 and requires a recoupment adjustment to the standardized amounts under section 1886(d) of the Act based upon the Secretary's estimates for discharges occurring in FY 2014 through FY 2017 to fully offset $11 billion (which represents the amount of the increase in aggregate payments from FYs 2008 through 2013 for which an adjustment was not previously applied).
D. Issuance of a Notice of Proposed Rulemaking
On May 10, 2013, we published in the Federal Register (78 FR 27486) a proposed rule that set forth proposed changes to the Medicare IPPS for operating costs and for capital-related costs of acute care hospitals for FY 2014. We also set forth proposed changes relating to payments for IME and GME costs and payments to certain hospitals that continue to be excluded from the IPPS and paid on a reasonable cost basis. In addition, in the proposed rule, we set forth proposed changes to the payment rates, factors, and other payment rate policies under the LTCH PPS for FY 2014.
Below is a summary of the major changes that we proposed to make:
1. Proposed Changes to MS-DRG Classifications and Recalibrations of Relative Weights
In section II. of the preamble of the proposed rule, we included—
- Proposed changes to MS-DRG classifications based on our yearly review.
- Proposed application of the documentation and coding adjustment for FY 2014 resulting from implementation of the MS-DRG system.
- A discussion of the Research Triangle Institute, International (RTI) reports and analyses relating to charge compression, including a proposal to calculate the MS-DRG relative weights using 19 CCRs.
- Proposed recalibrations of the MS-DRG relative weights.
- Proposed changes to hospital-acquired conditions (HACs) and a listing and discussion of HACs, including infections, that would be subject to the statutorily required adjustment in MS-DRG payments for FY 2014.
- A discussion of the FY 2014 status of new technologies approved for add-on payments for FY 2013 and a presentation of our evaluation and analysis of the FY 2014 applicants for add-on payments for high-cost new medical services and technologies (including public input, as directed by Pub. L. 108-173, obtained in a town hall meeting).
2. Proposed Changes to the Hospital Wage Index for Acute Care Hospitals
In section III. of the preamble to the proposed rule, we proposed revisions to the wage index for acute care hospitals and the annual update of the wage data. Specific issues addressed include the following:
- The proposed FY 2014 wage index update using wage data from cost reporting periods beginning in FY 2010.
- Analysis and implementation of the proposed FY 2014 occupational mix adjustment to the wage index for acute care hospitals, including the proposed application of the rural floor, the imputed rural floor calculated under the original and alternative methodologies, and the frontier State floor.
- Proposed revisions to the wage index for acute care hospitals based on hospital redesignations and reclassifications.
- The proposed adjustment to the wage index for acute care hospitals for FY 2014 based on commuting patterns of hospital employees who reside in a county and work in a different area with a higher wage index.
- The timetable for reviewing and verifying the wage data used to compute the proposed FY 2014 hospital wage index.
- Determination of the labor-related share for the proposed FY 2014 wage index.
3. Proposed Rebasing and Revision of the Hospital Market Baskets for Acute Care Hospitals
In section IV. of the preamble of the proposed rule, we proposed to rebase and revise the acute care hospital operating and capital market baskets to be used in developing the FY 2014 update factor for the operating and capital prospective payment rates and the FY 2014 update factor for the excluded hospital rate-of-increase limits. We also set forth the data sources used to determine the proposed revised market basket costs weights.
4. Other Decisions and Proposed Changes to the IPPS for Operating Costs and GME Costs
In section V. of the preamble of the proposed rule, we discussed proposed changes or clarifications of a number of the provisions of the regulations in 42 CFR Parts 412 and 413, including the following:
- Proposed changes to the inpatient hospital update for FY 2014, including incorporation of a productivity adjustment.
- The proposed updated national and regional case-mix values and discharges for purposes of determining RRC status.
- Proposed payment adjustment for low-volume hospitals for FY 2014.
- The statutorily required IME adjustment factor for FY 2014.
- Proposed changes to the methodologies for determining Medicare DSH payments and proposals to implement the new additional payments for uncompensated care.
- Discussion of the extension of the MDH program through FY 2013.
- Proposed changes to the rules for payment adjustments under the Hospital Readmissions Reduction Program based on hospital readmission measures and the process for hospital review and correction of those rates.
- Proposed changes to the requirements and provision of value-based incentive payments under the Hospital Value-Based Purchasing Program.
- Proposed requirements for payment adjustments to hospitals under the HAC Reduction Program.
- Proposal for counting labor and delivery inpatient days in the calculation of Medicare utilization for direct GME purposes and for other payment and eligibility purposes.
- Announcement of an additional closed hospital and redistribution of resident cap slots relating to direct GME and IME payments.
- Proposed clarifications of policies on payments for residents training in approved residency programs at CAHs.
- Announcement of the expiration of the inflation update freeze for high per resident amounts (PRAs).
- Discussion of the Rural Community Hospital Demonstration Program and a proposal for making a budget neutrality adjustment for the demonstration program.
- Extending the effective date of policies relating to hospital services furnished under arrangements.
- Proposed medical review policy that hospital stays in which the physician expects the patient to require a stay that crosses 2 midnights are generally appropriate for payment under Medicare Part A, while hospital stays in which the physician expects the patient to require a stay that does not cross 2 midnights are generally inappropriate for payment under Medicare Part A.
5. Proposed FY 2014 Policy Governing the IPPS for Capital-Related Costs
In section VI. of the preamble to the proposed rule, we discussed the proposed payment policy requirements for capital-related costs and capital payments to hospitals for FY 2014 and other related proposed policy changes.
6. Proposed Changes to the Payment Rates for Certain Excluded Hospitals: Rate-of-Increase Percentages
In section VII. of the preamble of the proposed rule, we discussed—
- Proposed changes to payments to certain excluded hospitals for FY 2014.
- Proposed changes to the conditions of participation (CoPs) relating to administration of pneumococcal vaccine and CAH payment for acute care inpatient services.
7. Proposed Changes to the LTCH PPS
In section VIII. of the preamble of the proposed rule, we set forth proposed changes to the payment rates, factors, and other payment rate policies under the LTCH PPS for FY 2014. We also noted that the moratorium on the full implementation of the “25-percent threshold” payment adjustment will expire for certain cost reporting periods beginning on or after October 1, 2013. In addition, in this section, we discussed the research being done by Kennell and Associates (Kennell) and its subcontractor, Research Triangle Institute, International (RTI), under a contract with CMS that is intended to inform the development of a payment adjustment under the LTCH PPS based on the establishment of LTCH patient criteria which were described in the proposed rule at 78 FR 27668 through 27676.
8. Proposed Changes Relating to Quality Data Reporting for Specific Providers and Suppliers
In section IX. of the preamble of the proposed rule, we addressed—
- Proposed requirements for the Hospital Inpatient Quality Reporting (IQR) Program as a condition for receiving the full applicable percentage increase.
- Proposed changes to the requirements for the quality reporting program for PPS-exempt cancer hospitals (PCHQR Program).
- Proposed changes to the requirements under the LTCH Quality Reporting (LTCHQR) Program.
- Proposed changes to the requirements under the Inpatient Psychiatric Facility Quality Reporting (IPFQR) Program.
9. Determining Prospective Payment Operating and Capital Rates and Rate-of-Increase Limits for Acute Care Hospitals
In the Addendum to the proposed rule, we set forth proposed changes to the amounts and factors for determining the proposed FY 2014 prospective payment rates for operating costs and capital-related costs for acute care hospitals. We proposed to establish the threshold amounts for outlier cases. In addition, we addressed the proposed update factors for determining the rate-of-increase limits for cost reporting periods beginning in FY 2014 for certain hospitals excluded from the IPPS.
10. Determining Prospective Payment Rates for LTCHs
In the Addendum to the proposed rule, we set forth proposed changes to the amounts and factors for determining the proposed FY 2014 prospective standard Federal rate. We proposed to establish the adjustments for wage levels, the labor-related share, the cost-of-living adjustment, and high-cost outliers, including the fixed-loss amount, and the LTCH cost-to-charge ratios (CCRs) under the LTCH PPS.
11. Impact Analysis
In Appendix A of the proposed rule, we set forth an analysis of the impact that the proposed changes would have on affected acute care hospitals, LTCHs, PCHs, and IPFs.
12. Recommendation of Update Factors for Operating Cost Rates of Payment for Hospital Inpatient Services
In Appendix B of the proposed rule, as required by sections 1886(e)(4) and (e)(5) of the Act, we provided our recommendations of the appropriate percentage changes for FY 2014 for the following:
- A single average standardized amount for all areas for hospital inpatient services paid under the IPPS for operating costs of acute care hospitals (and hospital-specific rates applicable to SCHs).
- Target rate-of-increase limits to the allowable operating costs of hospital inpatient services furnished by certain hospitals excluded from the IPPS.
- The standard Federal rate for hospital inpatient services furnished by LTCHs.
13. Discussion of Medicare Payment Advisory Commission Recommendations
Under section 1805(b) of the Act, MedPAC is required to submit a report to Congress, no later than March 15 of each year, in which MedPAC reviews and makes recommendations on Medicare payment policies. MedPAC's March 2013 recommendations concerning hospital inpatient payment policies address the update factor for hospital inpatient operating costs and capital-related costs for hospitals under the IPPS. We addressed these recommendations in Appendix B of the proposed rule. For further information relating specifically to the MedPAC March 2013 report or to obtain a copy of the report, contact MedPAC at (202) 220-3700 or visit MedPAC's Web site at: http://www.medpac.gov.
E. Public Comments Received in Response to the FY 2014 IPPS/LTCH PPS Proposed Rule
We received approximately 721 timely pieces of correspondence containing multiple comments on the FY 2014 IPPS/LTCH PPS proposed rule. We note that some of these public comments were outside of the scope of the proposed rule. These out-of-scope public comments are not addressed with policy responses in this final rule. Summaries of the public comments that are within the scope of the proposed rule and our responses to those public comments are set forth in the various sections of this final rule under the appropriate heading.
F. Finalization of the Proposed Rule on Medicare Part B Inpatient Billing in Hospitals
On March 18, 2013, we issued in the Federal Register (78 FR 16632) a proposed rule that proposed to revise Medicare's payment policies under Part B when a Part A hospital inpatient claim is denied because the inpatient admission was not reasonable and necessary, but hospital outpatient services would have been reasonable and necessary in treating the beneficiary. We received 392 timely pieces of correspondence in response to this proposed rule. In section XI. of this document, we summarize and respond to these public comments and discuss our final policies after taking into consideration the public comments we received.
II. Changes to Medicare Severity Diagnosis-Related Group (MS-DRG) Classifications and Relative Weights Back to Top
A. Background
Section 1886(d) of the Act specifies that the Secretary shall establish a classification system (referred to as diagnosis-related groups (DRGs)) for inpatient discharges and adjust payments under the IPPS based on appropriate weighting factors assigned to each DRG. Therefore, under the IPPS, Medicare pays for inpatient hospital services on a rate per discharge basis that varies according to the DRG to which a beneficiary's stay is assigned. The formula used to calculate payment for a specific case multiplies an individual hospital's payment rate per case by the weight of the DRG to which the case is assigned. Each DRG weight represents the average resources required to care for cases in that particular DRG, relative to the average resources used to treat cases in all DRGs.
Congress recognized that it would be necessary to recalculate the DRG relative weights periodically to account for changes in resource consumption. Accordingly, section 1886(d)(4)(C) of the Act requires that the Secretary adjust the DRG classifications and relative weights at least annually. These adjustments are made to reflect changes in treatment patterns, technology, and any other factors that may change the relative use of hospital resources.
B. MS-DRG Reclassifications
For general information about the MS-DRG system, including yearly reviews and changes to the MS-DRGs, we refer readers to the previous discussions in the FY 2010 IPPS/RY 2010 LTCH PPS final rule (74 FR 43764 through 43766), the FY 2011 IPPS/LTCH PPS final rule (75 FR 50053 through 50055), the FY 2012 IPPS/LTCH PPS final rule (76 FR 51485 through 51487), and the FY 2013 IPPS/LTCH PPS final rule (77 FR 53273).
C. Adoption of the MS-DRGs in FY 2008
For information on the adoption of the MS-DRGs in FY 2008, we refer readers to the FY 2008 IPPS final rule with comment period (72 FR 47140 through 47189).
D. FY 2014 MS-DRG Documentation and Coding Adjustment
1. Background on the Prospective MS-DRG Documentation and Coding Adjustments for FY 2008 and FY 2009 Authorized by Public Law 110-90
In the FY 2008 IPPS final rule with comment period (72 FR 47140 through 47189), we adopted the MS-DRG patient classification system for the IPPS, effective October 1, 2007, to better recognize severity of illness in Medicare payment rates for acute care hospitals. The adoption of the MS-DRG system resulted in the expansion of the number of DRGs from 538 in FY 2007 to 745 in FY 2008. (Currently, there are 751 MS-DRGs.) By increasing the number of MS-DRGs and more fully taking into account patient severity of illness in Medicare payment rates for acute care hospitals, MS-DRGs encourage hospitals to improve their documentation and coding of patient diagnoses.
In the FY 2008 IPPS final rule with comment period (72 FR 47175 through 47186), we indicated that the adoption of the MS-DRGs had the potential to lead to increases in aggregate payments without a corresponding increase in actual patient severity of illness due to the incentives for additional documentation and coding. In that final rule with comment period, we exercised our authority under section 1886(d)(3)(A)(vi) of the Act, which authorizes us to maintain budget neutrality by adjusting the national standardized amount, to eliminate the estimated effect of changes in coding or classification that do not reflect real changes in case-mix. Our actuaries estimated that maintaining budget neutrality required an adjustment of −4.8 percent to the national standardized amount. We provided for phasing in this −4.8 percent adjustment over 3 years. Specifically, we established prospective documentation and coding adjustments of −1.2 percent for FY 2008, −1.8 percent for FY 2009, and −1.8 percent for FY 2010.
On September 29, 2007, Congress enacted the TMA [Transitional Medical Assistance], Abstinence Education, and QI [Qualifying Individuals] Programs Extension Act of 2007, Public Law 110-90. Section 7(a) of Public Law 110-90 reduced the documentation and coding adjustment made as a result of the MS-DRG system that we adopted in the FY 2008 IPPS final rule with comment period to −0.6 percent for FY 2008 and −0.9 percent for FY 2009, and we finalized the FY 2008 adjustment through rulemaking, effective October 1, 2007 (72 FR 66886).
For FY 2009, section 7(a) of Public Law 110-90 required a documentation and coding adjustment of −0.9 percent, and we finalized that adjustment through rulemaking (73 FR 48447). The documentation and coding adjustments established in the FY 2008 IPPS final rule with comment period, which reflected the amendments made by Public Law 110-90, are cumulative. As a result, the −0.9 percent documentation and coding adjustment for FY 2009 was in addition to the −0.6 percent adjustment for FY 2008, yielding a combined effect of −1.5 percent.
2. Adjustment to the Average Standardized Amounts Required by Public Law 110-90
a. Prospective Adjustment Required by Section 7(b)(1)(A) of Public Law 110-90
Section 7(b)(1)(A) of Public Law 110-90 requires that, if the Secretary determines that implementation of the MS-DRG system resulted in changes in documentation and coding that did not reflect real changes in case-mix for discharges occurring during FY 2008 or FY 2009 that are different than the prospective documentation and coding adjustments applied under section 7(a) of Public Law 110-90, the Secretary shall make an appropriate adjustment under section 1886(d)(3)(A)(vi) of the Act. Section 1886(d)(3)(A)(vi) of the Act authorizes adjustments to the average standardized amounts for subsequent fiscal years in order to eliminate the effect of such coding or classification changes. These adjustments are intended to ensure that future annual aggregate IPPS payments are the same as the payments that otherwise would have been made had the prospective adjustments for documentation and coding applied in FY 2008 and FY 2009 reflected the change that occurred in those years.
b. Recoupment or Repayment Adjustments in FYs 2010 Through 2012 Required by Section 7(b)(1)(B) Public Law 110-90
If, based on a retroactive evaluation of claims data, the Secretary determines that implementation of the MS-DRG system resulted in changes in documentation and coding that did not reflect real changes in case-mix for discharges occurring during FY 2008 or FY 2009 that are different from the prospective documentation and coding adjustments applied under section 7(a) of Public Law 110-90, section 7(b)(1)(B) of Public Law 110-90 requires the Secretary to make an additional adjustment to the standardized amounts under section 1886(d) of the Act. This adjustment must offset the estimated increase or decrease in aggregate payments for FYs 2008 and 2009 (including interest) resulting from the difference between the estimated actual documentation and coding effect and the documentation and coding adjustment applied under section 7(a) of Public Law 110-90. This adjustment is in addition to making an appropriate adjustment to the standardized amounts under section 1886(d)(3)(A)(vi) of the Act as required by section 7(b)(1)(A) of Public Law 110-90. That is, these adjustments are intended to recoup (or repay, in the case of underpayments) spending in excess of (or less than) spending that would have occurred had the prospective adjustments for changes in documentation and coding applied in FY 2008 and FY 2009 precisely matched the changes that occurred in those years. Public Law 110-90 requires that the Secretary only make these recoupment or repayment adjustments for discharges occurring during FYs 2010, 2011, and 2012.
3. Retrospective Evaluation of FY 2008 and FY 2009 Claims Data
In order to implement the requirements of section 7 of Public Law 110-90, we performed a retrospective evaluation of the FY 2008 data for claims paid through December 2008 using the methodology first described in the FY 2009 IPPS/LTCH PPS final rule (73 FR 43768 and 43775) and later discussed in the FY 2010 IPPS/RY 2010 LTCH PPS final rule (74 FR 43768 through 43772). We performed the same analysis for FY 2009 claims data using the same methodology as we did for FY 2008 claims (75 FR 50057 through 50068). The results of the analysis for the FY 2011 proposed and final rules, and subsequent evaluations in FY 2012, supported that the 5.4 percent estimate accurately reflected the FY 2009 increases in documentation and coding under the MS-DRG system. We were persuaded by both MedPAC's analysis (as discussed in the FY 2011 IPPS/LTCH PPS final rule (75 FR 50064 through 50065)) and our own review of the methodologies recommended by various commenters that the methodology we employed to determine the required documentation and coding adjustments was sound.
As in prior years, the FY 2008, FY 2009, and FY 2010 MedPAR files are available to the public to allow independent analysis of the FY 2008 and FY 2009 documentation and coding effects. Interested individuals may still order these files through the Web site at: http://www.cms.gov/Research-Statistics-Data-and-Systems/Files-for-Order/LimitedDataSets/ by clicking on MedPAR Limited Data Set (LDS)-Hospital (National). This Web page describes the file and provides directions and further detailed instructions for how to order.
Persons placing an order must send the following: a Letter of Request, the LDS Data Use Agreement and Research Protocol (refer to the Web site for further instructions), the LDS Form, and a check for $3,655 to:
Mailing address if using the U.S. Postal Service: Centers for Medicare & Medicaid Services, RDDC Account, Accounting Division, P.O. Box 7520, Baltimore, MD 21207-0520.
Mailing address if using express mail: Centers for Medicare & Medicaid Services, OFM/Division of Accounting—RDDC, 7500 Security Boulevard, C3-07-11, Baltimore, MD 21244-1850.
4. Prospective Adjustments for FY 2008 and FY 2009 Authorized by Section 7(b)(1)(A) of Public Law 110-90
In the FY 2010 IPPS/RY 2010 LTCH PPS final rule (74 FR 43767 through 43777), we opted to delay the implementation of any documentation and coding adjustment until a full analysis of case-mix changes based on FY 2009 claims data could be completed. We refer readers to the FY 2010 IPPS/RY LTCH PPS final rule for a detailed description of our proposal, responses to comments, and finalized policy. After analysis of the FY 2009 claims data for the FY 2011 IPPS/LTCH PPS final rule (75 FR 50057 through 50073), we found a total prospective documentation and coding effect of 1.054 percent. After accounting for the −0.6 percent and the −0.9 percent documentation and coding adjustments in FYs 2008 and 2009, we found a remaining documentation and coding effect of 3.9 percent. As we have discussed, an additional cumulative adjustment of −3.9 percent would be necessary to meet the requirements of section 7(b)(1)(A) of Public Law 110-90 to make an adjustment to the average standardized amounts in order to eliminate the full effect of the documentation and coding changes that do not reflect real changes in case-mix on future payments. Unlike section 7(b)(1)(B) of Public Law 110-90, section 7(b)(1)(A) does not specify when we must apply the prospective adjustment, but merely requires us to make an “appropriate” adjustment. Therefore, as we stated in the FY 2011 IPPS/LTCH PPS final rule (75 FR 50061), we believe the law provided some discretion as to the manner in which we applied the prospective adjustment of −3.9 percent. As we discussed extensively in the FY 2011 IPPS/LTCH PPS final rule, it has been our practice to moderate payment adjustments when necessary to mitigate the effects of significant downward adjustments on hospitals, to avoid what could be widespread, disruptive effects of such adjustments on hospitals. Therefore, we stated that we believed it was appropriate to not implement the −3.9 percent prospective adjustment in FY 2011 because we finalized a −2.9 percent recoupment adjustment for that year. Accordingly, we did not propose a prospective adjustment under section 7(b)(1)(A) of Public Law 110-90 for FY 2011 (75 FR 23868 through 23870). We note that, as a result, payments in FY 2011 (and in each future year until we implemented the requisite adjustment) would be higher than they would have been if we had implemented an adjustment under section 7(b)(1)(A) of Public Law 110-90.
In the FY 2012 IPPS/LTCH PPS final rule (76 FR 51489 and 51497), we indicated that, because further delay of this prospective adjustment will result in a continued accrual of unrecoverable overpayments, it was imperative that we implement a prospective adjustment for FY 2012, while recognizing CMS' continued desire to mitigate the effects of any significant downward adjustments to hospitals. Therefore, we implemented a −2.0 percent prospective adjustment to the standardized amount to partially eliminate the full effect of the documentation and coding changes that do not reflect real changes in case-mix on future payments.
In the FY 2013 IPPS/LTCH PPS final rule (77 FR 53274 through 53276), we completed the prospective portion of the adjustment required under section 7(b)(1)(A) of Public Law 110-90 by finalizing a −1.9 percent adjustment to the standardized amount for FY 2013. We stated that this adjustment would remove the remaining effect of the documentation and coding changes that do not reflect real changes in case-mix that occurred in FY 2008 and FY 2009. We believe it was imperative to implement the full remaining adjustment, as any further delay would result in an overstated standardized amount in FY 2013 and any future years until a full adjustment is made.
We note again that delaying full implementation of the prospective portion of the adjustment required under section 7(b)(1)(A) of Public Law 110-90 until FY 2013 resulted in payments in FY 2010 through FY 2012 being overstated. These overpayments could not be recovered by CMS as section 7(b)(1)(B) of Public Law 110-90 limited recoupments to overpayments made in FY 2008 and FY 2009.
5. Recoupment or Repayment Adjustment Authorized by Section 7(b)(1)(B) of Public Law 110-90
As discussed in section II.D.3. of the preamble of this final rule, section 7(b)(1)(B) of Public Law 110-90 requires the Secretary to make an adjustment to the standardized amounts under section 1886(d) of the Act to offset the estimated increase or decrease in aggregate payments for FY 2008 and FY 2009 (including interest) resulting from the difference between the estimated actual documentation and coding effect and the documentation and coding adjustments applied under section 7(a) of Public Law 110-90. This determination must be based on a retrospective evaluation of claims data. Our actuaries estimated that this 5.8 percentage point increase resulted in an increase in aggregate payments of approximately $6.9 billion. Therefore, as discussed in the FY 2011 IPPS/LTCH PPS final rule (75 FR 50062 through 50067), we determined that an aggregate adjustment of −5.8 percent in FYs 2011 and 2012 would be necessary in order to meet the requirements of section 7(b)(1)(B) of Public Law 110-90 to adjust the standardized amounts for discharges occurring in FYs 2010, 2011, and/or 2012 to offset the estimated amount of the increase in aggregate payments (including interest) in FYs 2008 and 2009.
It is often our practice to phase in rate adjustments over more than one year in order to moderate the effect on rates in any one year. Therefore, consistent with the policies that we have adopted in many similar cases, in the FY 2011 IPPS/LTCH PPS final rule, we made an adjustment to the standardized amount of −2.9 percent, representing approximately half of the aggregate adjustment required under section 7(b)(1)(B) of Public Law 110-90, for FY 2011. An adjustment of this magnitude allowed us to moderate the effects on hospitals in one year while simultaneously making it possible to implement the entire adjustment within the timeframe required under section 7(b)(1)(B) of Public Law 110-90 (that is, no later than FY 2012). For FY 2012, in accordance with the timeframes set forth by section 7(b)(1)(B) of Public Law 110-90, and consistent with the discussion in the FY 2011 IPPS/LTCH PPS final rule, we completed the recoupment adjustment by implementing the remaining −2.9 percent adjustment, in addition to removing the effect of the −2.9 percent adjustment to the standardized amount finalized for FY 2011 (76 FR 51489 and 51498). Because these adjustments, in effect, balanced out, there was no year-to-year change in the standardized amount due to this recoupment adjustment for FY 2012. In the FY 2013 IPPS/LTCH PPS final rule (77 FR 53276), we made a final +2.9 percent adjustment to the standardized amount, completing the recoupment portion of section 7(b)(1)(B) of Public Law 110-90. We note that with this positive adjustment, according to our estimates, all overpayments made in FY 2008 and FY 2009 have been fully recaptured with appropriate interest, and the standardized amount has been returned to the appropriate baseline.
6. Recoupment or Repayment Adjustment Authorized by Section 631 of the American Taxpayer Relief Act of 2012 (ATRA)
Section 631 of the ATRA amended section 7(b)(1)(B) of Public Law 110-90 to require the Secretary to make a recoupment adjustment or adjustments totaling $11 billion by FY 2017. This adjustment represents the amount of the increase in aggregate payments as a result of not completing the prospective adjustment authorized under section 7(b)(1)(A) of Public Law 110-90 until FY 2013. As discussed earlier, this delay in implementation resulted in overstated payment rates in FYs 2010, 2011, and 2012. The resulting overpayments could not have been recovered under Public Law 110-90.
Similar to the adjustments authorized under section 7(b)(1)(B) of Public Law 110-90, the adjustment required under section 631 of the ATRA is a one-time recoupment of a prior overpayment, not a permanent reduction to payment rates. Therefore, any adjustment made to reduce rates in one year would eventually be offset by a positive adjustment, once the necessary amount of overpayment is recovered.
As we stated in the FY 2014 IPPS/LTCH PPS proposed rule (78 FR 27504 through 27505), our actuaries estimate that a −9.3 percent adjustment to the standardized amount would be necessary if CMS were to fully recover the $11 billion recoupment required by section 631 of the ATRA in FY 2014. In its March 2013 “Report to Congress: Medicare Payment Policy,” MedPAC estimates that a −2.4 percent adjustment made in FY 2014, and not removed until FY 2018, also would recover the required recoupment amount. It is often our practice to delay or phase in rate adjustments over more than one year, in order to moderate the effect on rates in any one year. Therefore, consistent with the policies that we have adopted in many similar cases, in the FY 2014 IPPS/LTCH PPS proposed rule (78 FR 27504 through 27505), we proposed a −0.8 percent recoupment adjustment to the standardized amount in FY 2014. As we stated in the proposed rule, we estimate that this level of adjustment would recover up to $0.96 billion in FY 2014, with at least $10.04 billion remaining to be recovered by FY 2017. If adjustments of approximately −0.8 percent are implemented in FYs 2014, 2015, 2016, and 2017, using standard inflation factors, we estimate that the entire $11 billion would be accounted for by the end of the statutory 4-year timeline. As estimates of any future adjustments are subject to slight variations in total savings, we did not propose specific adjustments for FYs 2015, 2016, or 2017 at that time. We stated that we believe that this level of adjustment for FY 2014 is a reasonable and fair approach that satisfies the requirements of the statute while mitigating extreme annual fluctuations in payment rates. In addition, we again noted that this −0.8 percent recoupment adjustment, and future adjustments under this authority, will be eventually offset by an equivalent positive adjustment once the full $11 billion recoupment requirement has been realized.
We discuss the comments we received on this proposal and our final policy for FY 2014 in the section below.
7. Additional Prospective Adjustments for the MS-DRG Documentation and Coding Effect Through FY 2010 Authorized Under Section 1886(d)(3)(A)(vi) of the Act
Section 1886(d)(3)(A)(vi) of the Act authorizes adjustments to the average standardized amounts if the Secretary determines such adjustments to be necessary for any subsequent fiscal years in order to eliminate the effect of coding or classification changes that do not reflect real changes in case-mix. After review of comments and recommendations received in a FY 2012 public comment letter from MedPAC (available on the Internet at: http://www.medpac.gov/documents/06172011_FY12IPPS_MedPAC_COMMENT.pdf), we analyzed claims data in FY 2010 to determine whether any additional adjustment would be appropriate to ensure that the introduction of MS-DRGs was implemented in a budget neutral manner. We analyzed FY 2010 data on claims paid through December 2011 using the same claims-based methodology as described in previous rulemaking (73 FR 43768 and 43775). We determined a total additional prospective documentation and coding effect of 0.8 percent through FY 2010 and found that this effect was present for both IPPS hospitals paid with the standardized amount and IPPS hospitals paid using their hospital-specific payment rates.
In the FY 2013 IPPS/LTCH PPS proposed rule (77 FR 27890), we proposed an additional −0.8 percent prospective adjustment to the standardized amount to account for this effect. We indicated that this additional prospective adjustment of −0.8 percent, when combined with the other prospective MS-DRG documentation and coding adjustments already made or proposed would eliminate the future effect of MS-DRG documentation and coding that did not reflect real changes in case-mix for discharges occurring through FY 2010. As discussed in the FY 2013 IPPS/LTCH PPS final rule (77 FR 53278 through 53280), numerous commenters objected to the CMS proposal to make an adjustment to account for payment increases due to MS-DRG documentation and coding that did not reflect real changes in case-mix for discharges occurring through FY 2010. Many commenters continued to assert that our estimates of documentation and coding were overstated, and could be explained by other factors. These commenters also focused on part of the analysis provided by MedPAC in its FY 2012 public comment letter indicating that a slightly smaller additional prospective adjustment of −0.55 percent rather than −0.8 percent might be required to offset the cumulative MS-DRG documentation and coding effect through FY 2010. Specifically, while MedPAC supported the overall methodology, it suggested that it was possible that changes in documentation and coding to optimize payments under the MS-DRG GROUPERs and relative weights may have resulted in slightly less than optimal payments under the FY 2007 GROUPER and relative weights (the denominator of the documentation and coding change estimate). Many commenters requested that, given the MedPAC analysis, if CMS were to apply an additional prospective adjustment to the MS-DRG documentation and coding effect through FY 2010, it should subtract 0.25 percentage points from its estimate, for an adjustment of −0.55 percent.
After considering the public comments, we recognized that the issue of the estimate to use for the cumulative MS-DRG documentation and coding effect through FY 2010 may merit further consideration. Therefore, as discussed in the FY 2013 IPPS/LTCH PPS final rule (77 FR 53278 through 53280), we decided not to finalize the proposed −0.8 percent adjustment to the standardized amount and the hospital-specific rate until more analysis could be completed.
CMS is continuing to consider whether MedPAC's recommendation that an adjustment to offset the cumulative documentation and coding effects through FY 2010 under section 1886(d)(3)(A)(vi) of the Act is appropriate and supported by a review of the claims data. After further consideration of the MedPAC analysis and the request by many public commenters, if we were to apply an additional prospective adjustment for the cumulative MS-DRG documentation and coding effect through FY 2010, we believe the most appropriate additional adjustment is −0.55 percent.
As discussed in section II.D.6. of the preamble of the FY 2014 IPPS/LTCH PPS proposed rule (78 FR 27505), because we proposed a −0.8 percent recoupment adjustment, we did not propose a prospective adjustment in FY 2014 for the cumulative MS-DRG documentation and coding effect through FY 2010. However, we solicited public comments as to whether any portion of the proposed −0.8 percent recoupment adjustment should be reduced and instead applied to a prospective adjustment for the cumulative MS-DRG documentation and coding effect through FY 2010. For example, we could apply a −0.25 percent recoupment adjustment, and a −0.55 prospective adjustment, for a total FY 2014 adjustment of −0.8 percent. Reducing the recoupment adjustment in FY 2014 would require relatively larger adjustments for FYs 2015, 2016, and/or 2017, but making a prospective adjustment of −0.55 percent would eliminate future payment increases due to MS-DRG documentation and coding that did not reflect real changes in case-mix for discharges occurring through FY 2010. As we discuss above, because the documentation and coding effect through FY 2010 was found for both IPPS hospitals paid with the standardized amount and IPPS hospitals paid under their hospital-specific payment rate, if we were to apply a prospective adjustment to remove this effect, we also would apply such an adjustment to the hospital-specific payment rate, using the Secretary's broad authority under section 1886(d)(5)(I)(i) of the Act (77 FR 53276 through 53277). Therefore, if we attribute a portion of the −0.8 percent adjustment for FY 2014 to the prospective adjustment, we also would make appropriate adjustments to the hospital-specific payment rates. Puerto Rico-specific rates would not be affected, as we previously found no significant additional MS-DRG documentation and coding effect for FY 2010 that would warrant any additional adjustment to the Puerto Rico-specific rate (77 FR 53279).
Comment: The majority of commenters were satisfied with CMS' proposal to phase in the $11 billion adjustment required under section 631 of the ATRA. Commenters encouraged CMS to continue to implement the required adjustment gradually through FY 2017.
Response: We concur with commenters that a gradual implementation of this adjustment is the most prudent course of action. We believe that the proposed level of adjustment for FY 2014 is a reasonable and fair approach that satisfies the requirements of the statute while mitigating extreme annual fluctuations in payment rates. Therefore, we are finalizing a −0.8 percent documentation and coding adjustment to the standardized amount for FY 2014.
Comment: Many commenters, including a national hospital association, were appreciative that CMS has reduced its original estimate of FY 2010 documentation and coding effects from 0.8 percent to 0.55 percent and believed that the 0.8 estimate was overstated. However, some commenters contended that this overstatement was not limited to FY 2010 alone. These commenters, while continuing to fundamentally disagree with the validity of underlying methodology employed by CMS, as previously described in the FY 2013 IPPS/LTCH PPS final rule (77 FR 53274-53275), requested that a prospective adjustment for any documentation and coding effect determined to have occurred in FY 2010 be partially or wholly offset by any similar overstatement that occurred in the adjustments made for documentation and coding effects that occurred during FY 2008 and FY 2009.
Response: In the proposed rule (78 FR 27505), we acknowledged that, after further consideration of the MedPAC analysis of claims data, if we were to apply an additional prospective adjustment for the cumulative MS-DRG documentation and coding effect through FY 2010, we believe the most appropriate additional adjustment is −0.55 percent, rather than the adjustment proposed in prior rulemaking of −0.8 percent. With respect to our previously finalized recoupment adjustments for documentation and coding effects in FY 2008 and FY 2009, however, we note, as discussed earlier, that section 7(b)(1)(B) of Public Law 110-90 required the Secretary to make the FY 2008 and FY 2009 recoupment adjustments based on estimates and also required that the Secretary make these adjustments for discharges occurring only in FYs 2010, 2011, and/or 2012. The Secretary made the FY 2008 and FY 2009 recoupment adjustments to the standardized amounts for discharges occurring in FY 2011 and FY 2012 based on the best estimates available at the time. We also note that section 631 of the ATRA states that the $11 billion recoupment figure “represents the amount of the increase in aggregate payments from fiscal years 2008 through 2013 for which an adjustment was not previously applied.” Any adjustment to the FY 2008 and FY 2009 recoupment, therefore, is subsumed in the $11 billion recoupment figure.
Comment: Many commenters requested that CMS not apply any of the proposed −0.8 percent recoupment adjustment as a prospective adjustment to account for any MS-DRG documentation and coding effect that occurred in FY 2010. In addition to overall concerns with CMS' methodology, commenters indicated that any prospective adjustment in addition to the recoupment required by section 631 of the ATRA would be too financially burdensome, and would be contrary to the agency's stated goal of mitigating extreme fluctuations in payment rates.
MedPAC recommended that CMS implement the full −0.55 percent prospective adjustment for FY 2010 documentation and coding in FY 2014, reducing the FY 2014 recoupment adjustment to −0.25 percent. While MedPAC acknowledged that such an action would require relatively larger adjustments in FYs 2015 through 2017 to satisfy the $11 billion recoupment requirement, it pointed out that further delay of FY 2010 documentation and coding adjustments would lead to overpayments in future fiscal years, and that, in general, prospective adjustments should be prioritized over retroactive adjustments.
Response: We have considered all of the comments received. While we are firmly committed to ensuring that changes in documentation and coding do not lead to increases in payments, we have decided not to apply a prospective adjustment to account for any documentation and coding effect that occurred in FY 2010 at this time. We note that the $11 billion recoupment required by section 631 of the ATRA will require additional documentation and coding adjustments between FY 2014 and FY 2017. If we were to apply a −0.55 percent prospective documentation and coding adjustment for FY 2014, we would be concerned that additional larger adjustments will be needed in future years to recoup the $11 billion required by ATRA. We will continue to take into account public input and any future legislation on this issue.
Comment: Several commenters opposed the implementation of any prospective adjustment to the hospital-specific rate. Similar to comments submitted in response to the FY 2013 IPPS/LTCH PPS proposed rule, as summarized in the FY 2013 IPPS/LTCH PPS final rule (77 FR 53277), commenters stated that the broad authority granted to the Secretary in section 1886(d)(5)(I)(i) of the Act is not so broad as to extend the scope of a legislative directive that was specifically limited to hospitals paid under a prospective payment system. Commenters also contended that the plain language of section 7(b)(1) of Public Law 110-90, as amended by the ATRA, provides clear instructions that the documentation and coding adjustment is only intended to apply to the standardized amounts.
Response: We continue to disagree that we do not have the authority to make prospective documentation and coding adjustments to the hospital-specific rates. We do not believe that the language in section 7(b)(1) of Public Law 110-90, as amended by the ATRA, or in section 1886(d)(3)(A)(iv) of the Act creates a limit on the broad authority granted under section 1886(d)(5)(I) of the Act. We have discussed the basis for applying any such prospective adjustment to the hospital-specific rate in our prior rules, beginning with the FY 2009 IPPS/LTCH PPS final rule (73 FR 48448). We also note that the proposed −0.8 percent recoupment adjustment for FY 2014 pursuant to section 631 of ATRA, which we are finalizing in this final rule, applies only to the standardized amount and not to the hospital-specific rates. Section 631 of the ATRA does not provide authority for a recoupment adjustment to the hospital-specific rate. However, as discussed in the FY 2010 IPPS/LTCH final rule (74 FR 24098), the FY 2011 IPPS/LTCH PPS final rule (75 FR 50067 through 50071), the FY 2012 IPPS/LTCH PPS (76 FR 51498 through 51499), and the FY 2013 IPPS/LTCH PPS final rule (75 FR 53277 through 53278), we continue to believe that any prospective documentation and coding adjustments applied to the standardized amount should also be similarly applied to the hospital-specific rate. As discussed in the previous response, we are not making any prospective adjustment in FY 2014 to account for FY 2010 documentation and coding effects. Therefore, no documentation and coding adjustment will be applied to the hospital-specific rate in FY 2014.
E. Refinement of the MS-DRG Relative Weight Calculation
1. Background
Beginning in FY 2007, we implemented relative weights for DRGs based on cost report data instead of charge information. We refer readers to the FY 2007 IPPS final rule (71 FR 47882) for a detailed discussion of our final policy for calculating the cost-based DRG relative weights and to the FY 2008 IPPS final rule with comment period (72 FR 47199) for information on how we blended relative weights based on the CMS DRGs and MS-DRGs.
As we implemented cost-based relative weights, some public commenters raised concerns about potential bias in the weights due to “charge compression,” which is the practice of applying a higher percentage charge markup over costs to lower cost items and services, and a lower percentage charge markup over costs to higher cost items and services. As a result, the cost-based weights would undervalue high-cost items and overvalue low-cost items if a single CCR is applied to items of widely varying costs in the same cost center. To address this concern, in August 2006, we awarded a contract to the Research Triangle Institute, International (RTI) to study the effects of charge compression in calculating the relative weights and to consider methods to reduce the variation in the cost-to-charge ratios (CCRs) across services within cost centers. For a detailed summary of RTI's findings, recommendations, and public comments that we received on the report, we refer readers to the FY 2009 IPPS/LTCH PPS final rule (73 FR 48452 through 48453). In addition, we refer readers to RTI's July 2008 final report titled “Refining Cost to Charge Ratios for Calculating APC and MS-DRG Relative Payment Weights” (http://www.rti.org/reports/cms/HHSM-500-2005-0029I/PDF/Refining_Cost_to_Charge_Ratios_200807_Final.pdf).
In the FY 2009 IPPS/LTCH PPS final rule (73 FR 48458 through 48467), in response to the RTI's recommendations concerning cost report refinements, we discussed our decision to pursue changes to the cost report to split the cost center for Medical Supplies Charged to Patients into one line for “Medical Supplies Charged to Patients” and another line for “Implantable Devices Charged to Patients.” We acknowledged, as RTI had found, that charge compression occurs in several cost centers that exist on the Medicare cost report. However, as we stated in the FY 2009 IPPS/LTCH PPS final rule, we focused on the CCR for Medical Supplies and Equipment because RTI found that the largest impact on the MS-DRG relative weights could result from correcting charge compression for devices and implants. In determining the items that should be reported in these respective cost centers, we adopted the commenters' recommendations that hospitals should use revenue codes established by the AHA's National Uniform Billing Committee to determine the items that should be reported in the “Medical Supplies Charged to Patients” and the “Implantable Devices Charged to Patients” cost centers. Accordingly, a new subscripted line for “Implantable Devices Charged to Patients” was created in July 2009. This new subscripted cost center has been available for use for cost reporting periods beginning on or after May 1, 2009.
As we discussed in the FY 2009 IPPS final rule (73 FR 48458) and in the CY 2009 OPPS/ASC final rule with comment period (73 FR 68519 through 68527), in addition to the findings regarding implantable devices, RTI also found that the costs and charges of computed tomography (CT) scans, magnetic resonance imaging (MRI), and cardiac catheterization differ significantly from the costs and charges of other services included in the standard associated cost center. RTI also concluded that both the IPPS and the OPPS relative weights would better estimate the costs of those services if CMS were to add standard cost centers for CT scans, MRIs, and cardiac catheterization in order for hospitals to report separately the costs and charges for those services and in order for CMS to calculate unique CCRs to estimate the costs from charges on claims data. In the FY 2011 IPPS/LTCH PPS final rule (75 FR 50075 through 50080), we finalized our proposal to create standard cost centers for CT scans, MRIs, and cardiac catheterization, and to require that hospitals report the costs and charges for these services under new cost centers on the revised Medicare cost report Form CMS-2552-10. (We refer readers to the FY 2011 IPPS/LTCH PPS final rule (75 FR 50075 through 50080) for a detailed discussion of the reasons for the creation of standard cost centers for CT scans, MRIs, and cardiac catheterization.) The new standard cost centers for CT scans, MRIs, and cardiac catheterization are effective for cost reporting periods beginning on or after May 1, 2010, on the revised cost report Form CMS-2552-10.
In the FY 2009 IPPS final rule (73 FR 48468), we stated that, due to what is typically a 3-year lag between the reporting of cost report data and the availability for use in ratesetting, we anticipated that we might be able to use data from the new “Implantable Devices Charged to Patients” cost center to develop a CCR for “Implantable Devices Charged to Patients” in the FY 2012 or FY 2013 IPPS rulemaking cycle. However, as noted in the FY 2010 IPPS/RY 2010 LTCH PPS final rule (74 FR 43782), due to delays in the issuance of the revised cost report Form CMS 2552-10, we determined that a new CCR for “Implantable Devices Charged to Patients” might not be available before FY 2013. Similarly, when we finalized the decision in the FY 2011 IPPS/LTCH PPS final rule to add new cost centers for CT scans, MRIs, and cardiac catheterization, we explained that data from any new cost centers that may be created will not be available until at least 3 years after they are first used (75 FR 50077). In preparation for the FY 2012 IPPS rulemaking, we checked the availability of data in the “Implantable Devices Charged to Patients” cost center on the FY 2009 cost reports, but we did not believe that there was a sufficient amount of data from which to generate a meaningful analysis in this particular situation. Therefore, we did not propose to use data from the “Implantable Devices Charged to Patients” cost center to create a distinct CCR for “Implantable Devices Charged to Patients” for use in calculating the MS-DRG relative weights for FY 2012. We indicated that we would reassess the availability of data for the “Implantable Devices Charged to Patients” cost center for the FY 2013 IPPS/LTCH PPS rulemaking cycle and, if appropriate, we would propose to create a distinct CCR at that time.
During the development of the FY 2013 IPPS/LTCH PPS proposed and final rules, hospitals were still in the process of transitioning from the previous cost report Form CMS-2552-96 to the new cost report Form CMS-2552-10. Therefore, we were able to access only those cost reports in the FY 2010 HCRIS with fiscal year begin dates on or after October 1, 2009, and before May 1, 2010; that is, those cost reports on Form CMS-2552-96. Data from the Form CMS-2552-10 cost reports were not available because cost reports filed on the Form CMS-2552-10 were not accessible in the HCRIS. Further complicating matters was that, due to additional unforeseen technical difficulties, the corresponding information regarding charges for implantable devices on hospital claims was not yet available to us in the MedPAR file. Without the breakout in the MedPAR file of charges associated with implantable devices to correspond to the costs of implantable devices on the cost report, we believed that we had no choice but to continue computing the relative weights with the current CCR that combines the costs and charges for supplies and implantable devices. We stated in the FY 2013 IPPS/LTCH PPS final rule (77 FR 53281 through 53283) that when we do have the necessary data for supplies and implantable devices on the claims in the MedPAR file to create distinct CCRs for the respective cost centers for supplies and implantable devices, we hoped that we would also have data for an analysis of creating distinct CCRs for CT scans, MRIs, and cardiac catheterization, which could then be finalized through rulemaking.
2. Discussion of Proposed and Final Policy for FY 2014
As we stated in the FY 2014 IPPS/LTCH PPS proposed rule (78 FR 27506-27507), to calculate the proposed FY 2014 MS-DRG relative weights, we proposed to continue our current methodology of using the two most recent data sources: The December 2012 update of the FY 2012 MedPAR file as the claims data source and the December 2012 update of FY 2011 HCRIS as the cost data source. At the time of the development of the proposed rule, we had a substantial number of hospitals completing all, or some, of these new cost centers on the FY 2011 Medicare cost reports, compared to prior years. Specifically, using the December 2012 update of FY 2011 HCRIS, we were able to calculate a valid implantable device CCR for 2,285 IPPS hospitals, a valid MRI CCR for 1,402 IPPS hospitals, a valid CT scan CCR for 1,470 IPPS hospitals, and a valid cardiac catheterization CCR for 1,022 IPPS hospitals. In the FY 2013 IPPS/LTCH PPS final rule (77 FR 53281), we stated that prior to proposing to create these CCRs, we would first thoroughly analyze and determine the impacts of the data, and that distinct CCRs for these new cost centers would be used in the calculation of the relative weights only if they were first finalized through rulemaking.
In the FY 2014 IPPS/LTCH PPS proposed rule (78 FR 27507), we stated that we believe that there is a sufficient amount of data in the FY 2011 cost reports from which to generate a meaningful analysis of using distinct CCRs for implantable devices, MRIs, CT scans, and cardiac catheterization. In addition, the corresponding charge data on hospital claims for implantable devices, MRIs, CT scans, and cardiac catheterization are available in the FY 2012 MedPAR file. Therefore, in the proposed rule, we provided various data analyses based on comparison of the FY 2014 relative weights computed using 15 CCRs, as we have done in the past, and the FY 2014 relative weights computed using 19 CCRs, with distinct CCRs for implantable devices, MRIs, CT scans, and cardiac catheterization. Specifically, rather than having a single CCR for “Supplies and Equipment” which includes low-cost supplies and high-cost implantable devices, we proposed that a distinct CCR would be carved out of the “Supplies and Equipment” CCR, leaving one CCR for “Supplies” and one CCR for “Implantable Devices.” Regarding the Radiology CCR, which currently is comprised of general radiology ancillary services and MRIs and CT scans, we proposed that the costs for MRIs and CT scans would be separated from general radiology, creating two distinct CCRs, one for MRIs and one for CT scans, respectively. Finally, by separating the costs of cardiac catheterization out of the CCR for general cardiology, we proposed that a distinct CCR would be created for cardiac catheterization. Thus, by breaking out these 4 additional CCRs, the number of CCRs used to calculate the relative weights would increase from 15 to 19.
In the FY 2014 IPPS/LTCH PPS proposed rule (78 FR 27507), for comparison purposes, we included the following table to show the final FY 2013 CCRs, the potential FY 2014 CCRs computed with the existing 15 cost centers, and the potential FY 2014 CCRs computed with 19 cost centers, with 4 new CCRs for implantable devices, MRIs, CT scans, and cardiac catheterization.
| Group | Final FY 2013 15 CCRs | Potential FY 2014 15 CCRs | Potential FY 2014 19 CCRs |
|---|---|---|---|
| Routine days | 0.514 | 0.502 | 0.502 |
| Intensive days | 0.442 | 0.423 | 0.423 |
| Drugs | 0.199 | 0.193 | 0.193 |
| Supplies & Equipment | 0.335 | 0.327 | 0.293 |
| Implantable Devices | n/a | n/a | 0.361 |
| Therapy Services | 0.370 | 0.355 | 0.355 |
| Laboratory | 0.143 | 0.133 | 0.133 |
| Operating Room | 0.238 | 0.225 | 0.225 |
| Cardiology | 0.145 | 0.134 | 0.132 |
| Cardiac Catheterization | n/a | n/a | 0.135 |
| Radiology | 0.136 | 0.128 | 0.170 |
| MRI | n/a | n/a | 0.091 |
| CT Scans | n/a | n/a | 0.045 |
| Emergency Room | 0.226 | 0.207 | 0.207 |
| Blood | 0.389 | 0.371 | 0.371 |
| Other Services | 0.397 | 0.399 | 0.399 |
| Labor & Delivery | 0.450 | 0.445 | 0.445 |
| Inhalation Therapy | 0.189 | 0.187 | 0.187 |
| Anesthesia | 0.109 | 0.120 | 0.120 |
In order to model the effects on the relative weights in medical MS-DRGs versus surgical MS-DRGs, in the FY 2014 IPPS/LTCH PPS proposed rule (78 FR 27507-8), we compared a set of relative weights calculated with 15 CCRs and 19 CCRs. Based on the data available at the time of the development of the proposed rule, overall, if the 19 CCRs would be used to calculate the proposed relative weights for FY 2014, relative weights for medical MS-DRGs would be expected to decrease by approximately 1.1 percent, and those for surgical MS-DRGs would be expected to increase by approximately 1.2 percent. In addition, as shown in the table below included in the FY 2014 IPPS/LTCH PPS proposed rule (78 FR 27508), at the MDC level, we expected payments to increase by approximately 0.64 percent (0.39+0.25) within orthopedic and cardiac MDCs, with most of the reductions in payment resulting to the medical MS-DRGs in the nervous system, digestive system, and respiratory system MDCs.
| MDC | Description | Estimated percentage change within MDC |
|---|---|---|
| 08 | Musculoskeletal System And Connective Tissue | 0.39 |
| 05 | Circulatory System | 0.25 |
| 01 | Nervous System | −0.16 |
| 06 | Digestive System | −0.10 |
| 04 | Respiratory System | −0.08 |
In the FY 2014 IPPS/LTCH PPS proposed rule (78 FR 27508), we stated that the largest estimated increase in MS-DRG relative weights would likely occur for MS-DRGs associated with cardiac catheterization and implantable cardiac devices. We also stated that the largest estimated reductions in MS-DRG relative weights would likely occur for MS-DRGs associated with traumatic head injury and concussion, which are high users of CT scanning and MRI services. We included in the FY 2014 IPPS/LTCH PPS proposed rule (78 FR 27508) the table below, which showed, based on data available at the time of the development of the proposed rule, the top 10 (nonlabor and delivery) MS-DRGs that we predicted would experience the largest increases and decreases in relative weights through use of the expanded 19 CCRs, as compared to previous 15 CCRs.
| MS-DRG | Type | Title | Potential relative weight with 15 CCRs | Potential relative weights with 19 CCRs | Percentage change |
|---|---|---|---|---|---|
| MS-DRGS THAT WOULD EXPERIENCE THE LARGEST DECREASE IN RELATIVE WEIGHT | |||||
| 090 | MED | Concussion without CC/MCC | 0.7614 | 0.7013 | −7.9 |
| 084 | MED | Traumatic Stupor & Coma, Coma >1 Hour without CC/MCC | 0.9137 | 0.8516 | −6.8 |
| 087 | MED | Traumatic Stupor & Coma, Coma <1 Hour without CC/MCC | 0.7899 | 0.7369 | −6.7 |
| 965 | MED | Other Multiple Significant Trauma without CC/MCC | 1.0450 | 0.980 | −6.1 |
| 185 | MED | Major Chest Trauma without CC/MCC | 0.7281 | 0.6845 | −6.0 |
| 089 | MED | Concussion with CC | 0.9959 | 0.9366 | −6.0 |
| 123 | MED | Neurological Eye Disorder | 0.7355 | 0.6920 | −5.9 |
| 343 | SURG | Appendectomy without Complicated Principal Diagnosis without CC/MCC | 0.9880 | 0.9517 | −5.7 |
| 053 | MED | Spinal Disorders & Injuries without CC/MCC | 0.9355 | 0.8825 | −5.7 |
| 066 | MED | Intracranial Hemorrhage or Cerebral Infarction without CC/MCC | 0.8034 | 0.7579 | −5.7 |
| MS-DRGS THAT WOULD EXPERIENCE THE LARGEST INCREASE IN RELATIVE WEIGHT | |||||
| 454 | SURG | Combined Anterior/Posterior Spinal Fusion with CC | 7.6399 | 8.0563 | 5.5 |
| 455 | SURG | Combined Anterior/Posterior Spinal Fusion Without CC/MCC | 5.9862 | 6.3133 | 5.5 |
| 484 | SURG | Major Joint & Limb Reattachment Procedure of Upper Extremity without CC/MCC | 2.1211 | 2.2380 | 5.5 |
| 225 | SURG | Cardiac Defibrillator Implant with Cardiac Catheterization without AMI/HF/Shock without MCC | 5.6298 | 5.9530 | 5.7 |
| 223 | SURG | Cardiac Defibrillator Implant with Cardiac Catheterization with AMI/HF/Shock without MCC | 6.0956 | 6.4482 | 5.8 |
| 458 | SURG | Spinal Fusion Except Cervical with Spinal Curve/Malignant/Infection OR 9+ Fusion without CC/MCC | 4.8794 | 5.1630 | 5.8 |
| 245 | SURG | AICD Generator Procedures | 4.4627 | 4.7320 | 6.0 |
| 849 | MED | Radiotherapy | 1.3423 | 1.4258 | 6.2 |
| 946 | MED | Rehabilitation without CC/MCC | 1.1295 | 1.2024 | 6.5 |
| 227 | SURG | Cardiac Defibrillator Implant without Cardiac Catheterization without MCC | 5.2193 | 5.5714 | 6.7 |
During development of the FY 2014 proposed rule, after computing the analyses described above by comparing both sets of MS-DRG relative weights computed with FY 2011 cost report data, we revisited RTI's July 2008 final report. We noted that the impacts on relative weight and at the MDC level are generally consistent with those estimated by RTI in its modeling. RTI found that disaggregating the CCRs for medical supplies and devices would have the most impact on reducing charge compression, and that the largest impact was for MS-DRG 227. Similarly, as shown in the chart above, we estimated that the potential relative weight for MS-DRG 227 would experience the largest increase, 6.7 percent. Cardiac implants and spinal fusion procedures accounted for most of the 10 MS-DRGs with the largest incremental increases. In addition, RTI's July 2008 final report (pages 103 through 107) indicates that among the largest expected reductions are the MS-DRG relative weights for MS-DRGs associated with traumatic head injury and concussion, which are high users of CT scanning and MRI services. RTI's analyses were highly predictive for many of the MS-DRGs most sensitive to the effects of charge compression.
In the FY 2014 IPPS/LTCH PPS proposed rule (78 FR 27508), we indicated that as we stated in prior rulemaking (77 FR 53281 through 53283), once we determined that cost report data were available for analysis, we would propose, if appropriate, to use the distinct CCRs described above in the calculation of the MS-DRG relative weights. We believed that the analytic findings described above using the FY 2011 cost report data and FY 2012 claims data supported our original decision to break out and create new cost centers for implantable devices, MRIs, CT scans, and cardiac catheterization, and we saw no reason to further delay proposing to implement the CCRs of each of these cost centers. Therefore, beginning in FY 2014, we proposed to calculate the MS-DRG relative weights using 19 CCRs, creating distinct CCRs from cost report data for implantable devices, MRIs, CT scans, and cardiac catheterization. We welcomed public comments on the proposal and the impacts that it may have. We referred readers to section VI.C. of Appendix A of the proposed rule for the overall IPPS operating impact of our proposal, which modeled payments to various hospital types using relative weights developed from 19 CCRs (as compared to the previous 15 CCRs). In addition, as part of the FY 2014 IPPS/LTCH PPS proposed rule, in addition to providing Table 5, which listed the proposed MS-DRGs and their relative weights using 19 CCRs (available on the CMS Web site at: http://www.cms.hhs.gov/AcuteInpatientPPS/01_overview.asp; click on the link on the left side of the screen titled “FY 2014 IPPS Proposed Rule Home Page” or “Acute Inpatient—Files for Download”), we provided a separate table that listed all MS-DRGs and their relative weights if computed using 15 CCRs (available at the same CMS Web site cited above). We believed that these two formats would allow readers to compare our proposal to calculate the MS-DRG relative weights using 19 CCRs with the relative weights of MS-DRGs if computed using 15 CCRs.
Comment: Several commenters noted that CMS concluded that there is sufficient data in the FY 2011 cost reports to support a meaningful analysis of using distinct CCRs, but did not share how it arrived at that conclusion. In particular, the commenters were unclear if 1,022 hospitals reporting cardiac catheterization are a representative sample, because they make up less than a third of the total hospitals. The commenters urged CMS to clarify how it determined the level of reporting on these new cost centers is sufficient.
Response: In the FY 2014 IPPS/LTCH PPS proposed rule (78 FR 27507), we stated that, as compared to previous years, we have a substantial number of hospitals completing all, or some, of the MRI, CT scan, and cardiac catheterization cost centers on the FY 2011 Medicare cost reports. For the FY 2014 IPPS/LTCH PPS proposed rule, we used cost report data from the December 2012 update of the FY 2011 HCRIS, and found that “we were able to calculate a valid implantable device CCR for 2,285 IPPS hospitals, a valid MRI CCR for 1,402 IPPS hospitals, a valid CT scan CCR for 1,470 IPPS hospitals, and a valid cardiac catheterization CCR for 1,022 IPPS hospitals (78 FR 27507).” As part of our methodology for calculating the proposed relative weights, we first apply various trims to the cost report data of all IPPS hospitals (we refer readers to the description of the calculation of the relative weights in the FY 2014 IPPS LTCH PPS proposed rule (78 FR 27529 through 27530)). After applying these data trims, the CCRs in the proposed rule were based on data from 2,697 remaining IPPS hospitals. Therefore, our use of the term “valid” CCRs in the FY 2014 proposed rule meant that these CCRs were the ones associated with the 2,697 IPPS hospitals remaining after the usual trims were applied. Although the number of hospitals with valid cardiac catheterization CCRs is less than the number of hospitals with “valid” implantable device, MRI, or CT scan CCRs, it still represented about 38 percent of the available IPPS hospitals after application of our usual data trims (that is, 1,022/2,697 = .38). We note that many smaller hospitals do not separately report cardiac catheterization costs and charges. (This issue was raised in the FY 2011 IPPS/LTCH PPS final rule, (75 FR 50078), where, in recognition of the fact that not all hospitals separately account for cardiac catheterization costs and charges, we stated that hospitals that do not currently maintain distinct departments or accounts in their internal accounting systems for CT scanning, MRI, or cardiac catheterization are not required to create distinct departments or accounts.) Given that not all hospitals would even have a cardiac catheterization CCR, we considered 38 percent to be a substantial number, albeit, not a majority, of IPPS hospitals, from which to base our FY 2014 proposal to calculate the relative weights with a distinct cardiac catheterization CCR.
We reviewed our data analyses from previous years and note that typically, because the proposed CCRs for a given year are based on cost report data from the December update of the applicable HCRIS year, the proposed CCRs are based on data from less than 3,000 IPPS hospitals. Then, once the data for each final rule are available, which are derived from the subsequent March update of the applicable HCRIS year, the final CCRs are typically based on cost report data of more than 3,000 IPPS hospitals. This is the case for FY 2014 as well. Although the proposed CCRs were based on data of 2,697 IPPS hospitals, the March 2013 update of FY 2011 HCRIS yields: 3,207 IPPS hospitals (after various trims are applied—we refer readers to the description of the relative weight calculation in section II.H. of the preamble of this final rule); 2,707 IPPS hospitals with an implantable device CCR; 1,717 IPPS hospitals with an MRI CCR; 1,785 IPPS hospitals with a CT scan CCR; and 1,263 IPPS hospitals with a cardiac catheterization CCR. For this FY 2014 final rule, although the number of hospitals with cardiac catheterization CCRs is less than the number of hospitals with “valid” implantable device, MRI, or CT scan CCRs, it still represents approximately 39 percent of the available IPPS hospitals after application of our usual data trims (that is, 1,263/3,207 = .39). Accordingly, we believe it is appropriate to use the cardiac catheterization CCR in the calculation of the FY 2014 relative weights.
Comment: Commenters were generally supportive of the proposals to implement additional CCRs for implantable devices and cardiac catheterization. However, many commenters requested that CMS “reconsider the impact of” distinct CCRs for MRIs and CT scans “before adopting them.” Various commenters representing the medical imaging industry opposed implementation of distinct MRI and CT scan CCRs at this point, expressing concern that doing so would result in very low CCRs for these services because of hospital cost reporting practices that allocate capital costs for MRIs and CT scan across the entire hospital, rather than to the appropriate individual radiology cost centers. Specifically, the commenters reported that some hospitals currently use an imprecise “square footage” allocation methodology for the costs of large moveable equipment like CT scan and MRI machines. They indicated that while CMS recommends using two alternative allocation methods, “direct assignment” or “dollar value,” as a more accurate methodology for directly assigning equipment costs, industry analysis suggests that approximately only half of the reported cost centers for CT scan and MRI rely on these preferred methodologies. The commenters expressed concern that “square footage” allocation results in CCRs that “lack face validity,” because the proposed CCRs for CT scans and MRIs are less than the proposed CCR for general radiology, inaccurately reflecting the higher resources used for MRIs and CT scans relative to the less expensive plain film x-rays. Commenters asserted that more time is needed by hospitals to modify their cost reporting practices, and urged CMS to explore how to develop more accurate data without unduly increasing the complexity of the cost report. Some other commenters suggested that if CMS were to finalize the new CCRs, CMS should only use cost report data that meet minimum data quality standards. For example, these commenters recommended that CMS adopt the following standards for assuring validity of CT and MRI cost data:
- Check that the hospital uses direct assignment or dollar value allocation of capital costs.
- Check that the hospital's CT scan and MRI cost centers each have total costs of at least $250,000.
- Check that there is evidence that the hospital reclassified overhead costs from the diagnostic radiology cost center to the CT scan and/or MRI cost centers.
A different commenter's analysis used cost report data from hospitals that employ “procedural accounting,” also known as “activity-based costing,” which the commenter stated is a more accurate way to determine costs. The commenter's analysis showed results that were in “close agreement” with CMS' proposed CCRs, giving “some comfort that the new cost centers are capturing costs as intended.” Nevertheless, the commenter urged caution before proceeding, noting large swings in certain DRG relative weights, and that many of the negatively affected DRGs are trauma related, and many of the positively affected DRGs are cardiac and orthopedic related. The commenter was concerned that specific types of hospitals have more to gain or lose under the policy based on their mix of services, and CMS should consider whether finalizing 19 CCRs “would unduly incent volume growth” in certain procedures. The commenter requested that CMS implement a “dampening policy” or a 70/30 transition blend for FY 2014 to give hospitals an opportunity to budget for such shifts and avoid unintended consequences.
Although many commenters expressed concern about the impact of implementing distinct CCRs for MRIs and CT scans under the IPPS, they noted that since MS-DRGs are bundled services, only a fraction of the negative impact would be manifested in the IPPS MS-DRGs, and that payment rates for the Ambulatory Patient Classifications (APCs) under the Hospital Outpatient Prospective Payment System (OPPS) would be affected more dramatically by the use of inaccurate CCRs. The commenters mentioned that the Deficit Reduction Act (DRA) of 2005 sets the technical component (TC) of advanced imaging services to the lesser of: (1) The Medicare Physician Fee Schedule (MPFS); or (2) the OPPS. The commenters stated that, as proposed, the separate cost centers for MRIs and CT scans would result in significant cuts to the MPFS technical component payments. Another commenter noted that as CMS proceeds with cost center refinement, services become unbundled, and may cause payment swings from year to year. The commenters urged CMS not to use the proposed CCRs for MRIs and CT scans in the IPPS, the OPPS, or the MPFS until the effects on all three systems have been thoroughly analyzed.
Response: We thank the commenters for their analyses and suggestions regarding use of distinct CCRs for implantable devices, MRIs, CT scans, and cardiac catheterization. We appreciate the support for our proposal to use distinct CCRs for implantable devices and cardiac catheterization, and we have carefully reviewed the comments objecting to implementation of distinct CCRs for MRIs and CT scans. The new standard cost centers for CT scans, MRIs, and cardiac catheterization have been in effect since cost reporting periods beginning on or after May 1, 2010, on the revised cost report Form CMS-2552-10. Thus, FY 2011, which is the cost reporting year that CMS is using to calculate the CCRs for the FY 2014 MS-DRG relative weights, was either the first or the second opportunity for hospitals to submit cost reports with the new CT scan and MRI cost centers (lines 57 and 58 of Worksheets A and C, Part I of the Form CMS-2552-10), depending on the hospital's fiscal year end (FYE). (For example, a hospital with a June 30 FYE would have completed these lines on its FY 2010 July 1, 2010-June 30, 2011 cost report, and again on its FY 2011 July 1, 2011-June 30, 2012 cost report, whereas a hospital with a December 31 FYE would have first completed these cost centers on its FY 2011 January 1, 2011-December 31, 2011 cost report). However, simultaneous with first implementing the new CT scan and MRI cost centers in the FY 2011 IPPS/LTCH PPS final rule (75 FR 50077), we also notified hospitals of the need and importance of properly reporting the capital costs of moveable equipment on the Medicare cost report. Specifically, in the FY 2011 IPPS/LTCH PPS final rule (75 FR 50078), we explained that, in accordance with Section 104 of CMS Pub. 15-1, Chapter 1, CT scans and MRIs are major moveable equipment, and the costs should be reported together with the rest of the hospital's major moveable equipment cost in the Capital-Related Costs—Moveable Equipment cost centers on Worksheet A (lines 2 and 4 on the Form CMS-2552-96 and line 2 on the Form CMS-2552-10). The costs in these cost centers are allocated to all the hospital's cost centers that use major moveable equipment (including CT and MRI), using “dollar value” (which is the “recommended” or default statistical basis, per the cost reporting instructions at CMS Pub. 15-2, Section 4095 for the Form CMS 2552-10). Alternatively, the hospital may have obtained the contractor's approval under Section 2313 of CMS Pub. 15-1 to use the simplified cost allocation methodology, “square feet.” However, a hospital that historically has been using “square feet” and is concerned that this method of allocation may result in inaccurate CCRs (on Worksheet C, Part I) for the CT scan, MRI, and other ancillary cost centers may request contractor approval in accordance with Section 2307 of the CMS Pub. 15-1 to use the “direct assignment” allocation method, and directly assign the cost of moveable equipment to all of the hospital's cost centers that use moveable equipment, including CT and MRIs, using the provider's routine accounting process. This would ensure that the high cost of the CT scanning and MRI equipment would be reflected in the CCR that would be calculated for those departments and that would be used to estimate the cost of CT scanning and MRI services. In any case, hospitals should correct their cost reporting practices to come into compliance with CMS' longstanding policy regarding the “Capital-Related Costs—Moveable Equipment” cost center, by either using the recommended statistical allocation method of “dollar value” for costs in Worksheet A, Column 2 for Capital-Related Costs—Moveable Equipment, or by requesting contractor approval in accordance with Section 2307 of CMS Pub. 15-1 to use the “direct assignment” allocation method. In the FY 2013 IPPS/LTCH PPS final rule (77 FR 53283), we reiterated this policy, and added that “Hospitals that still need to correct their cost reporting practices in this regard should do so soon, so that when we propose distinct CCRs for MRI and CT scans, hopefully for FY 2014, these CCRs will represent fairly accurately the cost of these radiology services.” Therefore, while the CCRs for CT scan and MRIs may appear to “lack face validity,” as the commenters asserted, these CCRs nevertheless reflect the cost reporting practices of many IPPS hospitals as of FY 2011, the cost reports used to calculate the CCRs for the FY 2014 MS-DRG relative weights. Furthermore, we are unsure of how the cost reporting practices of hospitals that employ the square feet allocation method result in CCRs that “lack face validity” when CCRs are calculated separately for CT scan, MRI, and radiology, but would result in CCRs that are more “valid” when aggregated into a single CCR for all radiology services.
We have considered the public comments recommending that if CMS does finalize distinct CCRs for CT scans and MRIs for the IPPS MS-DRG relative weights, CMS should adopt certain minimum quality standards, such as using only cost report data of hospitals that use either direct assignment or the dollar value statistical allocation method, have at least $250,000 of cost in the CT scan or MRI cost center, and have reclassified overhead costs from the diagnostic radiology cost center to the CT scan and/or MRI cost centers. We do not agree with adoption of these minimum data standards because doing so would ignore the fact that many hospitals have chosen (at least up to this point) to employ the square feet statistical allocation methodology, perhaps for reasons unrelated to the costs of MRIs and CT scans, and, therefore, these data reflect, in large part, the best available data that we have. It also is not administratively feasible for CMS to determine, using HCRIS data, whether hospitals have reclassified overhead costs from the diagnostic radiology cost center to the CT scan and/or MRI cost centers. However, we appreciate the one commenter's analysis of cost reports using procedural accounting (another more precise method) that yielded CCRs that were close to the CCRs that CMS proposed.
We took note of the many comments regarding the ramifications of CT scan and MRI CCRs under the OPPS and the MPFS. Specifically, commenters seemed even more concerned about an impending proposal to implement distinct MRI and CT scan CCRs under the OPPS, which, they asserted, when coupled with recent payment reductions to MRI and CT scan services under the Deficit Reduction Act of 2005, are detrimental to hospitals. (We note that at the time of the comment period for the FY 2014 IPPS/LTCH PPS proposed rule, the CY 2014 OPPS/ASC proposed rule had not yet been issued.) We understand that any such change could have significant payment impacts under the MPFS where the technical component payment for many imaging services is capped at the OPPS payment. While we appreciate the concern regarding other Medicare payment systems, we wish to point out that our decision to implement additional CCRs in this FY 2014 IPPS/LTCH PPS final rule does not predict what CMS may finalize for the CY 2014 OPPS/ASC relative payment weights. We will separately evaluate the impacts of implementing any additional CCRs under the OPPS as part of the OPPS rulemaking process. We note that the public comment periods for both the CY 2014 MPFS proposed rule and the CY 2014 OPPS/ASC proposed rule end on September 6, 2013.
We appreciate the concerns expressed by the commenters related to the swings in the relative weights of certain MS-DRGs, and the importance of not providing an incentive for hospitals to furnish, or not furnish, certain services. However, we are not convinced that further delay or further trimming of CCR values is necessary in order to implement all of the proposed CCRs. This is consistent with our historical approach to use cost report data from HCRIS that is 3 years prior to the IPPS fiscal year that is under development (that is, for the FY 2014 IPPS relative weights, the CCRs are calculated from FY 2011 HCRIS). Although hospitals have been permitted to use the alternative basis cost allocation (that is, “square feet”) under Section 2313 of CMS Pub. 15-1, this methodology does not ensure precise CCRs for CT scans and MRIs. Therefore, we encouraged hospitals over the past several years to use the most precise cost reporting methods in response to the new cost report lines. Specifically, the longstanding cost report instructions at CMS Pub. 15-2, Section 4020 (previously at Section 3617), state that “The statistical basis shown at the top of each column on Worksheet B-1 is the recommended basis of allocation of the cost center indicated which must be used by all providers completing this form (Form CMS-2552-10), even if a basis of allocation other than the recommended basis of allocation was used in the previous iteration of the cost report (Form CMS-2552-96).” Under Table 1 of the Medicare cost report, which lists the Record Specifications for the cost centers on Worksheet B-1, “dollar value” is specified as the recommended statistical allocation method for Column 2, Capital-Related Costs—Moveable Equipment. While the “dollar value” statistical allocation method is more precise than “square feet,” to ensure even more precise CCRs for CT scans and MRIs, 90 days prior to the beginning of their next cost reporting period, hospitals may request permission from their Medicare contractors in accordance with Section 2307 of CMS Pub. 15-1 to use the “direct assignment” allocation method on Worksheet B, Part II, Column 0. Although “direct assignment” is the preferred and most precise allocation method, hospitals that do not have the resources to directly assign the costs of every cost center are strongly encouraged to instead use the “dollar value” statistical allocation method. (We note that, under Section 2313 of CMS Pub. 15-1, hospitals not currently using “dollar value” should notify their contractor of their intention to switch their statistical allocation basis to “dollar value” at least 90 days prior to the end of a cost reporting period.) We also intend to communicate with the Medicare contractors to facilitate approval of hospitals' requests to switch from the square feet statistical allocation method to the “direct assignment” or “dollar value” allocation method for the costs of major moveable equipment. We believe that by adopting more refined CCRs, we are fostering more careful cost reporting. Therefore, we do not believe that the concerns expressed by the commenters warrant further delay in implementing the proposed CCRs for CT scans and MRIs for the FY 2014 IPPS/LTCH PPS final rule, nor do we believe that any type of phase-in methodology is warranted.
As we have stated in prior rulemaking (77 FR 53281 through 53283), once we determined that cost report data were available for analysis, we would propose, and finalize, if appropriate, the use of the distinct CCRs described above in the calculation of the MS-DRG relative weights. We believe that the analytic findings described in the proposed rule, and the volume of hospitals that have “valid” CCRs described above, computed using the March 2013 update of FY 2011 HCRIS and the March 2013 update of the FY 2012 MedPAR claims data, support our original decision to break out and create new cost centers for implantable devices, MRIs, CT scans, and cardiac catheterization, and we see no reason to further delay implementation of the CCRs of each of these cost centers. Therefore, beginning in FY 2014, as we proposed, we are calculating the MS-DRG relative weights using 19 CCRs, creating distinct CCRs for implantable devices, MRIs, CT scans, and cardiac catheterization. We refer readers to section I.G. of Appendix A of this final rule for the overall IPPS operating impact of our policy, which models payments to various hospital types using relative weights developed from 19 CCRs (as compared to the previous 15 CCRs). The description of the calculation of the CCRs and the MS-DRG relative weights, including the final 19 CCRs used to calculate the relative weights for FY 2014, is included in section II.H. of the preamble of this final rule.
F. Adjustment to MS-DRGs for Preventable Hospital-Acquired Conditions (HACs), Including Infections
1. Background
Section 1886(d)(4)(D) of the Act addresses certain hospital-acquired conditions (HACs), including infections. This provision is part of an array of Medicare tools that we are using to promote increased quality and efficiency of care. Under the IPPS, hospitals are encouraged to treat patients efficiently because they receive the same DRG payment for stays that vary in length and in the services provided, which gives hospitals an incentive to avoid unnecessary costs in the delivery of care. In some cases, conditions acquired in the hospital do not generate higher payments than the hospital would otherwise receive for cases without these conditions. To this extent, the IPPS encourages hospitals to avoid complications.
However, the treatment of certain conditions can generate higher Medicare payments in two ways. First, if a hospital incurs exceptionally high costs treating a patient, the hospital stay may generate an outlier payment. Because the outlier payment methodology requires that hospitals experience large losses on outlier cases before outlier payments are made, hospitals have an incentive to prevent outliers. Second, under the MS-DRG system that took effect in FY 2008 and that has been refined through rulemaking in subsequent years, certain conditions can generate higher payments even if the outlier payment requirements are not met. Under the MS-DRG system, there are currently 261 sets of MS-DRGs that are split into 2 or 3 subgroups based on the presence or absence of a CC or an MCC. The presence of a CC or an MCC generally results in a higher payment.
Section 1886(d)(4)(D) specifies that, by October 1, 2007, the Secretary was required to select, in consultation with the Centers for Disease Control and Prevention (CDC), at least two conditions that: (a) Are high cost, high volume, or both; (b) are assigned to a higher paying MS-DRG when present as a secondary diagnosis (that is, conditions under the MS-DRG system that are CCs or MCCs); and (c) could reasonably have been prevented through the application of evidence-based guidelines. Section 1886(d)(4)(D) of the Act also specifies that the list of conditions may be revised, again in consultation with CDC, from time to time as long as the list contains at least two conditions.
Effective for discharges occurring on or after October 1, 2008, under the authority of section 1886(d)(4)(D) of the Act, Medicare no longer assigns an inpatient hospital discharge to a higher paying MS-DRG if a selected condition is not present on admission (POA). Thus, if a selected condition that was not POA manifests during the hospital stay, it is considered a HAC and the case is paid as though the secondary diagnosis was not present. However, even if a HAC manifests during the hospital stay, if any nonselected CC/MCC appears on the claim, the claim will be paid at the higher MS-DRG rate. In addition, Medicare continues to assign a discharge to a higher paying MS-DRG if a selected condition is POA. When a HAC is not POA, payment can be affected in a manner shown in the diagram below.
BILLING CODE 4120-01-C
2. HAC Selection
Beginning in FY 2007, we have set forth proposals, and solicited and responded to public comments, to implement section 1886(d)(4)(D) of the Act through the IPPS annual rulemaking process. For specific policies addressed in each rulemaking cycle, including a detailed discussion of the collaborative interdepartmental process and public input regarding selected and potential candidate HACs, we refer readers to the following rules: The FY 2007 IPPS proposed rule (71 FR 24100) and final rule (71 FR 48051 through 48053); the FY 2008 IPPS proposed rule (72 FR 24716 through 24726) and final rule with comment period (72 FR 47200 through 47218); the FY 2009 IPPS proposed rule (73 FR 23547) and final rule (73 FR 48471); the FY 2010 IPPS/RY 2010 LTCH PPS proposed rule (74 FR 24106) and final rule (74 FR 43782); the FY 2011 IPPS/LTCH PPS proposed rule (75 FR 23880) and final rule (75 FR 50080); the FY 2012 IPPS/LTCH PPS proposed rule (76 FR 25810 through 25816) and final rule (76 FR 51504 through 51522); and the FY 2013 IPPS/LTCH PPS proposed rule (77 FR 27892 through 27898) and final rule (77 FR 53283 through 53303). A complete list of the 11 current categories of HACs is included on the CMS Web site at: http://www.cms.gov/Medicare/Medicare-Fee-for-Service-Payment/HospitalAcqCond/Hospital-Acquired_Conditions.html.
3. Present on Admission (POA) Indicator Reporting
Collection of POA indicator data is necessary to identify which conditions were acquired during hospitalization for the HAC payment provision as well as for broader public health uses of Medicare data. In previous rulemaking, we provided both CMS and CDC Web site resources that are available to hospitals for assistance in this reporting effort. For detailed information regarding these sites and materials, including the application and use of POA indicators, we refer the reader to the FY 2012 IPPS/LTCH PPS final rule (76 FR 51506 through 51507).
Currently, as we discussed in the prior rulemaking cited above, the POA indicator reporting requirement only applies to IPPS hospitals because they are subject to this HAC provision. Non-IPPS hospitals, including CAHs, LTCHs, IRFs, IPFs, cancer hospitals, children's hospitals, hospitals in Maryland operating under waivers, RNHCIs, and the Department of Veterans Affairs/Department of Defense hospitals, are exempt from POA reporting. We note that hospitals in Maryland operating under their waiver are not paid under the IPPS but rather are paid under the provisions of section 1814(b)(3) of the Act. This waiver applies to the amount paid to providers of services, and does not extend to billing requirements and other reporting requirements. In fact, hospitals in Maryland are required to submit Medicare claims for Medicare payment and also to submit the same information on their Medicare claims as hospitals in other parts of the country paid under the IPPS. Therefore, we believe it is inappropriate to continue to exempt hospitals in Maryland from the POA indicator reporting requirement. Under current policy, hospitals in Maryland will continue to be exempt from the application of this HAC provision so long as they are not paid under the IPPS. However, we believe it is appropriate to require them to use POA indicator reporting on their claims so that we can include their data and have as complete a dataset as possible when we analyze trends and make further payment policy determinations, such as those authorized under section 1886(p) of the Act. (We refer readers to section V.I. of the preamble of this final rule for a discussion of our FY 2014 proposals and final policies to implement section 1886(p) of the Act.) Therefore, in the FY 2014 IPPS/LTCH PPS proposed rule (78 FR 27510), we proposed that hospitals in Maryland operating under their waiver under section 1814(b)(3) of the Act would no longer be exempted from the POA indicator reporting requirement beginning with claims submitted on or after October 1, 2013, including all claims for discharges on or after October 1, 2013. We invited public comment regarding this proposal.
Comment: Commenters supported the CMS proposal. One commenter noted that Maryland hospitals have been required to report accurate and complete POA information on secondary diagnoses in the quarterly discharge abstract data they submit to the state for discharges beginning on July 1, 2007.
Response: We appreciate the commenters' support. Accordingly, we are finalizing our proposal to require hospitals in Maryland currently paid under section 1814(b)(3) to report the POA indicator on their claims beginning with discharges on October 1, 2013. We note that while this requirement will not be effective until that date, hospitals in Maryland may submit data with present on admission indicators before that time with the expectation that these data will be accepted by Medicare's claims processing systems.
As discussed in previous IPPS proposed and final rules, there are five POA indicator reporting options, as defined by the ICD-9-CM Official Guidelines for Coding and Reporting. Under the HAC policy, we treat HACs coded with “Y” and “W” indicators as POA and allow the condition on its own to cause an increased payment at the CC/MCC level. We treat HACs coded with “N” and “U” indicators as Not Present on Admission (NPOA) and do not allow the condition on its own to cause an increased payment at the CC/MCC level. We refer readers to the following rules for a detailed discussion: The FY 2009 IPPS proposed rule (73 FR 23559) and final rule (73 FR 48486 through 48487); the FY 2010 IPPS/RY 2010 LTCH PPS proposed rule (74 FR 24106) and final rule (74 FR 43784 through 43785); the FY 2011 IPPS/LTCH PPS proposed rule (75 FR 23881 through 23882) and final rule (75 FR 50081 through 50082); the FY 2012 IPPS/LTCH PPS proposed rule (76 FR 25812 through 25813) and final rule (76 FR 51506 through 51507); and the FY 2013 IPPS/LTCH PPS proposed rule (77 FR 27893 through 27894) and final rule (77 FR 53284 through 53285).
| Indicator | Descriptor |
|---|---|
| Y | Indicates that the condition was present on admission. |
| W | Affirms that the hospital has determined that, based on data and clinical judgment, it is not possible to document when the onset of the condition occurred. |
| N | Indicates that the condition was not present on admission. |
| U | Indicates that the documentation is insufficient to determine if the condition was present at the time of admission. |
| 1 | Signifies exemption from POA reporting. CMS established this code as a workaround to blank reporting on the electronic 4010A1. A list of exempt ICD-9-CM diagnosis codes is available in the ICD-9-CM Official Guidelines for Coding and Reporting. |
Beginning on or after January 1, 2011, hospitals were required to begin reporting POA indicators using the 5010 electronic transmittal standards format. The 5010 format removes the need to report a POA indicator of “1” for codes that are exempt from POA reporting. We have issued CMS instructions on this reporting change as a One-Time Notification, Pub. No. 100-20, Transmittal No. 756, Change Request 7024, effective on August 13, 2010, which can be located at the following link on the CMS Web site: http://www.cms.gov/manuals/downloads/Pub100_20.pdf.
In addition, as discussed elsewhere in section III.G.10. of the preamble of this final rule, the 5010 format allows the reporting and effective January 1, 2011, the processing of up to 25 diagnoses and 25 procedure codes. As such, it is necessary to report a valid POA indicator for each diagnosis code, including the principal and all secondary diagnoses up to 25.
4. HACs and POA Reporting in ICD-10-CM and ICD-10-PCS
As we stated in the FY 2012 IPPS/LTCH PPS final rule (76 FR 51506 and 51507), in preparation for the transition to the ICD-10-CM and ICD-10-PCS code sets, further information regarding the use of the POA indicator with the ICD-10-CM/ICD-10-PCS classifications as they pertain to the HAC policy will be discussed in future rulemaking.
At the March 5, 2012 and the September 19, 2012 meetings of the ICD-9-CM Coordination and Maintenance Committee, an announcement was made with regard to the availability of the ICD-9-CM HAC list translation to ICD-10-CM and ICD-10-PCS code sets. Participants were informed that the list of the current ICD-9-CM selected HACs has been translated into codes using the ICD-10-CM and ICD-10-PCS classification system. It was recommended that the public review this list of ICD-10-CM/ICD-10-PCS code translations of the current selected HACs available on the CMS Web site at: http://www.cms.gov/Medicare/Coding/ICD10/ICD-10-MS-DRG-Conversion-Project.html. The translations can be found under the link titled “ICD-10-CM/PCS MS-DRG v30 Definitions Manual Table of Contents—Full Titles—HTML Version in Appendix I—Hospital Acquired Conditions (HACs).” The above CMS Web site regarding the ICD-10-MS-DRG Conversion Project is also available on the CMS Web site at: http://www.cms.gov/Medicare/Medicare-Fee-for-Service-Payment/HospitalAcqCond/icd10_hacs.html. We encourage the public to submit comments on these translations through the HACs Web page using the CMS ICD-10-CM/PCS HAC Translation Feedback Mailbox that has been set up for this purpose under the Related Links section titled “CMS HAC Feedback.” The final HAC list translation from ICD-9-CM to ICD-10-CM/ICD-10-PCS will be subject to formal rulemaking.
In the meantime, we continue to encourage readers to review the educational materials and draft code sets currently available for ICD-10-CM/ICD-10-PCS on the CMS Web site at: http://www.cms.gov/ICD10/. In addition, the draft ICD-10-CM/ICD-10-PCS coding guidelines can be viewed on the CDC Web site at: http://www.cdc.gov/nchs/icd/icd10cm.htm.
5. Current HACs and Previously Considered Candidate HACs
In the FY 2014 IPPS/LTCH PPS proposed rule (78 FR 27511), we did not propose to add or remove categories of HACs. However, we indicated that we continue to encourage public dialogue about refinements to the HAC list by written stakeholder comments about both previously selected and potential candidate HACs. We refer readers to section II.F.6. of the FY 2008 IPPS final rule with comment period (72 FR 47202 through 47218) and to section II.F.7. of the FY 2009 IPPS final rule (73 FR 48774 through 48491) for detailed discussion supporting our determination regarding each of these conditions. We also refer readers to section III.F.5. of the FY 2013 IPPS/LTCH PPS proposed rule (77 FR 27892 through 27898) and the FY 2013 IPPS/LTCH PPS final rule (77 FR 53285 through 53292) for the HAC policy for FY 2013, which will continue for FY 2014. In addition, readers may find updated information on evidence-based guidelines on the CMS Web site at: http://www.cms.gov/Medicare/Medicare-Fee-for-Service-Payment/HospitalAcqCond/Hospital-Acquired_Conditions.html.
Comment: Some commenters stated they were pleased that CMS did not propose to expand the list of categories or conditions subject to the Deficit Reduction Act of 2005 provisions that would reduce payment for hospital acquired conditions not present on admission. However, commenters made the following suggestions and recommendations:
- One commenter recommended CMS expand the HAC list in future IPPS rulemaking to include iatrogenic pneumothorax with paracentesis and thoracentesis.
- One commenter requested that CMS reconsider its decision to include “Surgical Site Infections (SSIs) Following Cardiac Implantable Electronic Device (CIED)” under this program. The commenter also urged CMS to explore how information learned from POA coding and other data sources, such as EHRs and clinical data registries, could be used to better understand and prevent HACs.
- One commenter suggested that CMS include “diaper rash” as a DRA HAC.
- One commenter suggested that CMS include “Surgical Site Infections (SSIs) Following Hip and Knee Replacement” as a DRA HAC.
- One commenter suggested that CMS include “Surgical Site Infections (SSIs) Following Cesarean Section Births” as a DRA HAC.
- Although existing colon and hysterectomy surgical site infections are not current DRA HACs, one commenter requested that additional consideration be given to include the following exclusions for existing colon and hysterectomy surgical site infections: Chemotherapy for cancer diagnosis, penetrating trauma, obesity, and transplant. The commenter also requested that additional consideration be given to excluding trauma (de-gloving/avulsion wounds, burns, penetrating trauma), chemotherapy, and transplants from the following HAC categories: post CABG mediastinitis, orthopedic surgery of the spine/neck/shoulder/elbow and the three existing gastric bypass surgeries. The commenter indicated that these additional exclusions will better meet the intent of identifying appropriate HACs, without unnecessary penalization.
- One commenter recommended that “. . . Where medical technology can play a role in supporting the goals of improving patient care in a cost effective manner, such consideration should be made when reflecting on whether to expand upon the list of preventable HACs, particularly in relation to infection control prevention and management.”
Response: We value and appreciate these public comments regarding the DRA HACs, and we will take all of the public comments and suggestions we received into consideration in future rulemaking.
Comment: One commenter recommended that two titles of the current DRA HACs be revised: that “Catheter-Associated Urinary Tract Infection (UTI)” be revised to “Symptomatic Urinary Tract Infection due to an Indwelling Urinary Catheter” and “Vascular Catheter-Associated Infection” be revised to “Infections due to Central Venous Catheter”, with the ICD-9-CM codes shown in the following table.
| DRA HACs | CC/MCC (ICD-9-CM Codes) |
|---|---|
| Catheter-Associated Urinary Tract Infection (UTI) | 996.64 (CC). |
| Also excludes the following from acting as a CC/MCC: 112.2 (CC), 590.10 (CC), 590.11 (MCC), 590.2 (MCC), 590.3 (CC),590.80 (CC), 590.81 (CC), 595.0 (CC), 597.0 (CC), 599.0 (CC). | |
| Vascular Catheter-Associated Infection | 999.31 (CC), 999.32 (CC), 999.33 (CC). |
Response: We appreciate the commenter's recommendations. However, we believe the titles correctly identify the selected HACs, as reflected in the chart above, particularly because we have included the specified codes within the HAC logic.
Comment: One commenter recommended that CMS remove the DRA HAC category “Falls and Trauma.” The commenter stated that “Falls, particularly for the vulnerable older population, can be reduced through interventions; however, they cannot be completely avoided.” Another commenter noted that some patients, particularly high-risk, comorbid individuals, may still develop the conditions on the HAC list.
Response: We refer readers to section 1886(d)(4)(D) of the Act which states that a DRA HAC is one that “(c) could reasonably have been prevented through the application of evidence-based guidelines.” We believe in the appropriate use of guidelines that we have adopted to support our DRA HAC policy. These evidence-based guidelines are posted on the DRA HAC Web site at: http://www.cms.gov/Medicare/Medicare-Fee-for-Service-Payment/HospitalAcqCond/Downloads/Evidence-Based-Guidelines.pdf and are reviewed regularly to ensure that if there are any changes in the status of these guidelines, they are reflected in the DRA HAC policy.
Comment: One commenter noted that, “In previous rulemaking cycles, CMS has proposed adding delirium to the list of HACs [FY 2009 IPPS proposed rule]. While we support reasonable steps to provide hospitals with incentives to recognize and treat delirium, we continue to have significant concerns about adding delirium to the list of `preventable' HACs to be excluded from the calculation of a hospital's MS-DRG reimbursement rate.”
Response: We note that this comment regarding delirium is outside of the scope of the proposals included in the FY 2014 IPPS/LTCH PPS proposed rule. In the FY 2009 IPPS final rule (73 FR 48482), regarding delirium, we stated that “After consideration of the public comments received, we have decided not to select delirium as an HAC in this final rule. We will continue to monitor the evidence-based guidelines surrounding prevention of delirium. If evidence warrants, we may consider proposing delirium as an HAC in the future.”
6. RTI Program Evaluation
On September 30, 2009, a contract was awarded to RTI to evaluate the impact of the Hospital-Acquired Condition-Present on Admission (HAC-POA) provisions on the changes in the incidence of selected conditions, effects on Medicare payments, impacts on coding accuracy, unintended consequences, and infection and event rates. This was an intra-agency project with funding and technical support from CMS, OPHS, AHRQ, and CDC. The evaluation also examined the implementation of the program and evaluated additional conditions for future selection. The contract with RTI ended on November 30, 2012. Summary reports of RTI's analysis of the FYs 2009, 2010, and 2011 MedPAR data files for the HAC-POA program evaluation were included in the FY 2011 IPPS/LTCH PPS final rule (75 FR 50085 through 50101), the FY 2012 IPPS/LTCH PPS final rule (76 FR 51512 through 51522), and the FY 2013 IPPS/LTCH PPS final rule (77 FR 53292 through 53302). Summary and detailed data also were made publicly available on the CMS Web site at: http://www.cms.gov/HospitalAcqCond/01_Overview.asp and the RTI Web site at: http://www.rti.org/reports/cms/.
In addition to the evaluation of HAC and POA MedPAR claims data, RTI also conducted analyses on readmissions due to HACs, the incremental costs of HACs to the healthcare system, a study of spillover effects and unintended consequences, as well as an updated analysis of the evidence-based guidelines for selected and previously considered HACs. Reports on these analyses have been made publicly available on the CMS Web site at: http://www.cms.gov/Medicare/Medicare-Fee-for-Service-Payment/HospitalAcqCond/index.html.
7. Current and Previously Considered Candidate HACs—RTI Report on Evidence-Based Guidelines
The RTI program evaluation includes a report that provides references for all evidence-based guidelines available for each of the selected and previously considered candidate HACs that provide recommendations for the prevention of the corresponding conditions. Guidelines were primarily identified using the AHRQ National Guidelines Clearing House (NGCH) and the CDC, along with relevant professional societies. Guidelines published in the United States were used, if available. In the absence of U.S. guidelines for a specific condition, international guidelines were included.
Evidence-based guidelines that included specific recommendations for the prevention of the condition were identified for each of the selected conditions. In addition, evidence-based guidelines also were found for the previously considered candidate conditions. RTI prepared a final report to summarize its findings regarding evidence-based guidelines. This report can be found on the CMS Web site at: http://www.cms.gov/Medicare/Medicare-Fee-for-Service-Payment/HospitalAcqCond/Hospital-Acquired_Conditions.html. Subsequent to this final report, RTI has been awarded an FY 2014 Evidence-Based Guidelines Monitoring contract. Under the contract, RTI will provide a summary report of all evidence-based guidelines available for each of the selected and previously considered candidate HACs that provide recommendations for the prevention of the corresponding conditions. Updates to the guidelines will be made available to the public.
G. Changes to Specific MS-DRG Classifications
In the FY 2014 IPPS/LTCH PPS proposed rule (78 FR 27512 through 27529), we invited public comment on each of the MS-DRG classification proposed changes described below, as well as our proposals to maintain certain existing MS-DRG classifications, which also are discussed below. In some cases, we proposed changes to the MS-DRG classifications based on our analysis of claims data. In other cases, we proposed to maintain the existing MS-DRG classification based on our analysis of claims data. The public comments that we received on each of the proposals and our response, with statements of final policies, are included below.
CMS encourages input from our stakeholders concerning the annual IPPS updates when that input is made available to us by early December of the year prior to the next annual proposed rule update. For example, to be considered for any updates or changes in FY 2014, comments and suggestions should have been submitted by early December 2012. The comments that were submitted in a timely manner are discussed below in this section.
1. Pre-Major Diagnostic Categories (Pre-MDCs): Heart Transplants and Liver Transplants
We received a request from an organization that represents transplant surgeons to eliminate the severity levels for the heart and liver transplants MS-DRGs. The MS-DRGs for heart transplants are: MS-DRG 001 (Heart Transplant or Implant of Heart Assist System with MCC) and MS-DRG 002 (Heart Transplant or Implant of Heart Assist System without MCC). The MS-DRGs for liver transplants are: MS-DRG 005 (Liver Transplant with MCC or Intestinal Transplant) and MS-DRG 006 (Liver Transplant without MCC). We received this comment during the comment period for the FY 2013 IPPS/LTCH PPS proposed rule. We referred to this comment briefly in the FY 2013 IPPS/LTCH PPS final rule (77 FR 53325), but we did not address the issue because we considered this comment outside of the scope of the proposed rule. However, we addressed this issue in the FY 2014 IPPS/LTCH PPS proposed rule.
The commenter stated that there are no “uncomplicated” heart transplants or liver transplants, and indicated that all of these transplant procedures are highly complex, involving numerous complicating conditions, only some of which may be recognized by the MS-DRGs. The commenter expressed concern that the continued bifurcation of the MS-DRGs for heart and liver transplants will result in unsustainable payment for these cases that are assigned to the “without MCC” MS-DRGs 002 and 006. According to the commenter, in light of the relatively small number of Medicare patients involved and the significant cost variation involved, it would be preferable to eliminate the bifurcation of these procedures, thereby increasing the stability of the DRG weights for these procedures.
For the FY 2014 IPPS/LTCH PPS proposed rule, we examined claims data from the FY 2012 MedPAR file for heart and liver transplant cases assigned to MS-DRGs 001, 002, 005, and 006. The following table illustrates our findings:
| MS-DRGs | Number of cases | Average length of stay | Average costs |
|---|---|---|---|
| MS-DRG 001 | 1,247 | 33.27 | $158,556 |
| MS-DRG 002 | 284 | 18 | 97,932 |
| MS-DRGs 001 and 002—All cases | 1,531 | 30.4 | 147,310 |
| MS-DRG 005 | 828 | 19 | 66,746 |
| MS-DRG 006 | 282 | 8.75 | 30,873 |
| MS-DRGs 005 and 006—All cases | 1,110 | 16.3 | 57,632 |
The data showed that the majority of the heart transplant cases, a total of 1,247, are assigned to MS-DRG 001, with average costs of approximately $158,556 and an average length of stay of approximately 33.27 days. There were 284 cases assigned to MS-DRG 002, with average costs of approximately $97,932 and an average length of stay of approximately 18 days.
This table shows that there are significant differences in average lengths of stay and average costs for the severity level for the heart transplant MS-DRGs that justify the existing split in MS-DRGs 001 and 002. If we were to combine the heart transplant cases in MS-DRGs 001 and 002 as suggested by the commenter, the payment for the majority of cases with an MCC would be lower.
The majority of the liver transplant cases, 828 cases, were assigned to MS-DRG 005, with average costs of approximately $66,746 and an average length of stay of approximately 19 days. There were 282 cases assigned to MS-DRG 006, with average costs of approximately $30,873 and an average length of stay of approximately 8.75 days. The data showed that there are significant differences in average costs and average lengths of stay in the severity levels for the liver transplant MS-DRGs. Again, if we were to combine all the liver transplant cases into one MS-DRG as requested by the commenter, the majority of the cases would receive lower payment.
Based on these findings, we stated in the proposed rule that we believe that it would not be prudent to eliminate the severity levels for the heart and liver transplant MS-DRGs. Our clinical advisors concurred with this analysis that two severity levels are justified for the heart and liver transplant MS-DRGs. Therefore, for FY 2014, we did not propose to make any changes to the severity levels for heart and liver transplant MS-DRGs 001, 002, 005, and 006. We invited public comments on this issue.
Comment: Several commenters agreed with CMS' proposal to maintain the current structure for heart and liver transplant MS-DRGs. The commenters stated that the proposal seems reasonable based on the data and information provided. One commenter agreed with CMS that creating only one MS-DRG for heart transplants or implants of heart assist systems, regardless of whether or not there is a major complication or comorbidity (MCC) present, would greatly underpay the complex cases which currently represent the majority of the volume and overpay for those less severe cases.
Response: We appreciate the commenters' support for maintaining the severity levels for the heart and liver transplant MS-DRGs based on data and our analysis.
After consideration of the public comments we received, we are not making any changes to MS-DRGs 001, 002, 005, and 006 for FY 2014.
2. MDC 1 (Diseases and Disorders of the Nervous System): Tissue Plasminogen Activator (tPA) (rtPA) Administration Within 24 Hours Prior to Admission
During the comment period for the FY 2013 IPPS/LTCH PPS proposed rule, we received a public comment that we considered to be outside the scope of that proposed rule. We stated in the FY 2013 IPPS/LTCH PPS final rule (77 FR 53325) that we would consider this issue in future rulemaking as part of our annual review process. The commenter requested that CMS conduct an analysis of diagnosis code V45.88 (Status post administration of tPA (rtPA) in a different facility within the last 24 hours prior to admission to current facility). Diagnosis code V45.88 was created for use beginning October 1, 2008, to identify patients who are given tissue plasminogen activator (tPA) at one institution and then transferred and admitted to a comprehensive stroke center for further care. This situation has been referred to as the “drip-and-ship” issue and was discussed at length in the FY 2009 IPPS proposed rule (73 FR 23563 through 23564) and final rule (73 FR 48493 through 48495), as well as the FY 2011 IPPS/LTCH PPS proposed rule (75 FR 23899 through 23900) and final rule (75 FR 50102 through 50106). We refer readers to these previous discussions for detailed background information regarding this topic.
Similar to previous requests, according to the commenter, the concern at the receiving facilities is that the costs associated with [caring for] more complex stroke patients that receive tPA are much higher than the cost of the drug, presumably because stroke patients initially needing tPA have more complicated strokes and outcomes. However, because these patients do not receive the tPA at the second or transfer hospital, the receiving hospital will not be able to assign the case to one of the higher-weighted tPA stroke MS-DRGs when it admits these patients whose care requires the use of intensive resources. The MS-DRGs that currently include the diagnosis code for the use of tPA are: MS-DRG 061 (Acute Ischemic Stroke with Use of Thrombolytic Agent with MCC); MS-DRG 062 (Acute Ischemic Stroke with Use of Thrombolytic Agent with CC); and MS-DRG 063 (Acute Ischemic Stroke with Use of Thrombolytic Agent without CC/MCC). These MS-DRGs have higher relative weights than the other MS-DRGs relating to stroke or cerebral infarction. The commenter requested an analysis of diagnosis code V45.88 to determine whether new claims data warrant any change in the MS-DRG structure.
For the FY 2014 IPPS/LTCH PPS proposed rule, we analyzed MedPAR claims data from FY 2012. We included claims for patient cases assigned to the following MS-DRGs:
- 061 (Acute Ischemic Stroke with Use of Thrombolytic Agent with MCC)
- 062 (Acute Ischemic Stroke with Use of Thrombolytic Agent with CC)
- 063 (Acute Ischemic Stroke with Use of Thrombolytic Agent without CC/MCC)
- 064 (Intracranial Hemorrhage or Cerebral Infarction with MCC)
- 065 (Intracranial Hemorrhage or Cerebral Infarction with CC)
- 066 (Intracranial Hemorrhage or Cerebral Infarction without CC/MCC).
Our data analysis included MS-DRGs 064, 065, and 066 because claims involving diagnosis code V45.88 also would be properly reported in the data for these MS-DRGs. The following table reflects the results of our analysis of the MedPAR data in which diagnosis code V45.88 was reported as a secondary diagnosis for FY 2012.
| MS-DRG | Number of cases | Average length of stay | Average costs |
|---|---|---|---|
| MS-DRG 061—All cases | 3,369 | 7.48 | $18,556 |
| MS-DRG 061—Cases with secondary diagnosis code V45.88 | 140 | 7.51 | 19,008 |
| MS-DRG 062—All cases | 5,277 | 4.92 | 12,935 |
| MS-DRG 062—Cases with secondary diagnosis code V45.88 | 179 | 5.03 | 13,317 |
| MS-DRG 063—All cases | 1,709 | 3.45 | 10,363 |
| MS-DRG 063—Cases with secondary diagnosis code V45.88 | 48 | 3.15 | 9,372 |
| MS-DRG 064—All cases | 64,095 | 6.30 | 11,654 |
| MS-DRG 064—Cases with secondary diagnosis code V45.88 | 955 | 7.06 | 14,432 |
| MS-DRG 065—All cases | 101,011 | 4.29 | 7,414 |
| MS-DRG 065—Cases with secondary diagnosis code V45.88 | 1,259 | 4.91 | 9,471 |
| MS-DRG 066—All cases | 56,620 | 2.92 | 5,414 |
| MS-DRG 066—Cases with secondary diagnosis code V45.88 | 493 | 3.28 | 6,682 |
Based on our review of the data for all of the cases in MS-DRGs 064, 065, and 066, compared to the subset of cases containing diagnosis code V45.88 as the secondary diagnosis, we again concluded that the movement of cases with diagnosis code V45.88 as a secondary diagnosis from MS-DRGs 064, 065, and 066 to MS-DRGs 061, 062, and 063 is not warranted. We determined that the differences in the average lengths of stay and the average costs are too small to warrant an assignment to the higher-weighted MS-DRGs.
However, the data do reflect that the average costs for cases reporting diagnosis code V45.88 as a secondary diagnosis in MS-DRG 066 are more similar to the average costs of higher severity level cases in MS-DRG 065. Therefore, for FY 2014, we proposed to move cases with diagnosis code V45.88 from MS-DRG 066 to MS-DRG 065, and to revise the title of MS-DRG 065 to reflect the patients status post tPA administration within 24 hours (78 FR 27513 through 27514). The proposed revised MS-DRG title was: MS-DRG 065 (Intracranial Hemorrhage or Cerebral Infarction with CC or tPA in 24 Hours). We invited public comments on our proposal.
Comment: Several commenters supported CMS' proposal to reassign cases reporting ICD-9-CM diagnosis code V45.88 from MS-DRG 66 to MS-DRG 65. The commenters stated this proposal would allow for more appropriate payment and recognition of the resources required to care for stroke patients who are transferred. Several other commenters stated that the proposal was reasonable considering the data and clinical information provided.
Response: We appreciate the commenters' support. We agree that this modification to the MS-DRGs involving stroke patients will better reflect the increased costs of caring for these transfer cases.
Comment: One commenter who supported the proposal to reassign cases reporting ICD-9-CM diagnosis code V45.88 from MS-DRG 66 to MS-DRG 65 also urged CMS to move cases reporting ICD-9-CM diagnosis code V45.88 from MS-DRG 64 (Intracranial Hemorrhage or Cerebral Infarction with MCC) to MS-DRG 62 (Acute Ischemic Stroke with Use of Thrombolytic Agent with CC). The commenter noted that “It is essential that hospitals are fairly reimbursed for the additional resources associated with caring for patients treated with IV tPA even when the tPA is administered at another hospital before transfer. Without adequate reimbursement through the MS-DRG system, receiving hospitals are financially penalized for accepting patients and giving them advanced stroke care which is detrimental to stroke systems and patients suffering strokes.”
Response: We also acknowledge the commenter's concern regarding appropriate payment for the additional resources required in caring for patients treated with tPA and subsequently transferred to another facility. As stated in the FY 2014 IPPS/LTCH PPS proposed rule (78 FR 27513), we concluded that the movement of cases with diagnosis code V45.88 as a secondary diagnosis from MS-DRGs 064, 065, and 066 to MS-DRGs 061, 062, and 063 is not warranted based on our review of the data. In addition, our clinical advisors did not support movement of these non-tPA cases into the MS-DRGs where tPA is administered as it violates the clinical cohesiveness of these two sets of DRGs.
After consideration of the public comments we received, we are adopting as final policy for FY 2014, our proposal to move cases with diagnosis code V45.88 from MS-DRG 066 to MS-DRG 065 and to revise the title to MS-DRG 065 (Intracranial Hemorrhage or Cerebral Infarction with CC or tPA in 24 Hours).
3. MDC 4 (Diseases and Disorders of the Ear, Nose, Mouth and Throat)
a. Endoscopic Placement of a Bronchial Value
In response to the FY 2013 IPPS/LTCH PPS proposed rule, we received a request to modify the MS-DRG assignment for bronchial valve(s) insertion, which we considered to be outside of the scope of that proposed rule (77 FR 53325 through 53326). The requestor asked that cases in MS-DRGs 190, 191, and 192 (Chronic Obstructive Pulmonary Disease with MCC, with CC, and without MCC/CC, respectively) that involve insertion of a bronchial valve be assigned instead to MS-DRGs 163, 164, and 165 (Major Chest Procedures with MCC, with CC, and without MCC/CC, respectively). The procedures are captured by procedure codes 33.71 (Endoscopic insertion or replacement of bronchial valve(s), single lobe) and 33.73 (Endoscopic insertion or replacement of bronchial valve(s), multiple lobes), which are considered nonoperating procedures and do not affect the MS-DRG assignment. When reported without any other operating room (OR) procedure code, the admission would be assigned to a medical MS-DRG.
The Spiration® IBV Valve System device, a bronchial valve, was approved for new technology add-on payments in the FY 2010 IPPS/RY 2010 LTCH PPS final rule (74 FR 43819 through 43823) with a maximum payment rate of $3,437.50. In the FY 2012 IPPS/LTCH PPS final rule, the new technology add-on payments were discontinued for FY 2012 (76 FR 51575 through 51576). The bronchial valve device is used to place, via bronchoscopy, small, one-way valves into selected small airways in the lung in order to limit airflow into selected portions of lung tissue that have prolonged air leaks following surgery while still allowing mucus, fluids, and air to exit, and thereby reducing the amount of air that enters the pleural space. The device is intended to control prolonged air leaks following three specific surgical procedures: lobectomy, segmentectomy, or lung volume reduction surgery (LVRS). According to Spiration®, an air leak that is present on postoperative day 7 is considered “prolonged” unless present only during forced exhalation or cough. In order to help prevent valve migration, there are five anchors with tips that secure the valve to the airway. The implanted valves are intended to be removed no later than 6 weeks after implantation.
New technology add-on payments were limited to cases involving prolonged air leaks following lobectomy, segmentectomy, and LVRS in MS-DRGs 163, 164, and 165 in the FY 2010 IPPS/RY 2010 LTCH PPS final rule (74 FR 43823). This limitation was based on the indications for use approved by the FDA in the FDA Humanitarian Device Exemption (HDE) approval process set forth in section 520(m) of the Federal Food, Drug Cosmetic Act. A humanitarian use device (HUD) is a device that is intended to benefit patients by treating or diagnosing a disease or condition that affects or is manifested in fewer than 4,000 individuals in the United States per year. Devices that receive HUD designation may be eligible for marketing approval, subject to certain restrictions, under an HDE application. To obtain marketing approval for an HUD, an HDE application must be submitted to the FDA. An HDE application is a premarket approval (PMA) application submitted to the FDA under 21 CFR 814.104 that seeks exemption from the PMA requirement under 21 CFR 814.20 demonstrating a reasonable assurance of effectiveness. A device that has received HUD designation may receive HDE approval if, among other things, the FDA determines that the device will not expose patients to an unreasonable or significant risk of illness or injury and the probable benefit to health from use of the device outweighs the risk of injury or illness from its use, taking into account the probable risks and benefits of currently available devices or alternative forms of treatment. In addition, the applicant must demonstrate that no comparable devices are available to treat or diagnose the disease or condition (other than another device approved under an HDE application or a device under an approved Investigational Device Exemption), and that the device would not otherwise be available unless an HDE is granted. An approved HDE authorizes marketing of the HUD. However, an HUD generally may be used in facilities only after prior approval by an Institutional Review Board (IRB).
FDA's approval of the HDE application limited the use of the Spiration® IBV Valve System device to cases involving prolonged air leaks following lobectomy, segmentectomy, or LVRS.
The requested MS-DRG change would initiate the same payment for chronic obstructive pulmonary disease (COPD) cases with a bronchial valve inserted without a major chest procedure as for cases where both a major chest procedure and a bronchial valve insertion were performed. The following table shows the COPD cases that involved the insertion of a bronchial valve as well as data on cases assigned to MS-DRGs 163, 164, and 165.
| MS-DRGs | Number of cases | Average length of stay | Average costs |
|---|---|---|---|
| COPD Cases | |||
| MS-DRG 190—All cases | 133,566 | 5.07 | $7,815 |
| MS-DRG 190—Cases with procedure code 33.71 | 0 | 0 | 0 |
| MS-DRG 190—Cases with procedure code 33.73 | 2 | 14.0 | 47,034 |
| MS-DRG 191—All cases | 129,231 | 4.18 | 6,245 |
| MS-DRG 191—Cases with procedure code 33.71 | 0 | 0 | 0 |
| MS-DRG 191—Cases with procedure code 33.73 | 0 | 0 | 0 |
| MS-DRG 192—All cases | 93,507 | 3.32 | 4,776 |
| MS-DRG 192—Cases with procedure code 33.71 | 0 | 0 | 0 |
| MS-DRG 192—Cases with procedure code 33.73 | 0 | 0 | 0 |
| Major Chest Procedures | |||
| MS-DRG 163—All cases | 11,287 | 13.33 | 32,728 |
| MS-DRG 164—All cases | 16,113 | 6.69 | 17,494 |
| MS-DRG 165—All cases | 9,280 | 3.94 | 12,209 |
Based on our analysis of FY 2012 Medicare claims data, there were only two COPD cases that had bronchial valves inserted in MS-DRGs 190, 191, and 192. While the charges were high, these cases were assigned to the highest severity level MS-DRG (MS-DRG 190 with MCC). Given the small number of cases, it is not possible to determine if the high average costs were due to the bronchial valve insertion or to other factors such as other secondary diagnoses. The average length of stay for these two cases was approximately 14 days compared to approximately 5.07 days for all other cases within MS-DRG 190. Because the additional 10 days cannot be clinically attributed to the bronchial valve insertion, our clinical advisors have determined that other factors must have impacted these two cases.
Cases in MS-DRGs 163, 164, and 165 include those cases with a major chest procedure and those cases with both a major chest procedure as well as a bronchial valve insertion as discussed above. Our clinical advisors do not support moving COPD cases that have only a bronchial valve insertion and no other major chest procedure from MS-DRGs 190, 191, and 192 to MS-DRGs 163, 164, and 165. They do not believe the bronchial valve procedures are clinically similar to other major chest procedures that require significantly more resources to perform. Our clinical advisors pointed out that the limited circumstances where this procedure would be used led the sponsor to seek HDE approval from the FDA rather than a standard PMA. The indications for use approved by the FDA are still limited to post-surgery. Our clinical advisors recommended that we not modify the MS-DRG logic so that COPD cases with bronchial valve insertions would be assigned to MS-DRGs 163, 164, and 165.
Given the limited number of cases for this procedure and the advice from our clinical advisors, in the FY 2014 IPPS/LTCH PPS proposed rule (78 FR 27514 through 27515), we did not propose any MS-DRG changes for bronchial valve(s) insertion for FY 2014. We also did not propose to change the MS-DRG assignment for procedures involving bronchial valve(s) insertion (procedure codes 33.71 and 33.73) within MS-DRGs 190, 191, and 192. We invited public comment on this issue.
Comment: A number of commenters supported CMS' proposal not to change the MS-DRG assignment for procedures involving bronchial valve(s) insertion (procedure codes 33.71 and 33.73) which are currently assigned to MS DRGs 190, 191, and 192 and to move them to MS-DRGs 163, 164, and 165. Several of these commenters stated that the proposal not to propose any MS-DRG changes for bronchial valve(s) insertion was reasonable given the data and information provided. Other commenters agreed with the proposal not to change the MS-DRG assignment for bronchial valve insertions.
Response: We appreciate the commenters' support.
Comment: One commenter disagreed with the proposal not to change the MS-DRG assignment for bronchial valves. The commenter recommended reclassifying bronchial valve procedure codes 33.71 and 33.73 as operating room procedures rather than nonoperating procedures so that they will map to a surgical MS-DRG for inpatient hospitalizations. The commenter also recommended reassigning cases that currently map to medical MS-DRGs 190, 191, and 192 (Chronic Obstructive Pulmonary Disease with MCC, with CC, and without MCC/CC, respectively) that involve insertion of bronchial valves (ICD-9 CM procedures codes 33.71 and 33.73) to surgical MS-DRGs 163, 164, and 165 (Major Chest Procedures with MCC, with CC, or without MCC/CC, respectively). The commenter stated that currently, bronchial valve procedures are performed under a Humanitarian Device Exemption (HDE) under the Food and Drug Administration (FDA) and indicated for patients with a prolonged air leak, or air leak likely to become prolonged, following lobectomy, segmentectomy, or lung volume reduction surgery. The commenter stated that bronchial valves also are being investigated for emphysema, but this indication has not yet been approved by the FDA. The commenter stated that bronchial valve cases are more clinically complex and costly compared to other types of cases with MS-DRGs 190-192 and are more appropriately assigned to MS-DRGs 163, 164, and 165.
The commenter acknowledged that there were only two cases involving bronchial valves within MS-DRGs 190, 191, and 192. However, the commenter stated that other MS-DRGs such as those for deep brain stimulation therapy in MS-DRGs 023 and 024 (Craniotomy with Major Device Implant/Acute Complex CNS PDX with MCC or Chemo Implant and Craniotomy with Major Device Implant/Acute Complex CNS PDX with MCC or Chemo Implant without MCC, respectively) and liver and intestinal transplantation in MS-DRG 005 and 006 (Liver Transplant and/or Intestinal Transplant with MCC and Liver Transplant and/or Intestinal Transplant without MCC) contain a small number of cases. The commenter believed that the two bronchial valve cases currently assigned to the medical MS-DRG 190 would be better aligned in terms of complexity, length of stay, and costs to a surgical MS-DRG set.
Response: As stated earlier, our clinical advisors do not believe the bronchial valve procedures are clinically similar to other major chest procedures that require significantly more resources to perform. We once again point out the limited circumstances where the FDA has approved the bronchial valve are still limited to postsurgery use. The two cases that were assigned to MS-DRG 190 could have had higher costs due to a number of other factors other than the bronchial valve. Our clinical advisors noted the long length of stay for these two cases, which would not have been the result of the bronchial valve. Therefore, we do not believe it is appropriate to reclassify the bronchial valve procedure codes as operating room procedures and reassign the cases from MS-DRGs 190, 191, and 192 to MS-DRGs 163, 164, and 165.
After consideration of the public comments we received, we are finalizing our proposal not to change the MS-DRG assignments for procedures involving bronchial valve(s) insertion (procedure codes 33.71 and 33.75) within MS-DRGs 190, 191, and 192.
b. Pulmonary Thromboendarterectomy (PTE) With Full Circulatory Arrest
We received a request from a university medical center to create a new MS-DRG or to reassign cases reporting a unique approach to pulmonary thromboendarterectomy (PTE) surgery performed with full cardiac arrest and hypothermia. The requestor asked that we move cases from MS-DRGs 163, 164, and 165 (Major Chest Procedures with MCC, with CC, and without CC/MCC, respectively) to MS-DRGs 228, 229, and 230 (Other Cardiothoracic Procedures with MCC, with CC, and without CC/MCC, respectively). Currently, MS-DRGs 163, 164, and 165 are grouped within MDC 4 (Diseases and Disorders of the Respiratory System) while MS-DRGs 228, 229, and 230 are grouped within MDC 5 (Diseases and Disorders of the Circulatory System).
The requestor identified two conditions for which a pulmonary endarterectomy procedure is typically performed. These conditions are identified by ICD-9-CM diagnosis codes 415.19 (Other pulmonary embolism and infarction) and 416.2 (Chronic pulmonary embolism). However, the requestor noted that diagnosis code 415.19 is usually associated with traditional PTE for acute pulmonary embolism while diagnosis code 416.2 is associated with the medical center's unique approach to PTE performed with full cardiac arrest and hypothermia.
Currently, there is not a specific ICD-9-CM procedure code to accurately describe PTE surgery performed with full cardiac arrest and hypothermia. Rather, a subset of existing ICD-9-CM procedure codes may be used to identify the various components involved in this unique approach to PTE surgery; for example, ICD-9-CM procedure codes 38.15 (Endarterectomy, other thoracic vessels); 39.61 (Extracorporeal circulation auxiliary to open heart surgery); 39.62 (Hypothermia (systemic) incidental to open heart surgery); and 39.63 (Cardioplegia). However, it is not clear if the requestor reports any of these codes or a combination of these codes to identify its unique approach to the procedure.
According to the requestor, its approach to PTE surgery is significantly different from traditional pulmonary endarterectomy procedures in terms of complexity, resource use, and the population for which the procedure is performed. The requestor noted that the surgery is “conducted under profound hypothermia and circulatory arrest which involves placing the patient on cardiopulmonary bypass and cooling the body to 20 degrees centigrade or lower.” In addition, the requestor explained that “during this period of cooling and cardiac arrest, the heart is arrested and all of the patient's blood is removed from the body.” Following this, circulation is stopped completely allowing for “optimal and extensive dissection of the pulmonary arteries and identification of an endarterectomy plane which can be delicately incised into the deepest pulmonary vasculature.” The requestor further noted that “due to the complexity of the surgical technique, a very high degree of skill is required and the procedure is currently only performed by a handful of surgeons world-wide.” Lastly, the requestor stated the average operating time for a traditional PTE is approximately 3 to 4 hours compared to the university medical center's approach to PTE, which averages approximately 10 to 12 hours.
For the FY 2014 IPPS/LTCH PPS proposed rule, we analyzed claims data from the FY 2012 MedPAR file for cases reporting a principal diagnosis code of 415.19 or a principal diagnosis code of 416.2 along with procedure codes 38.15, 39.61, 39.62, and 39.63. As displayed in the table below, there were a total of 11,287 cases in MS-DRG 163 with an average length of stay of approximately 13.33 days and average costs of approximately $32,728. Using the combination of diagnosis and procedure codes as described above, the total number of cases found in MS-DRG 163 was 12, with average costs ranging from approximately $46,959 to $53,048 and an average length of stay ranging from approximately 13.50 days to 16.20 days. We acknowledge that the average length of stay and average costs for these cases are somewhat higher in comparison to the average lengths of stay and average costs of all the other cases in MS-DRG 163. However, the volume of cases was very low. The data reflect similar results for MS-DRG 164. Only 4 cases were identified in the analysis, with average costs ranging from approximately $21,669 to $37,447 and average lengths of stay ranging from approximately 7 days to 10 days.
In total, there were only 16 cases reflected in the data using the combination of diagnosis codes and proxy procedure codes. We believe there may be other factors contributing to the increased lengths of stay and costs. (We note that there were no cases found for a principal diagnosis code of 415.19 with procedure code 38.15 only. There also were no cases found in MS-DRG 165 using the combination of diagnosis and procedure codes.)
| MS-DRG | Number of cases | Average length of stay | Average costs |
|---|---|---|---|
| MS-DRG 163—All cases | 11,287 | 13.33 | $32,728 |
| MS-DRG 163—Cases with principal diagnosis code 415.19 with procedure code 38.15 and 39.61 or 39.62 or 39.63 | 4 | 13.50 | 46,959 |
| MS-DRG 163—Cases with principal diagnosis code 416.2 with procedure code 38.15 only | 3 | 14.33 | 53,048 |
| MS-DRG 163—Cases with principal diagnosis code 416.2 with procedure code 38.15 and 39.61 or 39.62 or 39.63 | 5 | 16.20 | 50,393 |
| MS-DRG 164—All cases | 16,113 | 6.69 | 17,494 |
| MS-DRG 164—Cases with principal diagnosis code 415.19 with procedure code 38.15 with 39.61 or 39.62 or 39.63 | 2 | 10.00 | 37,447 |
| MS-DRG 164—Cases with principal diagnosis code 416.2 with procedure code 38.15 only | 0 | 0 | 0 |
| MS-DRG 164—Cases with principal diagnosis code 416.2 with procedure code 38.15 and 39.61 or 39.62 or 39.63 | 2 | 7.00 | 21,669 |
As stated in previous rulemaking discussion, the MS-DRG classification system on which the IPPS is based comprises a system of averages. As such, it is understood that, in any particular MS-DRG, it is not unusual for a small number of cases to demonstrate higher than average costs, nor is it unusual for a small number of cases to demonstrate lower than average costs. Upon review of the MedPAR data, our clinical advisors agree that the current MS-DRG assignment for this unique procedure is appropriate.
We also analyzed claims data from the FY 2012 MedPAR file for MS-DRGs 228, 229, and 230 as illustrated below.
| MS-DRG | Number of cases | Average length of stay | Average costs |
|---|---|---|---|
| MS-DRG 228—Other cardiothoracic procedures with MCC | 1,643 | 13.26 | $46,758 |
| MS-DRG 229—Other cardiothoracic procedures with CC | 1,841 | 7.77 | 30,432 |
| MS-DRG 230—Other cardiothoracic procedures without CC/MCC | 506 | 5.08 | 25,068 |
ICD-9-CM procedure code 38.15 is designated as an operating room (OR) procedure code and currently groups to MS-DRGs 163, 164, and 165 in MDC 4 when either diagnosis code 415.19 or 416.2 are reported as the principal diagnosis. As diagnosis codes can only be assigned to one MDC within the GROUPER logic, it is not possible for a patient to have diagnosis code 415.19 or diagnosis code 416.2 reported along with procedure code 38.15 and grouped to MDC 5, which is where MS-DRGs 228, 229, and 230 are assigned.
Therefore, another aspect of this MS-DRG request involved the evaluation of moving ICD-9-CM diagnosis code 416.2 from MDC 4 to MDC 5. Our clinical advisors do not support moving diagnosis code 416.2 from MDC 4 to MDC 5 in order to accommodate this rare procedure performed by only a small number of physicians worldwide. They pointed out that a basic change such as moving diagnosis code 416.2 from MDC 4 to MDC 5 would impact a large number of patients who do not undergo this procedure. It also would disrupt trend data from over 30 years of DRG and MS-DRG reporting. Given the very small number of potential cases, and the advice of our clinical advisors, we determined that an MS-DRG modification was not warranted for FY 2014. Therefore, we did not propose to create a new MS-DRG or to reassign cases reporting this university medical center's approach to pulmonary thromboendarterectomy. We invited public comments on this issue.
Comment: Several commenters supported CMS' proposal to not create a new MS-DRG or to reassign cases for this alternative approach to pulmonary thromboendarterectomy. The commenters stated that the proposal was reasonable, given the data and information provided.
Response: We appreciate the commenters' support.
After consideration of the public comments we received, we are finalizing our proposal to not create a new MS-DRG or to reassign cases for this alternative approach to pulmonary thromboendarterectomy.
4. MDC 5 (Diseases and Disorders of the Circulatory System)
a. Discharge/Transfer to Designated Disaster Alternative Care Site
In the FY 2014 IPPS/LTCH PPS proposed rule (78 FR 27516), we proposed to add new patient discharge status code 69 (Discharged/transferred to a designated disaster alternative care site) to the MS-DRG GROUPER logic for MS-DRGs 280 (Acute Myocardial Infarction Discharged Alive with MCC), 281 (Acute Myocardial Infarction Discharged Alive with CC), and 282 (Acute Myocardial Infarction Discharged Alive without CC/MCC) to identify patients who are discharged or transferred to an alternative site that will provide basic patient care during a disaster response. As discussed in section II.G.7. of the preamble of the proposed rule, we also proposed to add this new discharge status code to the Medicare Code Editor (MCE) software. We invited public comments on this proposal.
Comment: Several commenters supported CMS' proposal to add the new patient discharge status code 69 to the MS-DRG GROUPER logic for MS-DRGs 280, 281, and 282 to identify patients who are discharged or transferred to an alternative site that will provide basic patient care during a disaster response. One commenter noted that this discharge status code would seldom be used. However, the commenter believed that the code is needed.
Response: We appreciate the commenters' support. We agree that this new discharge status code will be beneficial to identify patients who are involved in those disaster situations.
Comment: One commenter expressed concern with the proposal and questioned the purpose of implementing the new patient discharge status code 69 to only MS-DRGs 280, 281, and 282 within MDC 5.
Response: We take this opportunity to point out that the new discharge status code 69 was created and approved by the National Uniform Billing Committee (NUBC) for implementation on October 1, 2013. The purpose of adding this discharge status code 69 specifically to the GROUPER logic for MS-DRGs 280, 281, and 282 is to identify those patients diagnosed with an acute myocardial infarction (AMI) who were discharged/transferred to a designated disaster alternative care site alive. The GROUPER logic for these MS-DRGs differs from the GROUPER logic for MS-DRGs 283, 284, and 285 (Acute Myocardial Infarction, Expired with MCC, with CC, and without CC/MCC, respectively) where the patient has expired.
To further clarify, as discussed in section II.G.7.b. of the preamble of the proposed rule (78 FR 27520), this new discharge status code was also proposed to be added to the GROUPER and MCE logic. Therefore, it may be assigned to other MS-DRGs.
However, when the logic for an MS-DRG is defined by specific requirements, such as discharge status designation, the logic must be updated if a new discharge status is created to appropriately group a claim. Within MDC 5, for MS-DRGs 280, 281, and 282, the software logic is specifically defined by a patient who has been diagnosed with an AMI and is discharged alive. Assignment of the proposed new discharge status code 69 would not be valid for MS-DRGs 283, 284, and 285 where the patient has been diagnosed with an AMI and has expired. In other words, an AMI patient who has expired would not be discharged/transferred to a designated disaster alternative care site. Therefore, the addition of discharge status code 69 to the software logic for those MS-DRGs (283, 284, and 285) is not applicable within MDC 5. Alternatively, a patient who has been diagnosed with an AMI and is discharged alive would clearly have the opportunity to be discharged/transferred to a designated disaster alternative care site in a given disaster scenario or circumstance. Therefore, to ensure proper MS-DRG assignment, we proposed to add discharge status code 69 to MS-DRGs 280, 281, and 282 within MDC 5.
After consideration of the public comments we received, we are finalizing our proposal to add new patient discharge status code 69 to the MS-DRG GROUPER logic for MS-DRGs 280, 281, and 282.
b. Discharges/Transfers With a Planned Acute Care Hospital Inpatient Readmission
In the FY 2014 IPPS/LTCH PPS proposed rule (78 FR 27516), we also proposed to add 15 new discharge status codes to the MS-DRG GROUPER logic for MS-DRGs 280, 281, and 282 that will identify patients who are discharged with a planned acute care hospital inpatient readmission. As discussed in section II.G.7.b. of the preamble of the proposed rule, these new discharge status codes was proposed for addition to the MCE as well.
Shown in the table below are the current discharge status codes that are assigned to the GROUPER logic for MS-DRGs 280, 281, and 282, along with the proposed new discharge status codes and their titles.
| Current code | New code | Discharge status code title |
|---|---|---|
| 01 | 81 | Discharged to home or self-care with a planned acute care hospital inpatient readmission. |
| 02 | 82 | Discharged/transferred to a short term general hospital for inpatient care with a planned acute care hospital inpatient readmission. |
| 03 | 83 | Discharged/transferred to a skilled nursing facility (SNF) with Medicare certification with a planned acute care hospital inpatient readmission. |
| 04 | 84 | Discharged/transferred to a facility that provides custodial or supportive care with a planned acute care hospital inpatient readmission. |
| 05 | 85 | Discharged/transferred to a designated cancer center or children's hospital with a planned acute care hospital inpatient readmission. |
| 06 | 86 | Discharged/transferred to home under care of organized home health service organization with a planned acute care hospital inpatient readmission. |
| 21 | 87 | Discharged/transferred to court/law enforcement with a planned acute care hospital inpatient readmission. |
| 43 | 88 | Discharged/transferred to a federal health care facility with a planned acute care hospital inpatient readmission. |
| 61 | 89 | Discharged/transferred to a hospital-based Medicare approved swing bed with a planned acute care hospital inpatient readmission. |
| 62 | 90 | Discharged/transferred to an inpatient rehabilitation facility (IRF) including rehabilitation distinct part units of a hospital with a planned acute care hospital inpatient readmission. |
| 63 | 91 | Discharged/transferred to a Medicare certified long term care hospital (LTCH) with a planned acute care hospital inpatient readmission. |
| 64 | 92 | Discharged/transferred to a nursing facility certified under Medicaid but not certified under Medicare with a planned acute care hospital inpatient readmission. |
| 65 | 93 | Discharged/transferred to a psychiatric distinct part unit of a hospital with a planned acute care hospital inpatient readmission. |
| 66 | 94 | Discharged/transferred to a critical access hospital (CAH) with a planned acute care hospital inpatient readmission. |
| 70 | 95 | Discharged/transferred to another type of health care institution not defined elsewhere in this code list with a planned acute care hospital inpatient readmission. |
We invited public comments on our proposal to add the above listed new discharge status codes to the GROUPER logic for MS-DRGs 280, 281, and 282.
Comment: Commenters supported CMS' proposal to add the 15 new discharge status codes to the MS-DRG GROUPER logic for MS-DRGs 280, 281, and 282 that will identify patients who are discharged with a planned acute care hospital inpatient readmission. The commenters noted that these new discharge status codes will enable providers to better track AMI patients with planned versus unplanned readmissions.
Response: We appreciate the commenters' support. We agree that these new discharge status codes will assist in tracking patients diagnosed with an acute myocardial infarction who are discharged alive and expect to be readmitted at a later date.
Comment: One commenter stated that the addition of these 15 new discharge status codes to MS-DRGs 280-282 is unwarranted and believed that it will create a burden for providers to report and update systems. The commenter questioned if there is a timeframe associated with the use of these new discharge status codes and if this timeframe involves reporting a new discharge status code if the planned readmission is to treat the same condition as the current stay. In addition, the commenter questioned how CMS would verify that providers are applying these proposed discharge status codes appropriately. The commenter stated there are “plenty of descriptive discharge status codes that describe where the patient is going upon discharge. To add more to clarify what is planned seems burdensome and unnecessary.” Another commenter expressed concern with “targeting only a small number of DRGs for a large increase in applicable discharge status codes.”
Response: The new discharge status codes related to a planned acute care hospital inpatient readmission were developed and approved by the National Uniform Billing Committee (NUBC) in response to a request by the provider community. The purpose of the new codes is to allow providers to track these types of situations when they occur. According to meeting notes from the NUBC, there is not a designated timeframe (or limitation) in reporting these new codes.
With respect to ensuring that providers apply these proposed new discharge status codes correctly, we would like to point out that the American Health Information Management Association (AHIMA) has promulgated Standards of Ethical Coding that require accurate coding that includes the reporting of all health care data elements (for example, diagnosis and procedure codes, present on admission indicator, discharge status) required for external reporting purposes (for example, reimbursement and other administrative uses, population health, quality and patient safety measurement, and research) completely and accurately, in accordance with regulatory and documentation standards and requirements and applicable official coding conventions, rules, and guidelines. In addition, Medicare program integrity initiatives closely monitor for inaccurate coding, as well as coding inconsistent with medical record documentation.
In regard to the commenter's concern with targeting a small number of MS-DRGs with a large increase in discharge status codes, the discharge status codes were proposed to be added specifically to the GROUPER logic for MS-DRGs 280, 281, and 282 to identify those patients diagnosed with an acute myocardial infarction (AMI) who were discharged/transferred to another facility with a planned acute care hospital inpatient readmission alive. The GROUPER logic for these MS-DRGs differs from the GROUPER logic for MS-DRGs 283, 284, and 285 (Acute Myocardial Infarction, Expired with MCC, with CC, and without CC/MCC, respectively) where the patient has expired.
Similar to the discussion of discharge status code 69 in section II.G.4.a. of the preamble of this final rule, the planned readmission discharge status codes can also be reported for other MS-DRGs. We reiterate that, as discussed in section II.G.7.b. of the preamble of the proposed rule (78 FR 27520), these new discharge status codes were proposed for addition to the GROUPER and MCE logic as well.
When the logic for an MS-DRG is defined by specific requirements, such as a discharge status designation, the logic must be updated if a new discharge status is created to appropriately group a claim. Within MDC 5, for MS-DRGs 280, 281, and 282, the software logic is specifically defined by a patient who has been diagnosed with an AMI and is discharged alive. As such, the GROUPER logic requires that these discharge status codes for planned readmissions be added to the specific AMI DRGs where the patient has been discharged alive. An AMI patient who expired would not have a planned readmission. Therefore, these discharge status codes would not apply to MS-DRGs 283, 284, and 285 within MDC 5. Therefore, to ensure proper MS-DRG assignment, we proposed to add the 15 discharge status codes describing a planned readmission to MS-DRGs 280, 281, and 282 within MDC 5.
After consideration of the public comments we received, we are finalizing our proposal to add the above listed 15 new patient discharge status codes describing a planned acute care hospital inpatient readmission to the MS-DRG GROUPER logic for MS-DRGs 280, 281, and 282, effective October 1, 2013.
5. MDC 8 (Diseases and Disorders of the Musculoskeletal System and Connective Tissue)
a. Reverse Shoulder Procedures
We received a request to change the MS-DRG assignment for reverse shoulder replacement procedures which is captured with procedure code 81.88 (Reverse total shoulder replacement). The requestor did not suggest a specific new MS-DRG assignment, but requested that reverse shoulder replacement procedures be reassigned from MS-DRGs 483 and 484 (Major Joint/Limb Reattachment Procedure of, Upper Extremities with CC/MCC and without CC/MCC, respectively) or that we create a new MS-DRG for reverse shoulder replacement procedures.
Biomechanically, the reverse shoulder devices move the center of rotation of the arm laterally and change the direction of the pull of the deltoid muscle, allowing the deltoid muscle to elevate the arm without functioning rotator cuff tendons. The requestor stated that the use of traditional total shoulder devices in patients with a nonfunctioning rotator cuff frequently leads to long-term complications and unsatisfactory functional results. Patients with damaged rotator cuffs or rotator cuff syndrome have poor outcomes with traditional shoulder replacement devices. The reverse shoulder replacement procedure was created to address the clinical needs for patients who would have poor outcomes with a traditional shoulder replacement. The requestor stated that reverse shoulder replacement devices were designed to provide a superior functionality and outcomes for patients with damaged rotator cuffs.
The requestor stated that the reverse shoulder replacement procedure is technically more complex and requires a higher level of expertise than traditional shoulder procedures and involves several issues that make the surgery more complex. Patients who have had prior rotator cuff surgery have anchors and scar tissue that must be surgically addressed. Often, there also are severe deformities that must be addressed in order to establish stability.
The requestor acknowledged that the reverse shoulder replacement procedure is an upper extremity procedure like other procedures assigned to MS-DRGs 483 and 484. These MS-DRGs include the longstanding total shoulder replacement procedures as well as partial shoulder replacements. While the procedure is similar to other procedures in MS-DRGs 483 and 484, the requestor stated there are significant differences between the technical complexity and indications for usage from the other procedures. The requestor stated there are significant differences in resource usage and clinical coherence between longstanding approaches to shoulder replacement and other procedures assigned to MS-DRGs 483 and 484 and the reverse shoulder replacement procedure. The requestor stated not only was the resource consumption significantly higher, the individual supply costs for reserve shoulder replacement procedures were higher than the costs of other procedures assigned to MS-DRGs 483 and 484.
MS-DRGs 483 and 484 contain the following procedures:
- 81.73 (Total wrist replacement)
- 81.80 (Other total shoulder replacement)
- 81.81 (Partial shoulder replacement)
- 81.84 (Total elbow replacement)
- 81.88 (Reverse total shoulder replacement)
- 84.23 (Forearm, wrist, or hand reattachment)
- 84.24 (Upper arm reattachment).
As can be seen from this list, MS-DRGs 483 and 484 contain total and partial shoulder replacements, as well as replacement and attachment procedures on the wrist and upper arm. Both the newer shoulder replacement techniques as well as the longstanding shoulder replacement techniques are included in these MS-DRGs.
| MS-DRG | Number of cases | Average length of stay | Average costs |
|---|---|---|---|
| MS-DRG 483—All cases | 13,113 | 3.33 | $17,039 |
| MS-DRG 483—Cases with procedure code 81.88 | 5,690 | 3.30 | 19,023 |
| MS-DRG 484—All cases | 21,073 | 2.01 | 14,448 |
| MS-DRG 484—Cases with procedure code 81.88 | 7,505 | 2.08 | 16,890 |
As the above table illustrates, the average costs for reverse total shoulder replacement are approximately $2,000 higher than the average costs for all other procedures within MS-DRGs 483 and 484 and have similar average lengths of stays. While the average costs were higher, each MS-DRG has some cases that are higher and some cases that are lower than the average costs for the entire MS-DRG. We believe the average costs for the reverse shoulder replacement procedures are not inappropriately high compared to other procedures grouped within MS-DRGs 483 and 484. Therefore, the claims data do not support reassigning these cases or creating a new MS-DRG.
Our clinical advisors reviewed this issue and determined that the cases are appropriately assigned to MS-DRGs 483 and 484. As stated earlier, MS-DRGs 483 and 484 contain other types of shoulder replacements. Our clinical advisors believe it is appropriate to have all total shoulder replacement procedures within the same set of MS-DRGs. They do not believe it is appropriate to reassign those that use a different technique to accomplish the same goal, a total shoulder replacement. Therefore, our clinical advisors determined that this is an appropriate assignment for reverse shoulder replacement procedures from a clinical perspective. They also do not believe it is appropriate to move these cases to any other surgical, orthopedic MS-DRGs because of differences in the clinical makeup of the other surgical orthopedic MS-DRGs. Our clinical advisors recommended not creating a new MS-DRG for reverse shoulder replacement procedures because they believe the procedures are appropriately assigned to MS-DRGs 483 and 484. Therefore, based on claims data and clinical analysis, in the FY 2014 IPPS/LTCH PPS proposed rule (78 FR 27517 through 27518), we did not propose to reassign these cases to any other MS-DRGs or to create a new MS-DRG.
Based on the claims data and our clinical analysis, we did not propose to reassign cases reporting procedure code 81.88 from their current assignment to MS-DRGs 483 and 484 or to create a new MS-DRG. We invited public comments on this issue.
Comment: Several commenters supported CMS' proposal not to reassign reverse shoulder procedure cases reporting procedure code 81.88 from their current assignment to MS DRGs 483 and 484 or to create a new MS-DRG. Several commenters stated the proposal was reasonable given the data and information provided.
Other commenters disagreed with our recommendation of making no MS-DRG modifications for reverse shoulder procedures. One commenter stated that the procedure is unique enough in approach and cost to justify reassignment, or as an alternative, reassignment of all reverse shoulder cases to MS-DRG 483, even if the cases do not have a CC or MCC as a secondary diagnosis. The commenter stated that it is important to take into consideration the high volume of reverse shoulder procedures cases that have occurred in a very short period of time since this code was created. The commenter stated that, in the first year of this new code, more than one-third of the cases in each MS-DRG (483 and 484) are reverse shoulder procedures. For a newly created code, the commenter believed that this was extraordinary utilization and should indicate the importance of this unique procedure. The commenter stated that, without an examination of each case and the reason why some cases showed lower costs, it does not seem reasonable to dismiss the substantially higher average costs of the procedures. The commenter further stated that while CMS clinical advisors stated that reverse shoulder is a simply a different technique to accomplish the same goal of a total shoulder replacement, the procedure (and the device used in the procedure) is meeting an unmet need, uses significantly different techniques to implant the device, and requires additional skill, experience, and time to implant. Another commenter recommended that CMS create a new MS-DRG for reverse shoulder procedures because the procedure is used to treat some of the most complex patients and use greater resources.
Response: We agree with the commenters who stated that the data and our clinical analysis support the recommendation of making no MS-DRG changes for reverse shoulder procedures. Our clinical advisors continue to believe the procedure is a different technique to accomplish the same goal, a total shoulder replacement. We do not believe the data or a clinical analysis would support moving all reverse shoulder procedures into a new MS-DRG or moving all the reverse shoulder procedures to MS DRG 483. The difference in average costs for reverse shoulder procedures with a CC/MCC versus those without a CC/MCC is $2,133. The difference in average costs for all cases in MS-DRG 483 and MS-DRG 484 is $2,591. Clearly the presence of a CC or MCC has a consistent impact on the average costs of shoulder replacements. Our clinical advisors believe that it is important to maintain the clinical cohesion of MS-DRGs 483 and 484 to maintain severity levels for all shoulder replacement procedures.
The commenter who disagreed with our proposal pointed out that this procedure is being adopted at a rapid rate with one-third of the shoulder replacements using this new technique. Any growth in this approach of performing total shoulder replacements will be reflected in our claims data and will impact relative weights. Because the data and clinical analysis support keeping the reverse shoulder procedure in the same MS-DRG as other shoulder replacements, we are not modifying the MS-DRGs for reverse shoulder procedures.
After consideration of the public comments we received, we are finalizing our proposal to not reassign reverse shoulder cases reporting procedure code 81.88 from their current assignment in MS DRGs 483 and 484 or to create a new MS-DRG.
b. Total Ankle Replacement Procedures
In response to the FY 2013 IPPS/LTCH PPS proposed rule, we received a request to develop a new MS-DRG for total ankle replacements, which we considered to be outside the scope of that proposed rule (77 FR 53325). We are addressing this request as part of the FY 2014 IPPS/LTCH PPS rulemaking. The cases are captured by procedure code 81.56 (Total ankle replacement) and are assigned to MS-DRGs 469 and 470 (Major Joint Replacement or Reattachment of Lower Extremity with MCC and without MCC, respectively).
The commenter stated that total ankle procedures are much more clinically complex than total hip or total knee replacement procedures, which have their own distinct MS-DRGs. The commenter also stated that total ankle replacement is surgery that involves the replacement of the damaged parts of the three bones that make up the ankle joint, as compared to two bones in most other total joint procedures such as hip or knee replacement. The commenter stated that average costs of total ankle replacements are higher than those for total knee and hip replacements. Therefore, the commenter recommended that a new MS-DRG should be created for total ankle replacements. As an alternative, the commenter suggested that these cases be reassigned to MS-DRG 469 even if the cases do not have an MCC as a secondary diagnosis.
MS-DRGs 469 and 470 include a variety of procedures of the lower extremities including the procedures listed below. This group of lower extremity joint replacement and reattachment procedures was developed because they were considered to be clinically cohesive and to have similar resource consumptions.
- 00.85 (Resurfacing hip, total, acetabulum and femoral head)
- 00.86 (Resurfacing hip, partial, femoral head)
- 00.87 (Resurfacing hip, partial, acetabulum)
- 81.51 (Total hip replacement)
- 81.52 (Partial hip replacement)
- 81.54 (Total knee replacement)
- 81.56 (Total ankle replacement)
- 84.26 (Foot reattachment)
- 84.27 (Lower leg or ankle reattachment)
- 84.28 (Thigh reattachment)
As the table below shows, there were 1,275 cases reporting total ankle replacements with 21 cases in MS-DRG 469 and 1,254 cases in MS-DRG 470. The 1,254 cases in MS-DRG 470 have higher costs than other cases in MS-DRG 470 (approximately $17,242 compared to approximately $13,984). The 21 cases in MS-DRG 469 had average costs of approximately $23,360 compared to approximately $21,186 in average costs for all cases within MS-DRG 469. While these procedures are higher in average costs than other procedures within the MS-DRGs, we point out that cases are grouped together based on similar clinical and resource criteria. Some cases will have average costs higher than the overall average costs for the MS-DRG, while other cases will have lower average costs. Total ankle replacements represent 0.3 percent of the total number of cases within MS-DRGs 469 and 470.
| MS-DRGs | Number of cases | Average length of stay | Average costs |
|---|---|---|---|
| MS-DRG 469—All cases | 25,618 | 7.33 | $21,186 |
| MS-DRG 469—Cases with procedure code 81.56 | 21 | 6.81 | 23,360 |
| MS-DRG 470—All cases | 390,518 | 3.37 | 13,984 |
| MS-DRG 470—Cases with procedure code 81.56 | 1,254 | 2.19 | 17,242 |
| Total—All cases | 416,136 | ||
| Total—Cases with procedure code 81.56 | 1,275 |
Our clinical advisors reviewed this issue and determined that the total ankle replacements are appropriately classified within MS-DRGs 469 and 470. They do not support the commenter's contention that these cases are significantly more complex than knee and hip replacements. They believe that total ankle replacements are clinically consistent with other types of lower extremity joint replacements within MS-DRGs 469 and 470. Our clinical advisors do not support creating a new MS-DRG for total ankle replacements. After considering the results of examination of the claims data, the recommendations from our clinical advisors, and the small number of total ankle replacements, in the FY 2014 IPPS/LTCH PPS proposed rule (78 FR 27518 through 27519), we did not propose to create a new MS-DRG.
We also examined the request to move all total ankle replacements to the highest severity level, MS-DRG 469, even when no secondary diagnosis on the MCC list was reported. Moving all total ankle replacements to MS-DRG 469 would lead to overpayments of approximately $3,944 per case because the average costs of total ankle replacements in MS-DRG 470 was approximately $17,242, while the average costs of all cases in MS-DRG 469 was approximately $21,186. After considering the claims data as well as the input from our clinical advisors, in the FY 2014 IPPS/LTCH PPS proposed rule (78 FR 27518 through 27519), we did not propose that all total ankle procedures be assigned to MS-DRG 469 even when the case does not have an MCC reported as a secondary diagnosis. We believe the current MS-DRGs are appropriate for total ankle replacements.
In the FY 2014 IPPS/LTCH PPS proposed rule, we did not propose to create a new total ankle replacement MS-DRG or to reassign all total ankle replacements to MS DRG 469. We proposed to maintain the current MS-DRG assignments for total ankle replacements. We invited public comment on our proposals.
Comment: Several commenters supported CMS' recommendation to maintain the current MS-DRG assignments for total ankle replacements. Several commenters stated that the proposal not to create a new total ankle replacement MS-DRG or to reassign all total ankle replacements to MS DRG 469 was reasonable given the data and information provided. Other commenters offered support for our recommendation to maintain the current MS-DRG assignments for total ankle replacements.
Response: We appreciate the commenters' support.
Comment: Several commenters disagreed with the proposal. One commenter stated that total ankle procedures are more clinically complex than total hip or total knee replacement procedures, and that the higher average cost for total ankle procedures should qualify it for reassignment. Another commenter stated that the proposed policy is detrimental to hospitals' ability to provide in a cost effective manner clinically-proven intervention, and thus jeopardizes beneficiary access to total ankle replacement procedures. The commenter pointed out that CMS suggests that under the MS-DRG system in general, some cases will have average costs higher than the overall average costs for the MS-DRG, while other cases will have lower average costs. However, the commenter believed that, due to the wide variation of procedures that map to MS-DRGs 469 and 470, this is an insufficient rationale to systematically underpay for the average cost of the vast majority of total knee procedures by 28 percent. The commenter stated that total ankle replacement is a complex surgical procedure involving the replacement of the damaged parts of the three bones (talus, tibia and fibula) that make up the articulations of the ankle, as compared to two bones in most other total joint replacement procedures (for example, hip or knee). The commenter stated that establishing a separate MS-DRG for total ankle procedures is the best solution to ensuring that all joint replacement MS-DRGs are clinically coherent, and similar in resource use. The commenter recommended that if a separate MS-DRG could not be created, CMS reassign all total ankle replacements to MS-DRG 469 even if the cases do not report a MCC. Other commenters asked that total ankle replacements be reassigned to higher paying MS-DRGs because the procedures were clinically more complex and have higher average costs than other procedures within the current MS-DRGs.
Response: We disagree with the commenters who stated that the clinical complexity of total ankle procedures justifies reassigning the cases. As stated earlier, our clinical advisors reviewed this issue and determined that the total ankle replacements are appropriately classified with other lower joint procedures within MS-DRGs 469 and 470. They do not support the commenters' contention that these cases are significantly more complex than knee and hip replacements. Our clinical advisors believe that total ankle replacements are clinically consistent with other types of lower extremity joint replacements within MS-DRGs 469 and 470. As we also mentioned earlier, moving all total ankle replacements to MS-DRG 469 would lead to overpayments of approximately $3,944 per case because the average costs of total ankle replacements in MS-DRG 470 was approximately $17,242, while the average costs of all cases in MS DRG 469 was approximately $21,186. Our clinical advisors do not support creating a new MS-DRG for total ankle procedures or moving the cases to MS-DRG 469.
After consideration of the public comments we received, we are finalizing our proposal to maintain the current MS-DRG assignments for total ankle replacements captured by procedure code 81.56 and assigned to MS-DRGs 469 and 470.
6. MDC 15 (Newborns and Neonates With Conditions Originating in the Neonatal Period)
a. Persons Encountering Health Services for Specific Procedures, Not Carried Out
We received a request to evaluate the MS-DRG assignment of ICD-9-CM diagnosis codes V64.00 through V64.04, and V64.06 through V64.43 in MS-DRG 794 (Neonate with Other Significant Problems) under MDC 15. The requestor noted that the assignment of diagnosis code V64.05 (Vaccination not carried out because of caregiver refusal) was addressed in the FY 2011 IPPS/LTCH PPS final rule (75 FR 50111 through 50112). We removed diagnosis code V64.05 from MS-DRG 794 and added it to the “only secondary diagnosis” list for MS-DRG 795 (Normal Newborn). The requestor asked that we consider the reassignment of these diagnosis codes from MS-DRG 794 to MS-DRG 795. The codes under existing MS-DRG 794 include:
- V64.00 (Vaccination not carried out, unspecified reason)
- V64.01 (Vaccination not carried out because of acute illness)
- V64.02 (Vaccination not carried out because of chronic illness or condition)
- V64.03 (Vaccination not carried out because of immune compromised state)
- V64.04 (Vaccination not carried out because of allergy to vaccine or component)
- V64.06 (Vaccination not carried out because of patient refusal)
- V64.07 (Vaccination not carried out for religious reasons)
- V64.08 (Vaccination not carried out because patient had disease being vaccinated against)
- V64.09 (Vaccination not carried out for other reason)
- V64.1 (Surgical or other procedure not carried out because of contraindication)
- V64.2 (Surgical or other procedure not carried out because of patient's decision)
- V64.3 (Procedure not carried out for other reasons)
- V64.41 (Laparoscopic surgical procedure converted to open procedure)
- V64.42 (Thoracoscopic surgical procedure converted to open procedure)
- V64.43 (Arthroscopic surgical procedure converted to open procedure).
In a newborn case with one of these diagnosis codes reported as a secondary diagnosis, the case would be assigned to MS-DRG 794. The commenter believed that these diagnosis codes, when reported as a secondary diagnosis for a newborn case, should be assigned to MS-DRG 795 instead of MS-DRG 794.
Our clinical advisors reviewed this request and concur with the commenter that diagnosis codes V64.00 through V64.04, and V64.06 through V64.3 should not continue to be assigned to MS-DRG 794, as there is no clinically usable information reported in those codes identifying significant problems. However, our clinical advisors recommend that diagnosis codes V64.41, V64.42, and V64.43, which identify that a surgical procedure converted to an open procedure, continue to be assigned to MS-DRG 794. These diagnosis codes may indicate a more significant encounter that required a surgical intervention.
Therefore, for FY 2014, we proposed to reassign diagnosis codes V64.00 through V64.04, and V64.06 through V64.3 from MS-DRG 794 to MS-DRG 795 (78 FR 27519). Diagnosis codes V64.00 through V64.04, and V64.06 through V64.3 would be added to the “only secondary diagnosis” list for MS-DRG 795. Diagnosis codes V64.41, V64.42, and V64.43 would continue to be assigned to MS-DRG 794. We invited public comments on this proposal.
Comment: Several commenters supported CMS' proposal to reassign diagnosis codes V64.00 through V64.04 and V64.06 through V64.3 from MS-DRG 794 to MS-DRG 795. The commenters stated that the proposed reassignments were reasonable given the data and information provided.
Response: We appreciate the commenters' support.
After consideration of the public comments we received, we are finalizing our proposal of reassigning diagnosis codes V64.00 through V64.04 and V64.06 through V64.3 from MS-DRG 794 to MS-DRG 795.
b. Discharges/Transfers of Neonates With a Planned Acute Care Hospital Inpatient Readmission
In the FY 2014 IPPS/LTCH PPS proposed rule (78 FR 27519 and 27520), we proposed to add the patient discharge status codes shown in the table below to the MS-DRG GROUPER logic for MS-DRG 789 (Neonates, Died or Transferred to Another Acute Care Facility) to identify neonates that are transferred to a designated facility with a planned acute care hospital inpatient readmission.
| New code | Title |
|---|---|
| 82 | Discharged/transferred to a short term general hospital for inpatient care with a planned acute care hospital inpatient readmission. |
| 85 | Discharged/transferred to a designated cancer center or children's hospital with a planned acute care hospital inpatient readmission. |
| 94 | Discharged/transferred to a critical access hospital (CAH) with a planned acute care hospital inpatient readmission. |
Currently, the GROUPER logic for MS-DRG 789 contains discharge status codes 02 (Discharged/transferred to a short term general hospital for inpatient care), 05 (Discharged/transferred to a designated cancer center or children's hospital), and 66 (Discharged/transferred to a critical access hospital (CAH)).
As discussed in section II.G.7. of the preamble of the proposed rule, these new discharge status codes were also proposed for addition to the Medicare Code Editor (MCE). We invited public comments on our proposal.
Comment: Several commenters supported CMS' proposal to add the three new discharge status codes to the MS-DRG GROUPER logic for MS-DRG 789 (Neonates, Died or Transferred to Another Acute Care Facility) to identify neonates that are transferred to a designated facility with a planned acute care hospital inpatient readmission. The commenters noted the proposal was reasonable given the data and information provided.
Response: We appreciate the commenters' support.
Comment: One commenter expressed concern that the addition of these new discharge status codes to MS-DRG 789 would create a burden to providers in updating their systems and was unnecessary.
Response: As noted in the previous section, these new discharge status codes related to a planned acute care hospital inpatient readmission were developed and approved by the NUBC in response to a request by the provider community. For the commenters' benefit, we would like to point out how the GROUPER logic for MS-DRG 789 is designed. When the logic for an MS-DRG is defined by specific requirements, such as a discharge status designation, the logic must be updated if a new discharge status is created to appropriately group a claim.
With regard to the burden on providers for updating their systems, effective October 1 of each year, providers have gone through the process of updating their systems based on changes that were approved and finalized for the upcoming IPPS fiscal year.
After consideration of the public comments we received, we are finalizing our proposal to add new discharge status codes 82, 85, and 94 to the MS-DRG GROUPER logic for MS-DRG 789 for FY 2014.
7. Medicare Code Editor (MCE) Changes
The Medicare Code Editor (MCE) is a software program that detects and reports errors in the coding of Medicare claims data. Patient diagnoses, procedure(s), and demographic information are entered into the Medicare claims processing systems and are subjected to a series of automated screens. The MCE screens are designed to identify cases that require further review before classification into an MS-DRG.
a. Age Conflict Edit
We received a request to review three ICD-9-CM diagnosis codes currently listed under the age conflict edit within the MCE. The age conflict edit detects inconsistencies between a patient's age and any diagnosis on the patient's record. Specifically, the requestor recommended that CMS consider the removal of diagnosis codes 751.1 (Atresia and stenosis of small intestine), 751.2 (Atresia and stenosis of large intestine, rectum, and anal canal), and 751.61 (Biliary atresia) from the pediatric age conflict edit. Generally, diagnoses included in the list for the pediatric age conflict edit are applicable for ages 0 through 17.
The requestor noted that diagnosis code 751.1 was removed from the Integrated Outpatient Code Editor (IOCE) effective January 1, 2006. Our clinical advisors agree that patients described with any one of the above listed codes, although congenital anomalies, may require a revision procedure in adulthood. Therefore, we believe that the removal of these codes appears appropriate and also would be consistent with the IOCE.
We invited public comments on our proposal to remove diagnosis codes 751.1, 751.2, and 751.61 from the pediatric age conflict edit effective October 1, 2013.
Comment: Commenters supported the proposal to remove diagnosis codes 751.1, 751.2, and 751.61 from the pediatric age conflict edit effective October 1, 2013.
Response: We appreciate the commenters' support.
After consideration of the public comments we received, we are finalizing our proposal to remove diagnosis codes 751.1, 751.2, and 751.61 from the pediatric age conflict edit effective October 1, 2013.
b. Discharge Status Code Updates
To reflect changes in the UB-04 code set maintained by the National Uniform Billing Committee (NUBC), in the FY 2014 IPPS/LTCH PPS proposed rule (78 FR 27520), we proposed to add the following new discharge status codes to the CMS GROUPER and the MCE logic effective October 1, 2013.
One of the new discharge status codes corresponds to an alternative care site. This alternative care site discharge status code is intended to identify patients being discharged or transferred to an alternative site that will provide basic patient care during a disaster response. The new discharge status code is 69 (Discharged/transferred to a designated disaster alternative care site).
In addition, 15 new discharge status codes correspond with identifying planned acute care hospital inpatient readmissions. Shown below are the existing “base” discharge status codes and the new codes that will better identify patients who are discharged with a planned readmission.
| Base code | New code | Title |
|---|---|---|
| 01 | 81 | Discharged to home or self-care with a planned acute care hospital inpatient readmission. |
| 02 | 82 | Discharged/transferred to a short term general hospital for inpatient care. |
| 03 | 83 | Discharged/transferred to a skilled nursing facility (SNF) with Medicare certification with a planned acute care hospital inpatient readmission. |
| 04 | 84 | Discharged/transferred to a facility that provides custodial or supportive care with a planned acute care hospital inpatient readmission. |
| 05 | 85 | Discharged/transferred to a designated cancer center or children's hospital with a planned acute care hospital inpatient readmission. |
| 06 | 86 | Discharged/transferred to home under care of organized home health service organization with planned acute care hospital inpatient readmission. |
| 21 | 87 | Discharged/transferred to court/law enforcement with a planned acute care hospital inpatient readmission. |
| 43 | 88 | Discharged/transferred to federal health care facility with a planned acute care hospital inpatient readmission. |
| 61 | 89 | Discharged/transferred to a hospital-based Medicare approved swing bed with a planned acute care hospital inpatient readmission. |
| 62 | 90 | Discharged/transferred to an inpatient rehabilitation facility (IRF) including rehabilitation distinct part units of a hospital with a planned acute care hospital inpatient readmission. |
| 63 | 91 | Discharged/transferred to a Medicare certified long term care hospital (LTCH) with a planned acute care hospital inpatient readmission. |
| 64 | 92 | Discharged/transferred to a nursing facility certified under Medicaid but not certified under Medicare with a planned acute care hospital inpatient readmission. |
| 65 | 93 | Discharged/transferred to a psychiatric distinct part unit of a hospital with a planned acute care hospital inpatient readmission. |
| 66 | 94 | Discharged/transferred to a critical access hospital (CAH) with a planned acute care hospital inpatient readmission. |
| 70 | 95 | Discharged/transferred to another type of health care institution not defined elsewhere in this code list with a planned acute care hospital inpatient readmission. |
We invited public comments on our proposal to add the above listed new discharge status codes to the GROUPER and the MCE logic effective October 1, 2013 (FY 2014).
Comment: Several commenters supported CMS' proposal to add the above listed discharge status codes to the GROUPER and the MCE logic. However, some commenters asked CMS to clarify how it intends to use the new discharge status codes for planned acute care hospital inpatient readmissions. One commenter stated that, based on the description of a planned readmission algorithm in the FY 2014 IPPS/LTCH PPS proposed rule (78 FR 27595), it appears that CMS is planning to use an algorithm to identify planned readmissions for part of the Hospital Readmissions Reduction Program, rather than relying on the proposed new planned readmission discharge status codes reported on claims. This commenter suggested that CMS work with the NUBC to develop additional guidance on the proper use of the discharge status codes. The commenter noted: “for example, it is not clear if there is a limitation on the timeframe when the planned readmission is expected to occur in order to use these discharge status codes. It is also not clear whether these codes are limited to planned readmissions related to the current admission. For example, the plan of care might mention that the patient is returning in the future for scheduled treatment of a condition unrelated to the current hospitalization.”
Response: We appreciate the commenters' support. The new discharge status codes related to a planned acute care hospital inpatient readmission were developed and approved by the NUBC in response to a request by the provider community. Currently, the purpose of the new codes is to allow providers to track these types of situations when they occur. According to meeting notes from the NUBC, there is not a designated timeframe (or limitation) in reporting these new codes, and they define a readmission as “an intentional readmission after discharge from an acute care hospital that is a scheduled part of a patient's plan of care.”
The commenter is correct in its understanding that, under the Hospital Readmissions Reduction Program, CMS proposed in the FY 2014 IPPS/LTCH PPS proposed rule, and is finalizing in this final rule, an algorithm to identify planned versus unplanned readmissions and will continue to utilize this algorithm for the program. Therefore, at this time, these new discharge status codes are not related in any way to the Hospital Readmissions Reduction Program and will not be taken into account in the readmissions measures for that program.
After consideration of the public comments received, we are finalizing our proposal to add new discharge status code 69 (Discharged/transferred to a designated disaster alternative care site), as well as the 15 new discharge status codes related to a planned acute care hospital inpatient readmission listed above.
8. Surgical Hierarchies
Some inpatient stays entail multiple surgical procedures, each one of which, occurring by itself, could result in assignment of the case to a different MS-DRG within the MDC to which the principal diagnosis is assigned. Therefore, it is necessary to have a decision rule within the GROUPER by which these cases are assigned to a single MS-DRG. The surgical hierarchy, an ordering of surgical classes from most resource-intensive to least resource-intensive, performs that function. Application of this hierarchy ensures that cases involving multiple surgical procedures are assigned to the MS-DRG associated with the most resource-intensive surgical class.
Because the relative resource intensity of surgical classes can shift as a function of MS-DRG reclassification and recalibrations, for FY 2014, we reviewed the surgical hierarchy of each MDC, as we have for previous reclassifications and recalibrations, to determine if the ordering of classes coincides with the intensity of resource utilization.
A surgical class can be composed of one or more MS-DRGs. For example, in MDC 11, the surgical class “kidney transplant” consists of a single MS-DRG (MS-DRG 652) and the class “major bladder procedures” consists of three MS-DRGs (MS-DRGs 653, 654, and 655). Consequently, in many cases, the surgical hierarchy has an impact on more than one MS-DRG. The methodology for determining the most resource-intensive surgical class involves weighting the average resources for each MS-DRG by frequency to determine the weighted average resources for each surgical class. For example, assume surgical class A includes MS-DRGs 001 and 002 and surgical class B includes MS-DRGs 003, 004, and 005. Assume also that the average costs of MS-DRG 001 are higher than that of MS-DRG 003, but the average costs of MS-DRGs 004 and 005 are higher than the average costs of MS-DRG 002. To determine whether surgical class A should be higher or lower than surgical class B in the surgical hierarchy, we would weigh the average costs of each MS-DRG in the class by frequency (that is, by the number of cases in the MS-DRG) to determine average resource consumption for the surgical class. The surgical classes would then be ordered from the class with the highest average resource utilization to that with the lowest, with the exception of “other O.R. procedures” as discussed below.
This methodology may occasionally result in assignment of a case involving multiple procedures to the lower-weighted MS-DRG (in the highest, most resource-intensive surgical class) of the available alternatives. However, given that the logic underlying the surgical hierarchy provides that the GROUPER search for the procedure in the most resource-intensive surgical class, in cases involving multiple procedures, this result is sometimes unavoidable.
We note that, notwithstanding the foregoing discussion, there are a few instances when a surgical class with a lower average cost is ordered above a surgical class with a higher average cost. For example, the “other O.R. procedures” surgical class is uniformly ordered last in the surgical hierarchy of each MDC in which it occurs, regardless of the fact that the average costs for the MS-DRG or MS-DRGs in that surgical class may be higher than those for other surgical classes in the MDC. The “other O.R. procedures” class is a group of procedures that are only infrequently related to the diagnoses in the MDC, but are still occasionally performed on patients with cases assigned to the MDC with these diagnoses. Therefore, assignment to these surgical classes should only occur if no other surgical class more closely related to the diagnoses in the MDC is appropriate.
A second example occurs when the difference between the average costs for two surgical classes is very small. We have found that small differences generally do not warrant reordering of the hierarchy because, as a result of reassigning cases on the basis of the hierarchy change, the average costs are likely to shift such that the higher-ordered surgical class has lower average costs than the class ordered below it.
In the FY 2014 IPPS/LTCH PPS proposed rule, we proposed limited changes to the MS-DRG classifications for FY 2014, as discussed in sections II.G.2. and 5. of the preamble of the proposed rule. In our review of these proposed changes, we did not identify any needed changes to the surgical hierarchy. Therefore, in the proposed rule (78 FR 27521), we did not propose any changes to the surgical hierarchy for Pre-MDCs and MDCs for FY 2014.
Comment: Several commenters stated that the CMS proposal to make no changes to the surgical hierarchy seems reasonable given the data and information provided.
Response: Based on these public comments and our review of the proposal to make no revisions to the surgical hierarchy using the March 2013 update of the FY 2012 MedPAR file and the revised GROUPER software, we found that the proposal to make no revisions is still supported by the data. Therefore, in this final rule, we are making no changes to the surgical hierarchy for FY 2104.
9. Complications or Comorbidity (CC) Exclusions List
a. Background of the CC List and the CC Exclusions List
Under the IPPS MS-DRG classification system, we have developed a standard list of diagnoses that are considered CCs. Historically, we developed this list using physician panels that classified each diagnosis code based on whether the diagnosis, when present as a secondary condition, would be considered a substantial complication or comorbidity. A substantial complication or comorbidity was defined as a condition that, because of its presence with a specific principal diagnosis, would cause an increase in the length of stay by at least 1 day in at least 75 percent of the patients. However, depending on the principal diagnosis of the patient, some diagnoses on the basic list of complications and comorbidities may be excluded if they are closely related to the principal diagnosis. In FY 2008, we evaluated each diagnosis code to determine its impact on resource use and to determine the most appropriate CC subclassification (non-CC, CC, or MCC) assignment. We refer readers to sections II.D.2. and 3. of the preamble of the FY 2008 IPPS final rule with comment period for a discussion of the refinement of CCs in relation to the MS-DRGs we adopted for FY 2008 (72 FR 47152 through 47171).
b. CC Exclusions List for FY 2014
In the September 1, 1987 final notice (52 FR 33143) concerning changes to the DRG classification system, we modified the GROUPER logic so that certain diagnoses included on the standard list of CCs would not be considered valid CCs in combination with a particular principal diagnosis. We created the CC Exclusions List for the following reasons: (1) To preclude coding of CCs for closely related conditions; (2) to preclude duplicative or inconsistent coding from being treated as CCs; and (3) to ensure that cases are appropriately classified between the complicated and uncomplicated DRGs in a pair. As we indicated above, we developed a list of diagnoses, using physician panels, to include those diagnoses that, when present as a secondary condition, would be considered a substantial complication or comorbidity. In previous years, we have made changes to the list of CCs, either by adding new CCs or deleting CCs already on the list.
In the May 19, 1987 proposed notice (52 FR 18877) and the September 1, 1987 final notice (52 FR 33154), we explained that the excluded secondary diagnoses were established using the following five principles:
- Chronic and acute manifestations of the same condition should not be considered CCs for one another;
- Specific and nonspecific (that is, not otherwise specified (NOS)) diagnosis codes for the same condition should not be considered CCs for one another;
- Codes for the same condition that cannot coexist, such as partial/total, unilateral/bilateral, obstructed/unobstructed, and benign/malignant, should not be considered CCs for one another;
- Codes for the same condition in anatomically proximal sites should not be considered CCs for one another; and
- Closely related conditions should not be considered CCs for one another.
The creation of the CC Exclusions List was a major project involving hundreds of codes. We have continued to review the remaining CCs to identify additional exclusions and to remove diagnoses from the master list that have been shown not to meet the definition of a CC. [1]
(1) No Revisions Based on Changes to the ICD-9-CM Diagnosis Codes for FY 2014
In the FY 2014 IPPS/LTCH PPS proposed rule (78 FR 27522), we stated that, for FY 2014, there were no changes made to the ICD-9-CM coding system effective October 1, 2013, due to the partial code freeze. However, we did note that there may be ICD-9-CM coding changes finalized after the proposed rule (78 FR 27526). We are finalizing, for FY 2014, there were no changes made to the ICD-9-CM diagnosis codes. However, there are changes made to the ICD-9-CM procedure codes for FY 2014 due to new technology. (We refer readers to section II.G.11. of the preamble of the FY 2014 IPPS/LTCH PPS proposed rule and this final rule for a discussion of the ICD-9-CM coding system.)
(2) Changes to the MS-DRG Diagnosis Codes for FY 2014
(A) Coronary Atherosclerosis Due to Calcified Coronary Lesion
We received a request that we consider changing the severity levels for the following ICD-9-CM diagnosis code: 414.4 (Coronary atherosclerosis due to calcified coronary lesion). The requestor suggested that we change the severity level for diagnosis code 414.4 from a non-CC to an MCC.
The following chart shows the analysis of the MedPAR claims data for FY 2012 for ICD-9-CM diagnosis code 414.4.
| Code | Diagnosis description | CC level | Cnt 1 | Cnt 1 impact | Cnt 2 | Cnt 2 impact | Cnt 3 | Cnt 3 impact |
|---|---|---|---|---|---|---|---|---|
| 414.4 | Coronary atherosclerosis due to calcified lesion | Non-CC | 1,390 | 1.58 | 2,174 | 2.31 | 2,001 | 3.11 |
We ran the above data as described in the FY 2008 IPPS final rule with comment period (72 FR 47158 through 47161). The C1 value reflects a patient with no other secondary diagnosis or with all other secondary diagnoses that are non-CCs. The C2 value reflects a patient with at least one other secondary diagnosis that is a CC, but none that is an MCC. The C3 value reflects a patient with at least one other secondary diagnosis that is an MCC.
The chart above shows that the C1 finding is 1.58. A value close to 1.0 in the C1 field suggests that the diagnosis produces the same expected value as a non-CC. A value close to 2.0 suggests the condition is more like a CC than a non-CC, but not as significant in resource usage as an MCC. A value close to 3.0 suggests the condition is expected to consume resources more similar to an MCC than a CC or a non-CC.
The C2 finding was 2.31. A C2 value close to 2.0 suggests the condition is more like a CC than a non-CC, but not as significant in resource usage as an MCC when there is at least one other secondary diagnosis that is a CC but none that is an MCC.
While the C1 value of 1.58 is above the 1.0 value for a non-CC, it does not support reclassification to an MCC. As stated earlier, a value close to 3.0 suggests the condition is expected to consume resources more similar to an MCC than a CC or a non-CC. The C2 finding of 2.31 also does not support reclassifying this diagnosis code to an MCC. We also considered reclassifying the severity level of diagnosis code 414.4 to a CC; however, the C1 finding of 1.58 also does not support reclassifying the severity level to a CC. Our clinical advisors reviewed the data and evaluated this condition. They recommended that we not change the severity level of diagnosis code 414.4 from a non-CC to an MCC or a CC. They did not believe that this diagnosis would increase the severity level of patients. They pointed out that a similar code, diagnosis code 414.2 (Chronic total occlusion of coronary artery), is a non-CC. Our clinical advisors believe that diagnosis code 414.4 represents patients who are less severe than diagnosis code 414.2. Considering the C1 and C2 ratings and the input from our clinical advisors, in the FY 2014 IPPS/LTCH PPS proposed rule (78 FR 27522), we did not propose to reclassify diagnosis code 414.4 to an MCC; the diagnosis code would continue to be considered a non-CC.
Therefore, based on the data and clinical analysis, we proposed to maintain diagnosis code 414.4 as a non-CC. We invited public comment on our proposal.
Comment: Commenters supported the CMS proposal not to change diagnosis code 414.4 from a non-CC to an MCC. Several commenters stated that the changes seem reasonable given the data and information provided.
Response: We appreciate the commenters' support.
Comment: Several commenters disagreed with the proposal, stating that these patients are more expensive to treat.
Response: The claims data mentioned above do not support that patients with this condition require treatment with average costs at the MCC level. As stated above, the claims data support maintaining this code as a non-CC. Our clinical advisors once again reviewed this issue after reviewing the public comments. Based on their clinical review, our clinical advisors continue to support our proposal not to change diagnosis code 414.4 from a non-CC to an MCC.
Comment: One commenter asked CMS to rerun the data but did not provide a reason why it believed the data are in error nor point out any errors in the methodology. The commenter purchased the FY 2012 MedPAR data file and tried to replicate this analysis. The commenter found more cases in its data analysis. The commenter asked for clarification as to whether CMS used average costs or average charges in its computations, and why its findings might have been different.
Response: Our analysis is based on average costs. As we stated earlier, the December 2012 update of the FY 2012 MedPAR file is the claims data source for our data analysis. Because the commenter used a later file (the March 2013 update), its data included more cases. However, our data and clinical analysis support maintaining diagnosis code 414.4 as a non-CC and not changing it to a MCC.
After consideration of the public comments we received, we are finalizing our proposal to maintain diagnosis code 414.4 as a non-CC for FY 2014.
(B) Acute Cholecystitis Diagnosis Code
We received a comment recommending that we add diagnosis code 575.0 (Acute cholecystitis) to the CC Exclusion List when reported as a secondary diagnosis code with a principal diagnosis code 574.00 (Calculus of gallbladder with acute cholecystitis without mention of obstruction). We note that there is an “excludes note” under diagnosis code 575.0 which excludes “that with cholelithiasis (574.00)”. Therefore, diagnosis codes 575.0 and 574.00 should not be reported on the same claim. However, the commenter stated that there may be double reporting.
Our clinical advisors agree with the commenter that diagnosis codes 575.0 and 574.00 capture the same clinical context. Therefore, in the FY 2014 IPPS/LTCH PPS proposed rule (78 FR 27522), we proposed to add diagnosis code 575.0 to the CC Exclusion List when reported as a secondary diagnosis code with a principal diagnosis code 574.00. We invited public comments on our proposal.
Comment: Several commenters stated that the proposal to add diagnosis code 575.0 to the CC Exclusion List when reported as a secondary diagnosis code with principal diagnosis code 574.00 seems reasonable given the data and information provided.
Response: We appreciate the commenters' support.
After consideration of the public comments we received, we are finalizing our proposal to add diagnosis code 575.0 to the CC Exclusion List when reported as a secondary diagnosis code with principal diagnosis code 574.00 for FY 2014.
(C) Chronic Total Occlusion (CTO) of Artery of the Extremities Diagnosis Code
We received a request to consider removing atherosclerosis and aneurysm codes from the CC Exclusion List for diagnosis code 440.4 (Chronic total occlusion of artery of the extremities). For FY 2013, we changed the designation of diagnosis code 440.4 from a non-CC level to a CC level. The CC Exclusion List for diagnosis code 440.4 includes the following diagnosis codes:
| Diagnosis code | Code description |
|---|---|
| 440.20 | Atherosclerosis of native arteries of the extremities, unspecified. |
| 440.21 | Atherosclerosis of native arteries of the extremities with intermittent claudication. |
| 440.22 | Atherosclerosis of native arteries of the extremities with rest pain. |
| 440.23 | Atherosclerosis of native arteries of the extremities with ulceration. |
| 440.24 | Atherosclerosis of native arteries of the extremities with gangrene. |
| 440.29 | Other atherosclerosis of native arteries of the extremities. |
| 440.30 | Atherosclerosis of unspecified bypass graft of the extremities. |
| 440.31 | Atherosclerosis of autologous vein bypass graft of the extremities. |
| 440.32 | Atherosclerosis of nonautologous biological bypass graft of the extremities. |
| 440.4 | Chronic total occlusion of artery of the extremities. |
| 441.00 | Dissection of aorta, unspecified site. |
| 441.01 | Dissection of aorta, thoracic. |
| 441.02 | Dissection of aorta, abdominal. |
| 441.03 | Dissection of aorta, thoracoabdominal. |
| 441.1 | Thoracic aneurysm, ruptured. |
| 441.2 | Thoracic aneurysm without mention of rupture. |
| 441.3 | Abdominal aneurysm, ruptured. |
| 441.4 | Abdominal aneurysm without mention of rupture. |
| 441.5 | Aortic aneurysm of unspecified site, ruptured. |
| 441.6 | Thoracoabdominal aneurysm, ruptured. |
| 441.7 | Thoracoabdominal aneurysm, without mention of rupture. |
| 441.9 | Aortic aneurysm of unspecified site without mention of rupture. |
| 442.0 | Aneurysm of artery of upper extremity. |
| 442.2 | Aneurysm of iliac artery. |
| 442.3 | Aneurysm of artery of lower extremity. |
| 442.9 | Aneurysm of unspecified site. |
| 443.22 | Dissection of iliac artery. |
| 443.29 | Dissection of other artery. |
| 443.81 | Peripheral angiopathy in diseases classified elsewhere. |
| 443.82 | Erythromelalgia. |
| 443.89 | Other specified peripheral vascular diseases. |
| 443.9 | Peripheral vascular disease, unspecified. |
| 444.01 | Saddle embolus of abdominal aorta. |
| 444.09 | Other arterial embolism and thrombosis of abdominal aorta. |
| 444.1 | Embolism and thrombosis of thoracic aorta. |
| 444.21 | Arterial embolism and thrombosis of upper extremity. |
| 444.22 | Arterial embolism and thrombosis of lower extremity. |
| 444.81 | Embolism and thrombosis of iliac artery. |
| 444.89 | Embolism and thrombosis of other specified artery. |
| 444.9 | Embolism and thrombosis of unspecified artery. |
| 445.01 | Atheroembolism of upper extremity. |
| 445.02 | Atheroembolism of lower extremity. |
| 445.81 | Atheroembolism of kidney. |
| 445.89 | Atheroembolism of other site. |
| 447.0 | Arteriovenous fistula, acquired. |
| 447.1 | Stricture of artery. |
| 447.2 | Rupture of artery. |
| 447.5 | Necrosis of artery. |
| 447.6 | Arteritis, unspecified. |
| 447.70 | Aortic ectasia, unspecified site. |
| 447.71 | Thoracic aortic ectasia. |
| 447.72 | Abdominal aortic ectasia. |
| 447.73 | Thoracoabdominal aortic ectasia. |
| 449 | Septic arterial embolism. |
Diagnosis code 440.4 is a CC except if one of the diagnosis codes listed above is reported as a principal diagnosis. If one of the diagnosis codes listed above is reported on a claim as a principal diagnosis and code 440.4 is reported as a secondary diagnosis, code 440.4 would not be counted as a CC. The commenter requested that we remove atherosclerosis codes 440.20 through 440.32, 443.22, 443.29, 443.81 through 443.9, and aneurysm codes 441.00 through 441.03, 441.1 through 441.7, 441.9, 442.0, 442.2, 442.3, and 442.9 from the CC Exclusion List for diagnosis code 440.4.
According to the commenter, aneurysm diagnoses are not closely related clinically to peripheral CTOs. Aneurysm physiology, clinical symptomology, and patient risk profile are fundamentally different than CTOs. Aneurysms result from the weakening of an artery wall and manifest in an out-pouched pocket of the lumen. Conversely, patients with CTOs present with extended segments of diseased and narrowed vessels and in most cases, complex lesions containing fibro-calcified plaques.
The commenter stated that CTOs represent a high severity complication, which is not closely related to basic atherosclerosis.
Our clinical advisors agree with the commenter that the aneurysm and most of the atherosclerosis codes should be removed from the CC Exclusion List for diagnosis code 440.4. A case with a principal diagnosis of aneurysm with CTO adds substantial complexity and does not necessarily have the same immediate cause. A case with a principal diagnosis of atherosclerosis with CTO reported represents a more severe form of the disease and, therefore, is more complex. Our clinical advisors do not agree with the commenter that diagnosis codes 443.81 through 443.9 (Other and unspecified peripheral vascular diseases) should be removed from the CC Exclusion List. These cases are more likely related to CTO and meet one of the principles for exclusion that we previously outlined above.
Therefore, in the FY 2014 IPPS/LTCH PPS proposed rule (78 FR 27524), we proposed to remove the following diagnosis codes from the CC Exclusion List for diagnosis code 440.4 for FY 2014: atherosclerosis codes 440.20 through 440.32, 443.22, and 443.29, and aneurysm codes 441.00 through 441.03, 441.1 through 441.7, 441.9, 442.0, 442.2, 442.3, and 442.9. Diagnosis codes 443.81 through 443.9 would remain on the CC Exclusion List for diagnosis code 440.4. We invited public comments on this proposal.
Comment: Several commenters supported CMS' proposal to remove atherosclerosis codes 440.20 through 440.32, 443.22, and 443.29, and aneurysm codes 441.00 through 441.03, 441.1 through 441.7, 441.9, 442.0, 442.2, 442.3, and 442.9 from the CC Exclusion List for diagnosis code 440.4. Several commenters agreed with CMS' clinical advisors' assessment on aneurysm and atherosclerosis cases with CTO in that a case with a principal diagnosis of aneurysm with CTO adds substantial complexity and does not necessarily have the same immediate cause, and a case with a principal diagnosis of atherosclerosis with CTO reported represents a more severe form of the disease and, therefore, is more complex. Several commenters stated that this proposed change will compensate hospitals appropriately for the high cost and resource use associated with CTO treatment. Several commenters stated that the proposal seems reasonable given the data and information provided.
Response: We appreciate the commenters' support and agree that the change is warranted for these cases.
After consideration of the public comments we received, we are finalizing our proposal to remove atherosclerosis codes 440.20 through 440.32, 443.22, and 443.29, and aneurysm codes 441.00 through 441.03, 441.1 through 441.7, 441.9, 442.0, 442.2, 442.3, and 442.9 from the CC Exclusion List for diagnosis code 440.4. Diagnosis codes 443.81 through 443.9 would remain on the CC Exclusion List for diagnosis code 440.4 for FY 2014.
For FY 2014, we proposed changes to Table 6G (Additions to the CC Exclusion List) and Table 6H (Deletions from the CC Exclusion List) (78 FR 27524). As we discussed earlier, we are finalizing those changes for acute cholecystitis and chronic total occlusion of artery of the extremities diagnosis codes for FY 2014. As we discussed in the FY 2014 IPPS/LTCH PPS proposed rule, we did not propose any changes to the severity level for diagnosis code 414.4. In this final rule, we are finalizing our decision to maintain diagnosis code 414.4 as a non-CC. These two tables, which contain codes that are effective for discharges occurring on or after October 1, 2013, were not published in the Addendum to the proposed rule (nor are they being published in this final rule) because of the length of the two tables. Instead, we are making them available through the Internet on the CMS Web site at: http://www.cms.hhs.gov/Medicare/Medicare-Fee-for-Service-Payment/AcuteInpatientPPS/index.html. Each of these principal diagnosis codes for which there is a CC exclusion is shown in Tables 6G and 6H with an asterisk, and the conditions that will not count as a CC are provided in an indented column immediately following the affected principal diagnosis.
A complete updated MCC, CC, and Non-CC Exclusions List is available through the Internet on the CMS Web site at: http://www.cms.hhs.gov/Medicare/Medicare-Fee-for-Service-Payment/AcuteInpatientPPS/index.html. Beginning with discharges on or after October 1 of each fiscal year, the indented diagnoses are not recognized by the GROUPER as valid CCs for the asterisked principal diagnosis.
There are no new, revised, or deleted diagnosis codes for FY 2014. Therefore, there are no Tables 6A, 6C, and 6E published for FY 2014.
There are no additions or deletions to the MS-DRG MCC List for FY 2014. There also are no additions or deletions to the MS-DRG CC List for FY 2014. Therefore, there are no Tables 6I.1 through 6I.2 and 6J.1 through 6J.2 published for FY 2014.
Alternatively, the complete documentation of the GROUPER logic, including the current CC Exclusions List, is available from 3M/Health Information Systems (HIS), which, under contract with CMS, is responsible for updating and maintaining the GROUPER program. The current MS-DRG Definitions Manual, Version 30.0, is available on a CD for $225.00. Version 31.0 of this manual, which includes the final FY 2014 MS-DRG changes, is available on a CD for $225.00. These manuals may be obtained by writing 3M/HIS at the following address: 100 Barnes Road, Wallingford, CT 06492; or by calling (203) 949-0303, or by obtaining an order form at the Web site: http://www.3MHIS.com. Please specify the revision or revisions requested.
10. Review of Procedure Codes in MS DRGs 981 through 983; 984 through 986; and 987 through 989
Each year, we review cases assigned to former CMS DRG 468 (Extensive O.R. Procedure Unrelated to Principal Diagnosis), CMS DRG 476 (Prostatic O.R. Procedure Unrelated to Principal Diagnosis), and CMS DRG 477 (Nonextensive O.R. Procedure Unrelated to Principal Diagnosis) to determine whether it would be appropriate to change the procedures assigned among these CMS DRGs. Under the MS-DRGs that we adopted for FY 2008, CMS DRG 468 was split three ways and became MS-DRGs 981, 982, and 983 (Extensive O.R. Procedure Unrelated to Principal Diagnosis with MCC, with CC, and without CC/MCC, respectively). CMS DRG 476 became MS-DRGs 984, 985, and 986 (Prostatic O.R. Procedure Unrelated to Principal Diagnosis with MCC, with CC, and without CC/MCC, respectively). CMS DRG 477 became MS-DRGs 987, 988, and 989 (Nonextensive O.R. Procedure Unrelated to Principal Diagnosis with MCC, with CC, and without CC/MCC, respectively).
MS-DRGs 981 through 983, 984 through 986, and 987 through 989 (formerly CMS DRGs 468, 476, and 477, respectively) are reserved for those cases in which none of the O.R. procedures performed are related to the principal diagnosis. These MS-DRGs are intended to capture atypical cases, that is, those cases not occurring with sufficient frequency to represent a distinct, recognizable clinical group. MS-DRGs 984 through 986 (previously CMS DRG 476) are assigned to those discharges in which one or more of the following prostatic procedures are performed and are unrelated to the principal diagnosis:
- 60.0 (Incision of prostate)
- 60.12 (Open biopsy of prostate)
- 60.15 (Biopsy of periprostatic tissue)
- 60.18 (Other diagnostic procedures on prostate and periprostatic tissue)
- 60.21 (Transurethral prostatectomy)
- 60.29 (Other transurethral prostatectomy)
- 60.61 (Local excision of lesion of prostate)
- 60.69 (Prostatectomy, not elsewhere classified)
- 60.81 (Incision of periprostatic tissue)
- 60.82 (Excision of periprostatic tissue)
- 60.93 (Repair of prostate)
- 60.94 (Control of (postoperative) hemorrhage of prostate)
- 60.95 (Transurethral balloon dilation of the prostatic urethra)
- 60.96 (Transurethral destruction of prostate tissue by microwave thermotherapy)
- 60.97 (Other transurethral destruction of prostate tissue by other thermotherapy)
- 60.99 (Other operations on prostate)
All remaining O.R. procedures are assigned to MS-DRGs 981 through 983 and 987 through 989, with MS-DRGs 987 through 989 assigned to those discharges in which the only procedures performed are nonextensive procedures that are unrelated to the principal diagnosis. [2]
Our review of MedPAR claims data showed that there were no cases that merited movement or should logically be assigned to any of the other MDCs. Therefore, for FY 2014, we did not propose to change the procedures assigned among these MS-DRGs.
We did not receive any public comments on this proposal. Therefore, as we proposed, we are not making any changes to the procedures assigned to MS-DRGs 981 through 983, MS-DRGs 984 through 986, and MS-DRGs 987 through 989 for FY 2014.
a. Moving Procedure Codes from MS-DRGs 981 through 983 or MS-DRGs 987 through 989 into MDCs
We annually conduct a review of procedures producing assignment to MS-DRGs 981 through 983 (Extensive O.R. procedure unrelated to principal diagnosis with MCC, with CC, and without CC/MCC, respectively) or MS-DRGs 987 through 989 (Nonextensive O.R. procedure unrelated to principal diagnosis with MCC, with CC, and without CC/MCC, respectively) on the basis of volume, by procedure, to see if it would be appropriate to move procedure codes out of these MS-DRGs into one of the surgical MS-DRGs for the MDC into which the principal diagnosis falls. The data are arrayed in two ways for comparison purposes. We look at a frequency count of each major operative procedure code. We also compare procedures across MDCs by volume of procedure codes within each MDC.
We identify those procedures occurring in conjunction with certain principal diagnoses with sufficient frequency to justify adding them to one of the surgical MS-DRGs for the MDC in which the diagnosis falls. As noted above, there were no cases that merited movement or that should logically be assigned to any of the other MDCs. Therefore, for FY 2014, we did not propose to remove any procedures from MS-DRGs 981 through 983 or MS-DRGs 987 through 989 into one of the surgical MS-DRGs for the MDC into which the principal diagnosis is assigned.
We did not receive any public comments on our proposal. Therefore, as we proposed, we are not making any changes to the procedures assigned to MS-DRGs 981 through 983 or MS-DRGs 987 through 989 for FY 2014.
b. Reassignment of Procedures Among MS-DRGs 981 Through 983, 984 Through 986, and 987 Through 989
We also annually review the list of ICD-9-CM procedures that, when in combination with their principal diagnosis code, result in assignment to MS-DRGs 981 through 983, 984 through 986 (Prostatic O.R. procedure unrelated to principal diagnosis with MCC, with CC, or without CC/MCC, respectively), and 987 through 989, to ascertain whether any of those procedures should be reassigned from one of these three MS-DRGs to another of the three MS-DRGs based on average costs and the length of stay. We look at the data for trends such as shifts in treatment practice or reporting practice that would make the resulting MS-DRG assignment illogical. If we find these shifts, we would propose to move cases to keep the MS-DRGs clinically similar or to provide payment for the cases in a similar manner. Generally, we move only those procedures for which we have an adequate number of discharges to analyze the data.
There were no cases representing shifts in treatment practice or reporting practice that would make the resulting MS-DRG assignment illogical, or that merited movement so that cases should logically be assigned to any of the other MDCs. Therefore, for FY 2014, we did not propose to move any procedure codes among these MS-DRGs.
We did not receive any public comments on our proposal. Therefore, as we proposed, we are not moving any procedures assigned to MS-DRGs 981 through 983, MS-DRGs 984 through 986, and MS-DRGs 987 through 989 for FY 2014.
c. Adding Diagnosis or Procedure Codes to MDCs
Based on the review of cases in the MDCs as described above in sections II.G.1. through 6. of this preamble, we did not propose to add any diagnosis or procedure codes to MDCs for FY 2014. We did not receive any public comments on our proposal. Therefore, as we proposed, we are not adding any diagnosis or procedure codes to MDCs for FY 2014.
11. Changes to the ICD-9-CM Coding System, Including Discussion of the Replacement of the ICD-9-CM Coding System With the ICD-10-CM and ICD-10-PCS Systems in FY 2014
a. ICD-9-CM Coding System
The ICD-9-CM is a coding system currently used for the reporting of diagnoses and procedures performed on a patient. In September 1985, the ICD-9-CM Coordination and Maintenance Committee was formed. This is a Federal interdepartmental committee, co-chaired by the National Center for Health Statistics (NCHS), the Centers for Disease Control and Prevention, and CMS, charged with maintaining and updating the ICD-9-CM system. The Committee is jointly responsible for approving coding changes, and developing errata, addenda, and other modifications to the ICD-9-CM to reflect newly developed procedures and technologies and newly identified diseases. The Committee is also responsible for promoting the use of Federal and non-Federal educational programs and other communication techniques with a view toward standardizing coding applications and upgrading the quality of the classification system.
The Official list of valid ICD-9-CM diagnosis and procedure codes can be found on the CMS Web site at: http://cms.hhs.gov/Medicare/Coding/ICD9ProviderDiagnosticCodes/codes.html.
The NCHS has lead responsibility for the ICD-9-CM diagnosis codes included in the Tabular List and Alphabetic Index for Diseases, while CMS has lead responsibility for the ICD-9-CM procedure codes included in the Tabular List and Alphabetic Index for Procedures.
The Committee encourages participation in the above process by health related organizations. In this regard, the Committee holds public meetings for discussion of educational issues and proposed coding changes. These meetings provide an opportunity for representatives of recognized organizations in the coding field, such as the American Health Information Management Association (AHIMA), the American Hospital Association (AHA), and various physician specialty groups, as well as individual physicians, health information management professionals, and other members of the public, to contribute ideas on coding matters. After considering the opinions expressed at the public meetings and in writing, the Committee formulates recommendations, which then must be approved by the agencies.
The Committee presented proposals for coding changes for implementation in FY 2014 at a public meeting held on September 19, 2012, and finalized the coding changes after consideration of comments received at the meetings and in writing by November 16, 2012. In the FY 2014 IPPS/LTCH PPS proposed rule (78 FR 27525), we stated that there were no changes to the ICD-9-CM coding system for FY 2014. There were no new, revised or deleted diagnosis or procedure codes for FY 2014 identified at the time of the publication of the proposed rule. However, we noted that there may be ICD-9-CM coding changes finalized after the proposed rule based on public comments that we receive after the March 5, 2013 ICD-9-CM Coordination and Maintenance Committee meeting.
The Committee held its 2013 meeting on March 5, 2013. Any new codes for which there was consensus of public support and for which complete tabular and indexing changes were made by May 2013 are included in the October 1, 2013 update to ICD-9-CM. Any code revisions that were discussed at the March 5, 2013 Committee meeting but that could not be finalized in time to include them in the tables listed in section VI. of the Addendum to the proposed rule are included in Table 6B, which is listed in section VI. of the Addendum to this final rule and available via the Internet on the CMS Web site, and are marked with an asterisk (*).
In the FY 2014 IPPS/LTCH PPS proposed rule (78 FR 27526), we stated that, for FY 2014, there were no changes to the ICD-9-CM coding system due to the partial code freeze or for new technology. However, at the March 5, 2013 ICD-9-CM Coordination and Maintenance meeting, there were two requests for codes for new technology. As discussed below, only codes for new technologies or new diagnoses are being considered during the partial code freeze. After discussions at the March 5, 2013 meeting and public comments we received after the meeting, it was decided that there will be four new procedure codes effective for October 1, 2014. There are no new, revised, or deleted diagnosis codes and no revised or deleted procedure codes that are usually announced in Tables 6A (New Diagnosis Codes), 6C (Invalid Diagnosis Codes), 6D (Invalid Procedure Codes), 6E (Revised Diagnosis Code Titles), and 6F (Revised Procedure Codes). The new procedure codes are listed in Table 6B (New Procedure Codes) for this final rule, which is available via the Internet on the CMS Web site. Therefore, there are no Tables 6A and 6C through 6F published as part of this final rule for FY 2014.
Copies of the minutes of the procedure codes discussions at the Committee's September 19, 2012 meeting and March 5, 2013 meeting can be obtained from the CMS Web site at: http://cms.hhs.gov/Medicare/Coding/ICD9ProviderDiagnosticCodes/index.html?redirect=/icd9ProviderDiagnosticCodes/03_meetings.asp. The minutes of the diagnosis codes discussions at the September 19, 2012 meeting and March 5, 2013 meeting are found at: http://www.cdc.gov/nchs/icd.htm. These Web sites also provide detailed information about the Committee, including information on requesting a new code, attending a Committee meeting, and timeline requirements and meeting dates.
We encourage commenters to address suggestions on coding issues involving diagnosis codes to: Donna Pickett, Co-Chairperson, ICD-9-CM Coordination and Maintenance Committee, NCHS, Room 2402, 3311 Toledo Road, Hyattsville, MD 20782. Comments may be sent by Email to: dfp4@cdc.gov.
Questions and comments concerning the procedure codes should be addressed to: Patricia E. Brooks, Co-Chairperson, ICD-9-CM Coordination and Maintenance Committee, CMS, Center for Medicare Management, Hospital and Ambulatory Policy Group, Division of Acute Care, C4-08-06, 7500 Security Boulevard, Baltimore, MD 21244-1850. Comments may be sent by Email to: patricia.brooks2@cms.hhs.gov.
In the September 7, 2001 final rule implementing the IPPS new technology add-on payments (66 FR 46906), we indicated we would attempt to include proposals for procedure codes that would describe new technology discussed and approved at the Spring meeting as part of the code revisions effective the following October.
Section 503(a) of Public Law 108-173 included a requirement for updating ICD-9-CM codes twice a year instead of a single update on October 1 of each year. This requirement was included as part of the amendments to the Act relating to recognition of new technology under the IPPS. Section 503(a) amended section 1886(d)(5)(K) of the Act by adding a clause (vii) which states that the “Secretary shall provide for the addition of new diagnosis and procedure codes on April 1 of each year, but the addition of such codes shall not require the Secretary to adjust the payment (or diagnosis-related group classification) . . . until the fiscal year that begins after such date.” This requirement improves the recognition of new technologies under the IPPS system by providing information on these new technologies at an earlier date. Data will be available 6 months earlier than would be possible with updates occurring only once a year on October 1.
While section 1886(d)(5)(K)(vii) of the Act states that the addition of new diagnosis and procedure codes on April 1 of each year shall not require the Secretary to adjust the payment, or DRG classification, under section 1886(d) of the Act until the fiscal year that begins after such date, we have to update the DRG software and other systems in order to recognize and accept the new codes. We also publicize the code changes and the need for a mid-year systems update by providers to identify the new codes. Hospitals also have to obtain the new code books and encoder updates, and make other system changes in order to identify and report the new codes.
The ICD-9-CM Coordination and Maintenance Committee holds its meetings in the spring and fall in order to update the codes and the applicable payment and reporting systems by October 1 of each year. Items are placed on the agenda for the ICD-9-CM Coordination and Maintenance Committee meeting if the request is received at least 2 months prior to the meeting. This requirement allows time for staff to review and research the coding issues and prepare material for discussion at the meeting. It also allows time for the topic to be publicized in meeting announcements in the Federal Register as well as on the CMS Web site. The public decides whether or not to attend the meeting based on the topics listed on the agenda. Final decisions on code title revisions are currently made by March 1 so that these titles can be included in the IPPS proposed rule. A complete addendum describing details of all changes to ICD-9-CM, both tabular and index, is published on the CMS and NCHS Web sites in May of each year. Publishers of coding books and software use this information to modify their products that are used by health care providers. This 5-month time period has proved to be necessary for hospitals and other providers to update their systems.
A discussion of this timeline and the need for changes are included in the December 4-5, 2005 ICD-9-CM Coordination and Maintenance Committee Meeting minutes. The public agreed that there was a need to hold the fall meetings earlier, in September or October, in order to meet the new implementation dates. The public provided comment that additional time would be needed to update hospital systems and obtain new code books and coding software. There was considerable concern expressed about the impact this new April update would have on providers.
In the FY 2005 IPPS final rule, we implemented section 1886(d)(5)(K)(vii) of the Act, as added by section 503(a) of Public Law 108-173, by developing a mechanism for approving, in time for the April update, diagnosis and procedure code revisions needed to describe new technologies and medical services for purposes of the new technology add-on payment process. We also established the following process for making these determinations. Topics considered during the Fall ICD-9-CM Coordination and Maintenance Committee meeting are considered for an April 1 update if a strong and convincing case is made by the requester at the Committee's public meeting. The request must identify the reason why a new code is needed in April for purposes of the new technology process. The participants at the meeting and those reviewing the Committee meeting summary report are provided the opportunity to comment on this expedited request. All other topics are considered for the October 1 update. Participants at the Committee meeting are encouraged to comment on all such requests. There were no requests approved for an expedited April l, 2013 implementation of an ICD-9-CM code at the September 19, 2012 Committee meeting. Therefore, there were no new ICD-9-CM codes implemented on April 1, 2013.
Current addendum and code title information is published on the CMS Web site at: http://www.cms.hhs.gov/Medicare/Coding/ICD9ProviderDiagnosticCodes/index.html?redirect=/icd9ProviderDiagnosticCodes/01overview.asp#TopofPage. Information on ICD-9-CM diagnosis codes, along with the Official ICD-9-CM Coding Guidelines, can be found on the Web site at: http://www.cdc.gov/nchs/icd9.htm. Information on new, revised, and deleted ICD-9-CM codes is also provided to the AHA for publication in the Coding Clinic for ICD-9-CM. AHA also distributes information to publishers and software vendors.
CMS also sends copies of all ICD-9-CM coding changes to its Medicare contractors for use in updating their systems and providing education to providers.
These same means of disseminating information on new, revised, and deleted ICD-9-CM codes will be used to notify providers, publishers, software vendors, contractors, and others of any changes to the ICD-9-CM codes that are implemented in April. The code titles are adopted as part of the ICD-9-CM Coordination and Maintenance Committee process. Therefore, although we publish the code titles in the IPPS proposed and final rules, they are not subject to comment in the proposed or final rules. We will continue to publish the October code updates in this manner within the IPPS proposed and final rules. For codes that are implemented in April, we will assign the new procedure code to the same MS-DRG in which its predecessor code was assigned so there will be no MS-DRG impact as far as MS-DRG assignment. Any midyear coding updates will be available through the Web sites indicated above and through the Coding Clinic for ICD-9-CM. Publishers and software vendors currently obtain code changes through these sources in order to update their code books and software systems. We will strive to have the April 1 updates available through these Web sites 5 months prior to implementation (that is, early November of the previous year), as is the case for the October 1 updates.
b. Code Freeze
The International Classification of Diseases, 10th Revision (ICD-10) coding system applicable to hospital inpatient services was to be implemented on October 1, 2013, as described in the Health Insurance Portability and Accountability Act of 1996 (HIPAA) Administrative Simplification: Modifications to Medical Data Code Set Standards to Adopt ICD-10-CM and ICD-10-PCS final rule (74 FR 3328 through 3362, January 16, 2009). However, the Secretary of Health and Human Services issued a final rule that delays, from October 1, 2013, to October 1, 2014, the compliance date for the International Classification of Diseases, 10th Edition diagnosis and procedure codes (ICD-10). The final rule, CMS-0040-F, was published in the Federal Register on September 5, 2012 (77 FR 54664) and is available for viewing on the Internet at: http://www.gpo.gov/fdsys/pkg/FR-2012-09-05/pdf/2012-21238.pdf.
The ICD-10 coding system includes the International Classification of Diseases, 10th Revision, Clinical Modification (ICD-10-CM) for diagnosis coding and the International Classification of Diseases, 10th Revision, Procedure Coding System (ICD-10-PCS) for inpatient hospital procedure coding, as well as the Official ICD-10-CM and ICM-10-PCS Guidelines for Coding and Reporting. In the January 16, 2009 ICD-10-CM and ICD-10-PCS final rule (74 FR 3328 through 3362), there was a discussion of the need for a partial or total freeze in the annual updates to both ICD-9-CM and ICD-10-CM and ICD-10-PCS codes. The public comment addressed in that final rule stated that the annual code set updates should cease l year prior to the implementation of ICD-10. The commenters stated that this freeze of code updates would allow for instructional and/or coding software programs to be designed and purchased early, without concern that an upgrade would take place immediately before the compliance date, necessitating additional updates and purchases.
HHS responded to comments in the ICD-10 final rule that the ICD-9-CM Coordination and Maintenance Committee has jurisdiction over any action impacting the ICD-9-CM and ICD-10 code sets. Therefore, HHS indicated that the issue of consideration of a moratorium on updates to the ICD-9-CM, ICD-10-CM, and ICD-10-PCS code sets in anticipation of the adoption of ICD-10-CM and ICD-10-PCS would be addressed through the Committee at a future public meeting.
The code freeze was discussed at multiple meetings of the ICD-9-CM Coordination and Maintenance Committee and public comment was actively solicited. The Committee evaluated all comments from participants attending the Committee meetings as well as written comments that were received. The Committee also considered the delay in implementation of ICD-10 until October 1, 2014. There was an announcement at the September 19, 2012 ICD-9-CM Coordination and Maintenance Committee meeting that a partial freeze of both ICD-9-CM and ICD-10 codes will be implemented as follows:
- The last regular annual update to both ICD-9-CM and ICD-10 code sets was made on October 1, 2011.
- On October 1, 2012 and October 1, 2013, there will be only limited code updates to both ICD-9-CM and ICD-10 code sets to capture new technology and new diseases.
- On October 1, 2014, there were to be only limited code updates to ICD-10 code sets to capture new technology and diagnoses as required by section 503(a) of Public Law 108-173. There were to be no updates to ICD-9-CM on October 1, 2014, as the system would no longer be a HIPAA standard and, therefore, no longer be used for reporting.
- On October 1, 2015, one year after the implementation of ICD-10, regular updates to ICD-10 will begin.
The ICD-9-CM Coordination and Maintenance Committee announced that it would continue to meet twice a year during the freeze. At these meetings, the public will be encouraged to comment on whether or not requests for new diagnosis and procedure codes should be created based on the need to capture new technology and new diseases. Any code requests that do not meet the criteria will be evaluated for implementation within ICD-10 on or after October 1, 2015, once the partial freeze is ended.
Complete information on the partial code freeze and discussions of the issues at the Committee meetings can be found on the ICD-9-CM Coordination and Maintenance Committee Web site at: http://www.cms.hhs.gov/Medicare/Coding/ICD9ProviderDiagnosticCodes/meetings.html . A summary of the September 19, 2012 Committee meeting, along with both written and audio transcripts of this meeting, are posted on the Web site at: http://www.cms.hhs.gov/Medicare/Coding/ICD9ProviderDiagnosticCodes/ICD-9-CM-C-and-M-Meeting-Materials-Items/2012-09-19-MeetingMaterials.html.
Comment: Several commenters supported the partial code freeze which is limited to the creation of new ICD-9-CM and ICD-10-CM/PCS codes to capture new technologies and diseases through FY 2015. The commenters stated that if new codes can still be introduced into ICD-10-CM/PCS in FY 2015, it will make the resolution of any issues more complex and costly. Specifically, they stated that successful implementation of ICD-10-CM/PCS will require significant planning, education, and systems modifications. The commenters stated that while the adoption of ICD-10-CM/PCS is welcome and long overdue, implementation of the new system must be carefully orchestrated to minimize the administrative burden on providers. At a time when in the health care field, all payers and other stakeholders are struggling to meet deadlines to change their systems and test their changes with all their trading partners, the commenters believed it would be catastrophic to have to make additional changes during nationwide implementation of ICD-10.
Response: We agree with the commenters that the partial code freeze has been extremely beneficial in minimizing the administrative burden on providers that are preparing for the implementation of ICD-10 on October 1, 2014. This partial code freeze has dramatically decreased the number of codes created each year as shown by the following information.
| ICD-9-CM Codes | ICD-10-CM and ICD-10-PCS Codes | ||||
|---|---|---|---|---|---|
| Fiscal Year | Number | Change | Fiscal Year | Number | Change |
| FY 2009 (October 1, 2008): | FY 2009: | ||||
| Diagnoses | 14,025 | 348 | ICD-10-CM | 68,069 | +5 |
| Procedures | 3,824 | 56 | ICD-10-PCS | 72,589 | −14,327 |
| FY 2010 (October 1, 2009): | FY 2010: | ||||
| Diagnoses | 14,315 | 290 | ICD-10-CM | 69,099 | +1,030 |
| Procedures | 3,838 | 14 | ICD-10-PCS | 71,957 | −632 |
| FY 2011 (October 1, 2010): | |||||
| Diagnoses | 14,432 | 117 | ICD-10-CM | 69,368 | +269 |
| Procedures | 3,859 | 21 | ICD-10-PCS | 72,081 | +124 |
| FY 2012 (October 1, 2011): | FY 2012: | ||||
| Diagnoses | 14,567 | 135 | ICD-10-CM | 69,833 | +465 |
| Procedures | 3,877 | 18 | ICD-10-PCS | 71,918 | −163 |
| FY 2013 (October 1, 2012): | FY 2013: | ||||
| Diagnoses | 14,567 | 0 | ICD-10-CM | 69,832 | −1 |
| Procedures | 3,878 | 1 | ICD-10-PCS | 71,920 | +2 |
| FY 2014 (October 1, 2013): | FY 2014: | ||||
| Diagnoses | 14,567 | 0 | ICD-10-CM | 69,823 | −9 |
| Procedures | 3,882 | 4 | ICD-10-PCS | 71,924 | +4 |
As mentioned earlier, the public is provided the opportunity to comment on any requests for new diagnosis or procedure codes discussed at the ICD-9-CM Coordination and Maintenance Committee meeting. The public has supported only a limited number of new codes during this partial code freeze, as can be seen by data shown above. We have gone from creating several hundred new codes each year to creating only a limited number of new ICD-9-CM and ICD-10 codes. At the September 18-19, 2013 and March 19-20, 2014 Committee meetings, we will be discussing any requests for new ICD-10-CM diagnosis and ICD-10-PCS procedure codes to be implemented on October 1, 2014. We will not be discussing ICD-9-CM codes because we will not be using ICD-9-CM for encounters occurring on or after October 1, 2014. The public will be given the opportunity to comment on whether or not new ICD-10-CM and ICD-10-PCS codes should be created effective October 1, 2014, based on the partial code freeze criteria as to whether they are needed to capture new diagnoses or new technologies, or whether the codes should be created after the partial code freeze ends on October 1, 2015. We welcome public comments on any code requests discussed at the September 18-19, 2013 and March 19-20, 2014 Committee meetings for implementation on October 1, 2014.
Comment: One commenter requested that CMS publish the list of any new ICD-10-CM and ICD-10-PCS codes in the IPPS final rule. The commenter pointed out that annual ICD-9-CM updates are currently included in the IPPS proposed and final rules. The commenter mentioned that the ICD-9-CM Coordination and Maintenance Committee is addressing requests for new ICD-10 codes that would be created during the code freeze as well as codes that would be created after the code freeze ends. The commenter wanted to receive interim decisions on any new ICD-10 codes that might be created after the code freeze ends on October 1, 2015. The commenter also requested that CMS assign ICD-9-CM codes or temporary Healthcare Common Procedure Coding System (HCPCS) codes to procedures provided in connection with newly approved ICD-10-PCS codes. Finally, the commenter requested that CMS establish October 1, 2014 as the effective date for all ICD-10 code set updates.
Response: We will address the commenter's last request first. As discussed earlier, October 1, 2014 has been established as the implementation date for ICD-10. This date was established through rulemaking (77 FR 54664). We have provided this information on our ICD-10 Web site at: http://www.cms.hhs.gov/Medicare/Coding/ICD10/index.html.
CMS currently posts updates of ICD-9-CM procedure codes in June of each year on its Web page at: http://www.cms.hhs.gov/Medicare/Coding/ICD9ProviderDiagnosticCodes/index.html. CMS also includes information on ICD-9-CM code updates within the IPPS proposed and final rules because these codes are used to determine the MS-DRG assignment. Any new, revised, or deleted ICD-9-CM diagnoses or procedure codes are described in Tables 6A through 6F. We include this information along with the proposed and final MS-DRG assignment for new ICD-9-CM codes in our rules because it impacts inpatient payment. CDC posts updates of ICD-9-CM diagnosis codes in June of each year on its Web site at: http://www.cdc.gov/nchs/icd/icd9cm.html. We do not include new, revised, or deleted ICD-10-CM/PCS codes in the current IPPS rule because the ICD-10 codes are not currently used with the MS-DRGs. Once ICD-10 is implemented, and the MS-DRGs are based on ICD-10 codes, we will provide information on new, revised, or deleted ICD-10 codes in Tables 6A through 6F.
CMS posts annual updates to ICD-10-CM and ICD-10-PCS codes in June of each year on its ICD-10 Web page at: http://www.cms.hhs.gov/Medicare/Coding/ICD10/index.html. CDC also posts annual updates to ICD-10-CM codes in June of each year on its Web site at: http://www.cdc.gov/nchs/icd/icd10cm.htm. We believe we provide the public complete and regular updates on any annual updates to both ICD-9-CM and ICD-10 codes. Any new, revised, or deleted ICD-10-CM/PCS codes as part of the FY 2016 (October 1, 2015) updates will be posted on CMS' ICD-10 Web site in June 2015. No final decisions have been made at this time on the October 1, 2015 ICD-10 code updates.
On the issue of CMS assigning ICD-9-CM codes or temporary HCPCS codes to procedures provided in connection with newly approved ICD-10-PCS codes, we would point out that mapping between ICD-10-PCS and ICD-9-CM procedure codes is provided in the annual updates to the General Equivalence Mappings (GEMs). The GEMs are updated annually based on updates to ICD-10 codes and are posted on our ICD-10 Web site in October of each year. The ICD-10 Web site can be found at: http://www.cms.hhs.gov/Medicare/Coding/ICD10/index.html. The GEMs map between ICD-9-CM and ICD-10 codes because the ICD-10 codes will replace ICD-9-CM codes. The GEMs do not map between ICD-10 and HCPCS codes because ICD-10 will not replace HCPCS codes. HCPCS codes will continue to be used for reported ambulatory and physician services.
c. Processing of 25 Diagnosis Codes and 25 Procedure Codes on Hospital Inpatient Claims
CMS is currently processing all 25 diagnosis codes and 25 procedure codes submitted on electronic hospital inpatient claims. Prior to January 1, 2011, hospitals could submit up to 25 diagnoses and 25 procedures. However, CMS' system limitations allowed for the processing of only the first 9 diagnosis codes and 6 procedure codes. We discussed this change in processing claims in the FY 2011 IPPS/LTCH PPS final rule (75 FR 50127), in the FY 2012 IPPS/LTCH PPS proposed rule (76 FR 25843), in a correction notice issued in the Federal Register on June 14, 2011 (76 FR 24633), and in the FY 2012 IPPS/LTCH PPS final rule (76 FR 51553). As discussed in these prior rules, CMS undertook an expansion of our internal system capability so that we are able to process up to 25 diagnoses and 25 procedures on hospital inpatient claims as part of the HIPAA ASC X12 Technical Reports Type 3, Version 005010 (Version 5010) standards system update. We recognize the value of the additional information provided by this coded data for multiple uses such as for payment, quality measures, outcome analysis, and other important uses. We will continue to process up to 25 diagnosis codes and 25 procedure codes when received on the 5010 format.
d. ICD-10 MS-DRGs
In response to the FY 2011 IPPS/LTCH PPS proposed rule, we received comments on the creation of the ICD-10 version of the MS-DRGs, which will be implemented at the same time as ICD-10 (75 FR 50127 and 50128). As we stated earlier, the Secretary of Health and Human Services has delayed the compliance date of ICD-10 from October 1, 2013 to October 1, 2014 (77 FR 54664). While we did not propose an ICD-10 version of the MS DRGs in the FY 2011 IPPS/LTCH PPS proposed rule, we noted that we have been actively involved in converting our current MS-DRGs from ICD-9-CM codes to ICD-10 codes and sharing this information through the ICD-9-CM Coordination and Maintenance Committee. We undertook this early conversion project to assist other payers and providers in understanding how to go about their own conversion projects. We posted ICD-10 MS-DRGs based on Version 26.0 (FY 2009) of the MS-DRGs. We also posted a paper that describes how CMS went about completing this project and suggestions for others to follow. All of this information can be found on the CMS Web site at: http://cms.hhs.gov/Medicare/Coding/ICD10/ICD-10-MS-DRG-Conversion-Project.html. We have continued to keep the public updated on our maintenance efforts for ICD-10-CM and ICD 10-PCS coding systems, as well as the General Equivalence Mappings that assist in conversion through the ICD-9-CM Coordination and Maintenance Committee. Information on these committee meetings can be found on the CMS Web site at: http://www.cms.hhs.gov/Medicare/Coding/ICD9ProviderDiagnosticCodes/index.html .
During FY 2011, we developed and posted Version 28.0 of the ICD-10 MS-DRGs based on the FY 2011 MS-DRGs (Version 28.0) that we finalized in the FY 2011 IPPS/LTCH PPS final rule on the CMS Web site. This ICD-10 MS-DRGs Version 28.0 also included the CC Exclusion List and the ICD-10 version of the hospital-acquired conditions (HACs), which was not posted with Version 26.0. We also discussed this update at the September 15-16, 2010 and the March 9-10, 2011 meetings of the ICD-9-CM Coordination and Maintenance Committee. The minutes of these two meetings are posted on the CMS Web site at: http://www.cms.hhs.gov/Medicare/Coding/ICD9ProviderDiagnosticCodes/index.html .
We reviewed comments on the ICD-10 MS-DRGs Version 28.0 and made updates as a result of these comments. We called the updated version the ICD-10 MS DRGs Version 28 R1. We posted a Definitions Manual of ICD-10 MS-DRGs Version 28 R1 on our ICD-10 MS-DRG Conversion Project Web site at: http://cms.hhs.gov/Medicare/Coding/ICD10/ICD10-MS-DRG-Conversion-Project.html . To make the review of Version 28 R1 updates easier for the public, we also made available pilot software on a CD-ROM that could be ordered through the National Technical Information Service (NTIS). A link to the NTIS ordering page was provided on the CMS ICD-10 MS-DRG Web page. We stated that we believed that, by providing the ICD-10 MS-DRG Version 28 R1 Pilot Software (distributed on CD-ROM), the public would be able to more easily review and provide feedback on updates to the ICD-10 MS-DRGs. We discussed the updated ICD-10 MS-DRGs Version 28 R1 at the September 14, 2011 ICD-9-CM Coordination and Maintenance Committee meeting. We encouraged the public to continue to review and provide comments on the ICD-10 MS-DRGs so that CMS could continue to update the system.
In FY 2012, we prepared the ICD-10 MS-DRGs Version 29.0, based on the FY 2012 MS-DRGs (Version 29.0) that we finalized in the FY 2012 IPPS/LTCH PPS final rule. We posted a Definitions Manual of ICD-10 MS-DRGs Version 29.0 on our ICD-10 MS-DRG Conversion Project Web site. We also prepared a document that describes changes made from Version 28.0 to Version 29.0 to facilitate a review. The ICD-10 MS-DRGs Version 29.0 was discussed at the ICD-9-CM Coordination and Maintenance Committee meeting on March 5, 2012. Information was provided on the types of updates made. Once again the public was encouraged to review and comment on the most recent update to the ICD-10 MS-DRGs.
CMS prepared the ICD-10 MS-DRGs Version 30.0 based on the FY 2013 MS-DRGs (Version 30.0) that we finalized in the FY 2013 IPPS/LTCH PPS final rule. We posted a Definitions Manual of the ICD-10 MS-DRGs Version 30.0 on our ICD-10 MS-DRG Conversion Project Web site at: http://www.cms.hhs.gov/Medicare/Coding/ICD10/ICD-10-MS-DRG-Conversion-Project.html. We also prepared a document that describes changes made from Version 29.0 to Version 30.0 to facilitate a review. We produced mainframe and computer software for Version 30.0, which was made available to the public in February 2013. Information on ordering the mainframe and computer software through NTIS can be found on the CMS Web site at: http://cms.hhs.gov/Medicare/Coding/ICD10/ICD-10-MS-DRG-Conversion-Project.html under the “Related Links” section. This ICD-10 MS-DRGs Version 30.0 computer software should facilitate additional review of the ICD-10 MS-DRGs conversion.
We provided information on a study conducted on the impact on converting MS-DRGs to ICD-10. Information on this study is summarized in a paper entitled “Impact of the Transition to ICD-10 on Medicare Inpatient Hospital Payments.” This paper was posted on the CMS ICD-10 MS-DRGs Conversion Project Web site and was distributed and discussed at the September 15, 2010 ICD-9-CM Coordination and Maintenance Committee meeting. The paper described CMS' approach to the conversion of the MS-DRGs from ICD-9-CM codes to ICD-10 codes. The study was undertaken using the ICD-9-CM MS-DRGs Version 27.0 (FY 2010) and converted to the ICD-10 MS-DRGs Version 27.0. The study estimated the impact on aggregate payment to hospitals and the distribution of payments across hospitals. The impact of the conversion from ICD-9-CM to ICD-10 on Medicare MS-DRG hospital payments was estimated using 2009 Medicare data. The study found a hospital payment increase of 0.05 percent using the ICD-10 MS-DRGs Version 27.0.
CMS provided an overview of this hospital payment impact study at the March 5, 2012 ICD-9-CM Coordination and Maintenance Committee meeting. This presentation followed presentations on the creation of ICD-10 MS-DRGs Version 29.0. A summary report of this meeting can be found on the CMS Web site at: http://www.cms.hhs.gov/Medicare/Coding/ICD9ProviderDiagnosticCodes/index.html . At this March 2012 meeting, CMS announced that it would produce an update on this impact study based on an updated version of the ICD 10 MS-DRGs. This update of the impact study was presented at the March 5, 2013 ICD-9-CM Coordination and Maintenance Committee meeting. The updated paper is posted on CMS' Web site at: http://cms.hhs.gov/Medicare/Coding/ICD10/ICD-10-MS-DRG-Conversion-Project.html under the “Downloads” section. Information on the March 5, 2013 ICD-9-CM Coordination and Maintenance Committee meeting can be found on the CMS Web site at: http://cms.hhs.gov/Medicare/Coding/ICD9ProviderDiagnosticCodes/ICD-9-CM-C-and-M-Meeting-Materials.html. This update of the impact paper and the ICD-10 MS-DRG Version 30.0 software will provide additional information to the public who are evaluating the conversion of the MS-DRGs to ICD-10 MS-DRGs.
We will continue to work with the public to explain how we are approaching the conversion of MS-DRGs to ICD-10 and will post drafts of updates as they are developed for public review. The final version of the ICD-10 MS-DRGs will be implemented at the same time as ICD-10 and will be subject to notice and comment rulemaking. In the meantime, we will provide extensive and detailed information on this activity through the ICD-9-CM Coordination and Maintenance Committee.
Comment: Several commenters complimented CMS on making available the Version 30.0 ICD-10 MS-DRGs software and Definitions Manual. The commenters found these tools to be useful as hospitals prepare for ICD-10 implementation. The commenters stated that this information allowed hospitals to analyze the impact of these changes, including thorough financial analysis and modeling, and allowed for hands-on training of medical coders. The commenters stated that information from other payment systems, such as those for CAHs, IPFs, and IRFs would also be helpful as hospitals prepare for ICD-10-CM/PCS implementation.
Response: We appreciate the positive feedback on our efforts to develop an ICD-10 version of the MS-DRGs and to use this approach in updating other ICD-9-CM based payment systems from ICD-9-CM to ICD-10-CM/PCS codes.
12. Public Comments on Issues Not Addressed in the Proposed Rule
We received two public comments regarding MS-DRG issues that were outside of the scope of the proposals included in the FY 2014 IPPS/LTCH PPS proposed rule. We have summarized these public comments below. However, because these public comments were outside of the scope of the proposed rule, we are not addressing them in this final rule. As stated in section II.G. of the preamble of this final rule, we encourage individuals with comments about MS-DRG classifications to submit these comments no later than December of each year so they can be considered for possible inclusion in the annual proposed rule and, if included, may be subjected to public review and comment. We will consider these comments for possible proposals in future rulemaking as part of our annual review process.
a. Intracerebral Therapies
One commenter requested that CMS create a new MS-DRG for intracerebral therapies, including implantation of chemotherapeutic agents.
b. Porphyria
One commenter requested that a new MS-DRG be created for porphyria cases.
H. Recalibration of the FY 2014 MS-DRG Relative Weights
1. Data Sources for Developing the Relative Weights
In developing the FY 2014 system of weights, we used two data sources: Claims data and cost report data. As in previous years, the claims data source is the MedPAR file. This file is based on fully coded diagnostic and procedure data for all Medicare inpatient hospital bills. The FY 2012 MedPAR data used in this final rule include discharges occurring on October 1, 2011, through September 30, 2012, based on bills received by CMS through March 31, 2013, from all hospitals subject to the IPPS and short-term, acute care hospitals in Maryland (which are under a waiver from the IPPS under section 1814(b)(3) of the Act). The FY 2012 MedPAR file used in calculating the relative weights includes data for approximately 10,363,200 Medicare discharges from IPPS providers. Discharges for Medicare beneficiaries enrolled in a Medicare Advantage managed care plan are excluded from this analysis. These discharges are excluded when the MedPAR “GHO Paid” indicator field on the claim record is equal to “1” or when the MedPAR DRG payment field, which represents the total payment for the claim, is equal to the MedPAR “Indirect Medical Education (IME)” payment field, indicating that the claim was an “IME only” claim submitted by a teaching hospital on behalf of a beneficiary enrolled in a Medicare Advantage managed care plan. In addition, the March 31, 2013 update of the FY 2012 MedPAR file complies with version 5010 of the X12 HIPAA Transaction and Code Set Standards, and includes a variable called “claim type.” Claim type “60” indicates that the claim was an inpatient claim paid as fee-for-service. Claim types “61,” “62,” “63,” and “64” relate to encounter claims, Medicare Advantage IME claims, and HMO no-pay claims. Therefore, the calculation of the relative weights for FY 2014 also excludes claims with claim type values not equal to “60.” The data exclude CAHs, including hospitals that subsequently became CAHs after the period from which the data were taken. The second data source used in the cost-based relative weighting methodology is the Medicare cost report data files from the HCRIS. Normally, we use the HCRIS dataset that is 3 years prior to the IPPS fiscal year. Specifically, we used cost report data from the March 31, 2013 update of the FY 2011 HCRIS for calculating the FY 2014 cost-based relative weights.
2. Methodology for Calculation of the Relative Weights
As we explain in section II.E.2. of the preamble of this final rule, as we proposed in the FY 2014 IPPS/LTCH PPS proposed rule, we are calculating the relative weights based on 19 CCRs, instead of the 15 CCRs previously used. The methodology we used to calculate the FY 2014 MS-DRG cost-based relative weights based on claims data in the FY 2012 MedPAR file and data from the FY 2011 Medicare cost reports is as follows:
- To the extent possible, all the claims were regrouped using the FY 2014 MS-DRG classifications discussed in sections II.B. and II.G. of the preamble of this final rule.
- The transplant cases that were used to establish the relative weights for heart and heart-lung, liver and/or intestinal, and lung transplants (MS-DRGs 001, 002, 005, 006, and 007, respectively) were limited to those Medicare-approved transplant centers that have cases in the FY 2011 MedPAR file. (Medicare coverage for heart, heart-lung, liver and/or intestinal, and lung transplants is limited to those facilities that have received approval from CMS as transplant centers.)
- Organ acquisition costs for kidney, heart, heart-lung, liver, lung, pancreas, and intestinal (or multivisceral organs) transplants continue to be paid on a reasonable cost basis. Because these acquisition costs are paid separately from the prospective payment rate, it is necessary to subtract the acquisition charges from the total charges on each transplant bill that showed acquisition charges before computing the average cost for each MS-DRG and before eliminating statistical outliers.
- Claims with total charges or total lengths of stay less than or equal to zero were deleted. Claims that had an amount in the total charge field that differed by more than $10.00 from the sum of the routine day charges, intensive care charges, pharmacy charges, special equipment charges, therapy services charges, operating room charges, cardiology charges, laboratory charges, radiology charges, other service charges, labor and delivery charges, inhalation therapy charges, emergency room charges, blood charges, and anesthesia charges were also deleted.
- At least 92.7 percent of the providers in the MedPAR file had charges for 14 of the 19 cost centers. All claims of providers that did not have charges greater than zero for at least 14 of the 19 cost centers were deleted. In other words, a provider must have no more than five blank cost centers. If a provider did not have charges greater than zero in more than five cost centers, the claims for the provider were deleted. For FY 2014, as explained in section II.E.2. of the preamble of this final rule, we are calculating the relative weights using 19 cost centers instead of the 15 cost centers previously used in calculating the FY 2013 relative weights. In the FY 2014 IPPS/LTCH PPS proposed rule, we proposed, in calculating the FY 2014 relative weights, to continue to remove claims of providers with more than five blank cost centers from the dataset used to calculate the relative weights. (We refer readers to the FY 2013 IPPS/LTCH PPS final rule (77 FR 53326) for the edit threshold related to FY 2013 and prior fiscal years). In recent years, this trim kept approximately 96 percent of IPPS providers in the MedPAR file upon which we base our relative weight calculations. (For examples of our FYs 2012 and 2013 relative weight calculations, we refer readers to the FY 2012 IPPS/LTCH PPS final rule (76 FR 51558) and the FY 2013 IPPS/LTCH PPS final rule 77 FR 53326).) However, under the proposal to add 4 cost centers to the relative weight calculations, which we are finalizing in this final rule, this trim kept approximately 92.7 percent of the IPPS providers in the MedPAR file upon which we base our final FY 2014 relative weight calculations.
Although this trim is now removing a greater percentage of providers' claims from the relative weight calculations than were previously removed in prior years, we stated in the proposed rule our belief that it is appropriate to propose to continue to remove providers' claims that do not have charges greater than zero in more than five cost centers. We stated that we believe that this proposal is appropriate because we are not introducing new costs into the relative weight calculation; we are only making use of more refined, granular costs by breaking out implantable devices from the Supplies and Equipment CCR, MRIs and CT scans from the Radiology CCR, and cardiac catheterization from the Cardiology CCR. Furthermore, because we are making use of more refined cost report data for these cost centers, we believe that it is also appropriate to edit the claims with a more refined threshold. We invited public comments on the proposal to trim the data used in our relative weight calculations. However, we did not receive any public comments on this proposal. Therefore, for the reasons described above, we are finalizing this policy as proposed.
- Statistical outliers were eliminated by removing all cases that were beyond 3.0 standard deviations from the geometric mean of the log distribution of both the total charges per case and the total charges per day for each MS-DRG.
- Effective October 1, 2008, because hospital inpatient claims include a POA indicator field for each diagnosis present on the claim, only for purposes of relative weight-setting, the POA indicator field was reset to “Y” for “Yes” for all claims that otherwise have an “N” (No) or a “U” (documentation insufficient to determine if the condition was present at the time of inpatient admission) in the POA field.
Under current payment policy, the presence of specific HAC codes, as indicated by the POA field values, can generate a lower payment for the claim. Specifically, if the particular condition is present on admission (that is, a “Y” indicator is associated with the diagnosis on the claim), it is not a HAC, and the hospital is paid for the higher severity (and, therefore, the higher weighted MS-DRG). If the particular condition is not present on admission (that is, an “N” indicator is associated with the diagnosis on the claim) and there are no other complicating conditions, the DRG GROUPER assigns the claim to a lower severity (and, therefore, the lower weighted MS-DRG) as a penalty for allowing a Medicare inpatient to contract a HAC. While the POA reporting meets policy goals of encouraging quality care and generates program savings, it presents an issue for the relative weight-setting process. Because cases identified as HACs are likely to be more complex than similar cases that are not identified as HACs, the charges associated with HAC cases are likely to be higher as well. Therefore, if the higher charges of these HAC claims are grouped into lower severity MS-DRGs prior to the relative weight-setting process, the relative weights of these particular MS-DRGs would become artificially inflated, potentially skewing the relative weights. In addition, we want to protect the integrity of the budget neutrality process by ensuring that, in estimating payments, no increase to the standardized amount occurs as a result of lower overall payments in a previous year that stem from using weights and case-mix that are based on lower severity MS-DRG assignments. If this would occur, the anticipated cost savings from the HAC policy would be lost.
To avoid these problems, we reset the POA indicator field to “Y” only for relative weight-setting purposes for all claims that otherwise have an “N” or a “U” in the POA field. This resetting “forced” the more costly HAC claims into the higher severity MS-DRGs as appropriate, and the relative weights calculated for each MS-DRG more closely reflect the true costs of those cases.
Once the MedPAR data were trimmed and the statistical outliers were removed, the charges for each of the 19 cost groups for each claim were standardized to remove the effects of differences in area wage levels, IME and DSH payments, and for hospitals located in Alaska and Hawaii, the applicable cost-of-living adjustment. Because hospital charges include charges for both operating and capital costs, we standardized total charges to remove the effects of differences in geographic adjustment factors, cost-of-living adjustments, and DSH payments under the capital IPPS as well. Charges were then summed by MS-DRG for each of the 19 cost groups so that each MS-DRG had 19 standardized charge totals. These charges were then adjusted to cost by applying the national average CCRs developed from the FY 2011 cost report data.
The 19 cost centers that we used in the final relative weight calculation are shown in the following table. The table shows the lines on the cost report and the corresponding revenue codes that we used to create the 19 national cost center CCRs. (We note that we have made several changes to the table, most importantly, to remove the columns listing the cost centers from the CMS Form 2552-96 cost reports. Because we are using data from FY 2011 cost reports, which were filed on the CMS Form 2552-10, the columns referencing the CMS Form 2552-96 cost report are no longer relevant. We also have updated and refined the table to reflect the 19 CCRs, instead of the previous 15 CCRs, and we have made some minor corrections to revenue codes and cost report cost centers that are grouped with each CCR.)
BILLING CODE 4120-01-P
BILLING CODE 4120-01-C
In the table above, revenue code 0274 is listed among the revenue codes included in the Supplies and Equipment CCR. In the actual calculation of the Supplies and Equipment CCR for the FY 2014 proposed rule, we inadvertently included charges from MedPAR associated with revenue 0274 in the Implantable Devices CCR. For this final rule, we have corrected this oversight and included the MedPAR charges associated with revenue code 0274 in the calculation of the Supplies and Equipment CCR. (We refer readers to the FY 2009 IPPS/LTCH PPS final rule (73 FR 48462) for a discussion on the revenue codes included in the Supplies and Equipment and Implantable Devices CCRs, respectively.)
3. Development of National Average CCRs
We developed the national average CCRs as follows:
Using the FY 2011 cost report data, we removed CAHs, Indian Health Service hospitals, all-inclusive rate hospitals, and cost reports that represented time periods of less than 1 year (365 days). We included hospitals located in Maryland because we include their charges in our claims database. We then created CCRs for each provider for each cost center (see prior table for line items used in the calculations) and removed any CCRs that were greater than 10 or less than 0.01. We normalized the departmental CCRs by dividing the CCR for each department by the total CCR for the hospital for the purpose of trimming the data. We then took the logs of the normalized cost center CCRs and removed any cost center CCRs where the log of the cost center CCR was greater or less than the mean log plus/minus 3 times the standard deviation for the log of that cost center CCR. Once the cost report data were trimmed, we calculated a Medicare-specific CCR. The Medicare-specific CCR was determined by taking the Medicare charges for each line item from Worksheet D-3 and deriving the Medicare-specific costs by applying the hospital-specific departmental CCRs to the Medicare-specific charges for each line item from Worksheet D-3. Once each hospital's Medicare-specific costs were established, we summed the total Medicare-specific costs and divided by the sum of the total Medicare-specific charges to produce national average, charge-weighted CCRs.
After we multiplied the total charges for each MS-DRG in each of the 19 cost centers by the corresponding national average CCR, we summed the 19 “costs” across each MS-DRG to produce a total standardized cost for the MS-DRG. The average standardized cost for each MS-DRG was then computed as the total standardized cost for the MS-DRG divided by the transfer-adjusted case count for the MS-DRG. The average cost for each MS-DRG was then divided by the national average standardized cost per case to determine the relative weight.
The FY 2014 cost-based relative weights were then normalized by an adjustment factor of 1.615238977 so that the average case weight after recalibration was equal to the average case weight before recalibration. The normalization adjustment is intended to ensure that recalibration by itself neither increases nor decreases total payments under the IPPS, as required by section 1886(d)(4)(C)(iii) of the Act.
The 19 national average CCRs for FY 2014 are as follows:
| Group | CCR |
|---|---|
| Routine Days | 0.500 |
| Intensive Days | 0.414 |
| Drugs | 0.193 |
| Supplies & Equipment | 0.300 |
| Implantable Devices | 0.356 |
| Therapy Services | 0.356 |
| Laboratory | 0.134 |
| Operating Room | 0.221 |
| Cardiology | 0.130 |
| Cardiac Catheterization | 0.136 |
| Radiology | 0.171 |
| MRIs | 0.090 |
| CT Scans | 0.045 |
| Emergency Room | 0.206 |
| Blood and Blood Products | 0.365 |
| Other Services | 0.400 |
| Labor & Delivery | 0.424 |
| Inhalation Therapy | 0.186 |
| Anesthesia | 0.119 |
Since FY 2009, the relative weights have been based on 100 percent cost weights based on our MS-DRG grouping system.
When we recalibrated the DRG weights for previous years, we set a threshold of 10 cases as the minimum number of cases required to compute a reasonable weight. In the FY 2014 IPPS/LTCH PPS proposed rule, we proposed to use that same case threshold in recalibrating the MS-DRG weights for FY 2014. Using data from the FY 2012 MedPAR file, there were 7 MS-DRGs that contain fewer than 10 cases. Under the MS-DRGs, we have fewer low-volume DRGs than under the CMS DRGs because we no longer have separate DRGs for patients aged 0 to 17 years. With the exception of newborns, we previously separated some DRGs based on whether the patient was age 0 to 17 years or age 17 years and older. Other than the age split, cases grouping to these DRGs are identical. The DRGs for patients aged 0 to 17 years generally have very low volumes because children are typically ineligible for Medicare. In the past, we have found that the low volume of cases for the pediatric DRGs could lead to significant year-to-year instability in their relative weights. Although we have always encouraged non-Medicare payers to develop weights applicable to their own patient populations, we have received frequent complaints from providers about the use of the Medicare relative weights in the pediatric population. We believe that eliminating this age split in the MS-DRGs will provide more stable payment for pediatric cases by determining their payment using adult cases that are much higher in total volume. Newborns are unique and require separate MS-DRGs that are not mirrored in the adult population. Therefore, it remains necessary to retain separate MS-DRGs for newborns. All of the low-volume MS-DRGs listed below are for newborns. In FY 2014, because we do not have sufficient MedPAR data to set accurate and stable cost weights for these low-volume MS-DRGs, we proposed to compute weights for the low-volume MS-DRGs by adjusting their FY 2013 weights by the percentage change in the average weight of the cases in other MS-DRGs. The crosswalk table is shown below:
| Low-volume MS-DRG | MS-DRG Title | Crosswalk to MS-DRG |
|---|---|---|
| 789 | Neonates, Died or Transferred to Another Acute Care Facility | FY 2013 FR weight (adjusted by percent change in average weight of the cases in other MS-DRGs). |
| 790 | Extreme Immaturity or Respiratory Distress Syndrome, Neonate | FY 2013 FR weight (adjusted by percent change in average weight of the cases in other MS-DRGs). |
| 791 | Prematurity with Major Problems | FY 2013 FR weight (adjusted by percent change in average weight of the cases in other MS-DRGs). |
| 792 | Prematurity without Major Problems | FY 2013 FR weight (adjusted by percent change in average weight of the cases in other MS-DRGs). |
| 793 | Full-Term Neonate with Major Problems | FY 2013 FR weight (adjusted by percent change in average weight of the cases in other MS-DRGs). |
| 794 | Neonate with Other Significant Problems | FY 2013 FR weight (adjusted by percent change in average weight of the cases in other MS-DRGs). |
| 795 | Normal Newborn | FY 2013 FR weight (adjusted by percent change in average weight of the cases in other MS-DRGs). |
We did not receive any public comments on this proposal and, therefore, are finalizing it for FY 2014 as proposed.
4. Bundled Payments for Care Improvement (BPCI) Initiative
The Bundled Payments for Care Improvement (BPCI) initiative, developed under the authority of section 3021 of the Affordable Care Act (codified at section 1115A of the Act), is comprised of four broadly defined models of care, which link payments for multiple services beneficiaries receive during an episode of care. Under the BPCI initiative, organizations enter into payment arrangements that include financial and performance accountability for episodes of care. On January 31, 2013, CMS announced the health care organizations selected to participate in the BPCI initiative. For additional information on the BPCI initiative, we refer readers to the CMS' Center for Medicare and Medicaid Innovation's Web site at http://innovation.cms.gov/initiatives/Bundled-Payments/index.html and to section IV.H.4. of the preamble of the FY 2013 IPPS/LTCH PPS final rule (77 FR 53341 through 53343) for a discussion on the BPCI initiative.
In the FY 2013 IPPS/LTCH PPS final rule, for FY 2013 and subsequent fiscal years, we finalized a policy to treat hospitals that participate in the BPCI initiative the same as prior fiscal years for the IPPS payment modeling and ratesetting process without regard to a hospital's participation within these bundled payment models (that is, as if a hospital were not participating in those models under the BPCI initiative). Therefore, for FY 2014, we proposed to continue to include all applicable data from subsection (d) hospitals participating in BPCI Models 1, 2, and 4 in our IPPS payment modeling and ratesetting calculations. We did not receive any public comments on this proposal and, therefore, are finalizing it for FY 2014 as proposed. We refer readers to the FY 2013 IPPS/LTCH PPS final rule for a complete discussion on our final policy for the treatment of hospitals participating in the BPCI initiative in our ratesetting process.
I. Add-On Payments for New Services and Technologies
1. Background
Sections 1886(d)(5)(K) and (L) of the Act establish a process of identifying and ensuring adequate payment for new medical services and technologies (sometimes collectively referred to in this section as “new technologies”) under the IPPS. Section 1886(d)(5)(K)(vi) of the Act specifies that a medical service or technology will be considered new if it meets criteria established by the Secretary after notice and opportunity for public comment. Section 1886(d)(5)(K)(ii)(I) of the Act specifies that a new medical service or technology may be considered for new technology add-on payment if, “based on the estimated costs incurred with respect to discharges involving such service or technology, the DRG prospective payment rate otherwise applicable to such discharges under this subsection is inadequate.” We note that beginning with discharges occurring in FY 2008, CMS transitioned from CMS-DRGs to MS-DRGs.
The regulations at 42 CFR 412.87 implement these provisions and specify three criteria for a new medical service or technology to receive the additional payment: (1) The medical service or technology must be new; (2) the medical service or technology must be costly such that the DRG rate otherwise applicable to discharges involving the medical service or technology is determined to be inadequate; and (3) the service or technology must demonstrate a substantial clinical improvement over existing services or technologies. Below we highlight some of the major statutory and regulatory provisions relevant to the new technology add-on payment criteria as well as other information. For a complete discussion on the new technology add-on payment criteria, we refer readers to the FY 2012 IPPS/LTCH PPS final rule (76 FR 51572 through 51574).
Under the first criterion, as reflected in § 412.87(b)(2), a specific medical service or technology will be considered “new” for purposes of new medical service or technology add-on payments until such time as Medicare data are available to fully reflect the cost of the technology in the MS-DRG weights through recalibration. We note that we do not consider a service or technology to be new if it is substantially similar to one or more existing technologies. That is, even if a technology receives a new FDA approval, it may not necessarily be considered “new” for purposes of new technology add-on payments if it is “substantially similar” to a technology that was approved by FDA and has been on the market for more than 2 to 3 years. In the FY 2006 IPPS final rule (70 FR 47351) and the FY 2010 IPPS/RY 2010 LTCH PPS final rule (74 FR 43813 and 43814), we explained our policy regarding substantial similarity in detail.
Under the second criterion, § 412.87(b)(3) further provides that, to be eligible for the add-on payment for new medical services or technologies, the MS-DRG prospective payment rate otherwise applicable to the discharge involving the new medical services or technologies must be assessed for adequacy. Under the cost criterion, to assess the adequacy of payment for a new technology paid under the applicable MS-DRG prospective payment rate, we evaluate whether the charges for cases involving the new technology exceed certain threshold amounts. Table 10 that was released with the FY 2013 IPPS/LTCH PPS final rule contains the final thresholds that we used to evaluate applications for new technology add-on payments for FY 2014. We refer readers to the CMS Web site at: http://www.cms.gov/Medicare/Medicare-Fee-for-Service-Payment/AcuteInpatientPPS/FY-2013-IPPS-Final-Rule-Home-Page.html for a complete viewing of Table 10 from the FY 2013 IPPS/LTCH PPS final rule.
In the September 7, 2001 final rule that established the new technology add-on payment regulations (66 FR 46917), we discussed the issue of whether the Health Insurance Portability and Accountability Act (HIPAA) Privacy Rule at 45 CFR Parts 160 and 164 applies to claims information that providers submit with applications for new technology add-on payments. We refer readers to the FY 2012 IPPS/LTCH PPS final rule (76 FR 51573) for complete information on this issue.
Under the third criterion, § 412.87(b)(1) of our existing regulations provides that a new technology is an appropriate candidate for an additional payment when it represents “an advance that substantially improves, relative to technologies previously available, the diagnosis or treatment of Medicare beneficiaries.” For example, a new technology represents a substantial clinical improvement when it reduces mortality, decreases the number of hospitalizations or physician visits, or reduces recovery time compared to the technologies previously available. (We refer readers to the September 7, 2001 final rule for a more detailed discussion of this criterion (66 FR 46902).)
The new medical service or technology add-on payment policy under the IPPS provides additional payments for cases with relatively high costs involving eligible new medical services or technologies while preserving some of the incentives inherent under an average-based prospective payment system. The payment mechanism is based on the cost to hospitals for the new medical service or technology. Under § 412.88, if the costs of the discharge (determined by applying cost-to-charge ratios (CCRs) as described in § 412.84(h)) exceed the full DRG payment (including payments for IME and DSH, but excluding outlier payments), Medicare will make an add-on payment equal to the lesser of: (1) 50 percent of the estimated costs of the new technology (if the estimated costs for the case including the new technology exceed Medicare's payment); or (2) 50 percent of the difference between the full DRG payment and the hospital's estimated cost for the case. Unless the discharge qualifies for an outlier payment, the additional Medicare payment is limited to the full MS-DRG payment plus 50 percent of the estimated costs of the new technology.
Section 503(d)(2) of Public Law 108-173 provides that there shall be no reduction or adjustment in aggregate payments under the IPPS due to add-on payments for new medical services and technologies. Therefore, in accordance with section 503(d)(2) of Public Law 108-173, add-on payments for new medical services or technologies for FY 2005 and later years have not been subjected to budget neutrality.
In the FY 2009 IPPS final rule (73 FR 48561 through 48563), we modified our regulations at § 412.87 to codify our longstanding practice of how CMS evaluates the eligibility criteria for new medical service or technology add-on payment applications. That is, we first determine whether a medical service or technology meets the newness criteria, and only if so, do we then make a determination as to whether the technology meets the cost threshold and represents a substantial clinical improvement over existing medical services or technologies. We also amended § 412.87(c) to specify that all applicants for new technology add-on payments must have FDA approval or clearance for their new medical service or technology by July 1 of each year prior to the beginning of the fiscal year that the application is being considered.
The Council on Technology and Innovation (CTI) at CMS oversees the agency's cross-cutting priority on coordinating coverage, coding and payment processes for Medicare with respect to new technologies and procedures, including new drug therapies, as well as promoting the exchange of information on new technologies between CMS and other entities. The CTI, composed of senior CMS staff and clinicians, was established under section 942(a) of Public Law 108-173. The Council is co-chaired by the Director of the Center for Clinical Standards and Quality (CCSQ) and the Director of the Center for Medicare (CM), who is also designated as the CTI's Executive Coordinator.
The specific processes for coverage, coding, and payment are implemented by CM, CCSQ, and the local claims-payment contractors (in the case of local coverage and payment decisions). The CTI supplements, rather than replaces, these processes by working to assure that all of these activities reflect the agency-wide priority to promote high-quality, innovative care. At the same time, the CTI also works to streamline, accelerate, and improve coordination of these processes to ensure that they remain up to date as new issues arise. To achieve its goals, the CTI works to streamline and create a more transparent coding and payment process, improve the quality of medical decisions, and speed patient access to effective new treatments. It is also dedicated to supporting better decisions by patients and doctors in using Medicare-covered services through the promotion of better evidence development, which is critical for improving the quality of care for Medicare beneficiaries.
To improve the understanding of CMS' processes for coverage, coding, and payment and how to access them, the CTI has developed an “Innovator's Guide” to these processes. The intent is to consolidate this information, much of which is already available in a variety of CMS documents and in various places on the CMS Web site, in a user-friendly format. This guide was published in August 2008 and is available on the CMS Web site at: http://www.cms.gov/CouncilonTechInnov/Downloads/InnovatorsGuide5_10_10.pdf.
As we indicated in the FY 2009 IPPS final rule (73 FR 48554), we invite any product developers or manufacturers of new medical technologies to contact the agency early in the process of product development if they have questions or concerns about the evidence that would be needed later in the development process for the agency's coverage decisions for Medicare.
The CTI aims to provide useful information on its activities and initiatives to stakeholders, including Medicare beneficiaries, advocates, medical product manufacturers, providers, and health policy experts. Stakeholders with further questions about Medicare's coverage, coding, and payment processes, or who want further guidance about how they can navigate these processes, can contact the CTI at CTI@cms.hhs.gov.
We note that applicants for add-on payments for new medical services or technologies for FY 2015 must submit a formal request, including a full description of the clinical applications of the medical service or technology and the results of any clinical evaluations demonstrating that the new medical service or technology represents a substantial clinical improvement, along with a significant sample of data to demonstrate that the medical service or technology meets the high-cost threshold. Complete application information, along with final deadlines for submitting a full application, will be posted as it becomes available on the CMS Web site at: http://www.cms.gov/Medicare/Medicare-Fee-for-Service-Payment/AcuteInpatientPPS/newtech.html. To allow interested parties to identify the new medical services or technologies under review before the publication of the proposed rule for FY 2015, the Web site also will post the tracking forms completed by each applicant.
2. Public Input Before Publication of a Notice of Proposed Rulemaking on Add-On Payments
Section 1886(d)(5)(K)(viii) of the Act, as amended by section 503(b)(2) of Public Law 108-173, provides for a mechanism for public input before publication of a notice of proposed rulemaking regarding whether a medical service or technology represents a substantial clinical improvement or advancement. The process for evaluating new medical service and technology applications requires the Secretary to—
- Provide, before publication of a proposed rule, for public input regarding whether a new service or technology represents an advance in medical technology that substantially improves the diagnosis or treatment of Medicare beneficiaries;
- Make public and periodically update a list of the services and technologies for which applications for add-on payments are pending;
- Accept comments, recommendations, and data from the public regarding whether a service or technology represents a substantial clinical improvement; and
- Provide, before publication of a proposed rule, for a meeting at which organizations representing hospitals, physicians, manufacturers, and any other interested party may present comments, recommendations, and data regarding whether a new medical service or technology represents a substantial clinical improvement to the clinical staff of CMS.
In order to provide an opportunity for public input regarding add-on payments for new medical services and technologies for FY 2014 prior to publication of the FY 2014 IPPS/LTCH PPS proposed rule, we published a notice in the Federal Register on November 23, 2012 (77 FR 70163 through 70165), and held a town hall meeting at the CMS Headquarters Office in Baltimore, MD, on February 5, 2013. In the announcement notice for the meeting, we stated that the opinions and alternatives provided during the meeting would assist us in our evaluations of applications by allowing public discussion of the substantial clinical improvement criterion for each of the FY 2014 new medical service and technology add-on payment applications before the publication of the FY 2014 proposed rule.
Approximately 60 individuals registered to attend the town hall meeting in person, while additional individuals listened over an open telephone line. We considered each applicant's presentation made at the town hall meeting, as well as written comments submitted on the applications that were received by the due date of February 26, 2013, in our evaluation of the new technology add-on payment applications for FY 2014 in the proposed rule. In response to the published notice and the new technology town hall meeting, commenters submitted and presented public comments that were unrelated to the substantial clinical improvement criterion in regard to the new technology applications for FY 2014. We also received public comments in response to the proposed rule relating to topics such as marginal cost factors for new technology add-on payments, and the use of external data in determining the cost threshold and mapping new technologies to the appropriate MS-DRG. Because we did not request public comments nor propose to make any changes to any of the issues above, we are not summarizing these public comments nor responding to them in this final rule.
We also live-streamed the town hall meeting over the Internet and received very positive feedback from the public on use of this option. In the FY 2014 IPPS/LTCH PPS proposed rule, we stated that we are considering no longer holding an in-person town hall meeting in Baltimore, MD, and instead holding a virtual town hall meeting that would be live-streamed on the Internet. We invited public comments on the possibility of holding a virtual town hall meeting instead of an in-person town hall meeting in Baltimore, MD.
Comment: Some commenters expressed concern that limiting the town hall meeting to a virtual town hall meeting may give less of a voice to applicants. The commenters supported the option to observe the town hall meeting via live stream on line but recommended that we maintain the in-person option as well.
Response: In the proposed rule, we noted that we received positive comments concerning the virtual town hall meeting. We expect that applicants would still be an integral part of the virtual town hall meeting as it is typical for applicants to make presentations at the annual town hall meeting about their technologies and why their technologies represent a substantial clinical improvement over existing technologies. However, we note that some applicants have either chosen not to make a presentation at the town hall meeting and/or to make all or part of their presentation by phone. Therefore, we do not believe a virtual town hall would offer less of a voice to applicants. The purpose of a virtual town hall meeting would be to continue to provide the information to the public in advance of the proposed rule while reducing the burden and providing greater access for all applicants and interested parties by eliminating the need to make special travel arrangements or by mitigating any other issue that would limit the public from attending the meeting in person. For example, in 2010, we postponed the town hall meeting due to inclement weather. We will consider the issues raised by these commenters as we consider whether to transition to a virtual town hall meeting. Further information regarding the mechanism we use to engage the public for future town hall meetings will be provided via public notice.
3. FY 2014 Status of Technologies Approved for FY 2013 Add-On Payments
a. Auto Laser Interstitial Thermal Therapy (AutoLITT [TM] ) System
Monteris Medical submitted an application for new technology add-on payments for FY 2011 for the AutoLITT [TM] . AutoLITT [TM] is a minimally invasive, MRI-guided laser tipped catheter designed to destroy malignant brain tumors with interstitial thermal energy causing immediate coagulation and necrosis of diseased tissue. The technology can be identified by ICD-9-CM procedure codes 17.61 (Laser interstitial thermal therapy [LITT] of lesion or tissue of brain under guidance), and 17.62 (Laser interstitial thermal therapy [LITT] of lesion or tissue of head and neck under guidance), which became effective on October 1, 2009.
The AutoLITT [TM] received a 510(k) FDA clearance in May 2009. The AutoLITT [TM] is indicated for use to necrotize or coagulate soft tissue through interstitial irradiation or thermal therapy in medicine and surgery in the discipline of neurosurgery with 1064 nm lasers. The AutoLITT [TM] may be used in patients with glioblastoma multiforme brain tumors. The applicant stated in its application and through supplemental information that, due to required updates, the technology was actually introduced to the market in December 2009. After evaluation of the newness, costs, and substantial clinical improvement criteria for new technology add-on payments for the AutoLITT [TM] and consideration of the public comments we received in response to the FY 2011 IPPS/LTCH PPS proposed rule, including the additional analysis of clinical data and supporting information submitted by the applicant, we approved the AutoLITT [TM] for new technology add-on payments for FY 2011. In the FY 2013 IPPS/LTCH PPS proposed rule (77 FR 27935 through 27936), based on the original information provided by the applicant, we believed that the newness date for the AutoLITT [TM] began in December 2009. However, as summarized in the FY 2013 IPPS/LTCH PPS final rule (77 FR 53345 through 53346), the applicant submitted a public comment (in response to the FY 2013 proposed rule) demonstrating that the AutoLITT [TM] was first available on May 11, 2010. The manufacturer explained that some of the sterile disposable products were not released from quarantine until May 11, 2010, which prevented the AutoLITT [TM] from being used prior to May 11, 2010. Therefore, the manufacturer asserted that the first time the AutoLITT [TM] was available on the market was May 11, 2010. As a result of this information, we continued to make new technology add-on payments for the AutoLITT [TM] in FY 2013. (We refer readers to the FY 2013 IPPS/LTCH PPS final rule for a complete discussion on this issue).
Consistent with the applicant's clinical trial, the add-on payment is intended only for use of the device in cases of glioblastoma multiforme. Therefore, we limited the new technology add-on payment to cases involving the AutoLITT [TM] in MS-DRGs 025 (Craniotomy and Endovascular Intracranial Procedures with Major Complications or Comorbidities (MCC)), 026 (Craniotomy and Endovascular Intracranial Procedures with Complications or Comorbidities (CC)), and 027 (Craniotomy and Endovascular Intracranial Procedures without CC or MCC). Cases involving the AutoLITT [TM] that are eligible for the new technology add-on payment are identified by assignment to MS-DRGs 025, 026, and 027 with a procedure code of 17.61 (Laser interstitial thermotherapy of lesion or tissue of brain under guidance) in combination with a principal diagnosis code that begins with a prefix of 191 (Malignant neoplasm of brain). We note that using the procedure and diagnosis codes above and restricting the add-on payment to cases that map to MS-DRGs 025, 026, and 027 is consistent with information provided by the applicant, which demonstrated that cases of the AutoLITT [TM] would only map to MS-DRGs 025, 026, and 027. Procedure code 17.62 (Laser interstitial thermotherapy of lesion or tissue of head and neck under guidance) does not map to MS-DRGs 025, 026, or 027 under the GROUPER software and, therefore, is ineligible for new technology add-on payment.
The average cost of the AutoLITT [TM] is reported as $10,600 per case. Under § 412.88(a)(2) of the regulations, new technology add-on payments are limited to the lesser of 50 percent of the average cost of the device or 50 percent of the costs in excess of the MS-DRG payment for the case. As a result, the maximum add-on payment for a case involving the AutoLITT [TM] is $5,300.
The new technology add-on payment regulations provide that “a medical service or technology may be considered new within 2 or 3 years after the point at which data begin to become available reflecting the ICD-9-CM code assigned to the new service or technology” (§ 412.87(b)(2)). Our practice has been to begin and end new technology add-on payments on the basis of a fiscal year, and we have generally followed a guideline that uses a 6-month window before and after the start of the fiscal year to determine whether to extend the new technology add-on payment for an additional fiscal year. In general, we extend add-on payments for an additional year only if the 3-year anniversary date of the product's entry on the market occurs in the latter half of the fiscal year (70 FR 47362). With regard to the newness criterion for the AutoLITT [TM] , as stated above, we consider the beginning of the newness period for the device to commence when the AutoLITT [TM] was first available on May 11, 2010. Because the 3-year anniversary date of the AutoLITT [TM] 's entry onto the market will occur on May 11, 2013, which is prior to the beginning of FY 2014, we proposed to discontinue new technology add-on payments for the AutoLITT [TM] for FY 2014.
We invited public comments on this proposal. However, we did not receive any public comments in response to our invitation. Therefore, we are finalizing our proposal to discontinue new technology add-on payments for the AutoLITT [TM] for FY 2014.
b. Glucarpidase (Trade Brand Voraxaze®)
BTG International, Inc. submitted an application for new technology add-on payments for Glucarpidase (trade brand Voraxaze®) for FY 2013. Glucarpidase is used in the treatment of patients who have been diagnosed with toxic methotrexate (MTX) concentrations as of result of renal impairment. The administration of Glucarpidase causes a rapid and sustained reduction of toxic MTX concentrations.
Voraxaze® was approved by the FDA on January 17, 2012. Beginning in 1993, certain patients could obtain expanded access for treatment use to Voraxaze® as an investigational drug. Since 2007, the applicant has been authorized to recover the costs of making Voraxaze® available through its expanded access program. We describe expanded access for treatment use of investigational drugs and authorization to recover certain costs of investigational drugs in the FY 2013 IPPS/LTCH PPS final rule (77 FR 53346 through 53350). Voraxaze® was available on the market in the United States as a commercial product to the larger population as of April 30, 2012. In the FY 2013 IPPS/LTCH PPS proposed rule (77 FR 27936 through 27939), we expressed concerns about whether Voraxaze® could be considered new for FY 2013. After consideration of all of the public comments received, in the FY 2013 IPPS/LTCH PPS final rule, we stated that we considered Voraxaze® to be “new” as of April 30, 2012, which is the date of market availability.
After evaluation of the newness, costs, and substantial clinical improvement criteria for new technology payments for Voraxaze® and consideration of the public comments we received in response to the FY 2013 IPPS/LTCH PPS proposed rule, we approved Voraxaze® for new technology add-on payments for FY 2013. Cases of Voraxaze® are identified with ICD-9-CM procedure code 00.95 (Injection or infusion of glucarpidase). The cost of Voraxaze® is $22,500 per vial. The applicant stated that an average of four vials is used per Medicare beneficiary. Therefore, the average cost per case for Voraxaze® is $90,000 ($22,500 × 4). Under § 412.88(a)(2), new technology add-on payments are limited to the lesser of 50 percent of the average cost of the technology or 50 percent of the costs in excess of the MS-DRG payment for the case. As a result, the maximum new technology add-on payment for Voraxaze® is $45,000 per case.
As stated above, the new technology add-on payment regulations provide that “a medical service or technology may be considered new within 2 or 3 years after the point at which data begin to become available reflecting the ICD-9-CM code assigned to the new service or technology” (§ 412.87(b)(2)). With regard to the newness criterion for Voraxaze®, as stated above, we consider the beginning of the newness period to commence when Voraxaze® was first available on the market on April 30, 2012. Because Voraxaze® is still within the 3-year newness period, we proposed to continue new technology add-on payments for this technology for FY 2014. We invited public comments on this proposal.
Comment: Several commenters supported the continuation of making new technology add-on payments for Voraxaze® in FY 2014.
Response: We appreciate the commenters' support.
After consideration of the public comments we received, we are finalizing our proposal to continue to make new technology add-on payments for Voraxaze® in FY 2014.
c. DIFICID [TM] (Fidaxomicin) Tablets
Optimer Pharmaceuticals, Inc. submitted an application for new technology add-on payments for FY 2013 for the use of DIFICID [TM] tablets. As indicated on the labeling submitted to the FDA, the applicant noted that Fidaxomicin is taken twice a day as a daily dosage (200 mg tablet twice daily = 400 mg per day) as an oral antibiotic. The applicant asserted that Fidaxomicin provides potent bactericidal activity against C. Diff., and moderate bactericidal activity against certain other gram-positive organisms, such as enterococcus and staphylococcus. Unlike other antibiotics used to treat CDAD, the applicant noted that the effects of Fidaxomicin preserve bacteroides organisms in the fecal flora. These are markers of normal anaerobic microflora. The applicant asserted that this helps prevent pathogen introduction or persistence, which potentially inhibits the re-emergence of C. Diff., and reduces the likelihood of overgrowths as a result of vancomycin-resistant Enterococcus (VRE). Because of this narrow spectrum of activity, the applicant asserted that Fidaxomicin does not alter this native intestinal microflora.
In the FY 2013 IPPS/LTCH PPS proposed rule (77 FR 27939 through 27941), we expressed concern that DIFICID [TM] may not be eligible for new technology add-on payments because eligibility is limited to new technologies associated with procedures described by ICD-9-CM codes. We further stated that drugs that are only taken orally (such as DIFICID [TM] ) may not be eligible for consideration for new technology add-on payments because there is no procedure associated with these drugs and, therefore, no ICD-9-CM code(s). In the FY 2013 IPPS/LTCH PPS final rule (77 FR 53350 through 53358), after consideration of the public comments received, we revised our policy to allow the use of National Drug Codes (NDCs) to identify oral medications that have no inpatient procedure for the purposes of new technology add-on payments. The revised policy is effective for payments for discharges occurring on or after October 1, 2012. We refer readers to the FY 2013 IPPS/LTCH PPS final rule for a complete discussion on this issue.
With regard to the newness criterion, Fidaxomicin was approved by the FDA on May 27, 2011, for the treatment of CDAD in adult patients, 18 years of age and older. In the FY 2013 IPPS/LTCH PPS final rule, we established that the beginning of the newness period for this technology is its FDA approval date of May 27, 2011.
After evaluation of the newness, costs, and substantial clinical improvement criteria for new technology add-on payments for DIFICID [TM] and consideration of the public comments we received in response to the FY 2013 IPPS/LTCH PPS proposed rule, we approved DIFICID [TM] for new technology add-on payments for FY 2013. Cases of DIFICID [TM] are identified with ICD-9-CM diagnosis code 008.45 (Intestinal infection due to Clostridium difficile) in combination with NDC code 52015-0080-01. Providers must report the NDC on the 837i Health Care Claim Institutional form (in combination with ICD-9-CM diagnosis code 008.45) in order to receive the new technology add-on payment. According to the applicant, the cost of DIFICID [TM] is $2,800 for a 10-day dosage. The average cost per day for DIFICID [TM] is $280 ($2,800/10). Cases of DIFICID [TM] within the inpatient setting typically incur an average dosage of 6.2 days, which results in an average cost per case for DIFICID [TM] of $1,736 ($280 × 6.2). Under § 412.88(a)(2), new technology add-on payments are limited to the lesser of 50 percent of the average cost of the technology or 50 percent of the costs in excess of the MS-DRG payment for the case. As a result, the maximum new technology add-on payment for FY 2013 for DIFICID [TM] is $868.
As stated above, the new technology add-on payment regulations provide that “a medical service or technology may be considered new within 2 or 3 years after the point at which data begin to become available reflecting the ICD-9-CM code assigned to the new service or technology” (§ 412.87(b)(2)). Our practice has been to begin and end new technology add-on payments on the basis of a fiscal year, and we have generally followed a guideline that uses a 6-month window before and after the start of the fiscal year to determine whether to extend the new technology add-on payment for an additional fiscal year. In general, we extend add-on payments for an additional year only if the 3-year anniversary date of the product's entry on the market occurs in the latter half of the fiscal year (70 FR 47362). With regard to the newness criterion for DIFICID [TM] , as stated above, we consider the beginning of the newness period to commence when DIFICID [TM] was first approved by the FDA on May 27, 2011. Because the 3-year anniversary date of DIFICID [TM] will occur in the second half of the fiscal year (after April 1, 2014), we proposed to continue new technology add-on payments for DIFICID [TM] for FY 2014. We invited public comments on this proposal.
Comment: Several commenters supported the continuation of making new technology add-on payments for DIFICID [TM] in FY 2014. In addition, the applicant submitted a comment stating that the new technology add-on payment for DIFICID [TM] has expanded Medicare beneficiary access for DIFICID [TM] in the acute care setting. The manufacturer also provided supplemental data demonstrating that cases of DIFICID [TM] within the inpatient setting continue to incur an average dosage of 6.2 days. Based on this supplemental data, the manufacturer recommended that we continue to consider 6.2 days of inpatient administration of DIFICID [TM] in its calculations for the cost criterion and the add-on payment.
Response: We appreciate the commenters' support. We agree that the supplemental data submitted by the manufacturer continues to support the use of 6.2 days for the cost criterion and the add-on payment.
After consideration of the public comments we received, we are finalizing our proposal to continue to make new technology add-on payments for DIFICID [TM] in FY 2014.
d. Zenith® Fenestrated Abdominal Aortic Aneurysm (AAA) Endovascular Graft
Cook® Medical submitted an application for new technology add-on payments for the Zenith® Fenestrated Abdominal Aortic Aneurysm (AAA) Endovascular Graft (Zenith® F. Graft) for FY 2013. The applicant stated that the current treatment for patients who have had an AAA is an endovascular graft. The applicant explained that the Zenith® F. Graft is an implantable device designed to treat patients who have an AAA and who are anatomically unsuitable for treatment with currently approved AAA endovascular grafts because of the length of the infrarenal aortic neck. The applicant noted that, currently, an AAA is treated through an open surgical repair or medical management for those patients not eligible for currently approved AAA endovascular grafts.
With respect to newness, the applicant stated that FDA approval for the use of the Zenith® F. Graft was granted on April 4, 2012. In the FY 2013 IPPS/LTCH PPS final rule (77 FR 53360 through 53365), we stated that because the Zenith® F. Graft was approved by the FDA on April 4, 2012, we believed that the Zenith® F. Graft met the newness criterion as of that date.
After evaluation of the newness, costs, and substantial clinical improvement criteria for new technology add-on payments for the Zenith® F. Graft and consideration of the public comments we received in response to the FY 2013 IPPS/LTCH PPS proposed rule, we approved the Zenith® F. Graft for new technology add-on payments for FY 2013. Cases involving the Zenith® F. Graft that are eligible for new technology add-on payments are identified by ICD-9-CM procedure code 39.78 (Endovascular implantation of branching or fenestrated graft(s) in aorta). In the application, the applicant provided a breakdown of the costs of the Zenith® F. Graft. The total cost of the Zenith® F. Graft utilizing bare metal (renal) alignment stents was $17,264. Of the $17,264 in costs for the Zenith® F. Graft, $921 are for components that are used in a standard Zenith AAA Endovascular Graft procedure. Because the costs for these components are already reflected within the MS-DRGs (and are no longer “new”), in the FY 2013 IPPS/LTCH PPS final rule, we stated that we do not believe it is appropriate to include these costs in our calculation of the maximum cost to determine the maximum add-on payment for the Zenith® F. Graft. Therefore, the total maximum cost for the Zenith® F. Graft is $16,343 ($17,264−$921). Under § 412.88(a)(2), new technology add-on payments are limited to the lesser of 50 percent of the average cost of the device or 50 percent of the costs in excess of the MS-DRG payment for the case. As a result, the maximum add-on payment for a case involving the Zenith® F. Graft is $8,171.50.
As stated above, the new technology add-on payment regulations provide that “a medical service or technology may be considered new within 2 or 3 years after the point at which data begin to become available reflecting the ICD-9-CM code assigned to the new service or technology” (§ 412.87(b)(2)). With regard to the newness criterion for the Zenith® F. Graft, as stated above, we consider the beginning of the newness period to commence when the Zenith® F. Graft was approved by the FDA on April 4, 2012. Because the Zenith® F. Graft is still within the 3-year newness period, we proposed to continue new technology add-on payments for this technology for FY 2014. We invited public comments on this proposal.
Comment: Several commenters supported the continuation of new technology add-on payments for the Zenith® F. Graft in FY 2014.
Response: We appreciate the commenters' support.
After consideration of the public comments we received, we are finalizing our proposal to continue to make new technology add-on payments for the Zenith® F. Graft in FY 2014.
4. FY 2014 Applications for New Technology Add-On Payments
We received five applications for new technology add-on payments for FY 2014. In accordance with the regulations under § 412.87(c), applicants for new technology add-on payments must have FDA approval by July 1 of each year prior to the beginning of the fiscal year that the application is being considered. Two of the five technologies for which we received applications for new technology add-on payments, the NeuroPace Responsive Neurostimulator System (RNS) System and the Abbott Vascular MitraClip® System, did not receive FDA approval by the July 1 deadline. Therefore, these applications are not eligible for consideration for new technology add-on payments for FY 2014. In addition, the applicant for the NeuroPace RNS System withdrew its application prior to publication of this final rule. We note that we did receive public comments concerning these two applications. However, as stated above, because these two technologies did not receive FDA approval by the July 1 deadline and, therefore, cannot be considered for new technology add-on payments for FY 2014, we are not summarizing or responding to these comments in this final rule. We refer readers to the FY 2014 IPPS/LTCH PPS proposed rule (78 FR 27543 through 27545 and 27547 through 27552) for summaries of these two applications. A discussion of the remaining three applications is presented below.
a. Kcentra [TM]
CSL Behring submitted an application for new technology add-on payments for Kcentra [TM] for FY 2014. Kcentra [TM] is a replacement therapy for fresh frozen plasma (FFP) for patients with an acquired coagulation factor deficiency due to warfarin and who are experiencing a severe bleed. Kcentra [TM] contains the Vitamin K dependent coagulation factors II, VII, IX and X, together known as the prothrombin complex, and antithrombotic proteins C and S. Factor IX is the lead factor for the potency of the preparation. The product is a heat-treated, non-activated, virus filtered and lyophilized plasma protein concentrate made from pooled human plasma. Kcentra [TM] is available as a lyophilized powder that needs to be reconstituted with sterile water prior to administration via intravenous infusion. The product is dosed based on Factor IX units. Concurrent Vitamin K treatment is recommended to maintain blood clotting factor levels once the effects of Kcentra [TM] have diminished.
Kcentra [TM] was approved by the FDA on April 29, 2013. The applicant applied for a new ICD-9-CM procedure code for consideration at the March 5, 2013 ICD-9-CM Coordination and Maintenance Committee Meeting. In this final rule, we have approved new ICD-9-CM procedure code 00.96 (Infusion of 4-Factor Prothrombrin Complex Concentrate) which uniquely identifies Kcentra [TM] . More information on this request and approval can be found on the CMS Web site at: http://cms.gov/Medicare/Coding/ICD9ProviderDiagnosticCodes/ICD-9-CM-C-and-M-Meeting-Materials-Items/2013-03-05-MeetingMaterials.html and http://cms.hhs.gov/Medicare/Coding/ICD9ProviderDiagnosticCodes/addendum.html.
In the FY 2014 IPPS/LTCH PPS proposed rule, we noted that we were concerned that Kcentra [TM] may be substantially similar to FFP and/or Vitamin K therapy. If so, Kcentra [TM] would not meet the newness criterion because costs associated with FFP and/or Vitamin K therapy are already reflected within the MS-DRGs. In the FY 2010 IPPS/RY 2010 LTCH PPS final rule (74 FR 43813 through 43814), we established criteria for evaluating whether a new technology is substantial similar to an existing technology, specifically: (1) Whether a product uses the same or a similar mechanism of action to achieve a therapeutic outcome; (2) whether a product is assigned to the same or a different MS-DRG; and (3) whether the new use of the technology involves the treatment of the same or similar type of disease and the same or similar patient population. If a technology meets all three of the criteria above, it would be considered substantially similar to an existing technology and would not be considered “new” for purposes of new technology add-on payments.
In evaluating the first criterion, we stated in the FY 2014 IPPS/LTCH PPS proposed rule that we believe that both FFP and Kcentra [TM] use the same mechanism of action of Vitamin K dependent coagulation to reverse the anti-coagulation effects of warfarin. With respect to the second criterion, we believe that cases involving both FFP and Kcentra [TM] would be assigned to the same MS-DRGs. Finally, with respect to the third criterion, we stated that we believe that both technologies treat the same condition and patient population. Specifically, the patient population for both Kcentra [TM] and FFP are patients with an iatrogenically acquired coagulation factor deficiency due to warfarin and who are experiencing severe bleeding. Delay of treatment of these patients can lead to an increase in complications as well as an increase of the severity of the blood loss. Although FFP needs to thaw before it can be administered and can delay treatment compared to Kcentra [TM] , which can be used in a more timely manner, we stated that we believe that both Kcentra [TM] and FFP treat the same patient population. Based on evaluation of the similarity criteria, we stated that it appears that Kcentra [TM] is substantially similar to FFP with regard to being able to reverse the Warfarin effect of blood coagulation. Therefore, we stated in the proposed rule that Kcentra [TM] may not be considered “new” for purposes of new technology add-on payments. We invited public comments regarding whether Kcentra [TM] is substantially similar to existing technologies and whether Kcentra [TM] meets the newness criterion.
Comment: One commenter, the applicant and manufacturer, submitted a public comment stating that Kcentra [TM] meets the newness criterion because it was approved by the FDA and no data on the product will be available in the DRG payment system until FY 2014. In addition, the applicant asserted that because a new ICD-9-CM procedure code for Kcentra [TM] was created that will be effective October 1, 2013, Kcentra [TM] fulfills the regulatory requirements.
Response: As discussed in the proposed rule, because Kcentra [TM] may be substantially similar to FFP, it is possible that the costs associated with Kcentra [TM] may already be reflected in the MS-DRGs. Below we summarize the applicant's comments and our response concerning substantial similarity.
With regard to considering the technology “new” due to the issuance of a new ICD-9-CM procedure code, in the FY 2005 IPPS final rule (69 FR 49002), we discussed how, generally, we use the FDA approval as the indicator of the time when a technology begins to become available on the market and data reflecting the costs of the technology begin to become available for recalibration of the DRGs. In some specific circumstances, we have recognized a date later than the FDA approval as the appropriate starting point for the 2-year to 3-year period. Using the ICD-9-CM code alone is not an appropriate test of newness because technologies that are new to the market are automatically placed into the closest ICD-9-CM category when they first become available on the market, unless the manufacturer requests the assignment of a new ICD-9-CM code because existing codes do not adequately reflect or describe the medical service or device. We refer readers to the FY 2005 IPPS final rule for a complete discussion concerning the issuance of an ICD-9-CM code and the newness criterion.
Comment: The manufacturer submitted a public comment stating that Kcentra [TM] has a different mechanism of action than FFP in the same way that we determined that the AutoLITT [TM] had a different mechanism of action than the Visual-ase in the FY 2011 IPPS/LTCH PPS final rule (75 FR 50144).
Response: The commenter did not provide any details regarding the perceived similarities between the AutoLITT [TM] and the Kcentra [TM] applications in correlation with the comparison presented in its comment. For example, in the FY 2011 IPPS/LTCH PPS final rule, we determined that the AutoLITT [TM] was different than the Visual-ase due to its side-firing laser versus elliptical-firing. In addition, the AutoLITT [TM] contained a proprietary probe cooling system that removes heat from tissue not directly in the path of the laser beam, while the Visual-ase did not contain this cooling system. Therefore, without more information detailing the comparable differences in mechanism of action and/or the perceived similarities between these two applications, we are unable to provide further response to the comment.
Comment: The manufacturer submitted a public comment asserting that Kcentra [TM] has a different mechanism of action than FFP. The commenter explained that Kcentra [TM] 's mechanism of action for Vitamin K antagonist (VKA) reversal is different from FFP. Kcentra [TM] is purified, heat treated, nanofiltered, non-activated four factor prothorbin complex concentrate. It contains coagulation factors (II, VII, IX, X) and anti-coagulation proteins (C and S) that are 25 times more concentrated than plasma. Kcentra [TM] provides a simple and rapid repletion within 30 minutes. Unlike FPP, it does not require ABO typing as it does not contain ABO antibodies, thereby reducing the risk of a transfusion reaction. The absence of additional proteins removes the risk of transfusion related acute lung injury or TRALI.
Conversely, the manufacturer stated that FFP is isolated from the whole blood by the removal of cellular components (erythrocytes, granulocytes, lymphocytes and platelets), therefore it contains all the protein components in blood including coagulation proteins among others at a physiologic level of 1 IO/ml. In addition, FFP is a non-specific therapy which does not achieve the goal of repleting all coagulation factors to therapeutic levels. The manufacturer explained that factors II and X and Protein C remain below 50 percent at 3 hours. The manufacturer maintained that the reason for lack of correction of these factors is unclear and suggests that plasma cannot provide simple repletion or that there is another mechanism resulting in a plateau of some of the factors at a sub-therapeutic level. In contrast, the manufacturer noted that Kcentra [TM] increases all coagulation factors (II, VII, IX, X) and anti-coagulation proteins (C and S). The manufacturer added that modest reversal of VKA is also reflected in the slow return to normal of the International Normalized Ratio (INR). The manufacturer compared FFP to Kcentra [TM] and noted that early INR reduction was achieved in 62 percent of Kcentra [TM] patients versus less than 10 percent of FFP patients. The manufacturer also contended that the different method of production of Kcentra [TM] contributes to its distinct mechanism of action by providing a highly specific, highly concentrated product available on an urgent basis. The manufacturer explained that Kcentra [TM] 's blood factor constituents are 25 more times concentrated than those contained in a standard unit of FFP allowing for markedly decrease of infusion time and infusion of smaller volumes compared to equivalent doses of FFP; Kcentra [TM] provides standardized and known concentrations of factors compared to variable concentrations for FFP; Kcentra [TM] is a targeted therapy replacing only what is deficient in vitamin K antagonists reversal resulting in rapid reversal without impact of nonspecific protein content; Kcentra [TM] does not require ABO typing compared to FFP; and Kcentra [TM] is lyophilized powder for reconstitution and is stable for up to 36 months at room temperature making it ideal for emergency use compared to FFP.
Response: We appreciate the details provided in the manufacturer's comment that reference the different reasons why Kcentra [TM] uses a different mechanism of action than FFP. We appreciate the issues that the manufacturer raises that Kcentra [TM] provides a simple and rapid repletion relative to FFP and reduces the risk of a transfusion reaction relative to FFP because it does not contain ABO or RH antibodies, which require blood typing prior to administration. However, despite the arguments presented in the public comment, we remain concerned that Kcentra [TM] still uses the same mechanism of action as FFP because they both use coagulation factors and proteins to improve blood coagulation, in the context of an acquired coagulation deficiency.
Comment: The manufacturer also submitted a public comment asserting that Kcentra [TM] provides a therapeutic option for new patient populations and patient populations not recommended for FFP. The manufacturer listed the following patient populations that would be eligible to use Kcentra [TM] but not FFP:
- “Jehovah's Witnesses: Certain religious groups' beliefs prevent patients from accepting transfusion of whole blood or its primary components which includes plasma. Fractionated factor concentrates are considered ‘secondary components', and thus they may be acceptable to some followers” (with these beliefs who would otherwise not be eligible for FFP).
- Immunoglobulin A (IgA) deficient patients can have severe anaphylactoid reactions due to the formation of anti-IgA antibodies. Plasma contains immunoglobulins and plasma in amounts as small as 10 ml, which can result in severe reaction. Kcentra [TM] provides a treatment option for these patients who were not eligible for FFP.
- Rapid reversal of bleeding is important for patients with intracranial hemorrhaging (ICH) in order to restrict hematoma enlargement and allow timely neurosurgical intervention. The manufacturer believed that Kcentra [TM] provides a therapy for this population because plasma is not ideal because Warfarin increases the risk of ICH, which could lead to stroke. The manufacturer cited a study noting that intervention for ICH within the first hour may improve outcomes and protocol driven treatment can facilitate timely and efficient care. The manufacturer also noted that for patients receiving VKA therapy with an INR less than 1.4, protocol recommends administering agents to normalize the INR within minutes; Kcentra [TM] provides a readily available treatment compared to FFP which takes time to thaw, type the patient and then infuse.
- The manufacturer also noted that the most significant limitations of plasma are the volume and time required to increase factor levels. Because Kcentra [TM] is concentrated, schemes can be designed to achieve targeted factor level for patients, especially those with cardiac impairment, rather than a maximum tolerated volume. The manufacturer further explained that plasma volume, rate of infusion, left ventricular dysfunction and VKA reversal have been identified as risk factors for the development of Transfusion Associated Circulatory Overload (TACO). The manufacturer cited data from its clinical trial that demonstrated that plasma should not be administered to patients with cardiac impairment or risk of cardiac overload. The manufacturer asserted that Kcentra [TM] provides a therapy for patients with cardiac impairment for whom plasma would not be ideal.
- The manufacturer explained that given the logistical issues of managing, typing and storing supplies of plasma (fresh/thawed) as well as the limited supply of AB universal blood plasma, Kcentra [TM] provides a new treatment option for hospitals, regardless of size (small, rural, community) or trauma level, to handle urgent warfarin reversals. Plasma requires blood-type matching, thawing and is often located away from the point of care. The applicant cited a study conducted at a large, urban, tertiary care facility, where the median time from time of diagnosis to plasma infusion was 90 minutes (Goldstein STROKE 2006). This did not include time to infuse the plasma, which can take hours. The manufacturer further explained that even at leading hospitals, the logistics around obtaining units of plasma for urgent transfusions is difficult, making good outcomes difficult to obtain (Goldstein STROKE 2006). Smaller hospitals without the resources of a Level 1 trauma center find plasma even more difficult to manage resulting in under-treatment and slow treatment (Menzin Thromb and Hemostasis 2012). Particularly for smaller, community, rural, and hospitals less than Level One Trauma Centers, Kcentra [TM] represents the best opportunity for providing quality care to patients with Warfarin-related bleeding.
Response: We agree that Kcentra [TM] may be used in a patient population that is experiencing an acquired coagulation factor deficiency due to Warfarin and who are experiencing a severe bleed currently but are ineligible for FFP, particularly for use by IgA deficient patients and other patient populations that have no other treatment option to resolve severe bleeding in the context of an acquired Vitamin K deficiency. In addition, as mentioned above, FFP is limited because it requires special storage conditions while Kcentra [TM] is stable for up to 36 months at room temperature thus allowing hospitals that otherwise would not have access to FFP (for example, small rural hospitals as discussed by the applicant in its comments) to keep a supply of Kcentra [TM] and treat patients who would possibly have no access to FFP. We note that, FFP is considered perishable and can be scarce by nature (due to production and other market limitations) thus making some hospitals unable to store FFP, which limits access to certain patient populations in certain locations. Therefore, we believe that Kcentra [TM] provides a therapeutic option for a new patient population and is not substantially similar to FFP. Also, as stated above, we give credence to the information presented by the manufacturer in its comment that Kcentra [TM] provides a simple and rapid repletion relative to FFP and reduces the risk of a transfusion reaction relative to FFP because it does not contain ABO antibodies and does not require ABO typing. Because Kcentra [TM] is not substantially similar to FFP, we believe that Kcentra [TM] meets the newness criterion.
Comment: One commenter recommended that CMS eliminate the substantial similarity criterion. The commenter believed that there are several benefits to this proposal including eliminating the risk that patients would be denied access to new therapies that provide substantial clinical improvement, improving clarity and predictability of the add-on rules and conforming to the statutory and regulatory provisions governing add-on payments, which do not mention substantial similarity and allowing technologies that enter the market subsequent to similar products receiving the add-on payment to be eligible for the add-on payment as well and not giving an advantage to the first product on the market representing a specific technology.
Response: We appreciate the commenter's suggestion. However, we note that we did not propose to eliminate the substantial similarity criterion in the proposed rule. In regard to the commenter's assessment of the benefits of eliminating the substantial similarity criterion, we refer readers to the FY 2006 IPPS final rule (70 FR 47351) and the FY 2010 IPPS/RY 2010 LTCH PPS final rule (74 FR 43813 and 43814), where we explain our policy and reasoning regarding substantial similarity in detail.
According to the applicant, the technology is eligible to be used across all MS-DRGs. To demonstrate that it meets the cost criterion, the applicant searched the FY 2011 MedPAR file (across all MS DRGs) for cases reporting a primary or secondary diagnosis of E934.2 (Adverse events due to anticoagulants), V58.61 (Long term (current) use of anticoagulants), or 964.2 (Poisoning by anticoagulants) in combination with procedure code 99.07 (Transfusion of the serum). The applicant believed that this combination identified cases that suggest the use of a Vitamin K antagonist therapy as well as a major bleed.
The applicant found 66,749 cases across all MS-DRGs and noted that 18 percent of all cases would map to MS-DRGs 377 (Gastrointestinal Hemorrhage with MCC), 378 (Gastrointestinal Hemorrhage with CC), and 379 (Gastrointestinal Hemorrhage without CC/MCC), while the top 20 MS-DRGs would account for 41 percent of all cases. The applicant standardized charges (for all 66,749 cases) and removed charges for FFP therapy, which equated to a case-weighted average standardized charge per case of $49,748. The applicant calculated a case-weighted threshold of $46,068 across all MS-DRGs. The applicant asserted that the average case-weighted standardized charge per case without including charges for Kcentra [TM] exceeded the case-weighted threshold of $46,068. Therefore, the applicant maintained that it meets the cost criterion. We invited public comments regarding whether Kcentra [TM] meets the cost criterion, particularly with regard to the assumptions and methodology used in the applicant's analysis. However, we did not receive any public comments concerning the cost criterion and, therefore, we believe that Kcentra [TM] meets the cost criterion.
With regard to substantial clinical improvement, according to the applicant, Kcentra [TM] is the first prothrombin complex concentrate (PCC) that will be FDA-approved for rapid Warfarin reversal in patients experiencing an acute major bleed. The applicant maintained that Kcentra [TM] represents a substantial clinical improvement in the treatment of patients with acute severe bleeding who require immediate reversal of their VKA therapy by (1) providing a rapid, beneficial resolution of the patient's blood clotting factor deficiency, (2) decreasing the risk of exposure to blood borne pathogens, and (3) reducing the rate of transfusion-associated complications.
The applicant cited its pivotal study (a randomized clinical trial) [3] and noted that Kcentra [TM] was noninferior in its ability to reverse the effects of Warfarin to a target INR of less than or equal to 1.3 within 30 minutes in 62 percent of patients compared to less than 10 percent success for plasma. Also, serum levels of the key coagulant and anti-thrombotic proteins were normalized in less than an hour with Kcentra [TM] , but these levels remained depressed with plasma for hours after dosing with FFP.
The applicant also explained that Kcentra [TM] undergoes a dedicated pathogen detection and removal process as well as purification steps to produce its specific components and plasma does not. The applicant asserted that this drastically reduces the risk of transmitting both known and unknown blood borne pathogens. The applicant cited a retrospective analysis of scientific publications [4] on the use of Kcentra [TM] in the European Union (EU), including the pharmacovigilance database from 1996 through 2008. The applicant noted that an estimated 350,000 patients have been treated with Kcentra [TM] (known as Beriplex in the EU) with no documented cases of viral transmission.
The applicant also stated that, in the United States, blood suppliers follow a strict set of regulations for screening and testing the blood supply, but these tests and donor questionnaires do not account for emerging pathogens that could contaminate the blood supply. The applicant explained that parasitic infections and bacterial diseases (such as babesiosis and Chaga's disease) have already been documented in U.S. patients as a result of FFP transfusion. However, there is no screening test to date for some of these parasitic infections and diseases. The applicant believed that the multi-step manufacturing process for Kcentra [TM] , including heat treatment and nanofiltration, reduces the risk of transmitting such infections and diseases.
The applicant also noted that another benefit of Kcentra [TM] is the ability to rapidly prepare and administer the product in an emergency situation. In addition to the benefit of room temperature storage, Kcentra [TM] can be rapidly reconstituted and administered. In the clinical study, the applicant found that the average administration time for Kcentra [TM] was less than 30 minutes. However, the applicant stated, other treatments such as FFP and intravenous Vitamin K therapies act more slowly, and FFP can be difficult to use. The applicant explained that FFP therapy requires blood-type matching, usually requires thawing, and is often located away from the point of care. The applicant also cited a study [5] that demonstrated the median time from time of diagnosis to plasma infusion was 90 minutes, which did not include the time to infuse the FFP which can take hours.
The applicant further noted that essential blood coagulation factors in one vial of Kcentra [TM] are approximately 25 times more concentrated than those in the equivalent plasma dose. According to the applicant, this translated to an infusion volume that was 87 percent greater in the FFP group of patients as seen in the pivotal study. The applicant explained that high transfusion volumes of treatments such as FFP therapy can lead to TACO. According to the applicant, when TACO occurs, acute left ventricular failure may occur resulting in shortness of breath, tachypnea (rapid breathing), and result in other harmful effects.
Finally, the applicant noted that Kcentra [TM] is recommended as the standard of care in the new guidelines issued by the American College of Chest Physicians (ACCP) for patients needing emergent Warfarin reversal. In addition, the applicant noted that the American Association of Blood Banks (AABB) stated that plasma should no longer be used to reverse Warfarin in bleeding patients when specific factor concentrates are available.
In conclusion, the applicant maintained that Kcentra [TM] represents a substantial clinical improvement over existing technologies. We invited public comments regarding whether Kcentra [TM] meets the substantial clinical improvement criterion.
Comment: Several commenters supported making new technology add-on payments for Kcentra [TM] . One commenter stated that Kcentra [TM] is a new, significantly more rapid way to provide substantial improvement over existing technologies. The commenter noted that compared to FFP, Kcentra [TM] is concentrated and includes natural anticoagulants. In addition, the commenter noted that Kcentra [TM] is more targeted than FFP because it does not contain the full range of proteins and other molecules found in FFP and believed that this targeted therapy provides high levels of coagulation factors at a faster rate and a more rapid correction of deficiencies induced by Warfarin. The commenter further stated that Kcentra [TM] can be infused in minutes compared to the hours needed to infuse FFP. The commenter expressed the opinion that this saved time can be critical when treating patients in a trauma or intensive care setting, including patients requiring urgent surgical intervention. The commenter also noted that Vitamin K therapy requires new factor synthesis/modification, which is dependent on optimal organ function, which in the context of patient injury or disease, may occur only after substantial delay, while Kcentra [TM] provides immediate functioning factors.
The commenter also noted that a common use of FFP and/or Vitamin K is sometimes a prophylactic measure for Warfarin reversal prior to an invasive procedure. The commenter believes that once Kcentra [TM] is widely available, it will likely be used in a broader subset of patients than FFP and/or Vitamin K. The commenter finally noted that another benefit of Kcentra [TM] is the low transfusion volume compared to FFP which decreases the risk of exposure to TACO.
Another commenter noted that FFP has not been prospectively studied in controlled randomized trials for urgent Warfarin reversal while current guidelines for Vitamin K antagonist reversal recommend the use of 4-factor PCC over plasma.
Response: We agree that Kcentra TM represents a substantial clinical improvement over existing technologies. Specifically, Kcentra TM provides (1) a rapid, beneficial resolution of the patient's blood clotting factor deficiency, (2) decreases the risk of exposure to blood borne pathogens, and (3) reduces the rate of transfusion-associated complications.
Kcentra TM meets all of the new technology add-on payment policy criteria. Therefore, we are approving Kcentra TM for new technology add-on payments in FY 2014. Cases involving Kcentra TM that are eligible for new technology add-on payments will be identified by ICD-9-CM procedure code 00.96. In the application, the applicant estimated that the average Medicare beneficiary would require an average dosage of 2500 International Units (IU). Vials contain 500 IU at a cost of $635 per vial. Therefore, cases of Kcentra TM would incur an average cost per case of $3,175 ($635 × 5). Under § 412.88(a)(2), new technology add-on payments are limited to the lesser of 50 percent of the average cost of the technology or 50 percent of the costs in excess of the MS-DRG payment for the case. As a result, the maximum add-on payment for a case of Kcentra TM is $1,587.50.
In the FY 2014 IPPS/LTCH PPS proposed rule, we noted that, if Kcentra TM were to be approved for new technology add-on payments, we did not believe such payments would be available with respect to discharges for which the hospital receives an add-on payment for blood clotting factor administered to a Medicare beneficiary with hemophilia who is a hospital inpatient. Under section 1886(d)(1)(A)(iii) of the Act, the national adjusted DRG prospective payment rate is “the amount of the payment with respect to the operating costs of inpatient hospital services (as defined in subsection (a)(4) of this section)” for discharges on or after April 1, 1988. Section 1886(a)(4) of the Act excludes from the term “operating costs of inpatient hospital services” the costs with respect to administering blood clotting factors to individuals with hemophilia. The costs of administering blood clotting factor to Medicare beneficiaries who have hemophilia and are hospital inpatients are paid separately from the IPPS. (For information on how the blood clotting factor add-on payment is made, we refer readers to section 20.7.3 of Chapter Three of the Medicare Claims Processing Manual, which can be downloaded from the CMS Web site at: http://cms.gov/Regulations-and-Guidance/Guidance/Manuals/Downloads/clm104c03.pdf.) In addition, we stated that if Kcentra TM is approved by the FDA as a blood clotting factor, we believe that it may be eligible for blood clotting factor add-on payments when administered to Medicare beneficiaries with hemophilia. We would make an add-on payment for Kcentra TM for such discharges in accordance with our policy for payment of blood clotting factor, and it would be excluded from the operating costs of inpatient hospital services as set forth in section 1886(a)(4) of the Act.
Section 1886(d)(5)(K)(i) of the Act requires the Secretary to “establish a mechanism to recognize the costs of new medical services and technologies under the payment system established under this subsection” beginning with discharges on or after October 1, 2001. We believe that it is reasonable to interpret this requirement to mean that the payment mechanism established by the Secretary recognizes only costs for those items that would otherwise be paid based on the prospective payment system (that is, “the payment system established under this subsection”). As noted above, under section 1886(d)(1)(A)(iii) of the Act, the national adjusted DRG prospective payment rate is the amount of payment for the operating costs of inpatient hospital services, as defined in section 1886(a)(4) of the Act, for discharges on or after April 1, 1988. We understand this to mean that a new medical service or technology must be an operating cost of inpatient hospital services paid based on the prospective payment system, and not excluded from such costs, in order to be eligible for the new technology add-on payment. We point out that new technology add-on payments are based on the operating costs per case relative to the prospective payment rate as described in § 412.88. Therefore, we believe that new technology add-on payments are appropriate only when the new technology is an operating cost of inpatient hospital services and are not appropriate when the new technology is excluded from such costs.
We stated that if Kcentra TM were to be approved for new technology add-on payments, we believe that hospitals may only receive that add-on payment for discharges where Kcentra TM is an operating cost of inpatient hospital services. In other words, we do not believe that a hospital could be eligible to receive the new technology add-on payment when it is administering Kcentra TM in treating a Medicare beneficiary who has hemophilia. In those instances, Kcentra TM is specifically excluded from the operating costs of inpatient hospital services in accordance with section 1886(a)(4) of the Act and paid separately from the IPPS. However, when a hospital administers Kcentra TM to a Medicare beneficiary who does not have hemophilia, the hospital could be eligible for a new technology add-on payment because Kcentra TM would not be excluded from the operating costs of inpatient hospital services. Therefore, we do not believe that discharges where the hospital receives a blood clotting factor add-on payment are eligible for a new technology add-on payment for the blood clotting factor.
To summarize, we believe that it would be inappropriate to make an add-on payment for new technology for a blood clotting factor when a blood clotting factor add-on payment has been made. We invited public comments on our proposal to only make new technology add-on payments for Kcentra TM in cases when it is included in the operating costs of inpatient hospital services (that is, when no add-on payment is made for blood clotting factor). We did not receive any public comments concerning this proposal. Because we are approving new technology add-on payments for Kcentra TM, we are finalizing our proposal not to make a new technology add-on payment for cases of Kcentraw TM in treating a Medicare beneficiary who has hemophilia. We refer readers to Chapter three, section 20.7.3 of the Medicare Claims Processing Manual for a complete discussion on when a blood clotting factor add-on payment is made. The manual can be downloaded from the CMS Web site at: http://www.cms.gov/Regulations-and-Guidance/Guidance/Manuals/Downloads/clm104c03.pdf.
b. Argus® II Retinal Prosthesis System
Second Sight Medical Products, Inc. submitted an application for new technology add-on payments for the Argus® II Retinal Prosthesis System (Argus® II System) for FY 2014. The Argus® II System is an active implantable medical device that is intended to provide electrical stimulation of the retina to induce visual perception in patients who are profoundly blind due to retinitis pigmentosa (RP). These patients have bare or no light perception in both eyes. The system employs electrical signals to bypass dead photo-receptor cells and stimulate the overlying neurons according to a real-time video signal that is wirelessly transmitted from an externally worn video camera. The Argus® II implant is intended to be implanted in a single eye, typically the worse-seeing eye. Currently, bilateral implants are not intended for this technology. According to the applicant, the surgical implant procedure takes approximately 4 hours and is performed under general anesthesia.
The Argus® II System consists of three primary components: (1) An implant which is an epiretinal prosthesis that is fully implanted on and in the eye (that is, there are no percutaneous leads); (2) external components worn by the user; and (3) a “fitting” system for the clinician that is periodically used to perform diagnostic tests with the system and to custom-program the external unit for use by the patient. We describe these components more fully below.
- Implant: The retinal prosthesis implant is responsible for receiving information from the external components of the system and electrically stimulating the retina to induce visual perception. The retinal implant consists of: (a) A receiving coil for receiving information and power from the external components of the Argus® II System; (b) electronics to drive stimulation of the electrodes; and (c) an electrode array. The receiving coil and electronics are secured to the outside of the eye using a standard scleral band and sutures, while the electrode array is secured to the surface of the retina inside the eye by a retinal tack. A cable, which passes through the eye wall, connects the electronics to the electrode array. A pericardial graft is placed over the extra-ocular portion on the outside of the eye.
- External Components: The implant receives power and data commands wirelessly from an external unit of components, which include the Argus II Glasses and Video Processing Unit (VPU). A small lightweight video camera and transmitting coil are mounted on the glasses. The telemetry coils and radio-frequency system are mounted on the temple arm of the glasses for transmitting data from the VPU to the implant. The glasses are connected to the VPU by a cable. This VPU is worn by the patient, typically on a belt or a strap, and is used to process the images from the video camera and convert the images into electrical stimulation commands, which are transmitted wirelessly to the implant.
- “Fitting System”: To be able to use the Argus® II System, a patient's VPU needs to be custom-programmed. This process, which the applicant called “fitting”, occurs in the hospital/clinic shortly after the implant surgery and then periodically thereafter as needed. The clinician/physician also uses the “Fitting System” to run diagnostic tests (for example, to obtain electrode and impedance waveform measurements or to check the radio-frequency link between the implant and external unit). This “Fitting System” can also be connected to a “Psychophysical Test System” to evaluate patients' performance with the Argus® II System on an ongoing basis.
These three components work together to stimulate the retina and allow a patient to perceive phosphenes (spots of light), which they then need to learn to interpret. While using the Argus® II System, the video camera on the patient-worn glasses captures a video image. The video camera signal is sent to the VPU, which processes the video camera image and transforms it into electrical stimulation patterns. The electrical stimulation data are then sent to a transmitter coil mounted on the glasses. The transmitter coil sends both data and power via radio-frequency (RF) telemetry to the implanted retinal prosthesis. The implant receives the RF commands and delivers stimulation to the retina via an array of electrodes that is secured to the retina with a retinal tack.
In patients with RP, the photoreceptor cells in the retina, which normally transduce incoming light into an electro-chemical signal, have lost most of their function. The stimulation pulses delivered to the retina via the electrode array of the Argus® II Retinal Prosthesis System are intended to mimic the function of these degenerated photoreceptors cells. These pulses induce cellular responses in the remaining, viable retinal nerve cells that travel through the optic nerve to the visual cortex where they are perceived as phosphenes (spots of light). Patients learn to interpret the visual patterns produced by these phosphenes.
With respect to the newness criterion, according to the applicant, the FDA designated the Argus® II System a Humanitarian Use Device in May 2009 (HUD designation #09-0216). The applicant submitted a Humanitarian Device Exemption (HDE) application (#H110002) to the FDA in May 2011 to obtain market approval for the Argus® II System. The HDE was referred to the Ophthalmic Devices Panel of the FDA's Medical Devices Advisory Committee for review and recommendation. At the Panel's meeting held on September 28, 2012, the Panel voted 19 to 0 that the probable benefits of the Argus® II System outweigh the risks of the system for the proposed indication for use. The applicant received the HDE approval from the FDA on February 14, 2013. Currently there are no other approved treatments for patients with severe to profound RP. The Argus® II System has an IDE number of G050001 and is a Class III device. The applicant applied for three new ICD-9-CM procedure codes for consideration at the March 5, 2013 ICD-9-CM Coordination and Maintenance Committee meeting. For this final rule, we have approved new ICD-9-CM procedure code 14.81 (Implantation of Epiretinal Visual Prosthesis) which uniquely identifies the Argus ®II System. The other two codes approved by CMS are for removal, revision or replacement of the device. More information on these codes can be found on the CMS Web site at: http://cms.gov/Medicare/Coding/ICD9ProviderDiagnosticCodes/ICD-9-CM-C-and-M-Meeting-Materials-Items/2013-03-05-MeetingMaterials.html. We invited public comments on whether the Argus® II System meets the newness criterion.
Comment: Many commenters expressed their opinion that the Argus® II System meets the newness criterion. The commenters noted that this technology is the first available treatment approved by the FDA for profoundly blind RP patients, pointing out that it “enables patients to interpret the visual patterns and gain independence and mobility,” which has not been possible previously for these patients with any other treatment modality. The commenters also noted that the Argus® II System has not been sold in the United States at this time.
Response: We appreciate the commenters' support. We agree that the Argus®II System meets the newness criterion based on its FDA approval date and due to the fact that we are unaware of any other existing technologies that are substantially similar to it that would allow Medicare beneficiaries with severe to profound Retinitis Pigmentosa (RP) who have no vision to have some functional vision.
With regard to the cost criterion, the applicant identified all discharges from claims in the FY 2011 MedPAR file for MS-DRGs 116 (Intraocular Procedures with CC/MCC) and 117 (Intraocular Procedures without CC/MCC) with the presence of ICD-9-CM procedure code 14.73 (Anterior vitrectomy), or 14.74 (Posterior vitrectomy). (We note that because no procedure code previously existed for this technology, these cases would include patients that are not eligible for or would not otherwise receive this technology.) The applicant found 199 cases (47.6 percent of all cases) in MS-DRG 116 and 219 cases (52.3 percent of all cases) in MS-DRG 117. This resulted in an average charge per case of $40,957 for MS-DRG 116 and $20,621 for MS-DRG 117, equating to a case-weighted average charge per case of $24,011.
The applicant then standardized the charges using the FY 2011 final rule impact file and converted the cost of the device to a charge by dividing the operating costs by a CCR of 0.50 (which equates to a 100 percent markup). Although the applicant submitted data related to the estimated cost of the Argus® II System, the applicant noted that the cost of the technology was proprietary information. The applicant then added the charges related to the device to the case-weighted average standardized charge per case and determined a final case-weighted average standardized charge per case of $311,180. Using the FY 2014 Table 10 thresholds, the case-weighted threshold for MS-DRGs 116 and 117 was $30,328 (all calculations above were performed using unrounded numbers). Because the final case-weighted average standardized charge per case for the applicable MS-DRGs exceed the case-weighted threshold amount, the applicant maintained that the Argus® II System would meet the cost criterion. We invited public comments on whether the Argus® II System meets the cost criterion, particularly based on the assumptions and methodology used in the applicant's analysis. We did not receive any public comments concerning the cost criterion and, therefore, we believe that the Argus® II System meets the cost criterion.
In the FY 2014 IPPS/LTCH PPS proposed rule, we noted that, although we could not disclose the cost of the technology, the device is very costly. Because of its high costs, the technology would easily exceed the case-weighted threshold. In addition, because of the high cost of the device it is likely that claims with the device would receive an outlier payment. The applicant anticipates that approximately 65 Argus® II Systems will be sold in FY 2014, of which approximately 50 systems would be provided to Medicare patients. The target disease population is extremely limited as required and supported by the HDE application. Most patients for whom this technology is indicated may be eligible for Medicare based on their age, blindness, or a disability that is associated with profound blindness.
We also noted that these types of procedures are often performed in the outpatient setting. We expressed concern that if new technology add-on payments were to be approved, this would serve as a financial incentive to inappropriately shift utilization from an outpatient to an inpatient setting, although medical review may result in very few of these cases being paid as inpatient hospital services if the patient can be appropriately treated as an outpatient. We emphasized that it is critical that physicians use their clinical judgment in determining the medical necessity of an inpatient admission and stress that care should be provided in the appropriate setting. We invited public comments on whether the Argus® II System meets the cost criterion, particularly based on the assumptions and methodology used in the applicant's analysis. We also expressed general concerns relating to the descriptions of the medical necessity of performing this procedure on an inpatient basis. Therefore, we invited public comments to further our understanding regarding whether approving new technology add-on payments for the Argus® II System would create a financial incentive that would shift utilization inappropriately from an outpatient to an inpatient setting.
Comment: Some commenters stated that approving new technology add-on payments for the Argus® II System would not create a financial incentive for inappropriate inpatient utilization because these patients are treated in both inpatient and outpatient settings. These commenters stated that the complex clinical judgment of the physician must be the basis for determining inpatient status and/or the site of care. The commenters added that “decisions on the appropriate site of service must be based on the individual patient's health status and expected treatment. . . .”
Response: We appreciate the commenters' input, feedback, and opinions that the appropriate setting and appropriate patients should be based on a complex clinical judgment of the physician and note that this would need to be supported by clinical documentation in the medical record to maintain appropriate use of inpatient and outpatient care settings.
With regard to the substantial clinical improvement criterion, the Argus® II System is intended to provide electrical stimulation of the retina to induce visual perception in blind patients with the indication of severe to profound RP with bare or no light perception in both eyes. According to the applicant, an estimated 1 in 3,037 Americans suffers from RP, and the incidence of people with severe to profound RP is significantly lower. According to the applicant, the need for treatments for RP is high, given the impact of loss of vision.
According to the applicant, numerous experimental research programs are currently underway to slow, stop, or reverse the progress of RP, including gene therapy, tissue and cell transplants, and some pharmacologic neuroprotection therapies. However, these approaches so far have had fairly limited success in treating RP patients, and some approaches are intended for an extremely small segment of the RP population. Currently there are no other approved treatments for patients with severe to profound RP. Therefore, the Argus® II device treats a patient population that has no other treatment options.
The applicant submitted the results of a clinical trial to demonstrate substantial clinical improvement. This clinical trial enrolled 30 patients. The median age of patients was 57.9 years at the time of implantation and the range was 28 to 77 years of age. Thirty percent of the patients were female, and 70 percent were male. All of the patients had bare or no light perception in both eyes. Fourteen of the patients were Medicare eligible. As part of the methods for the study, the applicant stated that while working within the framework of clinical trials for other ophthalmic devices, the manufacturer and its team of scientific advisors selected or designed several tests that would address the main elements of the system that should be assessed for these types of devices—visual function (that is, how the eye as an organ works [for example, visual acuity]), functional vision (that is, how the patient performs in vision-related activities of daily living), and quality of life. The endpoints that were selected provided a mixture of objective and subjective data. The study design was strengthened by the fact that controlled observations could be obtained by performing assessments with the Argus® II System “on” and “off” (that is, control was available at each time point).
According to the applicant, there were no unexpected adverse events. Non-serious adverse events represented the majority of events. The safety review concluded that the Argus® II System has a reasonable safety profile for an ophthalmic device that requires vitreoretinal surgery to implant. In addition, the applicant noted that the device can be extracted and is reversible. The Argus® II System provided all 30 patients with benefit as measured by high-contrast visual function tests. The applicant stated that the degree of benefit varied from patient to patient and provided the following results:
- All subjects were able to see visual percepts when the Argus® II System was electrically activated.
- On the Square Localization Test (that is, object localization), patients (on average) performed better with the system “on” rather than “off” at all follow-up time points. At 24 months, on average, patients missed the target by approximately 50 pixels with the system “on” versus approximately 250 pixels with the system “off.”
- On the Direction of Motion Test, which tested the patients' ability to determine the direction of a moving bar, patients had higher mean accuracy with the system “on” than they did with the system “off” at all follow-up time points, indicating that the Argus® II System improved their performance on a spatial vision task. At 24 months, the mean response error was approximately 60° with the system “on” versus more than 80° with the system “off.” According to the applicant, this is nearly the error expected by chance.
- On the Grating Visual Acuity Test, which assessed the patients' visual acuity using the principles of acuity charts designed for extremely low vision patients, 27 percent of the patients were able to score on the scale (between 1.6 and 2.9 log MAR) at least once with the system “on,” while none of the Argus® II patients were able to score on the scale with the system “off.”
- A large number of patients were able to recognize large letters and numbers with the system “on” (but not with the system “off”), and some of the patients were able to read short words. The median percent correct with the system “on” was approximately 50 percent higher than with the system “off.”
- The trial also measured objectively-scored functional vision tests. The patients performed better with the Argus® II System “on” versus “off” on orientation and mobility tests (finding a door and following a line) and on functional vision tasks (sorting white, black, and gray socks, following an outdoor sidewalk, and determining the direction of a person walking by).
- Analysis of the Functional Low-vision Observer Rated Assessment (FLORA) results showed that three-quarters of the patients received a positive benefit in terms of well-being and/or functional vision, while none of the patients experienced a negative effect.
We also noted that we were concerned that the study did not have pre-specified endpoints and changed measurements mid-trial. In addition, we expressed concern about the reliability of the measures used for the tests and the inconsistency of the results across different patients, which lead us to question the long-term benefits associated with this device. We received two comments on the Argus®II System during the town hall meeting's public comment period. These comments were summarized and responded to in the FY 2014 IPPS/LTCH PPS proposed rule. We refer readers to the proposed rule for a summary of these comments and our detailed responses (78 FR 27542 through 27543). In addition, we invited public comments on whether the Argus® II System meets the substantial clinical improvement criterion, specifically in regard to the measures used in the study and the lack of pre-specified endpoints.
Comment: One commenter, the applicant, submitted a public comment in response to CMS' concern about the lack of pre-specified end points and evolving measures in their studies, noting that at the beginning of its studies, “it was clear that there was an absence of measures that were validated for the intended treatment population (e.g., no functional vision).” The commenter noted that as the trial progressed, new measures were introduced to address the applicability of clinical results to everyday life, and measurements changed to make the testing more challenging for the subjects (for example, with both the system “off” and “on”) and to reduce the likelihood of success based on chance. The applicant further stated that the selection and modification of endpoint measures was done with a “tremendous amount of input from independent third party experts (ophthalmologists, surgeons, optometrists, retinal degeneration specialists, and low vision experts) and the FDA (and many times at the request of the FDA).” The applicant believed that “the resulting trial design and execution was the best possible trial for this target population given the novelty of the Argus II Retinal Prosthesis System.” The commenter asserted that, “Furthermore, the results of this study clearly indicate a beneficial effect for the Argus®II.” Another commenter noted that because the target population for this technology had not previously been studied, there were no pre-existing endpoints. This commenter opined that the new instruments and methods added during the study strengthened the results because they each added difficulty to the tests. Another commenter supported the study design and responded to our concerns that having no fixed endpoints or lack of validation for some of the clinical trial measures is an inevitable consequence of applying this new technology to a population that has had no other options. This commenter expressed its opinion that the measures needed to be designed, and refined, because very few tests existed that could assess such limited vision in quantitative terms.
Response: We appreciate the commenters' views and explanation of the study design, measures, and endpoints in light of the small and rare population of patients with severe to profound Retinitis Pigmentosa being studied for this Argus®II System. We agree with the commenters that, in view of these difficulties that very few tests existed that could assess such limited vision in quantitative terms for this population of blind patients with the indication of severe to profound RP with bare or no light perception in both eyes, the applicant presented data that demonstrated that the Argus®II System represents a substantial clinical improvement over existing technologies.
The Argus®II System meets all of the new technology add-on payment policy criteria. Therefore, we are approving the Argus®II System for new technology add-on payments in FY 2014. Cases involving the Argus®II System that are eligible for new technology add-on payments will be identified by ICD-9-CM procedure code 14.81. We note that section 1886(d)(5)(K)(i) of the Act requires that the Secretary establish a mechanism to recognize the costs of new medical services or technologies under the payment system established under that subsection, which establishes the system for paying for the operating costs of inpatient hospital services. The system of payment for capital costs is established under section 1886(g) of the Act, which makes no mention of any add-on payments for a new medical service or technology. Therefore, it is not appropriate to include capital costs in the add-on payments for a new medical service or technology. In the application, the applicant provided a breakdown of the costs of the Argus®II System. The total operating cost of the Argus®II System is $144,057.50. Under § 412.88(a)(2), new technology add-on payments are limited to the lesser of 50 percent of the average cost of the device or 50 percent of the costs in excess of the MS-DRG payment for the case. As a result, the maximum add-on payment for a case involving the Argus®II System is $72,028.75.
c. Zilver® PTX® Drug Eluting Peripheral Stent
Cook® Medical submitted an application for new technology add-on payments for the Zilver® PTX® Drug Eluting Peripheral Stent (Zilver® PTX®) for FY 2014. The Zilver® PTX® is intended for use in the treatment of peripheral artery disease (PAD) of the above-the-knee femoropopliteal arteries (superficial femoral arteries). According to the applicant, the stent is percutaneously inserted into the artery(s), usually by accessing the common femoral artery in the groin. The applicant stated that an introducer catheter is inserted over the wire guide and into the target vessel where the lesion will first be treated with an angioplasty balloon to prepare the vessel for stenting. The applicant indicated that the stent is self-expanding, made of nitinol (nickel titanium), and is coated with the drug Paclitaxel. Paclitaxel is a drug approved for use as an anticancer agent and for use with coronary stents to reduce the risk of renarrowing of the coronary arteries after stenting procedures.
The applicant received FDA approval on November 15, 2012, for the Zilver® PTX®. The applicant maintains that the Zilver® PTX® is the first drug-eluting stent used for superficial femoral arteries. The technology is currently described by ICD-9-CM procedure code 00.60 (Insertion of drug-eluting stent(s) of the superficial femoral artery). We invited public comments regarding how the Zilver® PTX® meets the newness criterion. However, we did not receive any public comments concerning the newness criterion and, therefore, we believe that the Zilver® PTX® meets the newness criterion.
With regard to the cost criterion, the applicant believed that cases of superficial femoral arteries typically map to MS-DRGs 252 (Other Vascular Procedures with MCC), 253 (Other Vascular Procedures with CC), and 254 (Other Vascular Procedures without CC/MCC). The applicant searched the FY 2010 MedPAR file for cases reporting procedure code 39.90 (Insertion of non-drug-eluting peripheral vessel stents) in combination with a diagnosis code of 440.20 (Atherosclerosis of the extremities, unspecified), 440.21 (Atherosclerosis of the extremities, with intermittent claudication), 440.22 (Atherosclerosis of the extremities with rest pain), 440.23 (Atherosclerosis of the extremities with ulceration), or 440.24 (Atherosclerosis of the extremities with gangrene). The applicant noted that the Zilver® PTX® is available in an 80 mm size and is approved for lesions in native vascular disease of the above-the-knee femoropopliteal arteries having reference vessel diameter from 4 mm to 9 mm and total lesion lengths up to 140 mm per limb. The applicant further noted that bare metal stents typically are available up to lengths of 200 mm. Therefore, in order to target cases eligible for the Zilver® PTX®, the applicant believed that it was only appropriate to target those cases with one or two bare metal stents. The applicant was able to identify the amount of stents used per claim by searching for ICD-9-CM procedure codes 00.45 (Insertion of one vascular stent) and 00.46 (Insertion of two vascular stents). The applicant submitted two methodologies: one with cases that received one bare metal stent and the other with cases that received one or two bare metal stents.
Under the first methodology (one bare metal stent), the applicant found 2,062 cases (or 19.7 percent of all cases) in MS-DRG 252, 3,385 cases (or 32.3 percent of all cases) in MS-DRG 253, and 5,019 cases (or 48 percent of all cases) in MS-DRG 254. The average charge per case was $89,194 for MS-DRG 252, $67,965 for MS-DRG 253, and $46,539 for MS-DRG 254, equating to a case-weighted average charge per case of $60,855.
The case-weighted average charge per case above does not include charges related to the Zilver® PTX®. Therefore, it was first necessary to remove the amount of charges related to the non-drug-eluting peripheral vessel stent and replace them with charges related to the Zilver® PTX®. The applicant multiplied the use of the single stent used per case by the average market price for non-drug-eluting peripheral vessel stents and then converted the cost of the stents used per case to a charge by dividing the results by the hospital-specific CCR (from the FY 2010 IPPS impact file). The applicant removed the appropriate amount of charges per case and then standardized the charges per case.
Because the applicant used FY 2010 MedPAR data, it was necessary to inflate the charges from FY 2010 to FY 2013. Using data from the Bureau of Labor Statistics Consumer Price Index, the applicant inflated the average standardized charge per case with an inflation factor of 7 percent. To determine the amount of Zilver® PTX® stents per case, instead of using the amount of stents used per case based on the ICD-9-CM codes above, the applicant used an average of 1.9 stents per case based on the Zilver® PTX® Global Registry Clinical Study. [6] The applicant believed that it is appropriate to use data from the clinical study (to determine the average amount of stents used per case) rather than the actual data from the claims because the length of a non-drug-eluting peripheral vessel stent typically ranges from 80 mm to 120 mm, while the length of the Zilver® PTX® is 80 mm (which could cause a variance in the actual amount of stents used per case when using the Zilver® PTX®). The applicant then multiplied the average of 1.9 stents used per case by the future market price for the Zilver® PTX® and then converted the cost of the stents used per claim to a charge by dividing the results by the hospital-specific CCR (from the FY 2010 IPPS impact file). The applicant then added the amount of charges related to the Zilver® PTX® to the inflated average standardized charge per case and determined a final inflated case-weighted average standardized charge per case of $58,419. Although the applicant submitted data that related to the estimated cost of the Zilver® PTX®, the applicant noted that the cost of the technology was proprietary information. Using the FY 2014 Table 10 thresholds, the case-weighted threshold for MS-DRGs 252, 253, and 254 was $54,547 (all calculations above were performed using unrounded numbers). Because the final inflated case-weighted average standardized charge per case for the applicable MS-DRGs exceeded the case-weighted threshold amount, the applicant maintained that the Zilver® PTX® would meet the cost criterion.
The applicant used the same methodology above to demonstrate that it meets the cost criterion with the only difference being that it included cases that used one or two bare metal stents instead of just one bare metal stent. Using this methodology, the applicant determined a final inflated case-weighted average standardized charge per case of $62,455. Using the FY 2014 Table 10 thresholds, the case-weighted threshold for MS-DRGs 252, 253, and 254 was $54,474 (all calculations above were performed using unrounded numbers). Because the final inflated case-weighted average standardized charge per case for the applicable MS-DRGs exceeded the case-weighted threshold amount, the applicant maintained that the Zilver® PTX® would meet the cost criterion.
We invited public comments on whether or not the Zilver® PTX® meets the cost criterion. In addition, we invited public comments on the methodologies used by the applicant in its analysis, including its assumptions regarding the types of cases in which this technology could potentially be used and the number of stents required for each case. However, we did not receive any public comments concerning the cost criterion and, therefore, we believe that the Zilver® PTX® meets the cost criterion.
In an effort to demonstrate that the technology meets the substantial clinical improvement criterion, the applicant shared several findings from the clinical trial data. The applicant stated that current treatment options for patients who have been diagnosed with PAD includes angioplasty, bare metal stenting, bypass graft, and endarterectomy. The applicant asserted that the Zilver® PTX® meets the substantial clinical improvement criterion because it decreases the recurrence of symptoms arising from restenotic SFA lesions, the rate of subsequent diagnostic or therapeutic interventions required to address restenotic lesions, and the number of future hospitalizations.
The applicant cited a 479-patient, multicenter, multinational randomized controlled trial that compared the Zilver® PTX® to balloon angioplasty [7] ; an additional component of the study allowed a direct comparison of the Zilver® PTX® to a bare (uncoated) metal Zilver® stent. Patients were randomized to treatment with the Zilver® PTX® stent (treatment group) or with a percutaneous transluminal balloon angioplasty (PTA, control group). Recognizing that balloon angioplasty may not be successful acutely, the trial design mandated provisional stent placement immediately after failure of balloon angioplasty in instances of acute PTA failure. Therefore, patients with suboptimal (failed) PTA underwent a secondary randomization to stenting with either Zilver® PTX® or bare Zilver® stents. This secondary randomization allows evaluation of the Zilver® PTX® stent compared to a bare metal stent. The primary safety endpoint of the randomized controlled study was “Event-Free Survival” (EFS), defined as “freedom from the major adverse events of death, target lesion revascularization, target limb ischemia requiring surgical intervention or surgical repair of the target vessel, and freedom of worsening systems as described by the Rutherford classification by 2 classes or to class 5 or 6.” The primary effectiveness endpoint was primary patency (defined as a less than 50 percent re-narrowing). In the FY 2014 IPPS/LTCH PPS proposed rule, we noted that we were concerned that other endpoints such as walking, walking speed, and climbing were not considered as primary endpoints to demonstrate the effectiveness of the Zilver® PTX®.
According to the applicant, the Zilver® PTX® had an EFS of 90.4 percent compared to balloon angioplasty, which had an EFS of 83.9 percent, at 12 months demonstrating that the Zilver® PTX® is as safe or safer than balloon angioplasty. The applicant further stated that this benefit was maintained at 24 months. In addition, the applicant noted that the Zilver® PTX® demonstrated a 50-percent reduction in restenosis rates compared to angioplasty and a 20-percent reduction compared to bare metal stents. The 12-month patency rate for the Zilver® PTX® was 82.7 percent, which compared favorably to the balloon angioplasty patency rate of 32.7 percent. In the provisional stenting arm of the study, which allowed a direct comparison of the Zilver® PTX® and a bare metal stent, the Zilver® PTX® primary patency exceeded the bare metal stent patency by nearly 20 percent (87.3 percent versus 72.3 percent at 12 months). The applicant stated that these differences are significant, as they result in a substantial clinical improvement compared to angioplasty and bare metal stenting, with patients being spared a recurrence of their leg pain and the need to be admitted to the hospital for repeat procedures on these treated lesions. The applicant also submitted 3 years of follow-up data, which the applicant maintained support that the Zilver® PTX® is more effective in maintaining primary patency. [8]
The applicant also cited a prospective, multicenter, multinational, 787-patient single arm study on the Zilver® PTX® that demonstrated similar safety and effectiveness results consistent with those from the pivotal randomized controlled study above. The applicant cited an EFS for the Zilver® PTX® of 89.0 percent and an 86.2 percent primary patency rate. According to the applicant, these results confirm the safety and effectiveness of the Zilver® PTX®, and compare favorably to current results for angioplasty and bare metal stenting. The applicant further stated that these results also demonstrate a 67 to 81 percent relative reduction in Target Lesion Revascularization (the need to retreat an already treated lesion that has restenosed, resulting in a recurrence of symptoms) rates compared to recently published results of contemporary bare metal stents. [9]
In the FY 2014 IPPS/LTCH PPS proposed rule, we also expressed concern that on April 24, 2013, the FDA announced that, based on its investigation into a small number of complaints that the delivery system of the device had separated at the tip of the inner catheter, Cook Medical has initiated a nationwide/global voluntary recall of its Zilver® PTX® Drug Eluting Peripheral Stent. We refer readers to http://www.fda.gov/Safety/Recalls/ucm349421.htm?source=govdelivery for more information regarding this announcement.
We note that we did not receive any public comments on the Zilver® PTX® during the new technology town hall meeting's public comment period. However, we invited public comments regarding whether the Zilver® PTX® meets the substantial clinical improvement criterion.
Comment: One commenter, the manufacturer and applicant, submitted a public comment responding to our concerns presented in the proposed rule. With regard to our first concern that other endpoints such as walking, walking speed, and climbing were not considered as primary endpoints, the manufacturer noted that in addition to the primary endpoint of primary patency at 12 months, the study investigators (for the Zilver® PTX® Global Registry Clinical Study) understood the importance of including other effective endpoints in the study. Specifically, the commenter noted that the study included Rutherford classification, walking ability, and quality of life. Also, a composite clinical endpoint defined as “freedom from symptoms of ischemia” was calculated based on freedom from worsening claudication, worsening Rutherford class, tissue loss, and other symptoms indicating the need for reintervention.
The commenter added that similar improvements in the Rutherford score, and walking and quality of life scores were observed in both the PTA control and Zilver® PTX® treatment groups of the Zilver® PTX® Global Registry Clinical Study. The commenter noted that the study was designed to allow ongoing, clinically indicated care to optimize each patient's health status and quality of life throughout the course of the study, which would result in improved clinical outcomes. The commenter asserted that while allowing for ongoing care within the clinical trial, the study design confounded the comparison of clinical benefit between the PTA control and Zilver® PTX® treatment groups due to the additional study and/or non-study related procedures that were performed during the study and subsequent to the index procedure(s). The commenter concluded that this confounding aspect of the study design, though in the patient's best interest, argued against using these clinical effectiveness endpoints as primary endpoints.
The commenter also explained that because these standard clinical effectiveness outcomes were not ideally suited to discriminate differences between treatment arms in clinical trial, a secondary clinical benefit index of freedom from symptoms of ischemia was calculated (as described above). The commenter believed that measuring freedom from symptoms of ischemia provides an important measure of clinical benefit of the Zilver® PTX®. The commenter noted that freedom from symptoms of ischemia was maintained in 88.5 percent of the Zilver® PTX® treatment group at 12 month versus 75.3 percent of PTA control group patients. The commenter also pointed out that at the time of submission of the application, only 12-month data had been published in the peer review literature. Since that time, the 2-year safety and effectiveness outcomes have been published [10] and can be accessed on the Internet at: http://www.sciencedirect.com/science/article/pii/S0735109713014149.
With regard to our concerns concerning the recall of the device, the commenter stated that it has “identified the root cause of the underlying failure mode to the delivery device and corrective action has been implemented” with the anticipated return of the Zilver® PTX® to the market in early August 2013. The commenter noted that there are no issues with the Zilver® PTX® itself, only the delivery system to implant the Zilver® PTX®.
Response: After consideration of the public comments received in response to our concerns and proposals presented in the proposed rule, we agree that the Zilver® PTX® represents a substantial clinical improvement over existing technologies because it decreases the recurrence of symptoms arising from restenotic SFA lesions, the rate of subsequent diagnostic or therapeutic interventions required to address restenotic lesions, and the number of future hospitalizations. We also believe that the commenter has sufficiently responded to our concerns presented in the proposed rule. However, we will continue to monitor the long-term clinical trial data concerning the primary and secondary endpoints as it becomes available.
Comment: Several commenters supported making new technology add-on payments for the Zilver® PTX® in FY 2014.
Response: We appreciate the commenters' support. The Zilver® PTX® meets all of the new technology add-on payment policy criteria. Therefore, we are approving the Zilver® PTX® for new technology add-on payments in FY 2014. Cases involving the Zilver® PTX® that are eligible for new technology add-on payments will be identified by ICD-9-CM procedure code 00.60. As stated above, to determine the amount of Zilver® PTX® stents per case, instead of using the amount of stents used per case based on the ICD-9-CM codes, the applicant used an average of 1.9 stents per case based on the Zilver® PTX® Global Registry Clinical Study. The applicant stated in its application that the anticipated cost per stent is approximately $1,795. Therefore, cases of the Zilver® PTX® would incur an average cost per case of $3,410.50 ($1,795 × 1.9). Under § 412.88(a)(2), new technology add-on payments are limited to the lesser of 50 percent of the average cost of the device or 50 percent of the costs in excess of the MS-DRG payment for the case. As a result, the maximum add-on payment for a case of the Zilver® PTX® is $1,705.25.
III. Changes to the Hospital Wage Index for Acute Care Hospitals Back to Top
A. Background
Section 1886(d)(3)(E) of the Act requires that, as part of the methodology for determining prospective payments to hospitals, the Secretary adjust the standardized amounts “for area differences in hospital wage levels by a factor (established by the Secretary) reflecting the relative hospital wage level in the geographic area of the hospital compared to the national average hospital wage level.” We currently define hospital labor market areas based on the delineations of statistical areas established by the Office of Management and Budget (OMB). A discussion of the FY 2014 hospital wage index based on the statistical areas appears under section III.B. of the preamble of this final rule.
Section 1886(d)(3)(E) of the Act requires the Secretary to update the wage index annually and to base the update on a survey of wages and wage-related costs of short-term, acute care hospitals. This provision also requires that any updates or adjustments to the wage index be made in a manner that ensures that aggregate payments to hospitals are not affected by the change in the wage index. The adjustment for FY 2014 is discussed in section II.B. of the Addendum to this final rule.
As discussed below in section III.H. of this preamble, we also take into account the geographic reclassification of hospitals in accordance with sections 1886(d)(8)(B) and 1886(d)(10) of the Act when calculating IPPS payment amounts. Under section 1886(d)(8)(D) of the Act, the Secretary is required to adjust the standardized amounts so as to ensure that aggregate payments under the IPPS after implementation of the provisions of sections 1886(d)(8)(B), 1886(d)(8)(C), and 1886(d)(10) of the Act are equal to the aggregate prospective payments that would have been made absent these provisions. The budget neutrality adjustment for FY 2014 is discussed in section II.A.4.b. of the Addendum to this final rule.
Section 1886(d)(3)(E) of the Act also provides for the collection of data every 3 years on the occupational mix of employees for short-term, acute care hospitals participating in the Medicare program, in order to construct an occupational mix adjustment to the wage index. A discussion of the occupational mix adjustment that we are applying beginning October 1, 2013 (the FY 2014 wage index) appears under section III.F. of the preamble of this final rule.
B. Core-Based Statistical Areas for the Hospital Wage Index
The wage index is calculated and assigned to hospitals on the basis of the labor market area in which the hospital is located. Under section 1886(d)(3)(E) of the Act, beginning with FY 2005, we define hospital labor market areas based on the Core-Based Statistical Areas (CBSAs) established by OMB. The current statistical areas are based on OMB standards published on December 27, 2000 (65 FR 82228) and Census 2000 data and Census Bureau population estimates for 2007 and 2008 (OMB Bulletin No. 10-02). For a discussion of OMB's delineations of CBSAs and our implementation of the CBSA definitions, we refer readers to the preamble of the FY 2005 IPPS final rule (69 FR 49026 through 49032). We also discussed in the FY 2012 IPPS/LTCH PPS final rule (76 FR 51582) and the FY 2013 IPPS/LTCH PPS final rule (77 FR 53365) that, in 2013, OMB planned to announce new area delineations based on new standards adopted in 2010 (75 FR 37246) and the 2010 Census of Population and Housing data. As stated in the FY 2014 IPPS/LTCH PPS proposed rule (78 FR 27552), on February 28, 2013, OMB issued OMB Bulletin No. 13-01, which established revised delineations for Metropolitan Statistical Areas, Micropolitan Statistical Areas, and Combined Statistical Areas, and provided guidance on the use of the delineations of these statistical areas. A copy of this bulletin may be obtained at http://www.whitehouse.gov/sites/default/files/omb/bulletins/2013/b-13-01.pdf . According to OMB, “[t]his bulletin provides the delineations of all Metropolitan Statistical Areas, Metropolitan Divisions, Micropolitan Statistical Areas, Combined Statistical Areas, and New England City and Town Areas in the United States and Puerto Rico based on the standards published on June 28, 2010, in the Federal Register (75 FR 37246-37252) and Census Bureau data.”
In order to implement these changes for the IPPS, it is necessary to identify the new area designation for each county and hospital in the country. While the revisions OMB published on February 28, 2013 are not as sweeping as the changes OMB announced in 2003, the February 28, 2013 bulletin does contain a number of significant changes. For example, there are new CBSAs, urban counties that become rural, rural counties that become urban, and existing CBSAs that have been split apart. In addition, the effect of the new designations on various hospital reclassifications, the out-migration adjustment (established by section 505 of Pub. L. 108-173), and treatment of hospitals located in certain rural counties (that is, “Lugar” hospitals) provided for under section 1886(d)(8)(B) of the Act must be considered. These are just a few of the many issues that need to be considered regarding the effects of the new designations prior to proposing and establishing policies.
However, because the bulletin was not issued until February 28, 2013, with supporting data not available until later, and because the changes made by the bulletin and their ramifications must be extensively reviewed and verified, we were unable to undertake such a lengthy process before publication of the FY 2014 IPPS/LTCH PPS proposed rule. By the time the bulletin was issued, the FY 2014 IPPS/LTCH PPS proposed rule was in the advanced stages of development. We had already developed the FY 2014 proposed wage index based on the previous OMB definitions. We note that, in June 2003, OMB announced changes resulting from the 2000 Census, and at that time, CMS proposed and implemented the changes during the following year's rulemaking cycle for FY 2005. Although OMB published the data earlier than June this year, we still are in essentially the same situation as we were in 2003 because the data are not available in time to be incorporated into this year's rulemaking cycle. To allow for sufficient time to assess the new changes and their ramifications, we intend to propose changes to the wage index based on the newest CBSA changes in the FY 2015 proposed rule. We refer readers to the FY 2005 IPPS final rule (69 FR 49026 through 49034) for those interested in learning about the issues we may need to address next year in proposing to implement the latest OMB update for FY 2015, and some of the policy decisions that we may consider making.
Comment: Several commenters recommended that, if CMS were to implement OMB's MSAs in the FY 2015 final rule, the newly adopted definitions should not be effective until FY 2016, and even then, CMS should phase in the new MSAs. Other commenters specifically stated that CMS should provide a 3-year “hold harmless” period for those hospitals that maintain a specific status under the Medicare program that is jeopardized by changes to the MSAs. For example, two commenters suggested that rural hospitals that currently qualify for MDH and SCH status should be protected from the negative financial consequences of a change to urban status. Several other commenters urged CMS to hold an open-door call to review the CMSA changes and outline for hospitals what may or may not be the next steps for CMS as it plans to proceed, similar to the 2003 process. One commenter suggested that the Secretary allow rural teaching hospitals that will be redesignated to urban to start a new residency training program, and under the GME rules specific to rural hospitals, allow the hospital to count the FTEs for an additional time period of 2 years.
Response: We appreciate the comments made by the commenters. As we indicated in the proposed rule, we intend to assess these new definitions, which require extensive review and verification to identify the new area designation for each county and hospital in the county, before adopting them. Any changes would be made through notice-and-comment rulemaking. We will address the concerns raised in these comments and other issues at part of the FY 2015 rulemaking process.
C. Worksheet S-3 Wage Data for the FY 2014 Wage Index
The FY 2014 wage index values are based on the data collected from the Medicare cost reports submitted by hospitals for cost reporting periods beginning in FY 2010 (the FY 2013 wage indices were based on data from cost reporting periods beginning during FY 2009).
1. Included Categories of Costs
The FY 2014 wage index includes the following categories of data associated with costs paid under the IPPS (as well as outpatient costs):
- Salaries and hours from short-term, acute care hospitals (including paid lunch hours and hours associated with military leave and jury duty);
- Home office costs and hours;
- Certain contract labor costs and hours (which includes direct patient care, certain top management, pharmacy, laboratory, and nonteaching physician Part A services, and certain contract indirect patient care services (as discussed in the FY 2008 final rule with comment period (72 FR 47315 through 47318)); and
- Wage-related costs, including pension costs (based on policies adopted in the FY 2012 IPPS/LTCH PPS final rule (76 FR 51586 through 51590)) and other deferred compensation costs.
2. Excluded Categories of Costs
Consistent with the wage index methodology for FY 2013, the wage index for FY 2014 also excludes the direct and overhead salaries and hours for services not subject to IPPS payment, such as SNF services, home health services, costs related to GME (teaching physicians and residents) and certified registered nurse anesthetists (CRNAs), and other subprovider components that are not paid under the IPPS. The FY 2014 wage index also excludes the salaries, hours, and wage-related costs of hospital-based rural health clinics (RHCs), and Federally qualified health centers (FQHCs) because Medicare pays for these costs outside of the IPPS (68 FR 45395). In addition, salaries, hours, and wage-related costs of CAHs are excluded from the wage index, for the reasons explained in the FY 2004 IPPS final rule (68 FR 45397 through 45398).
3. Use of Wage Index Data by Providers Other Than Acute Care Hospitals under the IPPS
Data collected for the IPPS wage index are also currently used to calculate wage indices applicable to other providers, such as SNFs, home health agencies (HHAs), and hospices. In addition, they are used for prospective payments to IRFs, IPFs, and LTCHs, and for hospital outpatient services. We note that, in the IPPS rules, we do not address comments pertaining to the wage indices for non-IPPS providers, other than for LTCHs. Such comments should be made in response to separate proposed rules for those providers.
D. Verification of Worksheet S-3 Wage Data
The wage data for the FY 2014 wage index were obtained from Worksheet S-3 of the Medicare cost report for cost reporting periods beginning on or after October 1, 2009, and before October 1, 2010. For wage index purposes, we refer to cost reports during this period as the “FY 2010 cost report,” the “FY 2010 wage data,” or the “FY 2010 data.” Instructions for completing the wage index sections of Worksheet S-3 are included in the Provider Reimbursement Manual (PRM), Part 2 (Pub. No. 15-2), Chapter 36, Sections 3605.2 and 3605.3 for Form CMS-2552-96 and Chapter 40, Sections 4005.2 through 4005.4 for Form CMS-2552-10. Hospitals with cost reporting periods beginning on or after October 1, 2009 and before May 1, 2010 reported FY 2010 data on Form CMS-2552-96. Hospitals with cost reporting periods beginning on or after May 1, 2010 and before October 1, 2010 reported FY 2010 data on the new Form CMS-2552-10. The data file used to construct the final FY 2014 wage index includes FY 2010 data submitted to us as of June 26, 2013. As in past years, we performed an extensive review of the wage data, mostly through the use of edits designed to identify aberrant data.
We asked our fiscal intermediaries/MACs to revise or verify data elements that result in specific edit failures. For the proposed FY 2014 wage index, we identified and excluded 43 providers with data that were too aberrant to include in the proposed wage index, although we stated that if data elements for some of these providers are corrected, we intended to include some of these providers in the final FY 2014 wage index. (We note that in the FY 2014 IPPS/LTCH PPS proposed rule, we inadvertently stated that we excluded 44 providers.) We have received corrected data for 11 providers, and therefore, we are including the data for these 11 providers in the final FY 2014 wage index. Therefore, in total, we are excluding the data of 32 providers from the final FY 2014 wage index.
In constructing the proposed FY 2014 wage index, we included the wage data for facilities that were IPPS hospitals in FY 2010, inclusive of those facilities that have since terminated their participation in the program as hospitals, as long as those data did not fail any of our edits for reasonableness. We believe that including the wage data for these hospitals is, in general, appropriate to reflect the economic conditions in the various labor market areas during the relevant past period and to ensure that the current wage index represents the labor market area's current wages as compared to the national average of wages. However, we excluded the wage data for CAHs as discussed in the FY 2004 IPPS final rule (68 FR 45397 through 45398). For the proposed rule, we removed 4 hospitals that converted to CAH status on or after February 14, 2012, the cut-off date for CAH exclusion from the FY 2013 wage index, and through and including February 14, 2013, the cut-off date for CAH exclusion from the FY 2014 wage index. After removing hospitals with aberrant data and hospitals that converted to CAH status, the final FY 2014 wage index is calculated based on 3,440 hospitals.
For the final FY 2014 wage index, we allotted the wages and hours data for a multicampus hospital among the different labor market areas where its campuses are located in the same manner that we allotted such hospitals' data in the FY 2013 wage index (77 FR 53366). Table 2 containing the FY 2014 wage index associated with this final rule (available on the CMS Web site) includes separate wage data for the campuses of six multicampus hospitals (two additional multicampus hospitals have been added to the wage index calculation for FY 2014).
E. Method for Computing the FY 2014 Unadjusted Wage Index
The method used to compute the FY 2014 wage index without an occupational mix adjustment follows the same methodology that we used to compute the FY 2012 final wage index without an occupational mix adjustment (76 FR 51591 through 51593) and which we discussed and used for the FY 2013 final wage index without an occupational mix adjustment (77 FR 53366 through 53367).
As discussed in the FY 2012 final rule, in “Step 5,” for each hospital, we adjust the total salaries plus wage-related costs to a common period to determine total adjusted salaries plus wage-related costs. To make the wage adjustment, we estimate the percentage change in the employment cost index (ECI) for compensation for each 30-day increment from October 14, 2009, through April 15, 2011, for private industry hospital workers from the BLS'Compensation and Working Conditions. We have consistently used the ECI as the data source for our wages and salaries and other price proxies in the IPPS market basket, and as we proposed, we are not making any changes to the usage for FY 2014. The factors used to adjust the hospital's data were based on the midpoint of the cost reporting period, as indicated below.
| After | Before | Adjustment factor |
|---|---|---|
| 10/14/2009 | 11/15/2009 | 1.02682 |
| 11/14/2009 | 12/15/2009 | 1.02490 |
| 12/14/2009 | 01/15/2010 | 1.02299 |
| 01/14/2010 | 02/15/2010 | 1.02116 |
| 02/14/2010 | 03/15/2010 | 1.01941 |
| 03/14/2010 | 04/15/2010 | 1.01768 |
| 04/14/2010 | 05/15/2010 | 1.01591 |
| 05/14/2010 | 06/15/2010 | 1.01412 |
| 06/14/2010 | 07/15/2010 | 1.01235 |
| 07/14/2010 | 08/15/2010 | 1.01064 |
| 08/14/2010 | 09/15/2010 | 1.00898 |
| 09/14/2010 | 10/15/2010 | 1.00738 |
| 10/14/2010 | 11/15/2010 | 1.00584 |
| 11/14/2010 | 12/15/2010 | 1.00434 |
| 12/14/2010 | 01/15/2011 | 1.00288 |
| 01/14/2011 | 02/15/2011 | 1.00143 |
| 02/14/2011 | 03/15/2011 | 1.00000 |
| 03/14/2011 | 04/15/2011 | 0.99860 |
For example, the midpoint of a cost reporting period beginning January 1, 2010, and ending December 31, 2010, is June 30, 2010. An adjustment factor of 1.01235 would be applied to the wages of a hospital with such a cost reporting period.
Using the data as described above and in the FY 2013 IPPS/LTCH PPS final rule, the FY 2014 national average hourly wage (unadjusted for occupational mix) is $38.3998. The FY 2014 Puerto Rico overall average hourly wage (unadjusted for occupational mix) is $16.4890.
F. Occupational Mix Adjustment to the FY 2014 Wage Index
As stated earlier, section 1886(d)(3)(E) of the Act provides for the collection of data every 3 years on the occupational mix of employees for each short-term, acute care hospital participating in the Medicare program, in order to construct an occupational mix adjustment to the wage index, for application beginning October 1, 2004 (the FY 2005 wage index). The purpose of the occupational mix adjustment is to control for the effect of hospitals' employment choices on the wage index. For example, hospitals may choose to employ different combinations of registered nurses, licensed practical nurses, nursing aides, and medical assistants for the purpose of providing nursing care to their patients. The varying labor costs associated with these choices reflect hospital management decisions rather than geographic differences in the costs of labor.
1. Development of Data for the FY 2014 Occupational Mix Adjustment Based on the 2010 Occupational Mix Survey
As provided for under section 1886(d)(3)(E) of the Act, we collect data every 3 years on the occupational mix of employees for each short-term, acute care hospital participating in the Medicare program.
As discussed in the FY 2013 IPPS/LTCH PPS final rule (77 FR 53367 through 53368), the occupational mix adjustment to the FY 2013 wage index was based on data collected on the 2010 Medicare Wage Index Occupational Mix Survey (Form CMS-10079 (2010)). For the FY 2014 wage index, as we proposed, we are again using occupational mix data collected on the 2010 survey to compute the occupational mix adjustment for FY 2014. We are including data for 3,201 hospitals that also have wage data included in the FY 2014 wage index.
2. New 2013 Occupational Mix Survey for the FY 2016 Wage Index
As stated earlier, section 304(c) of Public Law 106-554 amended section 1886(d)(3)(E) of the Act to require CMS to collect data every 3 years on the occupational mix of employees for each short-term, acute care hospital participating in the Medicare program. We used occupational mix data collected on the 2010 survey to compute the occupational mix adjustment for FY 2013 and the FY 2014 wage index associated with this final rule. We also plan to use the 2010 survey data for the FY 2015 wage index. Therefore, a new measurement of occupational mix will be required for FY 2016.
On December 7, 2012, we published in the Federal Register a notice soliciting comments on the proposed 2013 Medicare Wage Index Occupational Mix Survey (77 FR 73032 through 73033). The new 2013 survey, which will be applied to the FY 2016 wage index, includes the same data elements and definitions as the 2010 survey and provides for the collection of hospital-specific wages and hours data for nursing employees for calendar year 2013 (that is, payroll periods ending between January 1, 2013 and December 31, 2013). The comment period for the notice ended on February 5, 2013. After considering the public comments that we received on the December 2012 notice, we made a few minor editorial changes and published the 2013 survey in the Federal Register on February 28, 2013 (78 FR 13679). This survey was approved by OMB on May 14, 2013, and is available on the CMS Web site at: http://www.cms.hhs.gov/PaperworkReductionActof1995 by clicking on “PRA Listings.” (The OMB control number for this collection of information is 0938-0907.) Hospitals are required to submit their completed 2013 surveys to their fiscal intermediaries/MACs by July 1, 2014. The preliminary, unaudited 2013 survey data will be released afterward, along with the FY 2012 Worksheet S-3 wage data, for the FY 2016 wage index review and correction process. The 2013 Occupational Mix Survey Hospital Form and Instructions and Definitions are available on the CMS Web site at: http://cms.gov/Medicare/Medicare-Fee-for-Service-Payment/AcuteInpatientPPS/Wage-Index-Files-Items/Medicare-Wage-Index-Occupational-Mix-Survey2013.html.
3. Calculation of the Occupational Mix Adjustment for FY 2014
For FY 2014, we calculated the occupational mix adjustment factor using the same methodology that we used for the FY 2012 and FY 2013 wage indices (76 FR 51582 through 51586, and 77 FR 53367 through 53368, respectively). As a result of applying this methodology, the FY 2014 occupational mix adjusted national average hourly wage is $38.3698. The FY 2014 occupational mix adjusted Puerto Rico-specific average hourly wage is $16.5319.
Because the occupational mix adjustment is required by statute, all hospitals that are subject to payments under the IPPS, or any hospital that would be subject to the IPPS if not granted a waiver, must complete the occupational mix survey, unless the hospital has no associated cost report wage data that are included in the FY 2014 wage index. For the FY 2010 survey, the response rate was 91.7 percent. In the FY 2014 wage index established in this final rule, we applied proxy data for noncompliant hospitals, new hospitals, or hospitals that submitted erroneous or aberrant data in the same manner that we applied proxy data for such hospitals in the FY 2012 wage index occupational mix adjustment (76 FR 51586).
In the FY 2011 IPPS/LTCH PPS proposed rule and final rule (75 FR 23943 and 75 FR 50167, respectively), we stated that, in order to gain a better understanding of why some hospitals are not submitting the occupational mix data, we will require hospitals that do not submit occupational mix data to provide an explanation for not complying. This requirement was effective beginning with the 2010 occupational mix survey. We instructed fiscal intermediaries/MACs to continue gathering this information as part of the FY 2014 wage index desk review process. We will review these data for future analysis and consideration of potential penalties for noncompliant hospitals.
G. Analysis and Implementation of the Occupational Mix Adjustment and the FY 2014 Occupational Mix Adjusted Wage Index
1. Analysis of the Occupational Mix Adjustment and the Occupational Mix Adjusted Wage Index
As discussed in section III.F. of this preamble, for FY 2014, we apply the occupational mix adjustment to 100 percent of the FY 2014 wage index. We calculated the final occupational mix adjustment using data from the 2010 occupational mix survey data, using the methodology described in the FY 2012 IPPS/LTCH PPS final rule (76 FR 51582 through 51586).
Using the occupational mix survey data and applying the occupational mix adjustment to 100 percent of the FY 2014 wage index results in a national average hourly wage of $38.3698 and a Puerto-Rico specific average hourly wage of $16.5319. After excluding data of hospitals that either submitted aberrant data that failed critical edits, or that do not have FY 2010 Worksheet S-3, Parts II and III, cost report data for use in calculating the FY 2014 wage index, we calculated the FY 2014 wage index using the occupational mix survey data from 3,201 hospitals. Using the Worksheet S-3, Parts II and III, cost report data of 3,440 hospitals and occupational mix survey data from 3,201 hospitals represents a 93.1 percent survey response rate. The FY 2014 national average hourly wages for each occupational mix nursing subcategory as calculated in Step 2 of the occupational mix calculation are as follows:
| Occupational mix nursing subcategory | Average hourly wage |
|---|---|
| National RN | 37.430602011 |
| National LPN and Surgical Technician | 21.771626577 |
| National Nurse Aide, Orderly, and Attendant | 15.323325633 |
| National Medical Assistant | 17.2056709 |
| National Nurse Category | 31.80354668 |
The national average hourly wage for the entire nurse category as computed in Step 5 of the occupational mix calculation is $31.80354668. Hospitals with a nurse category average hourly wage (as calculated in Step 4) of greater than the national nurse category average hourly wage receive an occupational mix adjustment factor (as calculated in Step 6) of less than 1.0. Hospitals with a nurse category average hourly wage (as calculated in Step 4) of less than the national nurse category average hourly wage receive an occupational mix adjustment factor (as calculated in Step 6) of greater than 1.0.
Based on the 2010 occupational mix survey data, we determined (in Step 7 of the occupational mix calculation) that the national percentage of hospital employees in the nurse category is 43.45 percent, and the national percentage of hospital employees in the all other occupations category is 56.55 percent. At the CBSA level, the percentage of hospital employees in the nurse category ranged from a low of 21.9 percent in one CBSA, to a high of 62.0 percent in another CBSA.
We compared the FY 2014 occupational mix adjusted wage indices for each CBSA to the unadjusted wage indices for each CBSA. As a result of applying the occupational mix adjustment to the wage data, the wage index values for 205 (52.4 percent) urban areas and 32 (66.7 percent) rural areas will increase. One hundred and twenty (30.7 percent) urban areas will increase by 1 percent or more, and 4 (1.02 percent) urban areas will increase by 5 percent or more. Thirteen (27.1 percent) rural areas will increase by 1 percent or more, and no rural areas will increase by 5 percent or more. However, the wage index values for 182 (46.5 percent) urban areas and 16 (33.3 percent) rural areas will decrease. Eighty (20.5 percent) urban areas will decrease by 1 percent or more, and 1 urban area will decrease by 5 percent or more (0.26 percent). Seven (14.6 percent) rural areas will decrease by 1 percent or more, and no rural areas will decrease by 5 percent or more. The largest positive impacts are 6.61 percent for an urban area and 2.64 percent for a rural area. The largest negative impacts are 5.28 percent for an urban area and 3.17 percent for a rural area. Four urban areas' wage indices, but no rural area wage indices, will remain unchanged by application of the occupational mix adjustment. These results indicate that a larger percentage of rural areas (66.7 percent) will benefit from the occupational mix adjustment than will urban areas (52.4 percent). However, approximately one-third (33.3 percent) of rural CBSAs will still experience a decrease in their wage indices as a result of the occupational mix adjustment.
2. Application of the Rural, Imputed, and Frontier Floors
a. Rural Floor
Section 4410(a) of Public Law 105-33 provides that, for discharges on or after October 1, 1997, the area wage index applicable to any hospital that is located in an urban area of a State may not be less than the area wage index applicable to hospitals located in rural areas in that State. This provision is referred to as the “rural floor.” Section 3141 of Public Law 111-148 also requires that a national budget neutrality adjustment be applied in implementing the rural floor. In the FY 2014 IPPS/LTCH PPS proposed rule (78 FR 27556), we estimated that 434 hospitals would receive an increase in their FY 2014 proposed wage index due to the application of the rural floor. Based on the final FY 2014 wage indices associated with this final rule and available on the CMS Web site, 424 hospitals are receiving an increase in their FY 2014 wage index due to the application of the rural floor. We received some comments concerning the application of the rural floor and additional tables. We respond to these public comments in Appendix A of this final rule.
b. Imputed Floor
In the FY 2005 IPPS final rule (69 FR 49109 through 49111), we adopted the “imputed floor” policy as a temporary 3-year regulatory measure to address concerns from hospitals in all-urban States that have argued that they are disadvantaged by the absence of rural hospitals to set a wage index floor for those States. Since its initial implementation, we have extended the imputed floor policy three times, the last of which was adopted in the FY 2013 IPPS/LTCH PPS final rule and is set to expire on September 30, 2013 (we refer readers to the discussion in the FY 2013 IPPS/LTCH PPS final rule (77 FR 53368 through 53369) and to our regulations at 42 CFR 412.64(h)(4)). There are currently two all-urban States, New Jersey and Rhode Island, that have a range of wage indices assigned to hospitals in the State, including through reclassification or redesignation (we refer readers to discussions of geographic reclassifications and redesignations in section III.H. of the preamble of this final rule). However, as we explain below, the method as of FY 2012 for computing the imputed floor, which we will refer to as the original methodology, benefitted only New Jersey, and not Rhode Island.
In computing the imputed floor for an all-urban State under the original methodology, we calculated the ratio of the lowest-to-highest CBSA wage index for each all-urban State (that is, New Jersey and Rhode Island) as well as the average of the ratios of lowest-to-highest CBSA wage indices of those all-urban States. We compared the State's own ratio to the average ratio for all-urban States and whichever is higher was multiplied by the highest CBSA wage index value in the State—the product of which established the imputed floor for the State. Rhode Island has only one CBSA (Providence-New Bedford-Fall River, RI-MA); therefore, Rhode Island's own ratio equals 1.0, and its imputed floor was equal to its original CBSA wage index value. Conversely, New Jersey has 10 CBSAs. Because the average ratio of New Jersey and Rhode Island was higher than New Jersey's own ratio, the original methodology provided a benefit for New Jersey, but not for Rhode Island.
In the FY 2013 IPPS/LTCH PPS final rule (77 FR 53368 through 53369), for the FY 2013 wage index, the final year of the extension of the imputed floor policy under § 412.64(h)(4), we did not make any changes to the original methodology and we finalized a proposed alternative, temporary methodology for computing the imputed floor wage index to address the concern that the then-current imputed floor methodology guaranteed a benefit for one all-urban State with multiple wage indices but could not benefit the other. The alternative methodology for calculating the imputed floor was established using data from the application of the rural floor policy for FY 2013. We first determined the average percentage difference between the post-reclassified, pre-floor area wage index and the post-reclassified, rural floor wage index (without rural floor budget neutrality applied) for all CBSAs receiving the rural floor. (Table 4D associated with the FY 2013 final rule, which is available on the CMS Web site, included the CBSAs receiving a State's rural floor wage index.) The lowest post-reclassified wage index assigned to a hospital in an all-urban State having a range of such values would then be increased by this factor, the result of which established the State's alternative imputed floor. We refer to this methodology as the alternative methodology. We also adopted a policy that, for discharges on or after October 1, 2012, and before October 1, 2013, the minimum wage index value for the State is the higher of the value determined under the original methodology or the value computed using the alternative methodology. We amended § 412.64(h)(4) of the regulations to add new paragraph (vi) to incorporate the finalized alternative methodology policies, and to make conforming changes.
We stated that we intended to further evaluate the need, applicability, and methodology for the imputed floor before the September 30, 2013 expiration of the imputed floor policy and address these issues in the FY 2014 proposed rule. In the FY 2014 IPPS/LTCH PPS proposed rule (78 FR 27556), we proposed to extend the imputed floor policy (both the original methodology and the alternative methodology) for one additional year, through September 30, 2014, while we continue to explore potential wage index reforms. We proposed to revise the regulations at § 412.64(h)(4) to reflect the proposed 1-year extension. We invited public comments on this extension.
Comment: Many of the commenters supported the CMS proposal, stating that it provides a remedy to the financial and competitive disadvantages suffered by hospitals in all-urban States, and that preserving the current imputed floor policy is the sound course of action as CMS continues to explore potential wage index reforms. One commenter who supported the proposal advised CMS that the American Hospital Association's (AHA's) Medicare Area Wage Index Task Force has issued draft recommendations (including the imputed floor policy) and has requested comments from hospitals prior to finalizing the report. The commenter suggested that the industry have a chance to provide input to CMS prior to finalizing any decisions regarding the imputed floor policy. The commenter also suggested that, if CMS decides to finalize a policy that would result in the expiration of the imputed floor, CMS afford hospitals a multiyear phase out in order to offset their lost revenue.
One commenter objected to the proposal and stated that it did not support the policy behind the imputed floor. The commenter stated that it agreed with the rationale that CMS previously provided in the FY 2012 IPPS/LTCH PPS proposed rule (76 FR 25878 and 25879) for not proposing to extend the imputed floor policy, and urged CMS to let the policy expire. Another commenter opposed the proposal, stating that it supported CMS' position in the FY 2008 IPPS proposed rule (72 FR 24786) that the imputed floor policy should apply only when required by statute.
Response: We appreciate the commenters' support. For those commenters who objected to the proposed policy and made further recommendations, we will further consider these comments while we continue to explore potential wage index reforms. In response to the commenter who advised that the AHA's Medicare Area Wage Index Task Force has requested comments from hospitals prior to finalizing its report and also suggested that the industry have a change to provide input to CMS prior to finalizing any decisions regarding the imputed floor policy, we are unclear on exactly what the commenter is requesting. We have allowed the industry to comment on the proposals regarding the imputed floor policy; specifically in the FY 2014 IPPS/LTCH PPS proposed rule (78 FR 27556), we invited public comment on the proposed 1-year extension. With regard to the comment that requested that CMS afford hospitals a multiyear phase-out of the imputed floor policy, we did not propose to let the imputed floor policy expire for FY 2014. We will consider the commenter's suggestion in future rulemaking.
After consideration of the public comments we received, in this final rule, as we proposed, we are providing an extension of the imputed floor policy (both the original methodology and the alternative methodology) for one additional year, through September 30, 2014, while we continue to explore potential wage index reform. We also are adopting as final the proposed conforming changes at § 412.64(h)(4) to reflect the 1-year extension.
The wage index and impact tables associated with this final rule that are available on the CMS Web site include the application of the imputed floor policy at § 412.64(h)(4) and a national budget neutrality adjustment for the rural floor (which includes the imputed floor). There are 25 hospitals in New Jersey that will receive an increase in their FY 2014 wage index due to the imputed floor calculated under the original methodology. The wage index and impact tables for this final rule also reflect the application of the alternative methodology for computing the imputed floor, which will benefit 4 hospitals in Rhode Island.
c. Frontier Floor
Section 10324 of Public Law 111-148 requires that hospitals in frontier States cannot be assigned a wage index of less than 1.0000 (we refer readers to regulations at 42 CFR 412.64(m) and to a discussion of the implementation of this provision in the FY 2011 IPPS/LTCH PPS final rule (75 FR 50160 through 50161)). Forty-six hospitals are receiving the frontier floor value of 1.0000 for their FY 2014 wage index. These hospitals are located in Montana, North Dakota, South Dakota, and Wyoming. Although Nevada is also defined as a frontier State, its FY 2014 rural floor value of 1.1454 was greater than 1.0000, and therefore, no Nevada hospitals will receive a frontier floor value for their FY 2014 wage index. We did not receive any public comments concerning the frontier floor.
The areas affected by the rural, imputed, and frontier floor policies for the FY 2014 wage index are identified in Table 4D associated with this final rule, which is available on the CMS Web site.
3. FY 2014 Wage Index Tables
The wage index values for FY 2014 (except those for hospitals receiving wage index adjustments under section 1886(d)(13) of the Act), included in Tables 4A, 4B, 4C, and 4F, available on the CMS Web site, include the occupational mix adjustment, geographic reclassification or redesignation as discussed in section III.H. of the preamble of this final rule, and the application of the rural, imputed, and frontier State floors as discussed in section III.G.2. of the preamble of this final rule.
Tables 3A and 3B, available on the CMS Web site, list the 3-year average hourly wage for each labor market area before the redesignation or reclassification of hospitals based on FYs 2008, 2009, and 2010 cost reporting periods. Table 3A lists these data for urban areas, and Table 3B lists these data for rural areas. In addition, Table 2, which is available on the CMS Web site, includes the adjusted average hourly wage for each hospital from the FY 2008 and FY 2009 cost reporting periods, as well as the FY 2010 period used to calculate the FY 2014 wage index. The 3-year averages are calculated by dividing the sum of the dollars (adjusted to a common reporting period using the method described in Step 5 in section III.G. of the preamble of this final rule) across all 3 years, by the sum of the hours. If a hospital is missing data for any of the previous years, its average hourly wage for the 3-year period is calculated based on the data available during that period. The average hourly wages in Tables 2, 3A, and 3B, which are available on the CMS Web site, include the occupational mix adjustment. The wage index values in Tables 4A, 4B, 4C, and 4D also include the national rural floor budget neutrality adjustment (which includes the imputed floor). The wage index values in Table 2 also include the out-migration adjustment for eligible hospitals.
H. Revisions to the Wage Index Based on Hospital Redesignations and Reclassifications
1. General Policies and Effects of Reclassification and Redesignation
Under section 1886(d)(10) of the Act, the MGCRB considers applications by hospitals for geographic reclassification for purposes of payment under the IPPS. Hospitals must apply to the MGCRB to reclassify not later than 13 months prior to the start of the fiscal year for which reclassification is sought (generally by September 1). Generally, hospitals must be proximate to the labor market area to which they are seeking reclassification and must demonstrate characteristics similar to hospitals located in that area. The MGCRB issues its decisions by the end of February for reclassifications that become effective for the following fiscal year (beginning October 1). The regulations applicable to reclassifications by the MGCRB are located in 42 CFR 412.230 through 412.280. (We refer readers to a discussion in the FY 2002 IPPS final rule (66 FR 39874 and 39875) regarding how the MGCRB defines mileage for purposes of the proximity requirements.) The general policies for reclassifications and redesignations that we are adopting for FY 2014, and the policies for the effects of hospitals' reclassifications and redesignations on the wage index, are the same as those discussed in the FY 2012 IPPS/LTCH PPS final rule for the FY 2012 final wage index (76 FR 51595 and 51596). Also, in the FY 2012 IPPS/LTCH PPS final rule, we discussed the effects on the wage index of urban hospitals reclassifying to rural areas under 42 CFR 412.103. Hospitals that are geographically located in States without any rural areas are ineligible to apply for rural reclassification in accordance with the provisions of 42 CFR 412.103.
Comment: One commenter noted that CMS did not propose any amendments to § 412.103, but requested that CMS retract the statement that hospitals that are geographically located in States without any rural areas are ineligible to apply for rural reclassification pursuant to 42 CFR 412.103; the commenter believed that this statement is a change in policy. The commenter believed that the statute and regulations permit a hospital in an all-urban State to be treated as if it were located in a rural area, and that no actual rural area in the State is necessary for such reclassification.
Response: We disagree with commenter's request, and maintain our position that hospitals that are geographically located in States without any rural areas are ineligible for § 412.103 reclassification. This is consistent with the statute and CMS' longstanding policy, and we did not propose any changes to this policy.
Comment: One commenter questioned the reclassification process concerning urban hospitals that redesignate from urban status to rural status under § 412.103, then cancel their rural status and subsequently seek reclassification to another urban area through the MGCRB. The commenter also had questions concerning the process of MGCRB reclassification in the case of hospitals that currently have acquired rural status under § 412.103.
Response: We thank the commenter for the comments. We did not make any proposals to change any of the reclassification processes or criteria. The processes for § 412.103 urban to rural redesignation and MGCRB reclassification are specified in 42 CFR 412.103 and 412.230 et. seq. The regulations in the sections above clearly define the process and describe the criteria and conditions for these reclassifications. We refer the commenter to the regulations for complete details on wage index reclassifications.
2. FY 2014 MGCRB Reclassifications
a. FY 2014 Reclassification Requirements and Approvals
Under section 1886(d)(10) of the Act, the MGCRB considers applications by hospitals for geographic reclassification for purposes of payment under the IPPS. The specific procedures and rules that apply to the geographic reclassification process are outlined in regulations under 42 CFR 412.230 through 412.280.
At the time this final rule was constructed, the MGCRB had completed its review of FY 2014 reclassification requests. Based on such reviews, there were 296 hospitals approved for wage index reclassifications by the MGCRB for FY 2014. Because MGCRB wage index reclassifications are effective for 3 years, for FY 2014, hospitals reclassified during FY 2012 or FY 2013 are eligible to continue to be reclassified to a particular labor market area based on such prior reclassifications. There were 214 hospitals approved for wage index reclassifications in FY 2012, and 196 hospitals approved for wage index reclassifications in FY 2013. Of all the hospitals approved for reclassification for FY 2012, FY 2013, and FY 2014, based upon the review at the time of this final rule, 679 hospitals are in a reclassification status for FY 2014.
Under the regulations at 42 CFR 412.273, hospitals that have been reclassified by the MGCRB are permitted to withdraw their applications within 45 days of the publication of a proposed rule. For information about withdrawing, terminating, or canceling a previous withdrawal or termination of a 3-year reclassification for wage index purposes, we refer readers to 42 CFR 412.273, as well as the FY 2002 IPPS final rule (66 FR 39887 through 39888) and the FY 2003 IPPS final rule (67 FR 50065 through 50066). Additional discussion on withdrawals and terminations, and clarifications regarding reinstating reclassifications and “fallback” reclassifications, were included in the FY 2008 IPPS final rule (72 FR 47333).
Changes to the wage index that result from withdrawals of requests for reclassification, terminations, wage index corrections, appeals, and the Administrator's review process for FY 2014 are incorporated into the wage index values published in this FY 2014 IPPS/LTCH PPS final rule. These changes affect not only the wage index value for specific geographic areas, but also the wage index value redesignated/reclassified hospitals receive; that is, whether they receive the wage index that includes the data for both the hospitals already in the area and the redesignated/reclassified hospitals. Further, the wage index value for the area from which the hospitals are redesignated/reclassified may be affected.
b. Applications for Reclassifications for FY 2015
Applications for FY 2015 reclassifications are due to the MGCRB by September 3, 2013 (the first working day of September 2013). We note that this is also the deadline for canceling a previous wage index reclassification withdrawal or termination under 42 CFR 412.273(d). As mentioned in section III.B. of the preamble of this final rule, although OMB issued revisions on February 28, 2013 to its area delineations, we did not propose to adopt those revisions for the FY 2014 wage index, and we will not be adopting the revisions before the September 3, 2013 deadline for applications for the FY 2015 wage index. Therefore, hospitals must apply for reclassifications based on the delineations we are using for FY 2014. Applications and other information about MGCRB reclassifications may be obtained via the Internet on the CMS Web site at: http://www.cms.gov/Regulations-and-Guidance/Review-Boards/MGCRB/index.html, or by calling the MGCRB at (410) 786-1174. The mailing address of the MGCRB is: 2520 Lord Baltimore Drive, Suite L, Baltimore, MD 21244-2670.
3. Redesignations of Hospitals under Section 1886(d)(8)(B) of the Act
Section 1886(d)(8)(B) of the Act requires us to treat a hospital located in a rural county adjacent to one or more urban areas as being located in the MSA if certain criteria are met. Effective beginning FY 2005, we use OMB's 2000 CBSA standards and the Census 2000 data to identify counties in which hospitals qualify under section 1886(d)(8)(B) of the Act to receive the wage index of the urban area. (We note that, as mentioned in section III.B. of the preamble of this final rule, although OMB issued revisions on February 28, 2013, to its area delineations based on 2010 census data, we did not propose to adopt these revisions for the FY 2014 wage index.) Hospitals located in these counties have been known as “Lugar” hospitals and the counties themselves are often referred to as “Lugar” counties. The FY 2014 chart with the listing of the rural counties containing the hospitals designated as urban under section 1886(d)(8)(B) of the Act is available via the Internet on the CMS Web site.
4. Hospitals Redesignated under Section 1886(d)(8)(B) of the Act Seeking Reclassification by the MGCRB
As in the past, hospitals redesignated under section 1886(d)(8)(B) of the Act are also eligible to be reclassified to a different area by the MGCRB. Using Table 4C associated with the proposed rule (which is available via the Internet on the CMS Web site), affected hospitals were permitted to compare the reclassified wage index for the labor market area into which they would be reclassified by the MGCRB to the reclassified wage index for the area to which they are redesignated under section 1886(d)(8)(B) of the Act. Hospitals could have withdrawn from an MGCRB reclassification within 45 days of the publication of the FY 2014 proposed rule. (We refer readers to the FY 2012 IPPS/LTCH PPS final rule (76 FR 51598 through 51599) for the procedural rules and requirements for a hospital that is redesignated under section 1886(d)(8)(B) of the Act and seeking reclassification under the MGCRB, as well as our policy of measuring the urban area, exclusive of the Lugar County, for purposes of meeting proximity requirements.) We treat New England deemed counties in a manner consistent with how we treat Lugar counties. (We refer readers to the FY 2008 IPPS final rule with comment period (72 FR 47337 through 47338) for a discussion of this policy.)
5. Waiving Lugar Redesignation for the Out-Migration Adjustment
In the FY 2012 IPPS/LTCH PPS final rule (76 FR 51599 through 51600), we adopted the policy that, beginning with FY 2012, an eligible hospital that waives its Lugar status in order to receive the out-migration adjustment has effectively waived its deemed urban status and, thus, is rural for all purposes under the IPPS, including being considered rural for the DSH payment adjustment, effective for the fiscal year in which the hospital receives the out-migration adjustment. (We refer readers to a discussion of DSH payment adjustment under section V.E. of the preamble of this final rule.)
In addition, we adopted a minor procedural change that would allow a Lugar hospital that qualifies for and accepts the out-migration adjustment (through written notification to CMS within the requisite number of days from the publication of the proposed rule [11] ) to automatically waive its urban status for the 3-year period for which its out-migration adjustment is effective. That is, such a Lugar hospital would no longer be required during the second and third years of eligibility for the out-migration adjustment to advise us annually that it prefers to continue being treated as rural and receive the adjustment. Thus, under the procedural change, a Lugar hospital that requests to waive its urban status in order to receive the rural wage index in addition to the out-migration adjustment would be deemed to have accepted the out-migration adjustment and agrees to be treated as rural for the duration of its 3-year eligibility period, unless, prior to its second or third year of eligibility, the hospital explicitly notifies CMS in writing, within the required period (generally 45 days from the publication of the proposed rule), that it instead elects to return to its deemed urban status and no longer wishes to accept the out-migration adjustment.
We refer readers to the FY 2012 IPPS/LTCH PPS final rule (76 FR 51599 through 51600) for a detailed discussion of the policy and process for waiving Lugar status for the out-migration adjustment.
I. FY 2014 Wage Index Adjustment Based on Commuting Patterns of Hospital Employees
In accordance with the broad discretion granted to the Secretary under section 1886(d)(13) of the Act, as added by section 505 of Public Law 108-173, beginning with FY 2005, we established a process to make adjustments to the hospital wage index based on commuting patterns of hospital employees (the “out-migration” adjustment). The process, outlined in the FY 2005 IPPS final rule (69 FR 49061), provides for an increase in the wage index for hospitals located in certain counties that have a relatively high percentage of hospital employees who reside in the county but work in a different county (or counties) with a higher wage index. For FY 2014, we are adopting the out-migration adjustment based on the same policies, procedures, and computation that were used for the FY 2012 out-migration adjustment. (We refer readers to a full discussion of the adjustment, including rules on deeming hospitals reclassified under section 1886(d)(8) or section 1886(d)(10) of the Act to have waived the out-migration adjustment, in the FY 2012 IPPS/LTCH PPS final rule (76 FR 51601 through 51602).) Table 4J, which is available via the Internet on the CMS Web site, lists the out-migration adjustments for the FY 2014 wage index.
We did not receive any public comments with regard to the out-migration adjustment for FY 2014.
J. Process for Requests for Wage Index Data Corrections
The preliminary, unaudited Worksheet S-3 wage data and occupational mix survey data files for the proposed FY 2014 wage index were made available on October 3, 2012, through the Internet on the CMS Web site at: http://www.cms.gov/Medicare/Medicare-Fee-for-Service-Payment/AcuteInpatientPPS/Wage-Index-Files-Items/FY_2014_Wage_Index_Home_Page.html.
In the interest of meeting the data needs of the public, beginning with the proposed FY 2009 wage index, we post an additional public use file on our Web site that reflects the actual data that are used in computing the proposed wage index. The release of this new file does not alter the current wage index process or schedule. We notify the hospital community of the availability of these data as we do with the current public use wage data files through our Hospital Open Door forum. We encourage hospitals to sign up for automatic notifications of information about hospital issues and the scheduling of the Hospital Open Door forums at the CMS Web site at: http://www.cms.gov/Outreach-and-Education/Outreach/OpenDoorForums/index.html.
In a memorandum dated October 19, 2012, we instructed all fiscal intermediaries/MACs to inform the IPPS hospitals they service of the availability of the wage index data files and the process and timeframe for requesting revisions (including the specific deadlines listed below). We also instructed the fiscal intermediaries/MACs to advise hospitals that these data were also made available directly through their representative hospital organizations.
If a hospital wished to request a change to its data as shown in the October 3, 2012 wage and occupational mix data files, the hospital was to submit corrections along with complete, detailed supporting documentation to its fiscal intermediary/MAC by December 10, 2012. (We note that this date was originally December 3, 2012. However, in a memorandum dated October 25, 2012, we instructed all fiscal intermediaries/MACs to inform the IPPS hospitals they service that we extended the deadline to December 10, 2012.) Hospitals were notified of this deadline and of all other deadlines and requirements, including the requirement to review and verify their data as posted in the preliminary wage index data files on the Internet, through the October 19, 2012 memorandum referenced above.
In the October 19, 2012 memorandum, we also specified that a hospital requesting revisions to its occupational mix survey data was to copy its record(s) from the CY 2010 occupational mix preliminary files posted to the CMS Web site in October, highlight the revised cells on its spreadsheet, and submit its spreadsheet(s) and complete documentation to its fiscal intermediary/MAC no later than December 10, 2012.
The fiscal intermediaries/MACs notified the hospitals by mid-February 2013 of any changes to the wage index data as a result of the desk reviews and the resolution of the hospitals' early-December revision requests. The fiscal intermediaries/MACs also submitted the revised data to CMS by mid-February 2013. CMS published the proposed wage index public use files that included hospitals' revised wage index data on February 21, 2013. Hospitals had until March 4, 2013, to submit requests to the fiscal intermediaries/MACs for reconsideration of adjustments made by the fiscal intermediaries/MACs as a result of the desk review, and to correct errors due to CMS' or the fiscal intermediary's (or, if applicable, the MAC's) mishandling of the wage index data. Hospitals also were required to submit sufficient documentation to support their requests.
After reviewing requested changes submitted by hospitals, fiscal intermediaries/MACs were required to transmit to CMS any additional revisions resulting from the hospitals' reconsideration requests by April 10, 2013. The deadline for a hospital to request CMS intervention in cases where the hospital disagreed with the fiscal intermediary's (or, if applicable, the MAC's) policy interpretations was April 17, 2013.
Hospitals were given the opportunity to examine Table 2, which was listed in section VI. of the Addendum to the proposed rule and available via the Internet on the CMS Web site at: http://www.cms.gov/Medicare/Medicare-Fee-for-Service-Payment/AcuteInpatientPPS/Wage-Index-Files-Items/FY_2014_Wage_Index_Home_Page.html. Table 2 contained each hospital's adjusted average hourly wage used to construct the wage index values for the past 3 years, including the FY 2010 data used to construct the proposed FY 2014 wage index. We noted that the hospital average hourly wages shown in Table 2 only reflected changes made to a hospital's data that were transmitted to CMS by March 4, 2013.
We released the final wage index data public use files in early May 2013 on the Internet at: http://www.cms.gov/Medicare/Medicare-Fee-for-Service-Payment/AcuteInpatientPPS/Wage-Index-Files-Items/FY_2014_Wage_Index_Home_Page.html. The May 2013 public use files were made available solely for the limited purpose of identifying any potential errors made by CMS or the fiscal intermediary/MAC in the entry of the final wage index data that resulted from the correction process described above (revisions submitted to CMS by the fiscal intermediaries/MACs by April 10, 2013). If, after reviewing the May 2013 final public use files, a hospital believed that its wage or occupational mix data were incorrect due to a fiscal intermediary/MAC or CMS error in the entry or tabulation of the final data, the hospital was required to send a letter to both its fiscal intermediary/MAC and CMS that outlined why the hospital believed an error existed and provide all supporting information, including relevant dates (for example, when it first became aware of the error). The hospital was required to send the letter to CMS and its fiscal intermediaries/MACs no later than June 3, 2013.
After the release of the May 2013 wage index data files, changes to the wage and occupational mix data were only made in those very limited situations involving an error by the fiscal intermediary/MAC or CMS that the hospital could not have known about before its review of the final wage index data files. Specifically, neither the fiscal intermediary/MAC nor CMS approved the following types of requests:
- Requests for wage index data corrections that were submitted too late to be included in the data transmitted to CMS by fiscal intermediaries or the MACs on or before April 10, 2013.
- Requests for correction of errors that were not, but could have been, identified during the hospital's review of the February 21, 2013 wage index public use files.
- Requests to revisit factual determinations or policy interpretations made by the fiscal intermediary or the MAC or CMS during the wage index data correction process.
Verified corrections to the wage index data received timely by CMS and the fiscal intermediaries or the MACs (that is, by June 3, 2013) were incorporated into the final wage index in this FY 2014 IPPS/LTCH PPS final rule, which will be effective October 1, 2013.
We created the processes described above to resolve all substantive wage index data correction disputes before we finalize the wage and occupational mix data for the FY 2014 payment rates. Accordingly, hospitals that did not meet the procedural deadlines set forth above will not be afforded a later opportunity to submit wage index data corrections or to dispute the fiscal intermediary's (or, if applicable, the MAC's) decision with respect to requested changes. Specifically, our policy is that hospitals that do not meet the procedural deadlines set forth above will not be permitted to challenge later, before the Provider Reimbursement Review Board, the failure of CMS to make a requested data revision. We refer readers also to the FY 2000 IPPS final rule (64 FR 41513) for a discussion of the parameters for appeals to the PRRB for wage index data corrections.
Again, we believe the wage index data correction process described above provides hospitals with sufficient opportunity to bring errors in their wage and occupational mix data to the fiscal intermediary's (or, if applicable, the MAC's) attention. Moreover, because hospitals have access to the final wage index data by early May 2013, they have the opportunity to detect any data entry or tabulation errors made by the fiscal intermediary or the MAC or CMS before the development and publication of the final FY 2014 wage index by August 2013, and the implementation of the FY 2014 wage index on October 1, 2013. If hospitals avail themselves of the opportunities afforded to provide and make corrections to the wage and occupational mix data, the wage index implemented on October 1 should be accurate. Nevertheless, in the event that errors are identified by hospitals and brought to our attention after June 3, 2013, we retain the right to make midyear changes to the wage index under very limited circumstances.
Specifically, in accordance with 42 CFR 412.64(k)(1) of our existing regulations, we make midyear corrections to the wage index for an area only if a hospital can show that: (1) The fiscal intermediary or the MAC or CMS made an error in tabulating its data; and (2) the requesting hospital could not have known about the error or did not have an opportunity to correct the error, before the beginning of the fiscal year. For purposes of this provision, “before the beginning of the fiscal year” means by the June deadline for making corrections to the wage data for the following fiscal year's wage index (for example, June 3, 2013 for the FY 2014 wage index). This provision is not available to a hospital seeking to revise another hospital's data that may be affecting the requesting hospital's wage index for the labor market area. As indicated earlier, because CMS makes the wage index data available to hospitals on the CMS Web site prior to publishing both the proposed and final IPPS rules, and the fiscal intermediaries or the MACs notify hospitals directly of any wage index data changes after completing their desk reviews, we do not expect that midyear corrections will be necessary. However, under our current policy, if the correction of a data error changes the wage index value for an area, the revised wage index value will be effective prospectively from the date the correction is made.
In the FY 2006 IPPS final rule (70 FR 47385 through 47387 and 47485), we revised 42 CFR 412.64(k)(2) to specify that, effective on October 1, 2005, that is, beginning with the FY 2006 wage index, a change to the wage index can be made retroactive to the beginning of the Federal fiscal year only when CMS determines all of the following: (1) The fiscal intermediary (or, if applicable, the MAC) or CMS made an error in tabulating data used for the wage index calculation; (2) the hospital knew about the error and requested that the fiscal intermediary (or, if applicable, the MAC) and CMS correct the error using the established process and within the established schedule for requesting corrections to the wage index data, before the beginning of the fiscal year for the applicable IPPS update (that is, by the June 3, 2013 deadline for the FY 2014 wage index); and (3) CMS agreed before October 1 that the fiscal intermediary (or, if applicable, the MAC) or CMS made an error in tabulating the hospital's wage index data and the wage index should be corrected.
In those circumstances where a hospital requested a correction to its wage index data before CMS calculated the final wage index (that is, by the June 3, 2013 deadline for the FY 2014 wage index), and CMS acknowledges that the error in the hospital's wage index data was caused by CMS' or the fiscal intermediary's (or, if applicable, the MAC's) mishandling of the data, we believe that the hospital should not be penalized by our delay in publishing or implementing the correction. As with our current policy, we indicated that the provision is not available to a hospital seeking to revise another hospital's data. In addition, the provision cannot be used to correct prior years' wage index data; and it can only be used for the current Federal fiscal year. In situations where our policies would allow midyear corrections other than those specified in 42 CFR 412.64(k)(2)(ii), we continue to believe that it is appropriate to make prospective-only corrections to the wage index.
We note that, as with prospective changes to the wage index, the final retroactive correction will be made irrespective of whether the change increases or decreases a hospital's payment rate. In addition, we note that the policy of retroactive adjustment will still apply in those instances where a final judicial decision reverses a CMS denial of a hospital's wage index data revision request.
K. Labor-Related Share for the FY 2014 Wage Index
Section 1886(d)(3)(E) of the Act directs the Secretary to adjust the proportion of the national prospective payment system base payment rates that are attributable to wages and wage-related costs by a factor that reflects the relative differences in labor costs among geographic areas. It also directs the Secretary to estimate from time to time the proportion of hospital costs that are labor-related: “The Secretary shall adjust the proportion, (as estimated by the Secretary from time to time) of hospitals' costs which are attributable to wages and wage-related costs, of the DRG prospective payment rates. . . .” We refer to the portion of hospital costs attributable to wages and wage-related costs as the labor-related share. The labor-related share of the prospective payment rate is adjusted by an index of relative labor costs, which is referred to as the wage index.
Section 403 of Public Law 108-173 amended sections 1886(d)(3)(E) and 1886(d)(9)(C)(iv) of the Act to provide that the Secretary must employ 62 percent as the labor-related share unless this “would result in lower payments to a hospital than would otherwise be made.” However, these provisions of Public Law 108-173 did not change the legal requirement that the Secretary estimate “from time to time” the proportion of hospitals' costs that are “attributable to wages and wage-related costs.” Thus, hospitals receive payment based on either a 62-percent labor-related share, or the labor-related share estimated from time to time by the Secretary, depending on which labor-related share results in a higher payment.
Comment: Several commenters stated that CMS has not kept pace by adjusting the labor-related share of the standard rate to which the wage index is applied. The commenters explained that CMS has provided incentives for hospitals to reduce costs through a declining wage index while hospitals have responded and made strides in labor efficiency. The commenters recommended that CMS adjust the labor-related share of the standard rate to 42 percent from the current 62 percent for hospitals with a wage index of less than 1.0. The commenters believed that a 42-percent labor component is more reflective of hospitals seeking cost efficiencies in wages.
Response: As stated above, section 403 of Public Law 108-173 amended sections 1886(d)(3)(E) and 1886(d)(9)(C)(iv) of the Act to provide that the Secretary must employ 62 percent as the labor-related share. Therefore, any changes to the application of the 62 percent labor-related share would require a change to current law by Congress.
In the FY 2010 IPPS/RY 2010 LTCH PPS final rule (74 FR 43850 through 43857), we rebased and revised the IPPS market basket and the labor-related share, using FY 2006 as the base year. The labor-related share for FY 2010 through FY 2013 is 68.8 percent.
For FY 2014, as proposed in the FY 2014 IPPS/LTCH PPS proposed rule (78 FR 27561 through 27572), and as described in section IV. of the preamble of this final rule, we are rebasing and revising the IPPS market basket using FY 2010 as the base year. Using the FY 2010-based IPPS market basket, we also recalculated the labor-related share and are finalizing a labor-related share of 69.6 percent for discharges occurring on or after October 1, 2013, as discussed in section IV.B.4. of the preamble of this final rule. As discussed in Appendix A of this final rule, we are implementing this revised and rebased labor-related share in a budget neutral manner. However, consistent with section 1886(d)(3)(E) of the Act, we are not taking into account the additional payments that would be made as a result of hospitals with a wage index less than or equal to 1.0 being paid using a labor-related share lower than the labor-related share of hospitals with a wage index greater than 1.0.
The labor-related share is used to determine the proportion of the national IPPS base payment rate to which the area wage index is applied. For FY 2014, as proposed in the FY 2014 IPPS/LTCH PPS proposed rule (78 FR 27561 through 27572) and as described in section IV. of the preamble of this final rule, we are including in the labor-related share the national average proportion of operating costs that are attributable to wages and salaries, employee benefits, contract labor, the labor-related portion of professional fees, administrative and facilities support services, and all other labor-related services as measured in the FY 2010-based IPPS market basket.
Therefore, for FY 2014, as discussed in section IV.B.4. of the preamble of this final rule, we are finalizing our proposals without modification and adopting a labor-related share of 69.6 percent for discharges occurring on or after October 1, 2013. Tables 1A and 1B, which are published in section VI. of the Addendum to this final rule and are available via the Internet, reflect this labor-related share. For FY 2014, for all IPPS hospitals whose wage indices are less than 1.0000, we are applying the wage index to a labor-related share of 62 percent of the national standardized amount. For all IPPS hospitals whose wage indices are greater than 1.0000, for FY 2014, we are applying the wage index to a labor-related share of 69.6 percent of the national standardized amount. We note that, for Puerto Rico hospitals, the national labor-related share is 62 percent because the national wage index for all Puerto Rico hospitals is less than 1.0.
In the FY 2010 IPPS/RY 2010 LTCH PPS final rule (74 FR 43850 through 43856), we also rebased and revised the labor-related share for the Puerto Rico-specific standardized amounts using FY 2006 as a base year. We finalized a labor-related share for the Puerto Rico-specific standardized amounts for FY 2010 through FY 2013 of 62.1 percent. As proposed in the FY 2014 IPPS/LTCH PPS proposed rule (78 FR 27566 through 27568) and as described in section IV.B.4. of the preamble of this final rule, for FY 2014, we also are rebasing and revising the labor-related share for the Puerto Rico-specific standardized amounts using FY 2010 as a base year. In the FY 2014 IPPS/LTCH PPS proposed rule (78 FR 27566 through 27568), we proposed a labor-related share for the Puerto Rico-specific standardized amounts of 63.2 percent for discharges occurring on or after October 1, 2013. For FY 2014, we are finalizing our proposal and adopting a labor-related share for the Puerto Rico-specific standardized amounts of 63.2 percent for discharges occurring on or after October 1, 2013, as discussed in section IV.B.4. of the preamble of this final rule. Consistent with our methodology for determining the national labor-related share, we added the Puerto Rico-specific relative weights for wages and salaries, employee benefits, and contract labor, with the national proportion of costs for the labor-related portion of professional fees, administrative and facilities support services, and all other labor-related services to determine the labor-related share. Puerto Rico hospitals are paid based on 75 percent of the national standardized amounts and 25 percent of the Puerto Rico-specific standardized amounts. For FY 2014, we are adopting that the labor-related share of a hospital's Puerto Rico-specific rate will be either the Puerto Rico-specific labor-related share of 63.2 percent or 62 percent, depending on which results in higher payments to the hospital. If the hospital has a Puerto Rico-specific wage index of greater than 1.0 for FY 2014, we will set the hospital's rates using a labor-related share of 63.2 percent for the 25 percent portion of the hospital's payment determined by the Puerto Rico standardized amounts because this amount will result in higher payments. Conversely, a hospital with a Puerto Rico-specific wage index of less than 1.0 for FY 2014 will be paid using the Puerto Rico-specific labor-related share of 62 percent of the Puerto Rico-specific rates because the lower labor-related share will result in higher payments. The Puerto Rico labor-related share of 63.2 percent for FY 2014 is reflected in Table 1C, which is published in section VI. of the Addendum to this final rule and available via the Internet.
Comment: Several commenters supported the proposed increase in the labor-related share. We did not receive any public comments on the proposed Puerto Rico labor-related share.
Response: We appreciate the commenters' support.
As discussed in section IV.B.4. of the preamble of this final rule, we are finalizing the labor-related share of 69.6 percent as proposed for all IPPS hospitals whose wage indices are greater than 1.0000. We also are finalizing the Puerto Rico labor-related share of the labor-related share of 63.2 percent as proposed. Further discussion of the FY 2014 labor-related share for the national standardized amount and the Puerto Rico-specific standardized amount can be found in section IV.B.4. of the preamble of this final rule.
IV. Rebasing and Revision of the Hospital Market Baskets for Acute Care Hospitals Back to Top
A. Background
Effective for cost reporting periods beginning on or after July 1, 1979, we developed and adopted a hospital input price index (that is, the hospital market basket for operating costs). Although “market basket” technically describes the mix of goods and services used in providing hospital care, this term is also commonly used to denote the input price index (that is, cost category weights and price proxies combined) derived from that market basket. Accordingly, the term “market basket” as used in this document refers to the hospital input price index.
The percentage change in the market basket reflects the average change in the price of goods and services hospitals purchase in order to provide inpatient care. We first used the market basket to adjust hospital cost limits by an amount that reflected the average increase in the prices of the goods and services used to provide hospital inpatient care. This approach linked the increase in the cost limits to the efficient utilization of resources.
Since the inception of the IPPS, the projected change in the hospital market basket has been the integral component of the update factor by which the prospective payment rates are updated every year. An explanation of the hospital market basket used to develop the prospective payment rates was published in the Federal Register on September 1, 1983 (48 FR 39764). We also refer readers to the FY 2010 IPPS/RY 2010 LTCH PPS final rule (74 FR 43843) in which we discussed the most recent previous rebasing of the hospital input price index.
The hospital market basket is a fixed-weight, Laspeyres-type price index. A Laspeyres-type price index measures the change in price, over time, of the same mix of goods and services purchased in the base period. Any changes in the quantity or mix of goods and services (that is, intensity) purchased over time are not measured.
The index itself is constructed in three steps. First, a base period is selected (as we proposed, in this final rule, we are using FY 2010 as the base period) and total base period expenditures are estimated for a set of mutually exclusive and exhaustive spending categories, with the proportion of total costs that each category represents being calculated. These proportions are called “cost weights” or “expenditure weights.” Second, each expenditure category is matched to an appropriate price or wage variable, referred to as a “price proxy.” In almost every instance, these price proxies are derived from publicly available statistical series that are published on a consistent schedule (preferably at least on a quarterly basis). Finally, the expenditure weight for each cost category is multiplied by the level of its respective price proxy. The sum of these products (that is, the expenditure weights multiplied by their price index levels) for all cost categories yields the composite index level of the market basket in a given period. Repeating this step for other periods produces a series of market basket levels over time. Dividing an index level for a given period by an index level for an earlier period produces a rate of growth in the input price index over that timeframe.
As noted above, the market basket is described as a fixed-weight index because it represents the change in price over time of a constant mix (quantity and intensity) of goods and services needed to provide hospital services. The effects on total expenditures resulting from changes in the mix of goods and services purchased subsequent to the base period are not measured. For example, a hospital hiring more nurses to accommodate the needs of patients would increase the volume of goods and services purchased by the hospital, but would not be factored into the price change measured by a fixed-weight hospital market basket. Only when the index is rebased would changes in the quantity and intensity be captured, with those changes being reflected in the cost weights. Therefore, we rebase the market basket periodically so that the cost weights reflect recent changes in the mix of goods and services that hospitals purchase (hospital inputs) to furnish inpatient care between base periods.
We last rebased the hospital market basket cost weights effective for FY 2010 (74 FR 43843), with FY 2006 data used as the base period for the construction of the market basket cost weights. In the FY 2014 IPPS/LTCH PPS proposed rule (78 FR 27561 through 27572), we proposed to rebase the cost structure for the IPPS hospital index from FY 2006 to FY 2010, as discussed below.
B. Rebasing and Revising the IPPS Market Basket
The terms “rebasing” and “revising,” while often used interchangeably, actually denote different activities. “Rebasing” means moving the base year for the structure of costs of an input price index (for example, in this final rule, we are shifting the base year cost structure for the IPPS hospital index from FY 2006 to FY 2010). “Revising” means changing data sources, or price proxies, used in the input price index. As published in the FY 2006 IPPS final rule (70 FR 47387), in accordance with section 404 of Public Law 108-173, CMS determined a new frequency for rebasing the hospital market basket. We established a rebasing frequency of every 4 years and, therefore, for the FY 2014 IPPS update, as we proposed, we are rebasing and revising the IPPS market basket from FY 2006 to FY 2010. We invited public comments on our proposed methodology. A summary of the public comments we received and our responses are included under the appropriate subject area.
1. Development of Cost Categories and Weights
a. Medicare Cost Reports
The major source of expenditure data for developing the rebased and revised hospital market basket cost weights is the FY 2010 Medicare cost reports. These FY 2010 Medicare cost reports are for cost reporting periods beginning on and after October 1, 2009 and before October 1, 2010. In the FY 2014 IPPS/LTCH PPS proposed rule (78 FR 27562), we proposed to use FY 2010 as the base year because we believe that the FY 2010 Medicare cost reports represent the most recent, complete set of Medicare cost report data available for IPPS hospitals. As was done in previous rebasings, these cost reports are from IPPS hospitals only (hospitals excluded from the IPPS and CAHs are not included) and are based on IPPS Medicare-allowable operating costs. IPPS Medicare-allowable operating costs are costs that are eligible to be paid for under the IPPS. For example, the IPPS market basket excludes home health agency (HHA) costs as these costs would be paid under the HHA PPS and, therefore, these costs are not IPPS Medicare-allowable costs.
We proposed to obtain seven major expenditures or cost categories for the FY 2010 IPPS market basket from the Medicare cost reports—the same as in the FY 2006-based hospital market basket: Wages and salaries, employee benefits, contract labor, pharmaceuticals, professional liability insurance (malpractice), blood and blood products, and a residual “all other.” The proposed cost weights that were obtained directly from the Medicare cost reports were reported in Table IV01 of the proposed rule. We proposed to then supplement these Medicare cost report cost weights with information obtained from other data sources to derive the proposed IPPS market basket cost weights.
Comment: One commenter supported the proposal to move to an FY 2010-based market basket.
Response: We appreciate the commenter's support. In this final rule, we are finalizing our calculation of the FY 2010-based IPPS cost weights using the Medicare cost reports as proposed and describe our methods in more detail below.
Table IV01 below shows the major cost categories and their respective cost weights as calculated directly from the Medicare Cost Reports for this final rule.
| Major cost categories | FY 2006-based market basket | Proposed and final FY 2010-based market basket |
|---|---|---|
| Wages and salaries | 45.156 | 45.819 |
| Employee benefits | 11.873 | 12.713 |
| Contract labor | 2.598 | 1.806 |
| Professional Liability Insurance (Malpractice) | 1.661 | 1.330 |
| Pharmaceuticals | 5.380 | 5.402 |
| Blood and blood products | 1.078 | 1.069 |
| All other | 32.254 | 31.861 |
From FY 2006 to FY 2010, the wages and salaries and employee benefits cost weights as calculated directly from the Medicare cost reports increased by approximately 0.7 and 0.8 percentage point, respectively, while the contract labor cost weight decreased by 0.8 percentage point. As we did for the FY 2006-based IPPS market basket (74 FR 43847), we proposed to allocate contract labor costs to the wages and salaries and employee benefits cost weights based on their relative proportions for employed labor under the assumption that contract labor costs are comprised of both wages and salaries and employee benefits. The contract labor allocation proportion for wages and salaries is equal to the wages and salaries cost weight as a percent of the sum of the wages and salaries cost weight and the employee benefits cost weight. Using the FY 2010 Medicare cost report data, this percentage is 78.3 percent; therefore, we proposed to allocate approximately 78.3 percent of the contract labor cost weight to the wages and salaries cost weight. Table IV02 in the proposed rule showed the wages and salaries and employee benefit cost weights after contract labor allocation for both the FY 2006-based IPPS market basket and the proposed FY 2010-based IPPS market basket.
We did not receive any specific public comment regarding the allocation of contract labor cost weight to the wages and salaries and employee benefits cost weights. In this final rule, we are finalizing our methodology of allocating the contract labor cost weight as we proposed. Table IV02 below shows the wages and salaries and employee benefit cost weights after contract labor allocation for the FY 2006-based IPPS market basket and the proposed and final FY 2010-based IPPS market basket.
| Major cost categories | FY 2006-based market basket | Proposed and final FY 2010-based market basket |
|---|---|---|
| Wages and salaries | 47.213 | 47.233 |
| Employee benefits | 12.414 | 13.105 |
After the allocation of contract labor, the final FY 2010-based wages and salaries cost weight is relatively similar to the FY 2006-based wages and salaries cost weight while the final FY 2010-based employee benefits cost weight increased 0.7 percentage point. This is primarily a result of an increase in benefits costs relative to wages and salaries costs from the Medicare cost report data for employed workers; in 2006, the ratio of the employee benefits cost weight to the wages and salaries cost weight was 26.3 percent, while in 2010 this ratio increased to 27.8 percent.
b. Other Data Sources
In addition to the data from the Medicare cost reports, the other data source we proposed to use to develop the FY 2010-based IPPS market basket cost weights is the 2002 Benchmark Input-Output (I-O) Tables created by the Bureau of Economic Analysis (BEA), U.S. Department of Commerce. We proposed to use the 2002 BEA Benchmark I-O data to disaggregate the “all other” (residual) cost category (31.861 percent) into more detailed hospital expenditure category shares. The BEA Benchmark I-O accounts provide the most detailed information on the goods and services purchased by an industry, which allows for a more detailed disaggregation of expenses in the market basket for which we can then proxy the appropriate price inflation.
The BEA Benchmark I-O data are generally scheduled for publication every 5 years. At the time of development of the FY 2014 IPPS/LTCH PPS proposed rule, the most recent data available were for 2002. BEA also produces Annual I-O estimates; however, the 2002 Benchmark I-O data represent a much more comprehensive and detailed set of data that are derived from the 2002 Economic Census. In the FY 2010 IPPS/RY 2010 LTCH PPS final rule (74 FR 43845), we used the 2002 Benchmark I-O data (aged to FY 2006) for the FY 2006-based IPPS market basket, to be effective for FY 2010. Because BEA had not yet released new Benchmark I-O data at the time we prepared our analysis for the proposed rule, and we believe the data to be comprehensive and complete as indicated above, we proposed to use the 2002 Benchmark I-O data in the FY 2010-based IPPS market basket for the FY 2014 IPPS/LTCH PPS proposed rule.
Therefore, instead of using the less detailed, less accurate Annual I-O data, we proposed to age the 2002 Benchmark I-O data forward to FY 2010. The methodology we proposed to use to age the data forward involves applying the annual price changes from the respective price proxies to the appropriate cost categories. We repeat this practice for each year. In the FY 2014 IPPS/LTCH PPS proposed rule (78 FR 27563), we proposed that, if more recent BEA benchmark I-O data for 2007 was released between the proposed and final rule with sufficient time to incorporate such data into the final rule, we would incorporate these data into the FY 2010-based IPPS market basket for the final rule. The 2007 BEA I-O data was expected to be released in the summer of 2013. However, at the time we prepared our analysis for this final rule, BEA had not published the 2007 Benchmark I-O data. Therefore, we were unable to incorporate any revised I-O data in the final FY 2010-based IPPS market basket.
The “all other” cost category expenditure shares are determined as being equal to each category's proportion to total “all other” expenditures based on the aged 2002 Benchmark I-O data. For instance, if the cost for telephone services represented 10 percent of the sum of the “all other” Benchmark I-O hospital expenditures, telephone services would represent 10 percent of the “all other” cost category of the IPPS market basket.
Following publication of the FY 2010 IPPS/RY 2010 LTCH PPS proposed rule, and in an effort to provide greater transparency, we posted on the CMS market basket Web page at: http://www.cms.gov/Research-Statistics-Data-and-Systems/Statistics-Trends-and-Reports/MedicareProgramRatesStats/MarketBasketResearch.html an illustrative spreadsheet that shows how the detailed cost weights in the proposed rule (that is, those not calculated using Medicare cost reports) were determined using the 2002 Benchmark I-O data.
2. Cost Category Computation
As stated previously, for the proposed FY 2010-based market basket, we proposed to use data from the Medicare cost reports to derive seven major cost categories that were the same detailed cost categories as used in the FY 2006-based IPPS market basket. Also, we did not propose to change our definition of the labor-related share. As discussed in more detail below and similar to the previous rebasings, we classify a cost category as labor-related and include it in the labor-related share if the cost category is defined as being labor-intensive and its cost varies with the local labor market.
Comment: One commenter supported the use of 2002 BEA data if it is not possible to move to 2007 data in the final rule. We did not receive any public comments on the specific methodology for calculating the final cost weights.
Response: Since the 2007 BEA I-O data has not been published, we are unable to incorporate the data into the FY 2010-based IPPS market basket. We appreciate the commenter's support to use the 2002 BEA I-O data, given these data limitations.
In this final rule, we are finalizing the use of the 2002 I-O data as we proposed in the FY 2014 proposed rule. We also are finalizing our calculation of the final cost category weights as we proposed.
3. Selection of Price Proxies
After computing the FY 2010 cost weights for the IPPS market basket, it was necessary to select appropriate wage and price proxies to reflect the rate of price change for each expenditure category. We proposed to use the same price proxies that were used in the FY 2006-based IPPS market basket. A discussion of our rationale for selecting these price proxies can be found in the FY 2010 IPPS/RY 2010 LTCH PPS final rule (74 FR 43845).
With the exception of the proxy for professional liability insurance (PLI), all the proxies we proposed were based on Bureau of Labor Statistics (BLS) data and are grouped into one of the following BLS categories:
- Producer Price Indexes—Producer Price Indexes (PPIs) measure price changes for goods sold in markets other than the retail market. PPIs are preferable price proxies for goods and services that hospitals purchase as inputs because PPIs better reflect the actual price changes encountered by hospitals. For example, we proposed to use a PPI for prescription drugs, rather than the Consumer Price Index (CPI) for prescription drugs, because hospitals generally purchase drugs directly from a wholesaler. The PPIs that we proposed to use measure price changes at the final stage of production.
- Consumer Price Indexes—Consumer Price Indexes (CPIs) measure change in the prices of final goods and services bought by the typical consumer. Because they may not represent the price faced by a producer, we proposed to use CPIs only if an appropriate PPI is not available, or if the expenditures are more like those faced by retail consumers in general rather than by purchasers of goods at the wholesale level. For example, the CPI for food purchased away from home was proposed to be used as a proxy for contracted food services.
- Employment Cost Indexes—Employment Cost Indexes (ECIs) measure the rate of change in employee wage rates and employer costs for employee benefits per hour worked. These indexes are fixed-weight indexes and strictly measure the change in wage rates and employee benefits per hour. Appropriately, they are not affected by shifts in employment mix.
We evaluated the price proxies using the criteria of reliability, timeliness, availability, and relevance. Reliability indicates that the index is based on valid statistical methods and has low sampling variability. Timeliness implies that the proxy is published regularly, preferably at least once a quarter. Availability means that the proxy is publicly available. Finally, relevance means that the proxy is applicable and representative of the cost category weight to which it is applied. We stated in the proposed rule that we believed the proposed PPIs, CPIs, and ECIs selected meet these criteria.
Table IV03 below sets forth the final FY 2010-based IPPS market basket, including the cost categories and their respective weights and price proxies. For comparison purposes, the corresponding FY 2006-based IPPS market basket cost weights also are listed. A summary outlining the choice of the various proxies follows the table.
| Cost categories | FY 2006-based hospital market basket cost weights | FY 2010-based hospital market basket cost weights | FY 2010-based hospital market basket price proxies |
|---|---|---|---|
| Note: Detail may not add to total due to rounding. | |||
| 1Contract labor is distributed to wages and salaries and employee benefits based on the share of total compensation that each category represents. | |||
| 2To proxy the “chemicals” cost category, we used a blended PPI composed of the PPI for industrial gas manufacturing, the PPI for other basic inorganic chemical manufacturing, the PPI for other basic organic chemical manufacturing, and the PPI for soap and cleaning compound manufacturing. For more detail about this proxy, see the FY 2010 IPPS/RY 2010 LTCH PPS final rule (74 FR 43845). | |||
| 3We note that this cost category in the FY 2006-based IPPS market basket was “Administrative and Business Support Services.” We changed the name slightly to be more clear what type of costs are included in this cost category, but we did not change the classification of which costs are included in the category. | |||
| 1. Compensation | 59.627 | 60.338 | |
| A. Wages and Salaries1 | 47.213 | 47.233 | ECI for Wages and Salaries, Civilian Hospital Workers. |
| B. Employee Benefits1 | 12.414 | 13.105 | ECI for Benefits, Civilian Hospital Workers. |
| 2. Utilities | 2.180 | 2.246 | |
| A. Fuel, Oil, and Gasoline | 0.418 | 0.447 | PPI for Petroleum Refineries. |
| B. Electricity | 1.645 | 1.666 | PPI for Commercial Electric Power. |
| C. Water and Sewage | 0.117 | 0.133 | CPI-U for Water and Sewerage Maintenance. |
| 3. Professional Liability Insurance | 1.661 | 1.330 | CMS Professional Liability Insurance Premium Index. |
| 4. All Other | 36.533 | 36.086 | |
| A. All Other Products | 19.473 | 19.458 | |
| (1.) Pharmaceuticals | 5.380 | 5.402 | PPI for Pharmaceuticals for Human Use, Prescription. |
| (2.) Food: Direct Purchases | 3.982 | 4.206 | PPI for Processed Foods & Feeds. |
| (3.) Food: Contract Services | 0.575 | 0.578 | CPI-U for Food Away From Home. |
| (4.) Chemicals2 | 1.538 | 1.529 | Blend of Chemical PPIs. |
| (5.) Blood and Blood Products | 1.078 | 1.069 | PPI for Blood and Organ Banks. |
| (6.) Medical Instruments | 2.762 | 2.577 | PPI for Medical, Surgical, and Personal Aid Devices. |
| (7.) Rubber and Plastics | 1.659 | 1.637 | PPI for Rubber & Plastic Products. |
| (8.) Paper and Printing Products | 1.492 | 1.507 | PPI for Converted Paper & Paperboard Products. |
| (9.) Apparel | 0.325 | 0.299 | PPI for Apparel. |
| (10.) Machinery and Equipment | 0.163 | 0.151 | PPI for Machinery and Equipment. |
| (11.) Miscellaneous Products | 0.519 | 0.503 | PPI for Finished Goods less Food and Energy. |
| B. Labor-related Services | 9.175 | 9.249 | |
| (1.) Professional Fees: Labor-related | 5.356 | 5.500 | ECI for Compensation for Professional and Related Occupations. |
| (2.) Administrative and Facilities Support Services3 | 0.626 | 0.619 | ECI for Compensation for Office and Administrative Services. |
| (3.) All Other: Labor-Related Services | 3.193 | 3.130 | ECI for Compensation for Private Service Occupations. |
| C. Nonlabor-Related Services | 7.885 | 7.379 | |
| (1.) Professional Fees: Nonlabor-Related | 4.074 | 3.687 | ECI for Compensation for Professional and Related Occupations. |
| (2.) Financial Services | 1.281 | 1.239 | ECI for Compensation for Financial Activities. |
| (3.) Telephone Services | 0.627 | 0.597 | CPI-U for Telephone Services. |
| (4.) Postage | 0.963 | 0.956 | CPI-U for Postage. |
| (5.) All Other: Nonlabor-Related Services | 0.940 | 0.900 | CPI-U for All Items less Food and Energy. |
| Total | 100.000 | 100.000 | |
As stated above, we proposed to use the same price proxies used in the FY 2006-based IPPS market basket. A rationale for selecting these price proxies can be found in the FY 2010 IPPS/RY 2010 LTCH PPS final rule (74 FR 43845). The price proxies were selected to most closely match the costs included in each of the cost categories of the FY 2010-based IPPS market basket. We did not receive any public comments on the price proxies we proposed to use in the FY 2010-based IPPS market basket. In this final rule, we are finalizing the use of the price proxies that we proposed. Below is a list of the price proxies we proposed, and are finalizing to use, for the FY 2010-based IPPS market basket.
a. Wages and Salaries
We use the ECI for Wages and Salaries for Hospital Workers (All Civilian) (BLS series code CIU1026220000000I) to measure the price growth of this cost category.
b. Employee Benefits
We use the ECI for Employee Benefits for Hospital Workers (All Civilian) to measure the price growth of this cost category.
c. Fuel, Oil, and Gasoline
We use the PPI for Petroleum Refineries (BLS series code PCU324110324110) to measure the price growth of this cost category.
d. Electricity
We use the PPI for Commercial Electric Power (BLS series code WPU0542) to measure the price growth of this cost category.
e. Water and Sewage
We use the CPI for Water and Sewerage Maintenance (All Urban Consumers) (BLS series code CUUR0000SEHG01) to measure the price growth of this cost category.
f. Professional Liability Insurance
We proxy price changes in hospital professional liability insurance premiums (PLI) using percentage changes as estimated by the CMS Hospital Professional Liability Insurance Premium Index. To generate these estimates, we collect commercial insurance premiums for a fixed level of coverage while holding nonprice factors constant (such as a change in the level of coverage). This method is also used to proxy PLI price changes in the Medicare Economic Index (75 FR 73268).
g. Pharmaceuticals
We use the PPI for Pharmaceuticals for Human Use, Prescription (BLS series code WPUSI07003) to measure the price growth of this cost category. This is the same proxy that was used in the FY 2006-based IPPS market basket, although BLS since changed the naming convention for this series.
h. Food: Direct Purchases
We use the PPI for Processed Foods and Feeds (BLS series code WPU02) to measure the price growth of this cost category.
i. Food: Contract Services
We use the CPI for Food Away From Home (All Urban Consumers) (BLS series code CUUR0000SEFV) to measure the price growth of this cost category.
j. Chemicals
We use a blended PPI composed of the PPI for Industrial Gas Manufacturing (NAICS 325120) (BLS series code PCU325120325120P), the PPI for Other Basic Inorganic Chemical Manufacturing (NAICS 325180) (BLS series code PCU32518-32518-), the PPI for Other Basic Organic Chemical Manufacturing (NAICS 325190) (BLS series code PCU32519-32519), and the PPI for Soap and Cleaning Compound Manufacturing (NAICS 325610) (BLS series code PCU32561-32561-).
k. Blood and Blood Products
We use the PPI for Blood and Organ Banks (BLS series code PCU621991621991) to measure the price growth of this cost category.
l. Medical Instruments
We use the PPI for Medical, Surgical, and Personal Aid Devices (BLS series code WPU156) to measure the price growth of this cost category.
m. Rubber and Plastics
We use the PPI for Rubber and Plastic Products (BLS series code WPU07) to measure price growth of this cost category.
n. Paper and Printing Products
We use the PPI for Converted Paper and Paperboard Products (BLS series code WPU0915) to measure the price growth of this cost category.
o. Apparel
We use the PPI for Apparel (BLS series code WPU0381) to measure the price growth of this cost category.
p. Machinery and Equipment
We use the PPI for Machinery and Equipment (BLS series code WPU11) to measure the price growth of this cost category.
q. Miscellaneous Products
We use the PPI for Finished Goods Less Food and Energy (BLS series code WPUSOP3500) to measure the price growth of this cost category.
r. Professional Fees: Labor-Related and Professional Fees: Nonlabor-Related
We use the ECI for Compensation for Professional and Related Occupations (Private Industry) (BLS series code CIU2010000120000I) to measure the price growth of these cost categories.
s. Administrative and Facilities Support Services
We use the ECI for Compensation for Office and Administrative Support Services (Private Industry) (BLS series code CIU2010000220000I) to measure the price growth of this category.
t. All Other: Labor-Related Services
We use the ECI for Compensation for Service Occupations (Private Industry) (BLS series code CIU2010000300000I) to measure the price growth of this cost category.
u. Financial Services
We use the ECI for Compensation for Financial Activities (Private Industry) (BLS series code CIU201520A000000I) to measure the price growth of this cost category.
v. Telephone Services
We use the CPI for Telephone Services (BLS series code CUUR0000SEED) to measure the price growth of this cost category.
w. Postage
We use the CPI for Postage (BLS series code CUUR0000SEEC01) to measure the price growth of this cost category.
x. All Other: Nonlabor-Related Services
We use the CPI for All Items Less Food and Energy (BLS series code CUUR0000SA0L1E) to measure the price growth of this cost category.
Table IV04 in the proposed rule compared both the historical and forecasted percent changes in the FY 2006-based IPPS market basket and the proposed FY 2010 based IPPS market basket.
Table IV04 below compares both the historical and forecasted percent changes in the FY 2006-based IPPS market basket and the final FY 2010-based IPPS market basket. As stated in the FY 2014 IPPS/LTCH PPS proposed rule (78 FR 27572), we are incorporating a more recent forecast of the market basket to determine the FY 2014 market basket updates and MFP adjustment in the final rule. Therefore, the forecasted growth rates in Table IV04 are based on IHS Global Insight, Inc.'s (IGI) most recent second quarter 2013 forecast with historical data through first quarter 2013. The proposed rule presented IGI's first quarter 2013 forecast with historical data through fourth quarter of 2012.
| Fiscal year (FY) | FY 2006-based IPPS market basket operating index percent change | FY 2010-based IPPS market basket operating index percent change |
|---|---|---|
| Source: IHS Global Insight, Inc., 2nd Quarter 2013 forecast. | ||
| Historical data: | ||
| FY 2008 | 4.0 | 4.0 |
| FY 2009 | 2.6 | 2.6 |
| FY 2010 | 2.1 | 2.1 |
| FY 2011 | 2.7 | 2.7 |
| FY 2012 | 2.2 | 2.2 |
| Average FYs 2008-2012 | 2.7 | 2.7 |
| Forecast: | ||
| FY 2013 | 2.2 | 2.1 |
| FY 2014 | 2.5 | 2.5 |
| FY 2015 | 2.7 | 2.7 |
| FY 2016 | 3.0 | 3.0 |
| Average FYs 2013-2016 | 2.6 | 2.6 |
There is no difference between the FY 2006-based and the FY 2010-based IPPS market basket increases for 2008-2012. For FY 2014, the increase is 2.5 percent for both the FY 2006-based and FY 2010-based IPPS market baskets.
4. Labor-Related Share
Under section 1886(d)(3)(E) of the Act, the Secretary estimates from time to time the proportion of payments that are labor-related. “The Secretary shall adjust the proportion, (as estimated by the Secretary from time to time) of hospitals' costs which are attributable to wages and wage-related costs, of the DRG prospective payment rates . . . .” We refer to the proportion of hospitals' costs that are attributable to wages and wage-related costs as the “labor-related share.”
The labor-related share is used to determine the proportion of the national PPS base payment rate to which the area wage index is applied. We include a cost category in the labor-related share if the costs are labor intensive and vary with the local labor market. Because of this approach, in the FY 2014 IPPS/LTCH PPS proposed rule (78 FR 27566), we proposed to include in the labor-related share the national average proportion of operating costs that are attributable to wages and salaries, employee benefits, contract labor, the labor-related portion of professional fees, administrative and facilities support services, and all other: Labor-related services, as we did in the FY 2010 IPPS/RY 2010 LTCH PPS final rule (74 FR 43850). Consistent with previous rebasings, the “all other: labor-related services” cost category is mostly comprised of building maintenance and security services (including, but not limited to, commercial and industrial machinery and equipment repair, nonresidential maintenance and repair, and investigation and security services). Because these services tend to be labor-intensive and are mostly performed at the hospital facility (and, therefore, unlikely to be purchased in the national market), we believe that they meet our definition of labor-related services.
Similar to the FY 2006-based IPPS market basket, we proposed that the professional fees: Labor-related cost category includes expenses associated with advertising and a proportion of legal services, accounting and auditing, engineering, management consulting, and management of companies and enterprises expenses. As was done in the FY 2006-based IPPS market basket rebasing, we proposed to determine the proportion of legal, accounting and auditing, engineering, and management consulting services that meet our definition of labor-related services based on a survey of hospitals conducted by CMS in 2008. We notified the public of our intent to conduct this survey on December 9, 2005 (70 FR 73250) and received no comments (71 FR 8588).
With approval from the OMB, we contacted the industry and received responses to our survey from 108 hospitals. Using data on FTEs to allocate responding hospitals across strata (region of the country and urban/rural status), we calculated poststratification weights. A more thorough discussion of the composition of the survey and poststratification can be found in the FY 2010 IPPS/RY 2010 LTCH PPS final rule (74 FR 43850 through 43856). Based on the weighted results of the survey, we determined that hospitals purchase, on average, the following portions of contracted professional services outside of their local labor market:
- 34 percent of accounting and auditing services;
- 30 percent of engineering services;
- 33 percent of legal services; and
- 42 percent of management consulting services.
We proposed to apply each of these percentages to its respective Benchmark I-O cost category underlying the professional fees cost category. This is the methodology that we used to separate the FY 2006-based IPPS market basket professional fees category into professional fees: Labor-related and professional fees: nonlabor-related cost categories. We proposed to use the same methodology and survey results to separate the FY 2010-based IPPS market basket professional fees category into professional fees: Labor-related and professional fees: nonlabor-related cost categories. We believe these survey results are appropriate to use for the FY 2010-based IPPS market basket rebasing as they empirically determine the proportion of contracted professional services purchased by the industry that is attributable to local firms and the proportion that is purchased from national firms.
We did not receive any specific public comments on the use of the professional fees survey. Therefore, we are finalizing our methodology for allocating contracted professional services for FY 2014 as proposed. In the FY 2010-based IPPS market basket, nonmedical professional fees that were subject to allocation based on the survey results represent 2.059 percent of total costs (and are limited to those fees related to Accounting & Auditing, Legal, Engineering, and Management Consulting services). Based on our survey results, we are apportioning 1.301 percentage points of the 2.059 percentage point figure into the labor- related share and designating the remaining 0.758 percentage point as nonlabor-related.
In addition to the professional services listed above, we also classify a proportion of the expenses under NAICS 55, Management of Companies and Enterprises, into the professional fees: Labor-related cost category as was done in the previous rebasing. The NAICS 55 data are mostly comprised of corporate, subsidiary, and regional managing offices, or otherwise referred to as home offices. As was done for the FY 2006-based IPPS market basket and as we proposed for the FY 2010-based IPPS market basket, for this final rule, we are including only a portion of the home office costs in the labor related share as not all hospitals are located in the same geographic area as their home office.
We did not receive any specific public comments on our proposed methodology for allocating home office costs to the labor-related share. Therefore, we are finalizing this methodology as described in the proposed rule and provided below for FY 2014. Our methodology is based on data from the Medicare cost reports, as well as a CMS database of Home Office Medicare Records (HOMER) (a database that provides city and State information (addresses) for home offices). The Medicare cost report requires hospitals to report their home office provider numbers and locations. Using the data reported on the Medicare Cost Report as well as the HOMER database to determine the home office location for each home office provider number, we compared the location of the hospital with the location of the hospital's home office. We determined the proportion of costs that should be allocated to the labor-related share based on the percent of total hospital home office compensation costs for those hospitals that had home offices located in their respective local labor markets—defined as being in the same Metropolitan Statistical Area (MSA). We primarily determined a hospital's and home office's MSAs using their zip code information from the Medicare cost report. For any home offices for which we could not identify a MSA from the Medicare cost report, we used the Medicare HOMER database to identify the home office's city and State.
As proposed, we determined the proportion of costs that should be allocated to the labor-related share based on the percent of hospital home office compensation as reported in Worksheet S-3, Part II. Using this methodology, we determined that 62 percent of hospitals' home office compensation costs were for home offices located in their respective local labor markets. Therefore, we are allocating 62 percent of NAICS 55 expenses to the labor-related share.
In the FY 2010-based IPPS market basket, NAICS 55 expenses that were subject to allocation based on the home office allocation methodology represent 5.650 percent of the total operating costs. Based on the home office results, we are apportioning 3.503 percentage points of the 5.650 percentage points figure into the labor-related share and designating the remaining 2.147 percentage points as nonlabor-related. In sum, based on the two allocations mentioned above, we apportioned 4.804 percentage points into the labor-related share. This amount is added to the 0.696 percentage point of professional fees that we already identified as labor-related, resulting in a professional fees: Labor-related cost weight of 5.500 percent.
Below is a table comparing the FY 2010-based labor-related share and the FY 2006-based labor-related share. As discussed in section IV.B.3. of the preamble of this final rule, the wages and salaries and employee benefits cost weight reflect contract labor costs.
| FY 2006-based market basket cost weights | FY 2010-based market basket cost weights | |
|---|---|---|
| Wages and Salaries | 47.213 | 47.233 |
| Employee Benefits | 12.414 | 13.105 |
| Professional Fees: Labor-Related | 5.356 | 5.500 |
| Administrative and Facilities Support Services | 0.626 | 0.619 |
| All Other: Labor-Related Services | 3.193 | 3.130 |
| Total Labor-Related Share | 68.802 | 69.587 |
Using the cost category weights from the FY 2010-based IPPS market basket, we calculated a labor-related share of 69.587 percent, approximately 0.8 percentage point higher than the current labor-related share of 68.802. We continue to believe, as we have stated in the past, that these operating cost categories are related to, influenced by, or vary with the local markets. Therefore, our definition of the labor-related share continues to be consistent with section 1886(d)(3) of the Act. We note that section 403 of Public Law 108-173 amended sections 1886(d)(3)(E) and 1886(d)(9)(C)(iv) of the Act to provide that the Secretary must employ 62 percent as the labor-related share unless 62 percent “would result in lower payments to a hospital than would otherwise be made.”
Comment: Several commenters supported the proposed increase in the labor-related share.
Response: We appreciate the commenters' support.
In this final rule, we are finalizing the labor-related share of 69.6 percent for FY 2014 as proposed.
As we proposed, we also updated the labor-related share for Puerto Rico. Consistent with our methodology for determining the national labor-related share, we calculated the Puerto Rico-specific relative weights for wages and salaries, employee benefits, and contract labor using FY 2010 Medicare cost report data for IPPS hospitals located in Puerto Rico. Because there are no Puerto Rico-specific relative weights for professional fees and labor intensive services, we use the national weights as shown in Table IV05. This is the same methodology we used to determine the FY 2006-based Puerto Rico-specific labor-related share derived during the FY 2006-based IPPS market basket rebasing (74 FR 43856).
Below is a table comparing the FY 2010-based Puerto Rico-specific labor- related share and the FY 2006-based Puerto Rico-specific labor-related share.
| FY 2006-based market basket cost weights | FY 2010-based market basket cost weights | |
|---|---|---|
| Wages and Salaries | 44.221 | 44.918 |
| Benefits | 8.691 | 8.990 |
| Professional Fees: Labor-Related | 5.356 | 5.500 |
| Administrative and Facilities: Support Services | 0.626 | 0.619 |
| All Other: Labor-Related Services | 3.193 | 3.130 |
| Total Labor-Related Share | 62.087 | 63.157 |
Using the FY 2010-based Puerto Rico cost category weights, we calculated a labor-related share of 63.157 percent, approximately 1.1 percentage points higher than the current Puerto-Rico specific labor-related share of 62.087.
We did not receive any public comments on the proposal to update the Puerto Rico labor-related share. Therefore, we are finalizing the Puerto Rico labor-related share of 63.2 percent for FY 2014 as proposed.
C. Market Basket for Certain Hospitals Presently Excluded From the IPPS
In the FY 2010 IPPS/RY 2010 LTCH PPS final rule (74 FR 43857), we adopted the use of the FY 2006-based IPPS operating market basket percentage increase to update the target amounts for children's hospitals, PPS-excluded cancer hospitals and religious nonmedical health care institutions (RNHCIs). Children's hospitals and PPS-excluded cancer hospitals and RNHCIs are still reimbursed solely under the reasonable cost-based system, subject to the rate-of-increase limits. Under these limits, an annual target amount (expressed in terms of the inpatient operating cost per discharge) is set for each hospital based on the hospital's own historical cost experience trended forward by the applicable rate-of-increase percentages.
In the FY 2014 IPPS/LTCH PPS proposed rule (78 FR 27568), under the broad authority in sections 1886(b)(3)(A) and (B), 1886(b)(3)(E), and 1871 of the Act and section 4454 of the BBA, consistent with our use of the IPPS operating market basket percentage increase to update target amounts, we proposed to use the FY 2010-based IPPS operating market basket percentage increase to update the target amounts for children's hospitals, 11 PPS-excluded cancer hospitals, and RNHCIs that are paid on the basis of reasonable cost subject to the rate-of-increase limits under § 413.40.
We did not receive any public comments on this proposal. In this final rule, we are finalizing the use of the FY 2010-based IPPS operating market basket percentage increase to update the target amounts for children's hospitals, 11 PPS-excluded cancer hospitals, and RNHCIs that are paid on the basis of reasonable cost as we proposed.
Due to the small number of children's and cancer hospitals and RNHCIs that receive, in total, less than 1 percent of all Medicare payments to hospitals and because these hospitals provide limited Medicare cost report data, we are unable to create a separate market basket specifically for these hospitals. Due to the limited cost report data available, we believe that the FY 2010-based IPPS operating market basket most closely represents the cost structure of children's hospitals, PPS-excluded cancer hospitals, and RNHCIs. We believe this is appropriate as the IPPS operating market basket would reflect the input price growth for providing inpatient hospital services (similar to the services provided by the above excluded hospitals) based on the specific mix of goods and services required. Therefore, we believe that the percentage change in the FY 2010-based IPPS operating market basket is the best available measure of the average increase in the prices of the goods and services purchased by children hospitals, the 11 cancer hospitals, and RNHCIs in order to provide care.
D. Rebasing and Revising the Capital Input Price Index (CIPI)
The CIPI was originally described in the FY 1993 IPPS final rule (57 FR 40016). There have been subsequent discussions of the CIPI presented in the IPPS proposed and final payment rules. The FY 2010 IPPS/RY 2010 LTCH PPS final rule (74 FR 43857) discussed the most recent rebasing and revision of the CIPI to a FY 2006 base year, which reflected the capital cost structure of the hospital industry in that year.
In the FY 2014 IPPS/LTCH PPS proposed rule (78 FR 27568), for the FY 2014 IPPS update, we proposed to rebase and revise the CIPI to a FY 2010 base year to reflect the more current structure of capital costs in hospitals. As with the FY 2006-based index, we developed two sets of weights in order to calculate the FY 2010-based CIPI. The first set of weights identifies the proportion of hospital capital expenditures attributable to each expenditure category, while the second set of weights is a set of relative vintage weights for depreciation and interest. The set of vintage weights is used to identify the proportion of capital expenditures within a cost category that is attributable to each year over the useful life of the capital assets in that category. A more thorough discussion of vintage weights is provided later in this section.
Both sets of weights were developed using the best data sources available. In reviewing source data, we determined that the Medicare cost reports provided accurate data for all capital expenditure cost categories. We used the FY 2010 Medicare cost reports for IPPS hospitals to determine weights for all three cost categories: depreciation, interest, and other capital expenses.
Lease expenses are unique in that they are not broken out as a separate cost category in the CIPI, but rather are proportionally distributed among the cost categories of Depreciation, Interest, and Other, reflecting the assumption that the underlying cost structure and price movement of leases is similar to that of capital costs in general. As was done in previous rebasings of the CIPI, we first assumed 10 percent of lease expenses represents overhead and assigned those costs to the Other category accordingly. The remaining lease expenses were distributed across the three cost categories based on the respective weights of Depreciation, Interest, and Other not including lease expenses.
Depreciation contains two subcategories: (1) Building and Fixed equipment; and (2) Movable Equipment. The apportionment between building and fixed equipment and movable equipment was determined using the Medicare cost reports. This methodology was also used to compute the apportionment used in the FY 2006-based index.
The total Interest cost category is split between government/nonprofit interest and for-profit interest. The FY 2006-based CIPI allocated 85 percent of the total interest cost weight to government/nonprofit interest and proxied that category by the average yield on domestic municipal bonds. The remaining 15 percent of the interest cost weight was allocated to for-profit interest and was proxied by the average yield on Moody's Aaa bonds (74 FR 43857).
For the FY 2010-based CIPI, as we proposed, we derived the split using the relative FY 2010 Medicare cost report data on interest expenses for government/nonprofit and for-profit hospitals. Based on these data, we calculated an 89/11 split between government/nonprofit and for-profit interest. We believe it is important that this split reflects the latest relative cost structure of interest expenses.
We did not receive any public comments on our proposed methodology for calculating the FY 2010-based CIPI cost weights.
In this final rule, we are finalizing the FY 2010-based CIPI cost weights as proposed. Table IV07 presents a comparison of the FY 2010-based CIPI cost weights and the FY 2006-based CIPI cost weights.
| Cost categories | FY 2006 weights | FY 2010 weights | Price proxy |
|---|---|---|---|
| Total | 100.00 | 100.00 | |
| Total depreciation | 75.154 | 74.011 | |
| Building and fixed equipment depreciation | 35.789 | 36.153 | BEA chained price index for nonresidential construction for hospitals and special care facilities—vintage-weighted (26 years). |
| Movable equipment depreciation | 39.365 | 37.858 | PPI for machinery and equipment—vintage-weighted (12years). |
| Total interest | 17.651 | 19.157 | |
| Government/nonprofit interest | 15.076 | 17.051 | Average yield on domestic municipal bonds (Bond Buyer 20 bonds)—vintage-weighted (26 years). |
| For-profit interest | 2.575 | 2.106 | Average yield on Moody's Aaa bonds—vintage-weighted (26 years). |
| Other | 7.195 | 6.832 | CPI-U for residential rent. |
Because capital is acquired and paid for over time, capital expenses in any given year are determined by both past and present purchases of physical and financial capital. The vintage-weighted CIPI is intended to capture the long-term consumption of capital, using vintage weights for depreciation (physical capital) and interest (financial capital). These vintage weights reflect the proportion of capital purchases attributable to each year of the expected life of building and fixed equipment, movable equipment, and interest. We used the vintage weights to compute vintage-weighted price changes associated with depreciation and interest expense. Following publication of the FY 2010 IPPS/RY 2010 LTCH PPS proposed rule, and in order to provide greater transparency, we posted on the CMS market basket Web page at: http://www.cms.gov/Research-Statistics-Data-and-Systems/Statistics-Trends-and-Reports/MedicareProgramRatesStats/MarketBasketResearch.html an illustrative spreadsheet that contains an example of how the vintage-weighted price indexes are calculated.
Vintage weights are an integral part of the CIPI. Capital costs are inherently complicated and are determined by complex capital purchasing decisions, over time, based on such factors as interest rates and debt financing. In addition, capital is depreciated over time instead of being consumed in the same period it is purchased. The CIPI accurately reflects the annual price changes associated with capital costs, and is a useful simplification of the actual capital investment process. By accounting for the vintage nature of capital, we are able to provide an accurate, stable annual measure of price changes. Annual nonvintage price changes for capital are unstable due to the volatility of interest rate changes and, therefore, do not reflect the actual annual price changes for Medicare capital-related costs. The CIPI reflects the underlying stability of the capital acquisition process and provides hospitals with the ability to plan for changes in capital payments.
To calculate the vintage weights for depreciation and interest expenses, we needed a time series of capital purchases for building and fixed equipment and movable equipment. We found no single source that provides a uniquely best time series of capital purchases by hospitals for all of the above components of capital purchases. The early Medicare cost reports did not have sufficient capital data to meet this need. Data we obtained from the American Hospital Association (AHA) do not include annual capital purchases. However, AHA does provide a consistent database back to 1963. We used data from the AHA Panel Survey and the AHA Annual Survey to obtain a time series of total expenses for hospitals. We then used data from the AHA Panel Survey supplemented with the ratio of depreciation to total hospital expenses obtained from the Medicare cost reports to derive a trend of annual depreciation expenses for 1963 through 2010.
In order to estimate capital purchases using data on depreciation expenses, the expected life for each cost category (building and fixed equipment, movable equipment, and interest) is needed to calculate vintage weights. We used FY 2010 Medicare cost reports to determine the expected life of building and fixed equipment and of movable equipment. The expected life of any piece of equipment can be determined by dividing the value of the asset (excluding fully depreciated assets) by its current year depreciation amount. This calculation yields the estimated useful life of an asset if depreciation were to continue at current year levels, assuming straight-line depreciation. From the FY 2010 Medicare cost reports, the expected life of building and fixed equipment was determined to be 26 years, and the expected life of movable equipment was determined to be 12 years. The FY 2006-based CIPI was based on an expected life of building and fixed equipment of 25 years and 12 years as the expected life for movable equipment.
As we proposed, we used the building and fixed equipment and movable equipment weights derived from FY 2010 Medicare cost reports to separate the depreciation expenses into annual amounts of building and fixed equipment depreciation and movable equipment depreciation. Year-end asset costs for building and fixed equipment and movable equipment were determined by multiplying the annual depreciation amounts by the expected life calculations from the FY 2010 Medicare cost reports. We then calculated a time series back to 1963 of annual capital purchases by subtracting the previous year asset costs from the current year asset costs. From this capital purchase time series, we were able to calculate the vintage weights for building and fixed equipment and for movable equipment. Each of these sets of vintage weights is explained in more detail below.
For building and fixed equipment vintage weights, we used the real annual capital purchase amounts for building and fixed equipment to capture the actual amount of the physical acquisition, net of the effect of price inflation. This real annual purchase amount for building and fixed equipment was produced by deflating the nominal annual purchase amount by the building and fixed equipment price proxy, BEA's chained price index for nonresidential construction for hospitals and special care facilities. Because building and fixed equipment have an expected life of 26 years, the vintage weights for building and fixed equipment are deemed to represent the average purchase pattern of building and fixed equipment over 26-year periods. With real building and fixed equipment purchase estimates available back to 1963, we averaged twenty-two 26-year periods to determine the average vintage weights for building and fixed equipment that are representative of average building and fixed equipment purchase patterns over time. Vintage weights for each 26-year period are calculated by dividing the real building and fixed capital purchase amount in any given year by the total amount of purchases in the 26-year period. This calculation is done for each year in the 26-year period, and for each of the twenty-two 26-year periods. We used the average of each year across the twenty-two 26-year periods to determine the average building and fixed equipment vintage weights for the FY 2010-based CIPI.
For movable equipment vintage weights, the real annual capital purchase amounts for movable equipment were used to capture the actual amount of the physical acquisition, net of price inflation. This real annual purchase amount for movable equipment was calculated by deflating the nominal annual purchase amounts by the movable equipment price proxy, the PPI for machinery and equipment. Based on our determination that movable equipment has an expected life of 12 years, the vintage weights for movable equipment represent the average expenditure for movable equipment over a 12-year period. With real movable equipment purchase estimates available back to 1963, thirty-six 12-year periods were averaged to determine the average vintage weights for movable equipment that are representative of average movable equipment purchase patterns over time. Vintage weights for each 12-year period are calculated by dividing the real movable capital purchase amount for any given year by the total amount of purchases in the 12-year period. This calculation was done for each year in the 12-year period and for each of the thirty-six 12-year periods. We used the average of each year across the thirty-six 12-year periods to determine the average movable equipment vintage weights for the FY 2010-based CIPI.
For interest vintage weights, the nominal annual capital purchase amounts for total equipment (building and fixed, and movable) were used to capture the value of the debt instrument. Because we have determined that hospital debt instruments have an expected life of 26 years, the vintage weights for interest are deemed to represent the average purchase pattern of total equipment over 26-year periods. With nominal total equipment purchase estimates available back to 1963, twenty-two 26-year periods were averaged to determine the average vintage weights for interest that are representative of average capital purchase patterns over time. Vintage weights for each 26-year period are calculated by dividing the nominal total capital purchase amount for any given year by the total amount of purchases in the 26-year period. This calculation is done for each year in the 26-year period and for each of the twenty-two 26-year periods. We used the average of each year across the twenty-two 26-year periods to determine the average interest vintage weights for the proposed FY 2010-based CIPI.
We did not receive any public comments on our proposed methodology for calculating the FY 2010-based CIPI vintage weights. In this final rule, we are finalizing the CIPI vintage weights as proposed. The vintage weights for the FY 2006-based CIPI and the FY 2010-based CIPI are presented in Table IV08.
| Year1 | Building and fixed equipment | Movable equipment | Interest | |||
|---|---|---|---|---|---|---|
| FY 2006 25 Years | FY 2010 26 Years | FY 2006 12 Years | FY 2010 12 Years | FY 2006 25 Years | FY 2010 26 Years | |
| Note: Detail may not add to total due to rounding. | ||||||
| 1Year 1 represents the vintage weight applied to the farthest year while the vintage weight for year 26, for example, would apply to the most recent year. | ||||||
| 1 | 0.021 | 0.023 | 0.063 | 0.064 | 0.010 | 0.012 |
| 2 | 0.023 | 0.024 | 0.067 | 0.068 | 0.012 | 0.013 |
| 3 | 0.025 | 0.026 | 0.071 | 0.071 | 0.014 | 0.015 |
| 4 | 0.027 | 0.028 | 0.075 | 0.073 | 0.016 | 0.017 |
| 5 | 0.029 | 0.029 | 0.079 | 0.076 | 0.018 | 0.018 |
| 6 | 0.031 | 0.031 | 0.082 | 0.078 | 0.020 | 0.021 |
| 7 | 0.032 | 0.032 | 0.085 | 0.084 | 0.023 | 0.023 |
| 8 | 0.033 | 0.034 | 0.086 | 0.088 | 0.025 | 0.025 |
| 9 | 0.036 | 0.036 | 0.090 | 0.092 | 0.028 | 0.028 |
| 10 | 0.038 | 0.038 | 0.093 | 0.098 | 0.031 | 0.030 |
| 11 | 0.040 | 0.040 | 0.102 | 0.103 | 0.034 | 0.033 |
| 12 | 0.042 | 0.041 | 0.106 | 0.106 | 0.038 | 0.036 |
| 13 | 0.044 | 0.042 | 0.041 | 0.038 | ||
| 14 | 0.045 | 0.042 | 0.044 | 0.040 | ||
| 15 | 0.046 | 0.043 | 0.047 | 0.043 | ||
| 16 | 0.047 | 0.044 | 0.050 | 0.045 | ||
| 17 | 0.048 | 0.044 | 0.053 | 0.047 | ||
| 18 | 0.050 | 0.044 | 0.057 | 0.048 | ||
| 19 | 0.050 | 0.044 | 0.059 | 0.051 | ||
| 20 | 0.050 | 0.044 | 0.060 | 0.052 | ||
| 21 | 0.048 | 0.045 | 0.060 | 0.056 | ||
| 22 | 0.048 | 0.045 | 0.062 | 0.057 | ||
| 23 | 0.047 | 0.045 | 0.063 | 0.060 | ||
| 24 | 0.049 | 0.046 | 0.068 | 0.062 | ||
| 25 | 0.048 | 0.045 | 0.069 | 0.064 | ||
| 26 | 0.045 | 0.066 | ||||
| Total | 1.000 | 1.000 | 1.000 | 1.000 | 1.000 | 1.000 |
After the capital cost category weights were computed, it was necessary to select appropriate price proxies to reflect the rate-of-increase for each expenditure category. As we proposed, in this final rule, we used the same price proxies for the FY 2010-based CIPI that were used in the FY 2006-based CIPI. The rationale for selecting the price proxies was explained more fully in the FY 1997 IPPS final rule (61 FR 46196) and the FY 2010 IPPS/RY 2010 LTCH PPS final rule (74 FR 43857). These price proxies are presented in Table IV07.
Table IV09 below compares both the historical and forecasted percent changes in the FY 2006-based CIPI and the FY 2010-based CIPI. As stated in the FY 2014 IPPS/LTCH proposed rule (78 FR 27572), we are incorporating a more recent forecast of the market baskets in the final rule. Therefore, the forecasted growth rates in Table IV09 are based on IHS Global Insight Inc.'s (IGI) most recent second quarter 2013 forecast with historical data through first quarter 2013. The proposed rule presented IGI's first quarter 2013 forecast with historical data through fourth quarter of 2012.
| Fiscal year | CIPI, FY 2006-Based | CIPI, FY 2010-Based |
|---|---|---|
| Source: IHS Global Insight, Inc., 2nd Quarter 2013 forecast. | ||
| FY 2008 | 1.5 | 1.1 |
| FY 2009 | 1.5 | 1.2 |
| FY 2010 | 1.0 | 0.7 |
| FY 2011 | 1.2 | 0.9 |
| FY 2012 | 1.2 | 1.0 |
| Forecast: | ||
| FY 2013 | 1.3 | 1.1 |
| FY 2014 | 1.4 | 1.2 |
| FY 2015 | 1.5 | 1.4 |
| FY 2016 | 1.7 | 1.6 |
| Average: | ||
| FYs 2008-2012 | 1.3 | 1.0 |
| FYs 2013-2016 | 1.5 | 1.3 |
IHS Global Insight, Inc. forecasts a 1.2 percent increase in the FY 2010-based CIPI for FY 2014, as shown in Table IV09. The underlying vintage-weighted price increases for depreciation (including building and fixed equipment and movable equipment) and interest (including government/nonprofit and for-profit) are included in Table IV10.
| Fiscal year | Total | Depreciation | Interest |
|---|---|---|---|
| Source: IHS Global Insight, Inc., 2nd Quarter 2013 forecast. | |||
| FY 2008 | 1.1 | 2.0 | −3.1 |
| FY 2009 | 1.2 | 2.0 | −2.0 |
| FY 2010 | 0.7 | 1.7 | −2.8 |
| FY 2011 | 0.9 | 1.7 | −2.3 |
| FY 2012 | 1.0 | 1.7 | −2.7 |
| Forecast: | |||
| FY 2013 | 1.1 | 1.8 | −2.7 |
| FY 2014 | 1.2 | 1.9 | −2.3 |
| FY 2015 | 1.4 | 2.0 | −1.8 |
| FY 2016 | 1.6 | 2.0 | −0.8 |
Rebasing the CIPI from FY 2006 to FY 2010 decreased the percent change in the forecasted update for FY 2014 by 0.2 percentage point, from 1.4 percent to 1.2 percent, as shown in Table IV09. The difference in the forecasted market basket update for FY 2014 is primarily due to the rebasing of the index to FY 2010 and revising the base year cost weights to incorporate the FY 2010 Medicare cost report data.
V. Other Decisions and Changes to the IPPS for Operating Costs and GME Costs Back to Top
A. Changes in the Inpatient Hospital Update for FY 2014 (§§ 412.64(d) and 412.211(c))
1. FY 2014 Inpatient Hospital Update
In accordance with section 1886(b)(3)(B)(i) of the Act, each year we update the national standardized amount for inpatient operating costs by a factor called the “applicable percentage increase.” Section 1886(b)(3)(B) of the Act, as amended by sections 3401(a) and 10319(a) of the Affordable Care Act, sets the applicable percentage increase under the IPPS for FY 2014 as equal to the rate-of-increase in the hospital market basket for IPPS hospitals in all areas, subject to a reduction of 2.0 percentage points if the hospital fails to submit quality information under rules established by the Secretary in accordance with section 1886(b)(3)(B)(viii) of the Act, and then subject to an adjustment based on changes in economy-wide productivity (the multifactor productivity (MFP) adjustment), and an additional reduction of 0.3 percentage point. Sections 1886(b)(3)(B)(xi) and (b)(3)(B)(xii) of the Act, as added by section 3401(a) of the Affordable Care Act, state that application of the MFP adjustment and the additional FY 2014 adjustment of 0.3 percentage point may result in the applicable percentage increase being less than zero.
We note, in compliance with section 404 of the MMA, in this final rule, as we proposed, we are replacing the FY 2006-based IPPS operating and capital market baskets with the revised and rebased FY 2010-based IPPS operating and capital market baskets for FY 2014. We also are rebasing the labor-related share to reflect the more recent base year. For FY 2014, we are adopting a labor-related share of 69.6 percent, which is based on the rebased and revised FY 2010-based IPPS market basket (as compared to the FY 2013 labor-related share of 68.8 percent, which is based on the FY 2006-based IPPS market basket). For a complete discussion on the rebasing of the market basket and labor-related share, we refer readers to section IV. of the preamble of this final rule.
Based on the most recent data available for the FY 2014 proposed rule, in accordance with section 1886(b)(3)(B) of the Act, we proposed to base the proposed FY 2014 market basket update used to determine the applicable percentage increase for the IPPS on the IHS Global Insight, Inc. (IGI's) first quarter 2013 forecast of the FY 2010-based IPPS market basket rate-of-increase with historical data through fourth quarter 2012, which was estimated to be 2.5 percent. We also proposed that if more recent data become subsequently available (for example, a more recent estimate of the market basket and the MFP adjustment), we would use such data, if appropriate, to determine the FY 2014 market basket update and the MFP adjustment in the final rule. We did not receive any public comments on our proposal. Therefore, for this final rule, we based the final FY 2014 market basket update used to determine the applicable percentage increase for the IPPS on more recently available data, the IGI's second quarter 2013 forecast of the FY 2010-based IPPS market basket rate-of-increase, which is estimated to be 2.5 percent.
In the FY 2012 IPPS/LTCH PPS final rule (76 FR 51689 through 51692), we finalized our methodology for calculating and applying the MFP adjustment. We also stated in the FY 2014 IPPS/LTCH PPS proposed rule that, for FY 2014, we were not proposing to make any change in our methodology for calculating and applying the MFP adjustment. In the proposed rule, we proposed a MFP adjustment of 0.4 percent. Similar to the market basket adjustment, for this final rule, we are using the most recent data available to compute the MFP adjustment. We did not receive any public comments on our proposal. Therefore, for this final rule, using the most recent data available, we computed a MFP adjustment of 0.5 percent for FY 2014.
In the FY 2014 IPPS/LTCH PPS proposed rule (78 FR 27572-27573), consistent with current law, and based on IGI's first quarter 2013 forecast of the FY 2014 market basket increase, we proposed an applicable percentage increase to the FY 2014 operating standardized amount of 1.8 percent (that is, the FY 2014 estimate of the market basket rate-of-increase of 2.5 percent less an adjustment of 0.4 percentage point for economy-wide productivity (that is, the MFP adjustment) and less 0.3 percentage point) for hospitals in all areas, provided the hospital submits quality data under rules established in accordance with section 1886(b)(3)(B)(viii) of the Act. For hospitals that do not submit these quality data, we proposed an applicable percentage increase to the operating standardized amount of −0.2 percent (that is, the FY 2014 estimate of the market basket rate-of-increase of 2.5 percent, less 2.0 percentage points for failure to submit quality data, less an adjustment of 0.4 percentage point for the MFP adjustment, and less an additional adjustment of 0.3 percentage point). Lastly, as noted above, in the proposed rule, we stated that if more recent data become subsequently available (for example, a more recent estimate of the market basket and the MFP adjustment), we would use such data, if appropriate, to determine the FY 2014 market basket update and MFP adjustment in the final rule. We did not receive any public comments on our proposal.
For this final rule, using the most recent data available, consistent with current law, and based on IGI's second quarter 2013 forecast of the FY 2014 market basket increase, we are finalizing an applicable percentage increase to the FY 2014 operating standardized amount of 1.7 percent (that is, the FY 2014 estimate of the market basket rate-of-increase of 2.5 percent less an adjustment of 0.5 percentage point for economy-wide productivity (that is, the MFP adjustment) and less 0.3 percentage point) for hospitals in all areas, provided the hospital submits quality data under rules established in accordance with section 1886(b)(3)(B)(viii) of the Act. For hospitals that do not submit these quality data, we are finalizing an applicable percentage increase to the operating standardized amount of -0.3 percent (that is, the FY 2014 estimate of the market basket rate-of-increase of 2.5 percent, less 2.0 percentage points for failure to submit quality data, less an adjustment of 0.5 percentage point for the MFP adjustment, and less an additional adjustment of 0.3 percentage point).
In the proposed rule, we proposed to revise the existing regulations at 42 CFR 412.64(d) to reflect the current law for the FY 2014 update. Specifically, in accordance with section 1886(b)(3)(B) of the Act, we proposed to add a new paragraph (v) to § 412.64(d)(1) to reflect the applicable percentage increase to the FY 2014 operating standardized amount as the percentage increase in the market basket index less an MFP adjustment and less an additional reduction of 0.3 percentage point. We did not receive any public comments on this proposal. Therefore, in this final rule, we are adopting as final, without modification, the proposed changes to § 412.64(d)(1)(v) to reflect the current law.
Section 1886(b)(3)(B)(iv) of the Act provides that the applicable percentage increase to the hospital-specific rates for SCHs equals the applicable percentage increase set forth in section 1886(b)(3)(B)(i) of the Act (that is, the same update factor as for all other hospitals subject to the IPPS). Therefore, the update to the hospital-specific rates for SCHs is also subject to section 1886(b)(3)(B)(i) of the Act, as amended by sections 3401(a) and 10319(a) of the Affordable Care Act. Accordingly, in the FY 2014 IPPS/LTCH PPS proposed rule (78 FR 27572-27573), we proposed an update to the hospital-specific rates applicable to SCHs of 1.8 percent for hospitals that submit quality data or −0.2 percent for hospitals that fail to submit quality data. For FY 2014, the existing regulations in §§ 412.73(c)(16), 412.75(d), 412.77(e) and 412.78(e) contain provisions that set the update factor for SCHs equal to the update factor applied to the national standardized amount for all IPPS hospitals. Therefore, we did not propose to make any further changes to these four regulatory provisions to reflect the FY 2014 update factor for the hospital-specific rates of SCHs. We did not receive any public comments on this proposal. Therefore, for this final rule, we are finalizing an update to the hospital-specific rates applicable to SCHs of 1.7 percent for hospitals that submit quality data or −0.3 percent for hospitals that fail to submit quality data. As we noted above, for the proposed rule, we used the first quarter 2013 forecast of the FY 2010-based IPPS market basket with historical data through fourth quarter 2012. For this final rule, we used the most recent data available, which was the second quarter 2013 forecast of the FY 2010-based IPPS market basket with historical data through first quarter 2013. Similarly, for the proposed rule, we used IGI's first quarter 2013 forecast of MFP. For this final rule, we used the most recent data available, which was IGI's second quarter 2013 forecast of MFP.
We note that, as discussed in section V.F. of this preamble, section 606 of the American Taxpayer Relief Act of 2012 extended the MDH program from the end of FY 2012 (that is, for discharges occurring before October 1, 2012) to the end of FY 2013 (that is, for discharges occurring before October 1, 2013). Under prior law, the MDH program was to be in effect through the end of FY 2012 only. Absent congressional action further extending the MDH program, the MDH program will expire for discharges beginning in FY 2014. Accordingly, we are not including MDHs in our update of the hospital-specific rates for FY 2014.
2. FY 2014 Puerto Rico Hospital Update
Puerto Rico hospitals are paid a blended rate for their inpatient operating costs based on 75 percent of the national standardized amount and 25 percent of the Puerto Rico-specific standardized amount. Section 1886(d)(9)(C)(i) of the Act is the basis for determining the applicable percentage increase applied to the Puerto Rico-specific standardized amount. Section 401(c) of Public Law 108-173 amended section 1886(d)(9)(C)(i) of the Act, which states that, for discharges occurring in a fiscal year (beginning with FY 2004), the Secretary shall compute an average standardized amount for hospitals located in any area of Puerto Rico that is equal to the average standardized amount computed under subclause (I) for fiscal year 2003 for hospitals in a large urban area (or, beginning with FY 2005, for all hospitals in the previous fiscal year) increased by the applicable percentage increase under subsection (b)(3)(B) for the fiscal year involved. Therefore, the update to the Puerto Rico-specific operating standardized amount equals the applicable percentage increase set forth in section 1886(b)(3)(B)(i) of the Act, as amended by sections 3401(a) and 10319(a) of the Affordable Care Act (that is, the same update factor as for all other hospitals subject to the IPPS). Accordingly, in the FY 2014 IPS/LTCH PPS proposed rule (78 FR 27572 through 27573), we proposed an applicable percentage increase to the Puerto Rico-specific operating standardized amount of 1.8 percent for FY 2014. The regulations at § 412.211(c) currently set the update factor for the Puerto Rico-specific operating standardized amount equal to the update factor applied to the national standardized amount for all IPPS hospitals. Therefore, it is not necessary to make any changes to the existing regulatory text.
We did not receive any public comments on this proposal. Therefore, for this final rule, we are finalizing an applicable percentage increase to the Puerto Rico-specific operating standardized amount of 1.7 percent for FY 2014. As we noted above, for the proposed rule, we used the first quarter 2013 forecast of the FY 2010-based IPPS market basket with historical data through fourth quarter 2012. For this final rule, we used the most recent data available, which was the second quarter 2013 forecast of the FY 2010-based IPPS market basket with historical data through first quarter 2013. Similarly, for the proposed rule, we used IGI's first quarter 2013 forecast of MFP. For this final rule, we used the most recent data available, which was IGI's second quarter 2013 forecast of MFP.
B. Rural Referral Centers (RRCs): Annual Updates to Case-Mix Index and Discharge Criteria (§ 412.96)
Under the authority of section 1886(d)(5)(C)(i) of the Act, the regulations at § 412.96 set forth the criteria that a hospital must meet in order to qualify under the IPPS as a rural referral center (RRC). RRCs receive some special treatment under both the DSH payment adjustment and the criteria for geographic reclassification.
Section 402 of Public Law 108-173 raised the DSH payment adjustment for RRCs such that they are not subject to the 12-percent cap on DSH payments that is applicable to other rural hospitals. RRCs are also not subject to the proximity criteria when applying for geographic reclassification. In addition, they do not have to meet the requirement that a hospital's average hourly wage must exceed, by a certain percentage, the average hourly wage of the labor market area where the hospital is located.
Section 4202(b) of Public Law 105-33 states, in part, “[a]ny hospital classified as an RRC by the Secretary . . . for fiscal year 1991 shall be classified as such an RRC for fiscal year 1998 and each subsequent year.” In the August 29, 1997 IPPS final rule with comment period (62 FR 45999), CMS reinstated RRC status for all hospitals that lost the status due to triennial review or MGCRB reclassification. However, CMS did not reinstate the status of hospitals that lost RRC status because they were now urban for all purposes because of the OMB designation of their geographic area as urban. Subsequently, in the August 1, 2000 IPPS final rule (65 FR 47089), we indicated that we were revisiting that decision. Specifically, we stated that we would permit hospitals that previously qualified as an RRC and lost their status due to OMB redesignation of the county in which they are located from rural to urban, to be reinstated as an RRC. Otherwise, a hospital seeking RRC status must satisfy all of the other applicable criteria. We use the definitions of “urban” and “rural” specified in Subpart D of 42 CFR Part 412. One of the criteria under which a hospital may qualify as an RRC is to have 275 or more beds available for use (§ 412.96(b)(1)(ii)). A rural hospital that does not meet the bed size requirement can qualify as an RRC if the hospital meets two mandatory prerequisites (a minimum CMI and a minimum number of discharges), and at least one of three optional criteria (relating to specialty composition of medical staff, source of inpatients, or referral volume). (We refer readers to § 412.96(c)(1) through (c)(5) and the September 30, 1988 Federal Register (53 FR 38513).) With respect to the two mandatory prerequisites, a hospital may be classified as an RRC if—
- The hospital's CMI is at least equal to the lower of the median CMI for urban hospitals in its census region, excluding hospitals with approved teaching programs, or the median CMI for all urban hospitals nationally; and
- The hospital's number of discharges is at least 5,000 per year, or, if fewer, the median number of discharges for urban hospitals in the census region in which the hospital is located. (The number of discharges criterion for an osteopathic hospital is at least 3,000 discharges per year, as specified in section 1886(d)(5)(C)(i) of the Act.)
1. Case-Mix Index (CMI)
Section 412.96(c)(1) provides that CMS establish updated national and regional CMI values in each year's annual notice of prospective payment rates for purposes of determining RRC status. The methodology we used to determine the national and regional CMI values is set forth in the regulations at § 412.96(c)(1)(ii). The national median CMI value for FY 2014 includes data from all urban hospitals nationwide, and the regional values for FY 2014 are the median CMI values of urban hospitals within each census region, excluding those hospitals with approved teaching programs (that is, those hospitals that train residents in an approved GME program as provided in § 413.75). These values are based on discharges occurring during FY 2012 (October 1, 2011 through September 30, 2012), and include bills posted to CMS' records through March 2013.
In the FY 2014 IPPS/LTCH PPS proposed rule (78 FR 27573), we proposed that, in addition to meeting other criteria, if rural hospitals with fewer than 275 beds are to qualify for initial RRC status for cost reporting periods beginning on or after October 1, 2013, they must have a CMI value for FY 2012 that is at least—
- 1.5526; or
- The median CMI value (not transfer-adjusted) for urban hospitals (excluding hospitals with approved teaching programs as identified in § 413.75) calculated by CMS for the census region in which the hospital is located. (We refer readers to the table set forth in the FY 2014 IPPS/LTCH PPS proposed rule at 78 FR 27574.)
The final CMI values for FY 2014 are based on the latest available data (FY 2012 bills received through March 2013). In addition to meeting other criteria, if rural hospitals with fewer than 275 beds are to qualify for initial RRC status for cost reporting periods beginning on or after October 1, 2013, they must have a CMI value for FY 2012 that is at least—
- 1.5560; or
- The median CMI value (not transfer-adjusted) for urban hospitals (excluding hospitals with approved teaching programs as identified in § 413.75) calculated by CMS for the census region in which the hospital is located.
The final median CMI values by region are set forth in the following table:
| Region | Case-mix index value |
|---|---|
| 1. New England (CT, ME, MA, NH, RI, VT) | 1.3319 |
| 2. Middle Atlantic (PA, NJ, NY) | 1.4015 |
| 3. South Atlantic (DE, DC, FL, GA, MD, NC, SC, VA, WV) | 1.4808 |
| 4. East North Central (IL, IN, MI, OH, WI) | 1.4618 |
| 5. East South Central (AL, KY, MS, TN) | 1.4281 |
| 6. West North Central (IA, KS, MN, MO, NE, ND, SD) | 1.5355 |
| 7. West South Central (AR, LA, OK, TX) | 1.5814 |
| 8. Mountain (AZ, CO, ID, MT, NV, NM, UT, WY) | 1.6438 |
| 9. Pacific (AK, CA, HI, OR, WA) | 1.5605 |
A hospital seeking to qualify as an RRC should obtain its hospital-specific CMI value (not transfer-adjusted) from its fiscal intermediary or MAC. Data are available on the Provider Statistical and Reimbursement (PS&R) System. In keeping with our policy on discharges, the CMI values are computed based on all Medicare patient discharges subject to the IPPS MS-DRG-based payment.
2. Discharges
Section 412.96(c)(2)(i) provides that CMS set forth the national and regional numbers of discharges in each year's annual notice of prospective payment rates for purposes of determining RRC status. As specified in section 1886(d)(5)(C)(ii) of the Act, the national standard is set at 5,000 discharges. We would normally propose to update the regional standards based on discharges for urban hospitals' cost reporting periods that began during FY 2011 (that is, October 1, 2010 through September 30, 2011), which would normally be the latest cost report data available at the time of the development of the proposed rule. However, in the FY 2014 IPPS/LTCH PPS proposed rule (78 FR 27574), due to a transition in our data system, in lieu of a full year of FY 2011 cost report data, we proposed to use a combination of FY 2010 and FY 2011 cost report data in order to create a full fiscal year of cost report data for this analysis. Due to CMS' transition to a new cost reporting form effective for cost reporting periods beginning on or after May 1, 2010, some FY 2011 cost reports were not yet in our system for analysis at the time of the development of the proposed rule. Therefore, in order to have a complete fiscal year of cost report data, we utilized FY 2011 cost report data if available, and for those providers whose FY 2011 cost report data were not yet in our system, we utilized their FY 2010 cost report data. This is similar to the process we used to establish the median number of discharges for urban hospitals in the census region for FY 2013, where we utilized FY 2009 and 2010 cost report data (77 FR 53406).
At the time of the development of this final rule, a full year of FY 2011 cost report data became available in our system for analysis. Therefore, the final FY 2014 discharges criteria is based on only FY 2011 cost reports, that is, data from cost reporting periods that began in FY 2011.
In the FY 2014 PPS/LTCH PPS proposed rule, we proposed that, in addition to meeting other criteria, a hospital, if it is to qualify for initial RRC status for cost reporting periods beginning on or after October 1, 2013, must have, as the number of discharges for its cost reporting period that began during FY 2011 (based on a combination of FY 2010 and FY 2011 cost report data as explained in the preceding paragraph), at least—
- 5,000 (3,000 for an osteopathic hospital); or
- The median number of discharges for urban hospitals in the census region in which the hospital is located. (We refer readers to the table set forth in the FY 2014 IPPS/LTCH PPS proposed rule at 78 FR 27574.)
Based on the latest discharge data available at this time (that is, based on FY 2011 cost report data as explained earlier in this section), the final median number of discharges for urban hospitals by census region are set forth in the following table:
| Region | Number of discharges |
|---|---|
| 1. New England (CT, ME, MA, NH, RI, VT) | 7,830 |
| 2. Middle Atlantic (PA, NJ, NY) | 10,968 |
| 3. South Atlantic (DE, DC, FL, GA, MD, NC, SC, VA, WV) | 11,535 |
| 4. East North Central (IL, IN, MI, OH, WI) | 8,507 |
| 5. East South Central (AL, KY, MS, TN) | 7,397 |
| 6. West North Central (IA, KS, MN, MO, NE, ND, SD) | 7,792 |
| 7. West South Central (AR, LA, OK, TX) | 5,374 |
| 8. Mountain (AZ, CO, ID, MT, NV, NM, UT, WY) | 9,024 |
| 9. Pacific (AK, CA, HI, OR, WA) | 8.857 |
We note that the median number of discharges for hospitals in each census region is greater than the national standard of 5,000 discharges. Therefore, 5,000 discharges is the minimum criterion for all hospitals under this final rule.
We reiterate that, if an osteopathic hospital is to qualify for RRC status for cost reporting periods beginning on or after October 1, 2013, the hospital would be required to have at least 3,000 discharges for its cost reporting period that began during FY 2011 (based on FY 2011 cost report data as explained earlier in this section).
C. Payment Adjustment for Low-Volume Hospitals (§ 412.101)
1. Background
Section 1886(d)(12) of the Act provides for an additional payment to each qualifying low-volume hospital under the IPPS beginning in FY 2005. Section 1886(d)(12) of the Act sets forth the qualifying criteria for a qualifying low-volume hospital and the methodology for determining the low-volume hospital payment adjustment.
Sections 3125 and 10314 of the Affordable Care Act provided for a temporary change in the low-volume hospital payment policy for FYs 2011 and 2012 by expanding the definition of a low-volume hospital and modifying the methodology for determining the payment adjustment for hospitals meeting the definition. Therefore, prior to the enactment of the American Taxpayer Relief Act of 2012 (ATRA) (Pub. L. 112-240) on January 2, 2013, beginning with FY 2013, the low-volume hospital qualifying criteria and payment adjustment requirements would have reverted to the statutory requirements under section 1886(d)(12) of the Act that were in effect prior to FY 2011. Section 605 of the ATRA extended for an additional year, through FY 2013, the temporary changes in the low-volume hospital definition and methodology for determining the payment adjustment made by the Affordable Care Act for FYs 2011 and 2012. Beginning with FY 2014, the low-volume hospital qualifying criteria and payment adjustment will revert to the statutory requirements that were in effect prior to the amendments made by the Affordable Care Act and the ATRA. In section V.D.3. of this preamble, we discuss the low-volume hospital payment adjustment policies for FY 2014.
a. Original Implementation of the Low-Volume Hospital Payment Adjustment
Section 1886(d)(12) of the Act, as added by section 406(a) of Public Law 108-173, provides for a payment adjustment to account for the higher costs per discharge for low-volume hospitals under the IPPS, effective beginning FY 2005. The additional payment adjustment to a low-volume hospital provided for under section 1886(d)(12) of the Act is “[i]n addition to any payment calculated under this section.” Therefore, the additional payment adjustment is based on the per discharge amount paid to the qualifying hospital under section 1886 of the Act. In other words, the low-volume hospital payment adjustment is based on total per discharge payments made under section 1886 of the Act, including capital, DSH, IME, and outlier payments. For SCHs and MDHs, the low-volume hospital payment adjustment is based in part on either the Federal rate or the hospital-specific rate, whichever results in a greater operating IPPS payment.
Section 1886(d)(12)(C)(i) of the Act defined a low-volume hospital as “a subsection (d) hospital (as defined in paragraph (1)(B)) that the Secretary determines is located more than 25 road miles from another subsection (d) hospital and has less than 800 discharges during the fiscal year.” Section 1886(d)(12)(C)(ii) of the Act further stipulates that the term “discharge” means “an inpatient acute care discharge of an individual regardless of whether the individual is entitled to benefits under Part A.” Therefore, the term “discharge” refers to total discharges, regardless of payer (that is, not only Medicare discharges). Furthermore, under section 406(a) of Public Law 108-173, which initially added subparagraph (12) to section 1886(d) of the Act, the provision requires the Secretary to determine an applicable percentage increase for these low-volume hospitals based on the “empirical relationship” between “the standardized cost-per-case for such hospitals and the total number of discharges of such hospitals and the amount of the additional incremental costs (if any) that are associated with such number of discharges.” The statute thus mandates that the Secretary develop an empirically justifiable adjustment based on the relationship between costs and discharges for these low-volume hospitals. Section 1886(d)(12)(B)(iii) of the Act limits the applicable percentage increase adjustment to no more than 25 percent.
Based on an analysis we conducted for the FY 2005 IPPS final rule (69 FR 49099 through 49102), a 25-percent low-volume hospital payment adjustment to all qualifying hospitals with less than 200 discharges was found to be most consistent with the statutory requirement to provide relief to low-volume hospitals where there is empirical evidence that higher incremental costs are associated with low numbers of total discharges. In the FY 2006 IPPS final rule (70 FR 47432 through 47434), we stated that multivariate analyses supported the existing low-volume hospital payment adjustment implemented in FY 2005. Therefore, the low-volume hospital payment adjustment of an additional 25 percent continued to be provided for qualifying hospitals with less than 200 discharges.
b. Affordable Care Act Provisions for FYs 2011 and 2012
For FYs 2011 and 2012, sections 3125 and 10314 of the Affordable Care Act expanded the definition of low-volume hospital and modified the methodology for determining the payment adjustment for hospitals meeting that definition. Specifically, those provisions of the Affordable Care Act amended the qualifying criteria for low-volume hospitals under section 1886(d)(12)(C)(i) of the Act to specify that, for FYs 2011 and 2012, a subsection (d) hospital qualifies as a low-volume hospital if it is more than 15 road miles from another subsection (d) hospital and has less than 1,600 discharges of individuals entitled to, or enrolled for, benefits under Part A during the fiscal year. In addition, section 1886(d)(12)(D) of the Act, as added by the Affordable Care Act, provides that the low-volume hospital payment adjustment (that is, the percentage increase) is to be determined “using a continuous linear sliding scale ranging from 25 percent for low-volume hospitals with 200 or fewer discharges of individuals entitled to, or enrolled for, benefits under Part A in the fiscal year to zero percent for low-volume hospitals with greater than 1,600 discharges of such individuals in the fiscal year.”
In the FY 2011 IPPS/LTCH PPS final rule (75 FR 50238 through 50275 and 50414), we revised the regulations at 42 CFR 412.101 to reflect the changes to the qualifying criteria and the payment adjustment for low-volume hospitals made by sections 3125 and 10314 of the Affordable Care Act. In addition, we defined, at § 412.101(a), the term “road miles”' to mean “miles” as defined at § 412.92(c)(1), and clarified the existing regulations to indicate that a hospital must continue to qualify as a low-volume hospital in order to receive the payment adjustment in that year (that is, it is not based on a one-time qualification). Furthermore, in that same final rule, we discussed the process for requesting and obtaining the low-volume hospital payment adjustment for FY 2011 (75 FR 50240). For the second year of the changes to the low-volume hospital payment adjustment provided for by section 3125 and 10314 of the Affordable Care Act (that is, FY 2012), consistent with the regulations at § 412.101(b)(2)(ii), in the FY 2012 IPPS/LTCH PPS final rule (76 FR 51677 through 51680), we updated the discharge data source used to identify qualifying low-volume hospitals and calculate the payment adjustment (percentage increase). Under § 412.101(b)(2)(ii), for FYs 2011 and 2012, a hospital's Medicare discharges from the most recently available MedPAR data, as determined by CMS, are used to determine if the hospital meets the discharge criteria to receive the low-volume hospital payment adjustment in the current year. In that same final rule, we established that, for FY 2012, qualifying low-volume hospitals and their payment adjustment are determined using Medicare discharge data from the March 2011 update of the FY 2010 MedPAR file, as these data were the most recent data available at that time. In addition, we noted that eligibility for the low-volume hospital payment adjustment for FY 2012 was also dependent upon meeting (if the hospital was qualifying for the low-volume hospital payment adjustment for the first time in FY 2012), or continuing to meet (if the hospital qualified in FY 2011), the mileage criterion specified at § 412.101(b)(2)(ii). Furthermore, we established a procedure for a hospital to request low-volume hospital status for FY 2012 (which was consistent with the process we employed for the low-volume hospital payment adjustment for FY 2011).
2. Provisions of the ATRA for FY 2013
a. Background
Section 605 of the ATRA amended sections 1886(d)(12)(B), (C)(i), and (D) of the Act to extend, for FY 2013, the temporary changes in the low-volume hospital payment adjustment policy provided for in FYs 2011 and 2012 by the Affordable Care Act. As we have noted previously, prior to the enactment of section 605 of the ATRA, beginning with FY 2013, the low-volume hospital definition and payment adjustment methodology would have reverted to the policy established under statutory requirements that were in effect prior to the amendments made by the Affordable Care Act.
Prior to the enactment of the ATRA, in the FY 2013 IPPS/LTCH PPS final rule (77 FR 53406 through 53409), we discussed the low-volume hospital payment adjustment for FY 2013 and subsequent fiscal years. Specifically, we discussed that, in accordance with section 1886(d)(12) of the Act, beginning with FY 2013, the low-volume hospital definition and payment adjustment methodology would revert back to the statutory requirements that were in effect prior to the amendments made by the Affordable Care Act. Therefore, we explained, as specified under the existing regulations at § 412.101, effective for FY 2013 and subsequent years, that in order to qualify as a low-volume hospital, a subsection (d) hospital must be more than 25 road miles from another subsection (d) hospital and have less than 200 discharges (that is, less than 200 total discharges, including both Medicare and non-Medicare discharges) during the fiscal year. We also established a procedure for hospitals to request low-volume hospital status for FY 2013 (which was consistent with our previously established procedures for FYs 2011 and 2012).
In a Federal Register notice published on March 7, 2013 (78 FR 14689) (hereinafter referred to as the FY 2013 IPPS notice), we announced the extension of the Affordable Care Act amendments to the low-volume hospital payment adjustment requirements under section 1886(d)(12) of the Act for FY 2013 pursuant to section 605 of the ATRA. The applicable low-volume hospital percentage increase provided for by the provisions of the Affordable Care Act and the ATRA is determined using a continuous linear sliding scale equation that results in a low-volume hospital payment adjustment ranging from an additional 25 percent for hospitals with 200 or fewer Medicare discharges to a zero percent additional payment adjustment for hospitals with 1,600 or more Medicare discharges.
In the FY 2013 IPPS notice (78 FR 14689 through 14694), to implement the extension of the temporary change in the low-volume hospital payment adjustment policy for FY 2013 provided for by the ATRA, we updated the discharge data source used to identify qualifying low-volume hospitals and calculate the payment adjustment (percentage increase). Consistent with our implementation of the low-volume hospital payment adjustment policy for FYs 2011 and 2012 as set forth at existing § 412.101(b)(2)(ii), we established that, for FY 2013, qualifying low-volume hospitals and their payment adjustments are determined using Medicare discharge data from the March 2012 update of the FY 2011 MedPAR file, as these data were the most recent data available at the time of the development of the FY 2013 payment rates and factors established in the FY 2013 IPPS/LTCH PPS final rule. In addition, we noted that eligibility for the low-volume hospital payment adjustment for FY 2013 is also dependent upon meeting (in the case of a hospital that did not qualify for the low-volume hospital payment adjustment in FY 2012), or continuing to meet (in the case of a hospital that did qualify for the low-volume hospital payment adjustment in FY 2012), the mileage criterion specified at existing § 412.101(b)(2)(ii). We also established a procedure for a hospital to request low-volume hospital status for FY 2013 (which is consistent with the process for the low-volume hospital payment adjustment for FYs 2011 and 2012). Furthermore, we noted our intent to make conforming changes to the regulations text at § 412.101 to reflect the changes to the qualifying criteria and the payment adjustment for low-volume hospitals in accordance with the amendments made by section 605 of the ATRA in future rulemaking. (We refer readers to the FY 2013 IPPS notice (78 FR 14689 through 14694) for additional information on the extension of the Affordable Care Act amendments to the low-volume hospital payment adjustment requirements under section 1886(d)(12) of the Act through FY 2013 in accordance with section 605 of the ATRA.)
b. Conforming Regulatory Changes
In the FY 2011 IPPS/LTCH PPS final rule (75 FR 50238 through 50275 and 50414), we amended the regulations at § 412.101 to specify that, beginning with FY 2013, the low-volume hospital definition and payment adjustment methodology reverted to the policy established under statutory requirements that were in effect prior to the amendments made by the Affordable Care Act. In the FY 2014 IPPS/LTCH PPS proposed rule (78 FR 27576), we proposed to make conforming changes to the existing regulations text at § 412.101 to reflect the extension of the changes to the qualifying criteria and the payment adjustment methodology for low-volume hospitals through FY 2013 in accordance with section 605 of the ATRA, as announced in the FY 2013 IPPS notice (as discussed above). Specifically, we proposed to revise paragraphs (b)(2)(i), (b)(2)(ii), (c)(1), (c)(2), and (d). Under these proposed changes to § 412.101, beginning with FY 2014, consistent with section 1886(d)(12) of the Act, as amended, the low-volume hospital qualifying criteria and payment adjustment methodology would revert to that which was in effect prior to the amendments made by the Affordable Care Act and the ATRA (that is, the low-volume hospital payment adjustment policy in effect for FYs 2005 through 2010).
We did not receive any public comments on the proposed conforming changes to the existing regulations text at § 412.101 to reflect the extension of the changes to the qualifying criteria and the payment adjustment methodology for low-volume hospitals through FY 2013 in accordance with section 605 of the ATRA. Therefore, in this final rule, we are adopting as final the proposed revisions to paragraphs (b)(2)(i), (b)(2)(ii), (c)(1), (c)(2), and (d) of § 412.101 without modification.
3. Low-Volume Hospital Definition and Payment Adjustment for FY 2014 and Subsequent Fiscal Years
In accordance with section 1886(d)(12) of the Act, as amended, beginning with FY 2014, the low-volume hospital definition and payment adjustment methodology will revert back to the statutory requirements that were in effect prior to the amendments made by the Affordable Care Act and the ATRA. Therefore, as discussed in the FY 2014 IPPS/LTCH PPS proposed rule (78 FR 27576 through 27577), consistent with section 1886(d)(12) of the Act, as amended, under the proposed conforming changes to § 412.101(b)(2), effective for FY 2014 and subsequent years, in order to qualify as a low-volume hospital, a subsection (d) hospital must be more than 25 road miles from another subsection (d) hospital and have less than 200 discharges (that is, less than 200 discharges total, including both Medicare and non-Medicare discharges) during the fiscal year. Under our existing policy, effective for FY 2014 and subsequent years, qualifying hospitals would receive the low-volume hospital payment adjustment of an additional 25 percent for discharges occurring during the fiscal year.
Comment: A few commenters expressed concern about the financial impact of the expiration of the temporary expansion of the low-volume hospital payment adjustment provided for by the provisions of Affordable Care Act and the ATRA, which were similar to the comments we received on the FY 2013 IPPS/LTCH PPS proposed rule, prior to the 1-year expansion of the low-volume hospital payment adjustment for FY 2013 provided for by the ATRA. Some commenters supported legislative action that would continue the temporary expansion of the low-volume hospital payment adjustment. Other commenters requested that CMS use the existing statutory authority to make the low-volume adjustment to qualifying hospitals that have less than 800 total discharges rather than only to qualifying hospitals that have less than 200 total discharges. The commenters did not provide any data analysis in support of their comments to expand the low-volume hospital adjustment to qualifying hospitals that have less than 800 total discharges.
Response: As noted previously in section V.I.C.a. of the preamble of this final rule and as discussed in response to public comments in the FY 2013 IPPS/LTCH PPS final rule (77 FR 53408 through 53409), to implement the original low-volume hospital payment adjustment provision, and as mandated by statute, we developed an empirically justified adjustment based on the relationship between costs and total discharges of hospitals with less than 800 total (Medicare and non-Medicare) discharges. Specifically, we performed several regression analyses to evaluate the relationship between hospitals' costs per case and discharges, and found that an adjustment for hospitals with less than 200 total discharges is most consistent with the statutory requirement to provide for additional payments to low-volume hospitals where there is empirical evidence that higher incremental costs are associated with lower numbers of discharges (69 FR 49101 through 49102). Based on these analyses, we established a low-volume hospital policy where qualifying hospitals with less than 200 total discharges receive a payment adjustment of an additional 25 percent. (Section 1886(d)(12)(B)(iii) of the Act limits the applicable percentage increase adjustment to no more than 25 percent.) In the future, we may reevaluate the low-volume hospital adjustment policy; that is, the definition of a low-volume hospital and the payment adjustment. However, because we are not aware of any analysis or empirical evidence that would support expanding the originally established a low-volume hospital adjustment policy and we did not make any proposals regarding the low-volume hospital payment adjustment for FY 2014, we are not making any changes to the low-volume hospital payment adjustment policy in this final rule. Thus, the low-volume hospital definition and payment adjustment methodology will revert back to the policy established under statutory requirements that were in effect prior to the amendments made by the Affordable Care Act and the ATRA.
As described above, for FYs 2005 through 2010 and FY 2014 and subsequent fiscal years, the discharge determination will be made based on the hospital's number of total discharges, that is, Medicare and non-Medicare discharges. The hospital's most recently submitted cost report is used to determine if the hospital meets the discharge criterion to receive the low-volume hospital payment adjustment in the current year (§ 412.101(b)(2)(i)). We use cost report data to determine if a hospital meets the discharge criterion because this is the best available data source that includes information on both Medicare and non-Medicare discharges. As we noted in the proposed rule, for FYs 2011, 2012, and 2013, we used the most recently available MedPAR data to determine the hospital's Medicare discharges because only Medicare discharges were used to determine if a hospital met the discharge criterion for those years. In addition to a discharge criterion, the eligibility for the low-volume hospital payment adjustment also will be dependent upon the hospital meeting the mileage criterion specified at § 412.101(b)(2)(i). Specifically, to meet the mileage criterion to qualify for the low-volume hospital payment adjustment for FY 2014 and subsequent fiscal years, a hospital must be located more than 25 road miles from the nearest subsection (d) hospital.
For FY 2014, as we stated in the proposed rule, we will continue to use the established process for requesting and obtaining the low-volume hospital payment adjustment. That is, in order to receive a low-volume hospital payment adjustment under § 412.101, a hospital must notify and provide documentation to its fiscal intermediary or MAC that it meets the discharge and distance requirements. The fiscal intermediary or MAC will determine, based on the most recent data available, if the hospital qualifies as a low-volume hospital, so that the hospital will know in advance whether or not it will receive a payment adjustment. The fiscal intermediary or MAC and CMS may review available data, in addition to the data the hospital submits with its request for low-volume hospital status, in order to determine whether or not the hospital meets the qualifying criteria. (For additional details on our established process for the low-volume hospital payment adjustment, we refer readers to the FY 2013 IPPS/LTCH PPS final rule (77 FR 53408).)
Consistent with our previously established procedure, for FY 2014, a hospital must make its request for low-volume hospital status in writing to its fiscal intermediary or MAC by September 1, 2013, in order for the 25-percent low-volume hospital payment adjustment to be applied to payments for its discharges beginning on or after October 1, 2013 (through September 30, 2014). If a hospital's request for low-volume hospital status for FY 2014 is received after September 1, 2013, and if the fiscal intermediary or MAC determines the hospital meets the criteria to qualify as a low-volume hospital, the fiscal intermediary or MAC will apply the 25-percent low-volume hospital payment adjustment to determine the payment for the hospital's FY 2014 discharges, effective prospectively within 30 days of the date of the fiscal intermediary's or MAC's low-volume hospital status determination.
As we discussed previously in section V.C.2.b. of the preamble of this final rule, we are adopting as final our proposed conforming changes to the regulatory text at § 412.101 to reflect the extension of the changes to the qualifying criteria and the payment adjustment methodology for low-volume hospitals through FY 2013 made by section 605 of the ATRA (78 FR 27576). Specifically, we are revising § 412.101 to conform the regulations to the statutory requirements that, beginning with FY 2014, the low-volume hospital qualifying criteria and payment adjustment methodology revert to that which was in effect prior to the amendments made by the Affordable Care Act and the ATRA (that is, the low-volume hospital payment adjustment policy in effect for FYs 2005 through 2010). Under this revision, the low-volume hospital payment adjustment policy in effect prior for FYs 2005 through 2010 will apply for FY 2014 and subsequent years. Thus, as noted above, the low-volume hospital definition and payment adjustment methodology will revert back to the policy established under statutory requirements that were in effect prior to the amendments made by the Affordable Care Act and the ATRA.
D. Indirect Medical Education (IME) Payment Adjustment (§ 412.105)
1. IME Adjustment Factor for FY 2014
Under the IPPS, an additional payment amount is made to hospitals with residents in an approved graduate medical education (GME) program in order to reflect the higher indirect patient care costs of teaching hospitals relative to nonteaching hospitals. The payment amount is determined by use of a statutorily specified adjustment factor. The regulations regarding the calculation of this additional payment, known as the IME adjustment, are located at § 412.105. We refer readers to the FY 2012 IPPS/LTCH PPS final rule (76 FR 51680) for a full discussion of the IME adjustment and IME adjustment factor. Section 1886(d)(5)(B) of the Act states that, for discharges occurring during FY 2008 and fiscal years thereafter, the IME formula multiplier is 1.35. Accordingly, for discharges occurring during FY 2014, the formula multiplier is 1.35. We estimate that application of this formula multiplier for the FY 2014 IME adjustment will result in an increase in IPPS payment of 5.5 percent for every approximately 10 percent increase in the hospital's resident to bed ratio.
Comment: Two commenters supported the continuation of the IME adjustment factor. Both commenters stated that IME payments are vital to guaranteeing a strong surgery workforce in which there is currently a growing shortage. One commenter noted that this shortage is especially prevalent within the cardiothoracic surgery workforce.
Response: We appreciate the commenters' support. We note that the IME formula multiplier is set by Congress. We are specifying in this final rule that the IME formula multiplier for FY 2014 is set at 1.35, which we estimate will result in an increase in IPPS payments of 5.5 percent for every approximately 10-percent increase in the hospital's resident-to-bed ratio.
2. Other Policy Changes Affecting GME
In section V.J. of the preamble of this final rule, we present other proposed and final policy changes relating to GME payment. We refer readers to that section of the preamble of this final rule where we present the proposed and final policies.
E. Payment Adjustment for Medicare Disproportionate Share Hospitals (DSHs) (§ 412.106)
1. Background
Section 1886(d)(5)(F) of the Act provides for additional Medicare payments to subsection (d) hospitals that serve a significantly disproportionate number of low-income patients. The Act specifies two methods by which a hospital may qualify for the Medicare disproportionate share hospital (DSH) adjustment. Under the first method, hospitals that are located in an urban area and have 100 or more beds may receive a Medicare DSH payment adjustment if the hospital can demonstrate that, during its cost reporting period, more than 30 percent of its net inpatient care revenues are derived from State and local government payments for care furnished to needy patients with low incomes. This method is commonly referred to as the “Pickle method.” The second method for qualifying for the DSH payment adjustment, which is the most common, is based on a complex statutory formula under which the DSH payment adjustment is based on the hospital's geographic designation, the number of beds in the hospital, and the level of the hospital's disproportionate patient percentage (DPP). A hospital's DPP is the sum of two fractions: the “Medicare fraction” and the “Medicaid fraction.” The Medicare fraction (also known as the “SSI fraction” or “SSI ratio”) is computed by dividing the number of the hospital's inpatient days that are furnished to patients who were entitled to both Medicare Part A and Supplemental Security Income (SSI) benefits by the hospital's total number of patient days furnished to patients entitled to benefits under Medicare Part A. The Medicaid fraction is computed by dividing the hospital's number of inpatient days furnished to patients who, for such days, were eligible for Medicaid, but were not entitled to benefits under Medicare Part A, by the hospital's total number of inpatient days in the same period.
Because the DSH payment adjustment is part of the IPPS, the DSH statutory references (under section 1886(d)(5)(F) of the Act) to “days” apply only to hospital acute care inpatient days. Regulations located at § 412.106 govern the Medicare DSH payment adjustment and specify how the DPP is calculated as well as how beds and patient days are counted in determining the Medicare DSH payment adjustment. Under § 412.106(a)(1)(i), the number of beds for the Medicare DSH payment adjustment is determined in accordance with bed counting rules for the IME adjustment under § 412.105(b).
2. Counting of Patient Days Associated With Patients Enrolled in Medicare Advantage Plans in the Medicare and Medicaid Fractions of the Disproportionate Patient Percentage (DPP) Calculation
The regulation at 42 CFR 422.2 defines Medicare Advantage (MA) plan to mean “health benefits coverage offered under a policy or contract by an MA organization that includes a specific set of health benefits offered at a uniform premium and uniform level of cost-sharing to all Medicare beneficiaries residing in the service area of the MA plan. . . .” Generally, each MA plan must at least provide coverage of all services that are covered by Medicare Part A and Part B, but also may provide for Medicare Part D benefits and/or additional supplemental benefits. However, certain items and services, such as hospice benefits, continue to be covered under Medicare fee-for-service (FFS). Under § 422.50 of the regulations, an individual is eligible to elect an MA plan if he or she is entitled to Medicare Part A and enrolled in Medicare Part B. Dual eligible beneficiaries (individuals entitled to Medicare and eligible for Medicaid) also may choose to enroll in a MA plan, and, as an additional supplemental benefit, the MA plan may pay for Medicare cost-sharing not covered by Medicaid.
In the FY 2004 IPPS proposed rule (68 FR 27208), in response to questions about whether the patient days associated with patients enrolled in an MA plan (then called a Medicare + Choice (M+C) plan) should be counted in the Medicare fraction or the Medicaid fraction of the disproportionate patient percentage (DPP) calculation, we proposed that once a beneficiary enrolls in an MA plan, those patient days attributable to the beneficiary would not be included in the Medicare fraction of the DPP. Instead, those patient days would be included in the numerator of the Medicaid fraction, if the patient also were eligible for Medicaid. In the FY 2004 IPPS final rule (68 FR 45422), we did not respond to public comments on this proposal, due to the volume and nature of the public comments we received, and we indicated that we would address those comments later in a separate document. In the FY 2005 IPPS proposed rule (69 FR 28286), we stated that we planned to address the FY 2004 comments regarding MA days in the IPPS final rule for FY 2005. In the FY 2005 IPPS final rule (69 FR 49099), we determined that, under § 412.106(b)(2)(i) of the regulations, MA patient days should be counted in the Medicare fraction of the DPP calculation. We explained that, even where Medicare beneficiaries elect Medicare Part C coverage, they are still entitled to benefits under Medicare Part A. Therefore, we noted that if a MA beneficiary is also an SSI recipient, the patient days for that beneficiary will be included in the numerator of the Medicare fraction (as well as in the denominator) and not in the numerator of the Medicaid fraction. We note that, despite our explicit statement in the final rule that the regulations also would be revised, due to a clerical error, the corresponding regulation at § 412.106(b)(2)(i) was not amended to explicitly reflect this policy until 2007 (72 FR 47384).
On November 15, 2012, in a ruling in the case of Allina Health Services v. Sebelius (Allina), the Federal District Court for the District of Columbia (the court) held that the final policy of putting MA patient days in the Medicare fraction adopted in the FY 2005 IPPS final rule was not a logical outgrowth of the FY 2004 IPPS proposed rule (904 F. Supp. 2d 75 (D.D.C. 2012), appeal docketed, No. 13-5011 (D.C. Cir. Jan. 11, 2013). The court held that interested parties had not been put on notice that the Secretary might adopt a final policy of counting the days in the Medicare fraction and were not provided an adequate further opportunity for public comment.
We continue to believe that individuals enrolled in MA plans are “entitled to benefits under part A” as the phrase is used in the DSH provisions at section 1886(d)(5)(F)(vi)(I) of the Act. Section 226(a) of the Act provides that an individual is automatically “entitled” to Medicare Part A when the person reaches age 65 or becomes disabled, provided that the individual is entitled to Social Security benefits under section 202 of the Act. Beneficiaries who are enrolled in MA plans provided under Medicare Part C continue to meet all of the statutory criteria for entitlement to Medicare Part A benefits under section 226 of the Act. Moreover, in order to enroll in Medicare Part C, or to change from one MA plan to another MA plan offered under Part C, a beneficiary must be “entitled to benefits under Part A and enrolled under Part B” (section 1852(a)(1)(B)(i) of the Act). Thus, by definition, a beneficiary must be entitled to Part A to be enrolled in Part C. There is nothing in the Act that suggests that beneficiaries who enroll in a Medicare Part C plan forfeit their entitlement to Medicare Part A benefits. To the contrary, a beneficiary who enrolls in Medicare Part C is entitled to receive benefits under Medicare Part A through the MA plan in which he or she is enrolled, and the MA organization's costs in providing such Part A benefits are paid for by CMS with money from the Medicare Part A Trust Fund. In addition, under certain circumstances, Medicare Part A pays directly for care furnished to patients enrolled in Medicare Part C plans, rather than indirectly through Medicare Part A Trust Fund payments to MA organizations. For example, if, during the course of the year, the scope of benefits provided under Medicare Part A expands beyond a certain cost threshold due to Congressional action or a national coverage determination, Medicare Part A will pay the provider directly for the cost of those services (section 1852(a)(5) of the Act). Similarly, Medicare Part A also pays directly for federally qualified health center services and hospice care furnished to MA patients (section 1853(a)(4) and section 1853(h)(2) of the Act, respectively). Thus, we continue to believe that a patient enrolled in an MA plan remains entitled to benefits under Medicare Part A, and should be counted in the Medicare fraction of the DPP, and not the Medicaid fraction.
We also believe that our policy of counting patients enrolled in MA plans in the Medicare fraction was a logical outgrowth of the FY 2004 IPPS proposed rule, and, accordingly, have appealed the decision in Allina. However, in an abundance of caution and for the reasons discussed above, in the FY 2014 IPPS/LTCH PPS proposed rule (78 FR 27578), we proposed to readopt the policy of counting the days of patients enrolled in MA plans in the Medicare fraction of the DPP. We sought public comments from interested parties that may support or oppose the proposal to include the MA patient days in the Medicare fraction of the DPP calculation for FY 2014 and subsequent years. We indicated in the proposed rule that we would evaluate these public comments and consider whether a further change in policy is warranted, and would include our final determination in the FY 2014 IPPS/LTCH PPS final rule. We did not propose any change to the regulation text because the current text reflects the policy being proposed.
Comment: A few commenters supported CMS' proposal to readopt the policy of including MA patient days in the numerator and denominator of the Medicare fraction of the DPP calculation. One commenter recommended, for consistency purposes, that MA days continue to be included in the Medicare fraction. Another commenter stated that the proposal makes logical sense because these patients remain entitled to, and receive, Medicare Part A benefits, and have simply chosen to receive them through an MA plan offered under Medicare Part C. The commenter also opined that the effect on the Medicare fraction would likely be minimal because the commenter believed that the majority of patients who enroll in Medicare Part C would not be likely to meet the income eligibility requirement for SSI benefits. Other commenters supported CMS' proposal to readopt the policy, stating that CMS will have provided all interested parties with adequate time and information to meaningfully participate in the rulemaking process.
Response: We appreciate the commenters' support. We agree with commenters that a patient enrolled in a MA plan remains entitled to benefits under Part A and should be included in the Medicare fraction of the DPP and not the Medicaid fraction. We also agree with commenters that we have provided adequate notice and opportunity for the public to comment on our proposal to readopt our policy of counting the days of patients enrolled in MA plans in the Medicare fraction for FY 2014 and subsequent years. Furthermore, as discussed in more detail below, we continue to believe that we also provided adequate notice and opportunity for review and comment prior to the original adoption of the policy in the FY 2005 IPPS rule; and, therefore, we have appealed the court's decision in Allina which concluded that we did not. In addition, with regard to the commenter's assertion that the majority of patients who enroll in Medicare Part C would not be likely to meet the income eligibility requirement for SSI benefits, we disagree and note that research, such as the findings from the Medicare Current Beneficiary Survey as listed in the table below, has shown that Part C enrollees tend to have lower incomes at similar rates as Medicare beneficiaries who are not enrolled in Part C.
| Beneficiaries (%) | 2011 Total | 2011 Fee-for-service | 2011 Risk HMO | 2010 Total | 2010 Fee-for-service | 2010 Risk HMO | 2009 Total | 2009 Fee-for-service | 2009 Risk HMO |
|---|---|---|---|---|---|---|---|---|---|
| HMO: 2009-201112 | |||||||||
| 12Sources: Medicare Current Beneficiary Survey. 2011 Characteristics and Perceptions of the Medicare Population. 2010 Characteristics and Perceptions of the Medicare Population. 2009 Characteristics and Perceptions of the Medicare Population. Available at: http://www.cms.gov/Research-Statistics-Data-and-Systems/Research/MCBS/Data-Tables.html . | |||||||||
| Note: As described in the sources, income estimates are derived from imputed income data. Standard errors of income estimates may be underestimated as they have not been adjusted to reflect the imputation of missing data. | |||||||||
| Less than $5,000 | 3.47 | 3.69 | 2.84 | 4.17 | 4.29 | 3.82 | 3.86 | 4.07 | 3.19 |
| $5,000-$9,999 | 10.92 | 11.03 | 10.61 | 10.94 | 11.00 | 10.78 | 11.75 | 12.01 | 10.92 |
| $10,000-$14,999 | 13.76 | 13.50 | 14.50 | 13.94 | 13.63 | 14.86 | 14.00 | 13.35 | 16.03 |
| $15,000-$19,999 | 9.51 | 8.48 | 12.34 | 10.13 | 9.01 | 13.46 | 9.97 | 9.20 | 12.38 |
| $20,000-$24,999 | 9.17 | 8.52 | 10.97 | 8.67 | 8.15 | 10.21 | 9.00 | 8.33 | 11.11 |
| $25,000-$29,999 | 7.88 | 7.65 | 8.53 | 8.02 | 7.85 | 8.53 | 8.80 | 8.40 | 10.03 |
| $30,000-$39,999 | 13.18 | 12.88 | 14.00 | 13.44 | 13.17 | 14.23 | 13.30 | 13.19 | 13.63 |
| $40,000-$49,999 | 9.92 | 9.96 | 9.82 | 9.83 | 10.21 | 8.70 | 9.65 | 10.02 | 8.49 |
| $50,000 or more | 22.18 | 24.28 | 16.39 | 20.87 | 22.71 | 15.41 | 19.67 | 21.43 | 14.21 |
Comment: A few commenters stated that the policy proposal promotes the integrity of the 340B program. The commenters stated that the size of the 340B program has far exceeded Congress' intent to help safety-net providers cover the costs of uncompensated pharmaceutical care; and including MA patient days in the Medicare fraction helps to ensure that a hospital's DPP is not artificially inflated, thereby helping to curb some of the recent abuse and promote the program's original goals. In addition, the commenters stated that, given that section 3133 of the Affordable Care Act reduces aggregate DSH funding beginning in FY 2014, providing oversight of the 340B program will be critical. The commenters stated that, with less DSH funds available, ensuring that entities with inflated DPPs do not divert funds from truly DSH eligible providers is critical to maintain that the support is provided where it will be the most beneficial, as intended by Congress. In addition, one commenter stated that CMS has an opportunity to provide protection for DPP values for hospitals located in States where Medicaid was not expanded under the intent of the Affordable Care Act. The commenter recommended that CMS issue rules that grandfather current providers who qualify for 340B prescription drug discounting until further impacts of the Affordable Care Act can be reviewed and a new standard be determined for hospitals located in States that are not expanding the Medicaid program to levels prescribed under the Affordable Care Act.
Response: Although we appreciate receiving the commenters' views on the 340B program, we note that this program is administered by HRSA and is not within the scope of this rulemaking. Additionally, we note that we believe the commenter that made the recommendation about issuing rules that would grandfather current providers who qualify for 340B prescription drug discounting until further impacts of the Affordable Care Act can be assessed for hospitals located in States that are not expanding the Medicaid program, may be confused about how the statute, specifically the Affordable Care Act, “protects” DPP values.
Comment: Many commenters opposed CMS' proposal and urged CMS to exclude MA patient days from the Medicare fraction of the DPP calculation. These commenters disagreed that individuals enrolled in Medicare Advantage are “entitled” to benefits under Part A, and asserted that the policy proposal is not dictated by the statute and is inconsistent with their view of the intent of Congress. The commenters argued that, in examining the statute and CMS' regulations, it is clear to them that MA enrollees are not entitled to benefits under Part A and, therefore, should be excluded from the Medicare fraction. These commenters cited three provisions of the statute in support of this argument:
- Section 226(c)(1) of the Act, which states “entitlement of an individual to hospital insurance benefits for a month [under Part A] shall consist of entitlement to have payment made under, and subject to the limitations in, [P]art A . . . .”
- Section 1851(a)(1) of the Act, which states that the persons eligible for Medicare Advantage are “entitled to elect to receive benefits” either “through the original [M]edicare fee-for-service program under [P]arts A and B, or through enrollment in a [Medicare Advantage] plan under [Part C].”
- Section 1851(i)(1) of the Act, which states that “payments under a contract with a [Medicare Advantage] organization . . . with respect to an individual electing a [Medicare Advantage] plan . . . shall be instead of the amounts which (in the absence of the contract) would otherwise be payable under [P]arts A and B . . . .”
The commenters contended that because individuals who enroll in an MA plan receive benefits under Part C and not Part A, they cannot be “entitled” to benefits under Part A because, in the commenters' view, they no longer receive benefits under Part A. They argued that beneficiaries are not “entitled” to benefits that the commenters believe the law denies them, and therefore, CMS' interpretation is unreasonable.
Response: We disagree that Medicare beneficiaries enrolled in Part C no longer receive benefits under Part A and that, because the payment structure of Part C applies (that is, CMS pays the MA plans so that the plans may make payment to hospitals for the care of the beneficiaries), those beneficiaries are not entitled to Part A benefits. As we stated above, section 226(A) of the Act provides that an individual is automatically “entitled” to Medicare Part A when the person reaches age 65 or becomes disabled, provided that the individual is entitled to Social Security benefits under section 202 of the Act.
This interpretation is consistent with our conclusion that Congress uses the phrase “entitled to benefits under part A” to consistently refer to an individual's status as a Medicare beneficiary. We agree with the United States Court of Appeals for the Sixth Circuit when it recently explained, “the phrase `entitled to benefits under [Medicare] part A' appears in more than 30 other sections of the Medicare statute, indicating that the phrase has a specific, consistent meaning throughout the statutory scheme, rather than a varying, context-specific meaning in each section and subsection. (We refer readers to Ali v. Fed. Bureau of Prisons, 552 U.S. 214, 222 (2008) (noting that statutory construction “must, to the extent possible, ensure that the statutory scheme is coherent and consistent”) and Metro. Hosp. v. U.S. Dep't of Health & Human Servs., 712 F.3d 248, 260 (6th Cir. 2013) (holding that including patients who have exhausted inpatient benefits in the Medicare fraction is consistent with how “entitled to benefits under part A” is used throughout the Medicare statute).) Enrolling in Part C does not change an enrollee's status as a Medicare beneficiary and does not remove or reduce any benefits the beneficiary would otherwise have received; indeed, the MA plan must provide the benefits to which the beneficiary is entitled under Part A and may provide additional benefits as described by section 1852(a)(1)(A) of the Act. We agree with the Court of Appeals for the District of Columbia Circuit that “Congress has not clearly foreclosed the Secretary's interpretation that [Part C] enrollees are entitled to benefits under Part A. Rather, it has left a statutory gap, and it is for the Secretary . . . to fill that gap” (Northeast Hosp. Corp. v. Sebelius; 657 F.3d 1, 13 (D.C. Cir. 2011)). We further note that the D.C. Circuit has already rejected many of the commenters' view that the agency's interpretation is inconsistent with the plain language of the statute (Id. at 6-13).
Thus, for purposes of section 226(c)(1) of the Act, beneficiaries enrolled in Part C are having payment made under Part A for the month in question, via the Part A component of the monthly payment made to the MA organization, and are receiving Part A benefits subject to the limitations on such benefits provided for in Part A.
For purposes of section 1851(a)(1) of the Act, the “benefits” referenced in the phrase quoted by the commenters (“entitled to elect to receive benefits”) are the benefits provided for in Part A and Part B. Thus, this language confirms that beneficiaries enrolled in Part C remain “entitled to” benefits under Part A, and thus supports our interpretation of the statute. It is only the vehicle “through” which such Part A benefits are received that changes, from the “fee-for-service” method spelled out under Part A, to the capitation payment method spelled out in Part C.
Section 1851(i)(1) of the Act similarly refers only to whether Part A benefits are provided via payments to, and by, the MA organization, or direct payments made under the “fee-for-service” payment procedures provided for in Part A and Part B. It is only the process for furnishing these benefits that is at issue, not entitlement to such benefits.
Comment: Another commenter objecting to our proposal noted that section 1886(d)(5)(F) of the Act, which defines the Medicare and Medicaid fractions of the DPP calculation, has not undergone any significant amendments since its enactment, and was never amended to explicitly address the creation of Medicare Part C. As such, the commenter asserted that Part C days should clearly be excluded from the Medicare fraction because the commenter believed that services paid for under Part C cannot also result in a patient being entitled to benefits for those services under Part A. However, the commenter asserted that Part C days are clearly not excluded from the Medicaid fraction because “the numerator of the Medicaid fraction includes all hospital patient days (regardless of under which `Part' of Medicare) for which the patient was `eligible' for Medicaid as well as Medicare, but for which the patient was not entitled to receive benefits under Part A of Medicare . . . .”
Response: The enactment of the current provisions in Medicare Part C authorizing an alternative way of receiving Part A benefits did not alter the criteria for entitlement to such benefits, any more than did earlier, similar provisions in section 1876 of the Act that were enacted in 1982. Indeed, language in section 1876 made clear that a beneficiary was still “entitled to benefits under Part A” while receiving Part A benefits through a private health plan paid by CMS to provide them because section 1876 provided for two classes of enrollees, one only enrolled in Part B, and another “entitled to benefits under Part A” and enrolled in Part B, and provided for Part A Trust Fund payments in the latter case, and only Part B payments in the former. There is no indication that Part C enrollees are not similarly “entitled to benefits under Part A” on an ongoing basis.
With regard to the Medicaid fraction, as stated in section 1886(d)(5)(F) of the Act, the number of patient days for patients who, for those days, were eligible for medical assistance under a State plan approved under Title XIX (Medicaid) but who were not entitled to benefits under Medicare Part A is divided by the total number of patient days for that same period. MA enrollees are entitled to benefits under Medicare Part A, and therefore, these patient days should not be included in the Medicaid portion of the calculation. It is CMS' interpretation that the statute provides support to include MA days in the Medicare fraction. The statute requires that the inpatient days be attributable to inpatients entitled to benefits under Part A. Section 1851(a)(3) of the Act defines an individual that is eligible to enroll in an MA plan as an individual who is entitled to benefits under Part A and enrolled under Part B. We have concluded that, based on section 1886(d)(5)(F) of the Act, MA enrollee patient days should be included in calculating the DSH adjustment by finding that such enrollees are otherwise entitled to benefits under Part A. In other words, MA patients are entitled to Medicare Part A prior to and after selecting Part C, and because they do not lose that entitlement when they choose to enroll in a Part C plan, our position is that the Medicare Part C days should be included in the Medicare fraction, regardless of whether the beneficiary opts for Part C coverage.
Comment: Another commenter argued that, while it is true that a patient must at some point be entitled to benefits under Part A in order to be eligible to enroll in Part C, once an enrollee has chosen Part C, he or she is no longer entitled to Part A benefits and instead, the payment structure in Part C applies, and CMS pays MA organizations for those beneficiaries, while the MA organizations pay the providers. The commenter also asserted that this was evidence that Congress did not intend to include Part C days in the Medicare fraction because if it had, Congress could have easily revised the DSH statute to indicate as such.
Response: Again, this commenter confuses the method for covering Part A benefits with whether an individual is entitled to receive such benefits. We refer readers to the previous response for a fuller discussion.
Comment: One commenter stated that the proposed policy would be inconsistent with prior practice and CMS' longstanding operational treatment of Part C days in Medicare Part A calculations because services furnished to Part C enrollees historically were recorded as non-Medicare days. The commenter further stated that, similarly, CMS has historically interpreted entitled to benefits under Part A to mean entitlement to payment for inpatient hospital care under the IPPS. The commenter also asserted that the proposed policy is inconsistent with CMS' interpretation of entitled to SSI benefits in the DSH statute because CMS construes this to mean including only those days for patients who were entitled to have SSI benefits actually paid to them on such days. Therefore, the commenter argued, even when an individual is entitled to payment of SSI benefits, CMS does not count the day as an SSI patient day if there is some other reason why the Social Security Administration does not make the payment owed to the individual.
Response: While we acknowledge that in the past CMS has not always captured MA patient days as Medicare days, this was an operational issue, not the result of an authoritative agency legal interpretation or Medicare payment policy decision not to include MA days in the Medicare fraction. We note that these operational issues persisted for a time after we expressly concluded that MA days should be counted in the Medicare fraction in the FY 2005 IPPS rule. Contrary to the commenter's assertion, we have not, as a matter of either legal interpretation or policy, considered the days of patients enrolled in MA plans to be non-Medicare days. Patients enrolled in Medicare Part C must be entitled to Medicare Part A and enrolled in Part B. Moreover, the days of patients enrolled in Medicare HMOs are considered to be paid or covered days even though the payment may be made indirectly through a section 1876 HMO or through an MA plan. We note that the original Medicare DSH regulations indicated that patients receiving their Part A benefits under section 1876 of the Act were to count as Medicare patient days.
We further disagree with the commenter that CMS' interpretation is unreasonable and inconsistently interprets the term “entitled to benefits.” To the contrary, we adopted this interpretation of “entitled to benefits under part A” in large part in order to be consistent with how that phrase is used elsewhere in the Act. Section 1886(d)(5)(F)(vi)(I) of the Act specifically notes that the numerator of the Medicare fraction must reflect patient days for patients “entitled to benefits under part A” who are also “entitled to supplementary security income benefits (excluding any State supplementation) under title XVI of this Act.” Regarding entitlement to SSI benefits, we note that section 1602 of the Act states that “Every aged, blind, or disabled individual who is determined under part A to be eligible on the basis of his income and resources shall, in accordance with and subject to the provisions of this title, be paid benefits by the Commissioner of Social Security.” Therefore, because SSI is a cash benefit, only a person who is actually paid these benefits can be considered entitled to these benefits. This differs from entitlement to Medicare benefits under Part A, which are a distinct set of health insurance benefits described under section 1812 of the Act, including coverage of inpatient hospital, inpatient critical access hospital, and post-acute care services as well as post-institutional home health and hospice services under certain conditions. We note that the agency has undertaken extensive effort and notice-and-comment rulemaking to establish a process to identify appropriately Medicare patient days for which a beneficiary was simultaneously eligible for SSI benefits in the FY 2011 IPPS/ LTCH PPS final rule (75 FR 50275 through 50286).
Comment: One commenter noted that the Medicare fraction does not include patient days for Medicare beneficiaries enrolled in Medicare Part B only. The commenter further argued that, similarly, the Medicare fraction does not include all patient days for some individuals who are eligible for and enrolled in Part A because Part A patient days in hospital units excluded from the IPPS are not included in the Medicare fraction, even if actually paid under Part A. The commenter asserted that as the DPP calculation is limited to patient days in areas of the hospital that provide services that are paid for under the IPPS, in the same way, the Medicare fraction should exclude patient days for Medicare beneficiaries who have elected to receive benefits under Part C—because these days are not paid under the IPPS, they should not be included in the Medicare fraction.
Response: In the case of a Medicare beneficiary enrolled only in Part B, we agree that such an individual is not “entitled to benefits under Part A,” and thus is clearly distinguishable from a beneficiary who is entitled to benefits under Part A, but has elected to enroll in a Part C plan.
We note that commenters may be misunderstanding our policy when they asserted that the days of patients enrolled in Part C should not be included in the Medicare/SSI fraction because the DSH calculation does not include patient days in hospital units excluded from the IPPS but paid under Part A. The regulation at 42 CFR 412.106(a)(1)(ii) limits the patient days used in determining a hospital's DPPs to patient days “attributable to units or wards of the hospital providing acute care services generally payable under the [inpatient] prospective payment system.” Patient days associated with beds in excluded distinct part hospital units are explicitly excluded from the DPP calculation in accordance with 42 CFR 412.105(a)(1)(ii)(A). In contrast, the days for MA beneficiaries that are counted in the Medicare/SSI fraction are days on which those beneficiaries received care that would be (and in some cases actually was) payable under IPPS. Accordingly, CMS' policies regarding patient days in excluded distinct part units provide no reason to treat Part C enrollees differently than other patients also entitled to benefits under Part A.
Comment: One commenter argued that the instances where a Part C beneficiary can have services paid under Part A are extremely limited, both in scope and duration, and asserted that CMS' descriptions of the exceptions overstate the extent to which Part A payments actually can be obtained by Part C beneficiaries. The commenter also contended that this illustrates that when Congress has wanted to explain how Part C and Part A benefits relate to one another, Congress has done so explicitly, and without ambiguity. Another commenter added that when Congress added Part C to the Medicare statute, it did not amend the DSH statute to require CMS to treat Part C days differently for DSH payment purposes, and that intent should be given effect by continuing to exclude Part C days from the Medicare fraction and including Medicaid eligible Part C days in the numerator of the Medicaid fraction.
Response: While we appreciate the comments noting that instances where a Part C beneficiary can have services paid under Part A are limited, we disagree that our description of these exceptions overstates the extent to which Part A payments can be obtained by Part C beneficiaries. Under the commenters' view of the statute, beneficiaries enrolled in MA plans are not “entitled to benefits under Part A,” which would suggest that Medicare Part A should not make any payments on their behalf. However, as discussed above, there are instances where Part A is required to do just that. The hospice benefit, for instance, is a significant part of the benefits available under Part A that is always paid for on a fee-for-service basis, even if the beneficiary is enrolled in an MA plan. We find these circumstances impossible to reconcile with the commenter's assertion that beneficiaries enrolled in MA plans are not “entitled to benefits under Part A.” Rather, these payments make clear that beneficiaries enrolled in MA plans are “entitled to benefits under Part A,” regardless of the frequency or magnitude of these claims for payment.
Comment: Commenters stated that CMS still does not discuss that including MA days in the Medicare fraction would be a reversal of its prior position and, therefore, is both substantively and procedurally flawed. Some commenters argued that CMS did not include a reasoned explanation for what they characterize as a reversal of policy.
Some commenters contended that CMS, in both the FY 2004 proposed rule and the FY 2005 final rule, acknowledged that the statute is susceptible to multiple interpretations, including the agency's own previous position that individuals enrolled in the MA plans should not be included in the Medicare fraction, and that the FY 2014 proposed rule only slightly elaborates on the assertion in the FY 2005 final rule that individuals enrolled in MA plans “are still, in some sense entitled to benefits under Medicare Part A.” Commenters stated that, in Allina, the court found the FY 2005 final rule was flawed because CMS did not acknowledge that the policy was a reversal of the agency's prior interpretation, and did not give a sufficient explanation for that reversal in interpretation, and that the FY 2014 proposed rule does not correct those deficiencies, but instead just states that CMS “continues” to believe that MA patient days should be included in the Medicare fraction.
Response: We disagree that including the MA days in the Medicare fraction is a reversal of prior policy. No final regulation, administrative decision, or subregulatory guidance issued by the Secretary has ever taken the position that MA days were to be excluded from the Medicare fraction. Similarly, no final regulation, administrative decision, or subregulatory guidance issued by the Secretary has ever taken the position that MA days should be included in the numerator of the Medicaid fraction. Accordingly, commenters are incorrect insofar as they suggest that including MA days in the Medicare fraction represents a reversal of a prior policy. However, we acknowledge that, although the DC Circuit held in Northeast that the agency had a practice of excluding MA days from the Medicare fraction prior to the FY 2005 rule (657 F.3d at 17), the court did not hold that the Secretary had adopted a legal interpretation of the phrase “entitled to benefits under part A” or an authoritative agency Medicare payment policy that would require excluding MA days from the Medicare fraction (Id. at 14-17).
In fact, in the FY 1990 IPPS final rule (55 FR 35994), CMS made clear that its policy was to include the days of patients enrolled in managed care plans in the Medicare fraction:
“Based on the language of section 1886(d)(5)(F)(vi) of the Act, which states that the disproportionate share adjustment computations should include `patients who were entitled benefits under Part A', we believe it is appropriate to include the days associated with Medicare patients who receive care at a qualified [health maintenance organization (HMO)]. Prior to December 1, 1987, we were not able to isolate the days of care associated with Medicare patients in HMOs and, therefore, were unable to fold this number into the calculation. However, as of December 1, 1987, a field was included on the Medicare Provider Analysis and Review (MedPAR) file that allows us to isolate those HMO days that are associated with Medicare patients. Therefore, since that time, we have been including HMO days in SSI/Medicare percentage.”
We note that a recent review of our records from the years immediately before the implementation of Part C demonstrates that the MedPAR data used to calculate Medicare fractions for those years includes the days of patients enrolled in section 1876 HMOs.
Prior to the FY 2004 proposed rule, this was the only authoritative agency interpretation relating to the treatment of patient days of individuals enrolled in managed care plans. When Congress created Part C in the Balanced Budget Act of 1997 (BBA) (Pub. L. 105-33, 111 Stat. 251 (Aug. 5, 1997)), section 1876 HMO days were being counted in the Medicare fraction, and were correspondingly being excluded from the Medicaid fraction. On January 1, 1999, patients enrolled in risk HMOs under section 1876 of the Act were automatically enrolled in M+C plans. We issued no guidance discussing how the change in the type of HMO, from section 1876 to M+C, would have affected the DSH calculation. We see no reason why the reorganization in the managed care structure, from section 1876 HMOs into Part C, should have any bearing on how a day counts in the DSH calculation. The BBA does not specifically address DSH, and we thus believe it was appropriate that MA patients should have continued to be counted in the Medicare fraction after its enactment. Indeed, the BBA provided that to enroll in an MA plan, an individual must be “entitled to benefits under part A”—the same language used in the DSH provision. Individuals enrolled in MA plans continue to meet the age and disability requirements for entitlement to benefits under Medicare Part A, and thus should be included in the Medicare fraction.
Our contractors, having received no instructions to the contrary, continued to exclude the days of patients enrolled in Medicare HMOs (now mostly M+C) from the numerator of the Medicaid fraction. However, at this same time, and for reasons that are not clear to us now, the agency generally stopped collecting no-pay bills from hospitals and therefore lacked the data necessary to include Part C days in the Medicare fraction. We are aware of nothing to suggest that the failure to include Part C days in the Medicare fraction was the result of any reasoned decision making or even, in fact, that the relevant policy makers were aware the Part C days were not being counted in the Medicare fraction. Consequently, Medicare Part C days were largely not included in the DSH calculation at all, except for the denominator of the Medicaid fraction which includes all patient days.
We further note that even when the agency promulgated the FY 2005 IPPS final rule, which expressly stated that MA days should be included in Medicare fraction, the agency did not begin collecting the data that would have allowed for their inclusion. We believe that this suggests that relevant policymakers thought that MA days were being included in the Medicare fraction. However, as discussed in detail above, CMS has since taken action to ensure that we are collecting the data necessary to include these days in the Medicare fraction.
In short, we disagree that the decision in the FY 2005 IPPS rule to include MA days in the Medicare fraction, and to exclude them from the numerator of the Medicaid fraction, was a reversal of prior policy. We had not (in rulemaking or through subregulatory guidance) specifically addressed the treatment of MA days prior to the FY 2004 proposed rule, although we acknowledge that, as a matter of practice, MA days generally had not been counted in either fraction. Accordingly, commenters are incorrect insofar as they suggested that including MA days in the Medicare fraction, and excluding them from the Medicaid fraction, represents a reversal of prior policy.
In the FY 2005 IPPS final rule, CMS determined that M+C days should be included in the Medicare fraction because M+C beneficiaries “. . . are still, in some sense, entitled to benefits under Medicare Part A” (69 FR 49099). CMS acknowledged that, in the FY 2004 proposed rule, it had noted that although a beneficiary must be entitled to Medicare Part A to enroll in an M+C plan, when an individual enrolls in an M+C plan, his or her benefits are “no longer administered under Part A,” and had proposed to exclude M+C days from the Medicare fraction and to include them in the Medicaid fraction numerator if the M+C days enrollee was also eligible for Medicaid (69 FR 49099.) CMS further noted that the proposed rule recognized that whether MA days should be included in the Medicare or the Medicaid fraction “stems from whether M+C plan enrollees are entitled to benefits under Medicare Part A” (69 FR 49099). CMS thus made clear its view that MA days should be counted in one fraction or the other. CMS explained that after considering comments received to its proposal—including the comment that M+C enrollees “are just as much Medicare beneficiaries as those beneficiaries in the traditional fee-for-service program”—it ultimately agreed with those that opposed its proposal on the ground that M+C enrollees remain “entitled to benefits under part A” in the relevant sense for determining whether they should be included in the Medicare or Medicaid fraction.
CMS thus responded to the comments that were most relevant to the question before the agency: how to interpret the phrase “entitled to benefits under part A” in the DSH provision and provided a reasoned explanation for including MA days in the Medicare fraction. As set forth above, CMS continues to believe that its interpretation reflects the statutory language and congressional intent. Indeed, when it enacted the DSH provision, Congress intended that the Medicare fraction serve as a proxy for the percentage of low-income Medicare patients and the Medicaid fraction serve as a proxy for the percentage of low-income non-Medicare patients. When Congress subsequently created Part C, it provided that to enroll in part C, an individual must be “entitled to benefits under part A”—the same language that it used in the DSH provision. Thus, Part C enrollees are a subset of individuals “entitled to benefits under part A,” and therefore should be included in the Medicare fraction.
Comment: Some commenters added that it is unclear what CMS is actually proposing because the proposal to readopt the policy of counting MA patient days in the Medicare fraction is for FY 2014 and subsequent years, but CMS also stated that it believes the policy adopted in the FY 2005 final rule was a logical outgrowth of the FY 2004 proposed rule. The commenters asserted that CMS' statements suggest that CMS is also planning to apply the policy to correct retroactively invalid past rulemaking. Some commenters stated that CMS cannot retroactively validate invalid rulemakings by restating the positions it adopted in FY 2005, through notice-and-comment rulemaking for FY 2014, and in the absence of a Congressional grant of retroactive rulemaking authority, an attempt to cure prior deficient proceedings is similarly invalid.
Response: We disagree that the FY 2014 IPPS/LTCH PPS proposed rule seeks to validate retroactively an invalid rulemaking as the commenter asserted. We proposed to readopt the policy of counting the days of patients enrolled in MA plans in the Medicare fraction of the DPP for FY 2014 and subsequent years in an abundance of caution and have considered the public comments received in support of and in opposition to our proposal in making our final determination.
Comment: Commenters stated that CMS cannot finalize its new proposed policy for FY 2014 because CMS has not corrected the deficiencies cited by the court in Allina, and by doing so, CMS would be acting in an arbitrary and capricious manner in violation of the Administrative Procedure Act. The commenters added that, while they urge CMS not to finalize its proposal, if it does choose to move forward, the agency must provide a thorough discussion and allow stakeholder comment on it before deciding whether to finalize its proposal. Some commenters also stated that the ambiguity in CMS' proposal does not provide affected parties adequate notice to properly comment on the proposal. Commenters stated that a complete and thorough discussion is critical because, citing the decision in FCC v. Fox Television Stations (556 U.S. 502 (2009), when stakeholders come to rely on a certain policy, an agency must give a more detailed explanation for changing its policy than would be necessary for a policy created on a blank slate.
Response: Our proposed rule did not propose a change in policy, but rather to readopt a policy that we finalized in the FY 2005 IPPS final rule. We believe that commenters favoring our proposal and those opposed have had a fair opportunity to comment both in response to the FY 2004 proposed rule and the present proposed rule. We also believe that we have fully explained why our proposal is an appropriate and consistent interpretation of the DSH statute.
Comment: Commenters stated that the court in Northeast Hospital v. Sebelius (657 F.3d at 5) opined that the fiscal impact of this policy change was a number in the hundreds of millions of dollars, and they requested that CMS release data as to whether this estimate is correct and, if not, provide the dollar impact so that hospitals can meaningfully assess this policy change in advance of issuing the final rule.
Response: We note that we proposed to readopt this policy for FY 2014 and subsequent years. Because this proposal is consistent with our longstanding policy, it is not considered a change in our policy. Accordingly, we do not believe that there will be additional savings or costs to the Medicare program, and by inference, to hospitals, as a result of this policy.
Comment: One commenter stated that the issue is further confused by the fact that, as discussed in the proposed budget presented by the President on April 10, 2013, the agency intends to ask Congress to “clarify that individuals who have exhausted inpatient benefits under Part A or who have elected to enroll in part C plans should be included in the calculation of the Medicare fraction of hospitals' [DPP calculation].” The commenter stated that the agency's position regarding where such days should be counted has been rejected by the courts in several cases such as Northeast v. Sebelius and Allina v. Sebelius. The commenter asserted that asking Congress to clarify how these days should be treated in the DSH calculation is an attempt to reverse unfavorable court decisions. The commenter also asserted that from the beginning of the DSH program until the FY 2005 final rule, CMS administered the program exactly as the commenter asserted that it should have been administered then and today stating that: “1. CMS did not count Medicare managed care days in the SSI fraction; 2. From the outset of the Medicare + Choice program CMS instructed hospitals not receiving IME/GME reimbursement to not shadow bill M+C claims, which is the very data CMS needed to include the days in the SSI fraction; 3. CMS' practice from the beginning of the program was to count all Medicaid paid days in the Medicaid fraction, which included Part A exhausted days.”
Response: Although we appreciate receiving the commenter's views, proposals in the President's budget and/or pending legislation are outside the scope of this rulemaking. As we have previously stated, it has never been CMS policy that MA days were to be included in the Medicaid fraction. We remind commenters that CMS issued Change Request 6329 on March 6, 2009, and Change Request 5647 on July 20, 2007, to instruct hospitals to submit informational claims for MA patients for FY 2006 and FY 2007 and subsequent periods when it was brought to our attention that hospitals were not submitting these claims, and contrary to our regulations, we were administratively unable to include these MA days in the Medicare fraction. Furthermore, we note that CMS issued Change Request 5647 to provide hospitals additional time to submit FY 2007 claims when it was brought to our attention that compliance with our policy was uneven, partly due to the fact that teaching hospitals have a financial incentive to submit these claims because they receive IME payments for MA discharges while nonteaching hospitals receive no additional IME payment.
Comment: One commenter stated that if CMS maintains its view that MA days properly belong in the Medicare fraction, then IPPS hospitals should receive a DSH add-on payment for every MA beneficiary discharge in the same manner that IPPS hospitals receive an IME payment add-on for every MA beneficiary discharge.
Response: We appreciate receiving the commenters' views. However, we note that while section 1886(d)(11) of the Act explicitly provides for an IME payment add-on for each MA beneficiary discharge, section 1886(d)(5)(F) of the Act does not provide for a similar DSH payment add-on for each MA beneficiary discharge. A legislative change would be necessary to authorize such DSH payments to IPPS hospitals that treat MA beneficiaries.
After consideration of the public comments we received, we are finalizing our proposal to readopt the policy of counting the days of patients enrolled in MA plans in the Medicare fraction of the DPP for FY 2014 and subsequent years. We continue to believe this policy is most consistent with the language of the statute, congressional intent, and the structure of the DSH calculation.
3. New Payment Adjustment Methodology for Medicare Disproportionate Share Hospitals (DSHs) Under Section 3133 of the Affordable Care Act (§ 412.106)
a. General Discussion and Legislative Change
Section 3133 of the Patient Protection and Affordable Care Act (PPACA), as amended by section 10316 of PPACA and section 1104 of the Health Care and Education Reconciliation Act (Pub. L. 111-152), added a new section 1886(r) to the Act that modifies the methodology for computing the Medicare DSH payment adjustment beginning in FY 2014. For purposes of this rule, we refer to these provisions collectively as section 3133 of the Affordable Care Act.
Currently, Medicare DSH adjustment payments are calculated under a statutory formula that considers the hospital's Medicare utilization attributable to beneficiaries who also receive Supplemental Security Income (SSI) benefits and the hospital's Medicaid utilization. Beginning for discharges in FY 2014, hospitals that qualify for Medicare DSH payments under section 1886(d)(5)(F) will receive 25 percent of the amount they previously would have received under the current statutory formula for Medicare DSH payments. This provision applies equally to all hospitals that qualify for DSH payments under section 1886(d)(5)(F)(i)(II) of the Act. Section 1886(d)(5)(F)(i)(II) of the Act provides for a method known as the “Pickle” adjustment under which a hospital that is located in an urban area and has 100 or more beds may receive a Medicare DSH payment adjustment if the hospital can demonstrate that, during its cost reporting period, more than 30 percent of its net inpatient care revenues are derived from State and local government payments for care furnished to needy patients with low incomes. Pursuant to new section 1886(r) of the Act, hospitals that qualify for the Pickle method of the DSH payment adjustment would receive 25 percent of the 35-percent add-on adjustment for which they would otherwise qualify under section 1886(d)(5)(F)(i)(II) of the Act. The remaining amount, equal to an estimate of 75 percent of what otherwise would have been paid as Medicare DSH payments, reduced to reflect changes in the percentage of individuals under age 65 who are uninsured, will become available to make additional payments to each hospital that qualifies for Medicare DSH payments and that has uncompensated care. The payments to each hospital for a fiscal year will be based on the hospital's amount of uncompensated care for a given time period relative to the total amount of uncompensated care for that same time period reported by all hospitals that receive Medicare DSH payments for that fiscal year.
As provided by section 3133 of the Affordable Care Act, section 1886(r) of the Act requires that, for “fiscal year 2014 and each subsequent fiscal year,” a “subsection (d) hospital” that would otherwise receive a “disproportionate share hospital payment . . . made under subsection (d)(5)(F)” will receive two separately calculated payments. Specifically, section 1886(r)(1) of the Act provides that the Secretary shall pay to such a subsection (d) hospital (including a Pickle hospital) 25 percent of the amount the hospital would have received under section 1886(d)(5)(F) of the Act for disproportionate share payments, which represents “the empirically justified amount for such payment, as determined by the Medicare Payment Advisory Commission in its March 2007 Report to the Congress.” We refer to this payment as the “empirically justified Medicare DSH payment.”
In addition to this payment, section 1886(r)(2) of the Act provides that, for fiscal year 2014 and each subsequent fiscal year, the Secretary shall pay to “such subsection (d) hospital an additional amount equal to the product of” three factors. The first factor is the difference between “the aggregate amount of payments that would be made to subsection (d) hospitals under subsection (d)(5)(F) if this subsection did not apply” and “the aggregate amount of payments that are made to subsection (d) hospitals under paragraph (1)” for each fiscal year. Therefore, this factor amounts to 75 percent of the payments that would otherwise be made under section 1886(d)(5)(F) of the Act.
The second factor is, for FYs 2014 through 2017, 1 minus the percent change in the percent of individuals under the age of 65 who are uninsured, determined by comparing the percent of such individuals who are uninsured in 2013, the last year before coverage expansion under the Affordable Care Act (as calculated by the Secretary based on the most recent estimates available from the Director of the Congressional Budget Office before a vote in either House on the Health Care and Education Reconciliation Act of 2010 that, if determined in the affirmative, would clear such Act for enrollment), minus 0.1 percentage point for FY 2014, and minus 0.2 percentage point for FYs 2015 through 2017. For FYs 2014 through 2017, the baseline for the estimate of the change in uninsurance is fixed by the most recent estimate of the Congressional Budget Office before the final vote on the Health Care and Education Reconciliation Act of 2010, which is contained in a March 20, 2010 letter from the then Director of the Congressional Budget Office to the Speaker of the House. A link to this letter is included in section V.E.3.d.2. of the preamble of the proposed rule (and this final rule).
For FY 2018 and subsequent years, the second factor is 1 minus the percent change in the percent of individuals who are uninsured, as determined by comparing the percent of individuals “who are uninsured in 2013 (as estimated by the Secretary, based on data from the Census Bureau or other sources the Secretary determines appropriate, and certified by the Chief Actuary” of CMS, and “who are uninsured in the most recent period for which data is available (as so estimated and certified) minus 0.2 percentage points for FYs 2018 and 2019.” Thus, for FY 2018 and subsequent years, the statute provides some greater flexibility in the choice of the data sources to be used in the estimate of the change in the percent of uninsured individuals.
The third factor is a percent that, for each subsection (d) hospital, “represents the quotient of . . . the amount of uncompensated care for such hospital for a period selected by the Secretary (as estimated by the Secretary, based on appropriate data . . .),” including the use of alternative data “where the Secretary determines that alternative data is available which is a better proxy for the costs of subsection (d) hospitals for . . . treating the uninsured,” and “the aggregate amount of uncompensated care for all subsection (d) hospitals that receive a payment under this subsection.” Therefore, this third factor represents a hospital's uncompensated care amount for a given time period relative to the uncompensated care amount for that same time period for all hospitals that receive Medicare DSH payments in that fiscal year, expressed as a percent. For each hospital, the product of these three factors represents its additional payment for uncompensated care for the applicable fiscal year. We refer to the additional payment determined by these factors as the “uncompensated care payment.”
Section 1886(r) of the Act states that this provision is effective for “fiscal year 2014 and each subsequent fiscal year.” In the FY 2014 IPPS/LTCH PPS proposed rule (78 FR 27578 through 27592), we set forth our proposals for implementing the required changes to the DSH payment methodology. We noted that, because section 1886(r) modifies the payment required under section 1886(d)(5)(F) of the Act, it affects only the DSH payment under the operating IPPS. It does not revise or replace the capital IPPS DSH payment provided under the regulations at 42 CFR Part 412, Subpart M, which were established through the exercise of the Secretary's discretion in implementing the capital IPPS under section 1886(g)(1)(A) of the Act.
Finally, section 1886(r)(3) of the Act provides that there shall be “no administrative or judicial review under section 1869, section 1878, or otherwise” of “any estimate of the Secretary for purposes of determining the factors described in paragraph (2),” or of “any period selected by the Secretary” for the purpose of determining those factors. Therefore, there can be no administrative or judicial review of the estimates developed for purposes of applying the three factors used to determine uncompensated care payments, or the periods selected in order to develop such estimates.
Comment: Several commenters expressed concerns about the change in the payment methodology used to calculate Medicare DSH payments as a result of the implementation of section 3133 of the Affordable Care Act, which limits the Medicare DSH payment to 25 percent of what would have otherwise been paid prior to the enactment of section 3133 and establishes an uncompensated care payment calculated under a different payment methodology. The commenters were concerned about large redistributions in payments and hospitals experiencing large increases or decreases in payment with little notice. Some commenters requested that CMS implement a stop-loss and stop-gain policy that would limit the amount by which a hospital's Medicare DSH payments could change in a single year in order to minimize the effects of annual Medicare DSH payment adjustment changes. Some of these commenters suggested a stop-loss and stop-gain policy that would limit the amount by which a hospital's Medicare DSH payments could change in a single year by no more than 2 percent. Other commenters suggested that CMS institute a cap on the annual payment adjustments, or phase in the transition from Medicare DSH payments calculated prior to the enactment of section 3133 of the Affordable Care Act and Medicare DSH payments calculated under the new payment methodology mandated by section 3133 of the Affordable Care Act to mitigate drastic decreases in payments to eligible hospitals. The commenters noted that CMS has historically implemented transitions for policies that may cause significant changes in payments. The commenters recognized CMS' policy position regarding data finality, but expressed concern that significant increases or decreases in payments may suggest that the data are inaccurate. The commenters further stated that a stop-loss and stop-gain policy would protect against such problems. The commenters believed that the authority to implement a stop-loss and stop-gain policy is a logical extension of CMS' proxy authority granted under section 1886(r)(2)(C) of the Act to ensure data integrity.
Response: We appreciate the commenters' input. We do not believe that we have the statutory authority to phase in the transition from Medicare DSH payments calculated prior to the enactment of section 3133 of the Affordable Care Act to Medicare DSH payments calculated under the new payment methodology established by section 3133 of the Affordable Care Act, or to apply a cap on the change in Medicare DSH payments to eligible hospitals. Rather, we believe that we are required to reduce Medicare DSH payments to 25 percent of the amount that would otherwise be paid under section 1886(d)(5)(F) of the Act, effective for discharges occurring on or after October 1, 2013. In addition, we believe that we are required to make the additional payment for uncompensated care under the new payment methodology prescribed in section 1886(r)(2) of the Act effective for FY 2014. The change to the payment methodology for Medicare DSH payments for FY 2014 was designed to have redistributive effects in order to provide payments to eligible hospitals based upon their amount of uncompensated care relative to the total amount of uncompensated care furnished by all eligible hospitals. We also do not believe that the statute provides authority for adopting a stop-loss and stop-gain policy, or any other transitional methodology. Rather, the statute designates an effective date of October 1, 2013, for implementing both empirically justified Medicare DSH payments and uncompensated care payments.
Comment: Some commenters requested that CMS delay the implementation of this provision. These commenters cited factors such as uncertainties over the rate of reduction in uninsurance due to the decisions of some States not to adopt Medicaid expansion as reasons for recommending a delay. Some of these commenters indicated that a delay until FY 2016 would allow time to assess the effect of health care reform on the rates of insured and uninsured Americans and, therefore, would allow implementation of this provision in a manner that would be least disruptive to hospitals, especially those vulnerable hospitals that provide large amounts of uncompensated care.
Response: The statute provides that this provision will be effective “for fiscal year 2014 and each subsequent fiscal year” and, therefore, does not provide us with the flexibility to delay implementation.
b. Eligibility
As indicated above, the new payment methodology applies to “subsection (d) hospitals” that would otherwise receive a “disproportionate share payment . . . made under subsection (d)(5)(F).” Therefore, eligibility for empirically justified Medicare DSH payments is unchanged under this new provision. Consistent with the law, hospitals must receive empirically justified Medicare DSH payments in FY 2014 or a subsequent year to receive an additional Medicare uncompensated care payment for that year. Specifically, section 1886(r)(2) of the Act states that, “[i]n addition to the payment made to a subsection (d) hospital under paragraph (1) . . . the Secretary shall pay to such subsection (d) hospital an additional amount . . .” (Emphasis supplied.) Because paragraph (1) refers to empirically justified Medicare DSH payments, the additional payment under section 1886(r)(2) of the Act is, therefore, limited to hospitals that receive empirically justified Medicare DSH payments pursuant to section 1886(r)(1) of the Act for FY 2014 and subsequent years.
In the FY 2014 IPPS/LTCH PPS proposed rule (78 FR 27580), we proposed that hospitals that are not eligible to receive empirically justified Medicare DSH payments in FY 2014 and subsequent years would not receive uncompensated care payments for those respective years. We also proposed to make a determination concerning eligibility for interim uncompensated care payments based on each hospital's estimated DSH status for FY 2014 or the applicable year (using the most recent data that are available). We indicated that our final determination on the hospital's eligibility for uncompensated care payments would be based on the hospital's actual DSH status on the cost report for that payment year. (We discuss these proposals and our final policies in more detail below.)
In the course of developing the proposed policies for implementing section 1886(r) of the Act, we considered whether several specific classes of hospitals are included within the scope of the statutory provision. In particular, we considered whether the provision applies to (1) hospitals in the Commonwealth of Puerto Rico, (2) hospitals in the State of Maryland paid under a waiver as provided in section 1814(b) of the Act, (3) sole community hospitals (SCHs), (4) hospitals participating in the Bundled Payments for Care Improvement Initiative developed by the Center for Medicare and Medicaid Innovation (Innovation Center), and (5) hospitals participating in the Rural Community Hospital demonstration. We discuss each of these specific classes of hospitals below.
(1) Puerto Rico Hospitals
Under section 1886(d)(9)(A) of the Act, Puerto Rico hospitals subject to the IPPS are not “subsection (d) hospitals,” but rather constitute a distinct class of “subsection (d) Puerto Rico hospitals.” However, section 1886(d)(9)(D)(iii) of the Act specifies that subparagraph (d)(5)(F) (the provision governing the current DSH payment methodology) “shall apply to subsection (d) Puerto Rico hospitals . . . in the same manner and to the extent as [it applies] to subsection (d) hospitals.” While the new section 1886(r) of the Act does not specifically address whether the methodology established there applies to “subsection (d) Puerto Rico hospitals,” section 3133 of the Affordable Care Act does make a revision to section 1886(d)(5)(F)(i) of the Act that is crucial for determining the eligibility of Puerto Rico hospitals for empirically justified Medicare DSH payments and uncompensated care payments under the new provision. Specifically, section 3133 of the Affordable Care Act amended section 1886(d)(5)(F)(i) of the Act to provide that this section is “[s]ubject to subsection (r).” One effect of this amendment is to provide that all hospitals subject to section 1886(d)(5)(F)(i) of the Act, including “subsection (d) Puerto Rico hospitals,” also are subject to the new payment methodology established in section 1886(r) of the Act.
In the FY 2014 IPPS/LTCH PPS proposed rule (78 FR 27580), we proposed that subsection (d) Puerto Rico hospitals that are eligible for DSH payments also would be eligible to receive empirically justified Medicare DSH payments and uncompensated care payments under the new payment methodology. We invited public comments on this proposal.
Comment: Several commenters supported the proposal to include subsection (d) Puerto Rico hospitals that are eligible for Medicare DSH payments as hospitals eligible to receive empirically justified Medicare DSH payments and uncompensated care payments under the new payment methodology. However, some commenters, including hospitals from Puerto Rico and associations representing Puerto Rico hospitals, maintained that Puerto Rico hospitals have been unfairly deprived of ”DSH money” due to Puerto Rico's exclusion from the national SSI program. These commenters noted that because of the proposed methodologies for determining the empirically justified DSH payments and Factor 3 of the uncompensated care payment, Puerto Rico will continue to be unfairly deprived of DSH dollars despite having significant uncompensated care expenses.
Response: We are finalizing our proposal to include subsection (d) Puerto Rico hospitals that are eligible for Medicare DSH payments as hospitals eligible to receive empirically justified Medicare DSH payments and uncompensated care payments under the new payment methodology. With respect to the comment that Puerto Rico hospitals will continue to be unfairly deprived of Medicare DSH payments because the new methodology continues to rely on SSI days, we acknowledge the commenters' concerns and note that it is our view that section 1886(r)(1) of the Act requires us to use Medicare SSI days to determine the empirically justified Medicare DSH payments. We further note that, for the reasons discussed below, low-income insured days (which include Medicare SSI days) are currently the best data available that CMS can use as a proxy for the treatment costs of the uninsured and CMS intends to continue to develop an appropriate data source from which to determine the amount of uncompensated care provided by hospitals. However, we note that for FY 2014 the 51 hospitals in Puerto Rico are expected to experience a 41.3 percent increase in Medicare DSH payments (from approximately $8 million to $82 million, or a $74 million increase) due to the implementation of the changes to the DSH payment methodology under section 3133 of the Affordable Care Act, which represents a 41.8 percent increase in overall payments to these hospitals. Generally, Puerto Rico hospitals had a relatively low, less than 10 percent, Medicare utilization (as measured by a percentage of Medicare patient days to total patient days), therefore the changes in section 1886(r)(2) of the Act result in the significant increase for Puerto Rico. We refer readers to the appendix of this rule for a more detailed impact analysis.
(2) Hospitals Paid Under a Waiver Under Section 1814(b) of the Act
Under section 1814(b) of the Act, hospitals in the State of Maryland are subject to a waiver from the Medicare payment methodologies under which they would otherwise be paid. We have taken the position in other contexts, for example, for purposes of EHR incentive payments (75 FR 44448), that Maryland acute care hospitals remain subsection (d) hospitals. This is because these hospitals are “located in one of the fifty States or the District of Columbia” (as provided in the definition of subsection (d) hospitals) and do not meet the definitions of the hospitals that are specifically excluded from that category, such as cancer hospitals and psychiatric hospitals. However, section 1886(r) of the Act applies to hospitals that are both subsection (d) hospitals and hospitals that would otherwise receive a disproportionate share payment made under the previous DSH payment methodology. Because Maryland waiver hospitals are paid under section 1814(b)(3) of the Act and not under section 1886(d)(5)(F) of the Act, they are not eligible to receive empirically justified Medicare DSH payments and uncompensated care payments under the new payment methodology of section 1886(r) of the Act.
Comment: Several commenters supported the proposal to exclude Maryland hospitals, which are paid under section 1814(b)(3) of the Act and not under section 1886(d)(5)(F) of the Act, from hospitals eligible to receive empirically justified Medicare DSH payments and uncompensated care payments under the new payment methodology established under section 1886(r) of the Act.
Response: We appreciate the commenters' support and are finalizing this policy, as proposed.
(3) Sole Community Hospitals (SCHs)
SCHs are paid based on their hospital-specific rate from certain specified base years or the IPPS Federal rate, whichever yields the greatest aggregate payment for the hospital's cost reporting period. Payments based on the Federal rate are based on the IPPS standardized amount and include all applicable IPPS add-on payments, such as outliers, DSH, and IME, while payments based on the hospital-specific rate have no add-on payments. For each cost reporting period, the fiscal intermediary/MAC determines which of the payment options will yield the highest aggregate payment. Interim payments are automatically made on a claim-by-claim basis at the highest rate using the best data available at the time the fiscal intermediary/MAC makes the payment determination for each discharge. However, it may not be possible for the fiscal intermediary/MAC to determine in advance precisely which of the rates will yield the highest aggregate payment by year's end. In many instances, it is not possible to forecast outlier payments or the final amount of the DSH payment adjustment or the IME adjustment until cost report settlement. As noted above, these adjustment amounts are applicable only to payments based on the Federal rate and not to payments based on the hospital-specific rate. The fiscal intermediary/MAC makes a final adjustment at cost report settlement after it determines precisely which of the payment rates would yield the highest aggregate payment to the hospital for its cost reporting period. This payment methodology makes SCHs unique as they can change on a yearly basis from receiving hospital-specific rate payments to receiving Federal rate payments, or vice versa.
In order to implement the provisions of section 1886(r) of the Act, in the FY 2014 IPPS/LTCH PPS proposed rule (78 FR 27580), we proposed to continue to determine interim payments for SCHs based on what we estimate and project their DSH status to be prior to the beginning of the Federal fiscal year (based on the best available data at that time), subject to settlement through the cost report. We also proposed that SCHs that receive interim empirically justified Medicare DSH payments in a fiscal year would receive interim uncompensated care payments that fiscal year, subject as well to settlement through the cost report. Final eligibility determinations would be made at the end of the cost reporting period at settlement, and both interim empirically justified Medicare DSH payments and uncompensated care payments would be adjusted accordingly. Therefore, we proposed to follow the same processes of interim and final payments for SCHs that we proposed to follow for eligible IPPS DSH hospitals generally. (We discuss these processes in more detail below.)
Comment: Many commenters supported the proposal to allow SCHs that receive interim empirically justified Medicare DSH payments in a fiscal year to receive interim uncompensated care payments that fiscal year, subject to settlement through the cost report. However, one commenter stated that even an SCH paid under the hospital-specific rate during a fiscal year that, therefore, would not receive empirically justified Medicare DSH payments in that year should still receive uncompensated care payments, provided that the SCH otherwise qualifies for empirically justified Medicare DSH payments under § 412.106(c). The commenter stated that, “Since such payments are not discharge-related payments, uncompensated care payments should be paid in addition to any discharge-related payments for an SCH, whether such discharge-related payments are calculated on the basis of the federal standardized amount, plus DSH payments, or on the basis of the HSP, without DSH payments. In other words, if an SCH has aggregate HSP payments that exceed the sum of federal standardized amount and DSH payments, the SCH should still receive uncompensated care payments under 42 CFR 412.106(g)-(h), as long as it is DSH-eligible under 42 CFR 412.106(c).”
Response: We do not agree with the commenter who stated that SCHs paid under the hospital-specific rate during a fiscal year should still receive uncompensated care payments provided that the SCH otherwise qualifies for empirically justified Medicare DSH payments under § 412.106(c). As we have noted above, section 1886(r)(2) of the Act specifically states that, “[i]n addition to the payment made to a subsection (d) hospital under paragraph (1) . . . the Secretary shall pay to such subsection (d) hospital an additional amount . . .” (Emphases supplied.) Because paragraph (2) provides that the uncompensated care payment is to be made “in addition to” the empirically justified Medicare DSH payments made under paragraph (1), a hospital must receive empirically justified Medicare DSH payments under section 1886(r)(1) in order to receive the additional payment under section 1886(r)(2) of the Act for FY 2014 and subsequent years.
As previously noted, under the SCH payment methodology, SCHs are paid the higher of the Federal rate or a hospital-specific payment rate. This payment methodology is defined under sections 1886(d)(5)(D)(i) and 1886(d)(1)(A)(iii) of the Act. Section 1886(d)(3) of the Act specifically provides that SCH payments are to be made on a per-discharge basis. Accordingly, as we also note below, in the FY 2014 IPPS/LTCH PPS proposed rule (78 FR 27581), we proposed that the uncompensated care payments would not be accounted for in determining whether an SCH is paid the higher of the Federal rate or the hospital-specific rate. This is because we proposed that the uncompensated care payments would not be discharge-driven payments, but rather payments made on the basis of a hospital's overall share of uncompensated care during a payment year. The amount of a hospital's uncompensated care payments for a year is not directly affected by the number of the hospital's discharges for the year. Therefore, we did not believe that uncompensated care payments should be taken into account in a comparison based on discharge driven hospital-specific and Federal rate payments. Furthermore, as we proposed later in the proposed rule, we intended to make interim uncompensated care payments on a periodic basis rather than a per discharge basis in order to create more predictability for hospitals and to increase administrative efficiency. To the extent the payments are intended to reflect the relative amount of uncompensated care furnished by the hospital, we considered it both reasonable and appropriate to view this payment as an amount for the year, which in the interests of predictability and consistency is made periodically through interim payments.
We invited public comments on all of these proposals affecting SCHs.
Comment: Several commenters objected to the proposal not to take uncompensated care payments into account in the comparison of payments under the hospital-specific rate and the Federal rate that occurs on a discharge basis and at cost report settlement for SCHs. These commenters contended that the proposed policy amounted to imposing a payment cut on many SCHs. This is because the proposed policy would have the result that more SCHs would be paid under their hospital-specific rate rather than the higher Federal rate because the equivalent of 75 percent of the former DSH payment amounts would no longer be included in the Federal rate side of the comparison. The commenters maintained that it was not the intention of the new payment adjustment methodology for disproportionate share hospitals to impose reductions in payments indirectly on hospitals paid under different provisions of the statute.
Response: We agree with these commenters that it is not the intention of the new payment adjustment methodology for disproportionate share hospitals to impose reductions in payments indirectly on hospitals paid under different provisions of the statute. We continue to believe that the periodic biweekly payments approach would be consistent with the statute, and that it would be, in isolation, the most administratively efficient means to distribute the fixed amount of a hospital's uncompensated care payment in a manner that would avoid the potential for large over- and/or under- payments during the year and, therefore, limit the need for reconciliation at cost report settlement. However, after a thorough review of the above policy considerations reflected in the numerous public comments we received, we believe that distributing these payments on a per-discharge basis would allow these payments to be considered in the comparison of payments under the Federal rate and the hospital-specific rate for SCHs. We believe that this is an appropriate policy because this approach provides all SCHs an opportunity to be eligible for uncompensated care payments. To the extent that their payments under their hospital-specific rate are higher, we believe that it is appropriate that they do not receive uncompensated care payments because they are no longer eligible for DSH payments, as we describe above. However, after consideration of the public comments we received, we believe that it is appropriate for the uncompensated care payment to be considered as part of an SCH's payment under the Federal rate. For this and other reasons which we discuss later in this preamble, we have decided not to finalize our proposed policy to make interim uncompensated care payments on a periodic basis rather than a per-discharge basis for FY 2014. We discuss the operational details of including the uncompensated care amount in the payment for each IPPS hospital discharge in greater detail below in section V.E.3.f. of the preamble of this final rule. However, one result of including the uncompensated care payments in the payment for each hospital discharge is that such payments can now also be included in the comparison of the hospital-specific and Federal rate payments for SCHs. That is, we will now be able to employ the claims processing system to compare each SCH's payment under the hospital-specific rate to its Federal rate, including uncompensated care payments.
(4) Hospitals Participating in the Bundled Payments for Care Improvement Initiative
IPPS hospitals that have elected to participate in the Bundled Payments for Care Improvement initiative receive a payment that links multiple services furnished to a patient during an episode of care. We have stated in previous rulemaking that those hospitals continue to be paid under the IPPS (77 FR 53342). Hospitals that elect to participate in the initiative can still receive DSH payments while participating in the initiative, if they otherwise meet the requirements for receiving such payments.
In the FY 2014 IPPS/LTCH PPS proposed rule (78 FR 27581), we proposed to apply the new DSH payment methodology to the hospitals in this initiative, so that eligible hospitals would receive empirically justified Medicare DSH payments and uncompensated care payments. We invited public comments on this proposal.
Comment: Several commenters supported the proposal to apply the new Medicare DSH payment adjustment methodology to the hospitals in the Bundled Payments for Care Improvement initiative so that eligible hospitals would receive empirically justified Medicare DSH payments and uncompensated care payments.
Response: We appreciate the commenters' support and are finalizing this policy, as proposed.
(5) Hospitals Participating in the Rural Community Hospital Demonstration
Section 410A of the Medicare Modernization Act established the Rural Community Hospital Demonstration Program. After the initial 5-year period, the demonstration was extended for an additional 5-year period by sections 3123 and 10313 of the Affordable Care Act. There are 23 hospitals currently participating in the demonstration. Under the payment methodology provided in section 410A, participating hospitals receive payment for Medicare inpatient services on the basis of a cost methodology. Specifically, for discharges occurring in the hospitals' first cost reporting period of the initial 5-year demonstration or the first cost reporting period of the 5-year extension, they receive payments for the reasonable cost of providing such services. For discharges occurring in subsequent cost reporting periods during the applicable 5-year demonstration period, hospitals receive the lesser of the current year's reasonable cost amount, or the previous year's amount updated by the percentage increase in the IPPS market basket (the target amount). (We refer readers to section V.K. of the preamble of this final rule for further information on the demonstration.) The instructions (CR 5020 (April 14, 2006) and CR 7505 (July 22, 2011)) for the demonstration require that the fiscal intermediary/MAC not pay Medicare DSH payments in addition to the amount received under the cost-based payment methodology. Although the amounts that would otherwise be paid for Medicare DSH payments (absent the demonstration) are calculated and identified on the hospital cost report for statistical and research purposes, as in the case of Maryland waiver hospitals, hospitals in this demonstration do not receive a separate or identifiable DSH payment.
Because hospitals participating in the Rural Community Hospital Demonstration do not receive DSH payments, these hospitals also are excluded from receiving empirically justified Medicare DSH payments and uncompensated care payments under the new payment methodology.
Comment: Several commenters supported the proposal to exclude hospitals participating in the Rural Community Hospital Demonstration program from receiving empirically justified Medicare DSH payments and uncompensated care payments under the new payment methodology.
Response: We appreciate the commenters' support and are finalizing this policy, as proposed.
c. Empirically Justified Medicare DSH Payments
As we have discussed above, section 1886(r)(1) of the Act requires CMS to pay 25 percent of the “amount of disproportionate share hospital payment that would otherwise be made under subsection (d)(5)(F) to a subsection (d) hospital.” Currently, we have a system for interim payment and final settlement of DSH payments made under section 1886(d)(5)(F). Specifically, interim payments are made for each claim based on the best available data concerning each hospital's eligibility for DSH payments and the appropriate level of such payments. Final eligibility for Medicare DSH payments and the final amount of such payments for eligible hospitals are determined at the time of cost report settlement. Because section 1886(r)(1) of the Act merely requires the program to pay a designated percentage of these payments, without revising the criteria governing eligibility for DSH payments or the underlying payment methodology, we stated in the proposed rule that we did not believe that it is necessary to develop and propose any new operational mechanisms for making such payments.
Therefore, in the FY 2014 IPPS/LTCH PPS proposed rule (78 FR 27581), we proposed to implement this provision simply by revising the claims payment methodologies to adjust the interim claim payments to the requisite 25 percent of what would have otherwise been paid. We also indicated that we would make corresponding changes to the hospital cost report so that these empirically justified Medicare DSH payments can be settled at the appropriate level at the time of cost report settlement. We stated that we would provide more detailed operational instructions and cost report instructions following display of the final rule in the Federal Register.
We proposed to implement this provision by adding a new paragraph (f) under the regulations at § 412.106. This proposed new paragraph provides for reducing Medicare DSH payments by 75 percent beginning in FY 2014.
We invited public comments on this proposal.
Comment: Several commenters supported the proposal to implement this provision by revising the claims payment methodologies to adjust the interim claim payments to the requisite 25 percent of what would have otherwise been paid. The commenters also supported the proposal to make corresponding changes to the hospital cost report so that these empirically justified Medicare DSH payment adjustments can be settled at the appropriate level at the time of cost report settlement.
Response: We appreciate the commenters' support and are finalizing these policies, as proposed, by adding a new paragraph (f) under § 412.106 to reflect the policies.
Comment: Several commenters requested that CMS undertake additional audits to verify the data used to compute the 25-percent empirically justified Medicare DSH payment adjustments. Other commenters requested that CMS grant additional time for hospitals to verify the data and adjust their cost reports to ensure that the data used to compute the adjustment are accurate and up to date. Some commenters requested that CMS establish procedures to allow a hospital initially determined not to be eligible for Medicare DSH payments to begin receiving empirically justified Medicare DSH payments if data become available that indicate that the hospital would be eligible.
Response: As we have emphasized, we are maintaining the well-established methodology and payment processes used under the current Medicare DSH payment adjustment methodology for purposes of making the empirically justified Medicare DSH payment adjustments. Hospitals are quite familiar with the cost reporting requirements and auditing procedures employed under the current Medicare DSH payment adjustment methodology. Hospitals are also familiar with the current process of determining interim eligibility for Medicare DSH payments with final determination at cost report settlement. Therefore, we do not believe that it would be warranted to add additional complexity to these procedures by adopting any of these recommendations.
Comment: Several commenters noted that, under the Medicare Prescription Drug, Improvement, and Modernization Act of 2003, a 12-percent cap was placed on DSH payment adjustment percentages for certain rural hospitals, including those with SCH status. These commenters also noted that CMS' proposal was silent about how this cap provision will apply to calculations under the revised Medicare DSH payment adjustment methodology. The commenters agreed that the cap should apply to the calculation of the empirically justified Medicare DSH payment adjustment amounts and the Factor 1 computation in the uncompensated care payment determination. However, the commenters expressed concern that the cap could be applied again when formulating the overall Medicare DSH payment adjustment amount that a hospital receives. If the cap were to apply to the overall Medicare DSH payment adjustment amount, the commenters asserted that hospitals would in effect be penalized twice, once when calculating the empirically justified Medicare DSH payment adjustment amount and the amount of Factor 1, which is equal to 75 percent of the DSH payments that would otherwise have been made under section 1886(d)(5)(F), and again when formulating the overall Medicare DSH payment adjustment amount that the hospital receives. Therefore, the commenters asked CMS to clarify and confirm that the cap provision will not be applied to the overall Medicare DSH payment adjustment amount that each hospital receives.
Response: Under the Medicare DSH statute, certain hospitals are subject to a 12-percent cap on their DSH payment adjustment percentage. For these hospitals, the maximum DSH payment adjustment factor has historically been 12 percent, regardless of how high the DPP for these hospitals was. We note that the 12-percent cap only applies to the following hospital types: hospitals located in urban areas with less than 100 beds, and hospitals located in rural areas with less than 500 beds (however, we note that the 12-percent cap does not apply to Rural Referral Centers or to Medicare Dependent Hospitals, regardless of bed size). We agree with the commenters that the cap should not be applied to payments under section 1886(r)(2) of the Act. Although we did not state so specifically, the commenters were correct to infer, from our proposal to continue employing the current Medicare DSH payment adjustment methodology in determining the empirically justified Medicare DSH payment amount, that the cap should and would be applied when calculating payments under section 1886(r)(1) of the Act (which is 25 percent of the amount otherwise payable under section 1886(d)(5)(F). This is because the cap under section 1886(d)(5)(F)(xiv)(II) limits the amount of the payment adjustment under section 1886(d)(5)(F), and payments under section 1886(r)(1) are 25 percent of the payments that would otherwise be made under section 1886(d)(5)(F), we believe the cap necessarily applies to payments under section 1886(r)(1) as well. Similarly, the commenters were correct to infer that the application of the cap on Medicare DSH payment adjustments to those hospitals would be taken into account in determining Factor 1 of the uncompensated care payment determination, which is equal to 75 percent of the aggregate amount of payments that would otherwise be made under section 1886(d)(5)(F). However, there is nothing in the statute that requires an application of this cap to the final amount of uncompensated care payments hospitals receive, beyond taking it into consideration in the estimate of Factor 1. Therefore, we are taking this opportunity to confirm that our proposal did not imply that the cap would be applied to payments to hospitals under section 1886(r)(2) of the Act.
Comment: One commenter asked CMS to clarify how it will apply the cap to the empirically justified Medicare DSH payments. The commenter offered the following example:
“If a hospital subject to the twelve-percent cap has a disproportionate share patient percentage sufficient to generate a disproportionate share adjustment percentage of 16 percent pursuant to [section] 1886(d)(5)(F)(vii) [of the Act], under the proposed formula, CMS could use either 16 percent or 12 [percent] as the empirically justified amount. If the Agency uses 16 percent, then the empirically justified amount portion of the formula would be 4 percent (16 * 0.25); if the agency uses 12 percent, then the empirically justified amount portion of the formula would be 3 percent (12 * 0.25).”
Response: Section 1886(r)(1) of the Act clearly provides that Medicare shall pay 25 percent of the amount that would otherwise be paid “under subsection (d)(5)(F) to a subsection (d) hospital.” The cap provision is stipulated under section 1886(d)(5)(F)(xiv)(II) of the Act. Therefore, for purposes of the empirically justified Medicare DSH payment adjustment amount under section 1886(r)(1) of the act, Medicare is only authorized to pay 25 percent of the amount otherwise payable under section 1886(d)(5)(F), subject to the 12-percent cap. We note that the 12-percent cap only applies to the following hospital types: hospitals located in urban areas with less than 100 beds, and hospitals located in rural areas with less than 500 beds (however, we note that the 12-percent cap does not apply to Rural Referral Centers or to Medicare Dependent Hospitals, regardless of bed size). In the commenter's example, the empirically justified Medicare DSH payment adjustment amount paid under section 1886(r)(1) of the Act would be 25 percent of the maximum 12-percent DSH adjustment factor under section 1886(d)(5)(F) of the Act, or 3 percent (12 * 0.25). That is, the empirically justified Medicare DSH payment adjustment amount paid under section 1886(r)(1) of the Act could not exceed 25 percent of the maximum 12-percent DSH adjustment factor under section 1886(d)(5)(F) of the Act and, therefore, could not exceed 3 percent.
d. Uncompensated Care Payments
As we have discussed above, section 1886(r)(2) of the Act provides that, for each eligible hospital in FY 2014 and subsequent years, the new uncompensated care payment is the product of three factors. These three factors represent our estimate of 75 percent of the amount of Medicare DSH payments that would otherwise have been paid, an adjustment to this amount for the percent change in the national rate of uninsurance compared to a base of 2013, and each eligible hospital's estimated uncompensated care amount relative to the estimated uncompensated care amount for all eligible hospitals. Below we discuss the proposed data sources and methodologies for computing each of these factors and our final policies.
Before we begin to discuss these data sources and methodologies, it is necessary to discuss the timing and manner for determining the eligibility of hospitals for uncompensated care payments. The statute provides that subsection (d) hospitals that receive a payment under section 1886(d)(5)(F) of the Act are eligible to receive a payment under section 1886(r)(2) of the Act. Specifically, section 1886(r)(2) of the Act states that, “[i]n addition to the payment made to a subsection (d) hospital under paragraph (1) . . . the Secretary shall pay to such subsection (d) hospitals an additional amount. . . .” Therefore, because paragraph (1) refers to empirically justified Medicare DSH payments, the additional payment for FY 2014 and subsequent years is limited to hospitals that receive empirically justified Medicare DSH payments for the respective year. However, as we have discussed above, we currently have a system for interim payment and final settlement of DSH payments. Specifically, interim payments are made for each claim based on the best available data concerning each hospital's eligibility for DSH payments and the appropriate level of such payments. Final determination of eligibility for Medicare DSH payments and the final amount of such payments for eligible hospitals are determined at the time of cost report settlement.
As we describe above, because section 1886(r)(1) of the Act does not revise the criteria governing eligibility for DSH payments or the underlying payment methodology, we do not believe that it is necessary to develop any new operational mechanisms for making such payments and, therefore, will continue using the existing system of interim eligibility and payment determination with final cost report settlement for the empirically justified Medicare DSH payments. In the FY 2014 IPPS/LTCH PPS proposed rule (78 FR 27582), we proposed to adopt a similar system of interim eligibility and payment determination with final cost report settlement for purposes of uncompensated care payments. We discussed our proposals regarding the specific operational details of this system in section V.E.3.f. of the preamble of the proposed rule.
We invited public comments on these proposals.
Comment: Some commenters requested that if CMS has initially projected that a hospital is ineligible for uncompensated care payments, but data later become available to indicate that the hospital is eligible, the hospital be able to receive the uncompensated care payments prior to cost report settlement.
Response: For the reasons discussed above regarding the empirically justified Medicare DSH payments, we do not believe that it is necessary or advisable to depart from our longstanding process of making interim eligibility determinations for Medicare DSH payments with final determination at cost report settlement. As we discuss in greater detail in section V.E.3.f. of the preamble to this final rule, we will make interim eligibility determinations based on data from the most recently available SSI ratios and Medicaid fractions prior to the beginning of the payment year. We will then make final determinations of eligibility at the time of settlement of each hospital's cost report. Therefore, if a hospital is initially determined to be ineligible for payments under sections 1886(r)(1) and 1886(r)(2) of the Act, but is later determined to indeed be eligible, we are adopting as final our proposal to make those payments at cost report settlement. We also note that, consistent with our decision, as discussed in the next section, to determine Factor 1 prospectively, we will not revise Factor 1 retrospectively to account for the effects of these final determinations of eligibility for payments under sections 1886(r)(1) and 1886(r)(2) of the Act at cost report settlement.
(1) Methodology To Calculate Factor 1
Section 1886(r)(2)(A) of the Act establishes Factor 1 in the calculation of the uncompensated care payment. Section 1886(r)(2)(A) of the Act states that it is a factor “equal to the difference between (i) the aggregate amount of payments that would be made to subsection (d) hospitals under subsection (d)(5)(F) if this subsection did not apply for such fiscal year (as estimated by the Secretary); and (ii) the aggregate amount of payments that are made to subsection (d) hospitals under paragraph (1) for such a fiscal year (as so estimated).” Therefore, section 1886(r)(2)(A)(i) of the Act represents the estimated Medicare DSH payment that would have been made under section 1886(d)(5)(F) if section 1886(r) of the Act did not apply for such fiscal year. Section 1886(r)(2)(A)(i) of the Act specifies that, for each fiscal year to which the provision applies, such amount is to be “estimated by the Secretary.” Under a prospective payment system, we would not know the precise aggregate Medicare DSH payment amount that would be paid for a Federal fiscal year until cost report settlement for all IPPS hospitals is completed, which occurs several years after the end of the Federal fiscal year. Therefore, the statute gives CMS authority to estimate this amount, by specifying that, for each fiscal year to which the provision applies, such amount is to be “estimated by the Secretary.” Similarly, section 1886(r)(2)(A)(ii) of the Act represents the estimated empirically justified Medicare DSH payments to be made in FY 2014 and subsequent years, as prescribed under section 1886(r)(1) of the Act. Again, section 1886(r)(2)(A)(ii) of the Act gives CMS authority to estimate this amount.
Therefore, Factor 1 is the difference between our estimates of: (1) The amount that would have been paid in Medicare DSH payments for FY 2014 and subsequent years, in the absence of the new payment provision; and (2) the amount of empirically justified Medicare DSH payments that are made for FY 2014 and subsequent years, which takes into account the requirement to pay 25 percent of what would have otherwise been paid under section 1886(d)(5)(F) of the Act. In other words, this factor represents our estimate of 75 percent (100 percent minus 25 percent) of our estimate of Medicare DSH payments that would otherwise be made, in the absence of section 1886(r) of the Act, for FY 2014 and subsequent years.
In order to determine Factor 1 in the uncompensated care payment formula, we proposed to develop final estimates of both the aggregate amount of Medicare DSH payments that would be made in the absence of section 1886(r)(1) and the aggregate amount of empirically justified Medicare DSH payments to hospitals under section 1886(r)(1) of the Act prior to each fiscal year to which the new provision applies. We believe this will create some level of predictability and finality for hospitals eligible for these payments, in addition to being administratively efficient. Specifically, in order to determine the two elements of Factor 1 (Medicare DSH payments prior to the application of section 1886(r)(1) of the Act, and empirically justified Medicare DSH payments after application of section 1886(r)(1)), we proposed to use the most recently available projections of Medicare DSH payments for FY 2014 and each subsequent year, as calculated by CMS' Office of the Actuary. The Office of the Actuary projects Medicare DSH payments on a biannual basis, typically in February of each year (based on data from December of the previous year) as part of the President's Budget, and in July (based on data from June) as part of the Midsession Review. The estimates are based on the most recently filed Medicare hospital cost report with Medicare DSH payment information and the most recent Medicare DSH patient percentages and Medicare DSH payment adjustments provided in the IPPS Impact File.
Therefore, for the Office of the Actuary's February 2013 estimate, the data are based on the December 2012 update of the Medicare Hospital Cost Report Information System (HCRIS) and the FY 2013 IPPS/LTCH PPS final rule IPPS Impact file, published in conjunction with the publication of the FY 2013 IPPS/LTCH PPS final rule. For the July 2013 estimate, we anticipated that the data would be based on the March 2013 update of the Medicare Hospital Cost Report data and the proposed rule's IPPS Impact file, published in conjunction with the proposed rule. For purposes of the proposed rule, we used the February 2013 Medicare DSH estimates to calculate Factor 1 and to model the proposed impact of this provision. We stated that if our proposal to use the Office of the Actuary's projections for Factor 1 is finalized, we would use the July 2013 Medicare DSH estimates to determine Factor 1 for this FY 2014 IPPS/LTCH PPS final rule.
In addition, because we proposed to exclude SCHs paid under their hospital-specific payment rate from the application of section 1886(r) of the Act, we also proposed to exclude these hospitals from our Medicare DSH estimate. Similarly, because Maryland hospitals and hospitals participating in the Rural Community Hospital Demonstration do not receive DSH payments, we also proposed to exclude these hospitals from our Medicare DSH estimate.
Using the data sources discussed above, the Office of the Actuary uses the most recently submitted Medicare cost report data to identify current Medicare DSH payments and the most recent DSH payment adjustments provided in the IPPS Impact File, and applies inflation updates and assumptions for future changes in utilization and case-mix to estimate Medicare DSH payments for the upcoming fiscal year. The February 2013 Office of the Actuary estimate for Medicare DSH payments for FY 2014, without regard to the application of section 1886(r)(1) of the Act, was $12.338 billion. This estimate excludes Maryland hospitals, SCHs paid under their hospital-specific payment rate and hospitals participating in the Rural Community Hospital Demonstration as discussed above. Therefore, based on this estimate, the estimate for empirically justified Medicare DSH payments for FY 2014, with the application of section 1886(r)(1) of the Act, was $3.084 billion (25 percent of the total amount estimated). Under our proposal, Factor 1 is the difference of these two estimates of the Office of the Actuary. Therefore, for the purpose of modeling Factor 1, we calculated Factor 1 to be $9.2535 billion.
We also proposed to develop and use the estimates necessary for Factor 1 on a purely prospective basis. We proposed to use the Actuary's most recent February Medicare DSH estimates each year to calculate Factor 1 and to model the impact of this provision for the IPPS/LTCH PPS proposed rule. Similarly, we proposed to use the Actuary's most recent July Medicare DSH estimates to determine Factor 1 for the IPPS/LTCH PPS final rule each year. In other words, we would not revise or update our estimates after we know the final Medicare DSH payments for FY 2014 and subsequent years. As we discussed earlier, we do not know the aggregate Medicare DSH payment amount that would be paid for each federal fiscal year until the time of cost report settlements, which occur several years after the end of the fiscal year. Because the statute provides that CMS use estimates in order to determine Factor 1 each year, we stated that we believe that applying our best estimates prospectively would be most conducive to administrative efficiency, finality, and predictability in payments. We proposed to add a new paragraph (g)(1)(i) under § 412.106 of our regulations to define the methodology for calculating Factor 1.
We invited public comments on all the elements of this proposed methodology to calculate Factor 1.
Comment: Some commenters pointed out that the summary analysis that CMS provided of the uncompensated care Factor 1 estimate indicates that the 2009 Medicare DSH payments were used as the starting point to project expected empirically justified Medicare DSH payment adjustments for FY 2014. The commenters noted that the current 2009 Medicare DSH payments do not reflect several key issues that have yet to be settled by the courts, such as dual eligible days and MA days, or issues that have already been settled such as labor and delivery room days. In addition, the commenters noted that the majority of the 2009 cost reports remain unaudited. Therefore, commenters maintained that we should not use 2009 as a base year for empirically justified Medicare DSH payment adjustment eligibility without finalizing all 2009 cost reports and appeals.
Response: In this final rule, our Office of the Actuary has based its projections on cost reports for fiscal year 2010 as a starting point. This is the most recent year for which cost report data has been submitted by almost all the hospitals, which is very important for purposes of estimating the full amount of empirically justified Medicare DSH payments. We do not believe that we should employ a cost reporting period for which cost report data have all been audited because doing so would require using much earlier data as the basis for the projection. This would create the potential for much larger projection errors and would, therefore, not tend to increase the accuracy of the projection.
Comment: Some commenters noted that CMS proposed to use 2009 cost report data as the base year for Factor 1, but to use 2010-2012 cost report data for purposes of the Factor 3 calculations. The commenters asked why the baseline information cannot be derived from the same period as the data used in the Factor 3 calculation and urged CMS to reconcile this discrepancy.
Response: In order to determine the total amount of Medicare DSH spending for Factor 1, it is important to use the latest available data year for which almost all hospitals have submitted their cost reports, which for purposes of this final rule is 2010 cost report data. This is because we are computing a total number that must include all hospitals and, therefore, to avoid discrepancies, we believe that it is important to use data from the same time period for all hospitals. Therefore, we believe that it is appropriate to use a data year that does not include some hospitals. However, for purposes of determining hospital-specific factors used to compute Factor 3, it is important to use the most recent data for each hospital. In this way, the projections for each hospital will be as accurate as possible because we use the most recent available data. It is more important in this case to provide for the most accurate projection for each hospital than to employ data from the same cost reporting period for each hospital. Therefore, using different years in making these two determinations actually enhances, rather than detracts from, the accuracy of these projections.
Comment: One commenter maintained that we underestimated the 2009 Medicare DSH amount by not including adjustments required by the recent decision in Allina v. Sebelius. The commenter estimated that the projected 2014 Medicare DSH payments, which are based on 2009 DSH payments, are understated by $1.1 billion as a result of the incorrect treatment of MA days. Therefore, the commenter argued that CMS must use proper 2009 Medicare DSH data, including corrections required as a result of court cases, before it can appropriately extrapolate the data for current year calculations.
Response: The commenter is correct that we did not include the effects of any court cases that are not already reflected in the cost reports in developing our estimate for Factor 1. We continue to believe that Allina was wrongly decided and have appealed the decision. Therefore, a final decision has not yet been rendered in the case. We note that elsewhere in this final rule, we are finalizing our proposal to readopt our policy to include Medicare Advantage days in the Medicare SSI ratio, which we believe further makes it unnecessary to revise our Factor 1 estimate. A secondary reason for not including such an adjustment in our estimate is that we are not aware of a methodology that could accurately estimate the impact of any court cases and so introducing another estimate would likely reduce, not improve, the accuracy of our calculations. We appreciate that the commenter has offered an estimate but we are unable to verify the methodology and computations used to develop it.
Comment: One commenter noted that the summary analysis of the uncompensated care Factor 1 estimate that we provided after the publication of the proposed rule includes a column for “other” adjustment factors used in developing the estimate. However, the commenter stated that CMS did not provide the detail explaining and supporting this factor. The commenter further noted that the footnote to the “other” column states: “Other column includes impact of only IPPS discharges and impact of DSH payments increasing or decreasing at a different rate than other IPPS payments.” The commenter requested that CMS provide the details behind this factor.
Response: The “other” “adjustment factors as mentioned in the data file supporting our estimate of Factor 1 reflect two identifiable factors: The impacts of (1) only including IPPS discharges in the calculation, and (2) of Medicare DSH payments increasing or decreasing at a different rate than other IPPS payments. In relation to the first factor, an adjustment is made to reflect the fact that IPPS discharges increase at a different rate than total inpatient hospital discharges (which are reflected in the discharge column of the data file). The second factor comes into play if the Medicare DSH payments under IPPS are increasing faster or slower than all payments to IPPS hospitals, which is determined by looking at prior year's impact files. We note that the application of these “other” adjustment factors has caused the total Medicare DSH estimate to increase. If we were to ignore these factors, the final Medicare DSH payment estimate used for purposes of estimating Factor 1 would be much lower.
Comment: Some commenters stated that the same summary analysis of the Medicare DSH payments estimate includes an adjustment factor for discharges. However, the commenters noted that CMS had not provided the detail supporting the discharge factor it used. In addition, the commenters stated that the footnote to the discharge column states that all inpatient hospitals were included, not just IPPS hospitals. The commenters suggested that because the purpose of the projection is to estimate the amount of Medicare DSH payments that will go to a subset of all inpatient hospitals, CMS should use only the hospitals' projected share in the payments when determining the factors that drive the estimate.
Response: We agree that the Medicare DSH payment projections ideally should reflect only the number of discharges for IPPS hospitals. However, the Office of the Actuary only has projections of total inpatient hospital discharges. As a result, in this calculation we have included an adjustment to reflect the impact of IPPS hospitals' discharges as part of the “other” adjustment factors that we have just discussed.
Comment: Several commenters asserted that CMS' assumption that actual Medicare DSH payments made for FY 2012 amounted to only $11.59 billion is illogical and unsupported by any substantial evidence. The commenters stated that, first, this assumption conflicts with other recent estimates by the same Actuary concerning total Medicare DSH payments for the same year, 2012. The commenters noted that within 1 month of the release of the proposed rule, CMS released data, which it attributed to the Office of the Actuary indicating that aggregate Medicare DSH payments for FY 2012 totaled $11.93 billion. The commenters pointed out that this number is nearly $400 million greater than the 2012 estimate (extrapolated from 2009 data) used to calculate Factor 1 in the proposed rule.
Response: The estimate of $11.93 billion in Medicare DSH payments for FY 2012 was based on all reported Medicare DSH payments, which are shown on the cost reports. We note that Maryland hospitals, SCHs, and hospitals participating in the Rural Community Hospital Demonstration program report DSH payments on their cost reports even if ultimately they are not paid a DSH payment adjustment. Therefore, this estimate included payments for three categories of hospitals that will not receive uncompensated care payments: Maryland hospitals; SCHs paid on a hospital-specific basis; and hospitals that are part of the Rural Community Hospital Demonstration program. Therefore, we removed the estimated DSH payments for these three categories of hospitals for purposes of determining Factor 1 in the proposed rule. The removal of these hospitals reduced the Factor 1 estimate to $11.59 billion compared to the $11.93 billion estimate of all reported Medicare DSH payments.
Comment: Several commenters stated that the summary analysis of the Medicare DSH payment estimate includes an adjustment factor for case-mix. However, the commenters noted that CMS had not provided the detail supporting the case-mix factor used. The commenters suggested that CMS provide the details behind this factor to allow for comprehensive comments. In addition, these commenters requested that CMS clarify how the case-mix change from year to year was derived as it relates to the documentation and coding adjustment. The commenters pointed out that the trend in the change in case-mix from year to year does not seem to support the need for a documentation and coding adjustment and, in fact, the year-to-year change in two cases is a decrease. The commenters urged CMS to ensure that the case-mix being used does not already reflect the documentation and coding adjustment so providers can be certain the adjustment is not being made twice.
Response: The case-mix increase is calculated using the weighted average of the relative weights for each year. These relative weights are weighted by the number of discharges in the first year. The case-mix numbers used in the estimate of Medicare DSH payments do not include the documentation and coding adjustments. The years which have been adjusted for documentation and coding (as required by law) occurred before the years shown in this data file.
Comment: Several commenters noted that, based on projections made by CBO, the number of uninsured people is projected to drop 11.2 percentage points in 2014 compared to 2013. The commenters expressed the view that the projected decline in the uninsured rate is due in part to the potential addition of 9 million new Medicaid recipients, according to the May 2013 CBO projections to be used by CMS. However, the commenters stated that it does not appear that the projected 2014 Medicare DSH amount includes expected additional Medicare DSH payments due to Medicaid expansion and requested that CMS provide additional information.
Response: We agree with the commenters that the number of Medicaid days will likely increase as a result of Medicaid expansion, therefore likely increasing the aggregate amount of payments that would have been made to subsection (d) hospitals under section 1886(d)(5)(F) of the Act if section 1886(r) of the Act did not apply. Medicaid days are included as part of a hospital's disproportionate patient percentage as described at § 412.106(b)(4) of the regulations. Accordingly, we have included an estimate of the impact of the Medicaid expansion in our projection of Factor 1 for this final rule.
Comment: Several commenters objected to the proposal to apply our best estimates of Factor 1 on a prospective basis only. These commenters maintained that the administrative efficiency, finality, and predictability in payments that CMS cited in favor of the proposal were less important than accuracy in payments. The commenters noted that there were a number of questions and uncertainties about the Actuary's proposed projection for FY 2014, and that it would therefore be most appropriate to establish a final value for Factor 1 only at the time of final cost report settlements, using actual data or at a later time, when more informed projections will be available. Other commenters supported the proposal to employ prospective estimates from the Office of the Actuary and not to update these estimates once final data become available. However, some of these commenters urged CMS to publish final amounts of Factor 1 so that any consistent errors can be addressed to improve the accuracy of future projections.
Response: As we noted in the proposed rule (78 FR 27583), we would not know the precise aggregate Medicare DSH payment amount that would be paid for a Federal fiscal year until cost report settlement for all IPPS hospitals is completed, which occurs several years after the end of the Federal fiscal year. The statute gives us authority to estimate this amount by specifying that, for each fiscal year to which the provision applies, such amount is to be “estimated by the Secretary.” We believe that it is, therefore, most consistent with the statute to employ estimates for purposes of determining Factor 1. Otherwise, final settlement of these payments could be delayed as much as 6 years or more after the payment year. As in the case of other payment factors that we determine on the basis of prospective estimates (for example, the aggregate amount of annual payments for outliers), we will continually examine our estimates compared to actual data for each year in order to improve our future projections.
Comment: Several commenters pointed out that CMS assumed a 2-percent documentation and coding adjustment for FY 2014 in estimating Factor 1 for the proposed rule, but that CMS actually proposed a documentation and coding adjustment of 0.8 percent. These commenters urged CMS to correct this assumption in the final rule.
Response: We agree with these commenters. Accordingly, for this final rule, the Office of the Actuary has employed a documentation and coding adjustment of 0.8 percent for FY 2014 in developing our estimate of Factor 1 for FY 2014.
After consideration of the public comments we received, we are finalizing our proposal to add a new paragraph (g)(1)(i) under § 412.106 of our regulations to define the methodology for calculating Factor 1. As we noted in the proposed rule (78 FR 27582 through 27583), the Office of the Actuary projects Medicare DSH payments on a biannual basis, typically in February of each year (based on data from December of the previous year) as part of the President's Budget, and in July (based on data from June) as part of the Midsession Review. The estimates are based on the most recently filed Medicare hospital cost report with Medicare DSH payment information and the most recent Medicare DSH patient percentages and Medicare DSH payment adjustments provided in the IPPS Impact File.
Therefore, for the Office of the Actuary's February 2013 estimate, the data are based on the December 2012 update of the Medicare Hospital Cost Report Information System (HCRIS) and the FY 2013 IPPS/LTCH PPS final rule IPPS Impact file, published in conjunction with the publication of the FY 2013 IPPS/LTCH PPS final rule. For the July 2013 estimate, we anticipated that the data would be based on the March 2013 update of the Medicare Hospital Cost Report data and the IPPS Impact file published in conjunction with the proposed rule. For purposes of the proposed rule, we used the February 2013 Medicare DSH estimates to calculate Factor 1 and to model the proposed impact of this provision. We stated that if our proposal to use the Office of the Actuary's projections for Factor 1 is finalized, we would use the July 2013 Medicare DSH estimates to determine Factor 1 for this FY 2014 IPPS/LTCH PPS final rule.
For this final rule, the Office of the Actuary has used the July 2013 Medicare DSH estimates, based on the March 2013 update of the Medicare Hospital Cost Report data and the proposed rule's IPPS Impact file, to determine Factor 1. The July 2013 Office of the Actuary estimate for Medicare DSH payments for FY 2014, without regard to the application of section 1886(r)(1) of the Act, is approximately $12.772 billion (for purposes of the proposed rule, we estimated this amount to be approximately $12.338 billion). As in the proposed rule, this estimate excludes Maryland hospitals, SCHs paid under their hospital-specific payment rate, and hospitals participating in the Rural Community Hospital Demonstration program. Therefore, based on this estimate, the estimate for empirically justified Medicare DSH payments for FY 2014, with the application of section 1886(r)(1) of the Act, is approximately $3.193 billion (25 percent of the total amount estimated). Under our proposal, Factor 1 is the difference of these two estimates of the Office of the Actuary. Therefore, for the purpose of this final rule, we calculate Factor 1 to be approximately $9.579 billion (for purposes of the proposed rule, Factor 1 was estimated to be approximately $9.2535).
(2) Methodology To Calculate Factor 2
Section 1886(r)(2)(B) of the Act establishes Factor 2 in the calculation of the uncompensated care payment. Specifically, section 1886(r)(2)(B)(i) of the Act provides: “For each of fiscal years 2014, 2015, 2016, and 2017, a factor equal to 1 minus the percent change in the percent of individuals under the age of 65 who are uninsured, as determined by comparing the percent of such individuals (I) who are uninsured in 2013, the last year before coverage expansion under the Patient Protection and Affordable Care Act (as calculated by the Secretary based on the most recent estimates available from the Director of the Congressional Budget Office before a vote in either House on the Health Care and Education Reconciliation Act of 2010 that, if determined in the affirmative, would clear such Act for enrollment); and (II) who are uninsured in the most recent period for which data is available (as so calculated), minus 0.1 percentage points for fiscal year 2014 and minus 0.2 percentage points for each of fiscal years 2015, 2016, and 2017.”
Section 1886(r)(2)(B) of the Act establishes, as Factor 2 in the uncompensated care payment formula, the percent change in uninsurance, based on a comparison of the percent of individuals under 65 without insurance in 2013 to the percent of such individuals without insurance in the most recent period for which we have data, minus 0.1 percentage points for FY 2014 and 0.2 percentage points for each of FYs 2015, 2016, and 2017.
Section 1886(r)(2)(B)(i)(I) of the Act further indicates that the percent of individuals under 65 without insurance in 2013 must be the percent of such individuals “who are uninsured in 2013, the last year before coverage expansion under the Patient Protection and Affordable Care Act (as calculated by the Secretary based on the most recent estimates available from the Director of the Congressional Budget Office before a vote in either House on the Health Care and Education Reconciliation Act of 2010 that, if determined in the affirmative, would clear such Act for enrollment).” The Health Care and Education Reconciliation Act (Pub. L. 111-152) was enacted on March 30, 2010. It was passed in the House of Representatives on March 21, 2010, and by the Senate on March 25, 2010. Because the House of Representatives was the first House to vote on the Health Care and Education Reconciliation Act of 2010 on March 21, 2010, we have determined that the most recent estimate available from the Director of the Congressional Budget Office “before a vote in either House on the Health Care and Education Reconciliation Act of 2010 . . .” appeared in a March 20, 2010 letter from the director of the CBO to the Speaker of the House. (Emphasis supplied.) Therefore, we believe that only the estimates in this March 20, 2010 letter meet the statutory requirement under section 1886(r)(2)(B)(i)(I) of the Act. (To view the March 20, 2010 letter, we refer readers to the Web site at: http://www.cbo.gov/sites/default/files/cbofiles/ftpdocs/113xx/doc11379/amendreconprop.pdf.
In its March 20, 2010 CBO letter to the Speaker of the House of Representatives, the CBO provided two estimates of the “post-policy uninsured population.” The first estimate is of the “Insured Share of the Nonelderly Population Including All Residents” (which is 82 percent) and the second estimate is of the “Insured Share of the Nonelderly Population Excluding Unauthorized Immigrants” (83 percent). In the FY 2014 IPPS/LTCH PPS proposed rule (78 FR 27583), we proposed to use the first estimate that includes all residents, including unauthorized immigrants. We stated that we believe this estimate is most consistent with the statute which requires us to measure “the percent of individuals under the age of 65 who are uninsured,” and provides no exclusions except for individuals over the age 65. In addition, we stated that we believe that this estimate would more fully reflect the levels of uninsurance in the United States that influence uncompensated care for hospitals than the estimate that reflects only legal residents. Therefore, using this estimate would seem more consistent with the statutory requirement of establishing a payment for uncompensated care. For these reasons, we proposed to use the estimate of the “Insured Share of the Nonelderly Population Including All Residents” for 2013 to calculate the baseline percentage of individuals under age 65 without insurance.
We invited public comments on this proposal.
Comment: Several commenters supported the proposal to use the CBO estimate of the “Insured Share of the Nonelderly Population Including All Residents” for purposes of determining Factor 2. The commenters agreed that this estimate more fully reflects the levels of uninsurance in the United States that influence uncompensated care for hospitals than the estimate that excludes unauthorized immigrants and is, therefore, more consistent with the statutory requirement of establishing a payment for uncompensated care.
Response: We appreciate the commenters' support for this proposal, and we are finalizing our proposal to employ the CBO estimate of the “Insured Share of the Nonelderly Population Including All Residents” contained in its March 20, 2010 letter to the Speaker of the House of Representatives to determine the percentage of individuals under age 65 without insurance for purposes of Factor 2.
The March 20, 2010 CBO letter reports these figures as the estimated percentage of individuals with insurance. However, because section 1886(r)(2)(B)(i) of the Act requires that we compare the percent of individuals “who are uninsured in 2013,” in the FY 2014 IPPS/LTCH PPS proposed rule (78 FR 27584), we proposed to use the CBO insurance rate figure and subtract that amount from 100 percent (that is, the total population, without regard to insurance status) to estimate the 2013 baseline percentage of individuals without insurance. In its March 20, 2010 letter, the CBO reported its estimate of the “Insured Share of the Nonelderly Population Including All Residents” as 82 percent. Therefore, we proposed that, for FYs 2014 through 2017, our estimate of the uninsurance percentage for 2013 would be 18 percent. As provided for in the CBO March 20, 2010 letter, the CBO estimate for insurance for the nonelderly (under age of 65) population only includes residents of the 50 States and the District of Columbia, and the count of uninsured people includes unauthorized immigrants, as well as individuals who are eligible for, but not enrolled in, Medicaid. We note that, although we proposed that acute care hospitals located in Puerto Rico that receive DSH payments would be eligible to receive payments under section 1886(r) of the Act, this estimate for insurance does not account for residents in Puerto Rico. We believe that the impact of the exclusion of Puerto Rico from the insurance estimate is negligible.
We invited public comments on this proposal.
We did not receive any public comments on our proposal to employ an estimate for insurance among the nonelderly that includes only residents of the 50 States and the District of Columbia and, therefore, does not account for residents in Puerto Rico. Therefore, we are finalizing the policy, as proposed.
Section 1886(r)(2)(B)(i) of the Act requires that we compare the baseline uninsurance rate to the percent of such individuals “who are uninsured in the most recent period for which data is available (as so calculated).” In the FY 2014 IPPS/LTCH PPS proposed rule (78 FR 27584), we proposed to use the same data source, CBO estimates, to calculate this percent of individuals without insurance. Section 1886(r)(2)(B)(i)(I) of the Act refers to the percent of uninsured in 2013 “as calculated by the Secretary based on” the CBO data. Similarly, section 1886(r)(2)(B)(i)(II) of the Act immediately afterwards refers to the percent of uninsured for 2014 “as so calculated.” (Emphasis supplied.) The phrase “as so calculated” in the latter section can be reasonably interpreted to require the calculation to similarly be based on CBO estimates. In addition, we believe that it is preferable from a statistical point of view to calculate a percent change in insurance over time using a consistent data source. Furthermore, rather than using the estimates included in the March 20, 2010 CBO letter, we believe it is appropriate to use more recent CBO estimates of the percent of individuals with insurance. The more recent CBO projections take into account changes in the environment that can impact insurance rates, such as more recent economic conditions and the Supreme Court's decision in National Federation of Independent Business. v. Sebelius—U.S.—, 132 S. Ct. 2566 (2012), regarding Medicaid expansions authorized by the Affordable Care Act. Because the statute requires that we use “the most recent period for which data is available” to calculate the comparison percentage of individuals without insurance, we proposed to use the most recent update (that is, the most recent update available at the time of rulemaking with respect to a particular fiscal year) to the percent of individuals with insurance provided by the CBO to calculate this comparison figure.
In addition, for FY 2014, we proposed to use CBO's most recent estimate for the percent of individuals with insurance in 2014 for purposes of section 1886(r)(2)(B)(i)(II) of the Act because this is the year in which this provision is effective. This figure is used for Factor 2 and later applied to Factor 1, which is also based on an estimate for FY 2014. On February 5, 2013, the CBO released its annual Budget and Economic Outlook. The report included updated economic and budget projections that incorporated the effects of the legislation enacted prior to the start of the year, a revised economic forecast consistent with the budget projections, and other changes to CBO's estimates. (To view the report, we referred readers to the Web site at: http://www.cbo.gov/sites/default/files/cbofiles/attachments/43900_ACAInsuranceCoverageEffects.pdf .)
In the proposed rule (78 FR 27584), we used the February 5, 2013, CBO health insurance estimates in order to calculate the percentage of individuals without insurance for 2014. As we did for the uninsurance percentage estimate for 2013 (based on the March 20, 2010 CBO letter discussed above), we proposed to use the “Insured Share of the Nonelderly Population Including All Residents” to calculate the comparison of the percentage of people without insurance for 2014. Consistent with the CBO estimate used to calculate the baseline uninsurance estimate, this estimate for insurance only includes residents of the 50 States and the District of Columbia, and the count of uninsured people includes unauthorized immigrants, as well as individuals who are eligible for, but not enrolled in, Medicaid. The CBO report projects that the “Insured Share of the Nonelderly Population Including All Residents” for 2014 will be 84 percent. Therefore, in the same manner that we calculated the uninsurance percentage for the baseline, we proposed that the uninsurance percentage for 2014 would be 16 percent (that is, 100 percent minus 84 percent) for the purpose of this proposed rule. We indicated that if our proposal was finalized, and there is a more recent estimate of the percentage of individuals with insurance in 2014 by the CBO available for the FY 2014 IPPS/LTCH PPS final rule, we would use that estimate to calculate Factor 2. However, we would not adjust Factor 2 retroactively to account for estimates that become available after publication of the final rule.
Comment: Some commenters agreed with the proposal to use CBO estimates of rates of insurance coverage in 2014 and subsequent years as a basis for calculating Factor 2. One commenter stated that the CBO estimates were both sufficient and accurate for the purpose of determining Factor 2. However, other commenters expressed concern about the accuracy of CBO projections of insurance coverage in 2014 and subsequent years. These commenters mentioned uncertainties in the wake of the Supreme Court decision about Medicaid expansion. These commenters also noted that the statewide exchanges that are to be established under the Affordable Care Act will not be in operation until January 2014, so that the CBO projections of an increase in the rate of insurance coverage may be overstated. Other commenters stated that the CBO projections are unsupported by substantial data and requested that Factor 2 be reconciled on the basis of actual data for 2014.
Response: We continue to believe that the CBO projections of insurance coverage in 2014 and subsequent years are the most reliable and consistent basis on which to calculate Factor 2. As we noted in the proposed rule, section 1886(r)(2)(B)(i)(I) of the Act refers to the percent of uninsured in 2013 “as calculated by the Secretary based on” the CBO data. Similarly, section 1886(r)(2)(B)(i)(II) of the Act immediately afterwards refers to the percent of uninsured for 2014 “as so calculated.” (Emphasis supplied.) The phrase “as so calculated” in the latter section can be reasonably interpreted to require the calculation to similarly be based on CBO estimates. In addition, we continue to believe that it is preferable from a statistical point of view to calculate a percent change in insurance over time using a consistent data source. The more recent CBO projections take into account changes in the environment that can impact insurance rates, such as more recent economic conditions and the Supreme Court's decision in National Federation of Independent Business. v. Sebelius—U.S.—, 132 S. Ct. 2566 (2012), regarding Medicaid expansions authorized by the Affordable Care Act. As is the case with regard to reconciling the estimates used to determine Factor 1, we believe that employing actual data as the basis for reconciling the projections employed to determine Factor 2 would impose an unacceptable delay in the final determination of uncompensated care payments. Actual data on the rates of insurance and uninsurance would not become available until several years after the payment year, and the initial data for the year would continue to be adjusted for several years after that as further data become available. Furthermore, by stating that the Secretary's calculations should be based on “estimates” provided by the CBO, the statute clearly contemplates the use of such estimates on a prospective basis without reconciliation. Therefore, we are finalizing our proposal to use the most recently available CBO estimates of insurance rates for each payment year, and not to adjust Factor 2 retroactively to account for estimates that become available after publication of the final rule.
Section 1886(r)(2)(B)(i) of the Act states that Factor 2 for FY 2014 is equal to 1 minus the percent change in the percent of individuals under the age of 65 who are uninsured, as determined by comparing the percent of such individuals without insurance in the baseline and in the most recent period for which we have data (minus 0.1 percentage points for FY 2014). Therefore, in the FY 2014 IPPS/LTCH PPS proposed rule (78 FR 27584), we proposed that Factor 2 is 1 minus the percent change between the baseline percentage of individuals without insurance in 2013 (which was, for the proposed rule, 18 percent) and the most recent percentage of individuals without insurance for 2014 (which was, for this proposed rule, 16 percent) minus 0.1 percentage points.
Using the March 20, 2010 CBO projection for 2013 and the February 5, 2013 CBO projection of uninsurance for all residents for 2014, we proposed to use the following computation for Factor 2 for FY 2014:
Percent of individuals without insurance for CY 2013 (March 2010 CBO estimate): 18 percent
Percent of individuals without insurance for CY 2014 (February 2013 CBO estimate): 16 percent
1−|[(0.16−0.18)/0.18]| = 1−0.111 = 0.889 (88.9 percent)
0.889 (88.9 percent)−0.001 (0.1 percentage points) = 0.888 (88.8 percent)
0.888 = Factor 2.
Accordingly, we proposed Factor 2 to be 88.8 percent for FY 2014. In conjunction with this proposal, we proposed that the amount available for uncompensated care payments for FY 2014 would be $8.217 billion (0.888 times our proposed Factor 1 estimate of $9.2535 billion). As we noted previously, in the FY 2014 IPPS/LTCH PPS proposed rule (78 FR 27585), we stated that our proposal for Factor 2 may be subject to change if more recent CBO estimates of the insurance rate for 2014 become available prior to the preparation of the final rule. In the proposed rule, we proposed to add a new paragraph (g)(1)(ii) under § 412.106 of our regulations to define the methodology for calculating Factor 2.
We invited public comment on our proposed methodology to calculate Factor 2.
Comment: Many commenters noted that the CBO estimates of the effect of the Affordable Care Act on the level of insurance coverage are made on a calendar year basis (for example, calendar year 2014). However, the commenters stated, the new payment methodology for uncompensated care payments will go into effect for FY 2014 (that is, on October 1, 2013). The commenters stated that, therefore, the CBO estimate for calendar year 2014 represents the first full year during which the exchanges and Medicaid expansion under the Affordable Care Act will be in effect. However, the commenters further stated, the new payment methodology will be in effect for 3 months of the previous calendar year before these Affordable Care Act provisions that should lower the uninsurance rate go into effect. Therefore, these commenters urged CMS to normalize the CBO estimate to reflect FY 2014 more accurately, specifically by calculating a weighted average of the CBO estimate for October-December 2013 and the estimate for January-September 2014. Several commenters illustrated the effect of calculating a weighted average using the February 5, 2013 CBO projections that CMS employed in the proposed rule as follows:
CY 2013 rate of insurance coverage (February 2013 CBO estimate): 80 percent
CY 2014 rate of insurance coverage (February 2013 CBO estimate): 84 percent
FY 2014 rate of insurance coverage: (80 percent * .25) + (84 percent * .75) = 83 percent.
Percent of individuals without insurance for CY 2013 (March 2010 CBO estimate): 18 percent
Percent of individuals without insurance for FY 2014 (weighted average): 17 percent
1−|[(0.17−0.18)/0.18]| = 1−0.056 = 0.944 (94.4 percent)
0.944 (94.4 percent)−0.001 (0.1 percentage points) = 0.943 (94.3 percent)
0.943 = Factor 2
Response: We are finalizing our proposal to employ the most recent CBO estimates of the rates of insurance for FY 2014 and subsequent payment years. We agree with the recommendation of the commenters that we should normalize the estimate of uninsurance for FY 2014 by calculating a weighted average of the CBO estimates for CY 2013 and CY 2014, respectively. We agree that normalizing the estimate to cover FY 2014 rather than CY 2014 will more accurately reflect the actual rate of uninsurance that hospitals will experience during the FY 2014 payment year. We also believe that we have sufficient discretion under the statute to employ a normalized estimate for FY 2014 in place of the CBO estimate for CY 2014 because section 1886(r)(2)(B)(i) of the Act merely requires us to develop such estimates “based on the most recent estimates available from” the CBO. (We note that the base year estimate for 2013 remains the same whether it is normalized to FY 2013 or not. This is because the CBO estimates that the statute requires us to use for the base year indicate a rate of uninsurance of 18 percent for both CY 2012 and CY 2013, the calendar years which we would employ to normalize the estimate for FY 2013.)
In this final rule, we are employing the most recent available estimate, specifically CBO's May 2013 estimates of the effects of the Affordable Care Act on health insurance coverage, which are available at http://www.cbo.gov/sites/default/files/cbofiles/attachments/44190_EffectsAffordableCareActHealthInsuranceCoverage_2.pdf, as amended by CBO's July 2013 estimates of changes in estimates of the effects of insurance coverage provisions in the Affordable Care Act issued in conjunction with a memo regarding “Analysis of the Administration's Announced Delay of Certain Requirements Under the Affordable Care Act,” which are available at http://www.cbo.gov/sites/default/files/cbofiles/attachments/44465-ACA.pdf. The CBO's May 2013 estimate of the rate of insurance for CY 2013 is 80 percent, and for CY 2014 is 84 percent. (These estimates are unchanged from the February 5, 2013 CBO projections that we employed in the proposed rule.) The CBO's May 2013 estimate includes an estimate of the change in the number of uninsured non-elderly people (including unauthorized immigrants) of −14 million in CY 2014. Based on this estimate of the change in the number of uninsured non-elderly people, in May 2013, the CBO estimated that in CY 2014 there will be 44 million uninsured non-elderly people. In addition, the CBO's May 2013 estimate stated that there will be a total of 274 million non-elderly people in CY 2014. Accordingly, we concluded that in the May 2013 CBO estimates that there will be 230 million insured non-elderly people (that is, 274 million total non-elderly people minus 44 million uninsured non-elderly people), which supports their estimate that the insured share of the non-elderly population is 84 percent (that is, 230 million insured non-elderly people divided by 274 million total non-elderly people). The CBO's July 2013 estimates do not include a revised estimate of the insured share of the non-elderly population in CY 2014, and instead include estimates of the changes in the number of non-elderly people by type of insurance coverage. In other words, the CBO's July 2013 estimate includes an estimate of the change in the number of uninsured non-elderly people (including unauthorized immigrants). The CBO's July 2013 estimate includes a revised estimate of the change in the number of uninsured non-elderly people (including unauthorized immigrants) of −13 million in CY 2014. Based on this July 2013 revised estimate of the change in the number of uninsured non-elderly people and the May 2013 estimate of uninsured non-elderly people, we conclude that it is appropriate to infer that in CY 2014 there will be 45 million uninsured non-elderly people. We also believe that is appropriate to conclude that the CBO made no change to its estimates of total non-elderly people in July 2013, so that it remains the same as in their May 2013 estimates of 274 million. Accordingly, we believe that the number of insured non-elderly people based on the July 2013 CBO estimates for CY 2014 is 229 million (that is, 274 million total non-elderly people minus 45 million uninsured non-elderly people), which results in the insured share of the non-elderly population of 84 percent (that is, 229 million insured non-elderly people divided by 274 million total non-elderly people). Therefore, the calculation of Factor 2 for FY 2014, employing a weighted average of the CBO projections for CY 2013 and CY 2014, is as follows:
CY 2013 rate of insurance coverage (May 2013 CBO estimate): 80 percent
CY 2014 rate of insurance coverage (May 2013 CBO estimate, updated with July 2013 CBO estimate): 84 percent
FY 2014 rate of insurance coverage: (80 percent * .25) + (84 percent * .75) = 83 percent.
Percent of individuals without insurance for 2013 (March 2010 CBO estimate): 18 percent
Percent of individuals without insurance for FY 2014 (weighted average): 17 percent
1−|[(0.17−0.18)/0.18]| = 1−0.056 = 0.944 (94.4 percent)
0.944 (94.4 percent)−0.001 (0.1 percentage points) = 0.943 (94.3 percent)
0.943 = Factor 2
We note that, as a result of this change, we will reduce the total amount of uncompensated care payments by a smaller amount than the reductions that would have resulted from our proposed methodology for Factor 2.
Therefore, in this final rule, we are adopting 0.943 as the final determination of Factor 2 for FY 2014. In conjunction with this determination, we have also determined, for the purpose of this final rule, that the amount available for uncompensated care payments for FY 2014 will be approximately $9.033 billion (0.943 times our Factor 1 estimate of $9.579 billion).
Comment: One commenter opined that the new Medicare DSH payment adjustment policy will hurt Massachusetts hospitals, which will see no reduction in uninsured rates because the State has already expanded health insurance coverage under its own health care reform. The commenter requested that CMS exempt Massachusetts and any other State which expands health care coverage from any cuts driven by the reduction in uninsurance at the national level under the Affordable Care Act. At minimum, the commenter requested that CMS adjust Factor 2 to account for changes in uninsurance at the State level so that hospitals in States that are not expected to see reductions in their uninsured rates—because they have already expanded access in alignment with the Affordable Care Act—will not see large reductions in their Medicare DSH payments.
Response: We appreciate receiving the commenter's concerns. However, the statute provides no authority to exempt some States from the provision or to adjust the calculation of Factor 2 to reflect uninsurance rates at a State level. Therefore, we are unable to accept the commenter's recommendations.
(3) Methodology to Calculate Factor 3
Section 1886(r)(2)(C) of the Act defines Factor 3 in the calculation of the uncompensated care payment. As we have discussed above, section 1886(r)(2)(C) of the Act states that Factor 3 is “equal to the percent, for each subsection (d) hospital, that represents the quotient of (i) the amount of uncompensated care for such hospital for a period selected by the Secretary (as estimated by the Secretary, based on appropriate data (including, in the case where the Secretary determines alternative data is available which is a better proxy for the costs of subsection (d) hospitals for treating the uninsured, the use of such alternative data)); and (ii) the aggregate amount of uncompensated care for all subsection (d) hospitals that receive a payment under this subsection for such period (as so estimated, based on such data).”
Therefore, Factor 3 is a hospital-specific value that expresses the proportion of the estimated uncompensated care amount for each subsection (d) hospital and subsection (d) Puerto Rico hospital with the potential to receive DSH payments relative to the estimated uncompensated care amount for all hospitals estimated to receive DSH payments in the fiscal year for which the uncompensated care payment is to be made. Factor 3 is applied to the product of Factor 1 and Factor 2 to determine the amount of the uncompensated care payment that each eligible hospital will receive for FY 2014 and subsequent years. In order to implement the statutory requirements for this factor of the uncompensated care payment formula, we must determine the following: (1) The definition of uncompensated care, or in other words, the specific items that are to be included in the numerator (that is, the estimated uncompensated care amount for an individual hospital) and denominator (that is, the estimated uncompensated care amount for all hospitals estimated to receive DSH payments in the applicable FY); (2) the data source(s) for the estimated uncompensated care amount; and (3) the timing and manner of computing the quotient for each hospital estimated to receive DSH payments. The statute instructs the Secretary to estimate the amounts of uncompensated care for a period “based on appropriate data.” In addition, we note that the statute permits the Secretary to use alternative data “in the case where the Secretary determines that alternative data is available,” which is a better proxy for the costs of subsection (d) hospitals for treating uninsured individuals.
In the course of considering how to determine Factor 3, we considered proposing to define the amount uncompensated care for a hospital as the uncompensated care costs of that hospital and considered potential data sources for those costs. In doing so, we first considered which costs should be included in the definition of “uncompensated care costs.” We examined the broad literature on uncompensated care and the concepts of uncompensated care used in various public and private programs. We also considered input from stakeholders and public comments in various forums, including the national provider call that we held in January 2013. Our review of the information from these sources indicated that there is some variation in how different States, provider organizations, and Federal programs define “uncompensated care.” However, a common theme of almost all these definitions is that they include both “charity care” and “bad debt” as constituents of “uncompensated care.” After considering the various factors that are included in different definitions of “uncompensated care,” we considered proposing to adopt a definition which incorporated those factors that are most commonly included within the term. Thus, we considered proposing to define “uncompensated care” as the cost of charity care plus bad debt which includes the cost of non-Medicare bad debt and non-reimbursed Medicare bad debt. In turn, we also considered proposing to define “charity care costs” as the cost of care for patients that meet hospitals' individual criteria for charity care net of any partial payment received by the hospital from patients for that care, and to define “non-Medicare bad debt costs” as the cost of hospital care for non-Medicare patients that have the financial capacity to pay, but are unwilling to settle the claim. In addition, we considered proposing to define “non-reimbursed Medicare bad debt costs” as the amount of allowable coinsurance and deductible for Medicare patients from whom the hospital has sought to collect payment through reasonable collection efforts as described in § 413.89(e) of the Medicare regulations and not reimbursed by Medicare. We discussed these possible elements of uncompensated care in more detail in the proposed rule (78 FR 27585)
For purposes of selecting an appropriate data source for this possible definition of uncompensated care costs, we reviewed the literature and available data sources and determined that the Medicare cost report Worksheet S-10 could potentially provide the most complete data for Medicare hospitals. (We refer readers to the report “Improvements to Medicare Disproportionate Share (DSH) Payments” for a full discussion and evaluation of the available data sources. The report can be found on the CMS Web site at: http://www.cms.gov/Medicare/Medicare-Fee-for-Service-Payment/AcuteInpatientPPS/dsh.html.) However, we noted that Worksheet S-10 is a relatively new data source that has been used for specific payment purposes only in relatively restricted ways (for example, to provide a source of charity care charges in the computation of EHR incentive payments; 75 FR 44456.). We also noted that some stakeholders have expressed concern that hospitals have not had enough time to learn how to submit accurate and consistent data through this reporting mechanism. Other stakeholders have maintained that some instructions for Worksheet S-10 still require clarification in order to ensure standardized and consistent reporting by hospitals. We understand and appreciate the concerns of these stakeholders. At the same time, Worksheet S-10 is the only national data source that includes data for all Medicare hospitals and is designed to elicit data that are both accurate and consistent with the definition of uncompensated care costs that we considered proposing to use. We discussed the possible use of data reported on Worksheet S-10 to determine uncompensated care costs in more detail in the proposed rule (78 FR 27586).
In order to apply a definition of uncompensated care costs based upon information reported on the Worksheet S-10, it would be necessary to use the 2010/2011 cost reports, which were submitted on or after May 1, 2010, when the new Worksheet S-10 went into effect. These are the most recently available full year of cost reports and the first cost reports with detailed uncompensated care data on the Worksheet S-10 that would be available for use in implementing the new methodology for uncompensated care payments for FY 2014. Concerns about the standardization and completeness of the Worksheet S-10 data could be more acute for data collected in the first year of the Worksheet's use. Because of these concerns, we did not propose to define uncompensated care in a way that would require use of the Worksheet S-10 data. However, we stated our belief that Worksheet S-10 of the Medicare Cost Report would otherwise be an appropriate data source to determine uncompensated care costs. In particular, we noted that Worksheet S-10 was developed specifically to collect information on uncompensated care costs in response to interest by MedPAC and other stakeholders regarding the topic (for example, MedPAC's March 2007 Report to Congress) and that it is not unreasonable to expect information on the cost report to be used for payment purposes. Furthermore, hospitals attest to the accuracy and completeness of the information reported in the cost report at the time of submission. While we realize that hospitals may wish to have a more specific understanding of how these data will be used, we believe that the discussion in the proposed rule will help to increase their understanding and also inform our efforts to refine the cost report and cost report instructions so that hospitals may continue to gain experience in reporting accurate information. We also expect reporting on Worksheet S-10 to improve over time, particularly in the area of charity care which is already being used and audited for payment determinations related to the electronic health record incentive program, and will continue to monitor these data. Accordingly, we stated in the proposed rule that we may proceed with a proposal to use data on the Worksheet S-10 to determine uncompensated care costs in the future, once hospitals are submitting accurate and consistent data through this reporting mechanism.
As we describe above, in the FY 2014 IPPS/LTCH PPS proposed rule, we indicated that we were concerned about stakeholder input that the variations in the data reported on Worksheet S-10 of the Medicare cost report regarding uncompensated care may be due to hospitals' relative lack of experience reporting all of the data elements on that worksheet. A large number of stakeholders noted that there is considerable variation and numerous inconsistencies in how uncompensated care is calculated and reported in Worksheet S-10 and they point out that these inconsistencies can produce divergent results. Some stakeholders went as far as noting that data from Worksheet S-10 is “flawed” and many suggested more precision in reporting instructions to help hospitals report data in a more consistent manner. We noted that most of the data elements reported on Worksheet S-10 have been previously unused for payment purposes, with only some data elements recently being used for determining a hospital's electronic health record incentive payments, and these data elements have not been subject to audit prior to this time. We stated that we believe it is important that data used to determine Factor 3 are data that have been historically publicly available, subject to audit, and used for payment purposes (or that the public understands will be used for payment purposes). We indicated that it is our belief that hospitals expend more resources to ensure data accuracy when data are publicly available and used for payments. For example, the National Quality Forum (NQF) first endorsed quality measures for readmissions for heart failure (HF) in May 2008 and acute myocardial infarction (AMI) and pneumonia (PN) in October 2008. HF was subsequently adopted in the Hospital Inpatient Quality Reporting (IQR) Program in the FY 2009 IPPS rule and AMI and PN in the CY 2009 OPPS rule. All three were adopted for the FY 2010 Hospital IQR program and publicly reported in Hospital Compare in 2009. More recently, starting in FY 2013, all three were used to determine a payment adjustment under section 1886(q) of the Act. As the measures became linked with payment, CMS has received an increasing number of questions regarding and requests to refine these measures, leading us to believe that hospitals are increasingly focused on ensuring that their data are correct. Furthermore, it is also our belief that auditing plays an important role in ensuring data accuracy by identifying and remediating problem areas and/or hospitals as well as by having a sentinel effect in others. For example, each year, CMS and its intermediaries work with hospitals to review salary and wage data reported on Worksheet S-3 of the Medicare cost report for use in determining the wage index. This extensive process identifies errors and ensures that anomalous data are reviewed, corrected as needed, and documented. Due to stakeholder concerns and our belief in the importance of using data that have been historically publicly available, subject to audit, and used for payment purposes (or that the public understands will be used for payment purposes), for FY 2014, we stated in the proposed rule that we had serious concerns about proposing to use Worksheet S-10 to determine the amount of uncompensated care.
While the statute instructs the Secretary to estimate the amounts of uncompensated care for a period “based on appropriate data,” section 1886(r)(2)(C)(i) of the Act permits the Secretary to use alternative data “in the case where the Secretary determines that alternative data is available which is a better proxy for the costs of subsection (d) hospitals for treating the uninsured” for the numerator of Factor 3. For the denominator of that quotient, section 1886(r)(2)(C)(ii) of the Act requires the Secretary to use “the aggregate amount of uncompensated care for all subsection (d) hospitals that receive a payment under this subsection for such period (as so estimated, based on such data). (Emphasis added.) The phrase “as so estimated, based on such data” in the latter section can be reasonably interpreted to require the calculation to similarly be based on the same data as is used to estimate the numerator of the quotient in Factor 3, including any alternative data which is determined to be a better proxy for the costs of treating the uninsured.
As a result of our concerns regarding variations in the data reported on the Worksheet S-10, we stated in the proposed rule that we believe it is appropriate to consider the use of alternative data, at least in FY 2014, the first year that this provision is effective, and possibly additional years until hospitals have adequate experience reporting all of the data elements on Worksheet S-10. We noted that this is consistent with input we received from some stakeholders in response to the CMS National Provider Call in January 2013, who stated their belief that existing FY 2010 and FY 2011 data from the Worksheet S-10 cannot be used for implementation of section 1886(r) and who requested the opportunity to re-submit the data once more specific instructions were issued by CMS. Accordingly, we examined alternative data sources that could be used to allow time for hospitals to gain experience with and to improve the accuracy of their S-10 reporting.
In order to implement the statutory requirements for Factor 3 using alternative data, we must: (1) Determine whether alternative data would be a better proxy for the treatment costs of the uninsured than the information available on the Worksheet S-10; (2) identify a source for this alternative data; and (3) determine the timing and manner of computing the quotient for each hospital.
We stated in the FY 2014 IPPS/LTCH PPS proposed rule that we believe that data on utilization for insured low-income patients can be a reasonable proxy for the treatment costs of uninsured patients. Moreover, due to the concerns regarding the accuracy and consistency of the data reported on the Worksheet S-10, we believe that this alternative data, which is currently reported on the Medicare cost report, would be a better proxy for the amount of uncompensated care provided by hospitals. Accordingly, in the FY 2014 IPPS/LTCH PPS proposed rule (78 FR 27587 through 27588), we proposed to use the utilization of insured low-income patients defined as inpatient days of Medicaid patients plus inpatient days of Medicare SSI patients as defined in 42 CFR 412.106(b)(4) and 412.106(b)(2)(i), respectively to determine Factor 3. We describe our proposal and rationale, on which we sought public comment, more fully below.
As a preliminary matter, we noted that precise data on health care costs are difficult to obtain. For Medicare payment purposes, we estimate those costs using reported charges and cost-to-charge ratios. This approach to estimating costs is what is used on Worksheet S-10 to determine costs for charity care and bad debt. We do believe that the Medicare cost report is the most comprehensive data source regarding hospital costs reported to Medicare, and note that alternative data on uninsured patients are difficult to find in a comprehensive manner on a hospital-specific basis. In a September 2002 report, Analysis of the Joint Distribution of Disproportionate Share Hospital Payments, RAND and Urban Institute researchers describe this difficulty, citing as an example how detailed inpatient utilization data on self-pay patients were available only for the sample of hospitals (20 percent sample) from the 24 States included in AHRQ's HCUP database. [13]
While Worksheet S-10 does contain some information regarding the treatment costs of the uninsured, most notably of those uninsured patients who qualify for charity care at an individual hospital, for the reasons described above, we stated that we were concerned about the use of information reported on the Worksheet S-10 as appropriate data for FY 2014 and possibly additional years. As a result of these concerns, in identifying alternative data that could serve as a proxy for the treatment costs of the uninsured, we acknowledged that we must consider methods other than costs to approximate the resources expended by hospitals to treat uninsured patients. One such method is utilization. A hospital's costs for treating uninsured patients are a function of its input costs and utilization of services. In accordance with the statute, in order to determine Factor 3, a hospital-level estimate of uncompensated care is required. Such an estimate can be constructed using detailed data regarding specific items or services. However, such data are not available to us. In contrast, hospital-level data measuring utilization as inpatient days or discharges are available. While we noted that inpatient days or discharges would be more precise if they took into account the relative resource utilization of individual patients, such as case-mix, no such data are available to us. In the September 2002 report discussed above, RAND and Urban Institute researchers asserted that without specific case-mix data for low-income populations, inpatient days are preferable to discharges as a way to measure utilization. Therefore, we stated our belief that utilization based upon inpatient days is an appropriate method to approximate costs for the treatment costs of the uninsured.
We further stated that we believe that utilization by insured low-income patients, such as Medicaid patients or Medicare patients that receive SSI benefits (Medicare SSI), can be a reasonable proxy for utilization by uninsured patients. In its 2000 report on American's Health Care Safety Net, the Institute of Medicine considers uninsured individuals, low-income underinsured individuals, Medicaid beneficiaries, and patients with special health care needs all as vulnerable populations. [14] We note that when studying access to care, researchers may study Medicaid and/or low-income populations (for example, health outcomes, utilization, etc.) in order to understand more broadly the impact of similar policy interventions for other vulnerable populations. [15] For example, recently, researchers have studied the effects of Medicaid expansions to gauge the effects of these expansions on health status and other indicators to inform policymakers as these expansion efforts continue. [16] Researchers have also studied the ability of Medicaid patients to gain access to outpatient care in an effort to highlight the ramifications of various policy interventions, such as mandatory co-payments and utilization restrictions. [17] We noted that we believe that this type research is often used by state and other policy makers to evaluate how Medicaid and other public health insurance can expand access to care to uninsured populations.
While the report by RAND and the Urban Institute cited above found shortcomings in how well both Medicaid and Medicare DSH target funds towards safety net hospitals, another key finding of the report was that the allocation methods used by these programs target funds to safety net hospitals at least as well as the alternative allocation methods they examined. The allocation method used by Medicare for Medicare DSH is the sum of two computations. The first computation, defined at 42 CFR 412.106(b)(2), known as the SSI ratio or Medicare fraction, is the proportion of a hospital's Medicare SSI days relative to Medicare days. The second computation, defined at 42 CFR 412.106(b)(4), known as the Medicaid fraction, is the proportion of a hospital's Medicaid days relative to total days. The RAND and the Urban Institute study also found that the choice of patient populations used to evaluate how well Medicare and Medicaid DSH funds are allocated is important. The study notes that including Medicare SSI beneficiaries along with all other low-income patients generally performed better, resulting in a better targeting of these payments towards safety net hospitals. Therefore, we indicated that we believe the utilization of insured low-income patients defined as insured low-income days, or inpatient days of Medicaid patients plus inpatient days of Medicare-SSI patients could be a proxy for the treatment costs of uninsured patients. Currently, for the Medicare DSH adjustment, hospitals report utilization for Medicaid and Medicare SSI patients in accordance with the regulations at 42 CFR 412.106(b)(4) and 412.106(b)(2)(i), respectively. Specifically, we would define inpatient days for Medicaid patients as they are defined in § 412.106(b)(4) and inpatient days for Medicare-SSI patients as they are defined at § 412.106(b)(2)(i). A hospital's individual insured low-income insured days based on this calculation would represent that hospital's numerator for Factor 3. The sum of the low-income insured days under this calculation for all the hospitals that we estimate would receive DSH payments (and thus the uncompensated care payment) for FY 2014 would represent the denominator of Factor 3.
It is important to point out that when these insured low-income utilization data are used to determine Medicare DSH payments, they are subject to additional computations as described in 42 CFR 412.106(b) and 412.106(d). Therefore, using these data to determine Factor 3 will lead to a different set of results than using these data to determine hospitals' Medicare DSH payments.
In the FY 2014 IPPS/LTCH PPS proposed rule, we stated that we believe the data in the Medicare cost report (and the data that are used to update the SSI ratios in the cost report) are acceptable for use as a source for this alternative data because they include data for all Medicare hospitals. For the reasons described above, we considered data elements from the Medicare cost report that have been historically publicly available, subject to audit, and used for payment purposes, as alternative data for the costs of subsection (d) hospitals for treating the uninsured. Worksheet S-3, Part I of the CMS-2552-96 version of the Medicare cost report and Worksheet S-2, Part I of the CMS 2552-10 version of the Medicare cost report contain information on the utilization of Medicaid patients. Specifically, they contain information regarding Medicaid days (that is, the numerator of the Medicaid fraction). The SSI ratios can be found in Worksheet E, Part A and hospitals' SSI ratios are reported by CMS on the Medicare DSH Web site, by Federal fiscal year, and include a hospital's Medicare SSI days. We pointed out that CMS calculates the SSI ratios using the MedPAR claims data and updates them annually in accordance with the process and timing set forth in the FY 2011 IPPS/LTCH PPS final rule (75 FR 50282), generally issuing them in the Spring of each year for the Federal fiscal year 2 years prior. For instance, we would expect that the SSI ratios for FY 2011 would be made available in the Spring of 2013. SSI ratios can be downloaded from http://www.cms.gov/Medicare/Medicare-Fee-for-Service-Payment/AcuteInpatientPPS/dsh.html. The SSI ratios for a Federal fiscal year are the data that would ultimately be used in Worksheet E, Part A to determine a hospital's Medicare DSH adjustment for that fiscal year. While a hospital may choose to have its DSH payments settled using an SSI ratio based on the hospital's cost reporting period, this choice will vary by hospital and the timing of this choice will vary. As a result, a hospital's decision whether to have its SSI ratio calculated on the basis of its cost reporting period may not be available at the time we determine Factor 3 for a specific federal fiscal year. Therefore, in an effort to balance consistency and administrative efficiency with precision, we stated our belief that it is appropriate to use the SSI ratios based on the Federal fiscal year.
Except for the data on Worksheet S-10, the Medicare cost report does not currently include information that would allow calculation of the treatment costs of uninsured patients. For the reasons described previously, for FY 2014 and possibly additional years, we have concerns with using these data. Accordingly, in the FY 2014 IPPS/LTCH PPS proposed rule (78 FR 27589), we proposed to use Worksheet S-3 Part I of the CMS-2552-96 version of the Medicare cost report and Worksheet S-2, Part I of the CMS 2552-10 version of the Medicare cost report and data that are used to update the SSI ratios on that Worksheet E, Part A as the source of the alternative data to determine Factor 3 for FY 2014. In the proposed rule, we stated that we may propose to use data from Worksheet S-10 to determine uncompensated care costs in the future, once hospitals are submitting accurate and consistent data through this reporting mechanism.
The statute also allows the Secretary the discretion to determine the time periods from which we will derive the data to estimate the numerator and the denominator of the Factor 3 quotient. Specifically, the statute defines the numerator of the quotient as “the amount of uncompensated care for such hospital for a period selected by the Secretary * * *” (Emphasis added.) The statute defines the denominator as “the aggregate amount of uncompensated care for all subsection (d) hospitals that receive a payment under this subsection for such period.” (Emphasis added.) As we have discussed above, we proposed a process of making interim payments with final cost report settlement for both the empirically justified Medicare DSH payments and the uncompensated care payments required by section 3133 of the Affordable Care Act. Consistent with that proposed process, we also proposed to determine the time period from which to estimate the numerator and denominator of the Factor 3 quotient in a way that will be consistent with making interim and final payments. Specifically, we must have Factor 3 values available for hospitals that we estimate will qualify for Medicare DSH payments using most recently available historical data and for those hospitals that we do not estimate will qualify for Medicare DSH payments but that may ultimately qualify for Medicare DSH payments at the time of cost report settlement.
In the FY 2014 IPPS/LTCH PPS proposed rule (78 FR 27589), we proposed to estimate the numerator and the denominator of Factor 3 for hospitals based on the most recently available full year of Medicare cost report data (including the most recently available data that may be used to update the SSI ratios) with respect to a Federal fiscal year. In other words, we proposed to use data from the most recently available cost report for the Medicaid days and the most recently available SSI ratios (that is, latest available SSI ratios before the beginning of the Federal fiscal year) for the Medicare-SSI days. We noted that these data are publicly available, subject to audit, and used for payment purposes. While we recognized that older data also meet these criteria, we often use the most recently available data for payment determinations. Therefore, for FY 2014, we proposed to use data from the 2010/2011 cost reports for the Medicaid days and the FY 2011 SSI ratios for the Medicare-SSI days (or, if the FY 2011 SSIs are unavailable, the FY 2010 SSI ratios) to estimate Factor 3 for FY 2014.
To summarize, for FY 2014, in response to stakeholder concerns regarding data variability and lack of reporting experience with Worksheet S-10, we proposed to determine Factor 3 using insured low-income patient days from the 2010/2011 cost reports (including the FY2011 or FY 2010 SSI ratios, whichever represents the most recently available inputs prior to October 1, 2013) as alternative data which are a better proxy for the treatment costs of uninsured patients. We further proposed to define insured low-income patient days as inpatient days of Medicaid patients plus inpatient days of Medicare SSI patients as defined in 42 CFR 412.106(b)(4) and 412.106(b)(2)(i), respectively.
We proposed to add a new paragraph (g)(1)(iii) under § 412.106 of our regulations to define the methodology for calculating Factor 3.
We invited public comments on this proposal. Notwithstanding our concerns regarding Worksheet S-10, we stated that we were interested in hearing commenters' views on the quality of the data reported on the Worksheet S-10, and whether it would be sufficient for use in determining uncompensated care amounts for fiscal year 2014, either by itself or in combination with other data. We also sought public comment on how fast we could transition to the use of Worksheet S-10 data based upon increased reliability over time, including whether the data could be used to determine uncompensated care in FY 2014 either alone or in combination with other data.
Comment: Most commenters supported the proposal not to employ the Worksheet S-10 data to determine uncompensated care costs. These commenters agreed with CMS' assessment that, at the least, hospitals need more time to learn how to accurately and consistently report the Worksheet S-10 data before CMS employs the data to determine Factor 3 in the uncompensated care cost calculation. Some commenters discouraged CMS from considering the use of these data at any point in the future, and asked CMS to provide sufficient notice that we may propose use of the Worksheet S-10 data so that stakeholders will have sufficient time to express remaining concerns about employing such data. Other commenters encouraged CMS to clarify and revise the reporting instructions as appropriate to ensure consistent and accurate reporting of Worksheet S-10 data so that it can eventually be employed in the determination of Factor 3.
Response: We appreciate the comments in support of our proposal not to employ Worksheet S-10 data at this time for purposes of determining Factor 3. However, we remain convinced that the Worksheet S-10 could ultimately serve as an appropriate source of more direct data regarding uncompensated care costs. Therefore, we will review Worksheet S-10 in order to determine what revisions or clarifications may be necessary so that it can yield accurate and consistent data. We will consider the commenters' specific recommendations for such revisions and clarifications as we do so. It is our intention to propose introducing use of the Worksheet S-10 to determine Factor 3 within a reasonable amount of time.
Comment: Some commenters objected to our proposal not to employ the Worksheet S-10 data to determine uncompensated care costs. These commenters noted that Worksheet S-10 was developed specifically to collect information on uncompensated care costs. In addition, MedPAC expressed reservations about CMS' proposal to employ insured low-income days as a proxy for uncompensated care costs, and recommended consideration of charity care and/or a blend of the insured low-income days and uncompensated care data over a transition of several years to sole use of the Worksheet S-10 uncompensated care data in determining Factor 3.
Response: We agree with the commenters that the Worksheet S-10 was developed specifically to collect information on uncompensated care costs. However, we also agree with the many commenters who stated that the data reported on the Worksheet S-10 are not yet reported accurately and consistently enough to be adopted for purposes of determining Factor 3. Specifically, we agree that because this is the first year these data are being reported, confusion could exist about how to report information on Worksheet S-10. This confusion could affect the accuracy and completeness of the information reported on Worksheet S-10. In addition, for the reasons described in the FY 2014 IPPS/LTCH PPS proposed rule and above, we believe that it would be most appropriate to use data elements that have been historically publicly available, subject to audit, and used for payment purposes (or that the public understands will be used for payment purposes) to determine the amount of uncompensated care. For FY 2014, we do not believe that data regarding uncompensated care from Worksheet S-10 meet these criteria and, therefore, are not reliable enough to use for determining FY 2014 uncompensated care payments. We do not think they meet these criteria because it is the first year they are available and while we recognize that a limited portion of these data will be used for payment purposes (for example, for EHR payments) and, therefore, subject to audit for those purposes they are still not generally used for payment purposes and subject to audit. Accordingly, we continue to believe that alternative data will provide a better proxy for the amount of uncompensated care during first year or years of implementation.
As we discuss below, we will work on reviewing the instructions for Worksheet S-10 to determine whether any revisions or clarifications may be necessary to ensure that the data reported on this Worksheet can eventually be employed to determine Factor 3. We also appreciate MedPAC's recommendation that we consider alternative proxies and also a transition period of several years to sole use of the Worksheet S-10 uncompensated care data in determining Factor 3, possibly with use of a blend of the insured low-income days and uncompensated care data. While we acknowledge the appeal of a transition to the sole use of the uncompensated care data, we believe that we would need to further analyze the appropriateness of blending Worksheet S-10 uncompensated care data with other data for use in determining Factor 3. We note that it is possible that we would consider a more refined proxy or other proxies for the treatment costs of the uninsured until such a time that we can propose a methodology to calculate Factor 3 based directly on reported amounts of uncompensated care. Regardless, we believe that hospitals should have a full opportunity to comment on any such proposals before their adoption. Therefore, we may consider including this recommendation among our proposals in future rulemaking.
Comment: Most commenters supported CMS' proposal to employ each Medicare disproportionate share hospital's insured low-income inpatient days relative to the total insured low-income inpatient days provided by Medicare disproportionate share hospitals as a better proxy for the costs of the uninsured. These commenters agreed with CMS' assessment that the data reported on the Worksheet S-10 are not yet reported accurately and consistently enough to be adopted for purposes of determining Factor 3. Most commenters endorsed the adoption of the proxy approach as an interim measure as CMS proceeds to refine the definition of uncompensated care costs and the instructions for reporting data on the Worksheet S-10. An association representing hospitals in a major metropolitan area requested that CMS use the wage index to adjust insured low-income days to account for the differences in “purchasing power” in different regions of the country. The association, along with several other commenters, requested that CMS include insured low-income days from exempt units (for example, inpatient rehabilitation units paid under the IRF PPS or inpatient psychiatric units paid under the IPF PPS) of the hospital in order to better capture the treatment costs of the uninsured by the hospital. Some commenters, including a beneficiary advocacy organization and a hospital system, objected to CMS' proposal to use insured low-income inpatient days as the proxy for distributing uncompensated care payments. These commenters believed that the proposed method unfairly rewards States that expand Medicaid to the detriment of States that do not, despite their belief that the latter group of States should have larger relative uncompensated care costs. The commenters also believed that this approach was not an appropriate proxy for uncompensated care because, by definition, insured low-income days are not uncompensated.
Response: We agree with the commenters who supported our proposal to employ insured low-income days as a proxy for uncompensated care costs. For the reasons we detailed in the proposed rule, we believe that this proxy provides a reasonable basis on which to determine Factor 3 during an interim period while we work with the hospital community to review and make any necessary revisions and clarifications to the instructions to ensure that the data on Worksheet S-10 is reported accurately and consistently enough to employ in the determination of this factor. As is noted above, it remains our intention to propose introducing use of the Worksheet S-10 to determine Factor 3 within a reasonable amount of time. We do not agree with the commenters who stated that our proposal inappropriately rewards States that expand Medicaid coverage to the detriment of States that do not. Using some of the uncompensated care data discussed in the proposed rule, we recognize it would be possible for hospitals in States that choose to expand Medicaid to receive lower uncompensated care payments because they are less likely to have uninsured patients than hospitals in a State that does not choose to expand Medicaid. Nevertheless, for the reasons discussed above, we believe that data on insured low-income days remains the best proxy for uncompensated care costs currently available to determine Factor 3.
With respect to the comments requesting that we use the wage index to adjust low-income days, we agree that there may be regional variation in uncompensated care costs due to regional variations in the costs of care generally. However, we do not believe that there is sufficient basis for believing that the wage index reflects the variations in uncompensated care costs well enough to adopt it as the basis for adjusting Factor 3. The wage index reflects the relative hospital wage level in the geographic area of the hospital compared to the national average hospital wage level. In computing the wage index, we derive an average hourly wage for each labor market area (total wage costs divided by total hours for all hospitals in the geographic area) and a national average hourly wage (total wage costs divided by total hours for all hospitals surveyed in the nation). A labor market area's wage index value is the ratio of the area's average hourly wage to the national average hourly wage. We note that, for FY 2014, 69.6 percent of the standardized amount is considered to be the labor-related share and, therefore, adjusted by the wage index. However, in addition to the labor-related share of the standardized amount being adjusted by the wage index, the entire standardized amount is also adjusted for the relative weight of the MS-DRG for each individual patient. In other words, the wage index only adjusts for a portion of the variation in costs, and does not address variations in resource use and patient severity. Therefore, we think that there is insufficient basis for believing that adjusting low-income patient days by the wage index would better reflect variations in uncompensated care costs. Furthermore, as we discuss above, we are aware of no other data that may adequately capture these variations, such as case-mix.
Finally, we believe that there may be some merit to the comments recommending inclusion of insured low-income days from exempt units of the hospital in order to better capture the full costs of the treatment of the uninsured by the hospital insofar as those data may be publicly available, subject to audit, and used for payment purposes. We believe that it would be prudent to more carefully consider the degree to which these data meet these conditions before adopting this recommendation. Therefore, we will consider including this recommendation among our proposals in future rulemaking.
In the FY 2014 IPPS/LTCH PPS proposed rule, we proposed to estimate which hospitals would receive an empirically justified Medicare DSH payment in a given Federal fiscal year using the most recent data available. As we described previously, only hospitals that receive empirically justified Medicare DSH payments in a fiscal year may receive an uncompensated care payment. However, because whether or not a hospital will actually receive an empirically justified Medicare DSH payment is not known until cost report settlement and cost report settlement occurs several years after end of the federal fiscal year, we stated that we believe it is necessary to estimate which hospitals will receive Medicare DSH payments for a given fiscal year. Because the uncompensated care amounts for these hospitals are used to determine the denominator of Factor 3, this allows for the calculation of Factor 3 in advance of or during the federal fiscal year so that interim payments can begin during the fiscal year. We indicated in the proposed rule that we believe this will create some level of predictability and finality for hospitals eligible for these payments, in addition to being administratively efficient.
Therefore, for FY 2014, we proposed that the denominator for Factor 3 would reflect the estimated Medicaid and Medicare SSI patient days based on data from the 2010/2011 Medicare cost report (including the most recently available data that may be used to update the SSI ratios) for all hospitals that we estimate would receive an empirically justified Medicare DSH payment in FY 2014. The numerator of Factor 3 would be the estimated Medicaid and Medicare SSI patient days for the individual hospital based on its most recent 2010/2011 Medicare cost report data (including the most recently available data that may be used to update the SSI ratios). We proposed to calculate a numerator for all subsection (d) hospitals and subsection (d) Puerto Rico hospitals that have the potential of receiving a DSH payment regardless of whether we estimate that the hospital would receive DSH payments in the respective Federal fiscal year. In that way, if a hospital becomes eligible to receive the empirically justified Medicare DSH payment and also an uncompensated care payment, we will be able to finalize its uncompensated care payment efficiently and without affecting the uncompensated care payments of other hospitals.
We noted that we believe this proposed approach strikes an appropriate balance between administrative efficiency, finality, and predictability in payments. Therefore, we also proposed to publish a table or tables listing Factor 3 for all hospitals that we estimate would receive empirically justified Medicare DSH payments in a fiscal year (that is, hospitals that would receive interim uncompensated care payments during the fiscal year), and for the remaining subsection (d) and subsection (d) Puerto Rico hospitals that have the potential of receiving a DSH payment in the event that they receive an empirically justified Medicare DSH payment for the fiscal year as determined at cost report settlement. We also proposed that hospitals would have 60 days from the date of display of the IPPS/LTCH PPS proposed rule to review these tables and notify CMS in writing of a change in a hospital's subsection (d) hospital status, such as if a hospital has closed or converted to a CAH. We stated that we would notify hospitals concerning the specifics of this process in program instructions after the final rule. For FY 2014, we stated that we would allow hospitals 60 days from the date of display of the IPPS/LTCH PPS proposed rule to review these tables and notify CMS in writing of a change in a hospital's subsection (d) hospital status, and we indicated that we may allow an additional (perhaps shorter) such period after the publication of the final rule.
For hospitals that were not estimated to receive an empirically justified Medicare DSH payment for a fiscal year, but ultimately qualify for such a payment at cost report settlement, we proposed to make the full uncompensated care payment at that time. In the case of hospitals that we estimated would receive an empirically justified Medicare DSH payment for a fiscal year and that received interim empirically justified Medicare DSH payments and uncompensated care payments, but are found to be ineligible for DSH payments at cost report settlement, we would recover the overpayment. However, we proposed only to calculate the denominator (that is, the estimated Medicaid and Medicare SSI patient days based on data from the 2010/2011 Medicare cost report (including the most recently available data that may be used to update the SSI ratios) for all hospitals that we estimate would receive an empirically justified Medicare DSH payment in FY 2014) once, at the time of the IPPS/LTCH PPS final rule each year. We did not propose to recalculate the denominator at the time when cost reports are settled and final eligibility determinations for uncompensated care (and empirically justified Medicare DSH) payments are made. We discuss our proposals and final polices for interim payments and reconciliation processes below in section V.E.3.f. of the preamble of this final rule.
For the purpose of the proposed rule, we posted proposed tables listing Factor 3 for the hospitals that we estimated would receive Medicare DSH payments for FY 2014 on the CMS Web site at: http://www.cms.gov/Medicare/Medicare-Fee-for-Service-Payment/AcuteInpatientPPS/dsh.html. We requested that hospitals review these tables. In order to ensure that we would have sufficient time to incorporate any updated information in the tables for the final rule, we indicated that hospitals should notify CMS in writing within 60 days from the date of display of the proposed rule of any change in a hospital's subsection (d) hospital status. For FY 2014, we stated that we may allow an additional (perhaps shorter) such period after the publication of the final rule for hospitals to notify CMS of such changes.
Comment: Several commenters questioned their hospitals' Medicare DSH eligibility because many of these hospitals, particularly SCHs, were projected not to receive empirically justified Medicare DSH payment adjustments in the FY 2014 IPPS/LTCH PPS proposed rule and, therefore, to be ineligible to receive uncompensated care payments. Many of the commenters submitted documentation that they had received Medicare DSH payments in the past, so the hospitals reasoned that they should be considered eligible for empirically justified Medicare DSH payment adjustments and uncompensated care payments.
Response: For the FY 2014 IPPS/LTCH PPS proposed rule, we identified hospitals as being eligible for empirically justified Medicare DSH payment adjustments and, therefore, eligible to receive uncompensated care payments, based on our projections of whether a hospital would receive Medicare DSH payments for FY 2014. Many SCHs were determined to be ineligible for empirically justified Medicare DSH payment adjustments and uncompensated care payments because SCHs are paid the higher of the hospital-specific rate (which, by definition, excludes Medicare DSH payments), or the Federal rate (which includes Medicare DSH payments). With the 75-percent reduction to Medicare DSH payments in FY 2014 pursuant to section 1886(r)(1) of the Act, and because we did not propose to include the uncompensated care payment as part of the Federal payment rate in the proposed rule, more SCHs were projected to receive payments under their hospital-specific rate. As a result, these SCHs were determined to be ineligible for empirically justified Medicare DSH payment adjustments and, therefore, were also ineligible for uncompensated care payments.
In the FY 2014 IPPS/LTCH PPS proposed rule, we noted that we would calculate a Factor 3 for hospitals found to be ineligible for empirically justified Medicare DSH payment adjustments in our projections, in the event that they become eligible for empirically justified Medicare DSH payment adjustments at cost report settlement and, therefore, able to receive uncompensated care payments. However, unlike the hospitals projected to receive empirically justified Medicare DSH payment adjustments for FY 2014, those non-DSH hospitals would not receive uncompensated care payments on an interim basis.
For the final rule, we are finalizing our methodology to identify hospitals eligible for empirically justified Medicare DSH payment adjustments and, therefore, eligible to receive interim uncompensated care payments based on our projections of whether the hospital would receive Medicare DSH payments for FY 2014. We will identify those subsection (d) and Puerto Rico subsection (d) hospitals that we project to have a disproportionate patient percentage (DPP) of at least 15 percent, which is the minimum required DPP to be eligible for Medicare DSH payments under section 1886(d)(5)(F) of the Act and, by extension, under 1886(r)(1) of the Act (that is, empirically justified Medicare DSH payments). The DPP is the sum of a hospital's SSI fraction and Medicaid fraction. We are using the most recent data available to us at the time of this rulemaking to calculate the DPP for all subsection (d) hospitals and Puerto Rico subsection (d) hospitals and to identify those hospitals projected to be eligible for empirically justified Medicare DSH payment adjustments for FY 2014. For purposes of this final rule, the most recent SSI fraction is the FY 2011 SSI fraction. We posted the FY 2011 SSI fractions for each subsection (d) hospital on the CMS DSH Web site (http://www.cms.gov/Medicare/Medicare-Fee-for-Service-Payment/AcuteInpatientPPS/dsh.html ) on June 27, 2013. The most recently available Medicaid fraction is that reported on the March 2013 update of the Provider Specific File.
However, we are modifying our methodology so that an estimated uncompensated care payment amount will be included as part of the Federal rate when comparing payments under the hospital-specific rate versus the Federal rate for SCHs. Once we identify which SCHs we project will be paid on their hospital-specific rate, we will consider these hospitals to be ineligible to receive interim uncompensated care payments because we do not project them to be eligible for the empirically justified Medicare DSH payment adjustments.
We will calculate Factor 3 for all hospitals that are eligible for empirically justified Medicare DSH payment adjustments under our revised methodology based on their proportion of low-income insured days relative to the low-income insured days for all hospitals projected to receive DSH payments, and the hospital will receive uncompensated care payments on an interim basis. As we describe more fully below, hospitals that receive uncompensated care payments on an interim basis but are not eligible for Medicare DSH payments at the time of cost report settlement would no longer be eligible to receive an uncompensated care payment and would need to repay those interim payments.
However, we are adopting a policy to calculate Factor 3 for all subsection (d) hospitals, including hospitals that are projected to be ineligible to receive Medicare DSH payments (that is, those hospitals with a DPP less than 15 percent or SCHs that are projected to be paid based on their hospital-specific rate). If these hospitals are later determined to be eligible to receive Medicare DSH payments, those payments (under both sections 1886(r)(1) and 1886(r)(2) of the Act) would be made at the time of cost report settlement. We note that in calculating Factor 3, we include in the denominator data only for those hospitals that we estimate will be eligible to receive empirically justified Medicare DSH payments for FY 2014. As part of our estimation of the hospitals eligible for Medicare DSH payments, we consider whether a SCH is projected to receive Medicare DSH payments in FY 2014 and exclude those SCHs we project to be paid on their hospital-specific rate. The remaining hospitals with an estimated DPP of 15 percent of higher are considered to be eligible for Medicare DSH payments and their SSI days and Medicaid days are included in the calculation of the denominator for Factor 3.
Comment: Two hospitals submitted public comments regarding their subsection (d) status. One hospital, Missouri Baptist Sullivan (CCN: 260115), commented that it converted to a CAH and is no longer a subsection (d) hospital and, therefore, not eligible for uncompensated care payments. Davie County Hospital submitted a public comment that stated it was converting from CAH status to become a subsection (d) hospital as of August 1, 2013, and the hospital requested to have a Factor 3 calculated so it could be determined eligible for uncompensated care payments.
Response: As discussed earlier, a hospital is eligible for uncompensated care payments if the hospital is eligible for the empirically justified Medicare DSH payment adjustment. Only subsection (d) hospitals are eligible for these payments. We have removed Missouri Baptist Hospital as a subsection (d) hospital as we have documentation that it has converted to a CAH, and we have adjusted our calculation of Factor 3 to ensure that its data are excluded from the denominator of this calculation. We do not have documentation to confirm that Davie County Hospital has been approved to convert from a CAH to an IPPS hospital. Therefore, we are not calculating a Factor 3 amount for that provider. If the CAH has converted to an IPPS hospital with the appropriate supporting documentation, the new IPPS hospital would receive a new CCN and would be treated as a new hospital. We discuss how we will calculate uncompensated care payments for new hospitals later in this final rule.
In the FY 2014 IPPS/LTCH PPS proposed rule our estimates of eligibility to receive FY 2014 Medicare DSH payments were based on the Medicaid fraction listed in the December 2012 update of the Provider Specific File and the FY 2010 SSI ratios. We stated in the proposed rule that we intended to update in the final rule the list of hospitals that we estimate will be eligible for Medicare DSH payments for FY 2014 and our estimate of Factor 3 using more recent data and verified hospital notifications regarding hospital status for example, closures).
Accordingly, we have updated our data, and, for this final rule, our estimates of eligibility to receive FY 2014 Medicare DSH payments are now based on the Medicaid fraction listed in the March 2013 update of the Provider Specific File and the FY 2011 SSI ratios published on June 27, 2013 on the CMS Web site. This is the most recently available data on the DPP for hospitals that are qualified to receive Medicare DSH payments. We identified 2,695 hospitals with a DPP greater than or equal to 15 percent and, therefore, eligible to receive Medicare DSH payments. However, we project that only 2,437 of these DSH-eligible hospitals would receive a Medicare DSH payment in FY 2014, as the remaining 257 hospitals are SCHs that we project would be paid under the hospital-specific rate and, therefore, ineligible for Medicare DSH and the uncompensated care payments. (As discussed above, in determining whether a SCH is projected to receive Medicare DSH payments in FY 2014, we included an estimated uncompensated care payment amount in the Federal rate when comparing payments under the hospital-specific rate versus the Federal rate.) We estimate that 2,437 hospitals, or 72 percent of all subsection (d) hospitals and subsection (d) Puerto Rico hospitals, would be eligible for Medicare DSH payments in FY 2014. The data from these 2,437 hospitals was used to determine the denominator for Factor 3. However, we will estimate a Factor 3 numerator for each subsection (d) and subsection (d) Puerto Rico hospital that has the potential of receiving Medicare DSH payments for FY 2014 and, therefore, qualifying for the uncompensated care payment in FY 2014.
Comment: Several hospitals submitted public comments regarding the accuracy of the data used in the calculation of the hospital's Factor 3 amount provided in the FY 2014 IPPS/LTCH PPS proposed rule. These hospitals either indicated that their Medicaid days were understated and had not been updated in the HCRIS database used to calculate the Medicaid days for Factor 3, or they indicated that the Medicaid days reported on Worksheet S-2 of the Medicare Hospital Cost Report version 2552-10 did not match the Medicaid days reported on Worksheet S-3 of the Medicare Hospital Cost Report version 2552-10. Many hospitals submitted supporting documentation of the additional Medicaid days. The hospitals requested that their Medicaid days used in the calculation of Factor 3 be corrected for the final rule.
Response: We appreciate the information submitted by commenters regarding the accuracy of the number of Medicaid days used in the calculation of Factor 3. For this final rule, we are using the March 2013 update of HCRIS and we are identifying a hospital's Medicaid days based on the Medicaid days reported on the 2011, or if not available, the 2010 Medicare Hospital Cost Report. In addition, for hospitals that we project to be eligible to receive empirically justified Medicare DSH payment adjustments for FY 2014, we are using Medicaid days reported on Worksheet S-2 of the Medicare Hospital Cost Report version 2552-10 to determine Factor 3 and not Medicaid days reported on Worksheet S-3 of the Medicare Hospital Cost Report version 2552-10. The Medicaid days reported on Worksheet S-2 are used in the computation of the Medicaid fraction for Medicare DSH payments. Therefore, because they are used for the payment of Medicare DSH, we believe that these data are more reliable than data not used for payment purposes. We understand that there are inconsistencies between the reporting of the days on Worksheet S-2 and Worksheet S-3. We also understand that hospitals were not able to report their Medicaid days on Worksheet S-2 if they were not eligible to receive Medicare DSH payments on that cost report. A Transmittal has since been released allowing these hospitals to report their Medicaid days on Worksheet S-2 and to ensure that the Medicaid days reported on Worksheet S-3 align with the Medicaid days reported on Worksheet S-2, but those changes may not be reflected in the March 2013 update of HCRIS. Accordingly, for hospitals that did not claim Medicare DSH payments on their CMS Form 2552-10 Medicare Hospital Cost Report for FY 2011 or FY 2010, we are calculating Medicaid days from Worksheet S-3 of the Medicare Hospital Cost Report from the most recently available cost report from 2011 or 2010. For disproportionate share hospitals, we are calculating Medicaid days from Worksheet S-2 of the Medicare Hospital Cost Report from the most recently available cost report from 2011 or 2010. By using this more updated data, we believe that we will address many of the issues and questions raised by commenters. We also remind hospitals that the data we are using are data that they submit and attest are accurate on the Medicare cost report.
Comment: Two hospitals merged in 2011 with one surviving provider number. These hospitals had two cost reports and two SSI ratios in 2011. However, in the proposed rule, CMS calculated Factor 3 using only the surviving hospital's cost report data and SSI ratio data. The hospital submitted a public comment requesting that we account for the merger and include both hospitals' data in the calculation of the Factor 3 amount.
Response: A hospital's Factor 3 is calculated based on the data tied to its CCN. This is consistent with the treatment of other IPPS payment factors, where data used to calculate a hospital's Medicare DSH payment adjustment, CCRs for outlier payments, and wage index values is tied to a hospital's CCN. Data associated with a CCN that is no longer in use are not used to determine those IPPS hospital payments under the surviving CCN. Furthermore, data reported on the Medicare hospital cost report under the CCN associated with the old provider agreement would not necessarily be used to determine hospital payments for the CCN associated with the surviving provider agreement. Accordingly, in the case of a merger between two hospitals, Factor 3 will be calculated based on the low-income insured patient days (that is, Medicaid days and SSI days) under the surviving CCN, based on the most recent available data for that CCN from the cost report for 2011 or 2010.
Comment: Several commenters asked how new providers will be treated in the calculation of Factor 3, specifically what data will be used for the Factor 3 calculation and how this approach will impact existing providers. In addition, the commenters questioned how providers “terminated” from participation in the Medicare program as a subsection (d) hospital prior to 2014 would be treated and whether they would be removed from the Factor 3 calculation and how that would have an impact on the remaining providers.
Response: In the FY 2014 IPPS/LTCH PPS proposed rule, we requested that the public verify the accuracy of the list of hospitals that we identified to be subsection (d) hospitals. As discussed above, one hospital submitted a public comment stating that it had converted to a CAH and was no longer a subsection (d) hospital. We have removed that hospital from our list and calculation of Factor 3. We are using this process of allowing the public to review the accuracy of our list of hospitals eligible to receive empirically justified Medicare DSH payment adjustments and uncompensated care payments as a mechanism of identifying and removing terminating providers, and adjusting the calculation of Factor 3 for the remaining providers accordingly. For the final rule, we have published an updated list of the hospitals we have identified to be subsection (d) hospitals and subsection (d) Puerto Rico hospitals eligible to receive empirically justified Medicare DSH payment adjustments and uncompensated care payments for FY 2014. For FY 2014, we will allow the public an additional period after the issuance of this final rule to contact us with comments on whether any of these hospitals should be removed from the list or if any hospitals should be added to the list, based on their subsection (d) status. The public can submit input on these two topics via the Internet on the CMS Web site at: Section3133DSH@cms.hhs.gov. All information, including relevant documentation, must be received by August 31, 2013. If we identify changes to the list of hospitals, we will publish a revised list of hospitals and updated Factor 3 values on the CMS Medicare DSH Web site after August 31, 2013.
For new providers, meaning hospitals with a CCN established after 2011, we do not have data currently available to calculate a Factor 3 amount and we do not have data to determine if the new hospital is eligible for empirically justified Medicare DSH payment adjustments and, therefore, eligible for uncompensated care payments for FY 2014. Accordingly, we will treat new hospitals in the same manner as hospitals that are not found to be eligible to receive empirically justified Medicare DSH payment adjustments based upon the most recently available cost report from 2011 or 2010, such that the hospital may not receive either interim empirically justified Medicare DSH payment adjustments or interim uncompensated care payments. However, should a hospital later be determined to be eligible to receive an empirically justified Medicare DSH payment adjustment based on its FY 2014 cost report, the hospital will also be eligible to receive uncompensated care payments. Consistent with our policy to calculate the Factor 3 for all subsection (d) hospitals regardless of whether or not they are projected to qualify for Medicare DSH payments, we will also calculate a Factor 3 for new hospitals, although we note that new hospitals would only require a Factor 3 calculation to receive their uncompensated care payment if they are ultimately determined to be eligible for the empirically justified Medicare DSH payment at cost report settlement. The denominator of every hospital's Factor 3, including new hospitals, is set to be the sum of the low-income insured days for all hospitals projected to receive empirically justified Medicare DSH payment adjustments for FY 2014 as calculated in this final rule using the FY 2011 SSI ratios and the 2011 cost reports. We do not have Medicaid days or SSI days for new hospitals at the time of this final rule and we do not know when we will have Medicaid days or SSI days for new hospitals. Accordingly, we will use the Medicaid days and SSI days for FY 2014 for new hospitals to serve as the numerator in their Factor 3 calculations for their FY 2014 uncompensated care payments because we believe that at minimum, all new hospitals will have data on Medicaid and SSI patient days for FY 2014.
e. Limitations on Review
Section 1886(r)(3) of the Act provides that there will be no administrative or judicial review under section 1869 of the Act, 1878 of the Act, or otherwise for any of the following:
- Any estimate of the Secretary for purposes of determining the factors described in paragraph (2) of section 1886(r) of the Act.
- Any period selected by the Secretary for such purposes.
In the FY 2014 IPPS/LTCH PPS proposed rule (78 FR 27590), we proposed to codify this policy in new § 412.106(g)(2) of our regulations. We invited public comment on this proposal.
We did not receive any public comments on our proposal to implement the statutory limitations on administrative or judicial review.
We are finalizing the proposed new provisions at § 412.106(f) and (g) to codify these policies. We note, however, that we have made a minor change to the provision at § 412.106(g)(1)(i) to clarify that we intend to revisit the issue of the data that should be used to determine hospitals' uncompensated care amounts for FY 2015. In addition, we have also made a minor technical correction to the provision at § 412.106(g)(2)(iii).
f. Operational Considerations
As discussed in section V.F.3.d. of the preamble of the proposed rule and this final rule, and in accordance with section 1886(r)(2) of the Act, only subsection (d) hospitals that receive empirically justified Medicare DSH payments in a given Federal fiscal year will also receive the uncompensated care payment (that is, Factor 1 times Factor 2 times Factor 3) for that given Federal fiscal year. In addition, as discussed above in this section, in the FY 2014 IPPS/LTCH PPS proposed rule (78 FR 27580), we proposed that subsection (d) Puerto Rico hospitals that receive empirically justified Medicare DSH payments in a given Federal fiscal year would also receive the uncompensated care payment (that is, Factor 1 times Factor 2 times Factor 3) for that given Federal fiscal year. As we discussed above, we proposed to estimate Factor 3 for each subsection (d) and subsection (d) Puerto Rico hospital with the potential to receive a DSH payment prior to the beginning of the Federal fiscal year and intend to make that information available via our Web site. http://www.cms.gov/Medicare/Medicare-Fee-for-Service-Payment/AcuteInpatientPPS/dsh.html.
Specifically, we proposed to make interim uncompensated care payments on the basis of our best available estimates concerning the eligibility of each hospital for empirically justified Medicare DSH payments and our best available calculations concerning the amount of the uncompensated care payments that the hospital is eligible to receive. We stated that we intended to make these interim uncompensated care payments on a periodic basis and not on a per discharge basis as Medicare DSH payments are currently made and as empirically justified Medicare DSH payments will be made. As discussed above, we made this proposal because we believed that this approach was more consistent with the language in the statute describing the additional payment, from which we inferred that the payment should not be made on a per-discharge basis. We also believed that this would be the most administratively efficient means to distribute a set dollar amount to individual hospitals and would also create predictability for hospitals. In the proposed rule, we acknowledged that if we were to make these interim uncompensated care payments on a per-discharge basis as Medicare DSH payments are currently made, unless a hospital's Medicare utilization is identical to the period used to determine the per-discharge payment level, it is certain that Medicare would overpay or underpay. We stated further in the proposed rule that by making interim payments periodically, we could virtually eliminate the possibility that Medicare would pay a higher or lower amount than intended and limit the need for reconciliation to whether a hospital is eligible for Medicare DSH payments and, therefore, the entire uncompensated care payment at cost report settlement. In response to the comments on this suggested approach discussed below, in this final rule, we are instead adopting a policy to make the uncompensated care payment on a per-discharge basis, which will require reconciliation of the interim payments made during the year to the total uncompensated care payment derived as the product of Factors 1, 2, and 3.
Comment: Many commenters, including national hospital associations, disagreed with CMS' proposal to make interim uncompensated care payments, and to distribute them on a periodic basis rather than a per-discharge basis. The commenters expressed concern about the impact this proposal would have on certain providers, and stated that providers' cash flow would be adversely affected if payments are distributed on a periodic bi-weekly basis, as we proposed. Many commenters were specifically concerned about the potential effects of this proposal on hospitals treating MA enrollees. One of the commenters, a national hospital association stated that, “[t]he contracts between the MA Plans and hospitals typically provide for payment based upon Medicare rates and reimbursements. Though the specific contract terms may vary, they often refer to Medicare DSH payments as one component of the Medicare reimbursement on which the MA Plan payments are based.” The commenters further noted that under such contracts MA organizations typically use vendor software that utilizes the CMS Medicare Inpatient PPS PC PRICER, as a claim adjudication tool for paying acute care hospital claims. The commenters also pointed out that MA organizations are required by statute to pay non-contracted hospitals a floor amount based on what the provider would have received under original Medicare (what a hospital would be paid if the beneficiary were not enrolled in an MA plan), and they understand that MA organizations use the CMS Medicare Inpatient PPS PC PRICER to determine what that floor amount is. The commenters expressed concern that if the uncompensated care payment is not distributed on a per-discharge basis, it would not be incorporated into the CMS Medicare Inpatient PPS PC PRICER and that because they believe MA plans employ tools that rely on this software, MA plans would not be able to calculate an appropriate payment amount, which the commenters believed should include an amount representing a given Medicare patient's share of the hospital's uncompensated care payment. Another commenter added that the proposal would lead to confusion and underpayment from MA plans to providers. Several commenters requested that CMS also add a line in the CMS Medicare Inpatient PPS PC PRICER software for additional DSH “A-DSH” that would represent the per-discharge payment for Medicare Part A and the per-discharge payments for MA claims paid by MA plans when the MA-paid claim option is selected, and these commenters requested that the per-discharge payments be reconciled at cost report settlement. One commenter recommended that CMS calculate the interim payment by dividing each hospital's uncompensated care payment amount by the number of its transfer-adjusted cases.
In addition, these commenters expressed concerns about the impact to SCHs under the proposal to make interim uncompensated care payments on a periodic basis because only the empirically justified Medicare DSH payment adjustments would be included in the comparison that determines whether an SCH is paid the Federal rate or the hospital-specific rate. Some commenters asserted under this approach that the comparison between payments under the Federal rate and under the hospital-specific rate would be inaccurate, causing several hospitals that were previously eligible for Medicare DSH payments to instead receive the hospital-specific rate. These commenters asserted that this would impose unwarranted payment cuts for SCHs because uncompensated care payments were not accounted for in determining whether SCHs are paid the Federal rate or hospital-specific rate. Therefore, the commenters reasoned that such SCHs would be unfairly penalized. One commenter expressed concern that a hospital-specific rate based on costs creates incentives for SCHs to have higher costs of operation. Several commenters discussed how the uncompensated care payment should be considered when determining outlier payments and the fixed-loss threshold, and expressed their concerns about the impact of excluding uncompensated care payments from these determinations. These comments will be summarized and addressed fully in section II.A.4.g. of Appendix A to this final rule under the discussion of outlier payments, where we finalize our policy decision that uncompensated care payments also should be included in the determination of outlier payments.
Response: We appreciate the commenters' input with regard to fact that under our proposed approach, the new uncompensated care payments would not be accounted for in the CMS PC PRICER tool. While we acknowledge that many MA plans use this tool to estimate fee-for-service payments, we note that there is no official CMS requirement that MA plans use this specific tool. For those MA plans that may elect to use the CMS PC PRICER, we acknowledge that our proposed interim payment approach would make it a more complex task for MA organizations to determine the amount of the uncompensated care payment that would be attributable to a given discharge. We agree with the commenters that the uncompensated care payment must be treated as part of a hospital's Medicare payment for purposes of section 1866(a)(1)(O) of the Act. We note that under section 1866(a)(1)(O) of the Act, hospitals treating MA enrollees are entitled to receive payment from an MA organization with which they have no contract governing payment of an amount representing the amount the hospital would have received from Medicare if the beneficiary were not enrolled in an MA plan. We understand the commenters' reasoning that because the new uncompensated care payments are intended to replace a portion of the DSH payments previously made by CMS, and MA organizations have always included the amount of applicable DSH payment in their payments to non-contracting hospitals under section 1866(a)(1)(O) of the Act and to contracting hospitals that contract to be paid at the section 1866(a)(1)(O) rate, MA organizations should similarly be required to include amounts representing these uncompensated care payments in their payments for inpatient services furnished to their MA plan enrollees. It was not our intention to suggest otherwise in the proposed rule. We also note that while some commenters expressed concern regarding the payment arrangements between MA organizations and contracted providers, section 1854(a)(6)(B)(iii) of the Act prohibits CMS from interfering in the payment arrangements between MA organizations and contract providers and these arrangements are not within the scope of this rulemaking. We are only addressing an MA organization's obligations under section 1866(a)(1)(O) of the Act with respect to payments to non-contracting hospitals. Of course, insofar as both parties to a contract agree that the contract provides for payment of the rate the MA organization is required under section 1866(a)(1)(O) to pay to non-contracting providers, that contract would be indirectly affected. However, this does not constitute an interference in the terms of the contracts, only on the indirect effects of our interpretation of section 1866(a)(1)(O) of the Act on those terms.
We also recognize the potential impact on SCHs if the interim uncompensated care payments were to be paid on a periodic biweekly basis rather than a per-discharge basis. As we discuss previously in the preamble, after a thorough review of the above policy considerations reflected in the numerous public comments we received, we believe that distributing these payments on a per-discharge basis would allow these payments to be considered in the comparison of payments under the Federal rate and the hospital-specific rate for SCHs and that this would be an appropriate policy. We also note that we disagree with the commenter who stated that this could create an incentive for higher costs of operation for SCHs because hospital-specific payment rates are based on costs in past years and would not be affected by higher costs of operation in the current or future years.
Similarly, after a thorough review of the above policy considerations reflected in the numerous public comments we received, we believe that distributing these payments on a per-discharge basis would make it easier for MA organizations to take these payments into account when making payments to non-contracting hospitals under section 1866(a)(1)(O) of the Act. We have always intended that this occur as current payments by MA organizations under this provision include 100 percent of DSH payments and the uncompensated care payment is intended to replace 75 percent of those payments, after adjusting for the uninsured percentage. The inclusion of amounts representing uncompensated care payments in MA organization payments to non-contracting hospitals does not change the amount of CMS' uncompensated care payments nor overall IPPS payment, but ensures that payments by MA organizations under section 1866(a)(1)(O) of the Act reflect the full amount that would otherwise have been paid by CMS in the case of a given discharge. We also note that our decision to make uncompensated care payments on a per-discharge basis will make more SCHs eligible for uncompensated care payments and, therefore, also change the distribution of the uncompensated care payments.
Accordingly, for FY 2014 we are finalizing a process to distribute interim uncompensated care payments under the IPPS on a per-discharge basis through our claims processing system, with a reconciliation of the hospital's payments at cost report settlement to ensure that hospitals receive no more than the estimated amount included in this final rule. We do not intend to reconcile Factor 3 using data from the FY 2014 cost reports because we believe that the statute provides the authority to make these payments on the basis of estimates for Factors 1, 2, and 3, and that it is preferable to do so. If we were to use data from the FY2014 cost reports to recompute Factor 3, we would need to wait until such a time that all of these data were submitted by hospitals and then available to CMS, likely 2 years. Furthermore, it would be administratively difficult to recompute Factor 3 values for all hospitals. Under the methodology we are finalizing, because the per-discharge payment amounts are based on a hospital's historic Medicare utilization, we would expect the amount of over- or under- payments to reflect the year to year changes in a hospital's utilization patterns. We intend to calculate an estimated per-discharge amount (or per claim amount) for each hospital eligible to receive interim uncompensated care payments and we will pay that estimated amount on a per-discharge basis by adding it to the payment otherwise made on that claim. The estimated per-discharge amount is based on the amount of the uncompensated care payment that we have calculated for the hospital for a fiscal year divided by the average number of discharges, or claims, in the most recently available three fiscal years of the Medicare claims dataset. For FY 2014 payments, we will use the average number of claims from the most recent 3 years of MedPAR claims data, FY 2010, FY 2011 and FY 2012, as this is the most recently available data on hospital utilization. We believe that it is appropriate to use a 3-year average to reduce the degree to which we would over- or under-pay the uncompensated care payment on an interim basis. In any given year, a hospital could have low or high Medicare utilization that differs from other years. For example, if a hospital had two Medicare discharges in its most recent cost report but experienced four discharges in FY2014, during the fiscal year, we would pay two times the amount the hospital should receive and need to adjust for that at cost report settlement. Similarly, if a hospital had four Medicare discharges on its most recent cost report, but experienced two discharges in FY2014, during the fiscal year, we would only pay half the amount the hospital should receive and need to adjust for that at cost report settlement. We note that because this fee-for-service per-claim payment will be reconciled against actual hospital utilization at the end of a hospital's cost year, it may be necessary to make actuarial adjustments so that the MA organizations can more accurately and appropriately take these payments into account when making payment to non-contracting hospitals under section 1866(a)(1)(O) of the Act.
Furthermore, because we do not intend to reduce the uncompensated care payment based on any claim-specific factors, such as DRG weight or transfer status, for discharges that are transfers, we do not believe that it is appropriate to determine the per-discharge interim payment using the number of transfer-adjusted discharges. In other words, we will not be using transfer-adjusted discharges to determine per-claim payments. In order to determine per-claim payments, we will use the 3-year average of the most recent periods to determine discharges. At cost report settlement, we will reconcile the total amounts paid on a per-discharge basis during the Federal fiscal year with the amount of the uncompensated care payment that we have calculated for the hospital for the fiscal year and issue further instructions as needed.
Comment: MedPAC submitted a comment supporting the proposal to make interim uncompensated care payments on a periodic basis, and further stated that this payment approach was appropriate and would prevent unnecessary cash flow problems for the hospitals. Other commenters also supported the proposal. One commenter urged CMS to make direct lump sum uncompensated care payments to hospitals on a biweekly basis to avoid the need for hospital-specific reconciliations.
Response: Although we appreciate the commenters' support for our proposal, for the reasons stated above, we are not adopting our proposed policy to make interim uncompensated care payments on a periodic basis. After consideration of the public comments we received, in this final rule, for FY2014, we are adopting a process to distribute interim uncompensated care payments on a per-discharge basis through the claims processing system. We believe that the inclusion of the uncompensated care per-claim amount on each claim paid will address MedPAC's concerns about cash flow problems for the hospitals. Because the per-discharge uncompensated care payments will be made on a claim-by-claim basis in the claims processing system, we anticipate that the FY 2014 CMS Medicare Inpatient PPS PC PRICER software tool will also display the uncompensated care per-claim amount in the pricing information it calculates. This should assist those MA plans that opt to use the CMS Medicare Inpatient PPS PC PRICER tool to estimate fee-for-service like payments.
Comment: Some commenters urged CMS to clarify in the final rule that MA plans must include payment for uncompensated care in their payments to hospitals, and requested that CMS take steps to ensure MA plans have access to the information they need to make payments for uncompensated care costs as of October 1, 2013.
Response: We appreciate receiving the commenters' feedback. As stated above, we agree with the commenters that MA organizations have the obligation to include these payment amounts for purposes of payments under section 1866(a)(1)(O) of the Act, and, as noted above, are taking steps to ensure that these amounts are included in the software used by MA organizations.
After consideration of the public comments we received, in this final rule we are not adopting our proposed policy to make interim uncompensated care payments on a periodic basis, and instead for FY 2014 are adopting a process to distribute interim uncompensated care payments on a per-discharge basis through the claims processing system, and also such tools that we make available to the public, including MA organizations.
In the FY 2014 IPPS/LTCH PPS proposed rule, we also proposed to make a final determination concerning eligibility for uncompensated care payments at the time of cost report settlement. As a result of this proposal, our operational system must be able to handle the various situations that may arise between interim and final eligibility determinations. For example, a hospital may receive empirically justified Medicare DSH payments and uncompensated care payments based on an initial determination that the hospital is eligible for such payments, but the hospital may then be determined to be ineligible for such payments at cost report settlement. In such situations, we must be prepared and able to recoup the interim empirically justified Medicare DSH payments and uncompensated care payments that the hospital received.
For each Federal fiscal year, we proposed to estimate which hospitals will receive an empirically justified Medicare DSH payment (that is, eligible hospitals). We proposed to provide periodic payments to these hospitals during the relevant Federal fiscal year so that they can receive their uncompensated care payments on an interim basis. For a fiscal year, each eligible hospital's interim uncompensated care payments will be determined by multiplying the final values for Factor 1, Factor 2, and Factor 3 for that year and dividing the amount by the number of periods over which the interim payments will be made.
Because we would be using historical data to estimate each hospital's eligibility for empirically justified Medicare DSH payments in FY 2014 and subsequent years, we acknowledged that a reconciliation process would be necessary to account for cases in which a hospital's eligibility for such payments changes after we have published our estimates during the rulemaking process. For example, a hospital that had not been estimated to be eligible for these payments may become eligible during the course of a given payment period. In such cases, our estimates would have indicated that the hospital was ineligible for empirically justified Medicare DSH payments and, therefore, ineligible for uncompensated care payments. That hospital would not receive interim payments. However, if the data available at cost report settlement were to indicate that the hospital is eligible for an empirically justified Medicare DSH payment, the hospital would become eligible for an uncompensated care payment based on that hospital's Factor 3 value.
Therefore, we proposed that, at cost report settlement, the fiscal intermediary/MAC will issue a notice of program reimbursement that includes a determination concerning whether each hospital is eligible for empirically justified Medicare DSH payments and, therefore, eligible for uncompensated care payments in FY 2014 and each subsequent year. In the case where a hospital received interim payments for its empirically justified Medicare DSH payments and uncompensated care payments for FY 2014 or a subsequent year on the basis of estimates prior to the payment year, but is determined to be ineligible for the empirically justified Medicare DSH payment at cost report settlement, the hospital would no longer be eligible for either payment and CMS would recoup those monies. For a hospital that did not receive interim payments for its empirically justified Medicare DSH payments and uncompensated care payments for FY 2014 or a subsequent year, but at cost report settlement is determined to be eligible for DSH payments, the uncompensated care payment for such a hospital is calculated based on the Factor 3 value determined prospectively for that fiscal year.
We proposed to codify this policy regarding the manner and timing of payments in new § 412.106(h) of our regulations.
We invited public comment on this proposal.
The reconciliations at cost report settlement would be based on the values for Factor 1, Factor 2, and Factor 3 that we have finalized prospectively for a Federal fiscal year. For example, a hospital that was estimated by CMS to receive empirically justified Medicare DSH payments for FY 2014 and received interim uncompensated care payments would not receive a different uncompensated care payment amount if the hospital remained eligible for empirically justified Medicare DSH payments at cost report settlement. In other words, we did not propose to include a reestimation of Factor 1, Factor 2, or Factor 3 in the reconciliation process. Rather, Factor 1, Factor 2, and Factor 3 are estimates determined prospectively using methodologies we establish through rulemaking. We recognize that, under this proposal, we may pay a total amount that could either be more or less than the product of Factor 1 and Factor 2. However, we believed this risk is inherent in the use of estimates to determine the Factors, similar to the manner in which we estimate the amount of total outlier payments under section 1886(d)(5)(A)(iv) although, as in this case, the amount of actual total outlier payments might vary from that estimate. In the FY 2014 IPPS/LTCH PPS proposed rule, we indicated that we do not know of any reason to believe that there will be a bias toward systematic overpayment or underpayment from year to year.
We proposed to codify this policy at § 412.106(g)(1)(iv) of our regulations.
We invited public comments on this proposal, especially in regard to whether we should include Factor 3 within the reconciliation process. We stated that, depending on the public comments received, we may revise our proposed policy in the final rule so that at the time of cost report settlement and reconciliation a hospital's final uncompensated care payments could be based on Factor 3 numerators and denominators estimated using more recent cost report data (and associated inputs). In addition, we stated that we may revise our proposed reconciliation process, as appropriate, to account for any policy changes that we make in the final rule.
We also note that the uncompensated care payment will be reported on the Medicare Hospital Cost Report. We recognized that hospitals have their own cost reporting periods that may differ from the Federal fiscal year and that may span more than one Federal fiscal year. In the FY 2014 IPPS/LTCH PPS proposed rule (78 FR 27592), we proposed that hospitals would receive their uncompensated care payments with respect to the fiscal year in which their cost report begins. For example, if a hospital is estimated to be eligible for the empirically justified DSH payment and also an uncompensated care payment in FY 2014 and has a cost report period of January 1, 2014 through December 31, 2014, this hospital would begin to receive interim payments for its uncompensated care on October 1, 2013. If, at cost report settlement, this hospital remained eligible for an empirically justified DSH payment, then the hospital would receive its FY 2014 uncompensated care payment on its cost report for the cost reporting period beginning on January 1, 2014 (that is, the hospital would neither owe nor be owed monies for its uncompensated care payment). As another example, if that same hospital is no longer eligible for an empirically justified Medicare DSH payment at the time of settlement of its cost report for the cost reporting period beginning January 1, 2014, the hospital would be required to pay back the interim payments it received for its uncompensated care payments. We noted that this methodology would not delay the full payment of FY 2014 payments to hospitals with cost reporting periods that begin after October 1, 2013. While it is possible to align interim and final payments for the uncompensated care payment with individual hospital's cost reporting periods, we noted that we believe it would be administratively efficient and practical to pay the uncompensated care payment on the basis of the Federal fiscal year because that is how it is determined, and to reconcile that amount in the cost reporting period that begins in the respective Federal fiscal year. We stated in the proposed rule that if this proposal is finalized, we would revise the cost report accordingly. We invited public comments on our proposal.
Comment: Many commenters, including national hospital associations, expressed concerns regarding the accuracy of the data used to determine insured low-income days and requested that we establish a limited time period after the final rule for data corrections to afford hospitals an opportunity to provide the most current and best available data. Specifically, the commenters were concerned about the accuracy and completeness of the HCRIS data used to calculate Factor 3 in the proposed rule, noting that the inaccuracies could be due to timing issues related to when the HCRIS files are created, revised, and reissued. Therefore, the commenters requested that we allow hospitals an opportunity to validate the estimates and data used to determine the uncompensated care payments. Some commenters also stated that the Worksheet S-2 and Worksheet S-3 data being used are primarily from unaudited cost reports and there are discrepancies between Medicaid days reported on Worksheet S-2 versus Worksheet S-3. The commenters also noted that many of the as-filed cost reports would not necessarily include the final count of Medicaid days due to the nature of retroactive Medicaid eligibility determination. These commenters pointed out that this is more problematic because some States have a longer Medicaid eligibility determination timeline than others, and believed that hospitals in these States rely on secondary research to identify a large volume of retroactive Medicaid eligible days. One commenter stated that providers should be given sufficient time to review SSI data before the Factor 3 percentages are used, and stated that the 2011 SSI data should be published to allow for this. In addition, some commenters urged us to allow a 30-day period after the publication of the final rule for hospitals to submit corrections to their cost reports; some commenters requested a 90-day period for corrections.
Response: We understand the commenters' concerns regarding the accuracy of the data used to calculate Factor 3, and as discussed above, for this final rule we are taking several steps to address these inconsistencies, including using the March 2013 update of HCRIS and identifying a hospital's Medicaid days based on the Medicaid days reported on the 2011, or if not available 2010, Medicare Hospital Cost Report. For FY 2014 Factor 3 determinations, for hospitals filing CMS Form 2552-10 that claimed DSH on their cost reports, we will determine Medicaid days using Worksheet S-2, even if those data conflict with the Medicaid days reported on Worksheet S-3. We believe that this is appropriate because those hospitals' DSH payments are determined using the data from Worksheet S-2. We also note that we believe that there should be no discrepancy between the Medicaid days reported on Worksheet S-2 and Worksheet S-3 and, therefore, have updated our processes so that Medicaid days reported on Worksheet S-2 may no longer be inconsistent with Medicaid days reported on Worksheet S-3. However, we understand that for FY 2014 Factor 3 determinations for hospitals filing CMS Form 2552-10 for either 2011 or 2010, that did not claim DSH on their cost report, it may have been impossible for some of these hospitals to enter data on Worksheet S-2 due to Medicare systems issues. Therefore, for all hospitals that did not claim DSH on their cost report for either 2011 or 2010, for the FY 2014 Factor 3 determination, we will use Medicaid days from Worksheet S-3. We believe that this is appropriate so as not to disadvantage any group of hospitals that were unable to report information on Worksheet S-2 for their FY 2011 (or FY 2010) cost reporting period. Hospitals certify the accuracy of the information on their cost reports at the time of submission. As a result, we do not agree that providing hospitals additional time to submit data will necessarily improve the accuracy of the estimate used to calculate Factor 3 because such data could not be audited in a meaningful timeframe and still allow payments to be made in FY 2014. Therefore, we are not providing additional time after the publication of the final rule for hospitals to submit changes to their data.
In response to the comment requesting that CMS publish the 2011 SSI ratios, on June 27, 2013, the FY 2011 SSI ratios were posted on the CMS Web site at: https://www.cms.gov/Medicare/Medicare-Fee-for-Service-Payment/AcuteInpatientPPS/dsh.html. We note that CMS generally publishes SSI ratios annually in the spring.
We are finalizing the proposed new provisions at § 412.106(g) and (h) to codify these policies. However, we note that we have made a minor change to the provision at § 412.106(h) to clarify that we intend to make interim payments during the year, and not interim payments on a periodic basis as we had proposed.
F. Medicare-Dependent, Small Rural Hospital (MDH) Program (§ 412.108)
1. Backgound
Section 1885(d)(5)(G) of the Act provides special payment protections, under the IPPS, to a Medicare-dependent, small rural hospital (MDH). (For additional information on the MDH program and the payment methodology, we refer readers to the FY 2012 IPPS/LTCH PPS final rule (76 FR 51683 through 51684.) As we discussed in the FY 2011 IPPS/LTCH PPS final rule (75 FR 50287) and in the FY 2012 IPPS/LTCH PPS final rule (76 FR 51683 through 51684), section 3124 of the Affordable Care Act extended the expiration of the MDH program from the end of FY 2011 (that is, for discharges occurring before October 1, 2011) to the end of FY 2012 (that is, for discharges occurring before October 1, 2012). Under prior law, as specified in section 5003(a) of Public Law 109-171 (DRA 2005), the MDH program was to be in effect through the end of FY 2011 only. Section 3124(a) of the Affordable Care Act amended sections 1886(d)(5)(G)(i) and 1886(d)(5)(G)(ii)(II) of the Act to extend the MDH program and payment methodology by striking out “October 1, 2011” and inserting “October 1, 2012”. Section 3124(b) of the Affordable Care Act made conforming amendments to sections 1886(b)(3)(D) and 1886(b)(3)(D)(iv) of the Act.
In the FY 2011 IPPS/LTCH PPS final rule (75 FR 50287 and 50414), we amended the regulations at § 412.108(a)(1) and (c)(2)(iii) to reflect the statutory extension of the MDH program through FY 2012. In the FY 2012 IPPS/LTCH PPS final rule (76 FR 51683 through 51684), we did not make any additional changes to the MDH regulatory text for FY 2012. As discussed below, the ATRA (Pub. L. 112-240) amended the Act to extend the MDH program through the end of FY 2013.
2. Provisions of the ATRA for FY 2013
a. Background
Prior to the enactment of the ATRA, under section 3124 of the Affordable Care Act, the MDH program authorized by section 1886(d)(5)(G) of the Act was set to expire at the end of FY 2012. Section 606 of the ATRA amended sections 1886(d)(5)(G)(i) and 1886(d)(5)(G)(ii)(II) of the Act to provide for an additional 1-year extension of the MDH program, effective from October 1, 2012 to September 30, 2013 (FY 2013). Section 606 of the ATRA also made conforming amendments to sections 1886(b)(3)(D)(i) and 1886(b)(3)(D)(iv) of the Act. Prior to the enactment of the ATRA, in the FY 2013 IPPS/LTCH PPS final rule, we discussed the expiration of the MDH program at the end of FY 2012 (77 FR 53413 through 53414) and revised the SCH regulation at § 412.92(b) to change the effective date of SCH status for MDHs that apply for SCH status with the expiration of the MDH program (77 FR 53404 through 53405).
In a FY 2013 IPPS notice issued in the Federal Register on March 7, 2013 (78 FR 14689), we announced the extension of the MDH program for FY 2013 in accordance with the provisions of section 606 of the ATRA. In that notice, we explained that, as a result of section 606 of the ATRA, the MDH program is now extended for 1 additional year, through the end of FY 2013 (that is, effective October 1, 2012 through September 30, 2013). The FY 2013 IPPS notice explained how providers may be affected by the ATRA extension of the MDH program and described the steps to reapply for MDH status for FY 2013, as applicable. Generally, a provider that was classified as an MDH at the end of FY 2012 (that is, as of September 30, 2012) was reinstated as an MDH effective October 1, 2012, with no need to reapply for MDH classification. However, if the MDH had classified as a sole community hospital (SCH) or cancelled its rural classification under § 412.103(g) effective on or after October 1, 2012, the effective date of MDH status was not retroactive to October 1, 2012. In the FY 2013 IPPS notice, we also stated that we intended to make conforming changes to the regulations at §§ 412.108(a)(1) and (c)(2)(iii) in future rulemaking to reflect the statutory changes made by section 606 of the ATRA. We refer readers to the FY 2013 IPPS notice (78 FR 14689 through 14694) for additional information on the extension of the MDH program through FY 2013 pursuant to section 606 of the ATRA and for additional information on how and when MDH status was determined for hospitals classified as MDHs prior to the September 30, 2012 expiration of the program.
b. Conforming Regulatory Changes
In the FY 2014 IPPS/LTCH PPS proposed rule (78 FR 27593), we proposed to make conforming changes to the regulations at §§ 412.108(a)(1) and (c)(2)(iii) to reflect the statutory extension of the MDH program through FY 2013 made by section 606 of the ATRA.
We did not receive any public comments on the proposed conforming changes to the existing regulations text at § 412.108 to reflect the extension of the MDH program through FY 2013 in accordance with section 606 of the ATRA. Therefore, in this final rule, we are adopting as final the proposed revisions to paragraphs (a)(1) and (c)(2)(iii) of § 412.108 without modification.
c. Expiration of the MDH Program
Since section 606 of the ATRA extended the MDH program through FY 2013 only, the MDH program will no longer be in effect in FY 2014 absent a change in law to extend the program. Therefore, beginning in FY 2014, all hospitals that previously qualified for MDH status will no longer have MDH status and will be paid based solely on the Federal rate.
As noted earlier, in the FY 2013 IPPS/LTCH PPS final rule (77 FR 53404 through 53405), we revised our SCH policies to allow MDHs to apply for SCH status and be paid as such under certain conditions, following expiration of the MDH program at the end of FY 2012. We codified these changes in the regulations at § 412.92(b)(2)(i) and § 412.92(b)(2)(v). For additional information, we refer readers to the FY 2013 IPPS/LTCH PPS final rule (77 FR 53404 through 53405 and 53674). We note that those same conditions apply to MDHs that intend to apply for SCH status with the expiration of the MDH program at the end of FY 2013. Specifically, the existing regulations at § 412.92(b)(2)(i) and (b)(2)(v) allow for an effective date of approval of SCH status that is the day following the expiration date of the MDH program. In accordance with these regulations, in order for an MDH to receive SCH status effective October 1, 2013, it must apply for SCH status at least 30 days before the end of the MDH program; that is, the MDH must apply for SCH status by August 31, 2013. The MDH also must request that, if approved as an SCH, the SCH status be effective with the expiration of the MDH program provision; that is, the MDH must request that the SCH status, if approved, be effective October 1, 2013, immediately after its MDH status expires with the expiration of the MDH program at the end of FY 2013, on September 30, 2013.
We note that an MDH that applies for SCH status in anticipation of the expiration of the MDH program would not qualify for the October 1, 2013 effective date upon approval if it does not apply by the August 31, 2013 deadline. The provider would instead be subject to the usual effective date for SCH classification, that is, 30 days after the date of CMS' written notification of approval as specified at § 412.92(b)(2)(i).
Comment: Several commenters expressed concern with the expiration of the MDH program, citing serious detrimental effects that would result to patients, hospitals, and communities. The commenters encouraged the continuation of the MDH program.
Response: The MDH program, which provides special treatment of and payment to small, rural, Medicare-dependent hospitals, is authorized by statute through FY 2013. Therefore, a change in law would be necessary in order for the MDH program to continue, or in order to reinstate it once it expires. While we understand the commenters' concerns, CMS does not have the authority under current law to continue the MDH program.
Comment: Several commenters continued to express their support of the “seamless transition” policy we finalized in last year's rule. However, some commenters requested that, in the event that the MDH provision is reinstated, CMS allow providers that transitioned to SCH status to revert back to MDH status retrospectively without the need to reapply for MDH status. Similarly, these commenters requested that, if providers cancel their rural status in anticipation of the expiration of the MDH provision, CMS allow the providers to waive their cancellation and revert to MDH status retroactively should the MDH provision be reinstated. These commenters stated that CMS' current regulations, which do not allow providers that transition to SCH status or cancel their rural classification in anticipation of the expiration of the MDH provision to be reinstated as MDHs retroactively upon the reinstatement of the MDH provision, put providers in the unfair position of having to guess whether or not Congress will reinstate the MDH provision and weigh the effects of applying for SCH classification or cancelling their rural status. A few others commenters pointed out that CMS' policy to transition MDHs to SCH classification does not address the needs of many of the hospitals currently classified as an MDH because those hospitals do not meet the criteria for an SCH, and recommended that CMS revise the criteria for an MDH to become an SCH.
Response: The statute specifies that, in order to be an MDH, among other requirements, a hospital must be located in a rural area and not classified as an SCH. Hospitals that convert to an SCH or canceled their rural status no longer meet the statutory criteria to be classified as an MDH. If legislation is passed to authorize the continuation of the MDH program, we will develop policy to implement the specific provisions of such legislation. While we understand the commenters' concerns about the expiration of the MDH program, the statute specifies the criteria for a hospital to be classified as an SCH and CMS does not have the authority to revise those statutory criteria as requested by the commenters.
Comment: Some commenters requested that, if the MDH provision is reinstated after October 1, 2013, CMS expedite the MDH reinstatement process because many hospitals were not reinstated until several weeks after the enactment of the ATRA.
Response: We understand those hospitals' concerns regarding the time involved in the implementation of the reinstatement of their MDH status after the enactment of the ATRA. While we have made every effort to issue public notification and instructions to the MACs on our implementation of the extension of the MDH program as provided for in the provisions of the ATRA in a timely manner, we also are limited by the time necessary to develop the policy and systems changes to implement the specific provisions of the newly enacted legislation, as well as the time required to undergo the issuance process. If legislation is enacted to continue the MDH program, we will keep these concerns in mind in the implementation of the specific provisions of such legislation.
G. Hospital Readmissions Reduction Program (§§ 412.150 through 412.154)
1. Statutory Basis for the Hospital Readmissions Reduction Program
Section 3025 of the Affordable Care Act, as amended by section 10309 of the Affordable Care Act, added a new subsection (q) to section 1886 of the Act. Section 1886(q) of the Act establishes the “Hospital Readmissions Reduction Program,” effective for discharges from an “applicable hospital” beginning on or after October 1, 2012, under which payments to those applicable hospitals may be reduced to account for certain excess readmissions.
Section 1886(q)(1) of the Act sets forth the methodology by which payments to “applicable hospitals” will be adjusted to account for excess readmissions. Pursuant to section 1886(q)(1) of the Act, payments for discharges from an “applicable hospital” will be an amount equal to the product of the “base operating DRG payment amount” and the adjustment factor for the hospital for the fiscal year. That is, “base operating DRG payments” are reduced by a hospital-specific adjustment factor that accounts for the hospital's excess readmissions. Section 1886(q)(2) of the Act defines the base operating DRG payment amount as “the payment amount that would otherwise be made under subsection (d) (determined without regard to subsection (o) [the Hospital VBP Program]) for a discharge if this subsection did not apply; reduced by . . . any portion of such payment amount that is attributable to payments under paragraphs (5)(A), (5)(B), (5)(F), and (12) of subsection (d).” Paragraphs (5)(A), (5)(B), (5)(F), and (12) of subsection (d) refer to outlier payments, IME payments, DSH adjustment payments, and add-on payments for low-volume hospitals, respectively.
Furthermore, section 1886(q)(2)(B) of the Act specifies special rules for defining “the payment amount that would otherwise be made under subsection (d)” for certain hospitals. Specifically, section 1886(q)(2)(B) of the Act states that “[i]n the case of a Medicare-dependent, small rural hospital (with respect to discharges occurring during fiscal years 2012 and 2013) or a sole community hospital . . . the payment amount that would otherwise be made under subsection (d) shall be determined without regard to subparagraphs (I) and (L) of subsection (b)(3) and subparagraphs (D) and (G) of subsection (d)(5).” In the FY 2013 IPPS/LTCH PPS final rule (77 FR 53374), we finalized policies to implement the statutory provisions related to the definition of “base operating DRG payment amount”.
Section 1886(q)(3)(A) of the Act defines the “adjustment factor” for an applicable hospital for a fiscal year as equal to the greater of “(i) the ratio described in subparagraph (B) for the hospital for the applicable period (as defined in paragraph (5)(D)) for such fiscal year; or (ii) the floor adjustment factor specified in subparagraph (C).” Section 1886(q)(3)(B) of the Act, in turn, describes the ratio used to calculate the adjustment factor. It states that the ratio is “equal to 1 minus the ratio of—(i) the aggregate payments for excess readmissions . . .; and (ii) the aggregate payments for all discharges. . . .” Section 1886(q)(3)(C) of the Act describes the floor adjustment factor, which is set at 0.99 for FY 2013, 0.98 for FY 2014, and 0.97 for FY 2015 and subsequent fiscal years.
Section 1886(q)(4) of the Act sets forth the definitions of the terms “aggregate payments for excess readmissions” and “aggregate payments for all discharges” for an applicable hospital for the applicable period. The term “aggregate payments for excess readmissions” is defined in section 1886(q)(4)(A) of the Act as “the sum, for applicable conditions . . . of the product, for each applicable condition, of (i) the base operating DRG payment amount for such hospital for such applicable period for such condition; (ii) the number of admissions for such condition for such hospital for such applicable period; and (iii) the “Excess Readmission Ratio . . . for such hospital for such applicable period minus 1.” The “excess readmission ratio” is a hospital-specific ratio based on each applicable condition. Specifically, section 1886(q)(4)(C) of the Act defines the excess readmission ratio as the ratio of “risk-adjusted readmissions based on actual readmissions” for an applicable hospital for each applicable condition, to the “risk-adjusted expected readmissions” for the applicable hospital for the applicable condition.
Section 1886(q)(5) of the Act provides definitions of “applicable condition,” “expansion of applicable conditions,” “applicable hospital,” “applicable period,” and “readmission.” The term “applicable condition” (which is addressed in detail in section IV.C.3.a. of the FY 2012 IPPS/LTCH PPS final rule (76 FR 51665 through 51666)) is defined as a “condition or procedure selected by the Secretary among conditions and procedures for which: (i) Readmissions . . . represent conditions or procedures that are high volume or high expenditures . . . and (ii) measures of such readmissions . . . have been endorsed by the entity with a contract under section 1890(a) . . . and such endorsed measures have exclusions for readmissions that are unrelated to the prior discharge (such as a planned readmission or transfer to another applicable hospital).” Section 1886(q)(5)(B) of the Act also requires the Secretary, beginning in FY 2015, “to the extent practicable, [to] expand the applicable conditions beyond the 3 conditions for which measures have been endorsed . . . to the additional 4 conditions that have been identified by the Medicare Payment Advisory Commission in its report to Congress in June 2007 and to other conditions and procedures as determined appropriate by the Secretary.”
Section 1886(q)(5)(C) of the Act defines “applicable hospital,” that is, a hospital subject to the Hospital Readmissions Reduction Program, as a “subsection (d) hospital or a hospital that is paid under section 1814(b)(3) [of the Act], as the case may be.” The term “applicable period,” as defined under section 1886(q)(5)(D) of the Act, “means, with respect to a fiscal year, such period as the Secretary shall specify.” As explained in the FY 2012 IPPS/LTCH PPS final rule, the “applicable period” is the period from which data are collected in order to calculate various ratios and adjustments under the Hospital Readmissions Reduction Program.
Section 1886(q)(6) of the Act sets forth the public reporting requirements for hospital-specific readmission rates. Section 1886(q)(7) of the Act limits administrative and judicial review of certain determinations made pursuant to section 1886(q) of the Act. Finally, section 1886(q)(8) of the Act requires the Secretary to collect data on readmission rates for all hospital inpatients for “specified hospitals” in order to calculate the hospital-specific readmission rates for all hospital inpatients and to publicly report these readmission rates.
2. Overview
The payment adjustment factor set forth in section 1886(q) of the Act did not apply to discharges until FY 2013. In the FY 2012 IPPS/LTCH PPS final rule, we addressed the issues of the selection of readmission measures and the calculation of the excess readmission ratio, which will be used, in part, to calculate the readmission adjustment factor. Specifically, in the FY 2012 IPPS/LTCH PPS final rule (76 FR 51660 through 51676), we addressed the portions of section 1886(q) of the Act related to the following provisions:
- Selection of applicable conditions;
- Definition of “readmission”;
- Measures for the applicable conditions chosen for readmission;
- Methodology for calculating the excess readmission ratio; and
- Definition of “applicable period”.
With respect to the topics of “measures for readmission” for the applicable conditions, and “methodology for calculating the excess readmission ratio,” we specifically addressed the following:
- Index hospitalizations;
- Risk adjustment;
- Risk standardized readmission rate;
- Data sources; and
- Exclusion of certain readmissions.
In the FY 2013 IPPS/LTCH PPS final rule (77 FR 53374 through 53401), we finalized our policies that relate to the calculation of the hospital readmission payment adjustment factor and the process by which hospitals can review and correct their data. Specifically, in the final rule, we addressed the portions of section 1886(q) of the Act related to the following provisions:
- Base operating DRG payment amount, including policies for SCHs and MDHs and hospitals paid under section 1814(b) of the Act;
- Adjustment factor (both the ratio and floor adjustment factor);
- Aggregate payments for excess readmissions and aggregate payments for all discharges;
- Applicable hospital;
- Limitations on review; and
- Reporting of hospital-specific information, including the process for hospitals to review readmission information and submit corrections.
In the FY 2013 IPPS/LTCH PPS final rule, we established a new Subpart I under 42 CFR Part 412 (§§ 412.150 through 412.154) to codify rules for implementing the Hospital Readmissions Reduction Program.
3. FY 2014 Policies for the Hospital Readmissions Reduction Program
a. Overview
In the FY 2014 IPPS/LTCH PPS proposed rule (78 FR 27594), for FY 2014 and beyond, we proposed to—
- Refine the readmissions measures and related methodology for the current applicable conditions (section V.G.3.b. of this preamble);
- Expand the “applicable conditions” for FY 2015 (section V.G.3.c. of this preamble);
- Specify additional policies for hospitals paid under section 1814(b)(3) of the Act (§ 412.154(d)), including the process to be exempted from the Hospital Readmissions Reduction Program and the definition of “base operating DRG payment amount” (section V.G.3.d. of this preamble);
- Specify the proposed adjustment factor floor for FY 2014 (section V.G.3.e. of this preamble);
- Specify the proposed applicable period for FY 2014 (section V.G.3.f. of this preamble);
- Refine the methodology to calculate the aggregate payments for excess readmissions (section V.G.3.g. of this preamble); and
- Clarify the process for reporting hospital-specific information, including the opportunity to review and submit corrections (section V.G.3.h. of this preamble).
Comment: Some commenters requested that CMS conduct additional analyses on the Hospital Readmissions Reduction Program. One commenter suggested that CMS evaluate how hospitals work towards reducing readmissions and determine if the Hospital Readmissions Reduction Program is successful. Another commenter suggested that CMS analyze the Hospital Readmissions Reduction Program to determine its impact on mortality rates. One commenter stated that CMS should monitor the program for unintended consequences, such as avoiding admissions for difficult patients or placing more patients in observations to avoid readmissions. Other commenters requested that CMS conduct additional analyses on any unintended consequences with avoiding readmissions.
Response: We appreciate the commenters' feedback and suggestions. However, we believe that there does not appear to be a meaningful correlation between hospital risk-standardized mortality rates and readmission rates. We believe that a hospital's performance on mortality and readmissions measures represents different aspects of quality. While a recent MedPAC report [18] indicates that there may be an inverse correlation between readmission and mortality rates, we note that this inverse relationship has been found to be modest. [19] We recognize the commenter's concern and will monitor changes in the strength of these inverse correlations over time. Further, we recognize that performance-based payment programs, as with any pay-for-performance or pay-for-reporting program, may create the potential for unintended consequences. However, we remain committed to monitoring the Hospital Readmissions Reduction Program and assessing unintended consequences such as changes in utilization and patient outcomes over time, and adjusting the program as needed. We will also continue to make these analyses available to the public in the Chartbook posted annually each Fall on the CMS Web site at: http://www.cms.gov/Medicare/Quality-Initiatives-Patient-Assessment-Instruments/HospitalQualityInits/OutcomeMeasures.html. We are especially cognizant of those areas of concern raised by stakeholders, including inappropriate shifting of care, increased patient morbidity and mortality, and increases in the use of observation services to avoid hospital readmissions. We remain committed to quickly addressing these areas, as well as any other unintended consequences that may arise as the Hospital Readmissions Reduction Program progresses.
b. Refinement of the Readmission Measures and Related Methodology for FY 2014 and Subsequent Years Payment Determinations
(1) Overview of the Inclusion of Planned Readmissions for the Calculation of the FY 2014 Readmissions Adjustment Factors
In the FY 2012 IPPS/LTCH PPS final rule, we adopted AMI, HF, and PN readmission measures for the Hospital Readmissions Reduction Program payment determinations beginning with FY 2013. During development of the three readmission measures for AMI, HF, and PN, we consulted with medical experts to identify readmissions that are typically scheduled as follow-up care for each specific condition within 30 days of discharge. We categorized these readmissions as planned follow-up care and excluded them from being counted as a readmission. The AMI measure finalized for the Hospital Readmissions Reduction Program included two revascularization procedures (coronary artery bypass graft surgery (CABG) and percutaneous coronary intervention (PCI) (76 FR 51667)). We considered these procedures planned readmissions and excluded them from the readmission calculation as long as the readmissions were not for one of five acute conditions (HF, AMI, other acute/subacute forms of ischemic heart disease, arrhythmia, and cardiac arrest).
During development of the HF and PN readmission measures, we did not identify any readmissions that were typically planned as follow-up care at the time of the patient's discharge. Therefore, the readmission measures finalized for the Hospital Readmissions Reduction Program for these two conditions did not exclude any planned readmissions from the readmission calculation.
(2) Refinement of the Readmission Measures and Related Methodology for the FY 2014 and Subsequent Years Payment Determinations
Since the development and implementation of the initial three readmission measures adopted under the Hospital Readmissions Reduction Program, we have received comments from the medical community, other stakeholders, and the general public encouraging us to identify and not count as readmissions a broader range of planned readmissions. Stakeholders also made recommendations for expanding the number and types of planned readmissions during the public comment period for the FY 2013 IPPS/LTCH PPS proposed rule (as discussed in the FY 2013 IPPS/LTCH PPS final rule (77 FR 53382 through 53398)).
Stakeholders commented that readmission measures are intended to capture unplanned readmissions that arise from acute clinical events requiring urgent rehospitalization within 30 days of discharge. In addition, stakeholders commented that planned readmissions do not generally signal poor quality of care. In response to stakeholders' concerns, we have worked with experts in the medical community, other stakeholders, and the public to broadly identify planned readmissions for procedures and treatments for exclusion from the readmission measures. Specifically, we developed an expanded “planned readmission algorithm” in the CMS Planned Readmission Algorithm Version 2.1 Report to identify planned readmissions across our readmission measures. In the FY 2014 IPPS/LTCH PPS proposed rule (78 FR 27595), we proposed to apply the algorithm to the AMI, HF, and PN measures for FY 2014. The CMS Planned Readmission Algorithm Version 2.1 Report is available on the CMS Web site at: http://www.cms.gov/Medicare/Quality-Initiatives-Patient-Assessment-Instruments/HospitalQualityInits/Measure-Methodology.html.
As discussed in the FY 2014 IPPS/LTCH PPS proposed rule (78 FR 27595), we developed the algorithm based on a hospital-wide (not condition-specific) cohort of patients. We began the development by using the Agency for Healthcare Research and Quality's (AHRQ's) Clinical Classification Software (CCS) codes to group thousands of individual procedures and diagnoses codes into clinically coherent, mutually exclusive procedure and diagnosis categories (PROC-CCS categories and Diagnosis-CCS categories, respectively). A panel of independent, non-CMS clinicians then reviewed the procedure categories and identified those that are commonly planned and require admission. Clinicians also reviewed the diagnosis categories and identified those that were acute diagnoses likely requiring hospitalization. Using these procedure and diagnosis categories and some individual ICD-9-CM procedure and diagnoses codes in the categories, we developed an initial algorithm for identifying planned readmissions for a hospital-wide cohort of patients.
The algorithm underwent several reviews by stakeholders. We initially posted the detailed algorithm for informal public comment during the measurement development process in August 2011. The National Quality Forum (NQF) reviewed and made the algorithm available for public comment during its endorsement review of the Hospital-Wide All-Cause Unplanned Readmission Measure (NQF #1789). We also recruited 27 surgical subspecialists nominated by their specialty societies to review the algorithm and suggest refinements, which resulted in Version 2.1 of the Planned Readmission Algorithm. In the proposed rule, we proposed to use this algorithm in the readmission measures under the Hospital Readmissions Reduction Program beginning with FY 2014. A detailed description of this algorithm is included later in this section.
As required by section 1886(q)(5)(A)(ii) of the Act, the first three applicable conditions of AMI, HF and PN, must use readmission measures that have been endorsed by the entity with a contract under section 1890(a) of the Act; and such endorsed measures must have exclusions for readmissions that are unrelated to the prior discharge (such as planned readmission or transfer to another applicable hospital). Because the statute requires that the readmission measures for the three current applicable conditions (AMI, HF and PN) be NQF-endorsed, we sought NQF's endorsement of the measures that were revised to include the CMS Planned Readmission Algorithm Version 2.1. NQF reviewed these revised measures through its ad hoc review process, which reviews previously endorsed measures that undergo material changes. Following ad hoc review, NQF endorsed the revised AMI (NQF #0505) and HF (NQF #0330) measures in January 2013 and the PN measure (NQF #0506) in March 2013.
Comment: Several commenters stated that the Hospital Readmissions Reduction Program uses unreliable measures. One commenter suggested that the method used to calculate the number of excess readmissions adjusts for the volume of eligible patients served by the hospital, and weakens the incentive for low-volume hospitals to reduce their readmission rates. Another commenter stated that it is not reasonable to give a pass to hospitals with consistently high readmission rates year after year because they are low volume.
Response: We appreciate the commenters' feedback. However, we disagree that the Hospital Readmissions Reduction Program uses unreliable measures for two reasons. First, the NQF both reviewed and endorsed the measures used in the Hospital Readmissions Reduction Program. As part of this endorsement process, the NQF requires that measures meet criteria for scientific acceptability, which include validity and reliability. Specifically, reliability under the NQF measure evaluation criteria means that the measure both allows for comparability and is well defined and precisely specified so it can be implemented consistently within and across organizations. [20] Second, as previously addressed in the FY 2013 IPPS/LTCH PPS final rule (77 FR 53379), “We determined the 25-case threshold for public reporting based on a reliability statistic that is calculated from the intercluster correlation, a parameter of the model. We are maintaining the minimum 25-case threshold that we adopted through rulemaking last year.”
We acknowledge that smaller hospitals typically have less certain estimates because they have fewer cases for use in assessing quality. This challenge is inherent in outcome measurements. However, one advantage of the statistical model that we use for the measures is that it allows for the inclusion of small hospitals while characterizing the certainty of their estimates. The hierarchical logistic regression model that we use to calculate the risk-standardized outcome measures allows the inclusion of hospitals with relatively few observations, but takes into account the uncertainty associated with sample size in estimating their risk-standardized outcome rates. The model takes into account the uncertainty in the estimate of outcome rates for low-volume hospitals by assuming that each hospital is a typically performing hospital. It weighs that assumption along with the outcomes for the particular hospital in calculating the outcome rate. Therefore, the estimated outcome rates for smaller hospitals will likely be closer to the national rate because the limited number of eligible cases in the hospital tells little about that hospital's true outcome rate.
Comment: One commenter suggested that CMS exclude patients coded under ICD-9-CM code V15.81 (Personal history of non-compliance with medical treatment) from the readmission measures.
Response: We appreciate the commenter's suggestion. We recognize that some patients choose not to follow a recommended treatment plan, even when they have access to the care they need. However, all hospitals have the opportunity to reduce the rate of readmission, even among less compliant patients. Improving readmission rates is the joint responsibility of hospitals and clinicians. Measuring readmissions will create incentives to invest in interventions to improve hospital care, better assess the readiness of patients for discharge, and facilitate transitions to outpatient status.
(a) Description of CMS Planned Readmission Algorithm Version 2.1
As described in the FY 2014 IPPS/LTCH PPS proposed rule (78 FR 27595), this algorithm is a set of criteria for classifying readmissions as “planned” using Medicare claims. The algorithm identifies typical planned admissions that may occur within 30 days of discharge from the hospital.
We based the CMS Planned Readmission Algorithm on three principles:
- A few specific, limited types of care are always considered planned (obstetrical delivery, transplant surgery, maintenance chemotherapy, rehabilitation);
- Otherwise, a planned readmission is defined as a nonacute readmission for a scheduled procedure; and
- Admissions for acute illness or for complications of care are never planned.
The Planned Readmission Algorithm uses a flow chart and four tables of procedures and conditions to implement these principles and to classify readmissions as planned or unplanned. The flow chart and tables are available in a report, CMS Planned Readmission Algorithm Version 2.1, which is available on the CMS Web site at: http://www.cms.gov/Medicare/Quality-Initiatives-Patient-Assessment-Instruments/HospitalQualityInits/Measure-Methodology.html.
We incorporated the algorithm into each condition-specific and procedure-specific readmission measure. For most readmission measures, including the AMI, HF, and PN measures, we used one standard version of the algorithm—the CMS Planned Readmission Algorithm Version 2.1. However, for a subset of readmission measures, we revised the list of potentially planned procedures or acute primary diagnosis after applying the standard algorithm version because it was clinically indicated. For example, for the Total Hip Arthroplasty (THA) and Total Knee Arthroplasty (TKA) readmission measure that we proposed in the FY 2014 IPPS/LTCH PPS proposed rule and are adopting in this final rule for FY 2015, we removed diagnostic cardiac catheterization from the potentially planned procedure list because patients in the hip/knee measure are typically well enough to undergo elective surgery and would not be expected to need a catheterization within 30 days of discharge. The details of these adaptations are available in the CMS Planned Readmission Algorithm Version 2.1 report (http://www.cms.gov/Medicare/Quality-Initiatives-Patient-Assessment-Instruments/HospitalQualityInits/Measure-Methodology.html).
Comment: Several commenters supported the refinement of the readmission measures using the planned readmission algorithm. The commenters appreciated that CMS considered and acted upon public comments and suggestions made in last year's rule, and supported CMS' continued efforts to exclude planned readmissions from the penalty calculation.
Response: We appreciate the commenters' support of our proposal to include a planned readmission algorithm for readmissions measures in the Hospital Readmissions Reduction Program.
Comment: Several commenters suggested that CMS continually assess the algorithm for planned readmissions to determine whether additional diagnoses or procedures should be considered “planned.”
Response: We appreciate the commenters' suggestion. We intend to continually review the planned readmissions algorithm. Our measures continually undergo maintenance to determine the need for updated specifications, and to monitor for trends and any relevant coding changes associated with the measures. With such updates, we will modify the planned readmission algorithm as needed. If substantive updates are required, we will inform the public of any changes to the planned readmissions algorithm through rulemaking.
Comment: Some commenters stated that relying solely on claims data is insufficient for proper risk-adjustment. One commenter stated that risk-adjustment based solely on claims data loses clinical detail for proper adjustment for severity. The commenter added, for example, that our coding does not capture those patients who are readmitted from hospice care.
Response: We have performed validation work to confirm the scientific rigor of using claims data for risk adjustment in outcome measures. We validated the AMI, HF, and PN mortality and readmission measures with models that use medical record-abstracted data for risk-adjustment. These analyses demonstrated that using claims data produces estimated hospital-level risk-standardized mortality rates (RSMRs) and risk-standardized readmission rates (RSRRs) that are very similar to the rates estimated by models based solely on medical record data (available at: http://www.cms.gov/Medicare/Quality-Initiatives-Patient-Assessment-Instruments/HospitalQualityInits/Measure-Methodology.html). This high level of agreement in the results based on the two different approaches supports the use of the claims-based models for public reporting. These analyses are available in the methodology report located on the CMS Web site at: http://www.cms.gov/Medicare/Quality-Initiatives-Patient-Assessment-Instruments/HospitalQualityInits/Measure-Methodology.html.
Our approach to gathering risk factors for patients also mitigates the potential limitations of claims data. Because not every diagnosis is coded at every visit, we use claims data for the year prior to the index admission, as well as secondary diagnosis codes during the index admission, for risk-adjustment.
Comment: One commenter requested that the measures be risk-adjusted for hospitals located in rural areas because this may cause their readmission rate to be higher than hospitals in more concentrated markets.
Response: We routinely monitor the impact of readmission measures on hospitals and have examined if hospitals in rural areas tend to have higher risk-standardized readmission rates. Our most recent analyses (available on our Web site at: http://www.cms.gov/Medicare/Quality-Initiatives-Patient-Assessment-Instruments/HospitalQualityInits/Downloads/MedicareHospitalQualityChartbook2012.pdf) examined hospital readmission rates for different hospital referral regions and did not find a relationship between rural referral regions and increased readmission rates.
Comment: Several commenters addressed the proposed policy to not risk-adjust measures for socioeconomic status and other factors. Some commenters supported the policy and urged CMS to resist making any changes to the Hospital Readmissions Reduction Program based on socioeconomic status concerns. These commenters stated that the same care protocols that work with a different population may also work with patients of lower socioeconomic circumstances. The commenters added that until CMS can disprove that notion, CMS should not modify the program in a way that would shield certain hospitals, based on fairness concerns about socioeconomic factors, from truly participating in a program to change the way Medicare and Medicaid services and payments are delivered.
Other commenters suggested that the readmission measures should include adjustments for socioeconomic status and other factors that are either outside the hospitals' or providers' immediate control or that may adversely affect certain types of hospitals more than others. Suggestions for variables to include in either the patient-level or the hospital-level model included: patient race, ethnicity, language, income, lifestyle, health literacy, dual-eligible status (that is, eligibility for both Medicare and Medicaid), insurance status, functional status, cognitive impairment, post-discharge care support structure, and access to primary care. Some commenters suggested stratification of the hospital calculations by the percentage of dual-eligible patients. One commenter stated that a patient's ability to afford medication should be included as a risk-adjustment variable because socioeconomic status impacts the patient's ability to be compliant with medications and a patient's ability to pay for medications is separate and apart from care provided by the hospital. Another commenter recommended that CMS conduct a thorough analysis of the role economic factors play in readmissions. This commenter also suggested that the analysis be conducted at the claims level, with matching zip codes to existing poverty data to provide an accurate understanding of the role of economic conditions. The commenter stated that readmission measures should fully account for economic drivers. Another commenter stated that chronic diseases as well as socioeconomic status are related to hospital readmissions, and these factors comprise major determinants of outcomes.
Response: We appreciate the commenters' feedback and suggestions on this issue. We have continued to consider and evaluate stakeholder concerns regarding the influence of patient socioeconomic status on readmission and mortality rates. The Hospital Readmissions Reduction Program, as pointed out by one commenter, seeks to transform the Medicare payment and delivery system by financially incentivizing providers to change the way they deliver care. The program's design encourages hospitals to make changes to avoid payment penalties while simultaneously enhancing the quality of health care provided to patients. We routinely monitor the impact of socioeconomic status on hospitals' results and have consistently found that hospitals that care for large proportions of patients of low socioeconomic status are capable of performing well on our measures. Our most recent analyses, available on our Web site at: http://www.cms.gov/Medicare/Quality-Initiatives-Patient-AssessmentInstruments/HospitalQualityInits/Downloads/MedicareHospitalQualityChartbook2012.pdf, again confirmed this finding. The definition of low SES we used was whether the beneficiary was enrolled in Medicaid, which is a proxy for low-income. Many safety-net providers and teaching hospitals do as well or better on the measures than hospitals without substantial numbers of patients of low socioeconomic status. Our analyses also show that adding socioeconomic status to the risk-adjustment has a negligible impact on hospitals' risk-standardized rates. The risk-adjustment for clinical factors likely captures much of the variation due to socioeconomic status, therefore leading to more modest impact of socioeconomic status on hospitals' results than stakeholders expect. We note that the goal of risk-adjustment is to account for factors that are inherent to the patient at the time of admission, such as severity of disease, so as to put hospitals on a level playing field. The measures should not be risk-adjusted to account for differences in practice patterns that lead to lower or higher risk for patients to be readmitted or die. The measures aim to reveal differences related to the patterns of care. The measures do not adjust for socioeconomic status because the association between socioeconomic status and health outcomes can be due, in part, to differences in the quality of health care received by groups of patients with varying socioeconomic status. The measures also do not adjust for socioeconomic status, or other patient factors such as race because we do not want to hold hospitals to different standards for the outcomes of their patients of low socioeconomic status. Finally, we do not want to mask potential disparities or minimize incentives to improve the outcomes of disadvantaged populations. This approach also is consistent with the guidance from the NQF, which states that risk models should not obscure disparities by adjusting for factors associated with inequality (such as race or socioeconomic status). Furthermore, the statutory language in section 1886(q)(5)(A)(ii)(I) of the Act requires that the measures included in the Hospital Readmissions Reduction Program be NQF-endorsed, and the measures as endorsed by the NQF are not currently adjusted for socioeconomic status. However, we are committed to tracking this issue and will continue to evaluate disparities in care and the impact of patient's socioeconomic status on hospital's readmissions rates moving forward.
Comment: Some commenters suggested that CMS separate Hospital Readmissions Reduction Program-eligible hospitals into quartiles based on the proportion of their patients that are dually eligible, such that readmissions penalties would then be dependent on how hospitals perform compared to hospitals with a similar proportion of dually eligible patients. Several commenters expressed concern that hospitals with higher proportions of low socioeconomic status patients are at a disadvantage, and suggested that CMS stratify the measure score calculation to address this concern. One commenter suggested that CMS stratify hospitals by their proportion of dual-eligible patients and calculate the measure score in four different hospital strata. Based on commenters' understanding of the proposal, the commenters suggested that CMS rank hospitals by their proportion of dual-eligible patients, and divide hospitals into quartiles based on their rank. The commenters further suggested that CMS apply the NQF-approved measure to each group of hospitals to calculate the risk-standardized ratio that is used for the Hospital Readmissions Reduction Program. Under this approach, each hospital's “expected” (denominator) rate would be derived based on how hospitals within its quartile perform with similar patients. In other words, the benchmark for performance would be set within each quartile of hospitals, rather than by including all hospitals in the calculation and setting a uniform performance benchmark.
Another commenter suggested that CMS stratify patients by their dual-eligible status and calculate two readmission ratios for each hospital for each measure—one using dual-eligible patients and one using all other patients. The commenter further suggested that CMS combine these scores to derive a single, “blended” excess readmission ratio for each hospital.
Response: We appreciate these suggestions. However, we continue to believe that it is appropriate to include all hospitals and patients in a single comparison group. The measures do not stratify hospitals or patients by socioeconomic status or risk adjust for socioeconomic status because the association between socioeconomic status and health outcomes can be due, in part, to differences in the quality of health care received by groups of patients with varying socioeconomic status. We have consistently found that hospitals that care for large proportions of patients of low socioeconomic status are capable of performing well on our measures. Our most recent analyses (located on our Web site at: http://www.cms.gov/Medicare/Quality-Initiatives-Patient-Assessment-Instruments/HospitalQualityInits/Downloads/MedicareHospitalQualityChartbook2012.pdf) again confirmed this finding. Many safety-net providers and teaching hospitals do as well or better on the measures than hospitals without substantial numbers of patients of low socioeconomic status. Our analyses also show that adding socioeconomic status to the risk-adjustment has a negligible impact on hospitals' risk-standardized rates. The risk-adjustment for clinical factors likely captures much of the variation due to socioeconomic status, therefore leading to more modest impact of socioeconomic status on hospitals' results than stakeholders expect. These findings suggest that using all hospitals and patients to calculate excess readmission ratios is most appropriate.
We will continue to monitor this issue carefully. We note that we continue to provide support to hospitals with high numbers of dual-eligible patients through other programs and to assist hospitals with high excess readmission ratios with lowering their readmission rates through the Partnership for Patients Program and the Quality Improvement Organization Program.
Comment: One commenter suggested that the readmission measures risk-adjust for the acuity of the condition at the time of admission.
Response: The measures, endorsed by the NQF and finalized in the FY 2012 IPPS/LTCH PPS final rule, risk-adjust for key factors that are clinically relevant and have strong relationships with the outcome (for example, patient demographic factors, patient coexisting medical conditions, and indicators of patient frailty). Under the current NQF-endorsed methodology, these covariates are obtained from Medicare claims extending 12 months prior to, and including, the index admission. This risk-adjustment approach adjusts for differences in the clinical status of the patient at the time of the index admission, as well as for demographic variables. A complete list of the variables used for risk-adjustment and the clinical and statistical process for selecting the variables for each NQF-endorsed measure, as proposed, is available on the NQF Web site at: http://qualitynet.org/dcs/ContentServer?c=Page&pagename=QnetPublic%2FPage%2FQnetTier4&cid=1219069855841.
Comment: Some commenters stated that the planned readmission algorithm does not account for the full range of planned readmissions, or for unrelated readmissions. Other commenters suggested that CMS exclude unrelated admissions from the payment adjustment. One commenter added that the unintended consequences of our position to not exclude unrelated readmissions may affect patient care. Other commenters stated that CMS has ignored the Affordable Care Act requirements by not excluding unrelated readmissions from the Hospital Readmissions Reduction Program.
Response: We appreciate the commenters' feedback and suggestions. However, we disagree that we have ignored the statutory requirements at section 1886(q)(5) of the Act as established by section 3025 of the Affordable Care Act relating to unrelated admissions. Section 1886(q)(5) of the Act requires us to use measures that contain appropriate exclusions for readmissions that are unrelated to the prior discharge. Section 1886(q)(5) of the Act then cites specific examples of such unrelated readmissions, including planned readmissions and transfers to another hospital. We note that we incorporated both examples of unrelated readmissions cited by the statute in the Hospital Readmissions Reduction Program. Further, we continue to review and revise the area of unrelated readmissions through our expansion of planned readmissions. For example, we included the planned readmissions algorithm to address public comments raised last year relating to expanding the number of planned readmissions.
Regarding other types of unrelated readmissions, we currently do not seek to differentiate between related and unrelated readmissions because readmissions not directly related to the index condition may still be a result of the care received during the index hospitalization. For example, a patient hospitalized for COPD who develops a hospital-acquired infection may ultimately be readmitted for sepsis. It would be inappropriate to treat this readmission as unrelated to the care the patient received during the index hospitalization. Furthermore, the range of potentially avoidable readmissions also includes those not directly related to the initial hospitalization, such as those resulting from poor communication at discharge or inadequate follow-up. As such, creating a comprehensive list of potential complications related to the index hospitalization would be arbitrary, incomplete, and, ultimately, extremely difficult to implement. However, in coordination with medical experts, we expanded the list of conditions considered planned. Generally speaking, planned readmissions are not a signal of quality of care. Therefore, we have worked with experts in the medical community, as well as other stakeholders to carefully identify procedures and treatments that should be considered “planned” and, therefore, not counted as readmissions. For FY 2014, we have proposed that the measures identify planned readmissions by using an expanded algorithm, which is a set of criteria for classifying readmissions as planned using Medicare claims. This algorithm identifies admissions that are typically planned and may occur within 30 days of discharge from the hospital.
Comment: One commenter suggested that Left Ventricular Assist Devices (LVADs) and heart transplants be excluded as planned readmissions for HF patients.
Response: As part of the planned readmissions algorithm, patients who are readmitted for a transplant are always classified as planned readmissions and will not count as readmissions in the measures. The same is true for LVADs because they are classified under CCS 49 (Other or heart procedures).
Comment: One commenter suggested that hospitals have the ability to code when a readmission is considered planned.
Response: We note that discharge status codes for planned readmissions have been adopted by the NUBC, as discussed earlier in this final rule, and allow for hospitals to identify planned readmissions on the claim through the use of specific discharge status codes. However, prior to considering use of such codes in our quality measures, we will need to establish that hospitals are using these codes in a valid and reliable manner relative to our planned readmission algorithm. Accordingly, these discharge status codes are not currently taken into account in the Hospital Readmissions Reduction Program.
Comment: One commenter suggested that CMS exclude more admissions from the AMI, HF, and PN measures because the penalties associated with these conditions are very high.
Response: We appreciate the commenter's feedback. We are continuously evaluating the AMI, HF, and PN measures and may consider further exclusions to these measures in future rulemaking.
Comment: One commenter recommended the inclusion of AMI codes with “0” in the fifth digit in the ICD-9-CM code on the claim, indicating “episode of care unspecified.” The commenter noted that if the episode of care is unspecified, it could be outside the 30-day readmission timeframe. The commenter added that under the ICD-9-CM guidelines, the ICD-9-CM codes 410.XX for AMI are used for “acute” condition for up to 8 weeks duration.
Response: We appreciate the commenter's suggestion and note that we addressed this question in the FY 2013 IPPS/LTCH PPS final rule. In that final rule (77 FR 53377), we stated that the AMI ICD-9-CM codes described by the commenter are used to identify index hospitalizations, not readmissions. The measures only identify the index admissions based on the use of the principal discharge diagnosis, which should represent the reason the patient was admitted to the hospital. Therefore, despite the use of the word “unspecified,”' in most cases, the AMI diagnosis is the primary reason for admission and appropriately included as an index case.
Comment: Several commenters suggested exclusions from the index hospitalizations included in the measures, which included exclusions for patients under “extreme circumstances” such as transplants, end-stage renal disease, burn, trauma, psychosis, and substance abuse.
Response: We appreciate the commenters' suggestions. We addressed this comment in the FY 2013 IPPS/LTCH PPS final rule. In that final rule (77 FR 53377), we stated that, “we appreciate the concern expressed by some commenters that patients of these `extreme circumstances' clinically could be sicker and more likely to be readmitted. The measures address clinical differences in hospitals' case-mix through risk adjustment rather than through excluding patients from the measure as suggested by the commenter. The goal in developing outcomes measures is to create a clinically cohesive cohort that includes as many patients as possible admitted with the given condition. Greatly expanding our list of exclusions would result in a measure that was less useful and meaningful, because it would reflect the care of fewer patients. In addition, we believe that by excluding patients with significant comorbidities, the measure would not assess of the quality of care for those patients. To fairly profile hospitals' performance, it is critical to place hospitals on a level playing field and account for their differences in the patients that present for care. This is accomplished through adequate risk-adjustment for patients' clinical presentation rather than exclusion of patients.”
After consideration of the public comments we received, we are finalizing our proposal, without modification, to refine the readmission measures and to adopt the planned readmissions algorithm for the Hospital Readmissions Reduction Program.
(b) Counting of Readmissions That Occur After a Planned Readmission
In the FY 2014 IPPS/LTCH PPS proposed rule (78 FR 27596), we proposed a related change to the AMI, HF, and PN measures to address unplanned readmissions that occur after a planned readmission but within 30 days of the patient's initial index discharge. The AMI measure finalized in the FY 2012 IPPS/LTCH PPS final rule (76 FR 51666) counted unplanned readmissions for the index admission if they occurred within 30 days of discharge from the index admission, even if they occurred following planned readmissions (because the two other measures did not have any planned readmissions, this method of counting only applied to the AMI measure).
For the proposed revised AMI, HF, and PN measures, all of which now account for planned readmissions by incorporating the CMS Planned Readmission Algorithm Version 2.1, we proposed the following additional change: If the first readmission is planned, it will not count as a readmission, nor will any subsequent unplanned readmission within 30 days of the index readmission. In other words, unplanned readmissions that occur after a planned readmission and fall within the 30-day post discharge timeframe would no longer be counted as readmissions for the index admission. The rationale for this proposed change was that, in this case, either the index or the planned readmission could have contributed to the patient's unplanned readmission. Therefore, it was unclear whether the unplanned readmission should be attributed back to the index admission. We stated in the proposed rule that this proposed change in counting practice would affect a very small percentage of readmissions (approximately 0.3 percent of index admissions nationally for AMI, 0.2 percent for HF, and less than 0.1 percent for PN). However, we stated that we intend to monitor trends in the proportion of planned readmissions for evidence of misuse or misapplication, and other unintended consequences.
Comment: Several commenters supported the proposal to change the manner in which readmissions are counted following a planned readmission.
Response: We appreciate the commenters' support of our proposal relating to the counting of a readmission following a planned readmission.
After consideration of the public comments we received, we are finalizing the proposed change to the AMI, HF, and PN measures to address unplanned readmissions that occur after a planned readmission but within 30 days of the patient's initial index discharge, without modification.
(c) Anticipated Effect of the Changes of CMS Planned Readmission Algorithm Version 2.1 and Counting of Readmissions on the Readmission Measures
In the FY 2014 IPPS/LTCH PPS proposed rule (78 FR 27596), we stated that the proposed changes to the measures in the proposed rule would have had the following effects on the measures based on our analyses of discharges between July 2008 and June 2011, if these changes had been applied for FY 2013. We noted that these statistics were for illustrative purposes only, and we did not propose to revise the measure calculations for the FY 2013 payment determination. Rather, in the FY 2014 IPPS/LTCH PPS proposed rule (78 FR 27596), we proposed to apply these changes to the readmissions measures for the FY 2014 payment determination and subsequent years.
In the proposed rule, we stated that among hospitals that were subject to the Hospital Readmissions Reduction Program in FY 2013 (Table V.G.1), the number of eligible discharges based on the July 2008 through June 2011 data were 501,765 discharges for AMI; 1,195,967 discharges for HF; and 957,854 discharges for PN:
- The proposed 30-day readmission rate (excluding the planned readmissions) would decrease by 1 percentage point for AMI; 1.5 percentage points for HF; and 0.7 percentage point for PN.
- The new national measure (unplanned) rate for each condition would have been 18.2 percent for AMI; 23.1 percent for HF; and 17.8 percent for PN.
- The number of readmissions considered planned (and, therefore, not counted as a readmission) would increase by 4,942 for AMI; 17,512 for HF; and 7,084 for PN.
In the proposed rule, we proposed to update the measures to: (1) Incorporate the CMS Planned Readmission Algorithm Version 2.1 to identify planned readmissions; and (2) not count unplanned readmissions that follow planned readmissions. We invited public comments on this proposal.
| AMI | PN | HF | ||||
|---|---|---|---|---|---|---|
| Revised measure | Original measure | Revised measure | Original measure | Revised measure | Original measure | |
| [Based on July 2008 through June 2011 discharges from 3,025 hospitals] | ||||||
| Number of Admissions | 501,765 | 501,765 | 957,854 | 957,854 | 1,195,967 | 1,195,967 |
| Number of Unplanned Readmissions | 91,360 | 96,302 | 170,396 | 177,480 | 276,748 | 294,260 |
| Readmission Rate | 18.2% | 19.2% | 17.8% | 18.5% | 23.1% | 24.6% |
| Number of Planned Readmissions | 12,811 | 7,869 | 7,084 | 0 | 17,512 | 0 |
| Planned Readmission Rate | 2.6% | 1.6% | 0.7% | 0.0% | 1.5% | 0.0% |
| Percent of Readmissions that are Planned | 12.3% | 7.6% | 4.0% | 0.0% | 6.0% | 0.0% |
Comment: One commenter suggested that CMS clarify aspects of what is counted as a readmission, including whether a patient's death during a hospital readmission is counted for purposes of the Hospital Readmissions Reduction Program.
Response: We appreciate the commenter's feedback. A patient's death during the index hospitalization is excluded from the readmission measure because no opportunity exists for a subsequent admission. The same rationale applies when a patient dies after the index discharge but within the 30-day post discharge period. However, a patient's death during a readmission in the hospital is included in the measure because they were discharged alive from the index admission and are, therefore, eligible for readmission. For more information relating to the exclusion criteria for a readmission, we refer readers to the FY 2012 IPPS/LTCH PPS final rule (76 FR 51660 through 51676).
Comment: One commenter requested clarification on what is meant that patients without at least 30 days post-discharge enrollment in Medicare Parts A and B are excluded from the readmission measures.
Response: Patients without at least 30 days post-discharge enrollment in FFS Medicare are excluded from the readmission measures because the 30-day readmission outcome cannot be assessed in this group. An example of a patient without 30 days of post discharge enrollment in Medicare Parts A and B would be a patient who enrolled in Medicare Advantage within 30 days of being discharged. However, patients who die during or after a readmission would be included in the measures because the readmission measures assign readmission status as a dichotomous “yes/no” value. Once a patient has been readmitted, the readmission measures would assign readmission status as a “yes” even if the patient subsequently died after the readmission.
Comment: One commenter suggested that CMS modify the definition of transfer exclusion in the Hospital Readmissions Reduction Program to take into account the level of care provided at the transferring hospital.
Response: We appreciate the commenter's suggestion. We recognize that a readmission for a patient transferred to a second acute care hospital and then discharged to the subacute setting from that second hospital may be related to events that occurred at the first admitting hospital. In developing the measures, we reviewed the approach to attributing the outcome carefully with clinical experts and with technical expert panels, and developed the attribution strategy that was most appropriate for each patient cohort. For the medical admissions of AMI, HF, and PN, the hospital discharging the patient retains primary responsibility for preparing the patient for discharge and developing a post-discharge care plan to minimize readmission risk, even if that risk was increased by management at a prior hospital. We have addressed this issue differently for other patient groups as appropriate. For example, for our readmissions measure for patients undergoing elective hip or knee replacement, we excluded patients who were transferred into the index hospital because it is likely that the procedure for these patients was not elective. In addition, we exclude patients who were admitted for the index procedure and subsequently transferred to another acute care facility because the index hospital that performed the joint replacement did not discharge the patient to the subacute care setting and, therefore, cannot fairly be held accountable for the readmission.
In summary, we are finalizing our proposal, without modification, to use the revised versions of the AMI, HF, and PN measures to calculate the payment adjustments for the Hospital Readmissions Reduction Program in FY 2014. We believe that the revised measures will address stakeholder suggestions to broaden the number of planned readmissions and will result in a more accurate readmission calculation for purposes of the payment adjustment.
c. Expansion of the Applicable Conditions for FY 2015
(1) Background
Under section 1886(q)(5)(B) of the Act, beginning with FY 2015, “the Secretary shall, to the extent practicable, expand the applicable conditions beyond the three conditions for which measures have been endorsed as described in subparagraph (A)(ii)(I) . . . to the additional 4 conditions that have been identified by the Medicare Payment Commission in its report to Congress in June 2007, and to other conditions and procedures as determined appropriate by the Secretary.” The four conditions and procedures recommended by MedPAC are: (1) coronary artery bypass graft (CABG) surgery; (2) chronic obstructive pulmonary disease (COPD); (3) percutaneous coronary intervention (PCI); and (4) other vascular conditions. Section 1886(q)(5)(A)(i) of the Act directs the Secretary, in selecting an “applicable condition,” to choose from among conditions and procedures “that represent conditions or procedures that are high volume or high expenditures under this title (or other criteria specified by the Secretary).”
In the FY 2014 IPPS/LTCH PPS proposed rule (78 FR 27597), in accordance with section 1886(q)(5)(A) of the Act, effective for the calculation of the readmissions payment adjustment factors in FY 2015, we proposed to expand the applicable conditions and procedures to include: (1) Patients admitted for an acute exacerbation of COPD; and (2) patients admitted for elective total hip arthroplasty (THA) and total knee arthroplasty (TKA). At this point, it was not feasible for CMS to add readmission measures for three of the conditions identified by MedPAC in its 2007 Report to Congress (CABG, PCI, and other vascular conditions). We noted that inpatient admissions for PCI and other vascular conditions seem to be decreasing, and these procedures are being performed more in hospital outpatient departments. We stated that this shift in setting for these procedures may make their future inclusion in the Hospital Readmission Reduction Program more difficult and impracticable because: (1) The statutory definition of a readmission in section 3025 of the Affordable Care Act does not allow admissions following procedures performed on an outpatient basis to count as a readmission for purposes of this program, and (2) the shift of this procedure to the outpatient setting may result in much lower inpatient counts for this procedure, and hence potential statistical modeling issues.
We also stated that we would explore how we may address CABG in this program at a future time.
Comment: Several commenters addressed delaying implementation of CABG and PCI measures in the Hospital Readmissions Reduction Program. Some commenters supported delayed inclusion of a CABG readmission measure and stated that CMS should explore options on developing a CABG readmission measure for the Hospital Readmissions Reduction Program in the future. Other commenters generally supported the proposal to exclude vascular and PCI measures from the Hospital Readmissions Reduction Program at this time. However, other commenters opposed the proposal to exclude these measures from the program and requested clarification on the proposal. These commenters suggested that CMS include measures for CABG, PCI, and other vascular conditions because MedPAC previously recommended inclusion of these measures in the Hospital Readmissions Reduction Program. One commenter further stated that, instead of THA/TKA, CMS should have focused on CABG, COPD, Percutaneous transluminal coronary angioplasty, and other vascular conditions for the Hospital Readmissions Reduction Program.
Response: We appreciate the commenters' feedback and suggestions. However, did not propose to include measures for these conditions because inclusion would not be feasible at this time. First, we found that inpatient admissions for PCI and other vascular conditions appear to be decreasing. Second, it appears that hospitals are increasingly performing procedures relating to these conditions in outpatient departments. Therefore, given the apparent shift in settings for these procedures, inclusion of these measures in the Hospital Readmissions Reduction Program is not currently practical. However, moving forward, we will continue to review these conditions and may consider them in future rulemaking.
Comment: Several commenters addressed the expansion of measures for the Hospital Readmissions Reduction Program. One commenter suggested that CMS make the process for selecting measures for the Hospital Readmissions Reduction Program more transparent moving forward. Another commenter suggested that CMS add a wider variety of conditions to the program. Other commenters stated that CMS should ensure that hospitals are aware of the proposed expansion of the Hospital Readmissions Reductions Program and how the program works.
Response: We appreciate the commenters' suggestions and will take them into consideration for future rulemaking. We will continue to review and monitor the program to determine whether additional conditions should be added. We also have taken a number of steps to ensure that hospitals are aware of the proposed expansion and how the program works, including press releases, open door forums, as well as through the Federal rulemaking process. However, we maintain that our measure selection process for the Hospital Readmissions Reduction Program strives to ensure transparency and allows the public several opportunities to comment on measures being selected for the Hospital Readmissions Reduction Program. First, prior to being proposed in the proposed rule, we place our measures on a measure under consideration list, which is made public by December 1 of each year. The Measure Application Partnership (MAP), a multi-stakeholder group convened by the NQF, then reviews the measures being proposed for Federal programs and provides input on those measures to the Secretary. The MAP process also allows an opportunity for the public to comment on the proposed measures being considered for selection and to participate in the MAP process. Second, should a measure be proposed through rulemaking for use in the Hospital Readmissions Reduction Program, the public may comment on any measure through the public comment period for the proposed rule. Therefore, we believe that the various opportunities available both before and during the rulemaking process provide safeguards to ensure public transparency. However, we will continue to review the measure selection process and make adjustments as needed to continue maintaining high levels of public transparency.
Comment: One commenter agreed with all of MedPAC's public comments on the Hospital Readmissions Reduction Program except for MedPAC's recommendation to incorporate a hospital-wide readmission measure in the program. Specifically, in its public comment, MedPAC recommended that the law be redefined to address the following: The readmission penalty formula; random variation with single condition readmissions rates due to a small number of observations; readmission and mortality related to heart failure, and readmission rates and penalties being correlated with a low-income patient share.
Response: We appreciate the commenter's feedback. We emphasize that we have included several of MedPAC's previously recommended conditions for the Hospital Readmissions Reduction Program, including the incorporation of the COPD readmission measure in the program. However, other MedPAC recommendations could not be implemented for a number of reasons. First, some of MedPAC's recommendations, such as those relating to changes to the readmission penalty, would require a legislative change. Second, in regard to those MedPAC recommendations to include a PCI measure in the Hospital Readmissions Reduction Program, we cannot implement the measure at this time because the current PCI measure also uses outpatient data, which makes it ineligible for the Hospital Readmissions Reduction Program. However, we are working towards finding a suitable PCI measure for the Hospital Readmissions Reduction Program and may introduce such a measure in future rulemaking.
Comment: Some commenters expressed concern with measures overlapping with other programs. One commenter suggested that CMS not use the same measures in more than one program, such as the Hospital IQR Program. Another commenter raised concerns about penalties that would incur as a result of measures overlapping.
Response: We appreciate the commenter's feedback. We acknowledge stakeholders' concern with potential measure overlap in our programs. However, several stakeholders requested that we align our programs and measures to decrease provider burden associated with multiple reporting programs. Further, the Hospital Readmissions Reduction Program and the Hospital IQR Program are separate hospital reporting programs with different purposes and policy goals. The Hospital Readmissions Reduction Program is a program that reduces payments to hospitals for excess readmissions to increase patient safety in hospitals, therefore, the payment adjustment is based on hospital performance on the readmissions measures. On the other hand, the Hospital IQR Program is a reporting program in which the applicable percentage increase applied to the hospital's payment rate is dependent on whether the hospital satisfactorily reported data on the Hospital IQR measures. Therefore, although we acknowledge that similar measures may exist in both programs, the measures are used and calculated for different purposes. We maintain that the safety of our beneficiaries, coupled with the overwhelming requests by stakeholders to align all programs and measures, justify the use of some measures in more than one program. However, we will in the future monitor this issue and revise and update the program's measures, if needed.
Comment: MedPAC recommended that CMS include an all-condition readmission measure in the Hospital Readmissions Reduction Program.
Response: We appreciate MedPAC's suggestion and will take it into consideration in future rulemaking for the Hospital Readmissions Reduction Program.
Comment: One commenter suggested that CMS include ESRD patients under the age of 65 from the readmission measures. While the commenter understood our current policy to exclude patients under the age of 65 from the readmissions measures and excessive readmissions data, the commenter encouraged CMS to reconsider this policy for FY 2014 for those with end-stage renal disease (ESRD) who are on dialysis and readmitted for any of the diagnosis codes under the readmissions and excessive readmissions reduction program.
Response: We appreciate the commenter's suggestion. However, we exclude Medicare patients under the age of 65, including ESRD patients, from the readmission measures because patients under the age of 65 have markedly different clinical risk profiles from other patients in the 65 and over category that are included in the measure. In general, we seek to address clinical differences in hospitals' case-mix through risk-adjustment rather than through excluding patients from the measure because the goal in developing outcomes measures is to create a clinically cohesive cohort that includes as many patients as possible admitted with the given condition. We include patients 65 and over, including ESRD patients, in our measure and our risk-adjustment methodology takes into consideration ESRD-related comorbidities such as ESRD or dialysis and renal failure.
Comment: One commenter requested that CMS develop process and outcomes measures to be reported alongside the readmission measures to evaluate transitions of care.
Response: We appreciate the commenter's suggestion and will take it into consideration in future rulemaking for the Hospital Readmissions Reduction Program.
After consideration of the public comments we received and in light of the MedPAC recommendation, we are finalizing our proposal to include a measure of patients admitted for an acute exacerbation of COPD. Also, although MedPAC did not recommend inclusion of patients admitted for elective THA and TKA, we consider this category appropriate for the Hospital Readmissions Reduction Program because it is a high-volume and high-expenditure procedure and are finalizing the adoption of this measure in this final rule.
For example, in 2003, 202,500 primary hip arthroplasties and 402,100 primary total knee arthroplasties were performed. [21] The number of procedures performed has increased steadily over the past decade. [22] Although these procedures can dramatically improve patient health-related quality-of-life, they are costly. In 2005, annual hospital charges totaled $3.95 billion and $7.42 billion for primary THA and TKA, respectively. [23] The aggregate costs for THA are projected to increase by 340 percent over a 10-year period, to $17.4 billion per fiscal year by FY 2015, and for TKA, by 450 percent to $40.8 billion per fiscal year by 2015. [24] Medicare is the single largest payer for these procedures, covering approximately two-thirds of all THAs and TKAs performed in the United States. [25] THA and TKA procedures combined account for the largest procedural cost in the Medicare budget. [26] Therefore, as explained in detail below, we believe that it is appropriate to include THA/TKA as an applicable condition.
We developed a hospital-level, 30-day, all-cause, risk-standardized readmission measure for THA/TKA. NQF endorsed the measure (NQF #1551) in January of 2012. The measure incorporated the Planned Readmission Version 2.1 algorithm and excludes transfers. Accordingly, we believe that the THA/TKA measure met the criteria of applicable condition and are finalizing it for the Hospital Readmissions Reduction Program.
The rationale for expanding the applicable conditions and the measures used to estimate the Excess Readmission Ratios are described in detail below, as discussed in the FY 2014 IPPS/LTCH PPS proposed rule (78 FR 27597 through 27599).
(2) COPD Readmission Measure
COPD is a leading cause of readmissions to hospitals. [27] In 2007, the MedPAC published a report to Congress in which it identified the seven conditions associated with the most costly potentially preventable readmissions. Among these seven conditions, COPD ranked fourth. [28] Evidence also shows variation in readmissions for patients with COPD, supporting the finding that opportunities exist for improving care. The median, 30-day, risk-standardized readmission rate among Medicare fee-for-service patients aged 65 or older hospitalized for COPD in 2008 was 22.0 percent, and ranged from 18.33 percent to 25.03 percent across 4,546 hospitals. [29] Clinical trials and observational studies suggest that several aspects of care provided to patients hospitalized for exacerbations of COPD can have significant effects on readmission. 30 31 32 33 In addition, inclusion of this measure in the Hospital Readmissions Reduction Program aligns with CMS' priority objectives to promote successful transitions of care for patients from the acute care setting to the outpatient setting, and reduces short-term readmission rates. Therefore, as we stated in the FY 2014 IPPS/LTCH PPS proposed rule, we believe the COPD measure warrants inclusion in the Hospital Readmissions Reduction Program for FY 2015. We invited public comments on this proposal.
Comment: Several commenters supported the proposed expansion of applicable conditions to include patients admitted for an acute exacerbation of COPD and patients admitted for elective THA and TKA.
Response: We appreciate the commenters' support of the expansion of the Hospital Readmissions Reduction Program.
Comment: One commenter suggested that CMS not expand the Hospital Readmissions Reduction Program to include additional measures due to lack of risk-adjustment of pre-existing conditions.
Response: The COPD and hip/knee measures risk-adjust for key factors that are clinically relevant and are strongly correlated with the likelihood for readmission (for example, patient demographic factors, patient coexisting medical conditions, and indicators of patient frailty). Under the current NQF-endorsed methodology, these covariates are obtained from Medicare claims extending 12 months prior to, and including, the index admission. This risk-adjustment approach adjusts for differences in the clinical status of the patient at the time of the index admission, as well as for demographic variables. A complete list of the variables used for risk-adjustment and the clinical and statistical process for selecting the variables for each NQF-endorsed measure, as proposed, is available on our Web site at: http://cms.gov/Medicare/Quality-Initiatives-Patient-Assessment-Instruments/HospitalQualityInits/Measure-Methodology.html.
Comment: Some commenters recommended that CMS not expand the Hospital Readmissions Reduction Program to include additional conditions because the measures for the program are not reliable. The commenters suggested that CMS raise the minimum case threshold required for hospitals to quality for the Hospital Readmissions Reduction Program to well over 25 cases in order to improve reliability.
Response: We appreciate the commenters' feedback. However, we disagree that the Hospital Readmissions Reduction Program uses unreliable measures. First, the NQF both reviewed and endorsed all measures used in the Hospitals Readmissions Reduction Program. Second, as previously stated in the FY 2013 IPPS/LTCH PPS final rule (77 FR 53379), “We determined the 25-case threshold for public reporting based on a reliability statistic that is calculated from the intercluster correlation, a parameter of the model. We are maintaining the minimum 25-case threshold that we adopted through rulemaking last year.”
We have further considered how to best measure quality for low-volume hospitals in order to address the concerns raised by stakeholders. We acknowledge that smaller hospitals do typically have less certain estimates because they have fewer cases for use in assessing quality. However, this challenge is inherent in outcome measurement. One advantage of the statistical model that we use for the measures is that it allows for the inclusion of small hospitals while characterizing the certainty of their estimates. The hierarchical logistic regression model that we use to calculate the risk-standardized outcome measures allows the inclusion of hospitals with relatively few observations, but takes into account the uncertainty associated with sample size in estimating their risk-standardized outcome rates. The model takes into account the uncertainty in the estimate of outcome rates for low-volume hospitals by assuming that each hospital is a typically performing hospital. It weighs that assumption along with the outcomes for the particular hospital in calculating the outcome rate. Therefore, the estimated outcome rates for smaller hospitals will likely be closer to the national rate because the limited number of eligible cases in the hospital tells little about that hospital's true outcome rate.
Comment: One commenter suggested that CMS provide hospitals with a preview of their COPD and THA/TKA readmission data before these measures are included in the Hospital Readmissions Reduction Program.
Response: We appreciate the commenter's suggestion. Hospitals will have an opportunity to review and correct the readmissions data relating to these measures prior to its release to the public on the Hospital Compare Web site. We expect that these data will be provided around June of 2014.
Comment: Several commenters addressed risk-adjusting the COPD, THA, and TKA measures to account for socioeconomic status. One commenter stated that CMS should not further expand the Hospital Readmissions Reduction Program beyond current and proposed conditions without properly planning to risk-adjust for education level and socioeconomic status. Another commenter stated that a patient's ability to afford medication should be included as a risk-adjustment variable because socioeconomic status impacts the patient's ability to be compliant with medications and a patient's ability to pay for medications is separate and apart from the care provided by the hospital. One commenter suggested that a hospital's performance on the COPD measure be compared to its peer hospitals that serve a similar population, rather than to all hospitals. For example, safety-net hospitals with large minority populations should be compared only to each other, rather than to all hospitals in the country.
Response: We appreciate the commenters' feedback. We have continued to consider and evaluate stakeholder concerns regarding the influence of patient socioeconomic status on readmission and mortality rates. The Hospital Readmissions Reduction Program, as pointed out by one commenter, seeks to transform the Medicare payment and delivery system by financially incentivizing providers to change the way they deliver care. The program's design encourages hospitals to make changes to avoid payment penalties while simultaneously enhancing the quality of health care provided to patients. We routinely monitor the impact of low socioeconomic status, using the proportion of patients enrolled in Medicaid as a proxy for low-income, on hospitals' results and have consistently found that hospitals that care for large proportions of patients of low socioeconomic status are capable of performing well on our measures. Our most recent analyses, available on our Web site at: http://www.cms.gov/Medicare/Quality-Initiatives-Patient-AssessmentInstruments/HospitalQualityInits/Downloads/MedicareHospitalQualityChartbook2012.pdf, again confirmed this finding. Many safety-net providers and teaching hospitals do as well or better on the measures than hospitals without substantial numbers of patients of low socioeconomic status. Our analyses also show that adding socioeconomic status to the risk-adjustment has a negligible impact on hospitals' risk-standardized rates. The risk-adjustment for clinical factors likely captures much of the variation due to socioeconomic status, therefore leading to more modest impact of socioeconomic status on hospitals' results than stakeholders expect. We note that the goal of risk-adjustment is to account for factors that are inherent to the patient at the time of admission, such as severity of disease, so as to put hospitals on a level playing field. The measures should not be risk-adjusted to account for differences in practice patterns that lead to lower or higher risk for patients to be readmitted or die. The measures aim to reveal differences related to the patterns of care. The measures do not risk-adjust for socioeconomic status because the association between socioeconomic status and health outcomes can be due, in part, to differences in the quality of health care received by groups of patients with varying socioeconomic status. The measures also are not risk-adjusted for socioeconomic status, or other patient factors such as race, because we do not want to hold hospitals to different standards for the outcomes of their patients of low socioeconomic status. Finally, we do not want to mask potential disparities or minimize incentives to improve the outcomes of disadvantaged populations. This approach also is consistent with the guidance from the NQF, [34] which states that risk models should not obscure disparities by adjusting for factors associated with inequality (such as race or socioeconomic status). Furthermore, the statutory language in section 1886(q)(5)(A)(ii)(I) of the Act requires that the measures included in the Hospital Readmissions Reduction Program for FYs 2013 and 2014 be NQF-endorsed. However, we are committed to tracking this issue and will continue to evaluate disparities in care and the impact of patient's socioeconomic status on hospital's rates.
(3) Overview of COPD Measure: Hospital-Level, 30-Day, All-Cause, Risk-Standardized Readmission Rate (RSRR) following Chronic Obstructive Pulmonary Disease (COPD) Hospitalization (NQF #1891)
The COPD readmission measure assesses hospitals' 30-day, all-cause risk-standardized rate of readmission for an acute exacerbation of COPD (AECOPD). In general, the measure uses the same approach to risk-adjustment and hierarchical logistic modeling (HLM) methodology that is specified for CMS' AMI, HF, and PN readmission measures previously adopted for this program. Information on how the measure employs HLM can be found in the 2011 COPD Readmission Measure Methodology Report (available at: http://www.cms.gov/Medicare/Quality-Initiatives-Patient-Assessment-Instruments/HospitalQualityInits/Measure-Methodology.html). This approach appropriately accounts for the types of patients a hospital treats (that is, hospital case-mix), the number of patients it treats, and the quality of care it provides. The HLM methodology is an appropriate statistical approach to measuring quality based on patient outcomes when the patients are clustered within hospitals (and, therefore, the patients' outcomes are not statistically independent) and sample sizes vary across hospitals. The measure methodology defines hospital case-mix based on the clinical diagnoses provided in the hospitals' claims for the hospitals' patient inpatient and outpatient visits for the 12 months prior to the hospitalization for COPD, as well as those present in the claims for care at admission. However, the methodology specifically does not account for diagnoses present in the index admission that may indicate complications rather than patient comorbidities.
As we did in the proposed rule, we are providing a summary of the measure methodology below. For further details on the risk-adjustment statistical model, we refer readers to the 2011 COPD Readmission Measure Methodology Report that we have posted on the CMS Web site at: http://www.cms.gov/Medicare/Quality-Initiatives-Patient-Assessment-Instruments/HospitalQualityInits/Measure-Methodology.html. NQF endorsed the measure (NQF #1891) in March 2013 (http://www.qualityforum.org/QPS/1891).
- Data Sources. The COPD measure is claims-based. It uses Medicare administrative data from hospitalizations for fee‐for‐service Medicare beneficiaries hospitalized with an acute exacerbation of COPD (AECOPD).
- Outcome. The outcome for the COPD measure is 30-day, all-cause readmission, defined as an unplanned subsequent inpatient admission to any applicable acute care facility from any cause within 30 days of the date of discharge from the index hospitalization. A number of studies demonstrate that improvements in care at the time of discharge can reduce 30‐day readmission rates. 35 36 It is a timeframe that a readmission may reasonably be attributed to the hospital care and transitional period to a subacute care setting.
The COPD readmissions measure assesses all-cause unplanned readmissions (excluding planned readmissions) rather than readmissions for acute exacerbations of COPD only. As we stated in the proposed rule, we proposed this measure for several reasons. First, from the patient perspective, a readmission for any reason is likely to be an undesirable outcome of care, even though not all readmissions are preventable. Second, limiting the measure to COPD‐related readmissions may limit the effort focus too narrowly rather than encouraging broader initiatives aimed at improving the overall care within the hospital and transitions from the hospital setting. Moreover, it is often hard to exclude quality issues and accountability based on the documented cause of readmission. For example, a patient with COPD who develops a hospital-acquired infection may ultimately be readmitted for sepsis. It would be inappropriate to consider such a readmission to be unrelated to the care the patient received for COPD. Finally, while the measure does not presume that each readmission is preventable; interventions generally have shown reductions in all types of readmissions.
The measure does not count planned readmissions as readmissions. Planned readmissions are identified in claims data using the CMS Planned Readmission Algorithm Version 2.1 that detects planned readmissions that may occur within 30 days of discharge from the hospital. This algorithm is described briefly in section V.G.3.b.(2)(a) of the preamble of this final rule and more detailed information can be found on the CMS Web site at: http://www.cms.gov/Medicare/Quality-Initiatives-Patient-Assessment-Instruments/HospitalQualityInits/Measure-Methodology.html. For the COPD measure, unplanned readmissions that fall within the 30-day post discharge timeframe from the index admission would not be counted as readmissions for the index admission if they were preceded by a planned readmission (we refer readers to section V.G.3.b.(2)(b) of the preamble of this final rule on the counting of readmissions that occur after a planned readmission).
- Cohort of Patients. COPD is a group of lung diseases characterized by airway obstruction. Patients hospitalized for an acute exacerbation of COPD (AECOPD) present with varying degrees of severity ranging from a worsening of baseline symptoms (dyspnea, cough, and/or sputum) to respiratory failure. To capture the full spectrum of severity of patients hospitalized for an AECOPD, the measure includes patients with a principal diagnosis of COPD, as well as those with a principal diagnosis of respiratory failure with a secondary diagnosis of an AECOPD. Requiring AECOPD as a secondary diagnosis helps to identify respiratory failure due to COPD exacerbation versus another condition (for example, heart failure). For detailed information on the cohort definition, we refer readers to the 2013 COPD Readmission Measure Updates and Specifications Report on the CMS Web site at: http://www.cms.gov/Medicare/Quality-Initiatives-Patient-Assessment-Instruments/HospitalQualityInits/Measure-Methodology.html.
- Inclusion and Exclusion Criteria. The COPD measure includes hospitalizations for patients who are 65 years of age or older at the time of index admission and for whom there was a complete 12 months of Medicare fee-for-service (FFS) enrollment to allow for adequate risk-adjustment. The measure excludes the following admissions from the measure cohort: (1) Admissions for patients who die during the initial hospitalization (these patients are not eligible for readmission); (2) admissions for patients having a principal diagnosis of COPD during the index hospitalization and subsequently transferred to another acute care facility (these are excluded because the measure focuses on discharges to a nonacute care setting such as the home or a SNF); (3) admissions for patients that are discharged against medical advice (AMA) (excluded because providers do not have the opportunity to deliver full care and prepare the patient for discharge); (4) admissions for patients without at least a 30-day post-discharge enrollment in Medicare FFS (excluded because the 30-day readmission outcome cannot be assessed in this group); and (5) additional COPD admissions for patients within 30 days of discharge from an index COPD admission will be considered readmissions and not additional index admissions.
- Risk-Adjustment. The COPD measure adjusts for differences across hospitals in how at risk their patients are for readmission relative to patients cared for by other hospitals. The measure uses claims data to identify patient clinical conditions and comorbidities to adjust patient risk for readmission across hospitals, but does not adjust for potential complications of care. Consistent with NQF guidelines, the model does not adjust for socioeconomic status or race because risk-adjusting for these characteristics would hold hospitals with a large proportion of patients of minority race or low socioeconomic status to a different standard of care than other hospitals. Rather, this measure seeks to illuminate quality differences, and risk-adjustment for socioeconomic status or race would obscure such quality differences.
- Calculating the Excess Readmission Ratio. The COPD readmission measure uses the same methodology and statistical modeling approach as the AMI, HF, and PN measures. We published a detailed description of how the readmission measures estimate the Excess Readmission Ratio used in the Hospital Readmissions Reduction Program in the FY 2013 IPPS/LTCH PPS final rule (77 FR 53380 through 53381).
Comment: Several commenters stated that CMS should not adopt the COPD all-cause readmission measure. Some commenters stated that unrelated readmissions are outside the hospital's control or are not preventable. The commenters added that COPD patients often have other conditions for which they are admitted. Another commenter added that the hospital could not adequately plan for such readmissions and, therefore, should not be accountable. That commenter recommended that the causes for readmission be narrowed to more closely align with the index diagnosis.
Response: We appreciate the commenters' feedback. However, we do not seek to differentiate between related and unrelated readmissions because readmissions not directly related to the index condition may still be a result of the care received during the index hospitalization. For example, a patient hospitalized for COPD who develops a hospital-acquired infection may ultimately be readmitted for sepsis. It would be inappropriate to treat this readmission as unrelated to the care the patient received during the index hospitalization. Furthermore, the range of potentially avoidable readmissions also includes those not directly related to the initial hospitalization, such as those resulting from poor communication at discharge or inadequate follow-up. As such, creating a comprehensive list of potential complications related to the index hospitalization would be arbitrary, incomplete, and, ultimately, impossible to implement. However, in coordination with medical experts we expanded the list of conditions considered planned.
Generally speaking, planned readmissions are not a signal of quality of care. Therefore, we have worked with experts in the medical community, as well as other stakeholders to carefully identify procedures and treatments that should be considered “planned” and therefore not counted as readmissions. For the FY 2014 program, we have proposed that the measures identify planned readmissions by using an expanded algorithm, which is a set of criteria for classifying readmissions as planned using Medicare claims. This algorithm identifies admissions that are typically planned and may occur within 30 days of discharge from the hospital.
We developed the COPD measure to reflect the quality of care delivered to patients who are hospitalized with COPD. The goal of this measure is to improve patient outcomes by providing patients, physicians, and hospitals with information about hospital-level, risk-standardized readmission rates following hospitalization for COPD. The measure is not intended to drive hospitals to a zero readmission rate, but rather is designed to encourage hospitals to identify opportunities to systematically reduce readmission risks in their environment. We do not assume all readmissions are preventable. The goal of the readmission measure is to identify hospitals that seem to have excess readmissions above and beyond what would be expected for their case-mix. Careful discharge planning and instructions, communication with outpatient providers, attention to patient safety, and prevention of infections are all important for reducing readmissions. Hospitals that take these and other steps to reduce readmissions will have lower overall readmission rates and will likely have better rates on this measure.
Comment: Some commenters stated that the current measures will encourage hospitals to not accept COPD patients or hip/knee patients to avoid high readmission rates and because its poses a financial risk.
Response: We recognize that performance-based payment programs may have the potential for unintended consequences. We are committed to monitoring the COPD measure and assessing unintended consequences over time, such as the inappropriate shifting of care, increased patient morbidity and mortality, and other negative unintended consequences for patients.
Comment: One commenter suggested that CMS implement standard intervention strategies to reduce COPD readmissions.
Response: We appreciate the commenter's suggestion, but note that the Hospital Readmissions Reduction Program does not implement intervention strategies.
Comment: Some commenters stated that the COPD readmission measure should not be included in the program because the MAP did not recommend the measure.
Response: We appreciate the commenters' feedback. However, the MAP did support the measure for use in the Hospital IQR Program and does further support the direction of the measure for use in the Hospital Readmissions Reduction Program. Further, the NQF, the entity who convenes the MAP, subsequently reviewed and endorsed the COPD readmissions measure for use in the Hospital Readmissions Reduction Program. We refer readers to the MAP February 2013 Pre-rulemaking report for more information about their recommendations regarding these measures. The report can be found on the following Web site at: https://www.qualityforum.org/Publications/2013/02/MAP_Pre-Rulemaking_Report_-_February_2013.aspx.
We also received several comments supporting using the COPD readmission measure in the Hospital Readmissions Reduction Program. We believe that this support, coupled with MedPAC's recommendation to include the measure into the program, warrants adoption of the COPD readmissions measure in the Hospital Readmissions Reduction Program.
Comment: One commenter suggested that the COPD measure be added to the Hospital VBP Program.
Response: Section 1886(o)(2)(A) of the Act statutorily prohibits us from including readmission measures in the Hospital VBP Program.
Comment: One commenter suggested that the COPD readmission measure should risk-adjust for environmental factors, such as pollution.
Response: We appreciate the commenter's suggestion. During measure development, we conducted a literature review and consulted with experts to explore risk-adjustment for environmental factors, such as levels of particulate matter, affecting respiratory patients. We found that the literature suggests that ambient levels of particulate matter affect short-term mortality and admission rates for COPD (and for other cardiovascular and respiratory conditions). Although important from a public health standpoint, the increases in risk are relatively small. We did not find any studies of the effect of ambient particulates on mortality and readmission rates among patients hospitalized for COPD. The purpose of risk-adjustment is to account for differences across hospitals in factors unrelated to quality, such as patient comorbidities, that may affect the outcome of mortality and readmission. It is important to risk-adjust for factors that could bias the measure results (for example, could favor hospitals in low pollution areas). Risk-adjusting for environmental factors would make sense if it were technically feasible and if it would improve the model by reducing or eliminating a potential bias. We believe that variables for environmental factors are unlikely to affect hospital-level risk-standardized rates. The studies to date focus on the general nonhospitalized population, and it is not clear how they apply to the patients in our models—that is, patients hospitalized with an acute exacerbation of COPD. We believe that the effect of risk-adjusting for particulate matter would likely be small or negligible, given that the model applies to patients already hospitalized for COPD. Second, there are feasibility issues with respect to collecting such information. Modeling the effect appropriately would be complex. Our review of the issues suggests it would be inappropriate to use ambient air quality levels as a risk-adjuster without also adjusting for other factors that affect the strength and direction of the potential association between particulate levels and outcomes, including temperature, humidity, seasonal variation, and city-level factors such as smoking and air conditioning use rates. Given these challenges, and our expectation that building particulate levels into the model is not likely to significantly improve the models' performance even with the best methods, we do not plan to pursue adding air pollution variables to the models at this time.
Comment: One commenter did not support the COPD readmission measure in the Hospital Readmissions Reduction Program because the commenter believed that the measure is closely related to heart failure readmissions measure.
Response: We appreciate the commenter's feedback. However, we disagree that the measures are closely related. COPD is a group of lung diseases characterized by airway obstruction. Patients hospitalized for an acute exacerbation of COPD (AECOPD) present with varying degrees of severity ranging from a worsening of baseline symptoms (dyspnea, cough, and/or sputum) to respiratory failure. To capture the full spectrum of severity of patients hospitalized for an AECOPD, we included patients with a principal diagnosis of COPD, as well as those with a principal diagnosis of respiratory failure who had a secondary diagnosis of an AECOPD. Requiring AECOPD as a secondary code helps to identify respiratory failure due to COPD exacerbation versus another condition (for example, heart failure).
(4) Adoption of the COPD Measure for the Hospital Readmissions Reduction Program
In the FY 2014 IPPS/LTCH PPS proposed rule (78 FR 27599), we proposed to adopt the COPD measure in the Hospital Readmissions Reduction Program beginning in FY 2015. We also proposed the COPD measure for use in the Hospital IQR Program for FY 2014 (discussed in section IX.A. of this preamble). We noted that the set of hospitals for which this measure was calculated for the Hospital Readmissions Reduction Program differs from those used in calculations for the Hospital IQR Program. The Hospital Readmissions Reduction Program includes only subsection (d) hospitals as defined in 1886(d)(1)(B) of the Act and hospitals paid under section 1814(b)(3) of the Act (that is, Maryland hospitals), while the Hospital IQR Program calculations include non-IPPS hospitals such as CAHs, cancer hospitals, and hospitals located in the Territories of the United States. However, we believe that the COPD measure is appropriate for use in both programs. We invited public comments on this proposal.
Comment: Several commenters supported adding COPD to the Hospital Readmissions Reduction Program, but suggested that CMS not add the COPD readmission measure to Hospital Readmissions Reduction Program until it has been in the Hospital IQR Program for a period of time first. The commenters suggested a timeframe of between 1 to 2 years to allow hospitals to improve performance prior to the measure being adopted under any pay-for-performance program. One commenter explained that hospitals have no experience with this measure and no data from CMS and, therefore, will not be able to incorporate changes before penalties are assessed.
Response: We appreciate the commenters for their suggestions. We are cognizant of stakeholder requests to have the COPD readmission measure in the Hospital IQR Program first, given the lack of experience with this measure. However, we note that the COPD measure is being adopted under the Hospital IQR Program in FY 2014 and under the Hospital Readmissions Reduction Program in FY 2015. Therefore, stakeholders will have the opportunity to become familiar with the measure prior to its inclusion in the Hospital Readmissions Reduction Program. Further, we note that the COPD readmissions measure represents both a high-impact and high-cost condition that warrants inclusion in the Hospital Readmissions Reduction Program. In addition, MedPAC recommended the measure for inclusion in the Hospital Readmissions Reduction Program. Including this measure in the Hospital Readmissions Reduction Program aligns with our priority objectives to promote successful transitions of care for patients from the acute care setting to the outpatient setting, and reduces short-term readmission rates.
Comment: One commenter suggested that CMS study the relationship between COPD readmissions and mortality before adopting the COPD readmissions measure in the Hospital Readmissions Reduction Program.
Response: We appreciate the commenter's suggestion. However, in general, we believe that there does not appear to be a meaningful correlation between hospital risk-standardized mortality rates and readmission rates. We consider that hospital performance on mortality and readmission measures represent different aspects of quality. Researchers have found that performance on risk-standardized mortality rates was not strongly correlated with performance on risk-standardized readmission rates for HF, and not at all for AMI and PN. [37] We recognize the commenter's concern and will monitor the correlation as part of our hospital quality surveillance.
After consideration of the public comments we received, we are finalizing our proposal to include the COPD readmissions measure in the Hospital Readmissions Reduction Program.
(5) Total Hip Arthroplasty (THA) and Total Knee Arthroplasty (TKA) Measure
As discussed in the FY 2014 IPPS/LTCH PPS proposed rule (78 FR 27599), THA and TKA are commonly performed procedures that improve quality of life. Between 2008 and 2010, over 1.4 million THA and TKA procedures were performed on Medicare FFS patients aged 65 years and older. [38] However, the costs of these procedures, especially to Medicare, are very high. Combined, THA and TKA procedures account for the largest procedural cost in the Medicare budget. [39] Evidence also shows variation in readmissions of patients with THA/TKA procedures, supporting the finding that opportunities exist for improving care. The median 30-day risk-standardized readmission rate among Medicare FFS patients aged 65 or older undergoing THA/TKA procedures between 2008 and 2010 was 5.7 percent, and ranged from 3.2 percent to 9.9 percent across 3,497 hospitals. [40] In addition, inclusion of a THA/TKA measure in the Hospital Readmissions Reduction Program aligns with CMS' priority objectives to promote successful transitions of care for patients from the acute care inpatient setting to the outpatient setting, and reduces short-term readmission rates. Therefore, we believe the THA/TKA measure warrants inclusion in the Hospital Readmissions Reduction Program for FY 2015.
(6) Overview of the THA/TKA Measure: Hospital-Level 30-Day All-Cause Risk-Standardized Readmission Rate (RSRR) Following Elective Total Hip Arthroplasty (THA) and Total Knee Arthroplasty (TKA) (NQF #1551)
To better assess hospital care and care transitions for patients with elective THA/TKA procedures, we developed a hospital-level readmission measure for patients undergoing elective primary THA and/or TKA procedures. We finalized this measure for use in the Hospital IQR Program in the FY 2013 IPPS/LTCH PPS final rule (77 FR 53519 through 53521). In the FY 2014 IPPS/LTCH PPS proposed rule (78 FR 27599), we proposed to include this measure, updated with the CMS Planned Readmission Algorithm Version 2.1 adapted for THA/TKA (discussed in section V.G.3.b.(2) of this preamble) to: (1) Expand the applicable conditions for the Hospital Readmissions Reduction Program; (2) derive the Excess Readmission Ratio for patients with THA/TKA procedures; and (3) calculate the readmission payment adjustments in FY 2015. We refer readers to the FY 2013 IPPS/LTCH PPS final rule (77 FR 53519 through 53521) for details of the measure specifications as well as the 2013 Hip/Knee Readmission Measures Updates and Specifications Report which is available on the CMS Web site at: http://www.cms.gov/Medicare/Quality-Initiatives-Patient-Assessment-Instruments/HospitalQualityInits/Measure-Methodology.html. NQF endorsed the measure in January 2012 (http://www.qualityforum.org/QPS/1551).
Comment: Many commenters supported the inclusion of the THA/TKA readmissions measure in the Hospital Readmissions Reduction Program.
Response: We appreciate the commenters' support.
Comment: Some commenters stated that the THA/TKA readmissions measure should not be included at this time because the expansion of the program is new, MedPAC did not recommend these measures for the Hospital Readmissions Reduction Program, and the measure's inclusion poses a financial risk to hospitals. One commenter further suggested that CMS conduct additional analyses before including the THA and TKA measure in the program. Another commenter suggested that CMS defer adding the THA/TKA measure until hospitals have had more experience with the Hospital Readmissions Reduction Program.
Response: We appreciate the commenters' feedback and suggestions. We believe that the THA/TKA readmissions measure represents both a high-impact and high-cost condition that warrants inclusion in the Hospital Readmissions Reduction Program. This measure aligns with our priority objectives to promote successful transitions of care for patients from the acute care inpatient setting to the outpatient setting. We further believe that this measure, which consists of one of the most frequently performed procedures on the Medicare population, will also reduce short-term readmission rates, while at the same time, improve the care provided to patients. We also note that the MAP supported inclusion of this condition in the Hospital Readmissions Reduction Program. We are cognizant of stakeholder concerns relating to increased financial risks to hospitals, the fact that this was not specifically one of the conditions previously listed by MedPAC, and hospitals' inexperience with the measure. Therefore, we will monitor the THA/TKA readmissions measure closely for any unintended consequences that may arise from implementation of this measure, and adjust the Hospital Readmissions Reduction Program, accordingly.
Comment: One commenter supported the exclusion of diagnostic cardiac catheterization from the list of planned procedures for the elective THA/TKA readmissions measure.
Response: We appreciate the commenter's support for our proposal.
After consideration of the public comments we received, we are finalizing our proposal to include the THA/TKA readmissions measure in the Hospital Readmissions Reduction Program.
(7) Calculating the Excess Readmission Ratio
The THA/TKA readmission measure uses the same methodology and statistical modeling approach as the AMI, HF, and PN measures. We published a detailed description of how the readmission measures estimate the Excess Readmission Rate used in the Hospital Readmissions Reduction Program in the FY 2013 IPPS/LTCH PPS final rule (77 FR 53380 through 53381).
(8) THA/TKA Measure for the Hospital Readmissions Reduction Program
In the FY 2014 IPPS/LTCH PPS proposed rule (78 FR 27599), we proposed to adopt the THA/TKA measure in the Hospital Readmissions Reduction Program beginning in FY 2015. We also finalized this measure for use in the Hospital IQR Program in the FY 2013 IPPS/LTCH PPS final rule (77 FR 53519 through 53521). In the proposed rule, we noted that the set of hospitals for which this measure is calculated for the Hospital Readmissions Reduction Program differs from the set of hospitals used in calculations for the Hospital IQR Program. The Hospital Readmissions Reduction Program includes only subsection (d) hospitals as defined in 1886(d)(1)(B) of the Act and hospitals paid under section 1814(b)(3) of the Act (that is, Maryland hospitals), while the Hospital IQR Program calculations include non-IPPS hospitals such as CAHs, cancer hospitals, and hospitals in the Territories. However, we believe that the THA/TKA measure is appropriate for use in both programs. We invited public comments on this proposal.
Comment: Several commenters suggested that CMS not add the THA/TKA readmission measure to Hospital Readmissions Reduction Program until it has been in the Hospital IQR Program. The commenters suggested a timeframe of between 1 to 2 years to allow hospitals to improve performance prior to the measure being adopted under any pay-for-performance program. One commenter explained that hospitals have no experience with this measure and no data from CMS and, therefore, will not be able to incorporate changes before penalties are assessed.
Response: We adopted the measure in the Hospital IQR Program in the FY 2013 IPPS/LTCH PPS final rule. We conducted a dry run of the measure with hospitals last year, and will be reporting the measure in an upcoming release of the Hospital Compare Web site.
After consideration of the public comments we received, we are finalizing our proposal to adopt the THA/TKA readmissions measure in the Hospital Readmissions Reduction Program for FY 2015.
d. Hospitals Paid Under Section 1814(b)(3) of the Act, Including the Process To Be Exempt From the Hospital Readmissions Reduction Program and Definition of “Base Operating DRG Payment Amount” for Such Hospitals (§ 412.152 and § 412.154(d))
As finalized in the FY 2013 IPPS/LTCH PPS final rule (77 FR 53397), the definition of “applicable hospital” under section 1886(q)(5)(C) of the Act also includes hospitals paid under section 1814(b)(3) of the Act (that is, acute care Maryland hospitals that would have otherwise been paid under the IPPS, but for the waiver under section 1814(b)(3) of the Act). As discussed in the FY 2014 IPPS/LTCH PPS proposed rule (78 FR 27600 through 27601), section 1886(q)(2)(B)(ii) of the Act allows the Secretary to exempt such hospitals from the Hospital Readmissions Reduction Program, provided that the State submits an annual report to the Secretary describing how a similar program to reduce hospital readmissions in that State achieves or surpasses the measured results in terms of health outcomes and cost savings established by Congress for the program as applied to “subsection (d) hospitals.” Accordingly, a program established by the State of Maryland that could serve to exempt the State from the Hospital Readmissions Reduction Program would focus on those “applicable” Maryland hospitals operating under the waiver provided by section 1814(b)(3) of the Act; that is, those hospitals that would otherwise have been paid by Medicare under the IPPS absent this provision.
In the FY 2013 IPPS/LTCH PPS final rule (77 FR 53384), we established criteria for evaluation of an annual report to CMS to determine whether Maryland should be exempted from the program each year. We codified this requirement at § 412.154(d) of the regulations. In addition, we specified that we will evaluate a report submitted by the State of Maryland documenting how its program meets those criteria. However, because the Hospital Readmissions Reduction Program was in its first year and Maryland's program was completing its first year, we specified that the evaluation of Maryland's program for measurable health outcomes and cost savings would not begin until FY 2014. In that same final rule, we explained that it would be premature to evaluate Maryland's readmission program on health outcomes and cost savings at that time, as we did not have sufficient information on which to evaluate Maryland's program because FY 2013 was the first year of the Hospital Readmissions Reduction Program.
We noted that our finalized criteria to evaluate Maryland's program is for FY 2013, the first year of the program, and our evaluation criteria may change through notice-and-comment rulemaking as the Hospital Readmissions Reduction Program evolves.
In the FY 2014 IPPS/LTCH PPS proposed rule (78 FR 27600 through 27601), we proposed to establish a deadline by which the State must submit its annual report to the Secretary under proposed revised § 412.154(d)(2) of the regulations. We also proposed the criteria to determine whether or not the State would be exempted from the Hospital Readmissions Reduction Program beginning with FY 2014. In addition, we proposed to define the “base operating DRG payment amount” for Maryland hospitals under § 412.152 of the regulations in the event that the State is not exempted from the Hospital Readmissions Reduction Program.
We proposed that the State of Maryland must submit its preliminary report to CMS no later than January 15 of each year for CMS to consider, through the IPPS/LTCH PPS proposed rule for a Federal fiscal year, its exemption from the Hospital Readmissions Reduction Program for the upcoming Federal fiscal year. For example, the State of Maryland would have to submit the report by January 15, 2014 for consideration for the FY 2015 (beginning October 1, 2014) program year. This deadline would provide CMS sufficient time to evaluate the report, have any discussions with the State regarding its program, and prepare a presentation of that report for the IPPS/LTCH PPS proposed rule. Under this proposal, we also would require that the State submit a final report, with updated information on the State's readmissions program and updated cost savings and health outcomes information, to CMS no later than June 1 of each year in order for CMS to determine, through the IPPS/LTCH PPS final rule for a Federal fiscal year, whether the State meets the requirements for exemption from the Hospital Readmissions Reduction Program in that upcoming Federal fiscal year. As such, for FY 2015, under proposed § 412.154(d)(2)(ii), the State of Maryland would submit its preliminary report to the Secretary no later than January 15, 2014, and its final report to the Secretary no later than June 1, 2014, for consideration of exemption from the Hospital Readmissions Reduction Program.
As discussed in the FY 2014 IPPS/LTCH PPS proposed rule (78 FR 27600 through 27601), for FY 2014, we received a preliminary report from Maryland describing its readmissions program. Similar to its report submitted for FY 2013, Maryland described its current readmissions program, the Admissions-Readmission Revenue (ARR) Program. Under the voluntary program, the State pays hospitals under a case-mix adjusted bundled payment per episode of care, where the episode of care is defined as the initial admission and any subsequent readmissions to the same hospital or linked hospital system that occur within 30 days of the original discharge. According to the State, an initial admission with no readmissions provides the hospital with the same weight as an initial admission with multiple readmissions. Therefore, hospitals receive a financial reward for decreased readmissions (as determined through the case-mix adjusted episode of care weights). In the report, Maryland indicated that the reduction in intra-hospital readmission rates (that is, readmissions to the same hospital as the initial admission) resulted in approximately $25 million, or 0.27 percent, in savings to the participating hospitals for 2011 and 2012. In addition, Maryland reported that its readmission rate per 1,000 Medicare beneficiaries declined from 17.14 percent (CY 2011, Quarter 2) to 15.21 percent (CY 2012, Quarter 2). The State also acknowledged in that report that it has begun to track inter-hospital readmissions, where a patient is admitted to one hospital and readmitted to another hospital, which is comparable to how readmissions are measured under the Hospital Readmissions Reduction Program. In the FY 2013 IPPS/LTCH PPS final rule, we estimated that, under the Hospital Readmissions Reduction Program, for FY 2013, Medicare IPPS operating payments would decrease nationally by approximately $300 million (or 0.3 percent of total Medicare IPPS operating payments). Maryland indicated that, for FY 2013, it would achieve comparable savings because it intends to reduce the rate update factor for all hospitals by 0.3 percent, regardless of a hospital's performance on readmissions.
Furthermore, in its FY 2014 preliminary report to the Secretary, the State of Maryland indicated that, for FY 2014, subject to approval by the Commission, it is proposing a shared savings approach, which would be applied to all hospitals in the State. Under that shared savings approach, hospitals in the State would be ranked based on their performance on readmissions. Hospitals with high readmissions above an established standard would experience a reduction in their revenue and the hospitals below the established standard would not experience a reduction in their revenue. For Maryland hospitals that are in the voluntary ARR Program paid under the case-mix adjusted bundled payment per episode of care that are performing worse than the established standard for readmissions, their payment per episode of care would be reduced. In addition, the State proposes that hospitals that improve in readmissions above a certain standard would experience no reduction in their payments and those hospitals below the standard would experience a reduction. Based on this preliminary information, we believe that the State can achieve savings on readmissions that are tied to hospitals' performance on readmissions, which is comparable to the Hospital Readmissions Reduction Program applied throughout the rest of the country.
For FY 2014, we proposed to evaluate Maryland based on whether, under the shared savings approach, it can achieve comparable health outcomes and cost savings to the Hospital Readmissions Reduction Program. We noted that, for FY 2014, we project that the Hospital Readmissions Reduction Program will result in a 0.2 percent decrease, or approximately $175 million nationally, in payments to hospitals. We invited public comments on this proposal.
Comment: Several commenters supported the proposals regarding the process by which Maryland may seek exemption from the Hospital Readmissions Reduction Program, on an annual basis. One commenter requested that Maryland be able to submit one annual report to seek exemption from the Hospital Readmissions Reduction Program under subsection (q), the Hospital VBP Program under subsection (p), and the HAC Reduction Program under subsection (o), and that if CMS exempts Maryland from the requirements of these provisions, that the State should be exempt for 3 years.
Response: We believe that the section 1886(q)(2)(B)(ii) of the Act requires that in order for hospitals paid under section 1814(b)(3) of the Act to be exempt from the Hospital Readmissions Reduction Program, the State must submit a report demonstrating a similar State program that achieves or surpasses measured results in terms of cost savings and patient health outcomes, and the State must submit this report on an annual basis to receive an annual exemption. Therefore, the statute does not provide for a 3-year exemption. Accordingly, we are finalizing the requirement that the State of Maryland submit its preliminary report to us no later than January 15 of each year and a final report no later than June 1 of each year for us to consider, through the IPPS/LTCH PPS proposed and final rules for a Federal fiscal year, its exemption from the Hospital Readmissions Reduction Program for the upcoming Federal fiscal year.
Comment: Maryland provided additional information on Maryland's readmissions program for FY 2014. The commenter stated that Maryland has implemented a population-based ratesetting model for 10 hospitals called the Total Patient Revenue (TPR) system and an episode-of-care ratesetting model called the Admissions Readmissions Revenue (ARR) Program for most other hospitals in the State, which reduces payments to hospitals that do not meet an established readmissions performance target. The ARR Program will become effective January 1, 2014, and because it will be effective in the middle of Maryland's 2014 rate year, the reduction is expected to be twice the amount it would have been had the program been effective for the entire 2014 rate year. The TPR and ARR Program have reduced readmissions and is estimated to achieve savings in FY 2014 in excess of the national savings: 0.3 percent of all payer inpatient revenue compared to an expected national savings of 0.2 percent of national Medicare base payments.
Response: We appreciate the additional information on Maryland's readmissions program. We believe that the program will provide for comparable savings to the Hospital Readmissions Reduction Program for FY 2014, and we believe that Maryland's program for FY 2014 meets the requirement for Maryland hospitals to be exempt from the Hospital Readmissions Reduction Program for FY 2014. In the future, we intend to evaluate actual savings and health outcomes from the Hospital Readmissions Reduction Program, as compared to actual savings and health outcomes to Maryland's readmissions program. In addition, we intend to evaluate how Maryland hospitals would perform in terms of readmissions measures and payment reductions if these hospitals were in the Hospital Readmissions Reduction Program, to potentially serve as another metric by which to evaluate Maryland when seeking an exemption from the Hospital Readmissions Reduction Program.
Comment: Several commenters suggested that CMS also exempt certain categories of hospitals from the Hospital Readmissions Reduction Program. Specifically, the commenters suggested that CMS exclude hospitals participating in Accountable Care Organizations (ACOs), including the Pioneer ACO Program. The commenters also suggested that hospitals enrolled in the Bundled Payment demonstrations with a focus on hip/knee replacement should be exempt from the Hospital Readmissions Reduction Program and stated that because CMS is adding the THA/TKA readmissions measure to the Hospital Readmissions Reduction Program, hospitals in demonstrations that focus on THA/TKA should not be penalized twice for the same activity.
Response: We appreciate the suggestions to exempt hospitals from the Hospital Readmissions Reduction Program if they already participate in an ACO program or other demonstrations. We addressed this comment in the FY 2013 IPPS/LTCH PPS final rule (77 FR 53398) where we explained that we did not have the authority under section 1886(q) of the Act to exempt any subsection (d) hospitals participating in the Bundled Payment Care Improvement Demonstration or in an Accountable Care Organization from the Hospital Readmissions Reduction Program. In addition, we were not compelled to waive hospitals in Accountable Care Organizations through their waiver authority because the incentives of the Hospital Readmissions Reduction Program and the Medicare ACO initiatives are aligned, and we did not see a need to waive the requirements of the Hospital Readmissions Reduction Program in order to test the Pioneer ACO Model. We found that because the incentives of the two programs are aligned, we believe that hospitals successful in reducing avoidable readmissions could be important allies for ACOs that share similar goals. Because it is unlikely that the beneficiaries assigned to an ACO will use only a single inpatient facility, ACOs will need to work effectively with all local hospitals that their Medicare FFS beneficiaries choose to use. Finally, we stated that as we gain experience with the program and other new payment incentives in the Medicare FFS program, we will monitor their interactions with the Hospital Readmissions Reduction Program and continue our efforts to align measures and incentives to achieve the best outcomes for our patients and the program.
Comment: One commenter stated that CMS should permit a one-time opportunity to waive the payment reduction to safety-net hospitals or hospitals that serve a large proportion of low socioeconomic status patients, and in return, require those hospitals to submit to CMS their implementation plan to improve readmission rates and the waiver would be time limited in order to give hospitals the time to implement their readmission reduction strategies.
Response: In the FY 2013 IPPS/LTCH PPS final rule, we finalized our definition of applicable hospitals, or hospitals included in the Hospital Readmissions Reduction Program, as hospitals that are (1) subsection (d) hospitals, that is hospitals paid under the IPPS, and (2) hospitals in Maryland that are paid under section 1814(b)(3) of the Act, and absent the “waiver” specified by section 1814(b)(3) of the Act, would have been paid under the IPPS. We do not believe that we have the authority to implement a process described above, whereby we provide a waiver for safety-net hospitals that submit to us an implementation plan to reduce readmissions. We believe that all hospitals should be working towards the goal of reducing readmissions, on an ongoing basis, regardless of patient population. Therefore, we do not believe that we need to provide additional time through a waiver to hospitals to implement readmission reduction programs.
After consideration of the public comments we received, we are finalizing the requirement that the State of Maryland must submit its preliminary report to us no later than January 15 of each year and a final report no later than June 1 of each year for us to consider, through the IPPS/LTCH PPS proposed and final rules for a Federal fiscal year, its exemption from the Hospital Readmissions Reduction Program for the upcoming Federal fiscal year. In addition, we are finalizing the policy to exempt Maryland hospitals paid under section 1814(b)(3) of the Act from the Hospital Readmissions Reduction Program for FY 2014.
As proposed in the FY 2014 IPPS/LTCH PPS proposed rule (78 FR 27600 through 27601), in this final rule we are defining “base operating DRG payment amount” for hospitals paid under section 1814(b)(3) of the Act in the event that we do not exempt Maryland hospitals from the Hospital Readmissions Reduction Program in a given year. Consistent with section 1886(q)(2) of the Act, in the FY 2013 IPPS/LTCH PPS final rule (77 FR 53382), under the regulations at § 412.152, we defined the “base operating DRG payment amount” under the Hospital Readmissions Reduction Program as the wage-adjusted DRG operating payment plus any applicable new technology add-on payments. As required by the statute, the definition of “base operating DRG payment amount” does not include adjustments or add-on payments for IME, DSH, outliers, and low-volume hospitals provided for under sections 1886(d)(5)(A), (d)(5)(B), (d)(5)(F), and (d)(12) of the Act, respectively. Section 1886(q)(2) of the Act does not exclude new technology payments made under section 1886(d)(5)(K) of the Act in the definition of “base operating DRG payment amount”; therefore, any payments made under section 1886(d)(5)(K) of the Act are included in the definition of “base operating DRG payment amount.” In addition, under the regulations at § 412.152, we define “wage-adjusted DRG operating payment” as the applicable average standardized amount adjusted for resource utilization by the applicable MS-DRG relative weight and adjusted for differences in geographic costs by the applicable area wage index (and by the applicable COLA for hospitals located in Alaska and Hawaii).
Acute care hospitals located in the State of Maryland currently are not paid under the IPPS but are, instead, paid under a special waiver as provided by section 1814(b)(3) of the Act. For these applicable hospitals, as we proposed, we are finalizing that the term “base operating DRG payment amount” means the base operating DRG payment amount defined at § 412.152. In other words, we are revising existing § 412.152, to specify that, for Maryland hospitals, the “base operating DRG payment amount” is an amount equal to the IPPS wage adjusted DRG payment amount or the average standardized amount adjusted for resource utilization by the applicable MS-DRG relative weight and adjusted for differences in geographic costs by the applicable area wage index plus new technology payments that would be paid to Maryland hospitals absent section 1814(b)(3) of the Act. Although Maryland hospitals are currently paid under this waiver and not under the IPPS, if, for any year, Maryland is not exempt from the Hospital Readmissions Reduction Program in, we are finalizing that, to determine the amount by which the hospitals' payments under section 1814(b)(3) of the Act would be reduced under the Hospital Readmissions Reduction Program, the readmission payment adjustment under § 412.154(b) would be determined using the estimated base operating DRG payment amount that would have applied had the hospital been paid under the IPPS. To implement this policy, as proposed, we are finalizing that claims submitted by Maryland hospitals will be “priced” under the IPPS payment methodology, and if a Maryland hospital has a readmissions payment adjustment factor, that factor would be applied to that base operating DRG payment amount to determine the payment adjustment under § 412.154(b) (that is, the amount of the payment reduction). We are adopting that the amount of the payment reduction, if any, would be applied to (that is, subtracted from) the payments made to the affected Maryland hospital under the waiver. This methodology would result in Maryland hospitals having the readmissions adjustment factor applied in a manner similar to that which is applied to hospitals that are paid under the IPPS.
Furthermore, as proposed, we are finalizing that if Maryland is not exempt from the Hospital Readmissions Reduction Program in a given year, the definition of “base operating DRG payment amount” for Maryland hospitals discussed above (that is, the base operating DRG payment amount calculated as if the hospital were paid under the IPPS), and not any payment amount made under the waiver under section 1814(b)(3) of the Act, would be used to calculate both the “aggregate payments for excess readmissions” and “aggregate payments for all discharges” (defined at § 412.152) for purposes of determining the hospital's readmission adjustment factor that accounts for excess readmissions under § 412.154(c).
Comment: Several commenters supported the proposed definition of “base operating DRG payment amount” for Maryland hospitals, which is the base operating DRG payment amount calculated as if the hospital were paid under the IPPS, in the event that Maryland is not exempt from the Hospitals Readmissions Reduction Program in a given year. One commenter stated that the proposed definition of “base operating DRG payment amount” for Maryland hospitals for the Hospital Readmissions Reduction Program is inconsistent with both the definition of “base operating DRG payment amount” under the Hospital VBP Program and how Maryland hospitals are actually paid by Medicare for inpatient hospital services. The commenter recommended that CMS use a consistent definition of base operating DRG payment amount for Maryland hospitals.
Response: We believe that the statute at section 1886(q)(2) of the Act clearly defines the base operating DRG payment amount as the wage-adjusted DRG payment amount excluding adjustments or add-on payments for IME, DSH, outliers, and low-volume hospitals provided for under sections 1886(d)(5)(A), (d)(5)(B), (d)(5)(F), and (d)(12) of the Act, respectively. Section 1886(q)(2) of the Act does not exclude new technology add-on payments made under section 1886(d)(5)(K) of the Act in the definition of “base operating DRG payment amount”; therefore, any payments made under section 1886(d)(5)(K) of the Act are included in the definition of “base operating DRG payment amount.” Section 1886(q) of the Act does not provide a separate definition for base operating DRG payment amount for Maryland hospitals. The definition under the Hospital Readmissions Reduction Program may be inconsistent with the definition of base operating DRG payment amount under the Hospital VBP Program because these two programs are governed by different sections of the statute that provide different statutory definitions of base operating DRG payment amounts. As such, we do not believe that we have latitude to change our definition of “base operating DRG payment amount” and we are finalizing the definition, as proposed.
e. Floor Adjustment Factor for FY 2014 (§ 412.154(c)(2))
Section 1886(q)(3)(A) of the Act defines the “adjustment factor” for an applicable hospital for a fiscal year as equal to the greater of “(i) the ratio described in subparagraph (B) for the hospital for the applicable period (as defined in paragraph (5)(D)) for such fiscal year; or (ii) the floor adjustment factor specified in subparagraph (C).” Section 1886(q)(3)(B) of the Act, in turn, describes the ratio used to calculate the adjustment factor. Specifically, it states that the ratio is “equal to 1 minus the ratio of—(i) the aggregate payments for excess readmissions . . . and (ii) the aggregate payments for all discharges . . . .” In the FY 2013 IPPS/LTCH PPS final rule (77 FR 53386), we codified the calculation of this ratio at § 412.154(c)(1) of the regulations. Section 1886(q)(3)(C) of the Act specifies the floor adjustment factor, which is set at 0.99 for FY 2013, 0.98 for FY 2014, and 0.97 for FY 2015 and subsequent fiscal years. We codified the floor adjustment factor at § 412.154(c)(2) of the regulations.
For FY 2013, under § 412.154(c), we specified that an applicable hospital will receive an adjustment factor that is either the greater of the ratio or a floor adjustment factor of 0.99. In the FY 2014 IPPS/LTCH PPS proposed rule (78 FR 27601), for FY 2014, we proposed that the floor adjustment factor be 0.98, consistent with section 1886(q)(3) of the Act, as codified at § 412.154(c)(2). As finalized in the FY 2013 IPPS/LTCH PPS final rule, the ratio is rounded to the fourth decimal place. In other words, for FY 2014, a hospital subject to the Hospital Readmissions Reduction Program would have an adjustment factor that is between 1.0 and 0.9800. We invited public comments on this proposal.
Comment: One commenter stated that doubling the readmission payment reduction would be harmful to hospitals and would be particularly harmful to safety-net hospitals.
Response: We recognize the commenter's concern regarding the magnitude of the payment reduction for FY 2014. Section 1886(q)(3) of the Act requires that, effective for discharges occurring in FY 2014, the maximum readmissions adjustment factor or the floor adjustment factor be 0.98, or a 2-percent reduction, applied to a hospital's base operating DRG payment amount. While the maximum reduction will increase for FY 2014, only 18 hospitals are subject to the maximum reduction of 2.0 percent and all but one of those hospitals were subject to the maximum reduction of 1.0 percent in FY 2013, suggesting that these hospitals have poor performance on these readmissions measures compared to the national average. In addition, we believe that our other proposed changes to the Hospital Readmissions Reduction Program, including the application of a planned readmissions algorithm to the readmissions measures and the change to the calculation of the readmission payment adjustment factors to be more consistent with the calculation of the excess readmission ratios, provide refinements to the readmissions penalties that mitigate severe payment impacts to the hospitals in the program. As such, we are finalizing our proposal that the floor adjustment factor be 0.98, consistent with section 1886(q)(3) of the Act, as codified at § 412.154(c)(2).
Comment: One commenter suggested that, if CMS added the additional readmissions measures for the conditions COPD and TKA/THA proposed in the FY 2014 IPPS/LTCH PPS proposed rule to be included as part of the readmissions payment adjustment for FY 2015, CMS should phase in the payment penalty over time so that the maximum reduction due to these two additional measures is 1 percent for FY 2015 rather than the full 3 percent for FY 2015. The commenter stated that the method for computing penalties will result in relatively large penalties for readmissions of THA and TKA because there are low readmissions rates for these cases.
Response: We appreciate the commenter's suggestion regarding the readmission payment adjustment factors for FY 2015. However, we believe that this comment is outside the scope of this rulemaking as we have not made any proposals on the calculation of the payment adjustment for FY 2015, with the inclusion of the two additional readmissions measures of COPD and TKA/THA. We intend to propose the calculation of the readmissions payment adjustment with the additional readmissions measures for FY 2015 in future rulemaking.
After consideration of the public comments we received, we are finalizing our proposal that, for FY 2014, the floor adjustment factor is 0.98, consistent with section 1886(q)(3) of the Act, as codified at § 412.154(c)(2).
f. Applicable Period for FY 2014
Under section 1886(q)(5)(D) of the Act, the Secretary has the authority to specify the applicable period with respect to a fiscal year under the Hospital Readmissions Reduction Program. We finalized our policy to use 3 years of claims data to calculate the readmission measures in the FY 2012 IPPS/LTCH PPS final rule (76 FR 51671). In the FY 2013 IPPS/LTCH PPS final rule (77 FR 53675), we codified the definition of “applicable period” in the regulations at 42 CFR 412.152 as the 3-year period from which data are collected in order to calculate excess readmission ratios and adjustments for the fiscal year, which includes aggregate payments for excess readmissions and aggregate payments for all discharges used in the calculation of the payment adjustment.
For the Hospital Readmissions Reduction Program for FY 2013, we established an applicable period under § 412.152 as July 1, 2008, to June 30, 2011. Specifically, to calculate the excess readmission ratios and to calculate the payment adjustments for FY 2013 (including aggregate payments for excess readmissions and aggregate payments for all discharges used in the calculation of the payment adjustment), we used Medicare claims data from the 3-year time period of July 1, 2008 to June 30, 2011 (76 FR 51671 and 77 FR 53388).
In the FY 2014 IPPS/LTCH PPS proposed rule, consistent with the definition at § 412.152 of the existing regulations, we proposed that the applicable period for FY 2014 under the Hospital Readmissions Reduction Program would be the 3-year period from July 1, 2009, to June 30, 2012. That is, we would determine the excess readmission ratios and calculate the payment adjustment (including aggregate payments for excess readmissions and aggregate payments for all discharges) for FY 2014 using data from the 3-year time period of July 1, 2009 to June 30, 2012, as this was the most recent available 3-year period of data upon which to base these calculations. As discussed later in this section, although we proposed an applicable period of July 1, 2009 through June 30, 2012 for FY 2014, for purposes of determining the readmissions payment adjustment factors for the FY 2014 proposed rule, we used excess readmission ratios based on older data, that is, from the FY 2013 applicable period of July 1, 2008 to June 30, 2011 (that includes the application of the planned readmission algorithm discussed earlier in this section). However, for this FY 2014 final rule, we are using excess readmission ratios based on data from the applicable period of July 1, 2009 to June 30, 2012, because the data for that period are now finalized.
Comment: Some commenters supported the proposed 3-year applicable period of July 1, 2009 to June 30, 2012 to calculate the excess readmission ratios and the readmissions payment adjustment factors. Some commenters supported the 3-year applicable period because it aligns with the reporting data on Hospital Compare.
The commenters also expressed concern regarding the use of 3 years of data to calculate the excess readmission ratios and the readmissions payment adjustment factors. The commenters stated that the payment penalties should be assessed every 3 years instead of every year; otherwise, CMS would be penalizing hospitals more than once for the same years of data and it would make it difficult for low-performing hospitals to improve.
Several commenters suggested shorter timeframes for the applicable period. One commenter stated that the 3-year measurement period penalizes hospitals for performance before the focus on readmissions began. Other commenters suggested that the measures be reported on a quarterly basis.
Response: We recognize the concerns raised by the commenters. As discussed in the FY 2013 IPPS/LTCH PPS final rule (77 FR 53394), we use 3 years of data in order to have sufficient data to reliably measure a hospital's performance, and we update the data annually with the most recently available 3 years of data. We continue to believe that hospitals do have the opportunity to not be subject to a readmission reduction to payments due to excess readmissions if they can perform better than the average hospital in the future. We also believe that using the most recent 3 years of data may help hospitals in the event that a hospital's poor performance in 1 year due to anomalous circumstances may be mitigated with the inclusion of 2 additional years of data.
After consideration of the public comments we received, we are finalizing, as proposed, the policy to use data from the 3-year time period from July 1, 2009 to June 30, 2012 to calculate the excess readmission ratio and to calculate the readmission payment adjustment factors for FY 2014.
g. Refinements of the Methodology To Calculate the Aggregate Payments for Excess Readmissions
Section 1886(q)(3)(B) of the Act specifies the ratio used to calculate the adjustment factor under the Hospital Readmissions Reduction Program. It states that the ratio is “equal to 1 minus the ratio of—(i) the aggregate payments for excess readmissions . . . and (ii) the aggregate payments for all discharges . . . .” In the FY 2013 IPPS/LTCH PPS final rule (77 FR 53387), we defined “aggregate payments for excess readmissions” and “aggregate payments for all discharges,” as well as a methodology for calculating the numerator of the ratio (aggregate payments for excess readmissions) and the denominator of the ratio (aggregate payments for all discharges).
Section 1886(q)(4) of the Act sets forth the definitions of “aggregate payments for excess readmissions” and “aggregate payments for all discharges” for an applicable hospital for the applicable period. The term “aggregate payments for excess readmissions” is defined in section 1886(q)(4)(A) of the Act as “for a hospital for an applicable period, the sum, for applicable conditions . . . of the product, for each applicable condition, of (i) the base operating DRG payment amount for such hospital for such applicable period for such condition; (ii) the number of admissions for such condition for such hospital for such applicable period; and (iii) the `Excess Readmission Ratio'. . . for such hospital for such applicable period minus 1.” In the FY 2013 IPPS/LTCH PPS final rule (77 FR 53675), we included this definition of “aggregate payments for excess readmissions” under the regulations at § 412.152.
The “Excess Readmission Ratio” is a hospital-specific ratio calculated for each applicable condition. Specifically, section 1886(q)(4)(C) of the Act defines the excess readmission ratio as the ratio of “risk-adjusted readmissions based on actual readmissions” for an applicable hospital for each applicable condition, to the “risk-adjusted expected readmissions” for the applicable hospital for the applicable condition. The methodology for the calculation of the excess readmission ratio was finalized in the FY 2012 IPPS/LTCH PPS final rule (76 FR 51673). “Aggregate payments for excess readmissions” is the numerator of the ratio used to calculate the adjustment factor under the Hospital Readmissions Reduction Program.
The term “aggregate payments for all discharges” is defined at section 1886(q)(4)(B) of the Act as “for a hospital for an applicable period, the sum of the base operating DRG payment amounts for all discharges for all conditions from such hospital for such applicable period.” “Aggregate payments for all discharges” is the denominator of the ratio used to calculate the adjustment factor under the Hospital Readmissions Reduction Program. In the FY 2013 IPPS/LTCH PPS final rule (77 FR 53387), we included this definition of “aggregate payments for all discharges” under the regulations at § 412.152.
As proposed in the FY 2014 IPPS/LTCH PPS proposed rule (78 FR 27602), we note that we are taking this opportunity to finalize a technical change to the definition of “base operating DRG payment amount” in the existing regulations at § 412.152 to reflect our policy that the difference between the applicable hospital-specific payment rate and the Federal payment rate for SCHs and MDHs is excluded from the base operating DRG amount for these hospitals. We note that section 1886(q)(2)(B)(i) of the Act provides “special rules” for MDHs with respect to discharges occurring during FYs 2012 and 2013, and not for subsequent years. Under current law, as discussed in section V.F. of the preamble of this final rule, the MDH program expires at the end of FY 2013 (that is, the MDH program is in effect through September 30, 2013); therefore, the technical change would reflect that our policy applies to MDHs for FY 2013 only.
We did not receive any public comments on this technical change on the definition of “base operating DRG payment amount” for MDHs, and we are finalizing the definition, as proposed.
As discussed above, when calculating the numerator (aggregate payments for excess readmissions), we determined the base operating DRG payments for the applicable period. “Aggregate payments for excess readmissions” (the numerator) is defined as “the sum, for applicable conditions . . . of the product, for each applicable condition, of (i) the base operating DRG payment amount for such hospital for such applicable period for such condition; (ii) the number of admissions for such condition for such hospital for such applicable period; and (iii) the `Excess Readmission Ratio'. . . for such hospital for such applicable period minus 1.”
When determining the base operating DRG payment amount for an individual hospital for such applicable period for such condition, we use Medicare inpatient claims from the MedPAR file with discharge dates that are within the same applicable period that was finalized in the FY 2012 IPPS/LTCH PPS final rule (76 FR 51671) to calculate the excess readmission ratio. We use MedPAR claims data as our data source for determining aggregate payments for excess readmissions and aggregate payments for all discharges, as this data source is consistent with the claims data source used in IPPS rulemaking to determine IPPS rates.
For FY 2014, as proposed in the FY 2014 IPPS/LTCH PPS proposed rule (78 FR 27603), we are using MedPAR claims with discharge dates that are on or after July 1, 2009, and no later than June 30, 2012. As specified in the FY 2013 IPPS/LTCH PPS final rule (77 FR 53387), we use the update of the MedPAR file for each Federal fiscal year, which is updated 6 months after the end of each Federal fiscal year within the applicable period, as our data source (that is, the March updates of the respective Federal fiscal year MedPAR files) for the final rules. The FY 2009 through FY 2012 MedPAR data files can be purchased from CMS. Use of these files allows the public to verify the readmission adjustment factors. Interested individuals may order these files through the Web site at: http://www.cms.hhs.gov/LimitedDataSets/ by clicking on MedPAR Limited Data Set (LDS)-Hospital (National). This Web page describes the files and provides directions and further detailed instructions for how to order the data sets. Persons placing an order must send the following: a Letter of Request, the LDS Data Use Agreement and Research Protocol (refer to the Web site for further instructions), the LDS Form, and a check for $3,655 to:
- If using the U.S. Postal Service: Centers for Medicare and Medicaid Services, RDDC Account, Accounting Division, P.O. Box 7520, Baltimore, MD 21207-0520.
- If using express mail: Centers for Medicare and Medicaid Services, OFM/Division of Accounting- RDDC, Mailstop C#-07-11, 7500 Security Boulevard, Baltimore, MD 21244-1850.
In the FY 2014 IPPS/LTCH PPS proposed rule (FR 27603), we proposed to determine aggregate payments for excess readmissions and aggregate payments for all discharges using data from MedPAR claims with discharge dates that are on or after July 1, 2009, and no later than June 30, 2012. However, we noted that, for the purposes of modeling the proposed readmissions payment adjustment factors in the proposed rule, we used excess readmission ratios based on an older performance period of July 1, 2008 to June 30, 2011, with the application of the planned readmission algorithm.
Consistent with the approach taken in the FY 2013 IPPS/LTCH PPS proposed rule (77 FR 27964), for the purpose of modeling the FY 2014 readmissions payment adjustment factors for the FY 2014 proposed rule, we used excess readmission ratios for applicable hospitals from the FY 2013 Hospital Readmission Reduction Program applicable period. For FY 2014, applicable hospitals have had the opportunity to review and correct data from the FY 2014 applicable period of July 1, 2009 to June 30, 2012 before they were made public under our policy regarding the reporting of hospital-specific information, which is discussed later in this section.
In the FY 2014 IPPS/LTCH PPS proposed rule, we proposed for FY 2014 to use MedPAR data from July 1, 2009 through June 30, 2012, and we used the March 2010 update of the FY 2009 MedPAR file to identify claims within FY 2009 with discharges dates that are on or after July 1, 2009, the March 2011 update of the FY 2010 MedPAR file to identify claims within FY 2010, the March 2012 update of the FY 2011 MedPAR file to identify claims within FY 2010, and the December 2012 update of the FY 2012 MedPAR file to identify claims within FY 2012 with discharge dates no later than June 30, 2012. For this FY 2014 IPPS/LTCH PPS final rule, we are using the same MedPAR files as listed above, with the exception of using the March 2013 update of the FY 2012 MedPAR file.
In order to identify the admissions for each condition for an individual hospital for calculating the aggregate payments for excess readmissions, as we did for FY 2013, we proposed in the FY 2014 IPPS/LTCH PPS proposed rule (78 FR 27603), for FY 2014, to identify each applicable condition using the same ICD-9-CM codes used to identify applicable conditions to calculate the excess readmission ratios. In the FY 2012 IPPS/LTCH PPS final rule (76 FR 51669), in our discussion of the methodology of the readmissions measures, we stated that we identify eligible hospitalizations and readmissions of Medicare patients discharged from an applicable hospital having a principal diagnosis for the measured condition in an applicable period. The discharge diagnoses for each applicable condition are based on a list of specific ICD-9-CM codes for that condition. These codes are posted on the Web site at: http://www.QualityNet.org> Hospital-Inpatient > Claims-Based Measures > Readmission Measures > Measure Methodology.
In order to identify the applicable conditions to calculate the aggregate payments for excess readmissions, as we did for FY 2013, we proposed, for FY 2014, to identify the claim as an applicable condition if the ICD-9-CM code for that condition is listed as the principal diagnosis on the claim, consistent with the methodology to identify conditions to calculate the excess readmission ratio. Based on public comments that we received on the FY 2013 IPPS/LTCH PPS proposed rule, which stated that the index admissions that are not considered readmissions for the purpose of the readmissions measures, and are thus excluded from the calculation of the excess readmission ratio, should also not be considered admissions for the purposes of determining a hospital's aggregate payments for excess readmissions, we proposed to further modify our methodology to identify the admissions included in the calculation of “aggregate payments for excess readmissions.” As we did for FY 2013 in response to public comments (77 FR 53390), using our MedPAR data source, we identified admissions for the purposes of calculating aggregate payments for excess readmissions making the following exclusions: (1) Hospitalizations for patients discharged with an in hospital death; (2) hospitalization for patients discharged against medical advice; (3) transfers; (4) hospitalizations for patients under 65; (5) hospitalizations for patients enrolled in Medicare Part C; and (6) same day discharges for AMI cases. These admissions were excluded based on how they were identified in the MedPAR file.
For FY 2014, as proposed in the FY 2014 IPPS/LTCH proposed rule (78 FR 27603 through 27604), we are adopting our proposal to make the same exclusions as we did in FY 2013, but, for some of the exclusions, to identify them using a different methodology which is more consistent with the manner in which exclusions are made to the admissions used to calculate the excess readmission ratio. For FY 2014, in order to have the same types of admissions to calculate aggregate payments for excess readmissions, as is used to calculate the excess readmission ratio, we are finalizing our proposal to identify admissions for the purposes of calculating aggregate payments for excess readmissions as follows; we note where our methodology for exclusions for FY 2014 differs from our methodology in FY 2013:
- We will exclude admissions that are identified as an applicable condition based on the ICD-9-CM code listed as the primary diagnosis if the patient died in the hospital, as identified by the discharge status code on the MedPAR claim. This is consistent with how we identified patients who died in the hospital in the FY 2013 IPPS/LTCH PPS final rule.
- We will exclude admissions identified as an applicable condition based on the ICD-9-CM code listed as the primary diagnosis for which the patient was transferred to another acute care hospital (that is, a CAH or an IPPS hospital), as identified through examination of contiguous stays in MedPAR at other hospitals. (We note that this step differs from the methodology we used in the FY 2013 IPPS/LTCH PPS final rule to identify transfers based on discharge destination codes in the MedPAR file.)
- We will exclude admissions identified as an applicable condition based on the ICD-9-CM code listed as the primary diagnosis for patients who are under the age of 65, as identified by linking the claim information to the information provided in the Medicare Enrollment Database. (We note that this step differs from the methodology we used in the FY 2013 IPPS/LTCH PPS final rule in that we previously used claims in the MedPAR file to identify a patient's age.)
- For conditions identified as AMI, we will exclude claims that are same day discharges, as identified by the admission date and discharge date on the MedPAR claim. (This is consistent with how we identified patients with same day discharges for AMI in the FY 2013 IPPS/LTCH PPS final rule. In addition, it is consistent with the calculation of the excess readmission ratio for AMI where same day discharges for AMI are not included as an index admission.)
Furthermore, as proposed, we will only identify Medicare FFS claims that meet the criteria (that is, claims paid for under Medicare Part C (Medicare Advantage) would not be included in this calculation), consistent with the methodology to calculate excess readmission ratios based solely on admissions and readmissions for Medicare FFS patients. For FY 2013, we excluded admissions for Medicare Advantage patients based on whether the claim was identified as a Medicare Advantage claim in the MedPAR file or whether the FFS payment amount on the claim was for an IME payment only, also indicative of an admission for a Medicare Advantage patient. For FY 2014, we will exclude admissions for patients enrolled in Medicare Advantage as identified in the Enrollment Database, which is consistent with how admissions for Medicare Advantage patients are identified in the calculation of the excess readmission ratios.
In the FY 2013 IPPS/LTCH PPS final rule (77 FR 53390), we noted that there were additional exclusions to the admissions used to calculate the excess readmission ratio that we could not apply to the calculation of aggregate payments for excess readmissions at the time of rulemaking. However, we stated our intention to modify our systems to identify the additional exclusions in order to calculate the aggregate payments for excess readmissions in a manner that would be more consistent with the calculation of the excess readmission ratio. Therefore, in addition to the exclusions to the admissions we finalized in FY 2013, as proposed for FY 2014, we are finalizing additional exclusions so that the criteria used to identify admissions for the purposes of calculating aggregate payments for excess readmissions will be the same as the criteria used to identify admissions for the purposes of calculating the excess readmission ratios. We are adopting as final the proposal to link our MedPAR claims data with the Medicare Enrollment Database to make additional exclusions to the admissions used to calculate aggregate payments for excess readmissions, which is consistent with our established methodology for calculating the excess readmission ratios. The Medicare Enrollment Database contains information on all individuals entitled to Medicare, including demographic information, enrollment dates, third party buy-in information, and Medicare managed care enrollment. For FY 2014, as proposed, we are including the following additional steps to identify admissions for the purposes of calculating aggregate payments for excess readmissions:
- We are excluding admissions for patients who did not have Medicare Parts A and B FFS enrollment in the 12 months prior to the index admission, based on the information provided in the Medicare Enrollment Database.
- We are excluding admissions for patients without at least 30 days post-discharge enrollment in Medicare Parts A and B FFS, based on the information provided in the Medicare Enrollment Database.
- We are excluding all multiple admissions within 30 days of a prior index admission, as identified in the MedPAR file, consistent with how multiple admissions within 30 days of an index admission are excluded from the calculation of the excess readmission ratio.
The tables below list the ICD-9-CM codes we are using, as proposed, to identify each applicable condition to calculate the aggregate payments for excess readmissions for FY 2014. These ICD-9-CM codes also will be used to identify the applicable conditions to calculate the excess readmission ratios, consistent with our policy finalized in the FY 2012 IPPS/LTCH PPS final rule. The list of ICD-9-CM codes for each condition has not changed from the list provided in the FY 2013 IPPS/LTCH PPS final rule.
| ICD-9-CM Code | Description of code |
|---|---|
| 480.0 | Pneumonia due to adenovirus. |
| 480.1 | Pneumonia due to respiratory syncytial virus. |
| 480.2 | Pneumonia due to parainfluenza virus. |
| 480.3 | Pneumonia due to SARS-associated coronavirus. |
| 480.8 | Viral pneumonia: pneumonia due to other virus not elsewhere classified. |
| 480.9 | Viral pneumonia unspecified. |
| 481 | Pneumococcal pneumonia [streptococcus pneumoniae pneumonia]. |
| 482.0 | Pneumonia due to klebsiella pneumoniae. |
| 482.1 | Pneumonia due to pseudomonas. |
| 482.2 | Pneumonia due to hemophilus influenzae [h. influenzae]. |
| 482.30 | Pneumonia due to streptococcus unspecified. |
| 482.31 | Pneumonia due to streptococcus group a. |
| 482.32 | Pneumonia due to streptococcus group b. |
| 482.39 | Pneumonia due to other streptococcus. |
| 482.40 | Pneumonia due to staphylococcus unspecified. |
| 482.41 | Pneumonia due to staphylococcus aureus. |
| 482.42 | Methicillin Resistant Pneumonia due to Staphylococcus Aureus. |
| 482.49 | Other staphylococcus pneumonia. |
| 482.81 | Pneumonia due to anaerobes. |
| 482.82 | Pneumonia due to escherichia coli [e.coli]. |
| 482.83 | Pneumonia due to other gram-negative bacteria. |
| 482.84 | Pneumonia due to legionnaires' disease. |
| 482.89 | Pneumonia due to other specified bacteria. |
| 482.9 | Bacterial pneumonia unspecified. |
| 483.0 | Pneumonia due to mycoplasma pneumoniae. |
| 483.1 | Pneumonia due to chlamydia. |
| 483.8 | Pneumonia due to other specified organism. |
| 485 | Bronchopneumonia organism unspecified. |
| 486 | Pneumonia organism unspecified. |
| 487.0 | Influenza with pneumonia. |
| 488.11 | Influenza due to identified novel H1N1 influenza virus with pneumonia. |
| ICD-9-CM Code | Code description |
|---|---|
| 402.01 | Hypertensive heart disease, malignant, with heart failure. |
| 402.11 | Hypertensive heart disease, benign, with heart failure. |
| 402.91 | Hypertensive heart disease, unspecified, with heart failure. |
| 404.01 | Hypertensive heart and chronic kidney disease, malignant, with heart failure and with chronic kidney disease stage I through stage IV, or unspecified. |
| 404.03 | Hypertensive heart and chronic kidney disease, malignant, with heart failure and with chronic kidney disease stage V or end stage renal disease. |
| 404.11 | Hypertensive heart and chronic kidney disease, benign, with heart failure and with chronic kidney disease stage I through stage IV, or unspecified. |
| 404.13 | Hypertensive heart and chronic kidney disease, benign, with heart failure and with chronic kidney disease stage I through stage IV, or unspecified failure and chronic kidney disease stage V or end stage renal disease. |
| 404.91 | Hypertensive heart and chronic kidney disease, unspecified, with heart failure and chronic kidney disease stage V or end stage renal disease heart failure and with chronic kidney disease stage I through stage IV, or unspecified. |
| 404.93 | Hypertensive heart and chronic kidney disease, unspecified, with heart failure and chronic kidney disease stage V or end stage renal disease. |
| 428.xx | Heart Failure. |
| ICD-9-CM Code | Description of code |
|---|---|
| 410.00 | AMI (anterolateral wall)—episode of care unspecified. |
| 410.01 | AMI (anterolateral wall)—initial episode of care. |
| 410.10 | AMI (other anterior wall)—episode of care unspecified. |
| 410.11 | AMI (other anterior wall)—initial episode of care. |
| 410.20 | AMI (inferolateral wall)—episode of care unspecified. |
| 410.21 | AMI (inferolateral wall)—initial episode of care. |
| 410.30 | AMI (inferoposterior wall)—episode of care unspecified. |
| 410.31 | AMI (inferoposterior wall)—initial episode of care. |
| 410.40 | AMI (other inferior wall)—episode of care unspecified. |
| 410.41 | AMI (other inferior wall)—initial episode of care. |
| 410.50 | AMI (other lateral wall)—episode of care unspecified. |
| 410.51 | AMI (other lateral wall)—initial episode of care. |
| 410.60 | AMI (true posterior wall)—episode of care unspecified. |
| 410.61 | AMI (true posterior wall)—initial episode of care. |
| 410.70 | AMI (subendocardial)—episode of care unspecified. |
| 410.71 | AMI (subendocardial)—initial episode of care. |
| 410.80 | AMI (other specified site)—episode of care unspecified. |
| 410.81 | AMI (other specified site)—initial episode of care. |
| 410.90 | AMI (unspecified site)—episode of care unspecified. |
| 410.91 | AMI (unspecified site)—initial episode of care. |
For FY 2014, as proposed, we are calculating aggregate payments for excess readmissions, using MedPAR claims from July 1, 2009 to June 30, 2012, to identify applicable conditions based on the same ICD-9-CM codes used to identify the conditions for the readmissions measures and to apply the exclusions for the types of admissions discussed above.
Comment: Several commenters supported the proposal to calculate excess payments for readmissions, or the numerator of the readmissions payment adjustment factor, using MedPAR claims with the proposed trims such that the calculation is more consistent with the calculation of the excess readmission ratio.
Response: We appreciate the commenters' support for our proposed modifications to the MedPAR data to calculate the excess payments for readmissions, which is the numerator of the readmissions payment adjustment factor. As such, we are finalizing, as proposed, our methodology to apply the trims to the admissions used to calculate excess payments for readmissions discussed earlier.
Comment: Some commenters stated that the data currently available are insufficient to replicate the readmission payment adjustment factors. The commenters requested that CMS provide sufficient data in the public MedPAR file to fully replicate the readmission payment adjustment factors.
Response: We recognize the limitations on the public's ability to replicate our calculations based on the data that are currently available. In response to those comments, we are providing additional provider-level information on the calculation of the readmissions payment adjustment factors in the Hospital Readmissions Reduction Program Supplemental Data File that can be found on our Web site at: http://www.cms.gov/Medicare/Medicare-Fee-for-Service-Payment/AcuteInpatientPPS/FY2014-IPPS-Final-Rule-Home-Page.html.
Comment: One commenter believed that the proposed calculation of the readmission payment adjustment factor creates excessive payment reductions. The commenter contended that the excess readmission ratio, which is a ratio of actual readmissions to expected readmissions, should be applied to the number of a hospital's readmissions, not admissions, in order to determine the hospital's excess payments for readmissions. The commenter believed that CMS has the discretionary authority to implement the policy as Congress intended, and that regulatory action could be confirmed by Congress with a technical amendment. Furthermore, the commenter found that the Congressional Budget Office (CBO) score for the provision exceeds the estimated savings that we calculated. The commenter provided an alternative approach whereby CMS would determine the magnitude of the readmission reduction using the 25th percentile of hospital performance on the readmission measures rather than the current policy of comparing a hospital's performance to the national average hospital performance.
Response: We received a similar comment in response to the FY 2013 IPPS/LTCH PPS proposed rule and responded to it in the FY 2013 IPPS/LTCH PPS final rule (77 FR 53393). We stated in the FY 2013 IPPS/LTCH PPS final rule that we believe that the statute is prescriptive with respect to the calculation of “aggregate payments for excess readmissions” where the statute specifies that the “aggregate payments for excess readmissions” is the sum for each condition of the product of “the operating DRG payment amount for such hospital for such applicable period for such condition” and “the number of admissions for such condition” and “the excess readmission ratio” minus one. We believe that section 1886(q)(4)(A) of the Act requires us to include all admissions for a condition in the calculation of “aggregate payments for excess readmissions.” We continue to believe that we are implementing the provision as required by law.
Comment: Several commenters requested that CMS make additional adjustments to the calculation of the readmissions payment adjustment factor to account for differences in the readmissions payment adjustment factors for hospitals that treat a high proportion of patients of low socioeconomic status. The commenters also suggested that CMS make an adjustment to the readmission payment adjustment factors to account for a hospital's proportion of dual-eligible patients. The commenters contended that dual-eligible status is a better predictor of readmission rates because it reflects Medicare beneficiaries, which is what the readmissions measures are based on.
Response: We appreciate the commenters' suggestions on modifying the readmission payment adjustment factors to account for differences in the socioeconomic status of patients treated by hospitals. As stated earlier and in prior rules, we continue to believe that we need to examine the relationship of patient socioeconomic status and readmissions as it applies to the readmissions measures. As we have stated above, the readmissions measures, as endorsed by the NQF, are not risk-adjusted for socioeconomic status. Currently, the NQF does not support risk-adjustments based on socioeconomic status, as the NQF believes it can create different standards of quality for hospitals that treat a higher proportion of patients with low socioeconomic status. Risk-adjusting the readmissions measures for socioeconomic status can obscure differences in the quality of health care.
Similarly, applying an adjustment to the readmissions payment adjustment factors can also create different standards of quality for hospitals based on the socioeconomic status of the patients treated. Applying an adjustment to the readmissions payment adjustment factors at this point to account for socioeconomic status rather than determining whether a risk-adjustment for socioeconomic status would be appropriate for the readmissions measures could appear as circumventing the NQF's position on the application of a risk-adjustment for socioeconomic status on the readmissions measures. We note that, to the extent that dual-eligible patients or patients of low socioeconomic status have higher readmission rates because they are sicker or have more comorbidities, we already account for comorbidities in the risk-adjustment for the excess readmission ratios. While we are not incorporating any special adjustments for socioeconomic status in the Hospital Readmissions Reduction Program at this time, we remain concerned about the impact of this provision on hospitals that serve a high proportion of low-income patients. We will continue to monitor the issue of the relationship of a patient's socioeconomic status and a hospital's readmission performance, and how it affects payments to hospitals.
Comment: Several commenters requested various modifications to the calculation of the readmissions payment adjustment factor. One commenter suggested that CMS give credit to hospitals that have better than average national mortality rates for AMI, HF, and PN because the commenter believed it shows that hospitals are not sacrificing performance on the mortality measures in order to improve performance on readmission measures. Another commenter suggested that CMS reward hospitals that reduce their readmissions rate each year. The commenter suggested that CMS structure the Hospital Readmissions Reduction Program like the Hospital VBP Program that rewards hospitals for their performance. Another commenter suggested that readmissions that occur later in the 30-day window should count less towards the calculation of the readmission payment adjustment factor than readmissions that occur earlier in the 30-day window. Another commenter suggested that a hospital's readmissions payment adjustment be based on whether or not the hospital can meet a fixed performance target. Another commenter believed that CMS should exclude additional admissions because the penalties are excessive, at $26,000 per excess readmission. The commenter suggested that CMS exclude admissions for patients over the age of 80 from the readmissions measures and payment adjustment calculations, risk-adjust for patient-mix, or apply alternative policies to obtain savings for the Medicare program.
Response: We appreciate the comments on various ways to change the calculation of the readmissions payment adjustment factors that account for improvement in readmissions or provide incentives for readmissions, as opposed to a penalty for readmissions. We received similar comments in response to the FY 2012 IPPS/LTCH PPS proposed rule that we addressed in the FY 2013 IPPS/LTCH PPS final rule (77 FR 53394). We believe that the Hospital Readmissions Reduction Program is structured to apply a payment reduction to hospitals with excess readmissions, as measured by having worse performance on readmissions for certain conditions compared to the average hospital. Section 1886(q)(4) of the Act is prescriptive in the methodology to calculate the readmissions payment adjustment factor such that we are limited to readmissions payment adjustment factor being the higher of a ratio of a hospital's excess payments for readmissions relative to their total payments for all discharges or a floor defined in the statute. In addition, we believe that the statute does not provide us with the authority to reward hospitals for improvement, which is allowed under section 1886(p) of the Act for the Hospital VBP Program. However, we continue to believe that if a hospital improves over time and those improvements result in performance on readmissions on the three readmissions measures that is better than the average hospital, the hospital would not be subject to a payment reduction.
Comment: MedPAC submitted a comment that was similar to comments from several other commenters, stating that the readmission penalty formula is flawed where the aggregate penalties will remain constant even if national readmission rates decline. MedPAC recommended establishing a fixed performance target by which to compare hospitals against in order to evaluate a hospital's performance on readmissions and to determine the readmissions payment adjustment. MedPAC is particularly concerned that the readmission penalties will increase more significantly with the introduction of additional readmissions measures in FY 2015 because the condition-specific penalty per excess readmission is higher for conditions with low readmission rates, such as for TKA/THA. Finally, MedPAC noted a correlation between readmission rates and a hospital's share of low-income patients, and recommended that CMS evaluate hospital readmission rates against a group of peer hospitals with a similar share of low-income Medicare beneficiaries, as measured by proportion of patients with Supplemental Security Income (SSI), as a way to risk-adjust readmission penalties for socioeconomic status. MedPAC acknowledged that the proposals to implement the Hospital Readmissions Reduction Program are consistent with the statute and that its recommendations were beyond the scope of the statute and would require a legislative change by Congress.
Response: We appreciate the comments and suggestions made by MedPAC and will be certain to explore in future rulemaking the payment implications of adding additional measures to the Hospital Readmissions Reduction Program for FY 2015. We also appreciate MedPAC's observations and suggestions to refine the payment formula for the Hospital Readmissions Reduction Program. We agree that their recommendations are currently beyond the scope of the statute, particularly because we believe that we are required by sections 1886(q)(4)(C) and 1886(q)(5)(A) of the Act to use readmissions measures that are endorsed by the NQF, and the readmissions measures currently endorsed by the NQF measure a hospital's performance on readmissions relative to the average hospital at the national level.
We will evaluate MedPAC's comment, particularly with regards to MedPAC's recommendation that we evaluate hospital readmission rates against a group of peer hospitals with a similar share of low-income Medicare beneficiaries, as measured by proportion of patients with Supplemental Security Income (SSI), as a way to risk-adjust readmission penalties for socioeconomic status. However, as stated earlier in this final rule, our analyses also show that adding socioeconomic status to the risk-adjustment has a negligible impact on hospitals' risk-standardized rates. The risk-adjustment for clinical factors likely captures much of the variation due to socioeconomic status, therefore leading to a more modest impact of socioeconomic status on hospitals' results than stakeholders may expect.
As we discussed earlier in this final rule, we remain concerned about the impact of the Hospital Readmissions Reduction Program on hospitals that serve a high proportion of low-income patients. We will continue to assess various metrics of low-income patients and how to identify hospitals that serve a large share of low-income patients. In addition, we will continue to monitor the relationship of patient's socioeconomic status and a hospital's performance on readmissions as it applies to the readmissions measures and how this relationship impacts payments to hospitals.
Comment: Some commenters suggested that CMS show the impact of the Hospital Readmissions Reduction Program by DSH decile, as it had done for the FY 2013 rule, in the interest of transparency.
Response: In response to these comments, we have provided a table displaying the number of hospitals subject to the 2-percent maximum reduction, the number of hospitals subject to a reduction between 1 percent and 2 percent, the number of hospitals subject to a reduction less than 1 percent, and the number of hospitals that will not be subject to any reduction by DSH Patient Percentage (DPP) decile. The DPP is reported in the FY 2014 IPPS Final Rule Impact file. The analysis excludes new hospitals as they would not receive a readmissions payment adjustment and would not have a DPP. New providers were identified as providers in the March 2013 update of the provider specific file and not in the March 2012 update of the provider specific file (used in the FY 2013 IPPS/LTCH PPS final rule). We will continue to explore different measures of socioeconomic status, including the potential to evaluate the relationship of a hospital's readmissions payment adjustment and their uncompensated care costs as reported on their Worksheet S-10 of the Medicare Hospital Cost Report.
| Decile | Number of hospitals | Payment adjustment up to −1 percent (inclusive) | Payment adjustment between −1 percent and 2 percent (not inclusive) | −2 percent floor adjustment | Any adjustment (sum of col. 2-4) | No readmissions adjustment factor |
|---|---|---|---|---|---|---|
| (1) | (2) | (3) | (4) | (5) | (6) | |
| Lowest DPP | 336 | 116 | 2 | 2 | 120 | 216 |
| Second | 336 | 204 | 11 | 0 | 215 | 121 |
| Third | 336 | 202 | 16 | 1 | 219 | 117 |
| Fourth | 336 | 205 | 19 | 1 | 225 | 111 |
| Fifth | 336 | 203 | 17 | 0 | 220 | 116 |
| Sixth | 336 | 219 | 14 | 3 | 236 | 100 |
| Seventh | 336 | 218 | 12 | 3 | 233 | 103 |
| Eighth | 336 | 213 | 25 | 3 | 241 | 95 |
| Ninth | 336 | 240 | 16 | 3 | 259 | 77 |
| Highest DPP | 335 | 234 | 21 | 2 | 257 | 78 |
| Total | 3,359 | 2,054 | 153 | 18 | 2,225 | 1,134 |
Comment: Some commenters requested that the inpatient claims denied by the CMS Recovery Audit Contractors (RACs) not be included in the calculation of the readmissions payment adjustment or readmissions measures, as those claims were not considered as inpatient for payment purposes.
Response: As discussed earlier in this final rule, MedPAR claims data is our data source to calculate readmissions payment adjustment factors, specifically the excess payments for readmissions and payment for all discharges. We are finalizing the policy to use MedPAR data for discharges from July 1, 2009 through June 30, 2012, and we are finalizing the policy to use the March 2010 update of the FY 2009 MedPAR file, the March 2011 update of the FY 2010 MedPAR file, the March 2012 update of the FY 2011 MedPAR, and the March 2013 update of the FY 2012 MedPAR file to identify the discharges occurring from July 1, 2009 through June 30, 2012. In addition, the Standard Analytic File is the data source used to calculate the excess readmission ratios. We use the June 2010 update of the 2009 SAF file, the June 2011 update of the 2010 file, the June 2012 update of the 2011 file, and the September 2012 update of the 2012 file. As discussed in the FY 2013 IPPS/LTCH PPS final rule (77 FR 53390), the RACs have up to 3 years to review claims to determine whether a claim was inappropriately billed as inpatient when it should have been an outpatient claim. If a claim is denied as an inpatient stay, the claim is adjusted through the standard Medicare claims processing systems, going through the CWF, SAF and MedPAR. However, given the timing of the RAC audits and the updates of the SAF and MedPAR files used to calculate the readmissions measures and readmissions payment adjustment factors, it is not certain that all denied claims will be reflected in our claims files at the time of our calculations. However, we continue to believe that using these updates of the MedPAR and SAF files is consistent with IPPS ratesetting and allows for transparency for the public to obtain this dataset for replication. Furthermore, inpatient stays that are denied payment under Medicare Part A remain classified as inpatient stays, and can be billed to Medicare Part B as an Medicare Part B inpatient stay. These inpatient stays that are denied payment under Medicare Part A will typically continue to count as a qualifying inpatient stay for other payment purposes such as qualifying for SNF benefits and Medicare DSH patient days. Therefore, we believe that it is appropriate to include these admissions in the Hospital Readmissions Reduction Program.
After consideration of the public comments we received, we are finalizing the proposed methodology to calculate the readmissions payment adjustment factors, including our methodology to apply the trims to the admissions used to calculate excess payments for readmissions discussed earlier.
| Aggregate payments for excess readmissions = [sum of base operating DRG payments for AMI x (Excess Readmission Ratio for AMI-1)] + [sum of base operating DRG payments for HF x (Excess Readmission Ratio for HF-1)] +[sum of base operating DRG payments for PN x (Excess Readmission Ratio for PN-1)]. |
| Aggregate payments for all discharges = sum of base operating DRG payments for all discharges. |
| Ratio = 1-(Aggregate payments for excess readmissions/Aggregate payments for all discharges). |
| Readmissions Adjustment Factor for FY 2014 is the higher of the ratio or 0.9800. |
| *Based on claims data from July 1, 2009 to June 30, 2012 for FY 2014. |
Comment: Some commenters provided suggestions regarding waivers for hospitals located in areas that experience disasters or other extraordinary circumstances. One commenter suggested that CMS establish a formal waiver process for disaster or other extraordinary circumstances. Another commenter suggested that CMS suppress reporting readmission rates for the last quarter of 2012 and the first quarter of 2013 pending analysis of potential bias in readmission rates due to Hurricane Sandy.
Response: We appreciate the suggestions to establish a potential exception process from the Hospital Readmissions Reduction Program for hospitals located in areas that experience disasters or other extraordinary circumstances. We did not make any proposals related to a waiver process for the Hospital Readmissions Reduction Program in the proposed rule. Therefore, these comments are outside the scope of the provisions of the proposed rule. There are several policy and operational considerations in developing an exception process for extraordinary circumstances (such as natural disasters) for the Hospital Readmissions Reduction Program. If we consider implementing an exception application and approval process for hospitals located in areas that experience disasters or other extraordinary circumstances, we will propose that process through notice-and-comment rulemaking.
h. Clarification of Reporting Hospital-Specific Information, Including Opportunity To Review and Submit Corrections
In the FY 2013 IPPS/LTCH PPS final rule, we finalized our policy for the public reporting of the information for this program as well as providing hospitals with an opportunity to review and submit corrections to the information prior to public reporting. For FY 2014, we did not propose changes to the reporting, review, and submittal of corrections policy and the regulatory text that we finalized in the FY 2013 IPPS/LTCH final rule (77 FR 53399 through 53401). However, we wish to clarify that requests to incorporate claims previously billed under a different CMS Certification Number (CCN) by recently acquired entities into calculations for a particular CCN will not be considered. This is because the particular CCN was not responsible for the patients under the other CCN prior to the hospital merger at the time of service.
Comment: One commenter suggested that CMS make all data used in measure calculations available so hospitals can replicate readmissions and perform an independent analysis.
Response: In the FY 2013 IPPS/LTCH PPS final rule (77 FR 53401), we finalized the policies of providing applicable hospitals with: “(1) a period of 30 days to review and submit corrections for their excess readmission ratios for the Hospital Readmissions Reduction Program; and (2) confidential reports and accompanying confidential discharge-level information (this includes the excess readmission ratios, the risk-factors for the discharges that factor into the calculation of the excess readmission ratio, as well as information about the readmissions associated with these discharges.”
After consideration of the public comments received, for the review and correction process, we are finalizing additional clarification on what constitutes a correction for the Hospital Readmissions Reduction Program. Specifically, requests to incorporate claims previously billed under a different CMS Certification Number (CCN) by recently acquired entities into calculations for a particular CCN shall not be considered a correction under the Hospital Readmissions Reduction Program.
H. Hospital Value-Based Purchasing (VBP) Program
1. Statutory Background
Section 1886(o) of the Act, as added by section 3001(a)(1) of the Affordable Care Act, requires the Secretary to establish a hospital value-based purchasing program (the Hospital Value-Based Purchasing (VBP) Program) under which value-based incentive payments are made in a fiscal year to hospitals that meet performance standards established for a performance period for such fiscal year. Both the performance standards and the performance period for a fiscal year are to be established by the Secretary.
Section 1886(o)(1)(B) of the Act states that the Hospital VBP Program applies to payments for hospital discharges occurring on or after October 1, 2012. In accordance with section 1886(o)(6)(A) of the Act, we are required to make value-based incentive payments under the Hospital VBP Program to hospitals that meet or exceed performance standards for a performance period for a fiscal year. As further required by section 1886(o)(6)(C)(ii)(I) of the Act, we base each hospital's value-based payment percentage on the hospital's Total Performance Score (TPS) for a specified performance period. In accordance with section 1886(o)(7) of the Act, the total amount available for value-based incentive payments for a fiscal year will be equal to the total amount of the payment reductions for all participating hospitals for such fiscal year, as estimated by the Secretary. For FY 2013, the available funding pool was equal to 1.00 percent of the base-operating DRG payments to all participating hospitals, as estimated by the Secretary, and the size of the applicable percentage will increase to 1.25 percent for FY 2014, 1.50 percent for FY 2015, 1.75 percent for FY 2016, and 2.0 percent for FY 2017 and successive fiscal years.
Section 1886(o)(1)(C) of the Act generally defines the term “hospital” for purposes of the Hospital VBP Program as a subsection (d) hospital (as that term is defined in section 1886(d)(1)(B) of the Act), but excludes from the definition of the term “hospital,” with respect to a fiscal year: (1) A hospital that is subject to the payment reduction under section 1886(b)(3)(B)(viii)(I) of the Act (the Hospital IQR Program) for such fiscal year; (2) a hospital for which, during the performance period for the fiscal year, the Secretary has cited deficiencies that pose immediate jeopardy to the health or safety of patients; and (3) a hospital for which there are not a minimum number (as determined by the Secretary) of measures that apply to the hospital for the performance period for the fiscal year involved, or for which there are not a minimum number (as determined by the Secretary) of cases for the measures that apply to the hospital for the performance period for such fiscal year.
Comment: Several commenters opposed the increased reduction to the base operating DRG payment amount for FY 2014 because they believed that the measures under the Hospital VBP Program were not adequately risk-adjusted.
Response: As noted above, the 1.25 percent reduction to base operating DRG payment amounts for FY 2014 is required by statute. It is a part of the gradual increase to 2.0 percent by 2017 in the applicable percent used to fund value-based incentive payments under the Hospital VBP Program.
Comment: One commenter asked whether CMS could combine all CMS incentive payment program adjustments that affect payment to subsection (d) hospitals under the IPPS into one aggregate annual percent update (APU) adjustment.
Response: While we appreciate the complexity of the multiple payment adjustments that are applicable to hospitals under various incentive payment programs, we are unable to combine the Hospital IQR Program, Hospital VBP Program, HAC Reduction Program, and Hospital Readmissions Reduction Program adjustments into one aggregate adjustment to the APU, because by law, they affect different portions of the Medicare payment made to subsection (d) hospitals under the IPPS. The Hospital IQR Program adjustment is made to the applicable percentage increase that applies to the standardized amount (referred to by the commenters as the APU), the HAC adjustment is a percentage reduction to the amount otherwise payable under the IPPS, and the Hospital VBP and Hospital Readmissions Reduction Programs' adjustments are made to the base operating DRG payment amount. We also believe that it is useful for hospitals to be able to distinguish the effect of each program, so that they can focus their resources for improvement.
2. Overview of the FY 2013 Hospital VBP Program
In April 2011, we issued the Hospital Inpatient VBP Program final rule to implement section 1886(o) of the Act (76 FR 26490 through 26547). As described more fully in that final rule, for the FY 2013 Hospital VBP Program, we adopted 13 measures, including 12 clinical process of care measures and 8 dimensions from the Hospital Consumer Assessment of Healthcare Providers and Systems Survey (HCAHPS) measure that we categorized into two domains (76 FR 26495 through 26511). We grouped the 12 clinical process-of-care measures into a clinical process of care domain, and placed the HCAHPS survey measure into a patient experience of care domain. We adopted a 3-quarter performance period from July 1, 2011 through March 31, 2012 for these measures (76 FR 26494 through 26495), and performance standards on which hospital performance would be evaluated. To determine whether a hospital meets or exceeds the performance standards for these measures, we assessed each hospital's achievement during this specified performance period, as well as its improvement during this period as compared with its performance during a 3-quarter baseline period from July 1, 2009 through March 31, 2010 (76 FR 26493 through 26495).
We then calculated a TPS for each hospital by combining the greater of the hospital's achievement or improvement points for each measure to determine a score for each domain, weighting each domain score (for the FY 2013 Hospital VBP Program, the weights were clinical process of care = 70 percent, patient experience of care = 30 percent), and adding together the weighted domain scores. We converted each hospital's TPS into a value-based incentive payment percentage using a linear exchange function and then converted the value-based incentive payment percentage into a per discharge value-based incentive payment amount. We incorporated the reduction to each hospital's base operating DRG payment amount for each discharge, as well as the value-based incentive payment amounts that the hospital earned as a result of its performance (if applicable) into our claims processing systems in January 2013, and these adjustments applied to FY 2013 discharges.
We finalized the Hospital VBP Program's payment adjustment calculation methodology, including codifying certain definitions related to the program, in the FY 2013 IPPS/LTCH PPS final rule (77 FR 53569 through 53571). We also finalized our methodology for estimating the total amount available for value-based incentive payments in a fiscal year under the Hospital VBP Program (77 FR 53571 through 53573), our methodology to calculate the value-based incentive payment adjustment factor (77 FR 53573 through 53576), the delayed application of the base-operating DRG payment amount reduction for FY 2013 discharges until incorporation of the value-based incentive payment adjustments into our claims processing system (77 FR 53577), and our process for reducing the base-operating DRG payment amount and applying the value-based incentive payment adjustment for FY 2013 (77 FR 53577 through 53578).
We refer readers to the Hospital Inpatient VBP Program final rule (76 FR 26490 through 26547), the CY 2012 OPPS/ASC final rule with comment period (76 FR 74527 through 74547) and the FY 2013 IPPS/LTCH PPS final rule (77 FR 53567 through 53614) for further explanation of the details of the FY 2013 Hospital VBP Program and our other finalized policies related to future fiscal years.
We received a number of general comments on the proposed rule related to the Hospital VBP Program.
Comment: Commenters requested that CMS begin the Hospital VBP demonstration programs authorized by the Affordable Care Act for small hospitals and critical access hospitals as soon as possible.
Response: We thank commenters for this input. We intend to begin those demonstrations as soon as is feasible within our planning and resource constraints.
Comment: Commenters were concerned about the level of risk-adjustment in use under the Hospital VBP Program, arguing that adjusting only for patients' age, illness severity, and for geographic payment adjustments is insufficient, particularly for urban and safety-net hospitals.
Response: We disagree. We believe that the Hospital VBP Program has adopted measures that incorporate risk-adjustment where appropriate, and we further believe that the risk-adjusted measures we have adopted for the Hospital VBP Program properly take into account hospital characteristics that impact the delivery of high-quality patient care.
Comment: Commenters requested that CMS post Hospital VBP Program performance information on the Hospital Compare Web site as soon as possible. Commenters noted, for example, that CMS has not yet posted any quantitative values for the PSI-90 measure on the Web site, even though the measure has been finalized for the FY 2015 Hospital VBP Program and proposed for inclusion in the HAC Reduction Program.
Response: In addition to the PSI-90 performance data that we have published on the Hospital Compare Web site in the past, we have also posted PSI-90 quantitative data on our data.medicare.gov Web site (https://data.medicare.gov/data/hospital-compare) as part of the Hospital IQR Program's public reporting display. We note that the July 2013 update for this measure was suppressed on this Web site, but we anticipate updating the quantitative data later in 2013. We intend to continue posting performance data for each fiscal year on the Web site, including scoring information on PSI-90 for the FY 2015 Hospital VBP Program, in the future.
3. FY 2014 Payment Details
Section 1886(o)(7)(B) of the Act instructs the Secretary to reduce the base operating DRG payment amount for a hospital for each discharge in a fiscal year by an applicable percent. Under section 1886(o)(7)(A) of the Act, the sum total of these reductions in a fiscal year must equal the total amount available for value-based incentive payments for all eligible hospitals for the fiscal year, as estimated by the Secretary. We finalized details on how we would implement these provisions in the FY 2013 IPPS/LTCH PPS final rule (77 FR 53571 through 53573), and refer readers to that final rule for more details.
Under section 1886(o)(7)(c)(ii) of the Act, the applicable percent for the FY 2014 Hospital VBP Program is 1.25 percent. In the FY 2014 IPPS/LTCH PPS proposed rule (78 FR 27607), we estimated that the total amount available for value-based incentive payments for FY 2014 is $1.1 billion, based on the December 2012 update of the FY 2012 MedPAR file. We stated that we intended to update this estimate for the final rule, using the March 2013 update of the FY 2012 MedPAR file. Based on the March 2013 update of the FY 2012 MedPAR file, we continue to estimate that the amount available for value-based incentive payments for FY 2014 is $1.1 billion.
As finalized in the FY 2013 IPPS/LTCH PPS final rule, as referenced above, we will utilize a linear exchange function to translate this estimated amount available into a value-based incentive payment percentage for each hospital, based on its TPS. We will then calculate a value-based incentive payment adjustment factor which will be applied to the base operating DRG payment amount for each discharge occurring in FY 2014, on a per-claim basis. We published proxy value-based incentive payment adjustment factors in Table 16 of the FY 2014 IPPS/LTCH PPS proposed rule (which is available on the CMS Web site). The proxy factors are based on the TPSs from the FY 2013 Hospital VBP Program. These FY 2013 performance scores are the most recently available performance scores that hospitals have been given the opportunity to review and correct. We stated that the slope of the linear exchange function used to calculate those proxy value-based incentive payment adjustment factors was 1.8362446088. This slope, along with the estimated amount available for value-based incentive payments, was also published in Table 16. As we indicated in the FY 2014 IPPS/LTCH PPS proposed rule (78 FR 27607), we are updating this table, as Table 16A, in this final rule (which is available on the CMS Web site) to reflect changes based on the March 2013 update to the FY 2012 MedPAR file. The slope of the linear exchange function used to calculate those updated proxy value-based incentive payment adjustment factors is 1.8363321306. The updated proxy value-based incentive payment adjustment factors for FY 2014 continue to be based on historic FY 2013 Program TPSs because hospitals will not have been given the opportunity to review and correct their actual TPSs for the FY 2014 Hospital VBP Program until after the final rule is published. After hospitals have been given an opportunity to review and correct their actual TPSs for FY 2014, we will add a new table, Table 16B (which will be available on the CMS Web site) to display the actual value-based incentive payment adjustment factors, exchange function slope, and estimated amount available for the FY 2014 Hospital VBP Program. We expect that Table 16B will be posted on the CMS Web site in October 2013.
4. FY 2014 Hospital VBP Program Measures
For FY 2014, we adopted 17 measures for the Hospital VBP Program, including the 12 clinical process of care measures and the HCAHPS measure that we adopted for the FY 2013 Hospital VBP Program, 1 new clinical process of care measure (SCIP-Inf-9: Postoperative Urinary Catheter Removal on Postoperative Day 1 or 2), and 3 mortality outcome measures (Acute Myocardial Infarction (AMI) 30-Day Mortality Rate, Heart Failure (HF) 30-Day Mortality Rate, Pneumonia (PN) 30-Day Mortality Rate). The clinical process of care, HCAHPS, and mortality measures are discussed in more detail in the Hospital Inpatient VBP Program final rule (76 FR 26510 through 26511) and SCIP-Inf-9 is discussed in more detail in the CY 2012 OPPS/ASC final rule with comment period (76 FR 74530).
We previously adopted 8 HAC measures, 2 AHRQ composite measures, and a Medicare Spending per Beneficiary (MSPB) measure for the FY 2014 Hospital VBP Program, then suspended the effective dates of these measures, with the result that these measures were not included in the FY 2014 Hospital VBP Program (76 FR 74528 through 74530). However, as discussed further below, we finalized adoption of a MSPB measure and an AHRQ composite measure for the FY 2015 Hospital VBP Program in the FY 2013 IPPS/LTCH PPS final rule (77 FR 53582 through 53592).
Set out below is a complete list of the measures we adopted for the FY 2014 Hospital VBP Program:
| Measure ID | Measure description |
|---|---|
| * The finalized dimensions of the HCAHPS survey for use in the FY 2014 Hospital VBP Program are: Communication with Nurses, Communication with Doctors, Responsiveness of Hospital Staff, Pain Management, Communication about Medicines, Cleanliness and Quietness of Hospital Environment, Discharge Information and Overall Rating of Hospital. These are the same dimensions that we adopted for the FY 2013 Hospital VBP Program. | |
| Clinical Process of Care Measures | |
| Acute myocardial infarction: | |
| AMI-7a | Fibrinolytic Therapy Received Within 30 Minutes of Hospital Arrival. |
| AMI-8a | Primary PCI Received Within 90 Minutes of Hospital Arrival. |
| Heart Failure: | |
| HF-1 | Discharge Instructions. |
| Pneumonia: | |
| PN-3b | Blood Cultures Performed in the Emergency Department Prior to Initial Antibiotic Received in Hospital. |
| PN-6 | Initial Antibiotic Selection for CAP in Immunocompetent Patient. |
| Healthcare-associated infections: | |
| SCIP-Inf-1 | Prophylactic Antibiotic Received Within One Hour Prior to Surgical Incision. |
| SCIP-Inf-2 | Prophylactic Antibiotic Selection for Surgical Patients. |
| SCIP-Inf-3 | Prophylactic Antibiotics Discontinued Within 24 Hours After Surgery End Time. |
| SCIP-Inf-4 | Cardiac Surgery Patients with Controlled 6AM Postoperative Serum Glucose. |
| SCIP-Inf-9 | Postoperative Urinary Catheter Removal on Post Operative Day 1 or 2. |
| Surgeries: | |
| SCIP-Card-2 | Surgery Patients on a Beta Blocker Prior to Arrival That Received a Beta Blocker During the Perioperative Period. |
| SCIP-VTE-1 | Surgery Patients with Recommended Venous Thromboembolism Prophylaxis Ordered. |
| SCIP-VTE-2 | Surgery Patients Who Received Appropriate Venous Thromboembolism Prophylaxis Within 24 Hours Prior to Surgery to 24 Hours After Surgery. |
| Patient Experience of Care Measures | |
| HCAHPS | Hospital Consumer Assessment of Healthcare Providers and Systems Survey*. |
| Outcome Measures | |
| MORT-30-AMI | Acute Myocardial Infarction (AMI) 30-Day Mortality Rate. |
| MORT-30-HF | Heart Failure (HF) 30-Day Mortality Rate. |
| MORT-30 PN | Pneumonia (PN) 30-Day Mortality Rate. |
5. FY 2015 Hospital VBP Program Measures
In the FY 2013 IPPS/LTCH PPS final rule (77 FR 53582 through 53592), we adopted 12 Clinical Process of Care measures, one Patient Experience of Care measure in the form of the HCAHPS survey, 5 Outcome measures, including three 30-day mortality measures, the AHRQ PSI composite measure, and the CLABSI measure, and one Efficiency measure for the FY 2015 Hospital VBP Program.
We did not adopt two clinical process measures (SCIP-Inf-10 and AMI-10) that we determined were “topped-out” according to our criteria finalized in the Hospital Inpatient VBP Program final rule (76 FR 26496 through 26497). We also did not adopt SCIP-VTE-1 for the FY 2015 Hospital VBP Program because we believed that the measure is very similar to another measure we have adopted for the program (SCIP-VTE-2) and, in our view, is not as closely linked to better surgical outcomes because it assesses the ordering of VTE prophylaxis, rather than the patient's actual receipt of such prophylaxis within 24 hours of surgery. We also noted that, during a recent maintenance review of SCIP- VTE-1, the National Quality Forum (NQF) concluded that it would no longer endorse this measure.
Set out below is a complete list of the measures we adopted for the FY 2015 Hospital VBP Program:
| Measure ID | Measure description |
|---|---|
| * Dimensions of the HCAHPS survey for use in the FY 2015 Hospital VBP Program are: Communication with Nurses, Communication with Doctors, Responsiveness of Hospital Staff, Pain Management, Communication about Medicines, Cleanliness and Quietness of Hospital Environment, Discharge Information and Overall Rating of Hospital. These are the same dimensions of the HCAHPS survey that have been finalized for prior Hospital VBP Program years. | |
| Clinical Process of Care Measures | |
| AMI-7a | Fibrinolytic Therapy Received Within 30 Minutes of Hospital Arrival. |
| AMI-8a | Primary PCI Received Within 90 Minutes of Hospital Arrival. |
| HF-1 | Discharge Instructions. |
| PN-3b | Blood Cultures Performed in the Emergency Department Prior to Initial Antibiotic Received in Hospital. |
| PN-6 | Initial Antibiotic Selection for CAP in Immunocompetent Patient. |
| SCIP-Inf-1 | Prophylactic Antibiotic Received Within One Hour Prior to Surgical Incision. |
| SCIP-Inf-2 | Prophylactic Antibiotic Selection for Surgical Patients. |
| SCIP-Inf-3 | Prophylactic Antibiotics Discontinued Within 24 Hours After Surgery End Time. |
| SCIP-Inf-4 | Cardiac Surgery Patients with Controlled 6AM Postoperative Serum Glucose. |
| SCIP-Inf-9 | Urinary Catheter Removed on Postoperative Day 1 or Postoperative Day 2. |
| SCIP-Card-2 | Surgery Patients on Beta-Blocker Therapy Prior to Arrival Who Received a Beta-Blocker During the Perioperative Period. |
| SCIP-VTE-2 | Surgery Patients Who Received Appropriate Venous Thromboembolism Prophylaxes Within 24 Hours Prior to Surgery to 24 Hours After Surgery. |
| Patient Experience Measures | |
| HCAHPS* | Hospital Consumer Assessment of Healthcare Providers and Systems Survey. |
| Outcome Measures | |
| AHRQ PSI composite | Complication/patient safety for selected indicators (composite). |
| CLABSI | Central Line-Associated Blood Stream Infection. |
| MORT-30-AMI | Acute Myocardial Infarction (AMI) 30-day mortality rate. |
| MORT-30-HF | Heart Failure (HF) 30-day mortality rate. |
| MORT-30-PN | Pneumonia (PN) 30-day mortality rate. |
| Efficiency Measures | |
| MSPB-1 | Medicare Spending per Beneficiary. |
6. FY 2016 Hospital VBP Program Measures
a. Measures Previously Adopted and Removal of AMI-8a, PN-3b, and HF-1
In the FY 2013 IPPS/LTCH PPS final rule (77 FR 53592 through 53593), we adopted for the FY 2016 Hospital VBP Program the three 30-day mortality measures that we had finalized for the Hospital VBP Program for FYs 2014 and 2015. We also adopted the AHRQ patient safety composite (PSI-90) for the Hospital VBP Program for FY 2016. We adopted those measures at that time in order to adopt a longer performance period and collect more data for performance scoring than would be possible if we waited to make those proposals until this proposed rule. We also adopted those measures at that time because we recognized that under section 1886(o)(3)(C) of the Act, we must establish and announce performance standards not later than 60 days prior to the beginning of the performance period for the fiscal year involved. We also automatically readopted the remaining FY 2015 measures (with the exception of the CLABSI measure), in accordance with our policy of automatic readoption of measures (77 FR 53592).
In the FY 2014 IPPS/LTCH PPS proposed rule (78 FR 27609), we proposed to remove three measures from the measure set previously adopted that we have discussed above. First, we analyzed the clinical process of care measures for “topped out” status and concluded that AMI-8a: Primary PCI Received within 90 Minutes of Hospital Arrival is “topped-out.” Our methodology for evaluating whether a measure is topped-out focuses on two criteria: (1) National measure data show statistically indistinguishable performance levels at the 75th and 90th percentiles; and (2) national measure data show a truncated coefficient of variation (TCV) less than 0.10. We believe that topped-out measures should not be included in the Hospital VBP Program because measuring hospital performance on those measures has no meaningful effect on a hospital's TPS. Therefore, in the FY 2014 IPPS/LTCH PPS proposed rule we proposed to remove AMI-8a from the FY 2016 Hospital VBP Program measure set.
We welcomed public comments on our proposal to remove AMI-8a from the FY 2016 Hospital VBP Program measure set and on whether any other existing Hospital VBP Program measures are topped-out and, therefore, should be removed from the previously adopted FY 2016 measure set. We stated our intent to update our topped-out analysis using the most recently available data and to announce in the FY 2014 IPPS/LTCH PPS final rule whether any of the other FY 2016 measures will be removed due to topped-out status.
We completed an analysis of the proposed and readopted Clinical Process of Care measures based on CY 2012 data. We have concluded that, in addition to AMI-8a discussed above, SCIP-Inf-1 now meets our criteria for being “topped out,” and we will therefore remove the measure for FY 2016 and subsequent years.
Second, we proposed to remove PN-3b, Blood Cultures Performed in the Emergency Department Prior to Initial Antibiotic Received in Hospital, and HF-1, Discharge Instructions, from the FY 2016 Hospital VBP Program. Both PN-3b and HF-1 are no longer endorsed by the NQF, and we noted that in its 2013 Pre-Rulemaking Report, the Measure Applications Partnership (MAP) did not recommend those measures for use in the Hospital VBP Program.
As of February 28, 2012, the NQF Pneumonia Thoracic CT Work Group of the Pulmonary and Critical Care Endorsement Maintenance Project believed there was insufficient evidence that performing blood cultures prior to initiation of antibiotics led to better outcomes. The workgroup also cited significant issues with documentation of the timing of the blood cultures with respect to the initiation of the antibiotics. Documentation is often done retrospectively providing opportunities for data entry errors. The issue is compounded with EHRs as data entry is electronically time-stamped and may not accurately indicate when blood cultures were drawn or antibiotics given. Although the measure is currently chart-abstracted, the data might be abstracted from an EHR, instead of from a paper record.
We noted further that NQF reviewed HF-1 during the summer of 2012. The NQF Steering Committee determined that there was insufficient evidence to link the HF-1 measure of discharge instructions with better outcomes. The committee noted that discharge instructions, as measured by HF-1, did not cover several important issues, including patient understanding of the instructions and their appropriateness for patients' education and literacy levels.
Therefore, we stated that we do not believe that these measures appropriately capture relevant inpatient quality information for purposes of the Hospital VBP Program, and, as indicated above, we proposed to remove them from the FY 2016 Hospital VBP Program.
We welcomed public comments on our proposals on removing measures from the FY 2016 Hospital VBP Program.
Comment: Many commenters supported the proposal to remove AMI-8a, HF-1, and PN-3b from the FY 2016 Hospital VBP Program.
Response: We thank commenters for their support.
Comment: Some commenters expressed concern about the proposals not to adopt “topped out” measures, arguing that CMS had not proposed to monitor performance on these measures to ensure that it does not decrease. Other commenters argued that CMS should not remove AMI-8a from the measure set due to its importance to quality improvement efforts and its adoption by The Joint Commission.
Response: We appreciate commenters' concerns. However, as we indicated in the Hospital Inpatient VBP Program final rule (76 FR 26496), we believe that measuring hospital performance on topped-out measures would have no meaningful effect on a hospital's total performance score. We therefore do not believe it is appropriate to adopt Clinical Process of Care measures for the Hospital VBP Program when they are “topped out” according to our finalized criteria. However, we intend to continue to work with quality measurement stakeholders to ensure that performance on measure topics covered by “topped out” measures does not drop significantly.
Comment: Some commenters supported the proposal to remove HF-1 from the FY 2016 measure set, but expressed concern about the numerous heart failure measures that are no longer included in the program. Commenters urged CMS to work with stakeholders to develop and implement more heart failure measures.
Response: We thank commenters for the suggestion, and intend to continue working with stakeholders to develop robust quality measures, particularly in areas of clinical need.
Comment: Some commenters expressed concerns about the proposal not to adopt HF-1 for the FY 2016 Program. Commenters noted that the STK-8 measure requires similar discharge processes for the stroke patient population, but was not proposed for removal. Commenters argued that any lack of evidence linking hospital discharge processes to patient outcomes should apply to both measures.
Response: We thank commenters for the input, but note that STK-8 has never been proposed or adopted for the Hospital VBP Program. As discussed above, our proposal not to adopt HF-1 for FY 2016 is based in part on NQF's review of the measure, which concluded that there is insufficient evidence to link it with better outcomes. We will consider any such reviews of STK-8 in rulemaking on the Hospital IQR Program.
Comment: Some commenters expressed specific support for the proposal not to adopt HF-1 for the FY 2016 Hospital VBP Program. Commenters suggested that CMS consider adopting a measure of post-discharge appointments for heart failure patients, which commenters noted will be submitted to NQF during its next call for cardiovascular measures. Commenters further suggested that CMS consider additional measures in this clinical area, including beta blocker therapy for left ventricular systolic dysfunction and time to intravenous thrombolytic therapy. One commenter also argued that diligence on the measure has not improved outcomes for heart failure patients.
Response: We thank commenters for these suggestions. Under section 1886(o)(2)(A) of the Act, the Hospital VBP Program may only adopt measures that have been specified under the Hospital IQR Program. We will consider these measure topics in the future if they become available to us under the Hospital VBP Program's statutory requirements.
We did not receive any comments on our intention to update the “topped-out” analysis using the most recent data. After consideration of the public comments we received, we are finalizing our proposal to remove AMI-8a, HF-1, PN-3b, and SCIP-Inf-1 from the FY 2016 Hospital VBP Program.
b. New Measures for the FY 2016 Hospital VBP Program
In the FY 2014 IPPS/LTCH PPS proposed rule (78 FR 27609 through 27611), we considered if we should adopt additional measures for the FY 2016 Hospital VBP Program. We considered what measures are eligible for adoption based on the statutory requirements, including specification under the Hospital IQR Program and posting dates on the Hospital Compare Web site, as well as our priorities for quality improvement as outlined in the National Quality Strategy, which is available for download at http://www.healthcare.gov/news/reports/nationalqualitystrategy032011.pdf.
We stated that we believe the following measures meet the statutory requirements for inclusion in the Hospital VBP Program. We also stated that we believe that these measures represent important components of quality improvement in the acute inpatient hospital setting.
Influenza Immunization (IMM-2, NQF #1659) is a chart-abstracted prevention measure that addresses acute care hospitalized inpatients age 6 months or older who were screened for seasonal influenza immunization status and were vaccinated prior to discharge, if indicated. We believe this measure is important to quality improvement efforts because about 36,000 adults die and over 200,000 are hospitalized annually for flu-related causes. Older adults are more vulnerable to influenza, and adults over age 65 comprise about 90 percent of deaths related to flu. Vaccinations can significantly reduce the number of flu-related illnesses and deaths.
This measure was incorporated into the Hospital IQR Program for FY 2014 in the FY 2011 IPPS/LTCH PPS final rule (75 FR 50211), and data collection began with January 1, 2012 discharges. Measure data were posted on Hospital Compare on December 13, 2012, and MAP supported its inclusion in the Hospital VBP Program in its February 2013 report (available at http://www.qualityforum.org/Publications/2013/02/MAP_Pre-Rulemaking_Report_-_February_2013.aspx), noting that it addresses a high-impact condition not adequately addressed in the program's current measure set. Therefore, we proposed to adopt IMM-2 into the Clinical Process of Care domain for the FY 2016 Hospital VBP Program.
Comment: Numerous commenters urged CMS strongly to finalize the proposal to adopt IMM-2, congratulating CMS on recognizing the value of immunization measures. Commenters also suggested that CMS consider other preventative measures, such as immunizations for diphtheria, tetanus, and pertussis for patients during inpatient stays. Some commenters suggested that the IMM-2 measures should be inclusive of all influenza vaccinations available to patients and clinicians today.
Response: We thank commenters for their support. As described above, we will consider new measures for the Hospital VBP Program as they become available to us under the statutory requirements. We will consider comments on the specific vaccinations that should count towards the IMM-2 measure as we continue working with measure developers to refine quality measures.
Comment: Some commenters opposed adoption of IMM-2, arguing that many patients receive this immunization prior to hospital admission, complicating its measurement by participating hospitals.
Response: The IMM-2 measure does not require that all patients be immunized, but rather, that they “are screened for seasonal influenza immunization status and were vaccinated prior to discharge if indicated.” We believe that screening patients for appropriate immunizations is an important component of care provided during acute hospitalizations.
After consideration of the public comments we received, we are finalizing our proposal to adopt IMM-2 for the FY 2016 Hospital VBP Program.
Catheter-Associated Urinary Tract Infection (CAUTI, NQF #0138) is an HAI measure reported via CDC's National Healthcare Safety Network (NHSN). This measure is important to quality improvement efforts because the urinary tract is the most common site of HAIs, accounting for more than 30 percent of infections reported by acute care hospitals. Complications associated with CAUTI cause discomfort to patients, prolonged hospital stays, increased costs, and mortality. More than 13,000 deaths each year are associated with UTIs.
This measure was finalized for the Hospital IQR Program in the FY 2012 IPPS/LTCH PPS final rule (76 FR 51617 through 51618), and data collection began with January 1, 2012 discharges. Measure data were posted on Hospital Compare on December 13, 2012, and MAP supported its inclusion in the Hospital VBP Program in its February 2013 report, noting that it addresses the National Quality Strategy (NQS) priorities not adequately addressed in the program's current measure set. Therefore, we proposed to adopt the NHSN CAUTI measure into the Outcome domain for the FY 2016 Hospital VBP Program.
Surgical Site Infection (SSI, NQF #0753) is an HAI measure reported via CDC's NHSN. As currently specified under the Hospital IQR Program, the measure is restricted to colon procedures, including incision, resection, or anastomosis of the large intestine, and large-to-small and small-to-large bowel anastomosis, and abdominal hysterectomy procedures, including those done by laparoscope. The measure is reported separately on Hospital Compare for those two surgery sites, and does not include rectal operations.
This measure was incorporated into the Hospital IQR Program in the FY 2011 IPPS/LTCH PPS final rule (75 FR 50211), and data collection began with January 1, 2012 discharges. Measure data were posted on Hospital Compare on December 13, 2012, and MAP supported its inclusion in the Hospital VBP Program in its February 2013 report, noting that it addresses NQS priorities not adequately addressed in the program's current measure set. The SSI measure was stratified by surgery site when it was adopted for the Hospital IQR Program, and is both collected and publicly reported as a stratified measure. However, because we adopted SSI as one measure under the Hospital IQR Program, in the FY 2014 IPPS/LTCH PPS proposed rule (78 FR 27610), we proposed to score the measure for purposes of the Hospital VBP Program as a weighted average of the measure's strata by applicable cases per stratum. Under this proposed scoring methodology, if a hospital meets the Hospital IQR Program's threshold for public display of its SSI measure strata scores during a Hospital VBP performance period—that is, at least one predicted infection during the applicable time period—we will calculate a weighted average of the measure's strata to score under the Hospital VBP Program.
We stated our belief that this proposal enables us to score participating hospitals on the underlying components of the SSI measure fairly. We noted further that, for purposes of calculating performance standards displayed subsequently, we would equally weight the SSI measure's strata. We sought public comment on our proposed adoption of this measure and its proposed scoring methodology under the Hospital VBP Program.
We adopted the NHSN-based CLABSI measure in the FY 2013 IPPS/LTCH PPS final rule (77 FR 53583), and refer readers to that regulation for further discussion of the measure. We stated that we continue to believe that the CLABSI measure is consistent with the Hospital VBP Program's statutory requirement that we consider measures of HAIs for the FY 2013 Hospital VBP Program's measure set. We also noted that the measure was included in the HHS Action Plan to Prevent HAIs, which is referenced in section 1886(o)(2)(B)(i)(I)(ee) of the Act.
In the FY 2013 IPPS/LTCH PPS final rule, we stated that we would not automatically readopt CLABSI for the FY 2016 Program (77 FR 53592), although we stated our intent to adopt the measure in the future. We did not automatically readopt CLABSI because we understood that CDC was planning to submit a revised version of this measure to NQF for endorsement, and that there may have been substantive changes to the measure associated with reliability adjustment to the standardized infection ratio.
The reliability-adjusted standardized infection ratio (SIR) is an outcome measure that summarizes the healthcare-associated infection experience by type of infection (for example, central-line associated bloodstream infection, surgical site infection) for individual hospitals. The reliability-adjusted measure enables more meaningful statistical differentiation between hospitals by accounting for differences in patient case-mix, exposures to medical devices or procedures (for example, central line-days, surgical procedure volume), and unmeasured factors that are not reflected in the unadjusted SIR and that cause variation in outcomes between hospitals. Accounting for these sources of variability enables better measure discrimination between hospitals and leads to more reliable quality measurements.
We stated that we are aware the CDC has submitted the reliability-adjusted version of the CLABSI measure to the NQF for endorsement. We noted further that, in its February 2013 report, MAP recommended adoption of the reliability-adjusted CLABSI measure “contingent on NQF endorsement,” and noted that the “most recent NQF-endorsed version should be applied.” We stated our belief that our proposal to adopt the current CLABSI measure is consistent with this recommendation, and we stated our intent to consider adopting the reliability-adjusted CLABSI measure in future rulemaking.
We stated our intent to monitor CDC's activity on this measure, particularly as it moves toward reliability adjustment, and intent to adopt the revised measure in future program years. However, in the absence of NQF endorsement of the reliability-adjusted measure, unless and until the Hospital IQR Program adopts the reliability adjustments, in the FY 2014 IPPS/LTCH PPS proposed rule (78 FR 27610 through 27611), we proposed to adopt the CLABSI measure as it currently exists into the Outcome domain for the FY 2016 Hospital VBP Program.
Comment: Some commenters noted that NHSN has initiated a CAUTI review and revision process, and requested that CMS reconsider its proposal to adopt the measure until that process has been completed.
Response: We do not agree with the commenters' suggestion. We intend to monitor any changes made to the CAUTI measure, or any other measures that we have proposed for the program. However, we believe strongly that hospitals must be encouraged through the Hospital VBP Program to minimize infection events that present significant health risks to patients. We also believe that the CAUTI measure provides information critical to this quality improvement effort by tracking infection events.
Comment: Commenters requested that CMS clarify whether or not it will include CAUTI's expansion into non-ICU settings in the Hospital VBP Program.
Response: We may consider adopting the expanded CAUTI measure in future rulemaking. If we decide to adopt the expanded measure, we will do so in accordance with the Hospital VBP Program's statutory requirements.
Comment: Some commenters requested that CMS consider revising the CAUTI measure before adopting it for the Hospital VBP Program, and argued that the measure should exclude certain patients and should allow doctors some discretion in catheter removal in order to avoid complications. Commenters also argued that CAUTI has not been subject to sufficient data validation and that the measure has undergone definition changes effective January 1, 2013.
Response: We disagree. As described above, we believe that CAUTI is an important measure for patient safety and quality improvement efforts. CAUTI addresses an NQS priority, and has been recommended for adoption into the Hospital VBP Program by the MAP. Further, the Hospital VBP Program awards value-based incentive payments based on data submitted through the Hospital IQR Program. The Hospital VBP Program is therefore dependent on Hospital IQR data, and unless and until the CAUTI measure is revised under Hospital IQR, we do not believe it to be appropriate to revise it under the Hospital VBP Program. We also believe that the CAUTI measure, as currently structured, is sufficiently reliable for scoring purposes under the Hospital VBP Program.
Comment: Some commenters expressed support for the continued adoption of the NHSN CLABSI measure, as well as adoption of the NHSN CAUTI and SSI measures. Commenters further stated their support for the proposal to stratify the SSI measure for reporting and scoring purposes. Commenters requested that CMS work with CDC to ensure that performance data for these measures are made available to facilities as soon as possible.
Response: We thank commenters for their support. We intend to continue distributing hospitals' performance information via our Program's scoring reports, and hospitals should also have had a chance to review their data submissions through the Hospital IQR Program.
Comment: Commenters suggested that CLABSI and CAUTI should be reliability-adjusted before their adoption into the Hospital VBP Program.
Response: We disagree. While we understand that CDC is undertaking an effort to adjust its NHSN measures' reliability, we do not believe that we should wait for that effort to conclude before adopting these measures for purposes of the Hospital VBP Program. CAUTI, CLABSI, and SSI all track infections that present real health risks to patients, and we believe it is critical to quality improvement and patient safety to ensure that hospitals are making every possible effort to minimize those infection events. We believe that these measures, in their current forms, are sufficiently reliable for scoring purposes under the Hospital VBP Program. However, if the Hospital IQR Program should adopt reliability-adjusted versions of these measures in the future, we will consider how to adopt them into the Hospital VBP Program.
Comment: Some commenters were opposed to the proposal to adopt NHSN measures that are also proposed for the HAC Reduction Program, arguing that hospitals would therefore be subjected to “double jeopardy.” Some commenters also argued that the Affordable Care Act expressly prohibits measure duplication between the Hospital Readmissions Reduction Program and the Hospital VBP Program.
Response: Section 1886(o)(2)(A) of the Act states that, for purposes of the Hospital VBP Program, the Secretary “shall select measures other than measures of readmissions.” We have interpreted this requirement solely to prohibit the adoption of measures of readmissions under the Hospital VBP Program.
While we are aware that some commenters object to the possibility of scoring the CAUTI and CLABSI measures under both the Hospital VBP and HAC Reduction Programs, we note that these measures cover topics of critical importance to quality improvement in the inpatient hospital setting, and to patient safety. The NHSN measures that we have proposed to adopt track infections that could cause significant health risks to Medicare patients, and we believe it is appropriate to provide incentives for hospitals to avoid them under more than one program.
Comment: Some commenters expressed concern about the proposal to adopt CLABSI for the FY 2016 Hospital VBP Program, because they believed that there is significant variation in coding for this condition. Commenters requested that CMS adopt CDC's guidelines for identifying and reporting the CLABSI measure, and suggested that CMS discontinue use of the current CLABSI measure once its reliability-adjusted version is available.
Response: It is our understanding that the reliability-adjusted CLABSI measure is not currently NQF-endorsed. The MAP does not recommend adopting the reliability-adjusted CLASBI measure until it has been endorsed by NQF. In addition, the Hospital VBP Program only uses measures adopted by the Hospital IQR Program, and measure data collected by the Hospital IQR Program. Given the importance that we place on measures of outcomes, as well as on the CLABSI measure's topic of infection events that could cause health risks to patients, we believe that adopting the measure as currently structured represents the best policy to ensure that hospitals are incentivized to provide high-quality care that minimizes these infections.
Comment: Some commenters suggested that CMS align the Hospital VBP, HAC Reduction, and Hospital Readmissions Reduction Programs to avoid measure duplication. Commenters argued that some proposed Outcome measures are more properly placed in the HAC Reduction Program, which could be considered the Hospital VBP Program's Safety domain under the proposed realigned domains.
Response: We disagree. While we continue to align our quality measurement and pay-for-performance programs in order to minimize provider burden and incentivize high-quality care, we do not believe it to be feasible at this time to treat one of our quality programs as a component of another quality program. We believe that it would present significant methodological challenges to combine performance scores from separate programs. However, as part of our ongoing alignment work, we will continue examining these issues. We note further that by adopting certain Outcome measures into more than one quality program, we believe we may encourage hospitals to focus intently on these measures, which we note capture information important to patient safety and to quality improvement efforts.
Comment: Commenters supported the proposal to adopt the NHSN SSI measure, noting that it is NQF-endorsed and provides critical information for tracking and reducing infections. Some commenters cautioned, however, that it should be validated and further risk-adjusted before being adopted under the Hospital VBP Program.
Response: The SSI measure is risk-adjusted based on the patient's age and American Society of Anesthesiologists (ASA) score, a global score that assesses the physical status of patients before surgery. We refer commenters to http://www.cdc.gov/nhsn/PDFs/FINAL-ACH-SSI-Guidance.pdf for more information on risk-adjustment performed on the SSI measure. SSI validation is performed as part of the Hospital IQR Program's validation of HAI measures. We believe these risk-adjustment and validation processes to be sufficient for purposes of ensuring the accuracy of the data under the Hospital VBP Program.
Comment: Commenters suggested that CMS consider removing SCIP-Inf-9, Post-Operative Urinary Catheter Removal on Post-Op Day 1 or Day 2, from the Hospital VBP Program in favor of the proposed CAUTI measure. Commenters argued that the process measure is less meaningful than measures of the rate of CAUTI in a hospital.
Response: We thank commenters for the suggestion. However, SCIP-Inf-9 is not currently “topped out,” meaning that hospitals have not, in the aggregate, reached high enough performance on the measure to merit removing it according to those finalized criteria. Further, we believe that the two measures complement each other and appropriately encourage hospitals to focus on performance improvement in this clinical area. As we stated in the Hospital Inpatient VBP Program final rule (76 FR 26491), we believe that public reporting and value-based payment systems should rely on a mix of standards, process, outcomes, and patient experience measures, including measures of care transitions and changes in patient functional status.
Comment: Commenters argued that CMS should delay adopting the SSI measure for the Hospital VBP Program because the current CDC risk-adjustment methods are insufficient to ensure fair comparisons between hospitals. Commenters argued that the impacts of teaching status and bed size should be visible to the public, and requested that CMS delay adopting SSI until new risk-adjustment models are validated.
Response: As described above, the SSI measure is already risk-adjusted, and is subject to validation under the Hospital IQR Program. We note further that the SSI measure addresses the HHS NQS priority of “Safety.” The measure is NQF-endorsed and has been recommended for inclusion in the Hospital VBP Program by the MAP. We therefore believe that the measure will fairly represent hospitals' performance at controlling measured surgical site infections, and do not believe we should delay its adoption into the Hospital VBP Program.
Comment: Commenters raised concerns about the proposed weighted-average SIR calculation for SSI, noting that differences in post-surgical surveillance programs, lacking data validation, problems with small volume calculations, and risk-adjustment could all present issues for our proposed scoring methodology. Some commenters suggested that CMS weight the SSI measure's strata based on national procedure volume for each surgical site, or that CMS weight the strata by predicted number of infections.
Response: We thank commenters for their feedback. We do not believe that weighting the underlying SSI strata by national procedure volume would appropriately capture each hospital's patient mix, and could result in hospitals being scored unfairly. However, we concur with commenters' suggestions that we incorporate hospitals' predicted infections into our strata scoring.
We continue to believe that we must score the SSI measure's strata separately, but have reconsidered our proposal to create a weighted-average SIR based on applicable cases per stratum. In response to public comments, we will finalize instead a policy under which we will award achievement and improvement points to each stratum of the SSI measure, then compute a weighted average of the points awarded to each stratum by predicted infections. The weighted average of the points awarded will be the hospital's SSI measure score.
As an example, a hospital that received 5 improvement points for the SSI-Colon stratum, with 1.0 predicted SSI-Colon infections, and 8 achievement points for the SSI-Abdominal Hysterectomy stratum, with 2.0 predicted SSI-Abdominal Hysterectomy infections, would receive a composite SSI measure score as follows:
((5 * 1.0) + (8 * 2.0))/(1.0 + 2.0) = 7 points
We believe this finalized policy appropriately addresses commenters' concerns about creating a weighted-average SIR, and instead computes a weighted-average SSI score that reflects each individual hospital's patient mix and risk-profile.
Comment: Commenters argued that CMS should consider expanding the Hospital VBP Program to include clinical topics with larger measured differences among hospitals. Some commenters specifically suggested that CMS invest in development and testing of palliative care measures for the hospital population to ensure that quality measurement does not overlook the preferences and care needs of seriously ill patients. Other commenters suggested that CMS consider new measures for the program, such as complication rates following hip and knee replacement and other topics. Commenters also suggested that CMS consider measures related to smoking cessation, immunizations, urinary incontinence, pain assessment, imaging resource use, and other topics.
Response: We thank commenters for these suggestions. We intend to continue adding to the Hospital VBP Program's measure set as new measures and topics become available to us under the statutory requirements.
Comment: Some commenters were opposed to further adoption of the AHRQ PSI composite measure for the Hospital VBP Program, citing concerns about non-uniform coding for its underlying indicators. Commenters also argued that the measure's structure makes it difficult for hospitals to identify the specific cases during which measured events occur, and noted that the MAP did not believe the measure should be tied to payment. Commenters further argued that the measure is not appropriately risk-adjusted and may exaggerate problems at hospitals that treat sicker or more complex patients.
Response: We believe that adopting the AHRQ PSI composite measure provides strong incentives for hospitals to ensure that patients are not harmed by the medical care they receive, which is a critical consideration for quality improvement. As we stated in the FY 2013 IPPS/LTCH PPS final rule (77 FR 53589 through 53590), we are particularly concerned about the effects that not finalizing the AHRQ PSI composite might have on hospitals' quality performance. We believe that the PSI measure, as a composite measure of patient safety, appropriately encourages robust hospital attention to patient safety events. As we have stated in prior rulemaking, we believe that the Hospital VBP Program drives quality improvement in the acute inpatient setting, and we believe strongly that measures of patient safety, such as the AHRQ PSI measure and the NHSN measures, are important metrics on which hospitals should focus their quality improvement efforts.
On the subject of the PSI composite measure's risk adjustment, we note that we use the risk-adjustment factors listed in specifications for the AHRQ measures selected for this program. We do not believe that the measure's current risk-adjustment factors unfairly penalize teaching and large hospitals. PSI-90 is comprised of component measures that are risk- and reliability-adjusted. The composite measure is a component-weighted average of these risk- and reliability-adjusted observed-to-expected ratios. The risk adjustment methodology's adequacy is a function of the adequacy of the risk adjustment for each of the component indicators, and the average c-statistic for the component measures in the PSI composite in version 4.5 of the AHRQ QI software is 0.775, accounting for component weighting, and we believe that level of risk adjustment to be adequate to ensure that we do not penalize teaching and large hospitals, or others that treat relatively sicker patient populations. We refer readers to AHRQ's Web site for the mathematical specifications of the composite. [41] Should changes to the risk-adjustment models for the measures be adopted during NQF endorsement maintenance processes, we will adopt these changes as soon as possible.
We encourage hospitals that are unsure how to improve their performance on the AHRQ PSI measure or on any other measure finalized for the Hospital VBP Program to contact their QIO for assistance.
Comment: Commenters urged CMS to reassess how it adjusts HCAHPS survey scores for the severity of patient illness, arguing that the survey's patient-mix adjustment model does not adequately account for the effect of severity of illness or patient's mental health status, and that the HCAHPS Survey is biased against large urban hospitals and safety-net hospitals. Commenters also argued that the HCAHPS survey lacks sufficient risk-adjustment.
Response: Since its national implementation in 2006, the HCAHPS Survey has included an item that asks for patients' assessments of their overall health. We use this information in a transparent manner in our standard patient-mix adjustment of HCAHPS scores, as we have explained on the official HCAHPS On-Line Web site, http://www.hcahpsonline.org, in the research documents and patient-mix adjustment coefficients that are posted on this Web site, and in published research listed on this Web site.
In response to comments about HCAHPS in previous Rules, we added an item to the HCAHPS Survey in January 2013 that asks patients to assess their overall mental or emotional health. At this time, we are analyzing the effect of patients' overall mental or emotional health on HCAHPS scores. Based on the results of this analysis, we will determine whether we believe a further patient-mix adjustment for mental or emotional health may be warranted.
With respect to a Cleveland Clinic analysis mentioned by a commenter that is said to show a greater than expected impact of severity of illness on HCAHPS scores, we understand that this analysis does not examine associations between patient characteristics and HCAHPS scores after the standard HCAHPS patient-mix adjustment has been applied. The standard HCAHPS patient-mix adjustment would be expected to remove most or all of the association mentioned. We also understand that the Cleveland Clinic analysis mentioned by the commenter is not based on national data.
As we stated in the FY 2013 IPPS/LTCH PPS final rule (77 FR 53585), we have examined the association between safety net status and the Patient Experience of Care (HCAHPS) domain score in the Hospital VBP Program. We stated that we analyzed Patient Experience of Care scores during the Hospital VBP Program Dry Run period (Baseline Period: April-December 2008; Performance Period: April to December 2010), both overall and among urban hospitals.
Although we do not have an official definition or designation of “safety net” hospital, safety net status typically entails one or more of three criteria: high Medicaid share; high proportion of uncompensated patients; and high county-associated poverty rate. During the Hospital VBP Program Dry Run, 28 hospitals (7 of them urban) met all three criteria, 157 hospitals (83 of them urban) met two of the three criteria, 625 hospitals (391 urban) met one of the three criteria, and 2,219 hospitals (1,718 urban) met none of the three criteria.
In general, during the Hospital VBP Program Dry Run, after all HCAHPS adjustments are applied (patient mix and survey mode), safety net hospitals performed similarly to other hospitals. For example, 24 percent of the hospitals that meet any of the three safety net criteria (198/810) scored in the top quartile of Hospital VBP Patient Experience of Care domain (versus 25 percent (550/2219) of hospitals that met none of the safety net criteria). For urban hospitals, the figures are 110/481 safety net hospitals (23 percent) vs. 454/1718 other hospitals (26 percent). If we consider only those hospitals that meet two of the three safety net criteria, then 36/185 safety net hospitals (20 percent) and 12/90 urban safety net hospitals (13 percent) are in the top quartile (with 5 of these 12 in the top decile).
The HCAHPS patient mix adjustment model controls for patient characteristics not under the control of the hospital that directly impact response tendencies. It also controls for socioeconomic status of the patient population through education, which is a well-accepted method for controlling for socioeconomic status, in particular, in the elderly population. Other characteristics, such as hospital characteristics or geographic location, are not included in the adjustment models because controlling for hospital characteristics would mask potential quality differences across different types of hospitals.
Comment: Some commenters argued that HCAHPS consistency scores were not thoroughly tested and are not functioning as envisioned. Commenters argued that CMS should discontinue the use of HCAHPS consistency points because hospitals with consistently low HCAHPS scores were assigned a greater than average consistency score.
Response: We designed the components and scoring formula for the HCAHPS measure in the Hospital VBP Program in order to achieve our stated policy goals, including relying on a mix of standards, process, outcomes, and patient experience measures in public reporting and value-based payment systems (76 FR 26491). We tested the HCHAPS scoring process thoroughly prior to proposing it in the 2011 Hospital Inpatient VBP Program proposed rule, and have continued to monitor and evaluate it since implementation of the Hospital VBP Program in October 2012.
The Patient Experience of Care Domain score in the Hospital VBP Program is currently based on a hospital's score on one measure, the HCAHPS Survey measure, which is scored as (1) the greater of the Achievement Points or Improvement Points for each of the eight HCAHPS dimensions included in the Hospital VBP Program (0 to 10 points for each dimension), plus (2) 0 to 20 Consistency Points, which are derived from the lowest HCAHPS dimension. In order to assess the separate contribution of Achievement Points and Improvement Points, the HCAHPS Project Team, using results from the HCAHPS scores in the FY 2013 Hospital VBP Program (Baseline Period: July 2009-March 2010; Performance Period: July 2011-March 2012),decomposed the scores into three separate components: Achievement Points; Improvement Supplement (the extra contribution of Improvement Points to the Base Score beyond the contribution of Achievement Points); and Consistency Points.
Briefly, we found that Consistency Points are strongly and positively correlated with Achievement Points (0.68), which means that Consistency Points go mainly to hospitals with higher scores during the Performance Period. Although Achievement Points are the principal driver and account for nearly all of the variance in the HCAHPS score, Consistency Points play a small but important role by incentivizing targeted improvement in hospitals with below average scores, as well as augmenting the scores of lower-performing hospitals. See March 2013 HCAHPS Update Training, slides 91-101, at: http://www.hcahpsonline.org/trainingmaterials.aspx.
Comment: One commenter specifically argued that the HCAHPS survey and its scoring methodology need to be modified to incorporate risk-stratification to ensure more appropriate peer comparisons, particularly for patients that are English language learners and with whom communication may be more difficult for hospital staff. The commenter suggested that patients' communications difficulty could be incorporated into HCAHPS risk-stratification. The commenter also contended that some hospitals may be unfairly penalized by the HCAHPS survey's use of a “quietness” item, arguing that hospitals may not easily control ambient noise outside the hospital. The commenter presented analysis showing a negative correlation between population density and the HCAHPS “quietness” item.
Response: We thank the commenter for the comments and research. Differences at the hospital level could be due to either patient differences or true differences in average hospital quality in urban and rural areas. Urban/rural differences have been demonstrated for a variety of quality measures, including clinical quality measures. In order to ensure that true differences in hospital quality are not “adjusted away,” we only adjust HCAHPS scores for patient-level factors. One of the patient-mix adjustment factors that we employ is “language spoken at home,” currently categorized as “English” and “Non-English.” Having taken this factor into account through patient-mix adjustment, we believe that the remaining difference is due to true variation in the quality of hospitals in which English and non-English speaking patients seek care. We believe that these hospital-level differences should not be adjusted away.
Recently, we began to collect information on additional languages that patients speak at home, including English, Spanish, Chinese, Russian, Vietnamese, and “some other language.” We are conducting research to determine whether the patient-mix adjustment for “language spoken at home” would be measurably improved by including distinctions among these specific languages. Should we determine that, based on this data and research, a revised patient-mix adjustment for “language spoken at home” is warranted, we will seek to adopt the adjustment for the HCAHPS measure.
The commenter contends that a major contributor to hospital total noise level is ambient noise from outside the hospital, which varies systematically with hospital location, that is, urban or rural setting.
We have not seen evidence that ambient noise from outside the hospital is the cause of lower scores on the HCAHPS “quietness” item, which asks “how often the area around your room was quiet at night.” Developmental work on the HCAHPS Survey, including cognitive interviews and focus groups with patients and caregivers, indicated that patients distinguish between noise from outside of the hospital, which is more difficult to control, and noise from within the hospital, which the hospital can more readily reduce, mitigate or eliminate, such as that from loud conversations outside of patient rooms, equipment trolleys, alarms and announcements, maintenance operations, etc.
We are aware of noise reduction efforts in a number of hospitals, in both urban and rural settings, that have successfully reduced within-hospital noise. In addition, in the Hospital VBP scoring system, hospitals are assessed on both achievement and improvement. Thus, regardless of location, hospitals can earn improvement points if patients experience greater quietness in the performance period than in the prior baseline period.
Comment: One commenter was concerned about HCAHPS survey responses where patients refuse to answer. The commenter believed that this action could result in inaccurate survey data. The commenter also expressed concerns about cleanliness throughout the hospital to reduce the risk of infections, not just the cleanliness of the patient's room and bathroom.
Response: We thank the commenter for these concerns. With respect to the HCAHPS survey, which is administered after discharge, patients may refuse to answer any item by not filling in a response on the mail version of the survey, or not providing an answer on the telephone or Interactive Voice Response versions of the survey. This non-response is then captured in our data collection process. The national response rate for the HCAHPS Survey is 33 percent. Based on our analyses of the HCAHPS Survey, we found that the patient-mix adjustment model accounts for any nonresponse bias that could have been addressed through nonresponse weighting. Therefore, no further weighting or adjustment for nonresponse is needed (see http://www.hcahpsonline.org/modeadjustment.aspx#ME2 and The Effects of Survey Mode, Patient Mix, and Nonresponse on CAHPS Hospital Survey Scores. M.N. Elliott, A.M. Zaslavsky, E. Goldstein, W. Lehrman, K. Hambarsoomian, M.K. Beckett and L. Giordano. Health Services Research, 44: 501-518. 2009).
We share the commenter's concern about the importance of clean and hygienic conditions in hospitals. The HCAHPS Survey contains an item about hospital cleanliness, “During this hospital stay, how often were your room and bathroom kept clean?” The HCAHPS Survey is designed to ask patients about important aspects of their hospital stay. While we agree that all hospital areas ought to be clean, we believe that patients are most aware of the cleanliness of their own room and bathroom, and this item is targeted accordingly.
Comment: One commenter requested that CMS propose a process to account for changes in measure specifications to ensure fair treatment to participating hospitals. Commenters specifically suggested that CMS suppress the SCIP-Inf-4 measure for FY 2014 and propose a new benchmark and achievement threshold once enough data has been collected with the new specifications.
Response: We are aware that the SCIP-Inf-4 measure underwent significant specifications changes for discharge quarters beginning on or after January 1, 2014. Since we are finalizing below a performance period of CY 2014 and a baseline period of CY 2012 for the clinical process of care measures under the FY 2016 Hospital VBP Program, we believe these specifications changes will have significant impacts on hospitals' SCIP-Inf-4 performance during the FY 2016 performance period. We are therefore not finalizing the SCIP-Inf-4 measure for the FY 2016 Hospital VBP Program, or any other proposal we made that would relate to that measure (for example, the measure's performance standards).
However, these specifications changes will not affect either the finalized performance periods or baseline periods for FY 2014 or FY 2015. We do not believe it appropriate to remove the measure from the Hospital VBP Program measure set for either of those program years, because the changes to the measure specifications do not affect hospitals' performance rates on the measure during the finalized performance periods for FY 2014 and FY 2015.
While we have not established a Hospital VBP Program-specific process to date to account for specifications changes, we may consider doing so in future rulemaking.
After consideration of the public comments we received, we are finalizing the FY 2016 measure set as proposed, with the exception of SCIP-Inf-1 and SCIP-Inf-4, described above, and with the changes outlined above to the SSI measure's scoring.
The following table outlines the final measures for the FY 2016 Hospital VBP Program that we previously adopted, as well as the new measures that we are finalizing.
| * Measures previously finalized for the FY 2016 Hospital VBP Program. | |
| ** New measures. | |
| *** Measures finalized for FY 2015 but not subject to immediate readoption. | |
| AMI-7a | Fibrinolytic Therapy Received Within 30 Minutes of Hospital Arrival. |
| IMM-2** | Influenza Immunization. |
| PN-6 | Initial Antibiotic Selection for CAP in Immunocompetent Patient. |
| SCIP-Inf-2 | Prophylactic Antibiotic Selection for Surgical Patients. |
| SCIP-Inf-3 | Prophylactic Antibiotics Discontinued Within 24 Hours After Surgery End Time. |
| SCIP-Inf-9 | Urinary Catheter Removed on Postoperative Day 1 or Postoperative Day 2. |
| SCIP-Card-2 | Surgery Patients on Beta-Blocker Therapy Prior to Arriva Who Received a Beta-Blocker During the Perioperative Period |
| SCIP-VTE-2 | Surgery Patients Who Received Appropriate Venous Thromboembolism Prophylaxes Within 24 Hours Prior to Surgery to 24 Hours After Surgery. |
| Patient Experience Measures | |
| HCAHPS | Hospital Consumer Assessment of Healthcare Providers and Systems Survey. |
| Outcome Measures | |
| CAUTI** | Catheter-Associated Urinary Tract Infection. |
| CLABSI*** | Central Line-Associated Blood Stream Infection. |
| MORT-30-AMI* | Acute Myocardial Infarction (AMI) 30-day mortality rate. |
| MORT-30-HF* | Heart Failure (HF) 30-day mortality rate. |
| MORT-30-PN* | Pneumonia (PN) 30-day mortality rate. |
| PSI-90* | Complication/patient safety for selected indicators (composite). |
| SSI** | Surgical Site Infection: • Colon. • Abdominal Hysterectomy. |
| Efficiency Measures | |
| MSPB-1 | Medicare Spending per Beneficiary. |
In the FY 2014 IPPS/LTCH PPS proposed rule (78 FR 27611), we also sought public comment on our intent to adopt the Methicillin-resistant Staphylococcus aureus (MRSA) Bacteremia and the Clostridium difficile (C. difficile) standardized infection ratio measures for the FY 2017 Hospital VBP Program. Both of these measures are high-priority HAI measures listed in the HHS Action Plan to Prevent HAIs. We anticipate posting performance data for these measures on Hospital Compare later this year, and anticipate proposing to adopt these measures for the Hospital VBP Program in the FY 2015 IPPS/LTCH PPS proposed rule.
Comment: Commenters expressed support for CMS' intent to adopt the MRSA and C. difficile measures into the Hospital VBP Program in future years. Commenters argued that MRSA is especially problematic in both hospital ICUs and in long-term care facilities, and noted significant increases in HAIs over the past 10 years. Commenters also noted that C. difficile- associated complications are linked to 14,000 deaths annually. Some commenters suggested that these measures would be better additions to the Hospital VBP Program than immunization measures because immunization measures do not cover the most effective topics.
Response: We thank commenters for their support and for their input. We agree that these measures capture quality information that is critical to patient safety, and intend to consider adopting these measures in future rulemaking.
Comment: Some commenters urged CMS to provide measure specifications for MRSA and C. difficile in order to enable constructive feedback on the measures. Commenters also suggested that it will be necessary to control for known regional variation in infection rates if CMS adopts these measures, and argued that CMS should consider ways to differentiate community-acquired infections from healthcare-associated strains.
Response: We refer readers to the QualityNet Web site (https://www.qualitynet.org/) for details on the specifications for both measures. The finalized Hospital VBP Program methodologies for developing performance standards and for calculating measure rates do not adjust for regional variation in infection rates, and we have not considered adopting such an adjustment for current measures of healthcare-associated infections. As we stated in the Hospital Inpatient VBP Program final rule (76 FR 26512), we believe that achievement thresholds and benchmarks based on national data provide balanced, appropriate standards of high quality care for hospitals to work towards under the Hospital VBP Program. We also stated in that final rule that we do not wish to lower the performance standards for a hospital simply because average performance in its local region is subpar compared to national performance, nor do we wish to raise or lower performance standards for hospitals based on observations that different types of hospitals differ in the average performance on individual measures. However, we encourage commenters to provide more detail on how we might make such adjustments in the future.
Comment: Some commenters were concerned about CMS' possible adoption of MRSA and C. difficile in future program years, noting methodological flaws associated with defining when infections are incubating at the time of admission. Commenters also argued that the definition of “hospital acquired infection” must be clearly set out for both measures. Some commenters did not support CMS' intent to adopt MRSA or C. difficile in future program years, arguing that the measures are insufficiently risk-adjusted and should therefore not be adopted for Hospital VBP. Commenters noted that both measures are relatively new to the Hospital IQR Program, and commenters urged CMS to allow hospitals to gain additional experience with the measures before adopting them for Hospital VBP.
Response: We thank commenters for their input. We intend to consider these comments when developing our policies for future rulemaking.
c. Future Measures for the Efficiency Domain
In the FY 2014 IPPS/LTCH PPS proposed rule (78 FR 27611 through 27612), we stated that we are considering including additional measures in the Efficiency Domain for future years of both the Hospital IQR Program and the Hospital VBP Program. If we were to expand the Efficiency Domain in the future, we would do so through future rulemaking and in accordance with the requirements of section 1886(o) of the Act.
We stated that we are considering adding a measure of hospitals' performance on treating Medicare beneficiaries appropriately as a hospital inpatient or a hospital outpatient. Specifically, we stated that we are considering constructing a measure to assess the rate and/or dollar amount of billing hospital inpatient services to Medicare Part B, subsequent to the denial of a Part A hospital inpatient claim. We are considering such a measure in light of our recent proposal that when a Medicare Part A claim for inpatient hospital services is denied because the inpatient admission was determined not to be reasonable and necessary, or when a hospital determines under § 482.30(d) or § 485.641 after a beneficiary is discharged that his or her inpatient admission was not reasonable and necessary, the hospital may be paid for all of the Part B services that would have been reasonable and necessary had the beneficiary been treated as a hospital outpatient rather than admitted as an inpatient, if the beneficiary is enrolled in Medicare Part B (78 FR 16632 through 16646). We invited public comments on this or other approaches to include a measure of appropriateness of hospital inpatient services in future years of the Hospital IQR Program and the Efficiency Domain for the Hospital VBP Program.
We also are considering the addition of Medicare spending measures specific to physician services such as Radiology, Anesthesiology, and Pathology that occur during a hospital stay. We invited public comment on how to best to construct measures of Medicare spending for these or other physician services provided during a hospital stay, for future inclusion in the Hospital IQR Program and the Efficiency Domain in the Hospital VBP Program.
Comment: One commenter expressed support for a future measure of appropriateness of treating Medicare beneficiaries as hospital inpatients or hospital outpatients, stating that it would improve outcomes and help ensure that prices paid for prescription drugs under the 340B discount program are appropriate. Other commenters opposed the development of such a measure. The reasons they provided included: perceived inconsistencies or inaccuracies in Recovery Audit Contractor (RAC) denials across hospitals; the concern that the measure would not reflect successful appeals of RAC denials; the belief that such a measure would represent a double penalty in addition to any overpayments already collected; the belief that confusion exists regarding CMS' inpatient versus outpatient policies; that belief that services that are rebilled are not medically unnecessary, but rather that they are billed incorrectly, and therefore do not represent a quality issue; that such a measure would increase the use of the appeals system; and that the physician, rather than the hospital is responsible for the decision whether or not to admit a patient.
Response: We thank the commenters for their input and will take it into consideration as we develop any future policies related to this issue. In response to the comment about 340B drug pricing, we are not aware of any effect that inclusion of a future measure of appropriateness of treating Medicare beneficiaries as hospital inpatients or hospital outpatients would have on the 340B drug pricing program.
Comment: A few commenters noted that any new efficiency measures would first have to be adopted in the Hospital IQR Program.
Response: We agree and wish to clarify that we would finalize any future efficiency measure for the Hospital IQR Program through notice and comment rulemaking. We would include it in the Hospital IQR Program for at least one year and display performance information on the Hospital Compare Web site in accordance with section 1886(o)(2)(C)(i) of the Act before including it in the Hospital VBP Program. That was our intent in stating above that, if we were to expand the Efficiency Domain in the future, we would do so through future rulemaking and in accordance with the requirements of section 1886(o) of the Act.
Comment: Some commenters supported CMS' intent to adopt additional measures of efficiency in future program years, and suggested that CMS consider new measure topics such as Medicare Total Costs Per Capita and Rates of Medicare Service Utilization. Commenters also suggested that CMS consider measures that compare actual observed costs with expected costs both regionally and nationally.
Response: We thank commenters for their support. We will consider additional measure topics as they become available to us under the Hospital VBP Program's statutory requirements.
Comment: One commenter expressed support for development of a measure of physician services occurring during a hospital stay, in order to align incentives for hospitals and physicians to provide high quality, efficient care. The commenter suggested that such a measure should not be overly risk-adjusted, so as to avoid incorporating payment inequities.
Response: We thank this commenter for the input and will take it into consideration as we develop any future measures for the Efficiency Domain.
Comment: The majority of commenters did not support the development of a measure of physician services occurring during a hospital stay. These commenters' concerns included the belief that hospitals should not be held accountable for physician services, with some commenters stating that the nature of the employment relationship between the hospital and its physicians dictate the level of control by the hospital over those physicians. Commenters also expressed concern that there is not adequate data on the appropriate level of utilization for the purpose of setting benchmarks and avoiding the reduction in needed care. These commenters also expressed a belief that such a measure would be duplicative of the MSPB measure.
Response: We thank the commenters for their input, and we will take it into consideration as we develop any future measures for the Efficiency domain.
Comment: Several commenters expressed concern that specialty-specific spending measures would be better suited for the Physician Value-Based Payment Modifier Program or generally stated that accountability for physician services should be shared with physicians, not placed solely with the hospital. Many of the commenters expressed the opinion that incentives should be aligned for physicians and hospitals, expressing the concern that parallel incentives do not yet exist.
Response: We thank the commenters for their input and we will take it into consideration as we develop any future measures for the Efficiency domain. As we stated in the FY 2012 IPPS/LTCH PPS final rule (76 FR 51626), we agree that alignment of incentives is an important goal.
Comment: Several commenters offered suggestions of additional measures for future inclusion in the Efficiency domain. These suggestions included measures of appropriate use, especially for cardiovascular conditions; national and regional total per capita cost measures; resource service utilization measures that compare overuse of services for patients with the same condition across the country; radiology efficiency measures; anesthesia efficiency measures; and DRG-specific spending measures. Two commenters also suggested adding radiation dose measures to the Hospital VBP Program.
Response: We thank the commenters for their input and we will take it into consideration as we develop any future measures for the efficiency domain.
7. Performance Periods and Baseline Periods
a. Background
Section 1886(o)(4) of the Act requires the Secretary to establish a performance period for the Hospital VBP Program for a fiscal year that begins and ends prior to the beginning of such fiscal year.
b. Clinical Process of Care Domain Performance Period and Baseline Period for the FY 2016 Hospital VBP Program
In the FY 2013 IPPS/LTCH PPS final rule (77 FR 53594 through 53595), we finalized a 12-month performance period for FY 2015 Clinical Process of Care measures of CY 2013, or January 1, 2013 through December 31, 2013, with a corresponding baseline period of CY 2011, or January 1, 2011 through December 31, 2011, for purposes of calculating improvement points and performance standards. As we stated in that rule, a 12-month performance period provides us more data on which to score hospital performance, which is an important goal both for CMS and for stakeholders. We also noted that a 12-month performance period is consistent with the reporting periods used for these measures under the Hospital IQR Program.
In the FY 2014 IPPS/LTCH PPS proposed rule (78 FR 27612), we proposed to adopt a 12-month performance period for FY 2016 Clinical Process of Care measures of CY 2014, or January 1, 2014 through December 31, 2014, for the FY 2016 Hospital VBP Program. We also proposed to adopt a corresponding 12-month baseline period of CY 2012, or January 1, 2012 through December 31, 2012, for purposes of calculating improvement points and calculating performance standards.
We invited public comment on these proposals.
Comment: One commenter argued that CMS should not adopt the entirety of CY 2012 as the performance period for the IMM-2 measure within the Clinical Process of Care domain for FY 2016. The commenter explained that the measure was not collected during the 2nd and 3rd quarters of that year, and recommended that CMS also omit those quarters from the proposed baseline period to ensure fair comparisons.
Response: According to the IMM-2 measure's specifications, the measure is to be collected for discharges during the months of October, November, December, January, February, and March. The commenter is therefore correct that it is not collected during the second and third quarters of the calendar year. However, we do not believe this requires us to specify a separate performance or baseline period for this measure. We believe that CY 2012 is an appropriate baseline period for this measure, as it captures the measure's reporting period and aligns the measure with the other measures in the Clinical Process of Care domain.
After consideration of the public comments we received, we are finalizing the FY 2016 performance and baseline periods for the Clinical Process of Care domain as proposed.
c. Patient Experience of Care Domain Performance Period and Baseline Period for the FY 2016 Hospital VBP Program
Consistent with our goal of adopting a full 12-month period for this domain in order to collect a larger amount of HCAHPS survey data compared to a 9-month period, in the FY 2013 IPPS/LTCH PPS final rule (77 FR 53595), we finalized a 12-month performance period for FY 2015 Patient Experience of Care measures of CY 2013, or January 1, 2013 through December 31, 2013, with a corresponding baseline period of CY 2011, or January 1, 2011 through December 31, 2011, for purposes of calculating improvement points and performance standards. As we stated in that rule, a 12-month performance period provides us more data on which to score hospital performance, which is an important goal both for CMS and for stakeholders.
In the FY 2014 IPPS/LTCH PPS proposed rule (78 FR 27612), we proposed to adopt a 12-month performance period for FY 2016 Patient Experience of Care measures of CY 2014, or January 1, 2014 through December 31, 2014, for the FY 2016 Hospital VBP Program. We also proposed to adopt a corresponding 12-month baseline period of CY 2012, or January 1, 2012 through December 31, 2012, for purposes of calculating improvement points and calculating performance standards.
We invited public comment on these proposals. However, we did not receive any specific comments on the proposed FY 2016 performance and baseline periods for the Patient Experience of Care domain. We are therefore finalizing these periods as proposed.
d. Efficiency Domain Measure Performance Period and Baseline Period for the FY 2016 Hospital VBP Program
In the FY 2013 IPPS/LTCH PPS final rule (77 FR 53595 through 53596), we finalized a performance period for the MSPB measure for the FY 2015 Hospital VBP Program of May 1, 2013 through December 31, 2013, with a corresponding baseline period of May 1, 2011 through December 31, 2011. We finalized that performance period based on the measure's posting date on Hospital Compare, our desire to ensure consistency across domains where possible, and in order to ensure that data have been posted for at least 1 year prior to the beginning of the measure performance period.
In order to expand the dataset available for performance scoring on this measure, in the FY 2014 IPPS/LTCH PPS proposed rule (78 FR 27612) we proposed to adopt a 12-month performance period for the MSPB measure for the FY 2016 Hospital VBP Program of CY 2014, or January 1, 2014 through December 31, 2014, with a corresponding baseline period of CY 2012, or January 1, 2012 through December 31, 2012. These proposed performance and baseline periods align with the performance and baseline periods for Clinical Process of Care Domain measures. These proposed performance and baseline periods also enable us to collect sufficient measure data, while allowing time to calculate and incorporate MSPB measure data into the Hospital VBP Program scores in a timely manner.
We invited public comments on the proposed performance and baseline periods for the MSPB measure. Although we received no specific comments regarding the proposed performance and baseline periods for the MSPB measure, we did receive a number of general comments on the MSPB measure, which we respond to below.
Comment: Some commenters fully supported the inclusion of the MSPB measure in the Hospital VBP Program as proposed, noting the importance of measuring resource use. One of these commenters noted the MSPB measure's importance in the establishment of an effective Hospital VBP Program that begins to bend the cost curve for Medicare and emphasized the measure's apparent importance to Congress, given that it was the only measure specifically required by statute for inclusion in the Hospital VBP Program.
Response: We thank these commenters for their support, and we agree that the measure's inclusion is important because it helps to address the critical issue of health care costs and furthers Medicare's transformation from a system that rewards volume of service to one that rewards efficient, effective care and reduces delivery system fragmentation, as we stated in the FY 2012 IPPS/LTCH PPS final rule (77 FR 51618).
Comment: The majority of commenters expressed concern with use of the MSPB measure in the Hospital VBP Program. The commenters' concerns included: concern that there may not be a clear connection between cost variance and patient outcomes or other quality measurements; concern that hospitals might not provide necessary services, in order to improve measure performance; concern that the measure includes factors that are outside the hospital's control; questioning whether claims data is sufficient for measure calculation; concern that the measure is not adjusted for socioeconomic factors; concern that the measure has not been adequately tested; question as to whether the risk-adjustment methodology is sufficient, with one commenter questioning the ordinary least squares (OLS) approach; perception that the measure is not yet fully specified; concern that the measure is not NQF endorsed; and comments on the NQF endorsement process that is currently underway.
Response: In the FY 2012 IPPS/LTCH PPS final rule (76 FR 51619 through 51627), we finalized the MSPB measure for inclusion in the Hospital IQR Program and addressed concerns with the measure's general construction, the degree of hospital control over performance on the measure, and its risk-adjustment. We continue to believe that the MSPB measure is appropriately constructed to capture Medicare spending surrounding a hospitalization. As we stated in the FY 2012 IPPS/LTCH PPS final rule, the measure incentivizes hospitals to work on redesigning care systems and coordinating with other providers of care, which can have a significant impact on the quality and efficiency of services provided to the Medicare beneficiaries they serve. We also continue to believe that hospitals have a significant influence on Medicare spending during the episode surrounding a hospitalization, through the provision of appropriate, high-quality care before and during inpatient hospitalization and through proper hospital discharge planning, care coordination, and care transitions. This measure will add an additional incentive for hospitals to apply this influence in ways that will promote the provision of the highest quality, most efficient care for hospitalized Medicare beneficiaries.
We will work to incorporate any suggestions from hospitals on how to improve the hospital-specific reports to make them more actionable.
With regard to the use of the OLS regression, we note that it is consistent with the risk-adjustment model used for several CMS initiatives, including Medicare Advantage rate setting. We believe that the variant of the model used for MSPB is appropriate, because it allows for a different coefficient on each HCC in each major diagnostic category based on index admission. In this sense, the model uses categorical condition indicators to flexibly capture differences in spending by condition.
We finalized the measure for inclusion in the Hospital VBP Program in the FY 2013 IPPS/LTCH PPS final rule (77 FR 53592), and we addressed a number of public comments related to the measure in that rule. With regard to linking the MSPB measure to other quality metrics, we addressed the importance of measuring cost independently and emphasized that within the Hospital VBP Program, the MSPB measure is combined with other quality measures in order to calculate the TPS (77 FR 53586). With regard to the measure being fully specified, at the preceding citation, we re-emphasized that the measure was fully detailed in the FY 2012 IPPS/LTCH PPS proposed and final rules, and was then subsequently publicly vetted through a national provider call during an MSPB hospital data preview period. We have also since conducted two additional MSPB data previews, and we have not received substantive comments on the validity of the claims data used to calculate the measure. This measure had been extensively tested. We refer readers to the discussion of the reliability analysis in the FY 2013 IPPS/LTCH PPS final rule (77 FR 53589). We agree with commenters that NQF endorsement is valuable, though we note, as mentioned in the FY 2012 IPPS/LTCH PPS final rule (76 FR 51619), that it is not required before adopting measures under the Hospital VBP Program. We are working with the NQF during the endorsement process that is currently in progress. We anticipate that we will receive the NQF's decision on endorsement in October of 2013.
Comment: A few commenters expressed their belief that there was a lack of national data on the MSPB measure and a lack of transparency into the service types included in the measure. One commenter requested the impact of each “adjustment factor” including area wage, case mix, outlier, IME, and DSH, had on the pre-index, during-index, and post-index spending categories during the MSPB episode. One commenter stated that, in addition to providing hospitals with confidential hospital-specific reports that identify the highest-spending providers in each of their MSPB episodes, CMS should provide a report to each of those providers listed.
Response: We appreciate the importance of data related to performance on this measure. We posted a Medicare spending breakdown by claim type file publicly, so that hospitals and other stakeholders could compare their Medicare payments for various service types to those in their state and the nation. We will consider further breaking down the inpatient spending that is attributed to a hospital into specific inpatient settings, such as acute inpatient, LTCH, IPF and IRF, as the commenter suggests. We also provide extensive data to hospitals in their hospital-specific reports. For a description of the hospital-specific data files, and the spending breakdown by claim type file, we refer readers to the FY 2013 IPPS/LTCH PPS final rule (77 FR 53588). We will also explore the possibility of providing reports to those providers listed in hospitals' confidential hospital-specific reports, as the commenter suggests.
With regard to “adjustment factors,” we believe that the commenter is referring to adjustments to inpatient payments, which are only one part of an MSPB episode. We remove area wage, IME, and DSH during the standardization process, so that geographic payment policy differences and other Medicare program goals are not reflected in hospitals' MSPB amounts. Case-mix and outlier adjustments are not removed from the standardized amount used to calculate the MSPB measures, because the MS-DRG is used in risk adjustment and outlier payments represent costs to Medicare incurred due to the treatment provided by the hospital. The CMS standardization methodology may be accessed on the QualityNet Web site at: http://www.qualitynet.org/dcs/ContentServer?c=Page&pagename=QnetPublic%2FPage%2FQnetTier4&cid=1228772057350. Although the hospital-specific reports include only payment-standardized MSPB numbers, data files available in QualityNet also include non-standardized payment amounts. We refer readers to the “Hospital-Specific Data Files Description” link for further details of the MSPB hospital-specific data files available for download in QualityNet. We will consider reporting total outlier payments for an MSPB episode as an additional data point in hospitals' confidential hospital-specific reports.
Comment: Some commenters expressed the opinion that it was difficult to improve performance on the MSPB measure because they believed that improvement was not scored based on comparison to a hospital's own historical performance but rather against a national median.
Response: We wish to clarify that, consistent with improvement scoring for other Hospital VBP Program measures, improvement on the MSPB measure is based upon comparisons between the hospital's own performance during the baseline period and the performance period. The MSPB measure is structured as a ratio of the hospital's own MSPB amount to the national median MSPB amount, but improvement points are calculated by comparing the hospital's individual performance during the specified periods. For additional information on MSPB improvement points, we refer readers to the discussion of improvement scoring on the MSPB measure in the FY 2012 IPPS/LTCH PPS final rule (76 FR 51655 through 51656). We note that although the measure's implementation was delayed subsequent to the issuance of that final rule, we retained the scoring methodology when the measure was finalized in the FY 2013 IPPS/LTCH PPS final rule for inclusion in the Hospital VBP Program for FY 2015 and subsequent years.
Comment: Some of the commenters suggested that the MSPB measure should be applied within the Physician Value Modifier Program concurrently.
Response: We agree with the suggestion made by these commenters that this measure is appropriate for inclusion in the Medicare Physician Fee Schedule Program. Accordingly, we have proposed to include the MSPB amount in the cost composite portion of the physician value-based payment modifier, for the CY 2016 payment year (CY 2014 performance period), in the CY 2014 Medicare Physician Fee Schedule proposed rule (78 FR 43493 through 43496). As we have stated in the past, alignment of incentives across programs is an important goal for us.
Comment: Several of these commenters suggested that CMS delay implementation of the measure based on the concerns discussed above, including concern with measure reliability, risk-adjustment, degree of hospital control over spending, measure specification, linkage of spending to other quality measures, lack of NQF endorsement, lack of parallel incentives for physicians, and lack of performance data.
Response: We responded above to these concerns, on which commenters based their recommendation that we delay implantation of the MSPB measure. We disagree with the suggestion that the MSPB measure's implementation should be further delayed. As noted above, we believe that the MSPB measure is appropriately risk-adjusted, that its reliability has been established, and that it incentivizes hospitals to exert their control of episode spending. We continue to believe that a measure of cost is integral in recognizing and incentivizing hospitals involved in providing high quality care to the beneficiaries they serve, at a lower cost to Medicare. We note that the MAP, convened by the NQF, identified measures of cost as a high-priority gap area for the Hospital VBP Program and supported the measure for inclusion in the Hospital IQR and Hospital VBP Programs in its February 2013 Pre-Rulemaking Report. As we also noted above, the measure is currently under review for endorsement by the NQF.
With regard to establishing parallel incentives, we have proposed a similar measure for inclusion in the Physician Value Modifier Program in the CY 2014 Physician Fee Schedule Proposed Rule (78 FR 43493 through 43496). With regard to provision of performance data, the measure has been displayed on Hospital Compare since April 2012, and performance data was updated in December of 2012. In October 2013, we intend to publicly post CY 2012 performance data, which hospitals had the opportunity to review during a data preview period from May to June 2013. We have provided detailed data to hospitals regarding their performance on this measure. As we stated in the FY 2013 IPPS/LTCH PPS final rule (77 FR 53586), we believe that implementation of this measure without further delay is an important step in improving quality of care for Medicare beneficiaries through provision of quality inpatient care, improving post-acute care delivery and follow-up, and reduction in the provision of unnecessary services and preventable readmissions.
After consideration of the public comments we received, we are finalizing a 12-month performance period for the MSPB measure for the FY 2016 Hospital VBP Program of CY 2014, or January 1, 2014 through December 31, 2014, with a corresponding baseline period of CY 2012, or January 1, 2012 through December 31, 2012, as proposed.
We received a few general comments on our performance period proposals.
Comment: Commenters expressed concerns about the varied baseline and performance periods currently in operation under the Hospital VBP Program. Commenters argued that CMS should attempt to align performance and baseline periods across all Hospital VBP domains.
Response: We thank commenters for this feedback. We have attempted to align performance and baseline periods to the fullest extent possible under the Hospital VBP Program, and for most domains, we have proposed to adopt baseline and performance periods aligned to the calendar year. As discussed further below, we have proposed to adopt baseline and performance periods of longer duration than the calendar year for certain Outcome measures, but we have made these proposals in order to maximize quality measure data reliability and to align those periods with the Hospital Compare Web site's reporting periods. We are aware that the various time periods involved in the Hospital VBP Program may be confusing for hospitals, and will continue to work with the provider community to ensure that participating hospitals fully understand the Hospital VBP Program.
When we published the FY 2014 IPPS/LTCH PPS proposed rule, we inadvertently did not make FY 2016 performance and baseline period proposals for CLABSI, CAUTI, and SSI. We received a number of comments on this issue.
Comment: Many commenters noted that CMS did not propose performance periods for these measures in the proposed rule and requested that we publish them as soon as possible. Commenters suggested that CMS defer finalizing these measures until we issue a proposed rule with the proposed baseline and performance periods.
Response: We thank commenters for noting this policy omission from the proposed rule. We have proposed to adopt a FY 2016 performance period of CY 2014, with a corresponding baseline period of CY 2012, for these measures in the CY 2014 OPPS/ASC proposed rule (78 FR 43659). We refer readers to that proposed rule for further discussion, and we will consider public comments on this proposal in the CY 2014 OPPS/ASC final rule with comment period.
Final baseline and performance periods for FY 2016 (with the exception of the NHSN measures, described above, and the Outcome domain, discussed further below) are summarized in the following table.
| Domain | Baseline period | Performance period |
|---|---|---|
| Clinical Process of Care | January 1, 2012-December 31, 2012 | January 1, 2014-December 31, 2014. |
| Patient Experience of Care | January 1, 2012-December 31, 2012 | January 1, 2014-December 31, 2014. |
| Efficiency | January 1, 2012-December 31, 2012 | January 1, 2014-December 31, 2014. |
e. Outcome Domain Performance Periods and Baseline Periods for the FY 2017 through FY 2019 Hospital VBP Programs
In the FY 2013 IPPS/LTCH PPS final rule (77 FR 53598 through 53599) we finalized performance periods and baseline periods for the FY 2016 mortality and AHRQ PSI composite measures. These periods are summarized in the table below.
| Measure | Baseline period | Performance period |
|---|---|---|
| Mortality | October 1, 2010-June 30, 2011 | October 1, 2012-June 30, 2014. |
| AHRQ PSI composite | October 15, 2010-June 30, 2011 | October 15, 2012-June 30, 2014. |
In light of the time needed to process measure data for the three 30-day mortality and AHRQ PSI composite measures and our policy goal to collect enough data to generate the most reliable scores possible, in the FY 2014 IPPS/LTCH PPS proposed rule (78 FR 27613) we proposed to adopt performance periods for the three 30-day mortality and AHRQ PSI composite measures for the FY 2017 through FY 2019 program years. We also seek to increase transparency about performance of the Hospital VBP Program measures through use of Hospital Compare as a monitoring tool for hospitals to assess their performance on the Hospital VBP Program measures. We believe that aligning the Hospital VBP Program performance periods with the Hospital IQR Program reporting period duration would allow hospitals to review Hospital Compare measure rates when they are updated and incorporate this information into their quality improvement efforts, rather than having to wait until the Hospital VBP Program provides its scoring reports to hospitals. Further, we believe that aligning the Hospital IQR Program and the Hospital VBP Program in this manner will minimize the burden on participating hospitals by aligning the time periods during which they must monitor their performance on these measures.
Therefore, in the FY 2014 IPPS/LTCH PPS proposed rule (78 FR 27613), we proposed to adopt the following performance and baseline periods for the three 30-day mortality and AHRQ PSI composite measures for the FY 2017 through FY 2019 Hospital VBP Programs. We noted that the performance periods proposed below for the AHRQ PSI composite measure reach 24 months at their maximum, compared to the 36 months proposed for the 30-day mortality measures. We proposed those durations for the AHRQ PSI measure in order to adopt performance periods that align with AHRQ's recommended data period for public reporting.
| Domain | Baseline period | Performance period |
|---|---|---|
| FY 2017 Hospital VBP Program | ||
| Outcome: | ||
| • Mortality | • October 1, 2010-June 30, 2012 | • October 1, 2013-June 30, 2015 |
| • AHRQ PSI | • October 1, 2010-June 30, 2012 | • October 1, 2013—June 30, 2015 |
| FY 2018 Hospital VBP Program | ||
| Outcome: | ||
| • Mortality | • October 1, 2009-June 30, 2012 | • October 1, 2013-June 30, 2016. |
| • AHRQ PSI | • July 1, 2010-June 30, 2012 | • July 1, 2014—June 30, 2016. |
| FY 2019 Hospital VBP Program | ||
| Outcome: | ||
| • Mortality | • July 1, 2009-June 30, 2012 | • July 1, 2014-June 30, 2017. |
| • AHRQ PSI | • July 1, 2010-June 30, 2012 | • July 1, 2015—June 30, 2017. |
We invited public comments on our proposal to adopt performance periods and corresponding baseline periods for these measures for the FY 2017 through FY 2019 Hospital VBP Programs.
Comment: Commenters expressed support for the proposal to adopt lengthier performance periods for these Outcome measures for FY 2017 through FY 2019, though some commenters were also concerned about performance periods that overlap between payment years.
Response: We thank commenters for their support. We understand commenters' concerns about performance periods that overlap between payment years, but we view that overlap as unavoidable as long as we intend to adopt performance periods for these measures with a longer duration than 12 months, and as long as we intend to maintain a relatively consistent measure set between Program years. For example, while we could consider adopting measures with performance periods longer than 12 months in alternate program years in order to avoid overlap, we believe that this policy would result in substantial confusion in the provider community. We view overlapping performance periods as an acceptable compromise to enable increased performance period length and therefore increased measure data reliability.
Comment: Some commenters raised continued objections to the finalized FY 2016 performance period and baseline period for the AHRQ PSI measure.
Response: We thank commenters for their concerns. However, we finalized this policy in the FY 2013 IPPS/LTCH PPS final rule (77 FR 53597) after considering public comments. We believe these comments to be beyond the scope of the policies addressed in this final rule.
Comment: Some commenters argued that the proposed performance periods for these measures could increase the chances that a hospital would be excluded from the Hospital VBP Program due to immediate jeopardy citations, and suggested that, instead of aligning the Hospital VBP performance periods to Hospital IQR Program reporting periods, CMS consider making the Hospital IQR Program reporting periods shorter.
Response: We thank commenters for their concerns. However, we believe that the possibly increased risks of a hospital being excluded from the Hospital VBP Program due to immediate jeopardy citations is outweighed by the data reliability we gain from collecting mortality and AHRQ PSI measures for longer periods.
Comment: Some commenters believe that CMS had displayed incorrect dates for the proposed baseline and performance periods for FY 2017 through FY 2019 for certain Outcome measures. Commenters noted that the baseline periods for FY 2018 and FY 2019 would begin in 2009, while the baseline period for FY 2017 would begin in 2010.
Response: We believe commenters are referring to the second table displayed in the FY 2013 IPPS/LTCH PPS proposed rule at 78 FR 27613. However, we did not err in displaying the dates specified. When developing the performance and baseline period proposals for the proposed rule, we attempted to align performance and baseline periods' durations, beginning dates, and end dates as much as possible in order to ensure fair comparisons between the two periods for each year. Because we proposed performance and baseline periods of increasing length between FY 2017 and FY 2019, we proposed to begin baseline periods for the mortality measures earlier in FY 2018 and FY 2019 than FY 2017. As we stated in the proposed rule (78 FR 27613), we proposed this policy to meet our policy goal of collecting enough data to generate the most reliable measure scores possible. We view this policy as necessary in order to finalize a 36-month performance period for the mortality measures by FY 2019.
However, since performance on the AHRQ PSI measure is only reported on Hospital Compare for a maximum of 24 months, we do not believe it is necessary to finalize the measure's performance and baseline periods for FY 2019 at this time. By declining to finalize the measure's FY 2019 performance and baseline periods in this final rule, we will be able to adopt a more recent baseline period than was initially proposed. We intend to adopt these periods for the AHRQ PSI measure for FY 2019 in future rulemaking.
Comment: Some commenters expressed opposition to the proposal to adopt lengthier performance periods for the mortality measures for FY 2017 through FY 2019. Commenters expressed their continued belief that these measures are not adequately reliable and should be removed from the Hospital VBP Program altogether. Commenters argued that the measures do not meet the lower limit of moderate reliability, even with a 24-month performance period. Commenters were appreciative of the proposal to adopt a 36-month performance period for these measures, but noted that CMS had not provided an updated reliability analysis, and argued that CMS should instead explore proposing other outcome measures in future rulemaking.
Response: We disagree. We believe that the mortality measures capture important quality data for purposes of the Hospital VBP Program. As we noted in the FY 2013 IPPS/LTCH PPS final rule (77 FR 53591), we believe that the three 30-day mortality measures are sufficiently reliable for inclusion in the Hospital VBP Program, particularly in light of our finalized policy to set a 25 case minimum for these measures. We further believe that extending the performance and baseline periods for these measures to 36 months by FY 2019 improves the measures' reliability beyond the range originally analyzed by Mathematica Policy Research in its 2011 study, which we note estimated reliability for these measures for a maximum of 24 months and did not take into account a 25 case minimum for these measures. Further, by aligning the measures' performance period with the duration of the reporting period for Hospital IQR data posted on Hospital Compare, we believe we are achieving more transparency with regard to hospitals' performance on these measures under the Hospital VBP Program because we are more closely matching the time periods involved in current Hospital IQR public reporting with Hospital VBP performance.
After consideration of the public comments we received, we are finalizing performance and baseline periods for the mortality and AHRQ PSI measures for FY 2017 through FY 2019 as proposed, with the exception of the AHRQ PSI measure's performance and baseline periods for FY 2019, as described above.
Set out below are the finalized performance and baseline periods for the 30-day mortality measures for the Hospital VBP Program for FY 2017 through FY 2019, and for the AHRQ PSI composite measure for FY 2017 and FY 2018.
| Domain | Baseline Period | Performance Period |
|---|---|---|
| FY 2017 Hospital VBP Program | ||
| Outcome: | ||
| • Mortality | • October 1, 2010-June 30, 2012 | • October 1, 2013-June 30, 2015. |
| • AHRQ PSI | • October 1, 2010-June 30, 2012 | • October 1, 2013-June 30, 2015. |
| FY 2018 Hospital VBP Program | ||
| Outcome: | ||
| • Mortality | • October 1, 2009-June 30, 2012 | • October 1, 2013-June 30, 2016. |
| • AHRQ PSI | • July 1, 2010-June 30, 2012 | • July 1, 2014-June 30, 2016. |
| FY 2019 Hospital VBP Program | ||
| Outcome: | ||
| • Mortality | • July 1, 2009-June 30, 2012 | • July 1, 2014-June 30, 2017. |
8. Performance Standards for the Hospital VBP Program
a. Background
Section 1886(o)(3)(A) of the Act requires the Secretary to establish performance standards for the measures selected under the Hospital VBP Program for a performance period for the applicable fiscal year. The performance standards must include levels of achievement and improvement, as required by section 1886(o)(3)(B) of the Act, and must be established and announced not later than 60 days before the beginning of the performance period for the fiscal year involved, as required by section 1886(o)(3)(C) of the Act. Achievement and improvement standards are discussed more fully in the Hospital Inpatient VBP Program final rule (76 FR 26511 through 26513).
In addition, when establishing the performance standards, section 1886(o)(3)(D) of the Act requires the Secretary to consider appropriate factors, such as: (1) Practical experience with the measures, including whether a significant proportion of hospitals failed to meet the performance standard during previous performance periods; (2) historical performance standards; (3) improvement rates; and (4) the opportunity for continued improvement. In the FY 2013 IPPS/LTCH PPS final rule, (77 FR 53599 through 53604), we codified our interpretation of the Hospital VBP statute with respect to performance standards in our regulations at 42 CFR § 412.165.
In the FY 2013 IPPS/LTCH PPS final rule (77 FR 53599 through 53604), we adopted performance standards for FY 2015 and FY 2016 Hospital VBP Program measures. We also finalized our policy to update performance periods and performance standards for future Hospital VBP Program years via notice on our Web site or another publicly available Web site.
b. Performance Standards for the FY 2016 Hospital VBP Program Measures
We refer readers to the Hospital Inpatient VBP Program final rule (76 FR 26511 through 26513) for a detailed discussion of the methodology we adopted for calculating performance standards with respect to the clinical process of care, patient experience of care, and outcome measures, and the FY 2012 IPPS/LTCH PPS final rule (76 FR 51654 through 51656) for a discussion of the methodology we adopted for the MSPB measure. We have defined the “achievement threshold” as the median, or 50th percentile, of all hospitals' performance on a measure during a baseline period (or during the performance period in the case of the MSPB measure) with respect to a fiscal year (42 CFR 412.160). In the FY 2014 IPPS/LTCH PPS proposed rule (78 FR 27614), we proposed to revise this definition, in order to clarify that while this is true for the majority of Hospital VBP Program measures, it does not apply to the MSPB measure. The performance standards for the MSPB measure are based on performance period data, as finalized in the FY 2012 IPPS/LTCH PPS final rule (76 FR 51655). Accordingly, we proposed to revise the definition of “achievement threshold” at 42 CFR 412.160 to read: “Achievement threshold (or achievement performance standard) means the median (50th percentile) of hospital performance on a measure during a baseline period with respect to a fiscal year, for Hospital VBP Program measures other than the Medicare Spending per Beneficiary measure, and the median (50th percentile) of hospital performance on a measure during the performance period with respect to a fiscal year, for the Medicare Spending per Beneficiary measure.”
We have defined the “benchmark” as the arithmetic mean of the top decile of all hospitals' performance on a measure during the baseline period (42 CFR 412.160). Similar to the codified definition of “achievement threshold” above, this definition of “benchmark” does not apply to the MSPB measure. In the FY 2014 IPPS/LTCH PPS proposed rule (78 FR 27614), we proposed to revise the definition of “benchmark” at 42 CFR 412.160 to read: “Benchmark means the arithmetic mean of the top decile of hospital performance on a measure during the baseline period with respect to a fiscal year, for Hospital VBP Program measures other than the Medicare Spending per Beneficiary measure, and the arithmetic mean of the top decile of hospital performance on a measure during the performance period with respect to a fiscal year, for the Medicare Spending per Beneficiary measure.” The “improvement threshold” is an individual hospital's performance level on a measure during the baseline period with respect to a fiscal year,” and that definition applies to all measures.
We welcomed public comments on these proposed regulation text changes. However, we did not receive specific comments on the proposed changes. We are therefore finalizing the regulation text changes as proposed.
We stated that we continue to believe that the finalized methodology for calculating performance standards is appropriate for the Hospital VBP Program, and we recognize that we have an obligation to calculate the numerical values for each of these standards accurately. However, we also explained our concern that if we display the numerical values of the performance standards in a particular rulemaking document, but then discover that we made a data or calculation error, the result might be that hospitals are held to inaccurate performance standards. Examples of the types of errors that could occur are inaccurate variables on Medicare claims, programming errors, excluding hospitals that should have been included from performance standards calculations, or other errors that result in inaccuracies. For example, if our quality measurement software incorrectly excluded a number of hospitals from a given measure's performance standards calculation, the resulting achievement thresholds and benchmarks could force participating hospitals to meet inaccurate performance standards, which could have unpredictable effects on hospitals' scores.
We stated that we are also aware that hospitals rely on the performance standards that we publicly display in order to target quality improvement efforts, and do not believe that it would be fair to participating hospitals to update repeatedly our finalized performance standards if we were to identify multiple errors.
We stated our belief that the best method to balance our obligation to publicly display accurate performance standards with the need to correct such performance standards if we subsequently discover data errors is to make a single correction to a given measure's performance standards for a fiscal year. Under this proposed policy, if we identified data problems, calculation issues, or other errors with a significant impact on performance standards, we would have the ability to update the measure's performance standards once for a fiscal year.
Therefore, we proposed to interpret the finalized definitions of “achievement threshold” and “benchmark” found under 42 CFR 412.160 to not include the numerical values that result when the performance standards are calculated. Further, we proposed to update a measure's performance standards for a fiscal year once if we identify data issues, calculation errors, or other problems that would significantly change the displayed performance standards. However, as has been our practice, and to remain fully transparent with participating hospitals, we stated our intent to continue to display the performance standards' numerical values in rulemaking.
We invited public comments on this proposed interpretation. However, we did not receive any public comments on this policy. We are therefore finalizing our proposal to interpret the finalized definitions of “achievement threshold” and “benchmark” found under § 412.160 to not include the numerical values that result when the performance standards are calculated.
We finalized FY 2016 performance standards for the three 30-day mortality measures and the AHRQ PSI composite measure in the FY 2013 IPPS/LTCH PPS final rule (77 FR 53603) and are displaying them again in the first table below. The numerical values for the proposed FY 2016 performance standards for the clinical process, outcome, and efficiency measures appear in the second table below, while numerical values for the proposed FY 2016 performance standards for the patient experience of care (HCAHPS survey) measure appear in the third table below. We note that the numerical values for the performance standards displayed below represent estimates at the time that the proposed rule was published based on what was the most recently-available data. In the FY 2014 IPPS/LTCH PPS proposed rule (78 FR 27614), we stated that we intended to update the numerical values in the FY 2014 IPPS/LTCH PPS final rule. Because the MSPB measure's performance standards are based on performance period data, we are unable to provide numeric equivalents for the standards at this time. In the proposed rule, we provided historical performance standards, for information purposes. During the period of May 1, 2011 through December 31, 2011, the achievement threshold would have been a MSPB ratio of 0.99, which corresponds to a standardized, risk-adjusted MSPB amount of $18,079, and the benchmark would have been 0.82, which corresponds to an MSPB amount of $14,985. In this final rule, we are providing more recent historical performance standards, also for information purposes. During the period of January 1, 2012 through December 31, 2012, the achievement threshold would have been an MSPB ratio of 0.98, which corresponds to a standardized, risk-adjusted MSPB amount of $18,412, and the benchmark would have been 0.82, which corresponds to an MSPB amount of $15,311. We also noted that the performance standards for the NHSN-based CLABSI, CAUTI, and SSI measures, the AHRQ PSI composite measure, and the MSPB measure are calculated with lower values representing better performance, in contrast to other measures, on which higher values indicate better performance. As discussed above, the proposed performance standards displayed below for SSI are an equally weighted average of the measure's strata.
| Measure ID | Description | Achievement threshold | Benchmark |
|---|---|---|---|
| Outcome Measures | |||
| MORT-30-AMI | Acute Myocardial Infarction (AMI) 30-day mortality rate | 0.847472 | 0.862371 |
| MORT-30-HF | Heart Failure (HF) 30-day mortality rate | 0.881510 | 0.900315 |
| MORT-30-PN | Pneumonia (PN) 30-day mortality rate | 0.882651 | 0.904181 |
| PSI-90 | Complication/patient safety for selected indicators (composite) | 0.622879 | 0.451792 |
| Measure ID | Description | Achievement threshold | Benchmark |
|---|---|---|---|
| Clinical Process of Care Measures | |||
| AMI-7a | Fibrinolytic Therapy Received Within 30 Minutes of Hospital Arrival | 0.88625 | 1.00000 |
| IMM-2 | Influenza Immunization | 0.89947 | 0.99036 |
| PN-6 | Initial Antibiotic Selection for CAP in Immunocompetent Patient | 0.96429 | 1.00000 |
| SCIP-Inf-1 | Prophylactic Antibiotic Received Within One Hour Prior to Surgical Incision | 0.98942 | 1.00000 |
| SCIP-Inf-2 | Prophylactic Antibiotic Selection for Surgical Patients | 0.98951 | 1.00000 |
| SCIP-Inf-3 | Prophylactic Antibiotics Discontinued Within 24 Hours After Surgery End Time | 0.97971 | 1.00000 |
| SCIP-Inf-4 | Cardiac Surgery Patients with Controlled 6AM Postoperative Serum Glucose | 0.96797 | 0.99977 |
| SCIP-Inf-9 | Urinary Catheter Removed on Postoperative Day 1 or Postoperative Day 2 | 0.96743 | 1.00000 |
| SCIP-Card-2 | Surgery Patients on Beta-Blocker Therapy Prior to Arrival Who Received a Beta-Blocker During the Perioperative Period | 0.97561 | 1.00000 |
| SCIP-VTE-2 | Surgery Patients Who Received Appropriate Venous Thromboembolism Prophylaxes Within 24 Hours Prior to Surgery to 24 Hours After Surgery | 0.98086 | 1.00000 |
| Outcome Measures | |||
| CAUTI | Catheter-Associated Urinary Tract Infection | 0.826 | 0.000 |
| CLABSI | Central Line-Associated Blood Stream Infection | 0.473 | 0.000 |
| SSI | Surgical Site Infection | 0.737 | 0.000 |
| Efficiency Measures | |||
| MSPB-1 | Medicare Spending per Beneficiary | Median Medicare Spending per Beneficiary ratio across all hospitals during the performance period | Mean of the lowest decile Medicare Spending per Beneficiary ratios across all hospitals during the performance period |
| HCAHPS Survey Dimension | Floor (percent) | Achievement threshold (percent) | Benchmark (percent) |
|---|---|---|---|
| Communication with Nurses | 53.33 | 77.59 | 85.98 |
| Communication with Doctors | 61.22 | 80.33 | 88.59 |
| Responsiveness of Hospital Staff | 36.44 | 64.65 | 79.72 |
| Pain Management | 47.93 | 70.16 | 78.24 |
| Communication about Medicines | 42.23 | 62.28 | 72.67 |
| Hospital Cleanliness & Quietness | 42.16 | 64.93 | 79.12 |
| Discharge Information | 62.85 | 84.45 | 90.26 |
| Overall Rating of Hospital | 36.45 | 69.05 | 83.89 |
We invited public comments on the proposed performance standards.
Comment: One commenter suggested that CMS phase out the Hospital VBP Program's use of improvement points when calculating hospitals' TPSs. The commenter explained that the Hospital VBP Program's initial implementation made improvement points necessary to encourage historically poor-performing hospitals to improve by giving them an opportunity to earn a value-based incentive payment based on their improvement. Other commenters argued, however, that the Hospital VBP Program should instead offer only achievement points in order to stop rewarding hospitals for catching up after providing subpar care delivery in the past.
Response: We thank commenters for this suggestion. However, the Hospital VBP statute requires that the performance standards include levels of both achievement and improvement. Our finalized scoring methodology awards points for improvement based on performance during the baseline period compared to performance during the performance period, and we continue to believe that this methodology enables us to incentivize hospitals both to achieve high performance on quality measures and to improve their performance over time. We will consider further revising our scoring methodology in the future.
Comment: Commenters requested that CMS address how hospitals' measured performance will change under CMS' pay-for-performance programs when the transition to ICD-10-CM/PCS codes occurs on October 1, 2014. Commenters argued that it would be unfair to compare baseline period data coded under one system to performance period data coded under another.
Response: We intend to address this topic with respect to the Hospital VBP Program in future rulemaking.
After consideration of the public comments we received, we are finalizing our FY 2016 performance standards for the Clinical Process of Care, Efficiency, and Patient Experience of Care domains as proposed, with the exception of the performance standards for SCIP-Inf-4, described further above. In addition, we are finalizing a modified SSI measure performance standards calculation, as described above in section V.H.6.b. of the preamble of this final rule.
Set out below are the finalized performance standards for the Clinical Process of Care, Outcome, Efficiency, and Patient Experience of Care Domains.
| Measure ID | Description | Achievement threshold | Benchmark |
|---|---|---|---|
| Clinical Process of Care Measures | |||
| AMI-7a | Fibrinolytic Therapy Received Within 30 Minutes of Hospital Arrival | 0.91154 | 1.00000 |
| IMM-2 | Influenza Immunization | 0.90607 | 0.98875 |
| PN-6 | Initial Antibiotic Selection for CAP in Immunocompetent Patient | 0.96552 | 1.00000 |
| SCIP-Inf-2 | Prophylactic Antibiotic Selection for Surgical Patients | 0.99074 | 1.00000 |
| SCIP-Inf-3 | Prophylactic Antibiotics Discontinued Within 24 Hours After Surgery End Time | 0.98086 | 1.00000 |
| SCIP-Inf-9 | Urinary Catheter Removed on Postoperative Day 1 or Postoperative Day 2 | 0.97059 | 1.00000 |
| SCIP-Card-2 | Surgery Patients on Beta-Blocker Therapy Prior to Arrival Who Received a Beta-Blocker During the Perioperative Period | 0.97727 | 1.00000 |
| SCIP-VTE-2 | Surgery Patients Who Received Appropriate Venous Thromboembolism Prophylaxes Within 24 Hours Prior to Surgery to 24 Hours After Surgery | 0.98225 | 1.00000 |
| Outcome Measures | |||
| CAUTI | Catheter-Associated Urinary Tract Infection | 0.801 | 0.000 |
| CLABSI | Central Line-Associated Blood Stream Infection | 0.465 | 0.000 |
| SSI | Surgical Site Infection | ||
| • Colon | • 0.668 | • 0.000 | |
| • Abdominal Hysterectomy | • 0.752 | • 0.000 | |
| Efficiency Measures | |||
| MSPB-1 | Medicare Spending per Beneficiary | Median Medicare Spending per Beneficiary ratio across all hospitals during the performance period | Mean of the lowest decile Medicare Spending per Beneficiary ratios across all hospitals during the performance period |
| HCAHPS Survey dimension | Floor (percent) | Achievement threshold (percent) | Benchmark (percent) |
|---|---|---|---|
| Communication with Nurses | 53.99 | 77.67 | 86.07 |
| Communication with Doctors | 57.01 | 80.40 | 88.56 |
| Responsiveness of Hospital Staff | 38.21 | 64.71 | 79.76 |
| Pain Management | 48.96 | 70.18 | 78.16 |
| Communication about Medicines | 34.61 | 62.33 | 72.77 |
| Hospital Cleanliness & Quietness | 43.08 | 64.95 | 79.10 |
| Discharge Information | 61.36 | 84.70 | 90.39 |
| Overall Rating of Hospital | 34.95 | 69.32 | 83.97 |
c. Certain Performance Standards for the FY 2017, FY 2018, and FY 2019 Hospital VBP Programs
In the FY 2014 IPPS/LTCH PPS proposed rule (78 FR 27616) we proposed to adopt the following performance standards for the three 30-day mortality and AHRQ PSI composite measures for the FY 2017, FY 2018, and FY 2019 Hospital VBP Program years:
| Measure ID | Description | Achievement threshold | Benchmark |
|---|---|---|---|
| Outcome Measures | |||
| MORT-30-AMI | Acute Myocardial Infarction (AMI) 30-day mortality rate | 0.851458 | 0.871669 |
| MORT-30-HF | Heart Failure (HF) 30-day mortality rate | 0.881794 | 0.903985 |
| MORT-30-PN | Pneumonia (PN) 30-day mortality rate | 0.882986 | 0.908124 |
| PSI-90 | Complication/patient safety for selected indicators (composite) | 0.580808 | 0.399880 |
| Measure ID | Description | Achievement threshold | Benchmark |
|---|---|---|---|
| Outcome Measures | |||
| MORT-30-AMI | Acute Myocardial Infarction (AMI) 30-day mortality rate | 0.850916 | 0.873053 |
| MORT-30-HF | Heart Failure (HF) 30-day mortality rate | 0.883421 | 0.907656 |
| MORT-30-PN | Pneumonia (PN) 30-day mortality rate | 0.882860 | 0.907900 |
| PSI-90 | Complication/patient safety for selected indicators (composite) | 0.585397 | 0.400502 |
| Measure ID | Description | Achievement threshold | Benchmark |
|---|---|---|---|
| Outcome Measures | |||
| MORT-30-AMI | Acute Myocardial Infarction (AMI) 30-day mortality rate | 0.850671 | 0.873263 |
| MORT-30-HF | Heart Failure (HF) 30-day mortality rate | 0.883472 | 0.908094 |
| MORT-30-PN | Pneumonia (PN) 30-day mortality rate | 0.882334 | 0.907906 |
| PSI-90 | Complication/patient safety for selected indicators (composite) | 0.585397 | 0.400502 |
We invited public comment on these proposed performance standards. However, we did not receive any comments specific to these proposed performance standards. We are therefore finalizing the performance standards as proposed, with the exception of the FY 2019 performance standards for the AHRQ PSI measure. As discussed further above in section V.H.7.e. of the preamble of this final rule, we intend to adopt the AHRQ PSI measure for FY 2019 in future rulemaking, and believe that by declining to finalize its performance periods and performance standards at this time, we may select a more recent baseline period for that measure for FY 2019. We note further that the performance standards for the mortality measures for FY 2017 through FY 2019 have not changed since they were displayed in the proposed rule.
| Measure ID | Description | Achievement threshold | Benchmark |
|---|---|---|---|
| Outcome Measures | |||
| MORT-30-AMI | Acute Myocardial Infarction (AMI) 30-day mortality rate | 0.851458 | 0.871669 |
| MORT-30-HF | Heart Failure (HF) 30-day mortality rate | 0.881794 | 0.903985 |
| MORT-30-PN | Pneumonia (PN) 30-day mortality rate | 0.882986 | 0.908124 |
| PSI-90 | Complication/patient safety for selected indicators (composite) | 0.577321 | 0.397051 |
| Measure ID | Description | Achievement threshold | Benchmark |
|---|---|---|---|
| Outcome Measures | |||
| MORT-30-AMI | Acute Myocardial Infarction (AMI) 30-day mortality rate | 0.850916 | 0.873053 |
| MORT-30-HF | Heart Failure (HF) 30-day mortality rate | 0.883421 | 0.907656 |
| MORT-30-PN | Pneumonia (PN) 30-day mortality rate | 0.882860 | 0.907900 |
| PSI-90 | Complication/patient safety for selected indicators (composite) | 0.582626 | 0.398030 |
| Measure ID | Description | Achievement threshold | Benchmark |
|---|---|---|---|
| Outcome Measures | |||
| MORT-30-AMI | Acute Myocardial Infarction (AMI) 30-day mortality rate | 0.850671 | 0.873263 |
| MORT-30-HF | Heart Failure (HF) 30-day mortality rate | 0.883472 | 0.908094 |
| MORT-30-PN | Pneumonia (PN) 30-day mortality rate | 0.882334 | 0.907906 |
9. FY 2016 Hospital VBP Program Scoring Methodology
a. General Hospital VBP Program Scoring Methodology
In the Hospital Inpatient VBP Program final rule, we adopted a methodology for scoring clinical process of care, patient experience of care, and outcome measures. As noted in that rule, this methodology outlines an approach that we believe is well understood by patient advocates, hospitals, and other stakeholders because it was developed during a lengthy process that involved extensive stakeholder input, and was based on a scoring methodology we presented in a report to Congress. We also noted in that final rule that we had conducted extensive additional research on a number of other important methodology issues to ensure a high level of confidence in the scoring methodology (76 FR 26514). In addition, we believe that, for reasons of simplicity, transparency, and consistency, it is important to score hospitals using the same general methodology each year, with appropriate modifications to accommodate new domains and measures. We finalized a scoring methodology for the MSPB measure in the FY 2012 IPPS/LTCH PPS final rule (76 FR 51654 through 51656).
In the FY 2013 IPPS/LTCH PPS final rule (77 FR 28087), for the FY 2015 Hospital VBP Program, we finalized our proposal to use these same scoring methodologies to score hospital performance for the FY 2015 Hospital VBP Program. In that rule, we stated that we believe these scoring methodologies continue to appropriately capture hospital quality as reflected by the finalized quality measure sets. We also noted that readopting the finalized scoring methodology from prior program years represents the simplest and most consistent policy for providers and the public.
We continue to believe that the finalized scoring methodology for the Hospital VBP Program is well understood by patient advocates, hospitals, and other stakeholders because it was developed during a lengthy process that involved extensive stakeholder input, and was based on a scoring methodology we presented in a report to Congress. As we stated in the FY 2013 IPPS/LTCH PPS final rule (77 FR 53604), we believe that, for reasons of simplicity, transparency, and consistency, it is important to score hospitals using the same general methodology each year, with appropriate modifications to accommodate new domains and measures.
Therefore, in the FY 2014 IPPS/LTCH PPS proposed rule (78 FR 27616 through 27617), we proposed to readopt the finalized scoring methodology adopted for the FY 2015 Hospital VBP Program for the FY 2016 Hospital VBP Program. We welcomed public comment on this proposal. However, we did not receive any public comments specific to the proposed scoring methodology. Therefore, we are finalizing the scoring methodology as proposed.
b. Domain Weighting for the FY 2016 Hospital VBP Program for Hospitals That Receive a Score on All Domains
In the FY 2013 IPPS/LTCH PPS final rule (77 FR 53582 through 53592), we added the Efficiency domain to the Hospital VBP Program beginning with the FY 2015 Hospital VBP Program. We also finalized our proposal for the following domain weights for the FY 2015 Hospital VBP Program for hospitals that receive a score on all four proposed domains (77 FR 53605 through 53606):
| Domain | Weight % |
|---|---|
| Clinical Process of Care | 20 |
| Patient Experience of Care | 30 |
| Outcome | 30 |
| Efficiency | 20 |
We stated that we believed this domain weighting appropriately reflects our priorities for quality improvement in the inpatient hospital setting and begins aligning with the National Quality Strategy's priorities. We believe that the domain weighting will continue to improve the link between Medicare payments to hospitals and patient outcomes, efficiency and cost, and the patient experience. We note that the weighting places the strongest relative emphasis on outcomes and the patient experience, which we view as two critical components of quality improvement in the inpatient hospital setting. We further note that the domain weighting, for the first time, incorporates a measure of efficiency and continues to provide substantial weight to clinical processes.
As we stated in the Hospital Inpatient VBP Program final rule (76 FR 26491), we believe that domains need not be given equal weight, and that over time, scoring methodologies should be weighted more towards outcomes, patient experience of care, and functional status measures (for example, measures assessing physical and mental capacity, capability, well-being and improvement). We took these considerations into account when developing the domain weighting proposal outlined below.
In the FY 2014 IPPS/LTCH PPS proposed rule (78 FR 27617), we proposed domain weights for hospitals that receive a score in all proposed domains. We believe that the proposed domain weighting specified below will continue to improve the link between Medicare payments to hospitals and patient outcomes, efficiency and cost, and the patient experience. We note that the proposed domain weighting places the highest relative weight on measures of outcomes and continues to place significant weight on the patient experience and on efficiency, while maintaining clinical processes as an important component of the program's quality measurement.
Therefore, we proposed the following domain weighting for the FY 2016 Hospital VBP Program:
| Domain | Weight % |
|---|---|
| Clinical Process of Care | 10 |
| Patient Experience of Care | 25 |
| Outcome | 40 |
| Efficiency | 25 |
We welcomed public comment on this proposed domain weighting.
Comment: Commenters supported the proposal to place more emphasis on the Outcome domain compared to Clinical Process of Care domain. Commenters also recommended that CMS consider the relative magnitude of quality incentives across programs when developing our domain weighting.
Response: We thank commenters for their support.
Comment: Some commenters strongly supported significant domain weighting for the Patient Experience of Care domain, arguing that it is imperative that hospitals continue to focus on the patient's experience when developing quality improvement efforts. Commenters suggested that CMS consider retaining the 30 percent weight finalized for FY 2015's Patient Experience of Care domain for FY 2016 and future years.
Response: We thank commenters for their support for substantial weighting for the Patient Experience of Care Domain. We agree that hospitals should be provided strong incentives to focus on the patient's experience of care during acute inpatient hospitalizations, and believe that our proposed weighting for the Patient Experience of Care domain for FY 2016 reflects that priority. We do not believe that the minor change to the Patient Experience of Care domain's weighting proposed for FY 2016 will diminish significantly the strong emphasis that hospitals place on the patient's experience during acute hospitalizations.
Comment: Some commenters opposed the proposed domain weighting, arguing that the Patient Experience of Care domain received too much weight as proposed. Commenters cited several studies and articles and argued that highly satisfied patients often have worse health outcomes, and that emphasizing patient satisfaction has contributed to narcotics abuse. These commenters recommended that CMS reconsider this domain's weighting. Commenters also expressed concern about the proposal to weight the Patient Experience of Care domain more heavily than the Clinical Process of Care domain, arguing that Patient Experience of Care measures do not necessarily correlate with medical outcomes, and suggested that CMS more evenly balance the domain weighting given to those two domains. Commenters also suggested that the HCAHPS measure lacks sufficient risk-adjustment, and that the survey systematically disadvantages hospitals that take on complex and sicker patients.
Response: We thank the commenters for their feedback. CMS and the HCAHPS Project Team are familiar with the studies cited. We are also aware of a number of studies published in peer-reviewed journals that have found that patient experience of care, as measured by the HCAHPS survey, is strongly and positively related to clinical process measures, outcomes, readmissions, and mortality. For brief reviews of these findings, we refer readers to: “The Patient Experience and Health Outcomes.” Matthew Manary, William Boulding, Richard Staelin, and Seth Glickman. New England Journal of Medicine, 368 (3): 201-203. 2013 and “What does the patient know about quality?” Karen Luxford. International Journal for Quality in Health Care. 24 (5): 439-440. 2012.
With respect to the articles cited by the commenter, we note that other researchers have cited flaws in the approach, data and methodology employed in the Fenton, et al., study, which did not directly examine the HCAHPS Survey. The study by Lyu, et al. is premised upon the misunderstanding that CMS uses patient experience as the sole criterion for measuring and assessing hospital quality. In addition, their findings, based on examination of 31 hospitals, may insufficiently represent the over 3,000 hospitals that participate in the Hospital VBP Program and the approximately 4,000 hospitals that participate in the Hospital IQR Program.
The focus of the Forbes magazine article [42] the commenter cited is surveys of physicians, not of the inpatient hospital experience. The HCAHPS Survey asks inpatients how often doctors treated them with courtesy and respect, listened carefully to the patient, and explained things in a way they could understand. HCAHPS does not identify or differentiate among the physicians who treated the patient. We are not aware of documented evidence or research that demonstrates that HCAHPS or other patient surveys have led hospitals or physicians to give patients “exactly what they want,” including medically unnecessary pain medications, in order to influence patients' responses to such surveys.
We believe that patient experience of care is a fundamental and intrinsically important aspect of hospital quality which merits its proposed weighting in the Hospital VBP Program TPS.
As we stated in the Hospital Inpatient VBP final rule (76 FR 26526), we believe that delivery of high-quality, patient-centered care requires us to carefully consider the patient's experience in the hospital inpatient setting. Moreover, as we stated in the FY 2013 IPPS/LTCH PPS final rule (77 FR 53606), we are aware of no data suggesting that patient characteristics result in bias in the HCAHPS patient-mix adjusted data used in the Hospital VBP Program.
We thoroughly tested the HCAHPS patient-mix adjustment model before the national implementation of the HCAHPS Survey in 2006 and have checked it regularly since. We use a patient-mix adjustment, also known as case-mix adjustment, in a transparent manner in our standard patient-mix adjustment of HCAHPS scores, as explained on the official HCAHPS On-Line Web site, http://www.hcahpsonline.org, in our research documents, in the patient-mix adjustment coefficients that are posted on this Web site, and in our published research.
The HCAHPS Survey includes an item that asks for patients' assessment of their overall health that we use in our standard patient-mix adjustment of HCAHPS scores to account for patient acuity.
While we continue to believe that this adjustment adequately captures patient acuity, in response to comments about HCAHPS in previous IPPS rules, we added an item to the HCAHPS Survey in January 2013 that asks patients to assess their overall mental or emotional health. At this time, we are analyzing the effect of patients' overall mental or emotional health on HCAHPS scores. Based on the results of this analysis, we will determine whether we believe a further patient-mix adjustment for mental or emotional health may be warranted.
Therefore, we do not believe that the proposed weighting for the Patient Experience of Care domain is too high, and we believe that placing significant weighting on the Patient Experience of Care appropriately encourages hospitals to focus intently on this clinical area.
Comment: Some commenters fully supported the proposed increase in the Efficiency domain weight, and a few of those commenters expressed support for an aggressive increase in its weight over time. MedPAC also supported the proposed domain weights.
Response: We thank the commenters for their support, and we agree that shift in emphasis on efficiency is one important goal for the Hospital VBP Program.
Comment: Many commenters opposed the increased weight for the Efficiency domain from 20 percent in FY 2015 to 25 percent for FY 2016. The commenters' opposition was based on concerns related to the MSPB measure and the fact that the domain is comprised of only one measure.
Response: We responded to commenters' concerns with the MSPB measure in general in section V.H.7.d of the preamble to this final rule. With regard to the concern that the domain is comprised of only one measure, we acknowledge the potential for building a more robust efficiency measure set, as we stated in the FY 2013 IPPS/LTCH PPS final rule (77 FR 53585 through 53586), and we solicited and received public comments on how we might pursue that goal in this rule. We intend to ensure that any additional efficiency measures are fully developed, tested, included in the Hospital IQR Program, and posted on the Hospital Compare Web site before they are included in the Hospital VBP Program, in accordance with the program's statutory requirements. In the interim, we continue to believe that increased emphasis on efficiency is an important goal for the Hospital VBP Program, and that the efficiency domain weight should be increased accordingly.
Comment: Some commenters opposed the proposed FY 2016 domain weighting, arguing that the Outcome, Patient Experience of Care, and Efficiency domains were accorded too much weighting as proposed. Commenters argued that the Clinical Process of Care domain should be given increased weight given those measures' long inclusion in both the Hospital IQR and Hospital VBP Programs. Other commenters argued that because of reliability concerns about certain Outcome measures, the proposed weight for the Outcome domain is inappropriate.
Response: We disagree that we have placed too much weight on the Outcome, Patient Experience, and Efficiency domains. In the Hospital Inpatient VBP Program final rule (76 FR 26526), we stated our intent to consider placing greater weight on measures of outcomes than measures of clinical processes as we developed our domain weighting proposals for FY 2014, and we believe we have appropriately done so when proposing domain weights for FY 2014 and FY 2015. We believe it is appropriate to continue placing a strong emphasis on measures of clinical outcomes under the Hospital VBP Program. As described further above, we also believe it to be appropriate to place significant weight on the Patient Experience of Care and Efficiency domains.
While we agree that Clinical Process of Care measures are important to quality measurement, we believe that placing emphasis on measures of Outcomes necessarily requires some reduction to the domain weight placed on Clinical Processes, in particular because the Clinical Process of Care domain was weighted as 70 percent of the TPS under the FY 2013 Hospital VBP Program.
After consideration of the public comments we received, we are finalizing the FY 2016 domain weighting for hospitals receiving a score on all domains as proposed.
Set out below are the finalized domain weights for hospitals that receive a score in all proposed domains.
| Domain | Weight % |
|---|---|
| Clinical Process of Care | 10 |
| Patient Experience of Care | 25 |
| Outcome | 40 |
| Efficiency | 25 |
c. Domain Weighting for the FY 2016 Hospital VBP Program for Hospitals Receiving Scores on Fewer Than Four Domains
In prior program years, we finalized a policy that hospitals must have received domain scores on all finalized domains in order to receive a TPS. However, since the Hospital VBP Program has evolved from its initial two domains to an expanded measure set with additional domains, we considered whether it was appropriate to continue this policy.
In the FY 2013 IPPS/LTCH PPS final rule (77 FR 53608 through 53609), we finalized our proposal for a higher minimum number of cases for the three 30-day mortality measures for the FY 2015 Hospital VBP Program than was finalized for the FY 2014 Hospital VBP Program. We made this change in our policy in order to improve these measures' reliability given the relatively short performance period for these measures. However, we were concerned that the relatively higher minimum number of cases could result in a substantially larger number of hospitals being excluded from the Hospital VBP Program. We believe that we should make a concerted effort to include as many hospitals as possible in the program in order to offer quality incentives and encourage quality improvement.
Therefore, in the FY 2013 IPPS/LTCH PPS final rule (77 FR 53606 through 53607), we finalized our proposal that, for the FY 2015 Hospital VBP Program and subsequent years, hospitals with sufficient data to receive at least two domain scores (that is, sufficient cases and measures to receive a domain score on at least two domains) will receive a TPS. We also finalized our proposal that, for hospitals with at least two domain scores, TPSs would be reweighted proportionately to the scored domains to ensure that the TPS is still scored out of a possible 100 points and that the relative weights for the scored domains remain equivalent to the weighting which occurs when there are scores in all four domains. We believe that this approach allows us to include relatively more hospitals in the Hospital VBP Program while continuing to focus on reliably scoring hospitals on their quality measure performance. In the FY 2014 IPPS/LTCH PPS proposed rule (78 FR 27617 through 26718), we proposed to continue this approach for the FY 2016 Hospital VBP Program and subsequent fiscal years for purposes of eligibility for the program. However, as detailed further below, we proposed to reclassify the Hospital VBP Program's quality measurement domains beginning with the FY 2017 Hospital VBP Program to align more closely with CMS' National Quality Strategy, and we sought public comments on how we should determine minimum numbers of cases and measures under that proposed policy.
We invited public comment on this proposed reweighting for hospitals with sufficient data on at least two finalized domains. However, we did not receive any comments specific to this policy. We are therefore finalizing this policy as proposed.
d. Domain Reclassification and Domain Weighting for the FY 2017 Hospital VBP Program
In the FY 2013 IPPS/LTCH PPS final rule (77 FR 53593 through 53594), we outlined one possible set of measure classifications based on the National Quality Strategy. However, we did not finalize our proposal to adopt quality measurement domains based on the National Quality Strategy for the FY 2016 Hospital VBP Program, because we understood stakeholders to be concerned about our proposal to reshape the Hospital VBP Program's scoring methodology before hospitals had actual experience with the program and its value-based incentive payments.
However, we now believe that hospitals have accumulated practical experience with all components of the Hospital VBP Program, including performance periods and payment periods. As a result of our extensive outreach efforts to hospitals and stakeholders, as well as the practical experience with the first year of the program, we also believe that hospitals and other stakeholders generally understand the program's operations and scoring methodology. Therefore, we believe that we have addressed commenters' concerns, summarized in the FY 2013 IPPS/LTCH PPS final rule (77 FR 53594), that we should wait until hospitals have experienced the program fully before fundamentally reshaping its structure.
We are attempting to align all of our quality improvement efforts with the NQS, particularly because it is a patient-centered approach that aligns public and private efforts. We are aware that NQF uses NQS-based domains, and we also use those domains in development of other agency-specific efforts. We note further that stakeholders frequently request that HHS align its quality improvement efforts so that providers are not subjected to different measurement approaches, and we believe that adapting the Hospital VBP Program domain structure is one approach to achieving that goal. We believe that the longer we wait to adapt the Hospital VBP Program to the NQS domains, the more difficult it will be, and we believe we need a common framework as we begin alignment efforts between the Hospital IQR Program, the Hospital VBP Program, and the Medicare EHR Incentive Program. CMS's quality measurement strategic plan also centers on the NQS, and we believe that using these domains rewards hospitals for providing more efficient and more patient-centered care. The most recent Annual Progress Report to Congress addressing the NQS can be found on the Web site at: http://www.ahrq.gov/workingforquality/nqs/nqs2012annlrpt.pdf.
Therefore, in the FY 2014 IPPS/LTCH PPS proposed rule (78 FR 27618 through 27619), we proposed to align the Hospital VBP Program's quality measurement domains with the NQS' quality priorities, with certain modifications discussed further below. We proposed to adopt this realignment beginning with the FY 2017 Hospital VBP Program.
We proposed to combine the priorities of Care Coordination and Patient and Caregiver Centered Experience of Care into one domain for purposes of aligning the Hospital VBP Program domains with the NQS priorities. Care Coordination aligns with the NQS priority stated as promoting effective communication and coordination of care. Patient and Caregiver Centered Experience of Care aligns with the NQS priority stated as ensuring that each person and family are engaged as partners in their care. We stated our belief that, in order to be engaged as partners, effective communication and coordination of care must coexist. This notion is further exemplified by one of the 10 principles of the NQS, found at http://www.ahrq.gov/workingforquality/nqs/principles.html, which notes that “Person-centeredness and family engagement, including understanding and valuing patient preferences, will guide all strategies, goals, and health care improvement efforts. The most successful health care experiences are often those in which clinicians, patients, and their families work together to make decisions.” We stated our belief that care coordination includes this shared decision-making among clinicians, patients, and their families, and further believe that a component of these important concepts can be captured with the HCAHPS measure.
Therefore, we stated that we believe that placing the HCAHPS measure into the proposed combined domain below will continue to encourage hospitals to focus on improving the patient's experience during acute care hospitalizations and will enable us to continue providing incentives that focus on patient and caregiver experience and coordination of care. However, with the exception of the HCAHPS measure described above, we did not believe that any of the other proposed measures for the FY 2016 Hospital VBP Program, which would form the basis for the FY 2017 Hospital VBP Program's measure set, should be placed into the proposed combined Patient and Caregiver Experience of Care/Care Coordination domain. We stated our intent to consider proposing to adopt measures of care coordination in the future as they become available.
We stated that we may propose further refinements to the Hospital VBP Program domain structure in future years to accommodate the NQS' population health priority or other quality improvement priorities as appropriate, but did not propose to adopt a Population Health domain at this time.
We noted that the proposed NQS-based domain structure combines measures of clinical processes and outcomes under the “Clinical Care” priority. In order to ensure that outcomes remain a principal focus of hospitals' quality improvement efforts, as well as to continue our effort to shift the program over time to include more measures of outcomes and efficiency, we proposed to stratify the NQS-based Clinical Care domain into “Clinical Care—Outcomes” and “Clinical Care—Process,” which will enable us to provide significant weight to measures of outcomes and avoid diluting hospitals' focus on measures of outcomes.
We noted further that the proposed NQS-based domains include “Efficiency and Cost Reduction,” a domain priority that we believe is analogous to the current “Efficiency” domain finalized for the Hospital VBP Program, and a “Safety” domain. We placed measures of outcomes into both the Clinical Care—Outcome and Safety domains below and generally distinguished between the two by focusing on the measures' direct impact on patients. The measures we proposed to place into the Safety domain include measures of healthcare-associated infections and the AHRQ patient safety composite. We stated our belief that hospitals must continue to focus quality improvement efforts on these outcome safety measures, which track infection and safety events that pose direct harm to patients.
Finally, as we stated in the Hospital Inpatient VBP Program final rule (76 FR 26491), we believe that domains need not be given equal weight, and that over time, scoring methodologies should be weighted more towards outcomes, patient experience of care, and functional status measures (for example, measures assessing physical and mental capacity, capability, well-being and improvement). We took these considerations into account when developing the domain weighting proposal outlined below. We stated our belief that the proposed domain weighting will continue to improve the link between Medicare payments to hospitals and patient outcomes, efficiency and cost, and the patient and care giver experience.
We noted further that the proposed domain weighting below places significant weight on measures of clinical outcomes, efficiency, and the patient experience, while also prioritizing safety and clinical processes. We stated our belief that the proposed domain weighting appropriately balances the clinical quality priorities described by the NQS.
Therefore, we proposed to adopt the following domains and domain weights for the FY 2017 Hospital VBP Program:
| Domain | Weight |
|---|---|
| Safety | 15 percent. |
| Clinical Care | 35 percent. |
| • Clinical Care—Outcomes | • 25 percent. |
| • Clinical Care—Process | • 10 percent. |
| Efficiency and Cost Reduction | 25 percent. |
| Patient and Caregiver Centered Experience of Care/Care Coordination | 25 percent. |
We welcomed public comments on this proposal.
While we stated our belief there are advantages to aligning the Hospital VBP Program domains with the NQS domains, we also recognized that there may be advantages associated with maintaining consistency with previous years' domains. Accordingly, as an alternative to realigning the Hospital VBP Program's domain structure more closely with the NQS beginning with FY 2017, we also invited public comments on whether we should adopt the following domains and domain weighting, which would be consistent with the proposals outlined for FY 2016 above:
| Domain | Weight (percent) % |
|---|---|
| Clinical Process of Care | 10 |
| Patient Experience of Care | 25 |
| Outcome | 40 |
| Efficiency | 25 |
We also sought public comments on how we should assign proposed measures to the new NQS-aligned domains, if finalized for FY 2017, and sought public comments on the following domain assignments for proposed FY 2016 measures, which would form the initial basis for the FY 2017 Hospital VBP Program's measure set:
| Measure ID | Current domain | NQS-based domain |
|---|---|---|
| AMI-7a | Clinical Process of Care | Clinical Care—Process. |
| IMM-2 | Clinical Process of Care | Clinical Care—Process. |
| PN-6 | Clinical Process of Care | Clinical Care—Process. |
| SCIP-Inf-2 | Clinical Process of Care | Clinical Care—Process. |
| SCIP-Inf-3 | Clinical Process of Care | Clinical Care—Process. |
| SCIP-Inf-9 | Clinical Process of Care | Clinical Care—Process. |
| SCIP-Card-2 | Clinical Process of Care | Clinical Care—Process. |
| SCIP-VTE-2 | Clinical Process of Care | Clinical Care—Process. |
| HCAHPS | Patient Experience of Care | Patient and Caregiver Centered Experience of Care/Care Coordination. |
| CAUTI | Outcome | Safety. |
| CLABSI | Outcome | Safety. |
| MORT-30-AMI | Outcome | Clinical Care—Outcomes. |
| MORT-30-HF | Outcome | Clinical Care—Outcomes. |
| MORT-30-PN | Outcome | Clinical Care—Outcomes. |
| PSI-90 | Outcome | Safety. |
| SSI | Outcome | Safety. |
| MSPB-1 | Efficiency | Efficiency and Cost Reduction. |
Comment: Many commenters expressed support for the proposal to adopt new quality domains based on the National Quality Strategy for FY 2017 and future program years. Commenters further suggested that CMS consider carefully how to score Mortality and Process measures under the revised domain structure, arguing that the Outcome portion of the Total Performance Score should receive no more than 25 percent weight, while Processes should receive at least 45 percent. Other commenters argued that CMS placed too much emphasis on the Outcome measures under the new domain structure given their concerns about the measures' reliability, and argued that CMS should adopt a more balanced mix of process and outcome measures in the program.
Response: We thank commenters for their support. We do not believe we placed too much domain weight on measures of Outcomes under the revised domain structure, as some commenters suggested. As we indicated in the Hospital Inpatient VBP Program final rule (76 FR 26491), we are attempting to move our quality programs “as quickly as possible to using primarily outcome and patient experience measures.” We believe that our proposed domain structure and domain weighting appropriately continues the program's transition from being based primarily on measures of clinical processes towards a focus on measures of outcomes and the patient experience.
Comment: Commenters suggested that CMS consider the Hospital Readmissions Reduction Program as the Care Coordination domain for the Hospital VBP Program, particularly because CMS did not propose to include any measures in the Care Coordination domain.
Response: We thank commenters for this suggestion. However, as described above in section V.H.6.b. of the preamble of this final rule, we do not believe it to be feasible under the statute to treat the Hospital Readmissions Reduction Program as a component of the Hospital VBP Program. We note further that we are prohibited by section 1886(o)(2)(A) of the Act from selecting measures of readmissions for the Hospital VBP Program.
Comment: Commenters argued that CMS should select measures that assess the hospital's role in Care Coordination given the Hospital VBP Program's focus on providing quality-based incentives to hospitals. Some commenters suggested that CMS work with QIOs to develop new measures of care coordination for use in the Hospital VBP Program.
Response: We thank commenters for this feedback. We agree that care coordination, and specifically, care transition, is a vital aspect of health care providers' services and patients' experience of care. In order to measure and assess inpatients' experience with preparation for transition to post-acute care, we added the three-item Care Transition Measure to the HCAHPS Survey in January 2013. Once we have collected four quarters (12 months) of data on these items, we intend to publicly report results on the Hospital Compare Web site in the form of a Care Transition Composite measure. Whether, when, and how this information might be used in the Hospital VBP Program will be addressed in future rulemaking.
We intend to continue working with stakeholders to develop new, robust quality measures for the Hospital VBP Program, including new measures of care coordination.
After consideration of the public comments we received, we are finalizing our proposal to adopt new quality measurement domains based on the CMS National Quality Strategy for the FY 2017 Hospital VBP Program as proposed. We intend to propose more details about this policy in future rulemaking.
We also sought comment on how we should address minimum numbers of cases and measures under sections 1886(o)(1)(C)(ii)(III) and (IV) of the Act if we finalize this domain structure for the FY 2017 Hospital VBP Program. If we adopted the NQS-based domains solely for purposes of constructing the TPS, we could retain the general case and measure minimums structure adopted for prior program years. However, given the requirement in section 1886(o)(1)(C)(iii) of the Act that the Secretary conduct an independent analysis of what numbers are appropriate, we are also considering if we should commission such an analysis for the NQS domains, as modified. We sought public comments on this issue. However, we did not receive any comments on this issue. We intend to address this issue in future rulemaking.
e. Disaster/Extraordinary Circumstance Exception [43] Under the Hospital VBP Program
We are concerned that hospital performance under the Hospital VBP Program might be adversely impacted as a direct result of a significant natural disaster or other extraordinary circumstance. We are aware, for example, that Hurricane Sandy forced some hospitals in the New York-New Jersey-Connecticut area to close during the autumn of 2012, which impacted their ability to report quality measure data that will be used for both the FY 2014 and FY 2015 Hospital VBP Programs. We also recognize that hospitals that are closed during a portion of a performance period might still be eligible to receive a TPS and value-based incentive payments based on their measured quality performance during the remaining portion of the performance period for a fiscal year.
However, we also are aware that many hospitals that were affected by Hurricane Sandy nevertheless remained open both during and after the storm, and we are concerned more generally that these hospitals, as well as other hospitals that are able to remain open despite being impacted by a local disaster or other extraordinary circumstance, might experience a decline in performance as a direct result of remaining open. For example, a hospital might be able to demonstrate that its performance on the HCAHPS survey was adversely impacted as a direct result of remaining open during or after a natural disaster if the hospital became overcrowded due to a neighboring hospital's closure, or understaffed due to the inability of staff to get to work. We believe that these types of unforeseen extraordinary circumstances could substantially affect the ability of the hospital to perform at the same level at which it might otherwise have performed if the natural disaster or extraordinary circumstance had not occurred, and we are concerned that using cases and claims from this period to generate the TPS might negatively, and unfairly, impact the value-based incentive payment amount that the hospital would otherwise receive.
Currently, hospitals participating in the Hospital IQR Program may request that we grant an extension or waiver of one or more data submission deadlines in the event of extraordinary circumstances beyond the control of the hospital. However, we do not believe this process is entirely sufficient for the Hospital VBP Program. The Hospital IQR Program's extraordinary circumstances extensions/waiver process allows hospitals that have been granted an extension/waiver to receive the full annual percentage increase under the IPPS for the applicable fiscal year even though they did not submit data on measures in the same time, form, and manner required of other hospitals. To the extent that a hospital, as a result of receiving an extension or waiver under the Hospital IQR Program, does not report the minimum number of cases or measures under the Hospital VBP Program (as determined appropriate by the Secretary under sections 1886(o)(1)(C)(ii)(III) and (IV) of the Act), that hospital will be excluded from the Hospital VBP Program for the applicable fiscal year.
However, the Hospital IQR Program extraordinary circumstance extension/waiver process does not address the situation we are concerned with here; namely, where a hospital is able to continue to report data on measures that are included in both the Hospital IQR Program and the Hospital VBP Program, but can demonstrate that its Hospital VBP measure rates are negatively impacted as a result of a natural disaster or other extraordinary circumstance and, as a result, the hospital receives a lower value-based incentive payment. Therefore, in the FY 2014 IPPS/LTCH PPS proposed rule (78 FR 27619 through 27621), we proposed to adopt a Hospital VBP Program extraordinary circumstances exception process.
In developing our proposed approach, we considered the feasibility of adopting an exception that would allow a hospital to not have the measure data submitted during the affected time period included in its measure scores. This type of exception policy would enable affected hospitals to continue to participate in the Hospital VBP Program for a given fiscal year if they continued to meet applicable measure and case minimums despite the fact that their TPS would not include data that is the subject of the exception. Therefore, this policy could prevent the possibility that a hospital's TPS is significantly, and negatively, affected by a natural disaster or other extraordinary circumstance, which we believed would alleviate our concerns.
However, implementing this type of data exception process presents certain operational difficulties. While chart-abstracted measures generally are reported using a date of service that would enable us to correctly identify which data should be excluded, the same is not necessarily true of patient experience of care measure data because HCAHPS survey dates do not align with service dates; instead, they are dependent on the timing of the survey's completion after discharge.
A further complication arises with certain claims-based measures. For example, the risk-adjustment methodology currently in use for the 30-day mortality measures requires a fixed dataset for computation of all hospitals' risk-adjusted measure rates. Adding or removing data from the national claims set used to calculate a mortality measure's rates for a given time period therefore requires recalculation of all hospitals' measure rates, as the risk-profile used to adjust hospitals' measured performance for the time period would have changed. In addition, in light of our policy to generate a TPS for hospitals that receive scores on fewer than all domains, we were concerned that proposing to adopt an extraordinary circumstances exception process that would apply only to the clinical process of care domain data that we may relatively easily remove from scoring would be ineffective. We stated that we did not believe that creating an exception for only clinical process of care domain data would mitigate the effects of a disaster or other extraordinary circumstances on hospitals' TPSs under the Hospital VBP Program, particularly if hospitals' performance on all measures is affected significantly by those circumstances. An increase in measured mortality rates, for example, would not be mitigated by a clinical process of care-centered exception, and could penalize the hospital.
Given the operational constraints discussed above, we stated our belief that the best way to implement an extraordinary circumstances exception process under the Hospital VBP Program is to interpret the minimum numbers of cases and measures requirement in sections 1886(o)(1)(C)(ii)(III) and (IV) of the Act to enable us to not score (we used the term “waive” in the proposed rule) all applicable quality measure data from a performance period and, thus, exclude the hospital from the Hospital VBP Program for a fiscal year during which the hospital has experienced a disaster or other extraordinary circumstance.
Under this policy, a hospital struck by a natural disaster or other extraordinary circumstance would be able to request a Hospital VBP Program disaster/extraordinary circumstance exception at the same time that it requests an extraordinary circumstance waiver under the Hospital IQR Program. The hospital would submit the Hospital IQR Program extension/waiver request form, including any available evidence of the impact of the extraordinary circumstances on the hospital's quality measure performance, and would note that it also seeks an exception from the Hospital VBP Program for the program year in which the same data could be used as performance period data to generate a TPS based on the measures included in the Hospital VBP Program. In the FY 2012 IPPS/LTCH PPS final rule (76 FR 51652), we finalized a requirement for Hospital IQR waivers that affected hospitals submit their requests within 30 days of the date that the extraordinary circumstance occurred. We stated our belief that this timeframe was appropriate for our proposed exception process for the Hospital VBP Program as it aligned with the current requirements under the Hospital IQR Program and forestalled the possibility of hospitals attempting to “game” their Hospital VBP Program scores by requesting an exception after they receive their Percentage Payment Summary Reports for a given fiscal year.
We stated our intent to review exception requests and, at our discretion based on our evaluation of the impact of the disaster/extraordinary circumstances on the hospital's quality measure performance, provide a response to the hospital. We stated our intent to notify hospitals about our Hospital VBP Program exception decisions concurrent with decisions made under the Hospital IQR Program's waiver process.
For these reasons, we proposed that the phrases “minimum number of measures that apply to the hospital” in section 1886(o)(1)(C)(iii) of the Act and “minimum number of cases for the measures that apply to the hospital” in section 1886(o)(1)(C)(iv) of the Act do not include any measures or cases that a hospital has submitted during a performance period for which it is granted a Hospital VBP Program disaster/extraordinary circumstance exception.
We stated our intent to implement this policy in a limited fashion, and based on prior experience with the Hospital IQR Program, anticipate providing such exceptions only to a small number of hospitals. We did not intend to allow hospitals to use this proposed process to seek exclusion from the Hospital VBP Program solely because of comparatively poor performance under the program's scoring methodology; rather, we intended only to provide relief to hospitals whose performance suffered as a result of a disaster or other extraordinary circumstances.
We invited public comments on this proposal. We stated that we were specifically interested in public comments on the structure of the proposed process, and if we should consider implementing the process differently.
Comment: Many commenters supported the proposal to adopt a disaster/extraordinary circumstances exception process. Commenters were concerned, however, that 30 days might not be enough time for hospitals to determine if an exception is necessary, and suggested that CMS extend the request window to 60 or 90 days. Commenters also suggested that CMS decouple the Hospital VBP Program exception request from the Hospital IQR Program waiver process, noting that it may take longer than 30 days for hospitals to assess a disaster's impact on their measured performance. Commenters also suggested that CMS consider providing exceptions to hospitals whose paper medical records are destroyed during natural disasters.
Response: We thank commenters for their input. As described further below, we intend to decouple the Hospital VBP Program's exception process from the Hospital IQR Program's waiver process, and to extend the deadline for Hospital VBP Program-specific exception requests.
Comment: Some commenters suggested that CMS reconsider the structure of its proposed exception process. Commenters noted that some types of disasters or circumstances may not completely inhibit a hospital's reporting capability for long durations, and may simply require extended data reporting deadlines. Commenters recommended that CMS grant extensions of the data reporting deadlines without granting hospitals an exception from the entirety of the Hospital VBP Program. Commenters also referred us to letters submitted to CMS in May 2013 explaining how Hurricane Sandy affected hospitals, and suggested that we conduct an assessment of Hospital VBP scores for FY 2014 and 2015 to determine whether they are lower than expected, and consider adjustments to scores if necessary.
Response: We thank commenters for this feedback. However, we believe the type of exception envisioned by the commenters—that is, extensions of the data reporting deadlines—is already available under current Hospital IQR Program policy. Because the Hospital VBP Program generally uses data that was also submitted under the Hospital IQR Program, we believe that Hospital IQR data, even when submitted late in accordance with a Hospital IQR data reporting extension, can be scored under the Hospital VBP Program. We proposed the Hospital VBP Program-specific exception process in order to avoid penalizing hospitals under the Hospital VBP Program that are able to report Hospital IQR Program data but whose measured performance suffers due to disasters or other circumstances beyond their control. We intend to accommodate extensions or waivers of data reporting deadlines under the Hospital IQR Program as circumstances warrant. We also intend to continue monitoring Hospital VBP scores, and will examine the issue of performance affected by Hurricane Sandy in the future.
After consideration of the public comments we received, we are finalizing a policy under which we will consider, upon a hospital's request and after our review, providing an exception from a Hospital VBP Program year to hospitals affected by natural disasters or other extraordinary circumstances. Specifically, we are finalizing our proposal that the phrases “minimum number of measures that apply to the hospital” in section 1886(o)(1)(C)(iii) of the Act and “minimum number of cases for the measures that apply to the hospital” in section 1886(o)(1)(C)(iv) of the Act do not include any measures or cases that a hospital has submitted during a performance period for which it is granted a Hospital VBP Program disaster or extraordinary circumstance exception. We will evaluate a hospital's requests, along with supporting evidence provided by the hospital, and if we agree that the disaster or extraordinary circumstance significantly affected the hospital's performance under the Hospital VBP Program, we will grant an exception from a Hospital VBP Program year.
However, we are not finalizing our proposal that these exception requests must be made at the same time as waiver requests under the Hospital IQR Program. We agree with commenters' stated concerns about the time necessary to understand how a disaster or extraordinary circumstance affects measured performance under the Hospital VBP Program. We therefore will require that disaster exception requests be submitted within 90 calendar days of the date that the natural disaster or other extraordinary circumstance occurred. We believe that this extended timeline for disaster exception requests is responsive to commenters' concerns and enables hospitals to evaluate fully the impacts of natural disasters or other extraordinary circumstances on their performance under the Hospital VBP Program.
10. Applicability of the Hospital VBP Program to Hospitals
a. Background
Section 1886(o)(1)(C) of the Act specifies how the Hospital VBP Program applies to hospitals. Specifically, the term “hospital” is defined under section 1886(o)(1)(C)(i) of the Act as a “subsection (d) hospital (as defined in section 1886(d)(1)(B [of the Act])).” Section 1886(o)(1)(C)(ii) of the Act sets forth a list of exclusions to the definition of the term “hospital” with respect to a fiscal year, including a hospital that is subject to the payment reduction under section 1886(b)(3)(B)(viii)(I) of the Act (the Hospital IQR Program), a hospital for which, during the performance period for the fiscal year, the Secretary has cited deficiencies that pose immediate jeopardy to the health or safety of patients, a hospital for which there are not a minimum number of measures that apply to the hospital for the applicable performance period for the fiscal year, and a hospital for which there are not a minimum number of cases for the measures that apply to the hospital for the performance period for the fiscal year.
In addition, section 1886(o)(1)(C)(iv) of the Act states that in the case of a hospital that is paid under section 1814(b)(3) of the Act, the Secretary may exempt the hospital from the Hospital VBP Program if the State submits an annual report to the Secretary describing how a similar program in the State for a participating hospital or hospitals achieves or surpasses the measured results in terms of patient health outcomes and cost savings established under the Hospital VBP Program. We interpret the reference to section 1814(b)(3) of the Act to mean those Maryland hospitals that are paid under section 1814(b)(3) of the Act and that, absent the “waiver” specified by section 1814(b)(3) of the Act, would have been paid under the IPPS.
b. Minimum Numbers of Cases and Measures for the FY 2016 Hospital VBP Program Outcome Domain
In the FY 2013 IPPS/LTCH PPS final rule (77 FR 53608 through 53609), we finalized minimum numbers of cases and measures for the FY 2015 Hospital VBP Program's Outcome domain. For the finalized 30-day mortality measures, we finalized a 25-case minimum for FY 2015. For the AHRQ PSI composite measure, we adopted AHRQ's methodology, which provides a score on the measure to any hospital with at least three cases on any underlying indicator. For the CLABSI measure, we adopted CDC's minimum case criteria, which calculates a standardized infection ratio for a hospital on the CLABSI measure if the hospital has 1 predicted infection during the applicable period. We also finalized our policy to provide a TPS to hospitals with sufficient cases in at least two of the four finalized quality measure domains (77 FR 53607).
In the CY 2012 OPPS/ASC final rule with comment period (76 FR 74532 through 74534) we concluded, based on an independent analysis, that the minimum number of measures that a hospital must report in order to receive a score on the Outcome domain is two measures. We continue to believe that this minimum number is appropriate for the expanded Outcome domain because adding measure scores beyond the minimum number of measures has the effect of enhancing the domain score's reliability. Therefore, in the FY 2014 IPPS/LTCH PPS proposed rule (78 FR 27621 through 27622), we proposed to retain the finalized minimum number of measures for the Outcome domain for the FY 2016 Hospital VBP Program.
We invited public comment on these proposals. However, we did not receive any specific comments on the minimum number of measures for the Outcome domain. We are therefore finalizing this minimum number as proposed.
c. Hospitals Paid Under Section 1814(b)(3) of the Act
In the FY 2013 IPPS/LTCH PPS final rule (77 FR 53607 through 53608), beginning with the FY 2014 Hospital VBP Program, we adopted a new procedure for submission of the report in order for a Maryland hospital to be exempt from the Hospital VBP Program for a fiscal year. Under this finalized procedure, if the State seeks an exemption with respect to a particular program year, it would need to submit a report that meets the requirements of section 1886(o)(1)(C)(iv) of the Act in a timeframe that allows it to be received by the Secretary on or before November 15 prior to the effective fiscal year (for example, the report seeking an exemption from the FY 2014 Hospital VBP Program would have to be received by the Secretary no later than November 15, 2012). We stated that we anticipate notifying the State, as well as each hospital for which the State has requested an exemption, of our decision whether to grant the request no later than 90 days following the exemption request deadline.
We received an FY 2014 exemption request from the Maryland Health Services Cost Review Commission and the State of Maryland Department of Health and Mental Hygiene in November 2012, and the Secretary approved the exemption request on December 19, 2012.
We determined that Maryland meets or exceeds the patient health outcomes and cost savings requirements for exemption from the FY 2014 Hospital VBP Program. In terms of patient health outcomes, the Maryland Quality-Based Reimbursement (MQBR) Program focuses rewarding high quality care on hospital performance in similar clinical areas as the Hospital VBP Program (heart attack, heart failure, and pneumonia, surgical processes of care and infection control). In general, the relevant health outcomes for the State's hospitals cited in its request achieve or surpass the current national results for comparable quality process and closely related clinical outcomes. In terms of cost savings, both the Hospital VBP Program and the MQBR Program reward high performers in a revenue-neutral manner. In this way, Maryland has achieved cost savings under its quality programs that meet any documented savings under the Hospital VBP Program, thereby meeting the standard specified in section 1886(o)(1)(C)(iv) of the Act for hospitals paid under section 1814(b)(3) of the Act.
We received a few general comments on our procedures for considering exemption requests for hospitals paid under section 1814(b)(3) of the Act.
Comment: One commenter argued that Maryland hospitals' performance on quality measures reported to CMS does not surpass national averages for Clinical Process of Care and Patient Experience of Care measures. The commenter further argued that Maryland should not receive an exemption from the Hospital VBP Program for any years under consideration at CMS because it is not meeting or exceeding national standards on quality measures.
Response: We thank the commenter for the input. We determined that Maryland meets or exceeds the cost savings requirement for exemption from the FY 2014 Hospital VBP Program, based on the fact that both programs reward high performers in a revenue-neutral manner. In this way, Maryland has achieved cost savings under its quality programs that meet any documented savings under the Hospital VBP Program. In general, the relevant health outcomes for Maryland hospitals achieve or surpass the current national results for comparable quality process of care measures, and AMI, HF, and PN 30-day mortality rates included in the FY 2014 Hospital VBP Program. Maryland hospitals are therefore exempt from the FY 2014 Hospital VBP Program.
If we receive a timely exemption request for the FY 2015 Hospital VBP Program, we will evaluate Maryland hospitals in accordance with the standard specified in section 1886(o)(1)(C)(iv) of the Act for hospitals paid under section 1814(b)(3) of the Act.
Comment: Commenters requested that CMS enable Maryland to combine the State's exemption requests from CMS' quality programs, including the Hospital Readmissions Reduction Program, the HAC Reduction Program, and the Hospital VBP Program, into a single request, and for CMS to approve a waiver request for a three-year period with annual reports submitted to CMS describing Maryland's program results and any modifications.
Response: We thank commenters for this feedback and may consider this suggestion in the future.
I. Implementation of Hospital-Acquired Condition (HAC) Reduction Program for FY 2015
1. Background
a. Overview
CMS is committed to promoting higher quality of care and improving outcomes for Medicare beneficiaries. Accordingly, as part of that effort, we have in recent years undertaken a number of initiatives to reduce the number of hospital-acquired conditions (HACs) among Medicare beneficiaries. HACs are conditions that patients acquire while receiving treatment for another condition in an acute care health setting. HACs include hospital-acquired infections (HAIs) such as surgical site infections, as well as conditions such as foreign objects retained after surgery. HACs constitute an adverse event for the patient and a financial burden on the health care system. HACs, especially those stemming from medical errors, represent a leading cause of mortality in the United States. [44] Deaths from HAIs alone are twice as high as those from HIV/AIDS and breast cancer combined. [45] Many common HACs can be prevented through the proper application of evidence-based guidelines. Yet, surveys reveal that 87 percent of hospitals have not followed such guidelines. [46] Further, HACs constitute a significant economic burden on the health care system. For example, in 2009, the CDC estimated that preventable HAIs alone added nearly $6 billion to U.S. health care costs each year. [47] Accordingly, we believe that our continued efforts to reduce HACs are vital to improving patients' quality of care and reducing complications and mortality, while simultaneously decreasing costs.
In section II.F. of the preamble of this final rule, we discuss prior and ongoing rulemakings to implement the provisions of section 5001(c) of the Deficit Reduction Act (DRA) of 2005. Section 5001(c) of the DRA requires the Secretary to identify conditions by October 1, 2007 that: (a) Are high cost or high volume or both; (b) result in the assignment of a case to a DRG that has a higher payment when present as a secondary diagnosis; and (c) could reasonably have been prevented through the application of evidence-based guidelines. An adjustment to the MS-DRG payment under the IPPS is made for identified HACs. This regulatory action has supported our efforts to encourage hospitals to reduce HACs.
Our initiatives to reduce HACs continued in 2009, when we developed National Coverage Determinations (NCDs) for the Medicare Program to eliminate “never events.” These “never events” stemmed from a 2002 report conducted by the NQF that listed 27 adverse events, listed as serious reportable events, that were both serious and largely preventable. [48] Under these NCDs, we have specified that Medicare does not cover a particular surgical or other invasive procedure to treat a particular medical condition when a practitioner erroneously performs: (1) A different procedure altogether; (2) the correct procedure but on the wrong body part; or (3) the correct procedure but on the wrong patient. [49]
In the FY 2011 IPPS/LTCH PPS final rule (75 FR 50196), we adopted 8 HAC measures into the Hospital IQR Program for the FY 2012 payment determination. These quality measures comprise additional efforts to promote quality of care by reducing the number of HACs in an acute care health setting. We have been publicly reporting on these eight HAC measures successfully on the Hospital Compare Web site since September 2010.
As described above, the reduction of HACs is an important marker of quality of care and has a positive impact on both patient outcomes and costs of care. In accordance with section 1886(p) of the Act, the HAC Reduction Program aligns with our national strategy to improve health care quality by promoting the prevention of HACs, such as “never events” and HAIs. Our goal for the HAC Reduction Program is to heighten the awareness of HACs and reduce the number of incidences that occur through implementing the adjustments required by section 1886(p) of the Act. We believe that our efforts in using payment adjustments and our measurement authority will encourage hospitals to eliminate the incidence of HACs that could be reasonably prevented by applying evidence-based guidelines.
2. Statutory Basis for the HAC Reduction Program
Section 3008 of the Affordable Care Act added section 1886(p) to the Act to provide an incentive for applicable hospitals to reduce HACs. Section 1886(p) of the Act requires the Secretary to make an adjustment to payments to “applicable hospitals” effective beginning on October 1, 2014 and for subsequent programs years. Section 1886(p)(1) of the Act sets forth the requirements by which payments to “applicable hospitals” will be adjusted to account for HACs with respect to discharges occurring during FY 2015 or later. The amount of payment shall be equal to 99 percent of the amount of payment that would otherwise apply to such discharges under section 1886(d) or 1814(b)(3) of the Act, as applicable. Section 1886(p)(2)(A) of the Act defines “applicable hospitals” as subsection (d) hospitals that meet certain criteria. Section 1886(p)(2)(B)(i) of the Act defines these criteria and specifies that the payment adjustment would apply to an applicable hospital that ranks in the top quartile (25 percent) of all subsection (d) hospitals, relative to the national average, of conditions acquired during the applicable period, as determined by the Secretary. Section 1886(p)(2)(B)(ii) of the Act requires the Secretary to establish and apply a risk-adjustment methodology.
Sections 1886(p)(3) and (p)(4) of the Act define “hospital-acquired conditions” and “applicable period”, respectively. The term “hospital-acquired condition” means “a condition identified in subsection 1886(d)(4)(D)(iv) of the Act and any other condition determined appropriate by the Secretary that an individual acquires during a stay in an applicable hospital, as determined by the Secretary.” The term “applicable period” means, with respect to a fiscal year, a period specified by the Secretary.
Section 1886(p)(5) of the Act requires that, prior to FY 2015 and each subsequent fiscal year, the Secretary provides the delivery of confidential reports to applicable hospitals with respect to HACs of the applicable hospital during the applicable period. Section 1886(p)(6)(A) of the Act sets forth the reporting requirements by which the Secretary would make information available to the public regarding HACs for each applicable hospital. Section 1886(p)(6)(B) of the Act requires the Secretary to ensure that an applicable hospital has the opportunity to review, and submit corrections for, the information to be made public with respect to the HACs of the applicable hospital prior to such information being made public. Section 1886(p)(6)(C) of the Act requires that, once corrected, the HAC information be posted on the Hospital Compare Web site on the Internet in an easily understandable format.
Section 1886(p)(7) of the Act limits administrative and judicial review of certain determinations made pursuant to section 1886(p) of the Act. These determinations include what qualifies as an applicable hospital, the specifications of a HAC, the Secretary's determination of an applicable period, the provision of confidential reports submitted to the applicable hospital, and the information publically reported on the Hospital Compare Web site.
3. Implementation of the HAC Reduction Program
In the FY 2014 IPPS/LTCH PPS proposed rule (78 FR 27622 through 27636), we proposed the general framework for implementation of the HAC Reduction Program for the FY 2015 implementation. We included the following proposals for the program: (a) The relevant definitions applicable to the program; (b) the payment adjustment under the program; (c) the measure selection and conditions for the program, including a risk-adjustment and scoring methodology; (d) performance scoring; (e) the process for making hospital-specific performance information available to the public, including the opportunity for a hospital to review the information and submit corrections; and (f) limitation of administrative and judicial review.
In this FY 2014 IPPS/LTCH PPS final rule, we are establishing the rules governing the payment adjustment under the HAC Reduction Program at Subpart I of 42 CFR Part 412 (§§ 412.170 and 412.172). We also are amending existing § 412.150 (the section that describes the basis and scope of Subpart I of Part 412, which contains the regulations governing adjustments to the base operating DRG payment amounts under the IPPS for inpatient operating costs) to incorporate the basis and scope of §§ 412.170 and 412.172 for the HAC Reduction Program. We discuss each of the regulatory provisions under the appropriate subject area below.
Comment: Numerous commenters supported the HAC Reduction Program. One commenter supported the program because it addresses aims outlined in the National Quality Strategy. Other commenters supported the program because it requires public reporting of HAC data. Another commenter supported the program but requested clarification regarding the quality controls that will be in place to assure consistent and accurate coding.
Response: We appreciate the commenters' support. With respect to quality controls to assure consistent and accurate coding, we note that the American Health Information Management Association (AHIMA) has promulgated Standards of Ethical Coding that require accurate coding that includes the reporting of all health care data elements (for example, diagnosis and procedure codes, the POA indicator, and discharge status) required for external reporting purposes (for example, reimbursement and other administrative uses, population health, quality and patient safety measurement, and research) completely and accurately, in accordance with regulatory and documentation standards and requirements and applicable official coding conventions, rules, and guidelines. In addition, Medicare program integrity initiatives closely monitor for inaccurate coding, as well as coding inconsistent with medical record documentation.
Comment: Several commenters did not generally support the HAC Reduction program. These commenters asked CMS to delay implementing the program in FY 2015 in order to further refine the program and stated that the program does not adequately assess or differentiate hospital performance.
Response: We believe that the measures selected and scoring methodology allow adequate differentiation of hospital performance, such that the payment reduction for the top quartile of hospitals can begin with FY 2015.
Comment: One commenter believed that hospitals will need significant clinical and administrative resources to implement the HAC Reduction Program and execute the steps necessary to reduce or eliminate HACs.
Response: The conditions being assessed for this program have either been targeted by the existing nonpayment program, or have been in the Hospital IQR Program for a number of years. Therefore, we believe that hospitals are already aware of and are taking steps to reduce these conditions.
a. Definitions
In accordance with the provisions of section 1886(p) of the Act, in the FY 2014 IPPS/LTCH PPS proposed rule, we proposed to include, under proposed § 412.170, definitions for the terms “hospital-acquired condition,” “applicable hospital,” and “applicable time period” (78 FR 27623).
- Hospital-acquired condition. In accordance with the definition of “hospital-acquired condition” in section 1886(p)(3) of the act, we would include a definition of the term in the regulations to read: “Hospital-acquired condition is a condition as described in section 1886(d)(4)(D)(iv) of the Act and any other condition determined appropriate by the Secretary that an individual acquires during a stay in an applicable hospital, as determined by the Secretary.”
We also refer readers to section II.F. of the preamble of this final rule where we discuss the HACs that have been identified and selected by the Secretary through FY 2013 in accordance with the provisions of section 1886(d)(4)(D)(iv) of the Act as established by section 5001(c) of the DRA of 2005.
- Applicable Hospital. Section 1886(p)(2)(A) of the Act specifies that, for the purpose of the HAC Reduction Program, an “applicable hospital” is a subsection (d) hospital that meets certain criteria. A subsection (d) hospital is defined in section 1886(d)(1)(B) of the Act, in part, as a “hospital located in one of the fifty States or the District of Columbia”, subject to certain exceptions. We also note that, for purposes of determining applicable hospitals under the HAC Reduction Program, subsection (d) hospitals include hospitals paid under a waiver under section 1814(b)(3) of the Act (that is, Maryland hospitals). Section 1886(p)(2)(B) of the Act specifies that “with respect to a subsection (d) hospital, [a hospital is considered to be an applicable hospital if] . . . the subsection (d) hospital is in the top quartile of all subsection (d) hospitals, relative to the national average, of hospital acquired conditions during the applicable period, as determined by the Secretary.” Therefore, in the FY 2014 IPPS/LTCH PPS proposed rule we proposed to define an “applicable hospital” as “a hospital described in section 1886(d)(1)(B) of the Act (including a hospital in Maryland that is paid under section 1814(b)(3) of the Act and that, absent the waiver specified by section 1814(b)(3) of the Act, would have been paid under the hospital inpatient prospective payment system) so long as the hospital meets the criteria specified under § 412.172(e)” (78 FR 27623).
We noted that while all subsection (d) hospitals, including hospitals paid under section 1814(b)(3) of the Act, would be used to determine which hospitals are “applicable hospitals,” as required by section 1886(p)(2)(B) of the Act, we identified several types of hospitals that would not be subject to the provisions of the HAC Reduction Program. A subsection (d) hospital as defined in section 1886(d)(1)(B) of the Act does not include hospitals and hospital units excluded from the IPPS, such as LTCHs, cancer hospitals, children's hospitals, IRFs, IPFs. Therefore, hospitals and hospital units that are excluded from the IPPS would not be considered when determining “applicable hospitals” nor would they be determined to be “applicable hospitals” subject to the payment adjustment under the HAC Reduction Program.
Similarly, CAHs would not be considered when determining “applicable hospitals,” nor would they be determined to be “applicable hospitals” subject to the payment adjustment under the HAC Reduction Program because they do not meet the definition of a “subsection (d) hospital.” CAHs are separately defined under section 1886(mm) of the Act and are paid under a reasonable cost methodology under section 1814(l) of the Act. An Indian Health Services hospital enrolled as a Medicare provider meets the definition of a subsection (d) hospital and, therefore, would be considered in determining “applicable hospitals” and would be considered to be an “applicable hospital” under the HAC Reduction Program. In addition, hospitals that are SCHs, although they may be paid under a hospital-specific rate instead of the Federal rate under the IPPS, are subsection (d) hospitals and, therefore, would be included in determining “applicable hospitals” and would be considered to be an applicable hospital under the HAC Reduction Program. Hospitals located in the Territories, including Puerto Rico, are not subsection (d) hospitals. Section 1886(d)(9)(A) of the Act separately defines a “subsection (d) Puerto Rico hospital” as a hospital that is located in Puerto Rico and that “would be a subsection (d) hospital . . . if it were located in one of the 50 States.” However, because they are not located in “one of the fifty States,” Puerto Rico hospitals are not subsection (d) hospitals and, therefore, would not be included in determining “applicable hospitals,” nor would they be considered to be an “applicable hospital” under the HAC Reduction Program.
Finally, hospitals paid under the authority of section 1814(b)(3) of the Act are located in Maryland, which is “one of the fifty States” as described under section 1886(d)(1)(B) of the Act. Therefore, these Maryland hospitals are subsection (d) hospitals and would be included in determining “applicable hospitals” and, unless the Secretary exempts them from the application of the payment adjustment under the HAC Reduction Program under the authority of section 1886(p)(2)(C) of the Act, would be considered to be “applicable hospitals” under the HAC Reduction Program.
We invited public comments on whether clarification is required for additional types of hospitals.
Comment: Several commenters addressed the proposed definition of “applicable hospitals”. Most commenters supported the proposed definition. One commenter specifically supported excluding CAHs from the definition of applicable hospitals. However, another commenter suggested expanding the definition of applicable hospital to include CAHs and Maryland and U.S. Territory hospitals. One commenter suggested that CMS collect and report data for most of the hospitals in a timely manner and include hospitals in Maryland, the U.S. Territories, and CAHs.
Response: We appreciate the commenters' support and acknowledge the commenter's suggestion for expanding the definition of an applicable hospital. However, as stated above, section 1886(p)(2)(A) of the Act specifies that, for the purpose of the HAC Reduction Program, an “applicable hospital” is a subsection (d) hospital that meets certain criteria. CAHs do not meet the definition of a “subsection (d) hospital.” CAHs are separately defined under section 1886(mm) of the Act and are paid under a reasonable cost methodology under section 1814(l) of the Act. We also provided information regarding Maryland hospitals, which are paid under the authority of section 1814(b)(3) of the Act. As we describe above, because these hospitals are located in Maryland, which is “one of the fifty States” as described under section 1886(d)(1)(B) of the Act, these Maryland hospitals are subsection (d) hospitals and would be included in determining “applicable hospitals” and, unless the Secretary exempts them from the application of the payment adjustment under the HAC Reduction Program under the authority of section 1886(p)(2)(C) of the Act, would be considered to be “applicable hospitals” under the HAC Reduction Program. With regard to hospitals in Puerto Rico and the U.S. Territories, as we stated above, hospitals located in the Territories, including Puerto Rico, are not subsection (d) hospitals because they are not located in “one of the fifty States.”
After consideration of the public comments we received, we are finalizing our proposal to codify the definition of “applicable hospital” at § 412.170 without modification.
- Applicable Time Period. In accordance with the proposal and discussion in section V.I.3.d. of the preamble of the FY 2014 IPPS/LTCH PPS proposed rule regarding the proposed performance scoring methodology for proposed measures for selected conditions and a risk-adjustment methodology under the HAC Reduction Program, we proposed to define the “applicable period” as, with respect to a fiscal year, the 2-year period (specified by the Secretary) from which data are collected in order to calculate the Total HAC Score for the Hospital-Acquired Condition Reduction Program.
We invited public comments on this proposed definition.
Comment: A few commenters addressed the proposed definition of “applicable time period.” One commenter opposed the definition for applicable time period because of general opposition to the scoring methodology proposed for the HAC Reduction Program. Other commenters opposed the definition because of different reporting periods for the measures in the HAC Reduction Program versus other reporting programs. The commenters suggested that CMS align the duration of performance periods for the Hospital IQR Program, the Hospital VBP Program, and the HAC Reduction Program using 2 years of data for PSI measures and 1 year of data for NHSN measures. Another commenter requested that the data be submitted quarterly.
Response: We appreciate the commenters' feedback and suggestions. The Secretary retains the statutory authority to determine the applicable period for the HAC Reduction Program. We strive, to the extent possible, to align reporting periods within our programs, acknowledging that some provider burden exists with reporting in multiple programs. However, given the varying policy, statutory, and data collections differences among each program, such exact alignment is not always feasible. For the HAC Reduction Program, we proposed and are finalizing a Total HAC score using two domains or sets of measures to determine the payment adjustment. We believe using 2 years of data for both domains would balance the needs of the program and allow for sufficient time to process the claims data and calculate the measures to meet the program implementation timeline. Further, we believe that the longer performance period on the NHSN measures is better for reliability. Finally, we note that the Hospital VBP Program has the restriction of needing to announce performance standards 60 days prior to the beginning of the performance period, which may necessitate, in some cases, shorter performance periods in the Hospital VBP Program. As these programs grow in future years, we will explore aligning the performance periods to the extent possible.
After consideration of the public comments we received, we are finalizing our proposal to codify the definition of “applicable time period” at § 412.170 without modification.
b. Payment Adjustment under the HAC Reduction Program, Including Exemptions
(1) Basic Payment Adjustment
Section 1886(p)(1) of the Act sets forth the requirements by which payments to “applicable hospitals” will be adjusted to account for HACs with discharges beginning on October 1, 2014. Section 1886(p)(1) of the Act specifies that the amount of payment shall be equal to 99 percent of the amount of payment that would otherwise apply to such discharges under section 1886(d) or 1814(b)(3) of the Act, as applicable. As specified in the statute, this payment adjustment is calculated and made after payment adjustments under sections 1886(o) and 1886(q) of the Act, the Hospital VBP Program and the Hospital Readmissions Reduction Program respectively, are calculated and made. (We note that the Hospital VBP Program is discussed in section V.H. of the preamble of this final rule and the Hospital Readmissions Reduction Program is discussed in section V.G. of the preamble of this final rule.) Section 1886(p)(2)(A) of the Act defines “applicable hospitals” as subsection(d) hospitals that meet certain criteria. Section 1886(p)(2)(B)(i) of the Act defines these criteria and specifies that the payment adjustment would apply to an applicable hospital that ranks in the top quartile (25 percent) of all subsection (d) hospitals, relative to the national average, of conditions acquired during the applicable period, as determined by the Secretary. Therefore, in the FY 2014 IPPS/LTCH PPS proposed rule (78 FR 27624), we proposed to specify in proposed § 412.172(b) that, “For applicable hospitals, beginning with discharges occurring during FY 2015, the amount of payment under this section [proposed § 412.172], or section 1814(b)(3) of the Act, as applicable, for such discharges shall be equal to 99 percent of the amount of payment that would otherwise apply to such discharges under this section [proposed § 412.172], or section 1814(b)(3) of the Act. This amount of payment will be determined after the application of the payment adjustment under the Hospital Readmissions Reduction Program under § 412.154, and the adjustment made under the Hospital Value-Based Purchasing Program under § 412.162, and section 1814(l)(4) but without regard to this section 1886(p) of the Act)” (78 FR 27624).
We invited public comments on this proposal.
Comment: Several commenters addressed the proposed payment adjustment under the HAC Reduction Program. Most commenters supported the proposal to use financial incentives to reduce the number of HACs. One commenter stated that the payment adjustment is required under section 3008 of the Affordable Care Act. Another commenter supported the proposal but further requested application of the adjustment to MS-DRG payment amounts and overall consistency in payment adjustments administered under the Hospital Readmissions Reduction Program and the Hospital VBP Program. Other commenters opposed the basic payment adjustment. Some commenters stated that it was inappropriate to penalize one fourth of the nation's hospitals with a payment adjustment simply because they fall in the top quartile. Another commenter stated that tying payments to HACs may not encourage high-quality care. Another commenter suggested that CMS consider modification to the proposed 1-percent penalty applied to the top 25 percent of hospitals with the worst HAC rates, but treat the 25th and 26th percentile hospitals differently by graduating the penalty.
Response: We appreciate the commenters' support and agree with the commenter that the payment adjustment is required under section 3008 of the Affordable Care Act. As stated previously, our goal for the HAC Reduction Program is to heighten the awareness of HACs and reduce the number of incidences that occur through implementing the adjustments required by section 1886(p) of the Act. We believe that our efforts in using payment adjustments and our measurement authority will encourage hospitals to eliminate the incidence of HACs that could be reasonably prevented by applying evidence-based guidelines. We note that, in accordance with section 1886(q)(1) of the Act, the hospital readmissions reduction program adjustment is applied to the base operating DRG payment amount, which is defined at section 1886(q)(2) of the Act to exclude certain payments under subsection (d). Similarly, in accordance with sections 1886(o)(7)(A) and 1886(o)(7)(B) of the Act, the Hospital VBP Program applies adjustments to the based operating DRG payment amount, which is defined at section 1886(o)(7)(D) of the Act to exclude certain payments under subsection (d). For the HAC Reduction Program, no such statutory exclusion exists and section 1886(p)(1) of the Act states that the payment for applicable hospitals “shall be equal to 99 percent of the amount of payment that would otherwise apply.” Therefore, we are unable to accept the commenters' recommendations to change the application of the payment adjustment. We will address this issue of the actual application of the payment adjustment to hospital payments more specifically next year in the FY 2015 IPPS/LTCH PPS rule.
Comment: A few commenters commented on the waivers for hospitals located in areas that experience disasters or other extraordinary circumstances. One commenter suggested that CMS establish a formal waiver process for disaster or other extraordinary circumstances, including possible changes to the applicable periods for affected hospitals.
Response: We appreciate the comments on establishing a potential exemption process for the HAC Reduction Program for hospitals located in areas that experience disasters or other extraordinary circumstances. We did not make any proposals related to disasters or other extraordinary circumstances for the HAC Reduction Program in the proposed rule; therefore, we consider this comment out of the scope of the proposed rule. However, we are reviewing this issue and may consider such a proposal in future rulemaking. If we do, we intend to focus on several policy and operational considerations in developing a disaster exemption process for the HAC Reduction Program, including the feasibility of aligning this process across other similar programs.
Comment: One commenter expressed concern regarding the penalty for 25 percent of hospitals. The commenter believed it may be appropriate for the HAC Reduction Program to use a fixed performance target so that total penalties will decrease if overall HAC rates lower significantly.
Response: We understand the commenter's concerns. However, as we stated earlier, because section 1886(p)(1) of the Act states that the payment for applicable hospitals “shall be equal to 99 percent of the amount of payment that would otherwise apply,” we are unable to accept the commenter's recommendations to change the application of the payment adjustment.
After consideration of the public comments we received, we are finalizing our proposal to codify the payment adjustment at § 412.172(b) without modification.
(2) Applicability to Maryland Hospitals
Section 1886(p)(2)(c) of the Act specifies that the Secretary may exempt hospitals paid under 1814(b)(3) “from the application of this subsection if the State which is paid under such section submits an annual report to the Secretary describing how a similar program in the state for a participating hospital or hospitals achieves or surpasses the measured results in terms of patient health outcomes and cost savings established under this subsection.” Accordingly, a program established by the State of Maryland that could serve to exempt hospitals in the State from the HAC Reduction Program would focus on hospitals operating under the waiver provided by section 1814(b)(3) of the Act, that is, those hospitals that would otherwise have been paid by Medicare under the IPPS, absent this provision. As we describe in section V.I.3. of the preamble of this final rule, because hospitals paid under section 1814(b)(3) of the Act are subsection (d) hospitals, they would be included in determining “applicable hospitals” (subject to the payment adjustment under the HAC Reduction Program), and unless the Secretary exempts these hospitals from the application of payment adjustments under the HAC Reduction Program under the authority of section 1886(p)(2)(C) of the Act, they are considered to be “applicable hospitals” (subject to the payment adjustments in the HAC Reduction Program) under the HAC Reduction Program.
In the FY 2014 IPPS/LTCH PPS proposed rule, we proposed to establish criteria for evaluation to determine whether Maryland should be exempted from the application of the payment adjustments under the HAC Reduction Program for a given fiscal year (78 FR 27624). Under proposed § 412.172(c), we proposed to specify that “CMS will determine whether to exempt Maryland hospitals that are paid under section 1814(b)(3) of the Act and not under the hospital inpatient prospective payment system . . . .” and that, absent the provisions of section 1814(b)(3) of the Act, to make payment under section 1886(d) of the Act exempt from the application of payment adjustments under the HAC Reduction Program, provided that the State submits an annual report to the Secretary describing how a similar program to reduce hospital acquired conditions in that State achieves or surpasses the measured results in terms of health outcomes and cost savings for the HAC Reduction Program as applied to hospitals described in section 1886(d)(1)(B) of the Act. We proposed to specify in the proposed regulations that “CMS will establish criteria for evaluation of Maryland's annual report to the Secretary to determine whether Maryland will be exempted from the application of payment adjustments under this program for a given fiscal year.” We also proposed to specify that “Maryland's annual report to the Secretary and request for exemption from the Hospital-Acquired Condition Reduction Program must be resubmitted and reconsidered annually.” We proposed that, for FY 2015, Maryland would submit a preliminary report to us by January 15, [,] 2014 and a final report to us by June 1, 2014.
We noted that our proposed criteria to evaluate Maryland's program is for FY 2015, the first year of the payment adjustment under the HAC Reduction Program, and that our evaluation criteria may change through notice and comment rulemaking as this program evolves.
We invited public comments on our proposals.
Comment: Several commenters supported the Maryland waiver proposal for the HAC Reduction program. One commenter believed the clear prevention guidelines that exist with its State hospital-acquired condition program will help Maryland's hospitals focus on key areas of harm and that recent revisions to the methodology will enable providers to continue making improvements in the program.
Response: We appreciate the commenters' support.
After consideration of the public comments we received, we are finalizing our proposal to codify the payment adjustment pertaining to hospitals paid under section 1814(b)(3) of the Act (certain Maryland hospitals) at § 412.172(c), without modification.
c. Measure Selection and Conditions, Including a Proposed Risk-Adjustment Scoring Methodology
(1) General Selection of Proposed Measures
In the FY 2014 IPPS/LTCH PPS proposed rule, we proposed measures and a scoring methodology for the HAC Reduction Program (78 FR 27625 through 27628). We believe that it is important to set forth such scoring methodologies for each individual HAC measure, in order for the public to understand how the measures discussed and finalized in this year's rulemaking relate to the performance methodology used to determine the applicable hospitals subject to the payment adjustment under the HAC Reduction Program.
(2) Measure Selection and Scoring Methodology
We proposed initially to adopt eight measures for the FY 2015 determination under the HAC Reduction Program. Several of these measures are already part of the Hospital IQR Program and are reported on the Hospital Compare Web site. We noted that all measures proposed for the HAC Reduction Program follow the criteria established by the DRA of 2005 in that they consist of high-volume or high-cost conditions that could be prevented by the use of evidence-based guidelines (we refer readers to section II.F. of the preamble of this final rule for further information).
In the FY 2014 IPPS/LTCH PPS proposed rule, we proposed the measure selection and methodology used to determine the Total HAC Score (78 FR 27629 through 27633). For measure scoring under the HAC Reduction Program, we proposed to group the measures into separate domains (Domain 1 and Domain 2) to calculate a Total HAC Score in order to determine the payment adjustment. For measure selection under Domain 1, we discussed a proposed and alternative approach, and sought to finalize a policy based upon public comment received regarding these approaches. For a detailed discussion of the measure selection and methodology proposed for the HAC Reduction Program, including a list of measures proposed for the Program, we refer readers to section V.I. of the FY 2014 IPPS/LTCH PPS proposed rule (78 FR 27625 through 27632).
We invited public comments on the measures proposed for the HAC Reduction Program, including whether the proposed or alternative approach for Domain 1 would better serve the HAC Reduction Program.
Comment: Numerous commenters addressed the proposed measures for the HAC Reduction Program. Several commenters, who also supported the HAC Reduction Program generally, also supported all measures proposed for the HAC Reduction Program.
Other commenters provided feedback covering one of the following areas: Domain 1 measure methodology and proposed inclusion in the HAC Reduction Program; Domain 2 measure methodology and proposed inclusion in the HAC Reduction Program; or general measure feedback on the HAC Reduction Program.
In regard to Domain 1, commenters provided several suggestions on the proposal and alternative approach in which either six individual AHRQ PSI measures or a single AHRQ PSI-90 composite were to be used as part of calculating the Total HAC score. In regard to the six individual AHRQ PSI measures proposed under Domain 1, commenters appreciated this approach because these measures did not overlap with the CDC measures in Domain 2. Further, commenters stated that the measures proposed for Domain 1 addressed several key areas of patient safety, including addressing “never events” and aligning with the National Quality Strategy domain of patient safety. One commenter specifically supported the proposed Domain 1 approach to include iatrogenic pneumothorax rate in the HAC Reduction Program because it was highly preventable with ultrasound guidance and encouraged appropriate use of ultrasound for placement of venous catheters. Another commenter further suggested that if CMS adopted PSI-3 in Domain 1, CMS should exclude pressure ulcers that were undetectable at admission.
Some commenters' support of the Domain 1 proposal varied, depending on preference for each of the PSI measures themselves. Some commenters supported the proposed Domain 1 approach, subject to the removal of one or more measures. Other commenters did not support the proposed Domain 1 approach because they opposed one or more measures in the domain. For example, one commenter opposed PSI-7 because current research suggests it has poor sensitivity and poor positive predictive value in determining CLABSI. However, that commenter supported the proposed Domain 1 approach without inclusion of that measure. Another commenter stated that PSI-3 relies on ICD-9-CM diagnosis codes, which may not provide complete information, and leads to underreporting of pressure ulcers. This commenter did not generally support the Domain 1 proposal because this measure existed in the domain. Other commenters suggested removal of PSI-3 because it only covered Stage 3 and 4 pressure ulcers.
Several commenters opposed one or more of the Domain 1 measures proposed for the HAC Reduction Program because they did not believe the measures were properly reviewed by the MAP in the manner required by the pre-rulemaking process that CMS must follow prior to proposing rules. Some commenters opposed PSI-3, PSI-6, and PSI-10 because they were not MAP-reviewed. Another commenter did not support PSI-90 because the MAP did not review each component of the composite measure individually. One commenter suggested that all measures be endorsed with clear prevention guidelines. Another commenter stated that CMS did not provide MAP with sufficient notice on implementation to allow for meaningful input for the HAC Reduction Program and proposed measures.
One commenter suggested additional revisions to the PSI measures. This included the following changes: For PSI-3 (pressure ulcer rate), the commenter recommended exclusion of nascent pressure ulcers undetectable at admission; for PSI-5, the commenter recommended exclusion of hardware or devices intentionally left in the body; for PSI-6, the commenter recommended exclusions for lines placed under emergency conditions; and for PSI-12, the commenter recommended exclusions for patients with diagnosis of cancer, brain tumors, or trauma which are at higher risk of embolus. The commenter objected to PSI-15 because of a lack of coding guidelines to define accidental puncture.
For the PSI-90 proposed Domain 1 alternative, commenters supported the composite because the composite received NQF endorsement and MAP review. In addition, one commenter preferred the composite because it included PSI-13 and PSI-14 which are indicators related to sepsis management. Another commenter favored this approach because PSI-90 is included in the Hospital VBP Program. Another commenter suggested additional measures to the Domain 1 alternative. For example, one commenter suggested adding PSI-4 along with the preferred PSI-90 composite.
The greatest concern for the proposed alternative Domain 1 PSI-90 composite related to overlapping with Domain 2 measures in the calculation of the Total HAC Score, and overlapping with measures in the Hospital VBP Program. Some commenters stated that because some of the measures in the PSI-90 composite are also used for the Hospital VBP Program, hospitals would be penalized more than once for the same preventable HAC. Other commenters suggested that CMS remove the overlapping measures from the PSI-90 composite or retire overlapping measures from the Hospital VBP Program. Other commenters expressed concerns regarding the inclusion of PSI-90 as the measure results are complicated and skew individual hospitals' results.
However, for either the proposed or alternative Domain 1 proposal, some commenters did not support using any AHRQ PSI measures. Commenters cited these measures are only tested for reliability on CMS claims data, not all-payer data. Other commenters stated that the proposed PSI measures focus primarily on surgical care, have false positive rates, and the proposed risk adjustment in the HAC Reduction is insufficient to mitigate that bias. Other commenters urged CMS to develop measures and not use the PSI measures, and added that all measures should be in the Hospital IQR Program prior to inclusion in the HAC Reduction Program. One commenter stated that AHRQ, the measure developer of the PSI measures, indicated in an update that AHRQ PSI measures are not appropriate for payment programs.
For the Domain 2 CDC measures, several commenters supported the CDC measures. Commenters stated generally that the HAI measures are statistically more reliable than PSIs at the hospital level. Many commenters stated a preference for chart-abstracted over claim based data measures. MedPAC stated that the success of each HAC measure selected will depend on hospitals using evidence-based care processes, a statistically reliable data method, and a consistent date source. MedPAC then recommended CDC HAI data because they met such criteria. Other commenters suggested renaming CAUTI and CLABSI or adding additional exclusions to the measures. Another commenter suggesting retaining CLABSI and CAUTI measures for the HAC Reduction Program and retiring them from the Hospital VBP Program. Some supported the proposed Domain 2 proposed approach because of its importance in measuring nosocomial infections. Other commenters supported the Domain 2 proposed measures, but expressed concern about the burden to the industry and the nature of the measures. Another commenter suggested that CMS work with AHRQ, CDC, and ONC to improve electronic reporting of these measures to remove subjectivity.
Other commenters supported the inclusion of MRSA and clostridium difficile (CDI) into the HAC Reduction Program for FY 2017. One commenter stated that inclusion of the CDI measure in the HAC Reduction Program potentially may motivate hospitals to improve patient care and outcomes, and signals our important commitment to reducing CDIs in hospitals and raising awareness about the disease.
However, some commenters opposed one or more of the Domain 2 measures. One commenter stated that the Domain 2 measures will unfairly penalize large and teaching hospitals. Other commenters did not support inclusion of MRSA or CDI in FY 2017. The commenters stated that the measures have low reliability, may be impacted by providers not within the hospital, and the testing vehicles used may have influenced results creating unfair comparisons between hospitals. Another commenter requested that CMS provide clarification on the specifications for these measures and added that CMS exclude community-acquired MRSA. Another commenter stated that the SSI measure was more appropriate for the Hospital VBP Program than the HAC Reduction Program. One commenter opposed using only health care-associated infection measures as they are not a true indicator of hospital performance.
Still other commenters did not support either Domain 1 or Domain 2 measures proposed for the HAC Reduction program. One commenter stated that the measures are overly complex, methodologically challenged, and need further refinement. A few commenters asked that CMS provide additional alternatives for the program and extend the comment period. Some commenters suggested that CMS delay the finalization of the implementation of the HAC Reduction Program and collaborate with provider and consumer communities to improve the selection of HAC program measures. Other commenters requested that additional impact data be provided to stakeholders prior to implementation of the program. Another commenter opposed a payment adjustment for HACs when such HACs are not reasonably preventable through evidence based guidelines, or based on randomized, well-designed, prospective, and nonbiased studies developed by specialty medical organizations. This commenter believed that, under these circumstances, a payment adjustment should not occur in any payment setting. Other commenters stated that the AHRQ PSI measures cannot be calculated, are claims-based measures, and require additional tools for use by hospitals.
Response: We appreciate all of the numerous comments and suggestions on the measures proposed for the HAC Reduction Program, and value this feedback. We have reviewed and considered every comment. To those commenters who supported one or more measures proposed for the HAC Reduction Program, we appreciate their support.
We emphasize that the measures proposed for this program aim to increase patient safety. Therefore, we stress that patient safety remains the primary objective to the measures proposed and ultimately selected under the HAC Reduction Program.
We note that several commenters raised concerns with using claims-based measures in the HAC Reduction Program. However, we believe that PSI measures proposed for Domain 1 are suitable for use in the HAC Reduction Program. We acknowledge stakeholders' preference to use chart-abstracted measures, such as those found under Domain 2, but stress that both types of measures possess advantages. For example, claims data cover a larger population in the hospital and can provide signals where quality improvement may need to occur. Claims data, which are collected for payment purposes, are also readily available, while registry data, as also pointed out by several commenters, are costly to collect and present a potentially greater administrative and financial burden on hospitals. Therefore, we believe the use of such claim-based measures, such as the AHRQ PSIs proposed in Domain 1, are suitable for the HAC Reduction Program because they are already collected for use and widely accepted by States and other health care purchasers for payment purposes. We note that the MAP reviewed all finalized measures for the HAC Reduction Program. For Domain 1, the MAP supported the direction of the PSI-90 composite for the HAC Reduction Program. We note that we are not finalizing the other measures mentioned by the commenters.
In response to one commenter stating that AHRQ PSI measures are unsuitable for a payment program, we consulted with AHRQ on this issue. AHRQ stated that new evidence has been developed, which changes some of the information on which this commenter likely previously relied. AHRQ is in the process of reevaluating the measures and updating the documents to reflect the changes.
In regard to those commenters who objected to one or more of the proposed Domain 1 measures, we acknowledge that commenters wanted additional exclusions or clarifications to the measures proposed for the HAC Reduction Program. However, we believe that such exclusions are not warranted at this time. For example, we are aware that PSI-3 (pressure ulcer rate) captures Stage 3 and 4 pressure ulcers only, and does not capture all data, such as Stage 1 and 2. However, we stress that no other publically available data source captures these events, which comprise a critical area of patient safety. Further, with respect to additional exclusions for PSI-3, we note that PSI-3 already excludes patients admitted from nursing facilities, patients who had a pressure ulcer present on admission (including an ulcer of a lower stage that progressed after admission), and patients who stayed 4 or fewer days in the hospital. Therefore, we believe that such exclusions should already address the concerns raised by commenters.
For PSI-5, some commenters raised concern that exclusions should be clearly added for hardware or other items placed purposely in the body. However, we note that the AHA's Coding Clinic for ICD-9-CM addressed this issue. The codes that drive this indicator (998.4 and 998.7) account for at least 90 percent of flagged cases, and are limited to foreign bodies “accidentally left during procedure.” The Coding Clinic (First Quarter 1989, 2009, and 2011) has instructed coders that this code (998.4) should only be used when a foreign body has been accidentally left behind at the end of the procedure; foreign bodies that are discovered and retrieved in the operating room, or deliberately left behind, are not assigned code 998.4 or 998.7. Therefore, such circumstances would not be counted under this measure.
For PSI-6, several commenters raised concern over the denominator used in the measure. We have consulted AHRQ on this issue and appreciate its assistance. For PSI-6, we acknowledge that the denominator of PSI 6 reflects the fact that many different procedures are associated with a nonzero risk of iatrogenic pneumothorax and note that not all of these procedures are consistently coded in administrative data sets. One viable strategy for preventing complications such as iatrogenic pneumothorax, CLABSI, and CAUTI is to reduce discretionary use of the procedures that place patients at risk and recognize and reward all hospital efforts to prevent undesired complications such as iatrogenic pneumothorax, including safer selection of patients for high-risk procedures as well as safer performance of these procedures. Further, we note that preventability remains a concern. However, exclusions are reexamined and adjusted on an annual basis. Further, the denominator of PSI 6 already excludes all trauma cases and most cases with urgent or emergent thoracic or cardiac procedures. In addition, other factors, such as malnutrition, obesity, and chronic lung disease, are included in risk-adjustment.
We note that some commenters raised validity and coding concerns with underreporting with some of the PSI components of PSI-90 as well as the individual PSI measures. According to recent and prior studies by the Agency for Healthcare Research and Quality, there is little evidence of underreporting of diagnoses, and a high degree of true positives (90 percent sensitivity) with respect to diagnoses used for the AHRQ measures. We believe that, regardless of data source (claims/administrative or chart/EHR), focusing on outcomes of interest, such as those represented in the PSI-90 composite, leads providers to focus more on prevention, which is the goal of the HAC Reduction Program.
Regarding commenters' concern with false positive results with AHRQ measures, we do note that some indicators of the composite presented a false positive rate on initial evaluation (for example, PSI 12). However, subsequent efforts to refine specifications or improve ICD-9-CM codes led to documented reductions in false positive rates. Moving forward, with assistance from AHRQ, we will continually evaluate and refine the measure as part of our continuous improvement process to further alleviate this concern.
We acknowledge coding trepidations raised by commenters. However, many of the concerns raised by commenters can be alleviated with proper coding. For example, for PSI-15, some commenters expected enterotomies to be excluded (in the case of patients with small bowel obstruction) and added that the measure lacked specificities as to what has been punctured or lacerated. However, according to explicit guidance from the AHA's Coding Clinic for ICD-9-CM (Second Quarter 2007 and First Quarter 2010), “expected” enterotomies are not coded with code 998.2. By definition, this code is limited to “accidental” punctures and lacerations that are not “intrinsic” or “inherent” in a major procedure. Therefore, we maintain that proper coding and education on such coding will address stakeholders' concerns.
We designed the HAC Reduction Program to include currently available, risk-adjusted measures that are reflective of hospital performance. All of the measures proposed were either: Recommended for inclusion by the NQF Measures Application Partnership either on their own or as part of a composite, or represent 1 of the 12 HACs that have been identified by the Secretary and which are referenced in section 1886(p) of the Act for the HAC Reduction Program. We refer readers to the MAP Pre-Rulemaking Report: 2013 Recommendations on Measures Under Consideration by HHS, February 2013, pp 145-153, for further detail. [50] As the number of risk-adjusted HAC measures increases over time, we will continue to conduct research on the impact of adding additional and/or different measures to the program.
Some commenters opposed one or more of the Domain 1 measures because they lacked MAP review or NQF endorsement. Other commenters wanted additional time for more public engagement. However, we believe that both the pre-rulemaking and rulemaking process provides ample opportunity for public involvement. Second, we note that the MAP reviewed all measures for the HAC Reduction Program. For Domain 1, the MAP supported PSI-5, PSI-15, PSI-12 in December, 2012 as well as the PSI-90 composite. NQF also endorsed these measures. We do acknowledge the comments that PSI-3, PSI-6, and PSI-10 were not on the measure under consideration list (MUC) in December 2012. However, PSI-3 and PSI-6 were part of the PSI-90 composite which the MUC list did include and which was discussed by the MAP in December 2012. For PSI-10, we considered this measure for the HAC Reduction Program after the MUC list had posted, and immediately arranged review of the measure with the MAP in an ad hoc process. With regard to concerns that some measures, such as PSI-3 and PSI-6, were not NQF-endorsed, we spoke to AHRQ on this issue. AHRQ clarified that these measures did not fail NQF endorsement, as commenters stated, but, rather, have not yet been submitted to NQF for endorsement. However, AHRQ is considering doing so in the near future. Further, we note that section 1886(p)(3) of the Act does not require NQF endorsement for a condition to be considered for the HAC Reduction Program. Rather, section 1886(p)(3) of the Act defines a “hospital-acquired condition” to means a condition identified for purposes of subsection (d)(4)(D)(iv) and any other condition determined appropriate by the Secretary that an individual acquires during a stay in an applicable hospital, as determined by the Secretary. The conditions covering PSI-3 and PSI-6, as well as all other conditions proposed for the HAC Reduction Program, meet the statutory definition under section 1886(p)(3) of the Act and, therefore, were properly considered for the HAC Reduction Program.
We acknowledge that the PSI-90 alternative is also contained in the Hospital VBP Program. However, we believe that this measure, covering HACs, comprise some of the most critical of patient safety areas. Several commenters, many from Medicare beneficiaries themselves, overwhelming supported our efforts to reduce HAIs and these measures. Therefore, we believe that the importance of these measures to patient safety, coupled with the numerous comments asking for measure alignment, justifies the use of PSI-90 in more than one program. However, we will, in the future, monitor the HAC Reduction Program and the measures selected for it and revise the measures as needed.
We further understand that some commenters are concerned with a double payment adjustment with the use of PSI-90 because a condition overlaps with the CDC NHSN CLABSI measure that we are finalizing for Domain 2. However, we further stress that the HAC Reduction Program and the Hospital VBP Program are separate hospital reporting programs with different purposes and policy goals. For example, the HAC Reduction Program is a penalty program that reduces payments to hospitals for excess HACs to increase patient safety in hospitals. On the other hand, the Hospital VBP Program is an incentive program that redistributes reductions made to the base operating DRG payment amount, based on certain performance measures. Therefore, although we acknowledge that the measures exist in more than one program, the measures are used and calculated for very distinct purposes. Accordingly, as stated above, we believe that the critical importance of these measures to patient safety warrants the inclusion in both programs. We will, in the future, monitor the HAC Reduction program and analyze the impact of our measures selection, including any unintended consequences with having a measure in more than one program, and will revise the program if needed.
For Domain 2, we appreciate the support shown for these measures, including the favorable recommendations made by MedPAC. We acknowledge commenters' concern that some provider burden is required in using these measures, but note that the majority of commenters supported these measures for the HAC Reduction Program. We also have consulted with the CDC on the public comments for the proposed Domain 2 measures and appreciate the assistance provided.
With regard to additional modifications to CAUTI, we note that NQF reviewed the measure and took into account the concerns about unintended consequences and preventability. However, following detailed discussions of these concerns, the NQF endorsed the CAUTI measure for use in acute care hospitals and other health care facility types. We understand the potential for unintended consequences and concerns about preventability of this measure, but stress that these issues were discussed thoroughly by the NQF committee that considered and ultimately endorsed the measure.
We also do not believe renaming CLAUTI and CLABSI is warranted. The NHSN CAUTI measure endorsed by the NQF, namely the Catheter-Associated Urinary Tract Infection (CAUTI) Outcome Measure (#0138), includes in its scope both symptomatic urinary tract infection (SUTI) and asymptomatic bacteremic UTI (ABUTI). For that reason, “symptomatic urinary tract infections due to an indwelling urinary catheter” does not accurately describe the NHSN measure. Second, the NHSN CLABSI measure endorsed by the NQF, namely the Central-Line Associated Bloodstream Infection Measure (#0139), does not include in its scope skin and soft tissue infections at the catheter insertion site. For that reason, “infection due to a central venous catheter” does not accurately describe the NHSN measure.
With respect to some commenters' concerns about MRSA and CDI reporting, we note that the LabID event measures do not require screening of all patients and do enable differentiation between community- and health care-associated LabID events. Therefore, we do not believe that an additional exclusion for community-acquired MRSA is required at this time.
Finally, some commenters raised concerns that the Domain 2 measures do not adequately measure hospital performance. We note that measurement of healthcare-associated infections has been a mainstay of infection prevention for over 30 years in the United States, and the data are widely used by providers, policymakers, and the public to measure hospital performance and drive changes in patient care practices that make a difference in performance. Therefore, we disagree that quality measurement does not adequately measure hospital performance.
We believe that the HAC Reduction Program exists, in part, to encourage quality improvement in the acute inpatient setting, and we believe that patient safety measures, such as the AHRQ PSI-90 measure and the CDC NHSN measures, comprise important metrics on which hospitals should focus their quality improvement efforts. While we acknowledge the commenters' concerns about the composite measure's complexity, we note that the composite is NQF-endorsed, and being utilized in both public reporting and pay for performance initiatives. Furthermore, the PSI-90 composite measure consists of underlying safety indicators on which hospitals should focus their attention. We encourage hospitals that are unsure how to improve their performance on the AHRQ PSI measure or on any other measure finalized for the HAC Reduction Program to utilize the quality improvement resources that CMS, AHRQ, and CDC have made available to assist hospitals with improvement in these areas (that is, QIOs, PSOs, QI toolkits, and NHSN State-based prevention initiatives and member meetings).
Comment: Several commenters expressed concern about the disproportionate impact on teaching hospitals and other large hospitals because they treat more complex patients with more comorbidities.
Response: We acknowledge the commenters' concern with the potential negative impact to large and teaching hospitals. As discussed further under section V.I.3.d. of the preamble of this final rule, we believe that the scoring changes made to the HAC Reduction Program will alleviate that concern. However, we will continue to examine and analyze the issue and will consider releasing additional analysis in future rulemaking.
Comment: One commenter opposed inclusion of AHRQ PSI-5 because it is included in the AHRQ PSI-90 composite.
Response: We appreciate the commenter's feedback. However, we would like to clarify that PSI-5 is not part of the PSI-90 composite.
Comment: One commenter suggested a third approach for Domain 1. The commenter suggested including Domain 1 PSIs with the addition of PSI-4, which is part of the Hospital IQR Program, and PSI-8, PSI-13, and PSI-14.
Response: We appreciate the commenter's suggestion and will consider it in future rulemaking.
Comment: Several commenters suggested additional measures for the HAC Reduction Program. One commenter suggested adding iatrogenic pneumothorax with paracentesis and thoracentesis for future IPPS rulemaking. Other commenters recommended the addition of SSIs following hip and knee arthroplasty because there is a need to control high infection rates and subsequent managed care costs following post hip and knee replacement surgery. Another commenter requested a measure for the HAC Reduction Program on C-section births. One commenter asked CMS to consider identifying particular organisms of infection to better address quality issues such as multidrug resistant organism infections. One commenter suggested that, in an effort to reduce hospital infections, other areas of the hospital, such as the ice machines, should be considered for quality measurement.
Response: We appreciate the commenters' feedback and suggestions and will consider these measures in future rulemaking.
Comment: Some commenters recommended that overlapping measures with the Hospital VBP Program be removed from the Hospital VBP Program. Another commenter asked that the measure adoption cycles for the HAC Reduction Program and the Hospital VBP Program be aligned.
Response: The statute does not prohibit use of the same measures in both the HAC Reduction Program and the Hospital VBP Program. Furthermore, these two programs have different scoring methodologies and completely different incentive structures for different types of performance on these measures. By including certain measures under more than one program, we seek to emphasize topics of critical importance for quality improvement in the inpatient hospital setting, and to patient safety. We believe it is appropriate to provide incentives for hospitals to avoid HACs under more than one program. However, we intend to continue working to improve and align our quality improvement programs, and will consider whether we should attempt to minimize measure duplication between programs in the future.
Comment: One commenter expressed concern about mixing measures based on all-payer data with those based on Medicare claims data.
Response: We appreciate the commenter's feedback. However, we do not believe any biases or inaccuracies are introduced to the program by basing the Total HAC Score on measures that use all-payer data, and measures that use Medicare data.
Comment: One commenter believed that CMS should use measures with valid and reliable results and clear and concise definitions toward areas of quality improvement.
Response: We appreciate the commenter's feedback. We believe that the measures selected for the HAC Reduction Program do meet these criteria. The measures finalized for FY 2015 have been MAP-reviewed and NQF-endorsed.
Comment: One commenter expressed concerns regarding the proposed methodology and recommended modifications to avoid unintended consequences. The commenter believed the options are difficult to comprehend as there is a lack of data and urged CMS to extend the comment period and release data files for an accurate analysis of scoring methodologies and an accurate analysis of measure selection.
Response: We will consider hosting educational provider calls to further explain the scoring methodology for the program, and will design the confidential reports in a manner that provides step-by-step explanations of the scoring. We note that data for the PSI-90 measure and the CAUTI and CLABSI measures are currently publicly available on the Hospital Compare Web site. Additionally, we will be making updated information available to the public on the individual indicators in PSI-90 in an upcoming release on the Hospital Compare Web site.
After consideration of the public comments we received, we are adopting the PSI-90 composite for Domain 1 and the CDC measures for Domain 2 (CAUTI and CLABSI for FY 2015, SSI for FY 2016, and MRSA and C-Difficile for FY 2017). We believe that, given that PSI-90 has been both NQF-endorsed and fully MAP-supported for the HAC Reduction Program, it is more suitable. We also believe that the PSI-90 measure, as a composite measure of patient safety, appropriately encourages robust hospital attention to patient safety events.
(3) Applicable Time Period
In the FY 2014 IPPS/LTCH PPS proposed rule, we proposed a 2-year applicable period to collect data that would be used to calculate the Total HAC Score (78 FR 27628). For Domain 1 (AHRQ measures), we proposed a 2-year data period to calculate the measures based on recommendations from AHRQ, the measure developer. In addition, an analysis by Mathematica Policy Research, a CMS contractor, [51] shows that, with a 24-month data period, 50 to 90 percent of hospitals attain a moderate or high level of reliability for the proposed AHRQ measures. We believe that the proposed 24-month data period described below would provide hospitals and the general public the most current data available. The proposed 24-month data period also would allow time to complete the complex calculation process for these measures, to perform comprehensive quality assurance to enhance the accuracy of measure results, and to disseminate confidential reports on hospital-level results to individual hospitals.
For FY 2015, we proposed to use the 24-month period from July 1, 2011 through June 30, 2013 as the applicable time period for the AHRQ measures. The claims for all Medicare FFS beneficiaries discharged during this period would be included in the calculation of measure results for FY 2015. This includes claims data from the 2011, 2012, and 2013 Inpatient Standard Analytic Files (SAFs). The national and hospital-specific rates for PSI-6, PSI-12, and PSI-15 are available on the Hospital Compare Web site. The hospital level PSI-90 composite bucket also is available on the Hospital Compare Web site. [52]
The CDC measures are currently collected and calculated on a quarterly basis. However, for purposes of the HAC Reduction Program, we proposed to use 2 years of data to calculate the Domain 2 score so Domain 1 and Domain 2 are calculated using 24 months of data. For FY 2015, we proposed to use calendar years 2012 and 2013 for the HAC Reduction Program.
Comment: A few commenters addressed the proposed definition of “applicable time period.” One commenter opposed the definition for applicable time period because of general opposition to the scoring methodology proposed for the HAC Reduction Program. Other commenters opposed the definition because of different reporting periods for the measures in the HAC Reduction Program versus other reporting programs and suggested that CMS align the duration of performance periods for the Hospital IQR Program, the Hospital VBP Program, and the HAC Reduction Program using 2 years of data for PSI measures and 1 year of data for NHSN measures.
Response: We appreciate the commenters' feedback and suggestions. The Secretary maintains the statutory authority to determine the applicable period for the HAC Reduction Program. We strive, to the extent possible, to align reporting periods within our programs, acknowledging that some provider burden exists with reporting in multiple programs. However, given the varying policy, statutory, and data collections differences between each program, such exact alignment is not always feasible. For the HAC Reduction program, we proposed and are finalizing a Total HAC score using two domains or sets of measures to determine the payment adjustment. We believe that using 2 years of data for both domains would balance the needs of the program and allow for sufficient time to process the claims data and calculate the measures to meet the program implementation timeline. Further, we believe that the longer performance period on the NHSN measures is better for reliability. Finally, we note that the Hospital VBP Program has certain restrictions (announcing performance standards 60 days prior to the beginning of the performance period and beginning a performance period no sooner than 1 year after a measure is publicly reported on the Hospital Compare Web site) which may result in different performance periods in the Hospital VBP Program than what is used in other programs. As these programs grow and are implemented in future years, we will examine the possibility of aligning the performance periods to the extent possible.
After consideration of the public comments we received, we are finalizing our proposal to codify the definition of “applicable time period” at § 412.170 without modification.
(4) Measure Calculations
In the FY 2014 IPPS/LTCH PPS proposed rule, we proposed measure calculations for the AHRQ PSI measures under Domain 1 and the CDC NHSN measures under Domain 2. Measure calculations for the AHRQ PSI measures included using ICD-9-CM diagnosis and/or procedure codes for the primary diagnosis and, for the secondary diagnosis, POA value associated with the secondary diagnosis on the claim. We also proposed to extend the requirement under the FY 2008 IPPS final rule, requiring that all hospitals paid under the IPPS report on whether a diagnosis is present on admission (72 FR 47201) to subsection (d) Maryland hospitals paid under the waiver at section 1814(b)(3) of the Act. (We refer readers to section II. F.3. of the preamble of this final rule for a discussion of the POA coding requirement for Maryland hospitals.) In addition, we proposed that the same rules under the Hospital IQR Program be applied to determine how the AHRQ PSI and CDC NSHN measures are applied and calculated and proposed to expand both of the populations for the CDC NHSN CAUTI and CLABSI measures to care provided in areas outside of the ICU in the future (78 FR 27628). For further details on these proposals for the HAC Reduction Program, we refer readers to section V.I. of the FY 2014 IPPS/LTCH PPS proposed rule (78 FR 27628). For the Hospital IQR Program, we refer readers to section IX.A. of the preamble of the final rule.
Comment: One commenter recommended limiting CAUTI and CLABSI to ICUs for the HAC program because there are major risks of underreporting and surveillance/assessment bias in self-reporting of hospitals. The commenter believed that because the validity of CLABSI and CAUTI in non-ICU locations remains uncertain, the measure be restricted to ICU locations until and further validation research is performed.
Response: We appreciate the commenter's feedback. In the future, we do intend to expand the CDC NHSN measures to non-ICU locations. The Hospital IQR Program will begin collecting non-ICU data for CLABSI and CAUTI beginning January 2015. For further detail, we refer readers to the section IX.A. of the preamble of this final rule for information regarding expanding the CAUTI and CLABSI measure to non-ICU locations under the Hospital IQR Program.
Comment: One commenter supported the expansion of CLABSI and CAUTI beyond the ICUs.
Response: We appreciate the commenter's support. As stated above, we refer readers to the section IX.A. of the preamble of this final rule for information regarding expanding the CAUTI and CLABSI measures to non-ICU locations under the Hospital IQR Program.
Comment: One commenter recommended delaying the implementation of the proposed approach until validated data submission to NHSN is in place. The commenter believed this new process of data submission was unclear and that there is a need for precise NHSN definitions. The commenter suggested revising the NHSN definitions with more firm definitions which will cause less to be subject to interpretation and result in more accurate reporting.
Response: We appreciate the commenter's suggestion. We have received feedback from CDC on this issue. Numerous data validation efforts already are underway or have been completed for HAI data that were submitted to NHSN. The CDC then reports these data to us for the Hospital IQR Program. These efforts include our validation of the 2012 CLABSI data and State health departments' validation of CLABSI data submitted to NHSN as part of mandatory HAI reporting within their jurisdictions. We have plans in place to validate data across all of the HAIs required for reporting in 2013, and the CDC plans to expand its HAI Data Validation Guidance and Toolkits for States to use for validation of all NHSN HAIs reported in 2013. Changes made to HAI criteria and definitions for reporting HAIs to NHSN in 2013 were posted in protocols before January 1, 2013, so users would know in advance what guidance to follow. These changes were made to eliminate much of the subjectivity in determining whether an HAI exists per NHSN surveillance definitions. Although the CDC recognizes these changes could potentially shift the number of reported HAIs in 2013, this potential shift was evaluated and not expected to be significant.
Comment: One commenter believed that the lower level of reliability for claims-based measures is not sufficient to use in a pay for performance program. The commenter recommended that CMS apply the same reliability benchmark as it does for chart-abstracted measures.
Response: We appreciate the commenter's feedback and support of the reliability benchmark that we use for chart-abstracted measures. Both claims and chart-based data are valid methods for gathering data for quality measurement and quality improvement. Claims data cover a larger population in the hospital and can provide signals of where quality improvement may need to occur. Chart-based data provide more clinical detail and, therefore, more specificity, but often cover a limited population. Claims data, which are collected for payment purposes, are readily available, while registry data are costly to collect and have a potentially high burden on the hospital. However, both types of data comprise important tools in the assessment of HAIs. Both the claims-based PSIs and the chart-based HAI measures have met NQF criteria for scientific acceptability, which include validity and reliability; therefore, we believe they are suitable for use in the HAC Reduction Program.
Comment: One commenter stated that measures calculated from claims-based data are dependent on coding processes. The commenter provided an example that PSI-3 captured data may be incomplete if it is based solely on physician documentation because nurses may have more information. The commenter added that claims-based measures may not fully account for all patient risk factors.
Response: We have received feedback from AHRQ on this issue and appreciate the commenter's and AHRQ's feedback. First, we want to stress that CMS has no other data source that currently captures pressure ulcers for subsection (d) hospitals. We find that these events comprise a serious patient health safety issue in need of quality improvement.
We note that underreporting of pressure ulcers has improved over time, because if a hospital does not document a pressure ulcer when it is POA, then it takes the risk of being penalized later in the hospitalization when the pressure ulcer is clearly documented and it may appear to be acquired in the hospital (when it actually was not).
We further add that we and our Federal partners, including AHRQ, consistently strive to maintain high quality measurement and have reviewed alternatives. For example, the National Database of Nursing Quality Indicators offers a promising alternative, but its measure is based on a quarterly prevalence survey of all eligible patients, and therefore it does not reflect the risk of acquiring a pressure ulcer during an incident hospitalization. Therefore, we believe that the PSI-3 measure remains a suitable measure for the HAC Reduction Program.
However, because we have opted to finalize the alternative PSI-90 proposal at this time, we are not finalizing PSI-3. We stress that in the future, given the critical patient safety area this measure encompasses, and numerous stakeholder comments supporting the pressure ulcer measure, we may consider this measure in future rulemaking for the HAC Reduction Program.
After consideration of the public comments received, we are finalizing the measure calculations proposed for the PSI 90 composite measure for Domain 1 and the measure calculations proposed for the CDC measures for Domain 2. Measure calculations for the AHRQ PSI measures included using ICD-9-CM diagnosis and/or procedure codes for the primary diagnosis and, for the secondary diagnosis, the POA value associated with the secondary diagnosis on the claim. We also are finalizing that subsection (d) Maryland hospitals paid under the waiver at section 1814(b)(3) of the Act must also report on whether a diagnosis is present on admission as discussed in section II.F.3. of the preamble of this rule. We are finalizing that the same rules under the Hospital IQR Program be applied to determine how the AHRQ PSI and CDC NSHN measures are applied and calculated. We note that the Hospital IQR Program is finalizing expanded collection for the non-ICU population (78 FR 27628). We intend to propose use of these data for the HAC Reduction Program in the future.
(5) Measure Risk-Adjustment Methodology
Section 1886(p)(2)(B)(ii) of the Act requires the Secretary to establish and apply an appropriate risk-adjustment methodology with respect to determining the top quartile of subsection (d) hospitals with respect to HACs subject to the 1 percent payment adjustment. In the FY 2014 IPPS/LTCH PPS proposed rule, we proposed to use the existing measure-level risk-adjustment that is already part of the methodology for the individual measures being proposed for Domains 1 and 2 in order to fulfill this requirement (78 FR 27629). We proposed to codify the use of this methodology under proposed § 412.172(d). First, with the exception of PSI 5, all of the proposed PSI measures are risk-adjusted and reliability-adjusted. Specifically, risk factors such as the patient's age, gender, comorbidities, and complications would be considered in the calculation of the measure rates so that hospitals serving a large proportion of sicker patients would not be unfairly penalized. We believe that such risk-adjustment is appropriate, pursuant to section 1886(p) of the Act. We noted that the PSI-5 measure (foreign object left in body) is not risk-adjusted. However, a foreign object left in the body constitutes an adverse event that should never occur. Therefore, such adverse events cannot be risk-adjusted because these events should not occur, regardless of patient-related or hospital-related characteristics.
We invited public comments on the proposed risk-adjustment methodology.
Comment: One commenter was pleased that the measures proposed for the HAC Reduction Program will be risk-adjusted to account for factors such as the patient's age, gender, and comorbidities. The commenter stated that this feature will ensure that hospitals servicing a large proportion of sicker patients will not be unfairly penalized.
Response: We appreciate the commenter's support.
Comment: One commenter supported the inclusion of the PSI measures in the HAC Reduction Program even though the commenter stated there are limitations. The commenter suggested that CMS refine the measures in the future to have a better predictive ability and risk adjustment.
Response: We appreciate the commenter's feedback and support. We note that our measures continually undergo maintenance to determine the need for updated specifications, and to monitor for trends and any relevant risk-adjustment changes needed for the measures.
Comment: One commenter expressed concern regarding the proposal to add additional components to the HAC Reduction program without fully understanding the impact of appropriate risk adjustment. The commenter requested additional information on how this will be incorporated into the Hospital VBP Program.
Response: We will examine the impact of the additional risk-adjusted measures in the program, and propose refinements to the program if necessary. The Hospital VBP Program is a separate program with a separate scoring methodology from the HAC Reduction Program. We refer readers to section V.H. of this final rule for information about the scoring of specific measures for purposes of the Hospital VBP Program.
Comment: Several commenters provided comments regarding risk-adjustment for the HAC program. One commenter requested confirmation that the risk-adjustment factors listed in the specifications for the various measures will be used for the HAC reduction program. Several commenters believed that the risk-adjustment methodology will penalize teaching and large hospitals. One commenter suggested that the risk-adjustment methodology take into account patient location and primary language.
Response: We confirm that we are using the risk-adjustment factors listed in specifications for the AHRQ and CDC measures selected for this program. We note that the risk-adjustment methodology for these measures meets NQF endorsement criteria. We do not believe that the current risk-adjustment factors for the measures in and of themselves unfairly penalize teaching and large hospitals, but will monitor this. Should changes to the risk-adjustment models for the measures be adopted during NQF endorsement maintenance processes, CMS will adopt these changes as soon as possible.
After consideration of the public comments we received, we are finalizing our proposal relating to the risk-adjustment methodology without modification.
d. Criteria for Applicable Hospitals and Performance Scoring
In the FY 2014 IPPS/LTCH PPS proposed rule, we proposed a scoring methodology similar to the achievement scoring methodology currently used under the Hospital VBP Program (78 FR 27629). We proposed to implement a methodology for assessing the top quartile of applicable hospitals for HACs based on performance standards, where we would score each hospital based on whether they fall in the top quartile for each applicable measure and where in the top quartile they fall. In addition, we proposed to calculate a Total HAC Score for each hospital by summing the hospital's performance score on each measure within a domain to determine a score for each domain, then multiplying each domain score by a proposed weight (Domain 1-AHRQ Patient Safety Indicators 50 percent, Domain 2-CDC NHSN Measures 50 percent), and adding together the weighted domain scores to determine the Total HAC Score. For further detail of the general scoring methodology proposed for the HAC Reduction Program, we refer readers to the FY 2014 IPPS/LTCH PPS proposed rule (78 FR 27629 through 27633).
With respect to a subsection (d) hospital, we proposed that CMS would identify the top quartile of all hospitals that are subsection (d) hospitals with respect to their rate of HACs during the applicable period (proposed § 412.172(e)(1)). We proposed that CMS would use Total HAC Scores to identify applicable hospitals and would identify the 25 percent of hospitals with the highest Total HAC Scores as applicable hospitals (proposed § 412.172(e)(2)). In addition, we proposed that CMS would calculate the Total HAC Score by weighing Domain 1 score plus Domain 2 equally at 50 percent (proposed § 412.172(e)(3)).
We proposed that hospital performance under section 1886(p) of the Act would be based on a Total HAC Score, which combines a hospital's results for Domains 1 and 2. For Domain 1, we presented a proposed and alternative set of measures and provided an overall description of how the measures in the Domain 1 proposed approach would be handled in a Total HAC Score. We further proposed several rules that would be used to calculate AHRQ measures, including specific rules pertaining to both the proposed and alternative approach for Domain 1. For further detail on these proposals, we refer readers to the FY 2014 IPPS/LTCH PPS proposed rule (78 FR 27629 through 27633).
For Domain 2, we proposed a method to calculate the CDC NHSN measures for Domain 2, which would use the SIR. For further details on this proposal, we refer readers to the FY 2014 IPPS/LTCH PPS proposed rule (78 FR 27630 through 27633).
Because of the differences among the measures proposed for the HAC Reduction Program and the distribution of measure results, simply adding up the measure results to calculate the domain or Total HAC Scores would make the scores less meaningful to hospitals and the general public. As a result, we proposed that points be assigned to hospitals' performance for each measure (78 FR 27630). For all proposed measures for the HAC Reduction Program, with the exception of PSI 5, we proposed several rules to determine the number of points assigned to a measure that is within the top (or worse performing) quartile. We refer readers to the FY 2014 IPPS/LTCH PPS proposed rule (78 FR 27630 through 27632) for a detailed description of the rules explaining the points assigned to the measures for the HAC Reduction Program.
For Domain 2, we proposed: how we would obtain measures results for the CDC NHSN measures; how we would treat ICUs and an ICU's waiver; and how we would calculate Domain 2 with incomplete data. We proposed several rules to explain how we would calculate and use the CDC NHSN measures in the Domain 2 scoring methodology. For further details on these proposals, we refer readers to the FY 2014 IPPS/LTCH PPS proposed rule (78 FR 27630 through 27633).
We proposed a Total HAC Score where Domain 1 and Domain 2 would be weighed equally (78 FR 27629). We described how complete data would factor into the calculation of the Total HAC Score, and what would occur if complete data was not available in one or more domains. We also described differences between the Domain 1 proposed and alternative approach. For further detail on these proposals, we refer readers to the FY 2014 IPPS/LTCH PPS proposed rule (78 FR 27629 through 27633).
We invited public comments on this proposed scoring methodology. In addition, we invited public comments on alternate methodologies for scoring hospitals and determining most accurately those hospitals that are in the top quartile for the selected HACs. For example, instead of awarding points for each measure only to those hospitals that fall in the top quartile for that specific measure, an alternative option would be to award points to each hospital for each measure in deciles from the best performing hospital to the worst performing hospital. Another example would be to award points in deciles for each measure between the median rate for a particular measure and the rate of the worst performing hospital. We sought to identify hospitals that are in the top quartile for all of the HACs combined and invited public comments on approaches to best identify this group of hospitals.
Comment: One commenter recommended that CMS develop a third domain for calculating total HAC scores made up of two additional measures: (1) NQF #0753 Procedure-Specific Surgical Site Infections; and (2) a measure of medication reconciliation or a proxy measure for medication error prevention since both are high-volume or significant patient safety events.
Response: We appreciate the commenter's feedback and may consider the suggestion in future rulemaking.
Comment: A number of commenters addressed the proposed scoring methodology for the HAC Reduction Programs. The comments fell in one of three categories. The first group of commenters supported the scoring proposal for the HAC Reduction Program.
The second group of commenters did not support the scoring proposal. One commenter in this group stated that the proposed scoring methodology was confusing. Other commenters opposed the scoring proposal because they believed it would unreasonably penalize teaching and large hospitals. Some commenters stated that the scoring methodology gives undue weight to very rare events and may disproportionately impact a small subset of hospitals more likely to treat these types of patients. These commenters further concluded that the scoring proposal would not sufficiently assess hospital performance. Specifically, they expressed concern that the proposed performance scoring methodology awards points to hospitals with performance that is statistically the same as the national average and, in some cases, to hospitals performing above the average due to their placement in the top quartile. Other commenters objected to the methodology creating artificial thresholds in determining the top quartile for each measure, and then again in assessing the Total HAC Scores. These commenters suggested that CMS revise the methodology to account for statistical differences, increase score differentiation between hospitals, and address challenges brought on by such artificial thresholds. They also recommend that CMS delay implementing the program until further enhancements occur. One commenter requested that CMS release additional information so that facilities can replicate the methodology that will be employed. Other commenters stated that the PSI-90 alternative composite measure scores for CLABSI in Domain 1, which also represents a condition scored by the CDC NHSN CLABSI measure in Domain 2.
The third group of commenters suggested changes and provided alternatives to the scoring proposal. One commenter believed that the PSI-90 measures in Domain 1 should be weighed individually rather than as a composite. Some commenters opposed weighing Domain 1 at 50 percent and suggested weighing Domain 2 measures higher. Another commenter suggested that CMS only use one domain for the first year, in order to become more familiar with the program.
MedPAC recommended using only CDC measures for the HAC Reduction program. Another commenter suggested eliminating the two domains altogether. The commenter asked CMS to test the weighting effects of the measures and identify ways in which the weights may shift as more NHSN measures are introduced. The commenter believed that the NHSN and PSI composite measures should be equally weighted and that PSI-5 should be scored similarly to the other PSIs. Several commenters reiterated that PSI-5 should be equally weighed with the other PSIs.
One commenter stated the current scoring process may not accurately assess poor performance across all measures. The commenter suggested that CMS not assign points to hospitals with no events, or those with less than expected events, just to meet the 25-percent threshold. Rather, the commenter believed that CMS should use an index rather than a rank order approach for the top quartile hospitals at the measure level. The commenter further suggested that CMS assess the unintended consequences of the proposed scoring methodologies for the HAC Reduction Program.
Response: We thank all of the commenters who provided comments, suggestions, and feedback on the scoring methodology. We appreciate the comments from those commenters who supported the scoring proposal and the HAC Reduction Program in general.
For those commenters who did not support the scoring proposal, or who provided suggested revisions for the scoring methodology for the HAC Reduction Program, we thank you for the invaluable feedback. We reviewed all comments and suggestions, and, as explained further below, agree that we need to change some aspects of the scoring methodology.
However, at the outset, we disagree with some comments made on the proposed scoring methodology. First, we disagree with the comments citing confusion over the scoring methodology. As stated in other parts of this preamble, we chose this particular scoring methodology to align with the scoring methodology used in the Hospital VBP Program. This approach sought to reduce confusion associated with multiple scoring methodologies. Because the HAC Reduction Program does not contain specific statutory directives on scoring methods, as found with other programs, we believe aligning the HAC Reduction Program scoring methodology with the Hospital VBP Program scoring methodology will reduce confusion, given stakeholders' prior experience with the Hospital VBP Program. We do acknowledge the newness of the HAC Reduction Program, and, as with any new program, the time needed to gain familiarity. However, we believe that adopting similar scoring to that used in the Hospital VBP Program, in conjunction with the education and outreach available on the HAC Reduction Program, will likely alleviate any confusion that may inadvertently arise.
Second, we do not believe in delaying the HAC Reduction Program. As stated further below, we made several revisions to the scoring methodology that addresses the majority of stakeholder concerns, including undue weight for rare events, the potential impact to large and teaching hospitals, and the potential for artificial thresholds. Further, the HAC Reduction Program directly addresses an area of critical importance—the safety of our beneficiaries in an acute care setting. Therefore, we believe that any delay to this program would not benefit the public. Accordingly, although we intend to monitor the program and make adjustments to the HAC Reduction Program as the program evolves, we do not intend to delay the program. Rather, we believe that, in the interest of public safety, this program should be implemented as soon as possible.
Third, to those commenters who believed that the scoring methodology would penalize hospitals that are statistically the same as the national average, or even better than the national average, we disagree. Section 1886(p) of the Act states that the payment adjustment applies to the top quartile of hospitals, relative to the national average of hospital acquired conditions. Our proposed scoring methodology does not lead to the likelihood that hospitals performing at or above the national average would be subject to the payment adjustment.
However, we acknowledge the potential impact to large and teaching hospitals with the proposed scoring methodology. The potential impact to large and teaching hospitals comprised the majority of opposition to the scoring methodology for the HAC Reduction Program. We further acknowledge comments relating to the equal weights proposed in the rule for the two domains as well as opposition to using the 75th percentile as the benchmark for scoring on individual measures. For example, several commenters stated that hospitals may be unfairly penalized for rare events given such scoring. Other commenters, specifically MedPAC, suggested that we weigh Domain 2 measures higher and even suggested solely Domain 2 measures for the entire HAC Reduction Program. Other commenters stated that the benchmark proposed (75th percentile) would not accurately assess the worst performing hospitals with respects to HACs.
Following consideration of the public comments received, we agree that Domain 2 measures should be weighed higher and are finalizing a scoring change where Domain 1 is weighed at 35 percent and Domain 2 is weighed at 65 percent. The support for Domain 2 measures in general, coupled with multiple recommendations to provide more weight to Domain 2 measures, specifically those from MedPAC, has led us to conclude that such scoring changes are necessary. We also considered public comments relating to the 75th percentile benchmark proposed, and agree that a change to the minimum benchmark for scoring each measure is necessary. As discussed further below, we are finalizing a scoring methodology where points will be assigned for each measure in deciles between the score of the best performing hospital and the worst performing hospital.
This scoring change to the domain weights does not indicate that we agree with comments suggesting either the single domain approach or the elimination of the AHRQ PSI-measures from the HAC Reduction Program. Rather, we maintain the AHRQ PSI measures play a vital role in patient safety and comprise an integral part of the HAC Reduction Program. As stated in section V.I.3.c.. of the preamble of this final rule, we are finalizing the alternative PSI-90 for Domain 1. The selection of PSI-90 over the proposed approach eliminates several concerns regarding weighing PSI-5 differently from other measures, as well as general comments disagreeing with the use of the individual AHRQ PSI measures. The PSI-90 composite measure received support from the MAP and endorsement from the NQF for the HAC Reduction Program. We acknowledge comments that wanted PSI-90's components weighed individually in scoring for the HAC Reduction Program. However, the MAP supported and the NQF endorsed this measure as a composite; therefore, we believe that the measure must be scored as such. We further believe that adopting the AHRQ PSI composite measure provides strong incentives for hospitals to ensure that patients are not harmed by the medical care they receive, which is a critical consideration for quality improvement. Despite comments to the contrary, we maintain that not using the AHRQ PSI-90 composite in the HAC Reduction Program may have a negative impact on a hospital's quality performance. We believe that the PSI measure, as a composite measure of patient safety, appropriately encourages robust hospital attention to patient safety events.
As explained earlier in this preamble, the CDC measures received positive support from a number of commenters, including MedPAC. Therefore, we believe there is ample support to use these measures in the HAC Reduction Program.
We believe that the HAC Reduction Program exists, in part, to drive quality improvement in the acute inpatient setting, and we believe strongly that patient safety measures, such as the AHRQ PSI-90 measure and the CDC NHSN measures, comprise important metrics on which hospitals should focus their quality improvement efforts. While we sympathize with commenters about the composite measure's complexity, we note that the measure consists of underlying safety indicators on which hospitals should focus their attention. We encourage hospitals that are unsure how to improve their performance on the AHRQ PSI measure or on any other measure finalized for the HAC Reduction Program to contact their QIO for assistance.
Next, as also stated earlier, we acknowledge that some conditions included in the PSI-90 measure of Domain 1 are also conditions included with the CDC NHSN measures of Domain 2. While we are aware that some commenters objected to the possibility of subjecting hospitals to “double jeopardy” by scoring the CLABSI measure in both domains, we note that this measure covers a topic of critical importance to quality improvement in the inpatient hospital setting and to patient safety. We intend to continue evaluating and working to improve our quality improvement programs, and will consider whether we should attempt to avoid any such measure duplication in the future.
However, we believe that a scoring change that assigns more weight to the CDC NHSN measures and assigns points along a scale from the best performing hospital's score to the worst performing hospital's score, rather than beginning at the 75th percentile, alleviates several commenters' concerns, including those made by MedPAC. First, we believe that the scoring change providing Domain 2 greater weight will decreases the impact to large and teaching hospitals from the proposed method where weights were equally distributed between the domains. Second, the scoring change, both from the change in weighting and the change in the scoring methodology, also more accurately reflects the variation in performance on measures. Therefore, such changes address comments that the proposed scoring methodology does not adequately assess the worst performing hospitals with respect to HACs. Finally, we believe that such scoring changes will also reduce any potential artificial cut-off points for the measures suggested by the commenters, given the fact that we are using the entire distribution of the measures in the scoring.
Regarding the request for additional data, the data used to calculate the scoring for this program will be provided to each hospital as outlined in the review and correction section of this preamble. In the future, as we reassess and further analyze the HAC Reduction program, we may present additional findings, data, and analysis in future rulemaking.
Comment: Several commenters raised concerns about multiple penalties being assessed with the scoring methodology proposed. For the alternative domain 1 approach, commenters stated that the measures contained in the AHRQ PSI-90 composite overlap with the CDC HAI measures of Domain 2, resulting in the same measures being counted twice in the Total HAC Score.
Commenters also raised concerns that the scoring for the HAC Reduction program overlaps with the Hospital VBP program, which could potentially result in penalties being assessed in more than one program. One commenter stated that the criteria used for evaluating hospitals in the HAC Reduction program for Domain 2 are almost identical to the criteria used in the outcome domain in the Hospital VBP Program. Therefore, the commenter suggested that because both programs are so similar, there is potential to penalize hospitals twice.
Response: We appreciate the concerns raised by the commenters and acknowledge that we do have the same measures in both the Hospital VBP Program and the HAC Reduction Program. As stated earlier with regard to measure selection, the HAC Reduction Program and the Hospital VBP Program are separate hospital reporting programs with different purposes and policy goals. For example, the HAC Reduction Program is a penalty program that reduces payments to hospitals for excess HACs to increase patient safety in hospitals. The Hospital VBP Program is an incentive program that redistributes reductions made to the base operating DRG payment amount, based on certain performance measures. Therefore, although we acknowledge that measures appear in both programs, the measures are used and calculated for very distinct purposes. We also add that the measures in both programs relate to HACs, an area which numerous commenters stressed should be included in every program because it comprised a critical area of patient safety. Therefore, we maintain that the safety of Medicare beneficiaries, coupled with the overwhelming requests by stakeholder to align all programs, justify the use of these measures in the HAC Reduction program. However, we will, in the future, monitor the HAC Reduction Program, the measures selected for it, and the scoring methodology, and revise them as needed.
In this FY 2014 IPPS/LTCH PPS final rule, based upon consideration of comments received, we are finalizing the following modified scoring methodology. As we proposed in the proposed rule (78 FR 27629), we are finalizing a scoring methodology similar to the achievement scoring methodology for the individual measures that is currently used under the Hospital VBP Program. However, in response to public comments, the scoring will begin at the minimum value for each measure rather than the 75th percentile, as originally proposed. The finalized methodology will assess the top quartile of applicable hospitals for HACs based on the Total HAC Score. However, based on comments received requesting that we give greater weight to Domain 2 measures, we are finalizing a different weight for each Domain than originally proposed. As provided in this final rule, we will calculate a Total HAC Score for each hospital by using the hospital's performance score on each measure within a domain to determine a score for each domain, then multiplying each domain score by the following weights: Domain 1-(AHRQ PSI-90), 35 percent; and Domain 2-(CDC NHSN Measures), 65 percent; and combining the weighted domain scores to determine the Total HAC Score. We will use each hospital's Total HAC Score to determine the top quartile of subsection (d) hospitals (applicable hospitals) that will be subject to the payment adjustment beginning with discharges on or after October 1, 2014.
With respect to a subsection (d) hospital, we will identify as proposed the top quartile of all hospitals that are subsection (d) hospitals with respect to their rate of HACs during the applicable period (§ 412.172(e)(1)). As proposed, we will use a Total HAC scores to identify applicable hospitals and will identify the 25 percent of hospitals with the highest Total HAC scores as applicable hospitals (§ 412.172(e)(2)). In addition, we will calculate the Total HAC score by weighing Domain 1 at 35 percent plus Domain 2 at 65 percent (§ 412.172(e)(3)). As stated above, we have modified the proposed weighing scheme of 50 percent in each Domain to respond to public comments asking us to give more weight to Domain 2 CDC NHSN measures.
As discussed earlier, we are finalizing the PSI-90 composite measure for Domain 1. As proposed, because hospitals may not have complete data for every AHRQ indicator in the composite measure for this Domain 1 measure, we are finalizing the same methodology used for the Hospital VBP Program to determine the minimum number of indicators with complete data to be included in the calculation of the Domain measure.
We are finalizing the following rules we proposed to determine the number of AHRQ indicators to be included in the calculation for a hospital's Domain 1 score. In this discussion, “complete data” refers to whether a hospital has enough eligible discharges to calculate a rate for a measure. Complete data for the AHRQ PSI-90 composite measure means the hospital has three or more eligible discharges for at least one component indicator. Specifically—
If a hospital does not have “complete data” for the PSI-90 composite, we will not calculate a Domain 1 score for that hospital.
If a hospital has “complete data” for at least one indicator for the AHRQ PSI-90 composite, we will calculate a Domain 1 score.
The calculation of the SIR for the CDC measures requires the facility have >1 predicted HAI event. The predicted number of events is calculated using the national HAI rate and the observed number of the specific HAIs. In the event an SIR cannot be calculated because the facility has <1 predicted infection, Domain 1 scores exclusively will be used to calculated a HAC score. In other words, we will exclude from the overall HAC score calculation any measure for which an SIR cannot be calculated for the reason set out above.
Because of the differences among the measures proposed for the HAC Reduction Program and the distribution of measure results, simply adding up the measure results to calculate the domain or Total HAC Scores will make the scores less meaningful to hospitals and the general public. As a result, in this FY 2014 IPPS/LTCH PPS final rule, points will be assigned to hospitals' performance for each measure (78 FR 27630). This approach aligns with the Hospital VBP Program for measuring hospital achievement. In particular, the Hospital VBP Program assigns up to 10 points for each measure based on a hospital's performance result for that measure for a given time period. We note that, for the HAC Reduction Program, unlike the Hospital VBP Program where a higher score means better performance, the more points a hospital receives on a measure corresponds with a poorer score. For the HAC Reduction Program, as we proposed, for this final rule we are using a slightly different methodology for scoring points, depending on the specific measure (Table C). Specifically—
- For the AHRQ Patient Safety for Selected Condition (PSI 90) composite in Domain 1, point assignment will be based on a hospital's score for the composite measure.
- We will assign 1 to 10 points to the hospital for the PSI-90 composite measure.
- For the CDC NHSN measures in Domain 2, point assignment for each measure will be based on the SIR for that measure.
- For each SIR, we will assign 1 to 10 points to the hospital for each measure (CAUTI and CLABSI for FY 2015).
- The Domain 2 score will consist of the average of points assigned to the SIR (CAUTI and CLABSI for FY 2015).
| Measure name | Measure result | Scenario | Individual measure score (points) |
|---|---|---|---|
| *** These measure rates are risk-adjusted and reliability-adjusted. | |||
| Domain 1 PSI 90 *** | Weighted average of rates of component indicators | Composite value | 1-10. |
| Domain 2 CDC NHSN CAUTI CLABSI | Standard Infection Ratio (SIR) | SIR | 1-10 (see Figure A). |
For all measures finalized for the HAC Reduction Program, we will use the following rules, as we proposed, to determine the number of points assigned to a measure. Base on the distribution for PSI 90 rates for all the hospitals, we will divide the results into percentiles in increments of 10 with the lowest percentile ranges meaning better performance. Hospitals with PSI-90 rates within the lowest tenth percentile will be given one point; those with PSI-90 rates within the second lowest percentile range (between the 10th and 20th percentile) will be given 2 points, etc.
| If Hospital A's PSI-90 rate falls into this percentile | Then assign this number of points |
|---|---|
| 1st-10th | 1 |
| 11th-20th | 2 |
| 21st-30th | 3 |
| 31st-40th | 4 |
| 41st-50th | 5 |
| 51st-60th | 6 |
| 61st-70th | 7 |
| 71st-80th | 8 |
| 81-90th | 9 |
| 91st-100th | 10 |
For Domain 2, as proposed, we will obtain measure results that hospitals submitted to the CDC NHSN for the Hospital IQR Program. The CDC HAI measures capture adverse events that occurred within intensive care units (ICUs), including pediatric and neonatal units. For the Hospital IQR Program, hospitals that elected to participate in the reporting program (that is, had an active IQR pledge), but did not have ICUs, can apply for an ICU waiver so that they will not be subject to the 2-percent payment reduction for nonsubmission of quality reporting data.
In the second quarter of 2012, among the 3,321 IPPS hospitals with an active IQR pledge for data submission, 377 (or 10.1 percent) applied and received an ICU waiver. At the same time, 2,939 hospitals (88.5 percent) of the IPPS hospitals did not have an ICU waiver and submitted data for the CDC HAI CLABSI measure, while 4 hospitals (0.1 percent) that had no ICU waiver failed to submit data to the NHSN. For the same quarter, of the 3,321 IPPS hospitals with an active IQR pledge, 2,935 (88.4 percent) that did not have an ICU waiver submitted data for the CDC HAI CAUTI measure, whereas 8 hospitals (0.2 percent) did not submit data. Because data availability for the two CDC HAI measures impact the score for Domain 2 and eventually the Total HAC Score, we aim to encourage hospitals with an ICU that did not submit data to begin data submission, and to reward hospitals that have already submitted data to continue data submission for all the CDC HAI measures. To this end, as we proposed, we are finalizing the following rules (Figure B):
- If a hospital has an ICU waiver for the CDC HAI measures, we will use only the Domain 1 score to calculate its Total HAC Score.
- If a hospital does not have an ICU waiver for a CDC HAI measure:
○ If the hospital does not submit data for the CDC HAI measures, we will assign 10 points to that measure for that hospital.
○ If the hospital does submit data for at least one CDC NHSN measure:
If there are “complete data” (that is, enough adverse events to calculate the SIR) for at least one measure, we will use those data to calculate a Domain 2 score and use the hospital's Domain 1 and Domain 2 scores to calculate the Total HAC Score.
If there are not enough adverse events to calculate the SIR for any of the measures, we will use only the hospital's Domain 1 score to calculate its Total HAC Score.
As discussed earlier, if a hospital has enough data to calculate PSI 90 for Domain 1 and “complete data” for at least one measure in Domain 2, the scores of the two domains will contribute to the Total HAC Score at 35 percent for Domain 1 and 65 percent at Domain 2. However, if a hospital does not have enough data to calculate PSI 90 for Domain 1 but it has “complete data” for at least one measure in Domain 2, its Total HAC Score will depend entirely on its Domain 2 score. Similarly, if a hospital has “complete data” to calculate PSI 90 in Domain 1 but none of the measures in Domain 2, its Total HAC Score will be based entirely on its Domain 1 score. If the hospital does not have “complete data” to calculate PSI 90 for Domain 1 or any of the measures in Domain 2, we will not calculate a Total HAC Score for this hospital.
e. Reporting Hospital-Specific Information, Including the Review and Correction of Information
(1) Confidential Reports to Applicable Hospitals
Section 1886(p)(5) of the Act requires the Secretary to provide confidential reports to the applicable hospitals with respect to HACs. To meet the requirements under section 1886(p)(5) of the Act, in the FY 2014 IPPS/LTCH PPS proposed rule, we proposed that confidential reports for the HAC Reduction Program contain information related to claims-based measure data for the PSI measures, the domain score for each domain, and the Total HAC Score (78 FR 27633). We note that we proposed to use chart-abstracted measures in the HAC Reduction Program, and such information will be contained in the reports hospitals currently receive as part of the Hospital IQR Program and can be reviewed and corrected through the process specified for that program. We believe that this method would reduce the burden on hospitals, by alleviating the need to correct data present in two different programs. However, we welcomed any public comments and suggestions on this proposal.
Comment: One commenter supported the proposal to provide hospitals with confidential reports and allow them the opportunity to submit corrections to HAC-related data prior to assessing a payment adjustment.
Response: We appreciate the commenter's support to our proposal on confidential reports.
After consideration of the public comments we received, we are finalizing our proposal regarding confidential reports provided under the HAC Reduction program without modification.
(2) Availability of Information to the Public
Section 1886(p)(6)(A) of the Act requires the Secretary to “make information available to the public regarding HAC rates of each subsection (d) hospital” under the HAC Reduction Program. Section 1886(p)(6)(C) of the Act requires the Secretary to post the HAC information for each applicable hospital on the Hospital Compare Web site in an easily understood format. Section 1886(p)(6)(B) of the Act also requires the Secretary to “ensure that an applicable hospital has the opportunity to review, and submit corrections for, the HAC information to be made public for each hospital.”
To meet the requirements under section 1886(p)(6)(C) of the Act, in the FY 2014 IPPS/LTCH PPS proposed rule, we proposed that the following information would be made public on the Hospital Compare Web site relating to the HAC Reduction Program: (1) Hospital scores with respect to each measure; (2) each hospital's domain specific score; and (3) the hospital's Total HAC Score (78 FR 27633). However, because this is a new program, we invited public comments and suggestions on other information to be posted on the Hospital Compare Web site.
Comment: Several commenters supported the public reporting of HAC data. One commenter generally supported public reporting and continued availability of HAC data for third party use. Other commenters supported full transparency of medical error reporting and strongly believed that the general public must have access to hospital safety measures for making informed decisions about hospital care. One commenter suggested that government funding be withheld to any hospital that would not publish their medical errors as part of a public Web site. The commenter added that patients should have reliable information in which to choose doctors and hospitals. One commenter supported full transparency of all medical error data.
Response: We appreciate all the commenters' recognition and support of the information we plan to publically report. We remain committed to fostering transparency for the public we serve and providing accurate data to hospitals to improve quality and increase patient safety.
Comment: One commenter recommended that all quality measures be in the Hospital IQR Program for 1 year before being considered for performance programs.
Response: Although it is not required for this program, the measures we are finalizing for the HAC Reduction Program for FY 2015 have all been in the Hospital IQR Program for at least 1 year, and have been publicly reported.
Comment: One commenter did not support publically reporting AHRQ PSI data.
Response: We appreciate the commenter's feedback. We believe that public reporting of PSI data is critical because we are using PSI-90 as part of calculating the Total HAC Score, which will be used to determine the payment adjustment under the HAC Reduction Program. We also already report these data on the Hospital Compare Web site. Therefore, in order to foster transparency and further provide safety information to the public in order to assist them with their healthcare decisions, we believe public reporting of the PSI-90 data is warranted. We are aware of stakeholders' concerns regarding the use of claims-based measures. However, we maintain that because such claim information is suitable to determine payment under the Medicare program, it is also suitable to be reported to the public. We stress that we have provided a review and correction process to hospitals to revise data if hospitals recognize errors within their submitted data. We also are willing to assist hospitals with outreach and education in order to ensure they submit accurate claims information.
After consideration of the public comments we received, we are finalizing that the following will be publically reported: (1) Hospital scores with respect to each measure; (2) each hospital's domain specific score; and (3) the hospital's Total HAC Score.
(3) Review and Correction of Information
Section 1886(p)(6)(B) of the Act requires the Secretary to ensure that each hospital has the opportunity to review and submit corrections for the information to be made available to the public with respect to each hospital under section 1886(p)(6)(A) of the Act prior to such information being made available to the public. In the FY 2014 IPPS/LTCH PPS proposed rule, we proposed that hospitals be allowed to review and correct the following information as part of the HAC Reduction Program prior to it being made available to the public: The claims-based measure rates in Domain 1; the point allocations for the measures in each domain; the domain scores; and the Total HAC Score (78 FR 27633).
For the FY 2015 HAC Reduction Program, we proposed to use individual HAC measures consisting of CDC HAI measures as well as claims-based measures. Further, we proposed for the HAC Reduction Program that hospitals have an opportunity to review and correct chart-abstracted data and claims- based data for each measure through the processes discussed below. These individual measures will be used to calculate the domain and Total HAC Score, which will determine those applicable hospitals within the top quartile, or those hospitals with the highest number of HACs. We also proposed that hospitals have the opportunity to review and submit corrections on its Domain and Total HAC Score for the HAC Reduction Program, which is also described below.
Comment: Several commenters supported the review and correction process proposed for the HAC Reduction Program.
Response: We appreciate the commenters' support and feedback.
Comment: One commenter suggested that CMS provide ample data for hospitals to fully review the program details, including hospital results and data files with tables to illustrate results by hospital and quartile type.
Response: We considered several factors in deciding the amount of information that we would provide to hospitals for the review and correction process. These factors include confidentiality of information, our resources, and feasibility for hospital providers to process the data. For the purposes of the HAC Reduction Program data, we have decided to provide as much information that is pertinent to the calculation of the Domain and Total HAC Scores so that hospitals can verify the accuracy of these calculations. Providing extensive data information would be more than necessary in hospitals' effort to review their Total HAC Score. To protect sensitive patient information, and to avoid burden and confusion to hospitals, we are careful not to include data elements that are not relevant for the review and correction process. Furthermore, providing all subsection (d) and Maryland hospitals with data requested by some commenters will require a large amount of resources, infrastructure changes and exert significant financial burden on these hospitals and on taxpayers. We have already provided hospitals with discharge level information about patient comorbidities, demographic characteristics, and dates of service that are pertinent to the calculation of the claims-based measures, and will continue to do so.
Therefore, we believe that the proposed review and correction policies are adequate. We are working to identify new methods to provide hospitals with accurate and timely data to improve their care delivery processes to reduce HACs and increase patient safety in the acute care setting. We encourage hospitals and other health care providers to provide us with recommendations for this effort.
(a) Chart-Abstracted Measures (Domain 2—CDC HAI Measures)
In the FY 2014 IPPS/LTCH PPS proposed rule, we proposed to use the same process that hospitals currently have to review and correct data submitted on the Hospital IQR Program chart-abstracted measures to review and correct chart-abstracted measures in Domain 2 under the HAC Reduction Program (78 FR 27633). Under this proposed process, hospitals would continue to have the opportunity to review and correct data they submit on all Hospital IQR Program chart abstracted measures, whether or not the measure was adopted as a measure for the HAC Reduction Program. We proposed to use the Hospital IQR Program's data submission, review, and correction processes, which would allow for review and correction of data on a continuous basis as data are being submitted for the Hospital IQR Program, which in turn would allow hospitals to correct data used to calculate the Total HAC Score for those hospitals that participate in both the Hospital IQR Program and the HAC Reduction Program. We believe that this process would satisfy the requirement in section 1886(p)(6) of the Act to allow hospitals to review and submit corrections for information that will be made public with respect to each hospital. Under the Hospital IQR Program, hospitals currently have an opportunity to submit, review, and correct any of the chart-abstracted information for the full 41/2months following the last discharge date in a calendar quarter. Hospitals can begin submitting data on the first discharge day of any reporting quarter. Hospitals are encouraged to submit data early in the submission schedule to identify errors and resubmit data before the quarterly submission deadline. Users may view and make corrections to the data that they submit starting immediately following submission. The data are populated into reports that are updated immediately with all data that have been submitted successfully. Hospitals are able to view a report each quarter which shows the numerator, denominator, and percentage of total for each Clinical Measure Set and Stratum. That report contains the hospital's performance on each measure set/stratum submitted quarterly by CDC on behalf of hospitals to CMS' QIO Clinical Warehouse. We believe that 41/2months is sufficient time for hospitals to be able to submit, review data, make corrections to the data, and view their percentage of total, or measure rate, on each Clinical Measure Set/Strata for use in both the Hospital IQR Program and the HAC Reduction Program. In addition, because this process is familiar to most hospitals, use of this existing framework reduces the burden that could have been placed on hospitals that participate in the Hospital IQR Program if they had to learn a new process for submitting chart-abstracted data for the HAC Reduction Program. Subsequent to the period during which hospitals could review and correct data and measure rates for chart-abstracted measures as specified, they would have no further opportunity to correct such data or measure rates. We proposed that once the hospital had an opportunity to review and correct quarterly data related to chart-abstracted measures submitted in the Hospital IQR Program, we would consider that the hospital had been given the opportunity to review and correct the data for the HAC Reduction Program. We proposed to use these data to calculate the measure scores for purposes of the HAC Reduction Program, and these measure scores would be used to calculate domain and Total HAC Scores for the HAC Reduction Program without further review and correction. We invited public comments on this proposal.
Comment: One commenter supported the review and correction process for chart-abstracted measures.
Response: We appreciate the commenter's support.
After consideration of the public comments we received, we are finalizing our proposal relating the review and correction process for chart-abstracted measures without modification.
(b) Claims-Based Measures (Domain 1 AHRQ PSI Measures)
For purposes of the HAC Reduction Program for FY 2015, in the FY 2014 IPPS/LTCH PPS proposed rule, we proposed to calculate Domain 1 measure rates using the 2-year applicable period for the FY 2015 payment determination that spans from July 1, 2011 through June 30, 2013 and apply the minimum number of discharges criteria shown in Table B for each hospital as proposed (78 FR 27634). We intend to make this information available to the public, consistent with the requirements of section 1886(p)(6)(B) of the Act, as will be specified in further detail as part of the FY 2015 rulemaking process, in addition to posting this information on the Hospital Compare Web site in a subsequent release.
We proposed to provide hospitals an opportunity to review and submit corrections for claim-based measures using a process similar to the process currently used for posting results on the Hospital Compare Web site, which is also the process currently used in the Hospital Readmissions Reduction Program. We also proposed the details regarding the process for hospitals to review and submit corrections to their data score prior to making this information available to the public on the Hospital Compare Web site.
For FY 2015, for the HAC Reduction Program, we proposed to deliver confidential reports and accompanying confidential discharge level information to hospitals as defined in section V.I.3.d. of the preamble of the proposed rule. These reports would be delivered in hospitals' secure QualityNet accounts. The information in the confidential reports and accompanying confidential discharge-level information would be calculated using the claims information we had available approximately 90 days after the last discharge date in the applicable period, which is when we would create the data extract for the calculations. The discharge-level information accompanying the Domain 1 PSI measure rates would include the risk factors for the discharges that factor into the calculation of these measures, dates of admission and discharge, discharge characteristics, and other information relevant to the measure calculations, that is, exclusions. Our intent in providing this information is twofold: (1) To facilitate hospitals' verification of the Domain 1 PSI measure calculations we provide during the review and correction period based upon the information we had available at the time our data extract was created; and (2) to facilitate hospitals' quality improvement efforts with respect to the PSI measures.
The review and correction process we proposed for claims-based measures in Domain 1 would not include submitting additional corrections related to the underlying claims data we used to calculate the measures for Domain 1, or adding new claims to the data extract we used to calculate the measures used in Domain 1. This is because it is necessary to take a static “snapshot” of the claims in order to perform the calculations. For purposes of this program, we would calculate the measures in Domain 1 using a static snapshot (data extract) taken at the conclusion of the 90-day period following the last date of discharge used in the applicable period. We recognize that under our current timely claims filing policy, hospitals have up to 1 year from the date of discharge to submit a claim to us. However, in using claims data to calculate measures for this program, we proposed to create data extracts using claims in CMS' Common Working File (CWF) 90 days after the last discharge date in the applicable period which we will use for the calculations. For example, if the last discharge date in the applicable period for a measure is June 30, 2013, we would create the data extract on September 30, 2013, and use that data to calculate the claims based measures for that applicable period. Hospitals would then receive the Domain 1 Score in their confidential reports and accompanying discharge-level information, and they would have an opportunity to review and submit corrections for the calculations of the measures in Domain 1. As we stated above, hospitals would not be able to submit corrections to the underlying claims snapshot used for the Domain 1 measure calculations after the extract date, and also would not be able to add claims to this data set. Therefore, we would consider hospitals' claims data to be complete for purposes of calculating the Domain 1 for the HAC Reduction Program at the conclusion of the 90-day period following the last date of discharge used in the applicable period. We considered a number of factors in determining that a 90-day “run-out” period is appropriate for purposes of calculating claims based measures. First, we seek to provide timely quality data to hospitals for the purpose of quality improvement and to the public for the purpose of transparency. Next, we seek to make payment adjustments to hospitals based on their performance on measures as close in time to the performance period as possible. Finally, with respect to claims-based measures, we seek to have as complete a data set as possible, recognizing that hospitals have up to 1 year from the date of discharge to submit a claim under CMS' timely claims filing policy. After the data extract is created, it takes several months to incorporate other data needed for the calculations (particularly in the case of risk-adjusted, and/or episode-based measures). We then need to generate and check the calculations, as well as program, populate, and deliver the confidential reports and accompanying data to be delivered to hospitals. We also are aware that hospitals would prefer to receive the calculations to be used for the HAC Reduction Program as soon as possible. Because several months lead time is necessary after acquiring the data to generate these claims-based calculations, if we were to delay our data extraction point to 12 months after the last date of the last discharge in the applicable period, we would not be able to deliver the calculations to hospitals sooner than 18 to 24 months after the last discharge. We believe this would create an unacceptably long delay both for hospitals and for us to deliver timely calculations to hospitals for quality improvement and transparency, and, ultimately, timely HAC adjustment factors for purposes of this program. Therefore, we proposed to extract the data needed to calculate the Domain 1 for this program 90 days after the last date of discharge for the applicable period so that we can balance the need to provide timely program information to hospitals with the need to calculate the claims based measures using as complete a data set as possible. We noted that, under the proposed process, hospitals would retain the ability to submit new claims and corrections to submitted claims for payment purposes in line with CMS' timely claims filing policies. However, we emphasized that the administrative claims data used to calculate the Domain 1 measures and the resulting Domain Score reflect the state of the claims at the time of extraction from CMS' Common Working File. Under the proposed process, a hospital's opportunity to submit corrections to the calculation of the Total HAC Score ends at the conclusion of the review and correction period.
Comment: One commenter supported the proposal.
Response: We appreciate the commenter's support.
After consideration of the public comments we received, we are finalizing our proposal relating to the review and correction process of the claims-based measures with the clarification that we are finalizing the AHRQ-PSI-90 composite claims based measure for Domain 1.
(c) Total HAC Score
In the FY 2014 IPPS/LTCH PPS proposed rule, we proposed to provide hospitals with a period of 30 days to review and submit corrections for their Total HAC Scores for the HAC Reduction Program (78 FR 27635). This 30-day period would begin when the hospitals' confidential reports and accompanying discharge-level information are posted to their QualityNet accounts. This proposed requirement will enable us to evaluate correction requests and provide decisions on those requests in a timely manner.
We believe that this proposed review and corrections process will ensure that hospitals are able to fully and fairly review their domain and Total HAC Score. We view the review and corrections process as a means to ensure that the information posted on the Hospital Compare Web site is accurate. We invited public comments on the proposed review and corrections process for the HAC Reduction Program. Based on previous experience with public reporting of measures under the Hospital IQR Program, and review and correction processes currently in place for the Hospital Readmission Reduction Program and the Hospital VBP Program, we believe this 30-day period allows enough time for hospitals to review their data and notify us of calculation errors, and for us to incorporate appropriate corrections to the HAC calculations prior to making the data available to the public. We proposed that the Total HAC Score would be made available to the public via the Hospital Compare Web site after the review and correction period. During the review and correction period, hospitals should notify us of suspected errors in their Total HAC Score using the technical assistance contact information provided in their confidential reports.
During the 30-day review and correction process for the Total HAC Score, if a subsection (d) hospital suspects that discrepancies exist in our application of the HAC scoring methodology (assignment of points to measures, domain scoring, domain weighting), it should notify us during the review and correction period using the technical support contacts provided in the hospital's confidential report. We would investigate the validity of each submitted correction and notify hospitals of the results. If we confirm that we made an error in creating the data extract or in calculating the Total HAC Score, we would correct the calculations, issue new confidential reports to affected subsection (d) hospitals, and then publicly report the corrected Total HAC Score. However, if the errors take more time than anticipated to correct, we would notify hospitals that corrected HAC Scores will be made available through delivery of confidential reports followed by a second 30-day review and correction period, subsequent publication, and posting on the Hospital Compare Web site. In addition, we proposed that any corrections to a hospital's Total HAC Score would then be used to recalculate a hospital's quartile under section 1886(p)(2)(B)(i) of the Act in order to determine the hospital's adjustment factor in accordance with section 1886(p)(2)(B)(ii) of the Act.
We stated that this proposed process would fulfill the statutory requirements at section 1886(p)(2)(B), section 1886(p)(6)(B), and section 1886(p)(6)(C) of the Act. We stated that we further believe that the proposed process would allow hospitals to review and correct their total HAC Scores.
We proposed to codify this review and correction process at proposed § 412.172(f). In summary, we would specify that CMS would make information available to the public regarding HAC rates of all hospitals described in section 1886(d)(1)(B) of the Act, including hospitals in Maryland paid under section 1814(b)(3) of the Act, under the HAC Reduction Program (proposed paragraph (f)). To ensure that a hospital has the opportunity to review and submit corrections for its HAC rates for the applicable conditions for a fiscal year that are used to determine its total hospital acquired conditions score, we would specify that CMS will provide each hospital with confidential hospital-specific reports and discharge level information used in the calculation of its total hospital acquired conditions score (proposed paragraph (f)(2)). Hospitals would have a period of 30 days after receipt of the information provided to review and submit corrections for the hospital-acquired conditions domain score for each condition that is used to calculate the Total HAC score for the fiscal year (proposed paragraph (f)(2)). The administrative claims data used to calculate a hospital's total hospital acquired conditions score for the conditions for a fiscal year would not be subject to review and correction (proposed paragraph (f)(3)). CMS would post the total hospital-acquired condition score for the applicable conditions for a fiscal year for each applicable hospital on the Hospital Compare Web site (proposed paragraph (f)(4)).
Comment: One commenter suggested that CMS provide a minimum of 60 days to review and correct the Total HAC Score.
Response: We appreciate the commenter's suggestion. We are adopting the same review and correction process and timeframes already used for the Hospital Readmissions Reduction Program and Hospital VBP Program. We will provide hospitals with an opportunity to preview their Total HAC Score for 30 days prior to posting on the Hospital Compare Web site. This process meets the statutory requirement in section 1886(p)(6)(B) of the Act which requires the Secretary to ensure that a subsection (d) hospital has the opportunity to review and submit corrections with respect to the hospital prior to such information being made public. Aside from the statutory requirements, we also considered hospital experience with the measure and data production timeline in proposing the 30-day preview period. In terms of hospital experience with the measures, while the HAC Reduction Program is new, subsection (d) hospitals are already familiar with some of these measures given their inclusion in the Hospital IQR Program. Because hospitals are working with measures in which they have some prior experience from the Hospital IQR Program, and because the timeframe aligns with the 30-day preview period already in place for the Hospital Readmissions Reduction Program and the Hospital VBP Program, we believe that a 30-day preview period is sufficient for hospitals to review and correct their information on their Total HAC Score. In terms of the data production timeline, the complexity of these measures and the required calculations will involve a significant amount of programming resources. Therefore, we cannot extend the preview period to more than 30 days. Moreover, if hospitals find data problems that we determine to be attributable to our calculation or programming errors, we will need adequate time between mid-July and the end of September to: (1) Recalculate the Total HAC Score; (2) regenerate and redisseminate corrected results to hospitals in time for payment adjustment in early October (the beginning of the subsequent fiscal year); and (3) publicly report the Total HAC Score on the Hospital Compare Web site to meet the statutory reporting requirements under section 1886(p)(6) of the Act. Accordingly, we cannot change the review and correction timeframe to 60 days.
After consideration of the public comments we received, for the review and correction process, we are finalizing the policies of providing subsection (d) hospitals with: (1) Confidential reports and accompanying discharge-level information (this includes information related to claims-based measure data for the PSI measures, the domain score for each domain, and the Total HAC Score); (2) publically reporting hospital scores with respect to each measure, each hospital's domain specific score; and the hospital's Total HAC Score on the Hospital Compare Web site; and (3) a period of 30 days to review and correct their claims-based measures in Domain 1, the point allocations for the measures in each domain, the domain score, and the Total HAC Score.
f. Limitation on Administrative and Judicial Review
Section 1886(p)(7) of the Act provides that there will be no administrative or judicial review under Section 1869 of the Act, under Section 1878 of the Act, or otherwise for any of the following:
- The criteria describing an applicable hospital under section 1886(p)(2)(A) of the Act.
- The specification of hospital acquired conditions under section 1886(p)(3) of the Act.
- The specification of the applicable period under section 1886(p)(4) of the Act.
- The provision of reports to applicable hospitals under section 1886(p)(5) of the Act.
- The information made available to the public under section 1886(p)(6) of the Act.
In the FY 2014 IPPS/LTCH PPS proposed rule, we proposed to include these statutory provisions under proposed § 412.172(g) (78 FR 27636 and 27759). We note that section 1886(p)(6) of the Act requires the Secretary to make information available to the public regarding HAC scores of each applicable hospital under the HAC Reduction Program. Section 1886(p)(6)(B) of the Act also requires the Secretary to ensure that an applicable hospital has the opportunity to review, and submit corrections for, the information to be made available to the public, prior to that information being made public. We believe that the review and correction process explained above will provide hospitals with the opportunity to correct data prior to its release on the Hospital Compare Web site.
Comment: One commenter stated that limited judicial and administrative review exists with respect to what qualifies as an applicable hospital, the specifications of a HAC, the determination of an applicable period, and what information is publically reported. Therefore, the commenter recommended that CMS provide additional data, information, and analysis of the HAC Reduction Program in order for commenters to provide meaningful comment on the HAC Reduction Program and adequately replicate CMS' findings with regard to the program.
Response: We appreciate the commenter's suggestion. However, in this year's rule, we have provided information and rationale on the qualifications of an applicable hospital, the specifications of the HAC, the determination of an applicable period, and the information that shall be reported to the public. Therefore, we believe that commenters can and did provide meaningful comment on the HAC Reduction Program. In the future, as we reassess and further analyze the HAC Reduction Program, we may, if significant, present additional findings, data, and analysis in future rulemaking.
After consideration of the public comments we received, we are finalizing our proposals, including the regulatory text at § 412.172(g), relating to the limitations on administrative and judicial review.
J. Payments for Direct Graduate Medical Education (GME) Costs (§§ 412.105 and 413.75 Through 413.83
1. Background
Section 1886(h) of the Act, as added by section 9202 of the Consolidated Omnibus Budget Reconciliation Act (COBRA) of 1985 (99) and as currently implemented in the regulations at 42 CFR 413.75 through 413.83, establishes a methodology for determining payments to hospitals for the direct costs of approved graduate medical education (GME) programs. Section 1886(h)(2) of the Act sets forth a methodology for the determination of a hospital-specific base-period per resident amount (PRA) that is calculated by dividing a hospital's allowable direct costs of GME in a base period by its number of full-time equivalent (FTE) residents in the base period. The base period is, for most hospitals, the hospital's cost reporting period beginning in FY 1984 (that is, October 1, 1983 through September 30, 1984). The base year PRA is updated annually for inflation. In general, Medicare direct GME payments are calculated by multiplying the hospital's updated PRA by the weighted number of FTE residents working in all areas of the hospital complex (and at nonprovider sites, when applicable), and the hospital's Medicare share of total inpatient days.
Section 1886(d)(5)(B) of the Act provides for a payment adjustment known as the indirect medical education (IME) adjustment under the hospital inpatient prospective payment system (IPPS) for hospitals that have residents in an approved GME program, in order to account for the higher indirect patient care costs of teaching hospitals relative to nonteaching hospitals. The regulations regarding the calculation of this additional payment are located at 42 CFR 412.105. The hospital's IME adjustment applied to the DRG payments is calculated based on the ratio of the hospital's number of FTE residents training in either the inpatient or outpatient departments of the IPPS hospital to the number of inpatient hospital beds.
The calculation of both direct GME and IME payments is affected by the number of FTE residents that a hospital is allowed to count. Generally, the greater the number of FTE residents a hospital counts, the greater the amount of Medicare direct GME and IME payments the hospital will receive. In an attempt to end the implicit incentive for hospitals to increase the number of FTE residents, Congress, through the Balanced Budget Act of 1997 (Pub. L. 105-33), established a limit on the number of allopathic and osteopathic residents that a hospital may include in its FTE resident count for direct GME and IME payment purposes. Under section 1886(h)(4)(F) of the Act, for cost reporting periods beginning on or after October 1, 1997, a hospital's unweighted FTE count of residents for purposes of direct GME may not exceed the hospital's unweighted FTE count for direct GME in its most recent cost reporting period ending on or before December 31, 1996. Under section 1886(d)(5)(B)(v) of the Act, a similar limit based on the FTE count for IME during that cost reporting period is applied effective for discharges occurring on or after October 1, 1997. Dental and podiatric residents are not included in this statutorily mandated cap.
The Affordable Care Act made a number of statutory changes relating to the determination of a hospital's FTE resident count for direct GME and IME payment purposes and the manner in which FTE resident limits are calculated and applied to hospitals under certain circumstances. Regulations implementing these changes are discussed in the November 24, 2010 final rule (75 FR 72133) and the FY 2013 IPPS/LTCH PPS final rule (77 FR 53416).
2. Inclusion of Labor and Delivery Days in the Calculation of Medicare Utilization for Direct GME Purposes and for Other Medicare Purposes
In the FY 2013 IPPS/LTCH PPS final rule (77 FR 53411), we discussed Medicare's policies with respect to the treatment of labor and delivery services in the calculation of the Medicare DSH payment adjustment. We noted that, in the FY 2010 IPPS/LTCH PPS final rule (74 FR 43899 through 43901), we made a change to include, in the disproportionate patient percentage (DPP) calculation of the Medicare DSH payment adjustment, all patient days associated with patients occupying labor and delivery beds once the patient has been admitted to the hospital as an inpatient, regardless of whether the patient days are associated with patients who occupied a routine bed prior to occupying an ancillary labor and delivery bed. We stated that we made the change because the costs associated with labor and delivery patient days of patients who are admitted as inpatients are generally payable under the IPPS.
In the FY 2013 IPPS/LTCH PPS final rule (77 FR 53413), we finalized a policy extending our current approach of including labor and delivery patient days in the DPP of the Medicare DSH payment adjustment to our rules for bed counting for purposes of both the IME payment adjustment and the Medicare DSH payment adjustment. We stated that if a patient day is counted for DSH payment purposes because the services furnished are generally payable under the IPPS, the bed in which the services are furnished also should be considered to be available for IPPS-level care. To implement this policy, we amended the regulations at 42 CFR 412.105(b)(4) to remove from the list of excluded beds those beds associated with “ancillary labor/delivery services.” This change was effective for cost reporting periods beginning on or after October 1, 2012.
In response to our proposal in the FY 2013 IPPS/LTCH proposed rule to include labor and delivery bed days as available bed days for DSH and IME payment adjustment purposes, commenters noted that if these days are considered inpatient days, they also should be considered patient days for purposes of allocating direct GME payments. However, the Medicare cost report currently does not allow for labor and delivery patient days to be counted in the direct GME patient load. In the FY 2013 IPPS/LTCH PPS final rule (77 FR 53413), we stated that we would undertake further review to determine whether it was necessary to make any changes in the manner in which patient days are reported on the Medicare cost report and whether these labor and delivery patient days should be excluded from or included in the calculation of the Medicare patient load.
In the FY 2014 IPPS/LTCH PPS proposed rule (78 FR 27637), we stated that we had analyzed the calculation of the Medicare patient load and the cost reporting implications. Direct GME payments are calculated using three variables: the hospital's per resident amount; the number of FTE residents a hospital is training subject to its FTE cap and the rolling average; and the hospital's Medicare patient load. “Medicare patient load” is defined at 42 CFR 413.75(b) as “with respect to a hospital's cost reporting period, the total number of hospital inpatient days during the cost reporting period that are attributable to patients for whom payment is made under Medicare Part A divided by total hospital inpatient days. In calculating inpatient days, inpatient days in any distinct part of the hospital furnishing a hospital level of care are included and nursery days are excluded.” We agree with the commenters who stated that because labor and delivery days are considered inpatient days for DSH purposes, they also should be considered inpatient days for purposes of determining the Medicare share for direct GME payments. We believe that the best way to calculate a hospital's Medicare patient load or the “Medicare utilization” (the term we will use for the remainder of this section) is to include all of the hospital's inpatient days. Consistent with the inpatient day counting rules for DSH as clarified in the FY 2010 IPPS/RY 2010 LTCH PPS final rule (74 FR 43899 through 43901), in the FY 2014 IPPS/LTCH PPS proposed rule (78 FR 27637), we proposed that patient days associated with maternity patients who were admitted as inpatients and were receiving ancillary labor and delivery services at the time the inpatient routine census is taken, will be included in the Medicare utilization calculation, regardless of whether the patient actually occupied a routine bed prior to occupying an ancillary labor and delivery bed and regardless of whether the patient occupies a “maternity suite” in which labor, delivery, recovery, and postpartum care all take place in the same room. We understand that including labor and delivery inpatient days in the Medicare utilization ratio invariably would reduce direct GME payments because the denominator of the ratio, which includes the hospital's total inpatient days, would usually increase at a higher rate than the numerator of the ratio. However, because the Medicare utilization ratio is a comparison of a hospital's total Medicare inpatient days to its total inpatient days, we believe that revising the ratio to include labor and delivery days is appropriate because they are inpatient days and, therefore, should be counted as such. Therefore, we proposed that, effective for cost reporting periods beginning on or after October 1, 2013, for purposes of applying the Medicare utilization ratio, we would include labor and delivery inpatient days in the numerator (to the extent that there are any labor and delivery inpatient days associated with Medicare beneficiaries), and all labor and delivery inpatient days (associated with all inpatients of the hospital) in the denominator. In order to implement the proposed change, we noted that we would need to amend the applicable cost report worksheets and instructions (in particular, Worksheet S-3, Part I) to allow for the inclusion of labor and delivery inpatient days in the Medicare utilization ratio on the Medicare cost report.
In addition to direct GME, which uses the ratio of Medicare inpatient days to total inpatient days to determine payment, we stated that the proposal also impacts other Medicare policies where either the number of inpatient days or a ratio of Medicare inpatient days to total inpatient days is used to determine eligibility or payment. Regarding eligibility, for example, including labor and delivery days as inpatient days could affect a hospital's eligibility for SCH status. A hospital can be classified as an SCH if it is located more than 35 miles from other like hospitals or is located in a rural area (as defined at § 412.64 of the regulations) and meets one of the conditions listed in the regulations at § 412.92(a). In determining whether a nearby hospital is a like hospital, CMS compares the total inpatient days of the SCH applicant hospital with the total inpatient days of the nearby hospital. If the total inpatient days of the nearby hospital are greater than 8 percent of the total inpatient days reported by the SCH applicant hospital, the nearby hospital is considered a like hospital for purposes of evaluating the applicant hospital's eligibility for SCH status. Therefore, including labor and delivery days as inpatient days may impact the count of inpatient days for both the SCH applicant hospital and the nearby hospital and may affect the applicant hospital's eligibility for SCH status.
In summary, we proposed to include labor and delivery days as inpatient days in the Medicare utilization calculation and for other Medicare purposes, effective for cost reporting periods beginning on or after October 1, 2013. However, we stated that this proposal would not impact Medicare payments calculated on a reasonable cost basis for routine inpatient services, which are apportioned in accordance with 42 CFR 413.53(a)(1).
Comment: Many commenters objected to the inclusion of labor and delivery days in the Medicare utilization ratio absent a Congressional mandate to do so. Commenters asserted that labor and delivery days have no relevance to Medicare because only a minute percentage of U.S. births are covered by Medicare, and their inclusion would inappropriately dilute a hospital's Medicare share. The commenters stressed that the inclusion of labor and delivery days would disproportionately affect production of generalist practitioners of medicine and surgeons and teaching hospitals that depend on substantial volumes of obstetrics/gynecology, family medicine, and pediatric services, which could also lead to a physician workforce shortage across the board. Many commenters also requested that CMS reverse its FY 2010 decision on including labor and delivery inpatient days for DSH purposes and its FY 2013 decision on including labor and delivery beds for IME and DSH purposes. One commenter requested a comprehensive analysis of the impact of including labor and delivery days across IME, DSH, and direct GME rather than implementing the inclusion piecemeal because there might be unintended consequences when changes are made to parts rather than the whole.
Response: As noted above, the “Medicare patient load” (“Medicare utilization” used interchangeably) is defined in regulations at 42 CFR 413.75(b), as follows: The total number of hospital inpatient days during the cost reporting period that are attributable to patients for whom payment is made under Medicare Part A divided by total hospital inpatient days. The volume of labor and delivery services paid under the Medicare program, regardless of whether it is as low as asserted by the commenters, does not alter the fact that these services are covered by Medicare and many patients receiving these services are admitted as inpatients and are receiving an IPPS-level of care. We do not believe it would be appropriate to adopt a policy to exclude patient days from a hospital's number of inpatient days based on the volume of services paid for by Medicare. The issue at hand is the calculation of a hospital's Medicare utilization, and the determination of what constitutes an inpatient day, in making such a calculation. Whether inpatient days are attributable exclusively to Medicare beneficiaries is not at issue, and the commenters' assertion that labor and delivery days have no relevance to Medicare and, therefore, should be excluded from the Medicare utilization ratio has no bearing on how Medicare's direct GME payments are calculated in the formula specified in the law. The definition of “Medicare patient load” at section 1886(h)(3)(C) of the Act does not specify inclusions or exclusions in the inpatient day count based on volume. An inpatient day has historically been counted in the Medicare utilization calculation for direct GME purposes in situations where a maternity patient admitted as an inpatient occupied a routine bed at some time before going to the ancillary labor and delivery room or receiving labor and delivery services at the time of the routine census (Provider Reimbursement Manual-I (PRM-I), Section 2205.2). Therefore, it is an established policy that even if the number of inpatient days applicable to the maternity patients who occupied a routine bed before going to the labor and delivery room was low, both the Medicare and total inpatient days of these maternity patients have been included in the determination of the Medicare utilization calculation (in the denominator, and even in the numerator in the rare circumstance that the maternity patient is a Medicare beneficiary due to disability). Consequently, it is equally appropriate to include in the Medicare utilization calculation the inpatient days pertaining to the maternity patients who have been admitted as inpatients, but have not yet occupied a routine bed because they proceed directly to receive ancillary labor and delivery services, and are in the ancillary labor and delivery room at the time the inpatient routine census is taken. (We also note that the inpatient day is counted for that maternity patient only in the routine unit, and not in the routine unit and again in the ancillary labor and delivery room; this avoids counting 2 days for the same patient (PRM-I, Sections 2205 and 2205.2). However, because 42 CR 412.105(b) prescribes counting of available beds, the ancillary labor and delivery bed, for the time occupied by a particular maternity inpatient, and while unoccupied, would be counted as an available bed in addition to the routine bed occupied later by the maternity inpatient (FY 2013 IPPS/LTCH PPS final rule (77 FR 53413)). Furthermore, it is CMS' general policy to treat inpatient days and beds consistently. That is why we believe that because labor and delivery days are considered inpatient days for DSH purposes, and the beds are considered available inpatient beds for IME and DSH purposes, the labor and delivery inpatient days also should be considered inpatient days for purposes of determining the Medicare share for direct GME payments.
We also note that a hospital's total number of inpatients includes pediatric patients, who would rarely be Medicare patients, yet their patient days, and the inpatient days of all other non-Medicare patients, are included in the Medicare utilization ratio. Furthermore, direct GME payments are made to hospitals for all types of residency programs, including obstetrics/gynecology and pediatrics specialty programs, which train physicians to treat primarily the non-Medicare population. Therefore, we believe that the commenters' concerns that the inclusion of labor and delivery inpatient days in the Medicare utilization ratio would have a harmful effect on the physician workforce are unfounded. Accordingly, we continue to believe that patient days associated with maternity patients who are admitted as inpatients and are receiving ancillary labor and delivery services at the time the inpatient routine census is taken, regardless of whether the patient actually occupied a routine bed prior to occupying an ancillary labor and delivery bed and regardless of whether the patient occupies a “maternity suite” in which labor, delivery, recovery, and postpartum care all take place in the same room, should be included in the Medicare utilization calculation.
Comment: Several commenters argued that the inclusion of labor and delivery days in the Medicare utilization calculation is inconsistent with CMS' longstanding policy regarding services that are not typically covered by Medicare. The commenters cited CMS' policy on healthy newborn days which, for DSH purposes, are included in the patient day count but excluded from the bed day count (68 FR 45417). The commenters asserted that the rationale behind that policy is that Medicare does not typically cover these services while Medicaid does. Therefore, the commenters believed that CMS should exclude labor and delivery bed days from the IME intern and resident to bed (IRB) ratio and for DSH bed-day counting purposes but should continue to include labor and delivery patient days for calculating the disproportionate patient percentage (DPP). In addition, the commenters stated that the exclusion of bed days from these calculations is consistent with CMS' longstanding definition of beds in the cost report.
Response: We disagree with the commenters' statement that inclusion of labor and delivery days in the Medicare utilization calculation is inconsistent with CMS' longstanding policy regarding services that are not typically covered by Medicare. In the circumstance, albeit rare, that the maternity patient is disabled and qualifies for Medicare, the labor and delivery services of that maternity patient would be covered by Medicare. Therefore, the frequency of Medicare coverage is not at issue, and the days associated with the maternity inpatient would be included in both the numerator and the denominator of the Medicare patient load calculation. We further believe that the commenters are confusing CMS' (previously HCFA's) longstanding policy regarding the inclusion of patient days associated with healthy newborns in the Medicaid fraction of the DSH DPP calculation. CMS' policy of including healthy newborn days in the patient day count of the Medicaid fraction of the DSH DPP calculation is unique to DSH because of the way the days to be used in the Medicaid fraction are defined by law. Initially, after the enactment of the Consolidated Omnibus Reconciliation Act (COBRA) of 1985, HCFA's policy was not to count healthy newborn days in determining a hospital's Medicaid percentage, based on the fact that healthy newborn beds are not included in the bed size determination. However, not long afterward, we reconsidered the language at section 1886(d)(5)(F)(vi)(II) of the Act, which specifically states with respect to the Medicaid fraction of the DPP that the numerator consists of “the number of the hospital's patient days for such period which consist of patients who (for such days) were eligible for medical assistance under a State plan approved under title XIX , but who were not entitled to benefits under part A of this title, and the denominator of which is the total number of the hospital's patient days for such period.” (Emphasis added.) Because healthy newborns may be “eligible” for coverage by Medicaid, HCFA changed its policy and began to include patient days associated with healthy newborns in the Medicaid fraction of the Medicare DSH DPP. However, the treatment of nursery days and beds has no bearing on the treatment of patient days associated with maternity patients who are receiving ancillary labor and delivery services at the time the inpatient routine census is taken, yet who are admitted as inpatients, and therefore, the associated days should be included in the count of inpatient days. We continue to believe that patient days associated with such maternity patients should be included in the calculation of Medicare patient load defined at § 413.75(b), regardless of whether these patients occupied an inpatient routine bed prior to receiving the ancillary labor and delivery services at the time of the census because they are admitted as inpatients and they are receiving IPPS-level acute care.
Comment: One commenter suggested that even though there is consistency in considering labor and delivery days to be inpatient days for direct GME purposes, along with consideration of those days to be inpatient days for DSH and IME purposes, the application of such a policy for direct GME purposes as compared to DSH and IME purposes is different, because for DSH and IME, Medicare utilization is not directly tied to determining reimbursement. Rather, the commenter stated that it is used to determine if certain hospitals would qualify for those payments.
Response: The commenter is correct that the ramifications of inpatient status are different for IME, DSH, and direct GME payments, respectively, because each has a different statutory payment formula. Nevertheless, as stated previously, the measure by which patient days are counted is the determination of whether the patient is admitted as an inpatient and those services furnished are at an IPPS-level of care. This applies whether or not the calculation involved determines an actual payment amount or whether it is used to determine eligibility for additional payment. As we explained in the FY 2013 IPPS/LTCH PPS final rule (77 FR 53413), if a patient day is counted for DSH payment purposes because the services furnished are generally payable under the IPPS, the bed in which the services are furnished also should be considered to be available for IPPS-level care. Therefore, it follows that if the days in question are indeed inpatient, they should also be counted as inpatient days for other purposes, such as inclusion in the calculation of a hospital's Medicare utilization ratio, or determination of eligibility for SCH status. In addition, regarding the commenter's assertion that Medicare utilization is not directly tied to reimbursement for DSH and IME, while we note that the DSH and IME formulas are not paid based on a hospital's Medicare utilization, as with direct GME, these payments are dependent on, and are made, for each Medicare inpatient discharge from a hospital.
Comment: One commenter was concerned about the impact of including labor and delivery days in the Medicare utilization calculation on the payments for meaningful use of electronic health records under the Medicare and Medicaid EHR Incentive Programs. As many labor and delivery days are for Medicaid patients, in theory, such a proposal might result in an increase in Medicaid utilization and a decrease in Medicare utilization and, therefore may have no significant impact on hospitals eligible for both Medicare and Medicaid meaningful use reimbursement. The commenter noted that the Medicaid meaningful use reimbursement calculation is essentially a “one-time” calculation using historical data, spread over 3 years in most States, while the Medicare utilization is recalculated each year. Therefore, this proposed policy may result in a reduction in Medicare meaningful use reimbursement with no increase in Medicaid reimbursement. If CMS does finalize this policy, the commenter requested that the labor and delivery days be excluded from the Medicare utilization calculated to determine meaningful use reimbursement.
Response: We understand the commenter's concern regarding the potential effect of including labor and delivery inpatient days in the hospital's number of total inpatient days, and the calculation of the incentive payments for meaningful use of certified EHR technology under Medicare, but we are not commenting in this Medicare IPPS final rule on the ramifications, if any, on Medicaid payment. However, regardless of the impact on a particular hospital, because labor and delivery inpatients are, in fact, inpatients, we continue to believe that these inpatient days should be included in the determination of a hospital's total number of inpatient days. Furthermore, we note that in the final rule for Stage 1 of the EHR Incentive Program (75 FR 44453), we stated that “we proposed to determine the number of Medicare Part A and Part C inpatient bed [sic] days using the same data sources and methods for counting those days that we may employ in determining Medicare's share for purposes of making payments for direct graduate medical education costs. . . .” Therefore, we note that there is already consistency between Medicare's policies regarding inpatient days for EHR and direct GME.
Comment: Some commenters pointed out that the labor and delivery beds are unique in that even though the bed might be occupied by a patient, that patient may not be “ready” to be admitted as an inpatient. These commenters requested clarification of our proposal on whether or not to include in the patient day count the scenario where the patient is occupying a labor and delivery bed but is under observation status. They also wanted confirmation that the counting of beds as inpatient beds would only occur after the patient's admission as an inpatient.
Response: Patients under observation status are outpatients; they are not admitted as inpatients. As we noted in the FY 2010 IPPS/RY 2010 LTCH PPS final rule (74 FR 43900) and the FY 2013 IPPS/LTCH PPS final rule (77 FR 53412), our policy for counting labor and delivery patient days does not allow for the inclusion of days of labor and delivery patients who are not admitted to the hospital as inpatients. For example, if a woman presents at a hospital for labor and delivery services, but is determined by medical staff to be in false labor and is sent home without ever being admitted to the hospital as an inpatient, any days associated with such services furnished by the hospital would not be included in the DPP for purposes of the calculation of the Medicare DSH payment adjustment. This same policy would apply with regard to inpatient days in the Medicare utilization ratio, and any time spent in the hospital prior to admission as an inpatient would not be counted toward the determination of an inpatient day. With regard to the counting of beds, the regulations at 42 CFR 412.105(b)(4) explicitly exclude “beds otherwise countable under this section used for outpatient observation services,” and therefore, the bed in a unit or ward that is otherwise occupied to provide a level of care that would be payable under the IPPS would be counted as available generally while it is unoccupied, or occupied with a patient admitted as an inpatient.
Comment: Another commenter observed that CMS' proposal does not take into account two different types of labor and delivery beds that are in place at some hospitals. The commenter noted that there are labor and delivery beds that are used for postpartum purposes and there are those that are used for delivery only. In addition, some hospitals with traditional labor and delivery beds have adopted the policy of setting aside a recovery room in the hospital's obstetrical unit for the mother and baby once the mother is committed to delivery, even though she may still be in a traditional labor and delivery room. The commenter pointed out that CMS did not address how to avoid the double counting of these two types of beds during the same time period.
Response: We refer readers to the FY 2013 IPPS/LTCH PPS final rule (77 FR 53413) where we responded to a similar comment and clarified our policy regarding the bed count for various types of labor and delivery beds. We disagree with the commenter that there would be “double counting” of post-partum and ancillary labor and delivery beds for the same mother. Rather, under our existing policies, we include all beds in a unit that is providing services that are generally payable under the IPPS because we believe such beds to be available for IPPS-level acute care hospital services. Specifically, postpartum beds have historically been included in the definition of an available inpatient bed and, therefore, are already included in the routine adult and pediatric services bed count on line 1 of Worksheet S-3, Part I (68 FR 45420). Moreover, the definition of an available inpatient bed has been revised to eliminate the exclusion for ancillary labor and delivery beds because they are available for IPPS-level acute care hospital services. That is, effective for cost reporting periods beginning on or after October 1, 2012, beds in distinct ancillary labor and delivery rooms, when occupied by an inpatient receiving IPPS-level acute care hospital services or when unoccupied, are considered to be part of a hospital's inpatient available bed count in accordance with 42 CFR 412.105(b) (77 FR 53411 through 53413). However, we understand that hospital practices may vary with regard to the types of beds used for the various stages of labor and delivery. To the extent that some hospitals set aside beds in the ancillary labor and delivery unit for recovery purposes, separate from the beds that are used for actual labor and delivery services, we would agree that these beds are not permanently maintained for inpatient use and would not be considered available for IPPS-level care.
Comment: One commenter noted that the cost report now separates labor and delivery room days for DSH purposes, and does not include them in the calculation of Medicare utilization. Because the days in question will not be included in the days used for apportionment (for payment calculated on a reasonable cost basis), the commenter questioned whether the cost report would be revised to reflect the new policy. The commenter also requested clarification on whether labor and delivery days would be used for pass-through costs for nursing and allied health education programs, and whether or not the new policy would apply to existing SCHs or only to hospitals seeking SCH status once the proposal is finalized. The commenter recommended only applying the new policy to new SCH applicants due to the administrative burden of applying the policy to all existing SCHs.
Response: We appreciate the commenter's information regarding the need for changes to the Medicare hospital cost report and the cost reporting instructions. As noted the FY 2014 IPPS/LTCH PPS proposed rule (78 FR 27637), we plan to amend the applicable cost report worksheets and instructions (in particular, Worksheet S-3, Part I) to be able to include labor and delivery inpatient days in the Medicare utilization ratio on Worksheet E-4. As mentioned in the FY 2014 IPPS/LTCH PPS proposed rule (78 FR 27637), this change regarding inclusion of labor and delivery inpatient days in the Medicare utilization ratio would not impact Medicare payments calculated on a reasonable cost basis for routine inpatient services, which are apportioned in accordance with 42 CFR 413.53(a)(1). Therefore, this change regarding labor and delivery patient days would not affect the policy currently in place for determining nursing and allied health education pass-through payments. In addition, this change applies for cost reporting periods beginning on or after October 1, 2013. Therefore, this policy would apply to hospitals seeking SCH status after the effective date of this rule. However, if CMS or the Medicare contractor reviews the status of an existing SCH after October 1, 2013, the new policy regarding inclusion of inpatient labor and delivery days would also apply.
After consideration of the public comments we received, we are finalizing our proposed policy, without modification, to include patient days associated with maternity patients who have been admitted as inpatients and are receiving ancillary labor and delivery services at the time the inpatient routine census is taken, regardless of whether the patient actually occupied a routine bed prior to occupying an ancillary labor and delivery bed and regardless of whether the patient occupies a “maternity suite” in which labor, delivery, recovery, and postpartum care all take place in the same room, in the Medicare utilization calculation for cost reporting periods beginning on or after October 1, 2013. This final policy does not impact Medicare payments calculated on a reasonable cost basis for routine inpatient services, which are apportioned in accordance with 42 CFR 413.53(a)(1).
3. Notice of Closure of Teaching Hospitals and Opportunity To Apply for Available Slots
a. Background
Section 5506 of the Affordable Care Act authorizes the Secretary to redistribute residency cap slots after a hospital that trained residents in an approved medical residency program(s) closes. Specifically, section 5506 amended the Act by adding a subsection (vi) to section 1886(h)(4)(H) and modifying the language at section 1886(d)(5)(B)(v) to instruct the Secretary to establish a process to increase the FTE resident caps for other hospitals based upon the FTE resident caps in teaching hospitals that closed “on or after a date that is 2 years before the date of enactment” (that is March 23, 2008). In the CY 2011 OPPS/ASC final rule with comment period issued in the Federal Register on November 24, 2010 (75 FR 72212), we established regulations and an application process for qualifying hospitals to apply to CMS to receive direct GME and IME FTE resident cap slots from a hospital that closed. The procedures we established apply both to teaching hospitals that closed after March 23, 2008, and on or before August 3, 2010, and to teaching hospitals that closed after August 3, 2010. We made clarifications and revisions to the policy regarding applications under section 5506 in the FY 2013 IPPS/LTCH PPS final rule (77 FR 53434 through 53477).
b. Notice of Closure of Teaching Hospitals
In the FY 2014 IPPS/LTCH PPS proposed rule (78 FR 27637), we provided notice to the public of the closure of a teaching hospital, and of the initiation of another round of the section 5506 application and selection process. This round was the fourth round of the section 5506 (“Round 4”) application and selection process, which announced the closure of Peninsula Hospital Center in Far Rockaway, NY, and applications were due to CMS no later than July 25, 2013.
In a notice published in the Federal Register on May 31, 2013 (CMS-1459-N, 78 FR 32663), CMS announced the closure of two additional hospitals, Infirmary West Hospital in Mobile, AL, and Montgomery Hospital in Norristown, PA, and initiated the fifth round of the section 5506 (“Round 5”) application and selection process. Round 5 applications are due to CMS no later than August 29, 2013 (CMS-1459-CN, 78 FR 39730).
In addition, we have learned of the closure of two more teaching hospitals, Cooper Green Mercy Hospital, in Birmingham, AL, and Sacred Heart Hospital, in Chicago, IL. The purpose of this notice is to notify the public of the closure of these teaching hospitals, and to initiate another round of the application and selection process described in section 5506 of the Affordable Care Act. This round will be the sixth round (“Round 6”) of the application and selection process. The following closed teaching hospitals are part of the Round 6 application process under section 5506:
| Provider No. | Provider name | City and state | CBSA code | Terminating date | IME Cap (including +/- MMA Sec. 4221adjustment) | Direct GME cap (including +/-MMA Section 4221and ACA Section 55032adjustments) |
|---|---|---|---|---|---|---|
| 1Section 422 of the Medicare Prescription Drug, Improvement, and Modernization Act of 2003 (MMA), Public Law 108-173, redistributed unused residency slots effective July 1, 2005. | ||||||
| 2Section 5503 of the Affordable Care Act, Public Law 111-148, redistributed unused residency slots effective July 1, 2011. | ||||||
| 3Cooper Green Mercy Hospital's 1996 IME FTE cap is 35.45. Under section 422 of the MMA, the hospital received a decrease of 5.80 to its IME FTE cap: 35.45−5.80 = 29.65. | ||||||
| 4Cooper Green Mercy Hospital's 1996 direct GME FTE cap is 35.45. Under section 422 of the MMA, the hospital received a decrease of 9.21 to its direct GME FTE cap: 35.45−9.21 = 26.24. | ||||||
| 5Sacred Heart Hospital's 1996 direct GME FTE cap is 4.00. Under section 5503 of the Affordable Care Act, the hospital received a decrease of 2.60 to its direct GME FTE cap: 4.00−2.60 = 1.40. | ||||||
| 010137 | Cooper Green Mercy Hospital | Birmingham, AL | 13820 | January 1, 2013 | 35.45-5.80 section 422 decrease = 29.653 | 35.45-9.21 section 422 decrease = 26.24.4 |
| 140151 | Sacred Heart Hospital | Chicago, IL | 16974 | July 20, 2013 | 4.00 | 4.00-2.60 section 5503 decrease = 1.40.5 |
c. Application Process for Available Resident Slots
The application period for hospitals to apply for slots under section 5506 is set at 90 days following notification to the public of a hospital closure. Therefore, hospitals wishing to apply for and receive slots from the above hospitals' FTE resident caps under Round 6 must submit applications directly to the CMS Central Office no later than October 31, 2013. Unlike in the first 2 rounds of section 5506, under this round, hospitals are not required to submit applications to their respective CMS Regional Office. The mailing address for the CMS Central Office is included on the application form. Applications must be received, not postmarked, by October 31, 2013. After an applying hospital sends a hard copy of a section 5506 application to the CMS Central Office mailing address, we strongly encourage it to send an email to: ACA5506application@cms.hhs.gov. In the email, the hospital should state: “I am sending this email to notify CMS that I have mailed a hard copy of a section 5506 application to CMS.” An applying hospital should not attach an electronic copy of the application to the email. The email only serves to notify CMS Central Office that a hard copy application has been mailed to CMS Central Office.
In the CY 2011 OPPS/ASC final rule with comment period (75 FR 72212), we did not establish a deadline by when CMS would issue the final determinations to hospitals that receive slots under section 5506 of the Affordable Care Act. However, we will review all applications for Round 6 slots received by the October 31, 2013 deadline, and will notify applicants of our determinations as soon as possible.
We refer readers to the CMS Web site at http://www.cms.gov/Medicare/Medicare-Fee-for-Service-Payment/AcuteInpatientPPS/dgme.html for a copy of the application form (Section 5506 CMS Application Form) that hospitals must use to apply for slots under section 5506. We also refer readers to this same Web site to access a copy of the CY 2011 OPPS/ASC final rule with comment period (75 FR 72212), a copy of the FY 2013 IPPS/LTCH PPS final rule (CMS-1488-F, 77 FR 53434 through 53447), and a list of additional section 5506 guidelines for an explanation of the policy and procedures for applying for slots, and the redistribution of the slots under sections 1886(h)(4)(H)(vi) and 1886(d)(5)(B)(v) of the Act.
4. Payments for Residents Training in Approved Residency Programs at CAHs
a. Background
Recently, we have received questions regarding how CMS would make payment for residency training occurring in a CAH. In the past, we have advised that (1) CAHs may be paid directly under the CAH payment methodology (that is, 101 percent of the reasonable costs of the CAH in accordance with sections 1814(l) and 1834(g) of the Act), or (2) CAHs could function as nonhospital settings and therefore, as such, a hospital may be paid if it incurred the costs of training occurring in the CAH as provided under section 1886(d)(5)(B)(iv) of the Act for IME and section 1886(h)(4)(E) of the Act for direct GME.
Section 5504 of the Affordable Care Act, titled “Counting Resident Time in Non-Provider Settings,” amended the Act in connection with “cost reporting periods beginning on or after July 1, 2010,” for direct GME, and for discharges on or after July 1, 2010 for IME, to permit hospitals to count the time that a resident trains in activities related to patient care in a nonprovider site in its FTE count if the hospital incurs the costs of the residents' salaries and fringe benefits for the time that the resident spends training in the nonprovider site. In connection with those periods and discharges, if more than one hospital incurs the residency training costs in a nonprovider setting, under certain circumstances, section 5504 of the Affordable Care Act allows each hospital to count a proportional share of the training time that a resident spends training in that setting, as determined by a written agreement between the hospitals. When Congress enacted section 5504 of the Affordable Care Act, it retained the statutory language which provides that a hospital can only count the time so spent by a resident under an approved medical residency training program in its FTE count if that one single hospital by itself “incurs all, or substantially all, of the costs for the training program in that setting.” Congress made that longstanding substantive standard and requirement applicable to “cost reporting periods beginning before July 1, 2010” for direct GME, and to “discharges occurring on or after October 1, 1997, and before July 1, 2010” for IME (Sections 1886(d)(5)(B)(iv)(I) and 1886(h)(4)(E)(i) of the Act).
Section 5504 of the Affordable Care Act also changed the manner in which the Act refers to sites outside the hospital in which residents train. Specifically, section 5504(a)(4) of the Affordable Care Act, amended the Act by adding at the end of section 1886(h)(4)(E) a sentence that specifically identified such “outpatient settings” as “nonprovider setting[s].” That is, prior to the enactment of the Affordable Care Act, section 1886(h) of the Act did not include a specific term, but rather used the phrase, “without regard to the setting” in which the residents train, and now, with amendments from the Affordable Care Act, the Act specifically refers both to the phrase, “without regard to the setting” and to the phrase “time spent in a nonprovider setting.” (We invite readers to compare section 1886(h)(4)(E)(i) of the Act as of 2010 with sections 1886(h)(4)(E)(i) and 1886(h)(4)(E)(ii) of the Act as of 2011.)
We also note that prior to the amendment in section 5504(b) of the Affordable Care Act, section 1886(d)(5)(B)(iv) of the Act relating to IME referenced training in a “nonhospital” setting. This remains true after the enactment of the Affordable Care Act for “discharges occurring on or after October 1, 1997 and before July 1, 2010.” (We refer readers to section 1886(d)(5)(B)(iv)(I) of the Act.) However, effective for “discharges occurring on or after July 1, 2010,” the IME statutory language refers to training in a “nonprovider” setting. (We refer readers to section 5504(b) of the Affordable Care Act and section 1886(d)(5)(B)(iv)(II) of the Act.)
We acknowledge that, prior to the effective date of section 5504 of the Affordable Care Act (July 1, 2010), in the preamble of rules and in other policy discussions, we have used both the term “nonhospital” and “nonprovider” interchangeably in the context of allowing a hospital to count residents training at locations outside the hospital. We amended the regulations at § 412.105(f)(1)(ii)(E) for IME and § 413.78(g) for direct GME to reflect the changes made by section 5504 of the Affordable Care Act to explicitly use the term “nonprovider” instead of “nonhospital” setting (although we note that some references to “nonhospital” inadvertently remained, and we are correcting those references in the regulation text accordingly in this final rule). Section 413.78(g) is explicitly made applicable only to “cost reporting periods beginning on or after July 1, 2010,” whereas earlier cost reporting periods are governed by other preceding paragraphs of § 413.78.
b. Residents in Approved Medical Residency Training Programs That Train at CAHs
Section 4201 of the BBA of 1997 (Pub. L. 105-33) amended section 1820 of the Act to create facilities called “Critical Access Hospitals” (CAHs). Following the enactment of the BBA, but before the enactment of the Affordable Care Act, we were asked if and how CMS would pay for residents that rotate to a CAH for some portion of the residency training program when another hospital pays for the costs of the training at the CAH. To answer this question, we considered that a CAH is a unique facility that, by definition, is not always a hospital. That is, section 1861(e) of the Act states that “the term `hospital' does not include, unless the context otherwise requires, a critical access hospital (as defined in section 1861(mm)(1)).” Because a CAH is generally not considered a “hospital” under section 1861(e) of the Act, we concluded that a CAH could be treated as a nonhospital site for GME purposes. If a CAH could be treated as a nonhospital site for GME purposes, we also concluded that if another hospital (such as an IPPS hospital that is subject to payment under section 1886(h) of the Act or an IPPS-excluded hospital), incurred the costs of training the FTE residents for the portion of the time that they train at the CAH, and met the requirements of the regulations at § 413.78(d) through (f), the hospital could claim the FTE residents training at the CAH for IME and/or direct GME purposes.
We recently determined that, as a result of the amendments made by section 5504 of the Affordable Care Act, we should reevaluate our policy regarding whether payment can be made to a hospital that incurs the costs of the FTE residents training at a CAH.
Section 1861(u) of the Act states that a “provider of services” is “a hospital, critical access hospital, skilled nursing facility, comprehensive outpatient rehabilitation facility, home health agency, hospice program, or . . . a fund.” Therefore, while section 1861(e) of the Act states that a CAH is excluded from the definition of “hospital” unless the context requires otherwise, a CAH is a “provider.”
Because section 5504(a) of the Affordable Care Act amended sections 1886(d)(5)(B)(iv)(II) and 1886(h)(4)(E) of the Act on a prospective basis to specifically identify the setting in which time spent by residents training outside of the hospital setting may be counted for both direct GME and IME purposes, a hospital's ability to count residents not training in the hospital is now limited to only those settings that are “nonproviders.” Although the term “nonprovider” is not defined in the statute, we believe it is reasonable to define the term as meaning those settings that do not meet the definition of “provider” at section 1861(u) of the Act.
Accordingly, because a CAH is defined as a provider in the statute, in the FY 2014 IPPS/LTCH PPS proposed rule (78 FR 27639), we proposed that, effective for portions of cost reporting periods occurring on or after October 1, 2013, a hospital may not claim the time FTE residents are training at a CAH for IME and/or direct GME purposes. However, under policies that were applicable prior to October 1, 2013, and that continue to apply on and after October 1, 2013, a CAH may incur the costs of training the FTE residents for the time that the FTE residents rotate to the CAH, and receive payment based on 101 percent of its Medicare reasonable costs under § 413.70 of the regulations. We also noted that, consistent with the regulations at § 413.24(d)(7), a CAH may not include as an allowable cost the portion of any training costs associated with the time that a resident is not training at the CAH.
Comment: Commenters urged CMS not to finalize its proposal but rather to continue to allow teaching hospitals to count residency training time at CAHs for direct GME and IME payment purposes if the teaching hospitals incur the costs of the residents' salaries and fringe benefits while the residents are training at the CAH. Commenters stated that not allowing hospitals to count residency training time at CAHs is inconsistent with CMS' current regulations, CMS' regulations implementing section 5504 of the Affordable Care Act, and the legislative intent of section 5504 of the Affordable Care Act.
Commenters stated that the terms “nonhospital” and “nonprovider” have been used interchangeably by CMS and that it is inappropriate for the Agency to suddenly assign different meanings to those terms. Commenters stated that CMS cannot pretend that a distinction between those terms and the implication of using one term versus the other has always been clear and well-defined. Commenters stated that, “it also casts some doubt on the agency's conclusion as part of the proposed rule that the Congress intended to exclude residents' rotation to CAHs by choosing to use the term `nonprovider' rather than `nonhospital' in section 5504.”
Commenters stated that in the final rule implementing section 5504 of the Affordable Care Act (the CY 2011 OPPS/ASC final rule with comment period (75 FR 72134)), the use of the term “nonhospital” versus “nonprovider” was not addressed. One commenter stated that in that final rule, CMS stated that a nonprovider site means a setting that is not a provider-based facility or organization as defined at § 413.65 of the regulations, yet CMS made no mention in that final rule of the definition of “provider of services” at section 1861(u) of the Act. The commenter stated that if CMS believed a valid distinction existed between “nonprovider” and “nonhospital,” it would have provided definitions of these two terms in that final rule. Instead of discussing any distinction between the two terms, CMS focused on the determination of whether a facility is one that is primarily engaged in patient care. The commenter stated that clearly CAHs are facilities that are primarily engaged in patient care and, therefore, should be included as a nonprovider setting under section 5504 of the Affordable Care Act.
Commenters stated that the intention of section 5504 of the Affordable Care Act was not to exclude CAHs from nonprovider site training, but rather to reduce the administrative burden associated with counting residency training time in settings engaged in patient care outside of the IPPS hospital setting and to increase flexibility in GME rules that support primary care residency training programs in outpatient and community-based settings located in rural and underserved areas. Commenters referenced the Senate Finance Committee's “Chairman's Mark of the America's Health Future Act of 2009,” and stated the purpose of section 5504 of the Affordable Care Act was to count all residency training time for direct GME payment purposes “without regard to where the activities are performed” if the hospital pays for the residents' salaries and fringe benefits associated with the training time and also to count all patient care time for IME payment purposes in a nonhospital setting if the hospital or entities participating in the residency training program continue to incur the resident salaries and fringe benefits of the residents while they are training in the nonhospital setting. One commenter stated, “through CMS's varied use of the word `hospital', many family medicine programs in small communities were, in fact, harmed by interpretations of BBA 1997, the specific obstacle targeted by Section 5504.” Commenters stated that the purpose of section 5504 of the Affordable Care Act was to correct the error and not to prevent CAHs from collaborating with urban facilities for residency training programs. Commenters stated that the language included in section 5504 of the Affordable Care Act indicates that the drafters were using the terms “nonprovider” and “nonhospital” interchangeably. Commenters stated the sentence in section 5504 of the Affordable Care Act reads: “Any hospital claiming under this subparagraph for time spent in a `nonprovider setting',” and that the sentence needs to be read in coordination with the previous paragraph that indicates the hospital should be able to count residency training time “without regard to the setting in which the activities are performed, if a hospital incurs the costs of the stipends and fringe benefits of the resident during the time the resident spends in that setting.” Commenters stated that reading these sentences consecutively, and in the context of one another, indicates that Congress was using the terms “nonprovider” and “nonhospital” interchangeably. Commenters reasoned that the term “nonprovider” should not be interpreted as a qualifier to the phrase “without regard to the setting” but rather as language affirming the intent of Congress “. . . to reimburse those facilities incurring the costs associated with training residents outside of a metropolitan hospital setting.” Another commenter noted that the language added under section 1886(h)(4)(E) of the Act includes the language “without regard to the setting” and does not focus on the difference between nonprovider setting and nonhospital settings. One commenter recommended two alternative options to CMS' proposal. The commenter stated that CMS could refer to section 1861(e) of the Act which states that a CAH is not a hospital “unless the context requires otherwise.” The commenter stated this statutory language permits CMS to consider CAHs as hospitals for the purposes of GME reimbursement. The commenter stated a second option would be for CMS to define the term “nonprovider” for purposes of section 5504 of the Affordable Care Act. The commenter further stated that in doing so, CMS would have the authority to include CAHs as nonproviders for purposes of section 5504 of the Affordable Care Act.
Response: As we stated in the FY 2014 IPPS/LTCH PPS proposed rule (78 FR 27639), we acknowledge that in the past CMS has used the terms “nonhospital” and “nonprovider” interchangeably. We regret that we did not include this clarification in the CY 2011 OPPS/ASC final rule with comment period (75 FR 72134) in which we implemented section 5504 of the Affordable Care Act. We are taking the opportunity to explain the revised statutory language, and provide a prospective policy change, in this FY 2014 rulemaking process. The language added by section 5504 of the Affordable Care Act specifically refers to a “nonprovider” setting. Although the term “nonprovider” is not defined in the statute, as we proposed, we believe it is reasonable to define the term as meaning those settings that do not meet the definition of “provider” at section 1861(u) of the Act. Therefore, because CAHs are explicitly included in the definition of “provider of services” for purposes of Title XVIII under section 1861(u) of the Act, we do not believe we have the discretion to regard a CAH as something other than a provider for purposes of determining whether a hospital can count residency training time at a CAH. For this same reason, despite one commenter's assertion that because CAHs are facilities that are “engaged primarily in patient care,” they should be considered nonprovider settings under section 5504 of the Affordable Care Act, we believe it is reasonable to define the term “nonprovider” as meaning those settings that do not meet the definition of “provider” at section 1861(u) of the Act, and therefore, we cannot ignore the fact that a CAH is defined as such under section 1861(u) of the Act. We also strongly disagree with the commenter's suggestion that the phrase at section 1886(h)(4)(E) of the Act, “without regard to the setting in which the activities are performed,” may be read so loosely as to refer to CAHs. While it is true that Congress intended, as the commenter noted, to facilitate training in settings other than the traditional inpatient hospital, historic conference report language also clearly indicates that this provision is intended to encourage training in ambulatory settings, such as clinics, physician offices, and other community-based settings, and not other inpatient facilities. The Conference committee report accompanying 99 indicates that “[s]ince it is difficult to find sufficient other sources of funding [than hospitals and Medicare] for the costs of such training [that is, training in freestanding primary care settings such as family practice clinics or ambulatory surgery centers], assignments to these settings are discouraged. It is the Committee's view that training in these settings is desirable, because of the growing trend to treat more patients out of the inpatient hospital setting and because of the encouragement it gives to primary care” (emphasis added)). (H.R. Rep. No. 99-727, 99th Cong., 1st Sess., 70 (1986.) Furthermore, we believe that the last sentence of section 1886(h)(4)(E) of the Act, “Any hospital claiming under this subparagraph for time spent in a nonprovider setting shall maintain and make available to the Secretary records regarding the amount of such time and such amount in comparison with amounts of such time in such base year as the Secretary shall specify” (emphasis added), clearly indicates that the entire provision at section 1886(h)(4)(E) of the Act is referring to the requirements for counting residents training in nonprovider settings, and as we reiterate throughout this preamble, we do not believe CAHs can be considered nonprovider settings.
In addition, we note that in the CY 2011 OPPS/ASC final rule with comment period (75 FR 72135), we defined a “nonprovider site” as “a setting that does not qualify as a provider-based facility or organization in accordance with the criteria in the regulations at 42 CFR 413.65.” Therefore, as discussed above, under the policy finalized in this rule, an IPPS hospital cannot count residency training time at a CAH or a facility or organization that is provider-based to a CAH. For example, if a CAH has a provider-based RHC, even though an RHC is not included in the definition of “provider of services” at section 1861(u) of the Act, an IPPS hospital cannot claim residency training time at that provider-based RHC. However, we note that the CAH-based RHC could separately claim and receive payment for direct GME costs it incurs, as discussed in the regulations at 42 CFR 405.2468(f). We do not agree that considering CAHs to be “hospitals” under section 1861(e) of the Act in the context of section 5504 of the Affordable Care Act, as one commenter suggested, would provide any benefit, because under 42 CFR 413.78(b), one hospital may not count the time spent training at another hospital for IME or direct GME purposes. Therefore, under this regulation, an IPPS hospital is precluded from counting residents training at a CAH “hospital,” even if the IPPS hospital incurs the costs of training those residents. We also do not believe that we have the authority to adopt a separate definition for “nonprovider” for purposes of GME. The definition of “provider of services” for purposes of Title XVIII already exists in the statute, and as such, we believe the statute requires that we consider any entity not included in that definition a “nonprovider.”
Comment: One commenter stated that it supported CMS' proposal. However, the commenter also stated that a CAH which is located in a medically underserved area and has a rotation with a teaching hospital could affect the provision of care to that area. Specifically, the commenter expressed concern that a CAH could pay for the residency training that occurs at the CAH and be reimbursed based on 101 percent of reasonable costs for that training but such an arrangement could be difficult for both the CAH and the teaching hospital because of contractual arrangements that would need to occur between the CAH and the hospital. Many commenters stated that they were concerned the proposed policy would reduce training in rural and underserved areas, thereby affecting primary care and community-based residency training programs such as family medicine, many of which have the mission to train residents to serve in these areas. Commenters expressed concern that the proposal would ultimately reduce the supply of physicians in these areas because many residents practice where they train. One commenter made reference to a publication from the Robert Graham Center for Academic Medicine, which they stated shows that the return on investment for training residents in rural areas is high. Commenters stated that providing care in rural areas requires collaboration among rural entities such as CAHs and IPPS hospitals so as to facilitate recruiting and retaining physicians in rural areas. One commenter stated that because Minnesota is the State with the third highest number of CAHs in the country and because facilities in Minnesota already struggle to recruit physicians, the proposed rule would disproportionately affect residency programs in Minnesota and be harmful to the CAHs and IPPS hospitals that coordinate residency training programs. Another commenter stated that Iowa hospitals are concerned that if a teaching hospital needs to train residents at a CAH to fully use its cap, not permitting hospitals to count residency training time at CAHs would mean that CAHs will not be able to train residents because hospitals will be incentivized to rotate residents through a teaching hospital or other non-CAH setting. The commenter stated that if a CAH wants to train residents, it would have to incur the costs of training those residents and a teaching hospital could be at risk of losing cap because of not fully utilizing its cap. One commenter provided information on the Wisconsin Academy of Rural Medicine and the Wisconsin Rural Training Track Collaborative, which aim to promote training and increase the supply of physicians in rural Wisconsin as well as improve the health of communities located in rural Wisconsin. The commenter stated the Affordable Care Act focused on training and referral programs in rural areas by increasing the funding for Area Health Education Centers and establishing the Rural Physician Training Grant. The commenter stated CMS' proposal “. . . threatens to reverse the great good that may come about through the focus on training, recruitment, and retention in the PPACA for rural communities.” Commenters also stated that some CAHs may be too small to support residency training programs on their own and that some CAHs may not be in a financial position to incur the costs associated with residency training programs. Commenters added that CAHs support a policy that allows teaching hospitals to be reimbursed for residency training that occurs at CAHs because CAHs want to make sure that IPPS hospitals continue rotating residents to CAHs.
In addition, one commenter stated that IME payments are patient care payments which compensate teaching hospitals for providing specialized care that is not provided at other facilities. The commenter stated that if a teaching hospital rotates residents to a CAH, the hospital's IME payments should not change because the teaching hospital will continue to provide these specialized services even if they rotate some of their residents to a CAH. The commenter also noted that, for direct GME payment purposes, if a teaching hospital pays the costs of the residents' salaries and fringe benefits for the time they are training at the CAH, the teaching hospital should be able to receive direct GME payments for that training time.
Response: It is not clear that not allowing hospitals to claim the time of FTE residents training at CAHs for direct GME and IME payment would have a negative impact on residency training in rural areas. The proposed rule did not in any way propose to change the training arrangements that CAHs may have with other providers, including IPPS hospitals. That is, we did not propose that CAHs are required to support or sponsor residency training programs on their own. Rather, CAHs may continue to function as participating institutions for purposes of training residents in a single or multiple residency training programs. Regarding the comments asserting that CAHs face challenges incurring costs associated with residency training, we note that whatever allowable costs the CAH would incur would be paid for based on Medicare's share of 101 percent of those reasonable costs. We do not believe that treating CAHs as providers limits growth in residency training programs in rural areas. On the contrary, the policy of treating CAHs as providers has the potential to promote additional residency training in rural areas because CAHs are not restricted by the FTE resident caps, as IPPS hospitals are, and therefore, assuming appropriate education and accreditation standards are adhered to, there is no limit on the number of residents training at a CAH for which Medicare will provide reimbursement when the CAH incurs the costs of training the residents at the CAH. Furthermore, by having the CAH count residency training time at the CAH, instead of the IPPS hospital counting that time towards its cap, an IPPS hospital that is training over its cap could now receive Medicare payment for FTE residents that were previously causing it to exceed its cap. Additional cap space could also provide an incentive for an IPPS hospital training below its cap to start a new residency training program or expand an existing residency training program.
Regarding the potential reduction in IME payments to teaching hospitals paid under the IPPS if hospitals can no longer count residency training time at CAHs, we disagree with the commenter's assertions. We believe that, generally, teaching hospitals' IME payments will not change. Many teaching hospitals are currently training over their caps. As referenced above, by allowing the CAH to incur and be paid for the portion of the residency costs associated with training at the CAH, instead of the teaching hospital counting that time, a teaching hospital could substitute that FTE resident time with other residents training in its hospital or other nonprovider sites, and maintain generally the same intern and resident-to-bed ratio and level of IME payment. Under this scenario, teaching hospitals could continue to receive IME payments for FTE residents training up to the hospitals' caps and the hospitals would no longer have to incur additional costs associated with FTE residents training over the hospital's caps. If a teaching hospital is currently training below its caps, allowing the CAH to incur and be paid for the portion of the residency costs associated with training at the CAH could give the teaching hospital more space under its cap and provide an incentive for the teaching hospital to either start a new residency training program or expand an existing residency training program. We also note that to the extent that IPPS IME payments are made in recognition of the higher indirect patient care costs that teaching hospitals incur, CMS' payments to the CAH would also inherently reflect applicable indirect patient care costs because payment to a CAH is based on 101 percent of Medicare's share of the CAH's reasonable costs for treating patients, including the costs which are a result of the CAH's involvement with an approved residency training program.
Comment: Commenters expressed concern regarding potential impacts on teaching health centers and rural training tracks. Commenters asked whether calculation of the rural track FTE limitation would be affected. One commenter stated that 9 out of 26 rural training tracks involve CAHs. In addition, an unknown number of other integrated rural training tracks or rurally-located programs, including one in Yakima, WA, rely on CAHs as training sites. The commenter also noted that while osteopathic programs currently do not use rural training tracks, it is anticipated they will use them in the future. The commenter stated that these rural track programs, in addition to allopathic and osteopathic programs which include more limited rotations to CAHs, would be negatively impacted if CAHs are not considered nonprovider settings.
Response: Our proposal does not preclude a CAH from participating as a rural site in a rural training track(s) (a residency training program in which an urban teaching hospital sends its residents to train at a rural site for more than one-half of the total duration of the residency training program). The regulations for rural training tracks at § 413.79 require that the rural component of the training occur at either a rural hospital or rural nonhospital site. We believe that CAHs are captured within the universe of rural facilities. That is, as part of an accredited rural training track program, an urban hospital may rotate residents to a CAH and/or other facilities located in the rural area for greater than 50 percent of the duration of the entire program. Because there is no impact on CAHs' participation in rural training tracks, there is no effect on the calculation of the FTE limitation provided to urban hospitals that participate in training residents in a rural track program(s).
Comment: One commenter recommended that CMS require hospitals to clearly identify any CAH rotations on their rotation schedules. The commenter recommended that if there are any future changes to the Intern and Resident Information System (IRIS), these changes should include a provider-type identification for all rotations, which would include off-site rotations to CAHs. The commenter stated that the proposed rule indicates that in order for Medicare to pay for rotations at a CAH, the CAH has to incur the costs for the time the resident is training at the CAH. The commenter asked whether the CAH needs a written agreement with the sponsoring hospital that indicates the amount the CAH has to pay the hospital for the rotation or whether the CAH would need to have its own agreement with the entity operating the residency training program and pay that entity directly. The commenter asked how the cost of the rotation to the CAH should be quantified, whether the costs would include the salary and fringe benefits of the resident, or whether other costs such as supervision costs would also be included.
Response: We agree that it would be extremely helpful if a hospital's rotation schedule would clearly designate the location of the rotation sites, regardless of whether the rotations are to CAHs, clinics, doctors' offices, or other settings. This would help the Medicare contractor determine the hospital's FTE count accurately. We appreciate the comment concerning IRIS and we will consider the commenter's recommendation for any future IRIS changes. Regarding the commenter's questions about written agreements, a CAH is not a nonprovider setting and, therefore, it is not required to have a written agreement with a hospital for the purpose of receiving payment for its GME costs under 42 CFR 413.70. CAHs are generally reimbursed based on 101 percent of their reasonable costs for the cost they incur associated with inpatient and outpatient services. Therefore, the costs that a CAH itself (either directly or through payment to a medical school or a hospital that first incurs the costs such as salaries) incurs associated with training residents in an approved residency training program would be reimbursed based on Medicare's share of that reasonable cost. These costs include the costs associated with training residents in an approved medical residency training program, such as resident salaries and fringe benefits, the portion of the teaching physician's salaries associated with GME activities, and other direct GME costs. In order to facilitate accurate payment of its GME or any other costs, the CAH would be required to have source documentation for these costs that would be available to the Contractor upon audit.
After consideration of the public comments received, we are finalizing our proposed policy without modification to state that effective for portions of cost reporting periods beginning on or after October 1, 2013, a hospital may not claim the time FTE residents are training at a CAH for IME and/or direct GME purposes. However, under policies that were applicable prior to October 1, 2013, and that continue to apply on and after October 1, 2013, a CAH may incur the costs of training the FTE residents for the time that the FTE residents rotate to the CAH, and receive payment based on 101 percent of its Medicare reasonable costs under § 413.70 of the regulations. A CAH may not include as an allowable cost the portion of any training costs associated with the time that a resident is not training at the CAH. We also are revising the regulations at § 413.78(g) to replace the term “nonhospital” with the term “nonprovider.”
5. Expiration of Inflation Update Freeze for High Per Resident Amounts (PRAs)
The Balanced Budged Refinement Act (BBRA) of 1999 (Pub. L. 106-113) amended section 1886(h)(2) of the Act to establish a methodology for the use of a national average per resident amount (PRA) in computing direct GME payments for cost reporting periods beginning on or after October 1, 2000, and on or before September 30, 2005. The BBRA established a “floor” for hospital-specific PRAs at 70 percent of the locality-adjusted national average PRA. In addition, the BBRA established a “ceiling” that limited the annual adjustment to a hospital-specific PRA if the PRA exceeded 140 percent of the locality-adjusted national average PRA. Section 511 of the Benefits Improvement and Protection Act (BIPA) of 2000 (Pub. L. 106-554) further amended section 1886(h)(2) of the Act by increasing the floor established by the BBRA to 85 percent of the locality-adjusted national average PRA, for cost reporting periods beginning in FY 2002. For purposes of calculating direct GME payments, each hospital-specific PRA is compared to the floor and ceiling to determine whether the hospital-specific PRA should be revised. Section 711 of the Medicare Modernization Act of 2003 (Pub. L. 108-173) amended section 1886(h)(2)(D)(iv)(I) of the Act by freezing the annual CPI-U updates to hospital-specific PRAs for those PRAs that exceed the ceiling for FYs 2004 through 2013. The implementing regulations for these statutory provisions are located at 42 CFR 413.77(d).
As we did in the FY 2014 IPPS/LTCH PPS proposed rule (78 FR 27639), we are providing notice here that the “freeze” for PRAs that exceed the ceiling expires beginning in FY 2014. That is, for cost reporting periods beginning on or after October 1, 2013, the usual full CPI-U update, as determined under 42 CFR 413.77(c)(1), would apply to all PRAs for direct GME payment purposes.
Comment: Several commenters supported the expiration in FY 2014 of the “freeze” for PRAs that exceed the ceiling.
Response: We appreciate the commenters' support. However, we did not propose any changes related to this provision; we merely provided notification regarding it.
Outside the Scope of the Proposed Rule Comments. We received a comment regarding pass-through payment under 42 CFR 413.85 for hospital-operated pharmacy residency programs and a comment stating that GME cuts will adversely impact the physician workforce and reduce access to care, particularly to specialty care. Because we did not propose any changes regarding payments under 42 CFR 413.85, nor did we specifically propose any provisions related to reductions in GME payments, we consider these comments outside the scope of the proposed rule, and we are not responding to them.
K. Rural Community Hospital Demonstration Program
1. Background
Section 410A(a) of Public Law 108-173 required the Secretary to establish a demonstration program to test the feasibility and advisability of establishing “rural community” hospitals to furnish covered inpatient hospital services to Medicare beneficiaries. The demonstration pays rural community hospitals under a reasonable cost-based methodology for Medicare payment purposes for covered inpatient hospital services furnished to Medicare beneficiaries. A rural community hospital, as defined in section 410A(f)(1), is a hospital that—
- Is located in a rural area (as defined in section 1886(d)(2)(D) of the Act) or is treated as being located in a rural area under section 1886(d)(8)(E) of the Act;
- Has fewer than 51 beds (excluding beds in a distinct part psychiatric or rehabilitation unit) as reported in its most recent cost report;
- Provides 24-hour emergency care services; and
- Is not designated or eligible for designation as a CAH under section 1820 of the Act.
Section 410A(a)(4) of Public Law 108-173 specified that the Secretary was to select for participation no more than 15 rural community hospitals in rural areas of States that the Secretary identified as having low population densities. Using 2002 data from the U.S Census Bureau, we identified the 10 States with the lowest population density in which rural community hospitals were to be located in order to participate in the demonstration: Alaska, Idaho, Montana, Nebraska, Nevada, New Mexico, North Dakota, South Dakota, Utah, and Wyoming. (Source: U.S. Census Bureau, Statistical Abstract of the United States: 2003).
CMS originally solicited applicants for the demonstration in May 2004; 13 hospitals began participation with cost reporting periods beginning on or after October 1, 2004. In 2005, 4 of these 13 hospitals withdrew from the program and converted to CAH status. This left nine hospitals participating at that time. In 2008, we announced a solicitation for up to six additional hospitals to participate in the demonstration program. Four additional hospitals were selected to participate under this solicitation. These four additional hospitals began under the demonstration payment methodology with the hospital's first cost reporting period starting on or after July 1, 2008. At that time, 13 hospitals were participating in the demonstration.
Five hospitals (3 of the hospitals were among the 13 hospitals that were original participants in the demonstration program and 2 of the hospitals were among the 4 hospitals that began the demonstration program in 2008) withdrew from the demonstration program during CYs 2009 and 2010. (Three of these hospitals indicated that they would be paid more for Medicare inpatient hospital services under the rebasing option allowed under the SCH methodology provided for under section 122 of the Medicare Improvements for Patients and Providers Act of 2008 (Pub. L. 110-275). One hospital restructured to become a CAH, and one hospital closed.) In CY 2011, one hospital that was among the original set of hospitals that participated in the demonstration withdrew from the demonstration. These actions left 7 of the originally participating hospitals (that is, hospitals that were selected to participate in either 2004 or 2008) participating in the demonstration program as of June 1, 2011.
Sections 3123 and 10313 of the Affordable Care Act (Pub. L. 111-148) amended section 410A of Public Law 108-173, which established the rural community hospital demonstration program. Sections 3123 and 10313 of the Affordable Care Act changed the rural community hospital demonstration program in several ways. First, the Secretary is required to conduct the demonstration program for an additional 5-year period that begins on the date immediately following the last day of the initial 5-year period. Further, the Affordable Care Act requires, in the case of a rural community hospital that is participating in the demonstration program as of the last day of the initial 5-year period, the Secretary to provide for the continued participation of such rural hospital in the demonstration program during the 5-year extension, unless the hospital makes an election, in such form and manner as the Secretary may specify, to discontinue participation (section 410A(g)(4)(A) of Public Law 108-173, as added by section 3123(a) of the Affordable Care Act and further amended by section 10313 of such Act).
In addition, the Affordable Care Act provides that, during the 5-year extension period, the Secretary shall expand the number of States with low population densities determined by the Secretary to 20 (section 410A(g)(2) of Public Law 108-173, as added by section 3123(a) and amended by section 10313 of the Affordable Care Act). Further, the Secretary is required to use the same criteria and data that the Secretary used to determine the States under section 410A(a)(2) of Public Law 108-173 for purposes of the initial 5-year period. The Affordable Care Act also allows not more than 30 rural community hospitals in such States to participate in the demonstration program during the 5-year extension period (section 410A(g)(3) of Public Law 108-173, as added by section 3123(a) of the Affordable Care Act and as further amended by section 10313 of such Act).
We published a solicitation for applications for additional participants in the rural community hospital demonstration program in the Federal Register on August 30, 2010 (75 FR 52960). Applications were due on October 14, 2010. The 20 States with the lowest population density that are eligible for the demonstration program are: Alaska, Arizona, Arkansas, Colorado, Idaho, Iowa, Kansas, Maine, Minnesota, Mississippi, Montana, Nebraska, Nevada, New Mexico, North Dakota, Oklahoma, Oregon, South Dakota, Utah, and Wyoming (Source: U.S. Census Bureau, Statistical Abstract of the United States: 2003). We approved 19 new hospitals for participation in the demonstration program. We determined that each of these new hospitals would begin participating in the demonstration with its first cost reporting period beginning on or after April 1, 2011.
Three of these 19 hospitals declined participation prior to the start of the cost reporting periods for which they would have begun the demonstration. In addition to the 7 hospitals that were selected in either 2004 or 2008, the new selection led to a total of 23 hospitals in the demonstration. So far, during CY 2013, one additional hospital among the set selected in 2011 has withdrawn from the demonstration, similarly citing a relative financial advantage to returning to the customary SCH payment methodology, such that there are now 22 hospitals participating in the demonstration.
In addition, section 410A(c)(2) of Public Law 108-173 required that, “[i]n conducting the demonstration program under this section, the Secretary shall ensure that the aggregate payments made by the Secretary do not exceed the amount which the Secretary would have paid if the demonstration program under this section was not implemented.” This requirement is commonly referred to as “budget neutrality.” Generally, when we implement a demonstration program on a budget neutral basis, the demonstration program is budget neutral in its own terms; in other words, the aggregate payments to the participating hospitals do not exceed the amount that would be paid to those same hospitals in the absence of the demonstration program. Typically, this form of budget neutrality is viable when, by changing payments or aligning incentives to improve overall efficiency, or both, a demonstration program may reduce the use of some services or eliminate the need for others, resulting in reduced expenditures for the demonstration program's participants. These reduced expenditures offset increased payments elsewhere under the demonstration program, thus ensuring that the demonstration program as a whole is budget neutral or yields savings. However, the small scale of this demonstration program, in conjunction with the payment methodology, makes it extremely unlikely that this demonstration program could be viable under the usual form of budget neutrality.
Specifically, cost-based payments to participating small rural hospitals are likely to increase Medicare outlays without producing any offsetting reduction in Medicare expenditures elsewhere. Therefore, a rural community hospital's participation in this demonstration program is unlikely to yield benefits to the participant if budget neutrality were to be implemented by reducing other payments for these same hospitals.
In the past nine IPPS final regulations, spanning the period for which the demonstration program has been implemented, we have adjusted the national inpatient PPS rates by an amount sufficient to account for the added costs of this demonstration program, thus applying budget neutrality across the payment system as a whole rather than merely across the participants in the demonstration program. As we discussed in the FYs 2005 through 2013 IPPS final rules (69 FR 49183; 70 FR 47462; 71 FR 48100; 72 FR 47392; 73 FR 48670; 74 FR 43922, 75 FR 50343, 76 FR 51698, and 77 FR 53449, respectively), we believe that the language of the statutory budget neutrality requirements permits the agency to implement the budget neutrality provision in this manner. In light of the statute's budget neutrality requirement, in the FY 2014 IPPS/LTCH PPS proposed rule (78 FR 27639 through 27643), we proposed to continue to use the methodology we finalized in FY 2013 to calculate a budget neutrality adjustment factor to the FY 2014 national IPPS rates.
In general terms, in each of these previous years, we used available cost reports for the participating hospitals to derive an estimate of the additional costs attributable for the demonstration. Prior to FY 2013, we used finalized, or settled, cost reports, as available, and “as submitted” cost reports for hospitals for which finalized cost reports were not available. Annual market basket percentage increase amounts provided by the CMS Office of the Actuary reflecting the growth in the prices of inputs for inpatient hospitals were applied to these cost amounts. In the FY 2013 IPPS/LTCH PPS final rule (77 FR 53452), we used “as submitted” cost reports (for cost reporting periods ending in CY 2010) for each hospital participating in the demonstration in estimating the costs of the demonstration. In addition, in FY 2013, we incorporated different update factors (the market basket percentage increase and the applicable percentage increase, as applicable, to several years of data as opposed to solely using the market basket percentage increase) for the calculation of the budget neutrality offset amount. Finally, in each of the previous years, an annual update factor provided by the CMS Office of the Actuary reflecting growth in the volume of inpatient operating services was also applied. For the budget neutrality calculations in the IPPS final rules for FYs 2005 through 2011, the annual volume adjustment applied was 2 percent; for the IPPS final rules for FYs 2012 and 2013, it was 3 percent. For a detailed discussion of our budget neutrality offset calculations, we refer readers to the IPPS final rule applicable to the fiscal year involved.
In general, for FYs 2005 through 2009, we based the budget neutrality offset estimate on the estimated cost of the demonstration in an earlier given year. For these periods, we derived that estimated cost by subtracting the estimated amount that would otherwise be paid without the demonstration in an earlier given year from the estimated amount for the same year that would be paid under the demonstration under the reasonable cost-based methodology authorized by section 410A of Public Law 108-173. (We note that section 410A of Public Law 108-173 was later amended by the Affordable Care Act.) The reasonable cost-based methodology authorized by section 410A of Public Law 108-173, as amended, is hereafter referred to as the “reasonable cost methodology.” (We ascertained the estimated amount that would be paid in an earlier given year under the reasonable cost methodology and the estimated amount that would otherwise be paid without the demonstration in an earlier given year from “as submitted” cost reports that were submitted by the hospitals prior to the inception of the demonstration.) We then updated the estimated cost described above to the current year by multiplying it by the market basket percentage increases applicable to the years involved and the applicable annual volume adjustment. For the FY 2010 IPPS/RY 2010 LTCH PPS final rule, data from finalized cost reports reflecting the participating hospitals' experience under the demonstration were available. Specifically, the finalized cost reports for the first 2 years of the demonstration, that is, cost reports for cost reporting years beginning in FYs 2005 and 2006 (CYs 2004, 2005, and 2006) were available. These data showed that the actual costs of the demonstration for these years exceeded the amounts originally estimated in the respective final rules for the budget neutrality adjustment. In the FY 2010 IPPS/RY 2010 LTCH PPS final rule, we included in the budget neutrality offset amount an amount in addition to the estimate of the demonstration costs in that fiscal year. This additional amount was based on the amount that the costs of the demonstration for FYs 2005 and 2006 exceeded the budget neutrality offset amounts finalized in the IPPS rules applicable for those years.
Following upon the FY 2010 IPPS/RY 2010 LTCH PPS final rule, we have continued to propose a methodology for calculating the budget neutrality offset amount to account for both the estimated demonstration costs in the upcoming fiscal year and an amount by which the actual demonstration costs corresponding to an earlier, given year (which would be known once we have finalized cost reports for that year) exceeded the budget neutrality offset amount finalized in the corresponding year's IPPS final rule. However, we noted that because of a delay affecting the settlement process for cost reports for IPPS hospitals occurring on a larger scale than merely for the demonstration, we were unable to finalize this component of the budget neutrality offset amount accounting for the amount by which the actual demonstration costs in a given year exceeded the budget neutrality offset amount finalized in the corresponding year's IPPS final rule for cost reports of demonstration hospitals dating to those beginning in FY 2007.
In the FY 2013 IPPS/LTCH PPS final rule (77 FR 53449 through 53453), we adopted changes to the methodology for calculating the budget neutrality offset amount in an effort to further improve and refine it. We noted that the revised methodology varied, in part, from that finalized in the FY 2012 IPPS/LTCH PPS final rule (76 FR 51698 through 51705). Specifically, in adopting refinements to the methodology, our objective was to simplify the calculation so that it included as few steps as possible. In addition, we incorporated different update factors (the market basket percentage increase and the applicable percentage increase, as applicable, to several years of data as opposed to solely using the market basket percentage increase) for the calculation of the budget neutrality offset amount. We stated that we believed this approach would maximize the precision of our calculation because it would more closely replicate payments made with and without the demonstration. We refer readers to the FY 2013 IPPS/LTCH PPS final rule (77 FR 53449 through 53453) for a detailed discussion of the methodology we used for FY 2013. We noted that, although we were making changes to certain aspects of the budget neutrality offset amount calculation for FY 2013, several core components of the methodology would remain unchanged. For example, we continued to include in the budget neutrality offset amount methodology the estimate of the demonstration costs for the upcoming fiscal year and the amount by which the actual demonstration costs corresponding to an earlier year (which would be determined once we have finalized cost reports for that year) exceeded the budget neutrality offset amount finalized in the corresponding year's IPPS final rule. However, finalized cost reports for the hospitals participating in the demonstration were not available for FYs 2007, 2008, 2009, and 2010 at the time of development of the FY 2013 IPPS/LTCH PPS final rule. Therefore, we were unable to finalize this component of the budget neutrality offset calculation. We stated in the final rule that we expected settled cost reports for all of the demonstration hospitals that participated in the applicable fiscal year (FYs 2007, 2008, 2009, and 2010) to be available prior to the FY 2014 IPPS/LTCH PPS proposed rule.
2. FY 2014 Budget Neutrality Offset Amount
For the reasons discussed in the FY 2013 IPPS/LTCH PPS final rule (77 FR 53449 through 53453), we proposed in the FY 2014 IPPS/LTCH PPS proposed rule to continue to use the methodology finalized in the FY 2013 IPPS/LTCH PPS final rule to calculate a budget neutrality adjustment factor to be applied to the FY 2014 national IPPS payment rates. As we stated in the FY 2013 IPPS/LTCH PPS final rule (77 FR 53451), we revised our methodology in that final rule to further improve and refine the calculation of the budget neutrality offset amount and to simplify the methodology so that it includes only a few steps. Consistent with the methodology finalized in the FY 2013 IPPS/LTCH PPS final rule, the proposed methodology for calculating the estimated FY 2014 demonstration cost for the participating hospitals was as follows:
Step 1: For each of the participating hospitals, we proposed to identify the general reasonable cost amount calculated under the reasonable cost methodology for covered inpatient hospital services (as indicated on the “as submitted” cost report for the hospital's cost reporting period ending in CY 2011). The general reasonable cost amount calculated under the reasonable cost methodology is hereafter referred to as the “reasonable cost amount.” As we explained in the FY 2013 IPPS/LTCH PPS final rule (77 FR 53451), we believe that a way to streamline our methodology for calculating the budget neutrality offset amount would be to use cost reports with the same status and from the same time period for all hospitals participating in the demonstration. Because “as submitted” cost reports ending in CY 2011 are the most recent available cost reports, we believe they would be an accurate predictor of the costs of the demonstration in FY 2014 because they give us a recent picture of the participating hospitals' costs.
Because section 410A of Public Law 108-173 stipulates swing-bed services are to be included among the covered inpatient hospital services for which the demonstration payment methodology applies, we proposed to include the cost of these services, as reported on the cost reports for the hospitals that provide swing-bed services, within the general total estimated FY 2011 reasonable cost amount for covered inpatient hospital services under the demonstration. As indicated above, we proposed to use “as submitted” cost reports for the hospital's cost reporting period ending in CY 2011 for this calculation.
We proposed to sum the two above-referenced amounts to calculate the general total estimated FY 2011 reasonable cost amount for covered inpatient hospital services for all participating hospitals.
We proposed to multiply this sum (that is, the general total estimated FY 2011 reasonable cost amount for covered inpatient hospital services for all participating hospitals) by the FYs 2012, 2013, and FY 2014 IPPS market basket percentage increases, which are formulated by the CMS Office of the Actuary. In the proposed rule, we used the then current estimate of the FY 2014 IPPS market basket percentage increase provided by the CMS Office of the Actuary. We proposed to use the final FY 2014 IPPS market basket percentage increase in the final rule. We also proposed to then multiply the product of the general total estimated FY 2011 reasonable cost amount for all participating hospitals and the market basket percentage increases applicable to the years involved by a 3-percent annual volume adjustment for the years 2012 through 2014—the result would be the general total estimated FY 2014 reasonable cost amount for covered inpatient hospital services for all participating hospitals.
We proposed to apply the IPPS market basket percentage increases applicable for FYs 2012 through 2014 to the FY 2011 reasonable cost amount described above to model the estimated FY 2014 reasonable cost amount under the demonstration. We proposed to use the IPPS market basket percentage increases because we believe that these update factors appropriately indicate the trend of increase in inpatient hospital operating costs under the reasonable cost methodology for the years involved. The 3-percent annual volume adjustment was stipulated by the CMS Office of the Actuary and was proposed because it is intended to accurately reflect the tendency of hospitals' inpatient caseloads to increase. We acknowledged the possibility that inpatient caseloads for small hospitals may fluctuate, and proposed to incorporate into the estimate of demonstration costs a factor to allow for a potential increase in inpatient hospital services.
Step 2: For each of the participating hospitals, we proposed to identify the general estimated amount that would otherwise be paid in FY 2011 under applicable Medicare payment methodologies for covered inpatient hospital services (as indicated on the “as submitted” cost report for cost reporting periods ending in CY 2011) if the demonstration was not implemented. Similarly, as in Step 1, for the hospitals that provide swing-bed services, we proposed to identify the estimated amount that generally would otherwise be paid for these services (as indicated on the “as submitted” cost report for cost reporting periods ending in CY 2011) and include it in the total FY 2011 general estimated amount that would otherwise be paid for covered inpatient hospital services without the demonstration. We proposed to sum these two amounts in order to calculate the estimated FY 2011 total payments that generally would otherwise be paid for covered inpatient hospital services for all participating hospitals without the demonstration.
We proposed to multiply the above amount (that is, the estimated FY 2011 total payments that generally would otherwise be paid for covered inpatient hospital services for all participating hospitals without the demonstration) by the FYs 2012 through 2014 IPPS applicable percentage increases. This methodology differs from Step 1, in which we proposed to apply the market basket percentage increases to the sum of the hospitals' general total FY 2011 estimated reasonable cost amount for covered inpatient hospital services. We believe that the IPPS applicable percentage increases are appropriate factors to update the estimated amounts that generally would otherwise be paid without the demonstration. This is because IPPS payments would constitute the majority of payments that would otherwise be made without the demonstration and the applicable percentage increase is the factor used under the IPPS to update the inpatient hospital payment rates. Hospitals participating in the demonstration would be participating under the IPPS payment methodology if they were not in the demonstration. Then we proposed to multiply the product of the estimated FY 2011 total payments that generally would otherwise be made without the demonstration and the IPPS applicable percentage increases applicable to the years involved by a 3-percent annual volume adjustment for FYs 2012 through 2014. The result would be the general total estimated FY 2014 costs that would otherwise be paid without the demonstration for covered inpatient hospital services to the participating hospitals.
Step 3: We proposed to subtract the amount derived in Step 2 (representing the sum of estimated amounts that generally would otherwise be paid to the participating hospitals for covered inpatient hospital services for FY 2014 if the demonstration was not implemented) from the amount derived in Step 1 (representing the sum of the estimated reasonable cost amount that generally would be paid under the demonstration to all participating hospitals for covered inpatient hospital services for FY 2014). We proposed that the resulting difference would be the estimated amount for which an adjustment to the national IPPS rates would be calculated.
For the proposed rule, the resulting difference was $46,515,865. This estimated amount was based on the specific assumptions identified regarding the data sources used, that is, “as submitted” recently available cost reports. Also, we noted that if updated data became available prior to the FY 2014 final rule, we would use them to the extent appropriate to estimate the costs of the demonstration program in FY 2014. Therefore, we stated that this estimated budget neutrality offset amount might change in the final rule, depending on the availability of updated data.
In addition, similar to previous years, we proposed to include in the budget neutrality offset amount the amount by which the actual demonstration costs corresponding to an earlier given year (which would be determined once we had finalized cost reports for that year) exceeded the budget neutrality offset amount finalized in the corresponding year's IPPS final rule. Because of delays affecting the settlement process for cost reports for IPPS hospitals occurring on a larger scale than merely for the demonstration, we were unable to determine prior to publication of the FY 2014 IPPS/LTCH PPS proposed rule the specific component of the budget neutrality offset amount accounting for the amount by which the actual demonstration costs in a given year exceeded the budget neutrality offset amount finalized in the corresponding year's IPPS final rule for cost reports of demonstration hospitals dating to those beginning in FY 2007. Similar to previous years, we proposed that if settled cost reports for all of the demonstration hospitals that participated in the applicable fiscal year (FY 2007, 2008, 2009, or 2010) were available prior to the FY 2014 IPPS/LTCH PPS final rule, we would include in the budget neutrality offset amount any additional amounts by which the final settled costs of the demonstration for the year (FY 2007, 2008, 2009, or 2010) exceeded the budget neutrality offset amount applicable to such year as finalized in the respective year's IPPS final rule. (The final settled costs of the demonstration for a year would be calculated by subtracting the total amount that would otherwise be paid under the applicable Medicare payment systems without the demonstration for the year from the amount paid to those hospitals under the reasonable cost methodology for such year.)
We did not receive any public comments on the budget neutrality offset methodology proposed in the FY 2014 IPPS/LTCH PPS proposed rule. Therefore, we are finalizing the methodology we proposed in the FY 2014 IPPS/LTCH PPS proposed rule (78 FR 27639 through 27643). In addition, as proposed, we are using updated data not available at the time the proposed rule was developed to calculate the budget neutrality adjustment amount for the demonstration for FY 2014. As discussed above, we have completed Steps 1, 2, and 3 using “as submitted” cost reports for the participating hospitals' cost reporting periods ending in CY 2011. (The rationale for using this set of cost reports is the same as stated in the FY 2014 IPPS/LTCH proposed rule (78 FR 27642).) In this FY 2014 IPPS/LTCH PPS final rule, we are now finalizing the calculation of the budget neutrality adjustment amount for FY 2014, based on updated data that has become available since the publication of the proposed rule. The following are the updated data used to determine this budget neutrality adjustment factor for FY 2014 for the final rule:
- We have removed data pertaining to the hospital that withdrew from the demonstration in CY 2013 from the estimated costs for FY 2014 with the demonstration and absent the demonstration. Thus, the estimate of costs for FY 2014 pertains to 22 participating hospitals.
- For Step 1 discussed above, we are using the final FY 2014 IPPS market basket percentage increase (which is identified in section V.A. of this final rule) instead of the proposed market basket percentage increase that was used in the proposed rule, to determine the estimated FY 2014 reasonable cost amount for covered inpatient hospital services under the demonstration for the 22 participating hospitals.
- Similarly, for Step 2, we are using the final FY 2014 applicable percentage increase (which is identified in section V.A. of the preamble of this final rule) instead of the applicable percentage increase that was used in the proposed rule, to determine the estimated amount that would otherwise be paid to the participating hospitals in FY 2014 for covered inpatient hospital services without the demonstration.
Using the budget neutrality offset methodology finalized above and the updated data discussed above, the final resulting difference between the estimated reasonable cost amount for the 22 participating hospitals for FY 2014 under the demonstration and the estimated amount that would otherwise be paid in FY 2014 without the demonstration is $46,549,861.
In addition, we note that the complete set of finalized cost reports for cost reporting periods beginning in FY 2007 has become available since the publication of the FY 2014 IPPS/LTCH PPS proposed rule. As we proposed in the FY 2014 IPPS/LTCH PPS proposed rule, we have calculated the amount by which the actual costs of the demonstration for FY 2007, as shown in the finalized cost reports for the hospitals that participated in the demonstration during FY 2007, exceeded the budget neutrality offset amount that was finalized in the FY 2007 IPPS final rule. This amount—$6,039,880—is derived from finalized cost reports for cost reporting periods beginning in FY 2007 for the 9 hospitals that participated in the demonstration during that year. (Finalized cost reports for all participating hospitals are not yet available for FYs 2008, 2009, 2010, or 2011. We anticipate that these finalized cost reports will be available prior to publication of the FY 2015 IPPS/LTCH PPS proposed rule).
Therefore, the final total budget neutrality offset amount that will be applied to the FY 2014 IPPS rates is $52,589,741. This is the sum of two separate components: (1) The difference between the total estimated FY 2014 reasonable cost amount to be paid under the demonstration to the 22 participating hospitals for covered inpatient hospital services, and the total estimated amount that would otherwise be paid to the participating hospitals in FY 2014 without the demonstration ($46,549,861); and (2) the amount by which the actual costs of the demonstration for FY 2007, as shown in the finalized cost reports for the hospitals that participated in the demonstration during FY 2007, exceeded the budget neutrality offset amount that was finalized in the FY 2007 IPPS final rule ($6,039,880). We discuss the final payment rate adjustment that is required to ensure the budget neutrality of the demonstration program for FY 2014 (the budget neutrality adjustment factor) in section II.A. of the Addendum of this final rule.
L. Hospital Emergency Services Under EMTALA: Technical Change (§ 489.24(f))
In a final rule issued in the Federal Register on May 16, 2012 (77 FR 29002 through 29031), we made changes to a number of regulations under 42 CFR Chapter IV governing the Medicare and Medicaid programs to achieve regulatory reforms under Executive Order 13563 on Improving Regulation and Regulatory Review and the Department's Plan for Retrospective Review of Existing Rules. In the May 16, 2012 final rule (77 FR 29021), we stated that, in response to comments from the public recommending that we discontinue our use of the term “recipient” under Medicaid, we made a nomenclature change to replace “recipient” with “beneficiary” throughout 42 CFR Chapter IV in order to conform our regulations to our current use of the term “beneficiary.” However, we inadvertently replaced “recipient” with “beneficiary” in the title of the regulations at 42 CFR 489.24(f), which now reads “Beneficiary hospital responsibilities.” The regulations at 42 CFR 489.24(f) specifically discuss the responsibilities of a hospital with specialized capabilities to accept the appropriate transfer of an individual as required by the Emergency Medical Treatment and Labor Act. The use of the word “recipient” in the title of 42 CFR 489.24(f) is appropriate because the regulations are discussing the requirements of the “receiving” hospital. The term “recipient” in this context is not referring to a Medicare or Medicaid patient, but rather to the hospital. Therefore, in the FY 2014 IPPS/LTCH PPS proposed rule, we proposed to replace the word “beneficiary” with the word “recipient” so that the section heading of paragraph (f) of 42 CFR 489.24 is corrected to read as it did prior to the nomenclature change. The corrected regulation text at 42 CFR 489.24(f) would read “Recipient hospital responsibilities.”
We did not receive any public comments on our proposed change to 42 CFR 489.24(f) to replace the word “beneficiary” with the word “recipient.” Therefore, we are adopting as final without modification our proposed change. The final title of the regulation reads “(f) Recipient hospital responsibilities.”
M. Hospital Routine Services Furnished Under Arrangements
In the FY 2012 IPPS/LTCH PPS final rule (76 FR 51711 through 51714), we included a provision that limits the circumstances under which a hospital may furnish services to Medicare beneficiaries “under arrangement.” Under the revised policy, therapeutic and diagnostic services are the only services that may be furnished under arrangements outside of the hospital to Medicare beneficiaries. “Routine services” (that is, bed, board, and nursing and other related services) must be furnished in the hospital. Under this revised policy, routine services furnished to Medicare beneficiaries as inpatients in the hospital are considered services furnished by the hospital. If these services are furnished outside of the hospital, the services are considered to be furnished “under arrangement.” As we stated in the FY 2013 IPPS/LTCH PPS final rule (77 FR 53453 through 53454), we have become aware that a number of hospitals affected by this policy need additional time to restructure existing arrangements and establish necessary operational protocols to comply with the requirement that therapeutic and diagnostic services are the only services that may be furnished outside of the hospital to Medicare beneficiaries “under arrangement,” and that “routine services” must be furnished in the hospital.
In the FY 2013 IPPS/LTCH PPS final rule, we stated that while we believe the policy to be correct and consistent with the statutory language, because a number of hospitals were actively pursuing compliance that involved building construction or restructuring, we postponed the effective date of the requirement to give hospitals additional time to comply with the provision. In the FY 2013 IPPS/LTCH PPS final rule, we changed the implementation date of the requirement to be effective for cost reporting periods beginning on or after October 1, 2013. We stated that we expected that, during FY 2013, hospitals would have completed the work needed to ensure compliance with the requirement.
While we still believe that our policy is correct and consistent with the statutory language, we are aware that a number of hospitals are still actively pursuing compliance with the requirement through major building construction to be completed in 2014. Therefore, we believe it is appropriate to further postpone the effective date of this requirement to give those hospitals additional time to comply. In the FY 2014 IPPS/LTCH PPS proposed rule (78 FR 27643 through 27644), we proposed to change the implementation date of the requirement to be effective for services provided on or after January 1, 2015 (instead of effective with cost reporting periods beginning on or after October 1, 2013). Because there are hospitals in the midst of significant building projects that, when completed, will enable the hospital to provide routine services in compliance with the requirements of this revised policy, we believe it is appropriate to further delay the effective date. We stated that we expect that, with the additional time before the revised “under arrangement” policy becomes effective, hospitals will complete the work needed to ensure compliance with the new requirement. Effective for services provided on or after January 1, 2015, all hospitals would need to be in full compliance with the revised policy for services furnished under arrangement. As we stated in the proposed rule, we will continue to work with affected hospitals to communicate the requirement established by this provision, and to provide continued guidance regarding compliance with the provision.
Comment: Most commenters reiterated comments made last year in response to the proposal to delay the effective date of the services under arrangement policy (77 FR 53453 through 53454) and comments made in response to CMS' proposal in the FY 2012 IPPS/LTCH PPS proposed rule (76 FR 25964 through 25965). Some commenters were thankful for the delay; however, all commenters wanted the policy rescinded or, at the least, wanted a grandfathering provision included for those hospitals that were providing routine services under arrangement at the time of our original proposal in the FY 2012 IPPS/LTCH PPS proposed rule (76 FR 25964 and 25965).
PPS-excluded cancer hospitals that are co-located with IPPS hospitals are most affected by the proposed policy and, along with the alliance representing these hospitals, made further comments that repeated their objections to this policy raised in last year's rule. These commenters expressed concern that it could compromise patient care, that the policy is a reversal of CMS' guidance the hospitals received while each hospital was seeking co-located status, that there is no statutory mandate or policy rationale, that it is not needed to guard against inappropriate use of services under arrangement, and that it is administratively burdensome and costly to Medicare as well as the cancer hospitals. Two of the cancer hospitals and the alliance further commented that if CMS “refused” to rescind the policy or add a grandfathering provision, CMS must allow these hospitals to operate under their “back-end” proposal. They believed that their proposal would allow the hospital to continue moving patients to its host hospital for particular services, without discharging the patient, as is currently done. The commenters added that after the patient is formally discharged, each hospital would separately bill Medicare for the services it provided the discharged patient.
Response: The commenters' concerns with the services under arrangement policy reiterate public comments received on the FY 2012 IPPS/LTCH PPS proposed rule and the FY 2013 IPPS/LTCH PPS proposed rule. We refer the commenters to the responses provided in the FY 2012 IPPS/LTCH PPS final rule (76 FR 51711 through 51714) and the FY 2013 IPPS/LTCH PPS final rule (77 FR 53453 through 53454) where those comments were addressed.
In response to the commenters' “virtual discharge” proposal, the proposal is unacceptable from a CoP perspective because the co-located hospital and the cancer hospital are two separately certified hospitals for purposes of Medicare participation. Therefore, moving the patient from the cancer hospital to the co-located IPPS hospital would require the patient to be discharged. To address hospitals' concerns that discharging the patient from the cancer hospital to the IPPS hospital could have a detrimental effect on patient care, as we stated in response to comments in the FY 2013 IPPS/LTCH PPS final rule (77 FR 53453 through 53454), the hospital may want to consider merging the cancer hospital into the host hospital, rather than keeping them as two separately certified hospitals, which could alleviate those concerns.
After consideration of the public comments we received and for the reasons set forth in the FY 2012 IPPS/LTCH PPS final rule (76 FR 51711 through 51714), the FY 2013 IPPS/LTCH PPS final rule (77 FR 53453 through 53454), and the FY 2014 IPPS/LTCH PPS proposed rule (78 FR 27643 and 27644), we are finalizing our proposal to change the effective date of the revised policy. Therefore, effective for services provided on or after January 1, 2015, routine services provided in the hospital to its inpatients are considered as being provided by the hospital. However, if services are provided outside the hospital, the services are considered as being provided under arrangement, and only therapeutic and diagnostic items and services may be furnished under arrangement outside of the hospital. Services identified at section 1861(b)(1) and section 1861(b)(2) of the Act may not be furnished under arrangements.
VI. Changes to the IPPS for Capital-Related Costs Back to Top
A. Overview
Section 1886(g) of the Act requires the Secretary to pay for the capital-related costs of inpatient acute hospital services “in accordance with a prospective payment system established by the Secretary.” Under the statute, the Secretary has broad authority in establishing and implementing the IPPS for acute care hospital inpatient capital-related costs. The IPPS for capital-related costs was initially implemented in the Federal fiscal year (FY) 1992 IPPS final rule (56 FR 43358), in which we established a 10-year transition period to change the payment methodology for Medicare hospital inpatient capital-related costs from a reasonable cost-based methodology to a prospective methodology (based fully on the Federal rate).
FY 2001 was the last year of the 10-year transition period established to phase in the IPPS for hospital inpatient capital-related costs. For cost reporting periods beginning in FY 2002, capital IPPS payments are based solely on the Federal rate for almost all acute care hospitals (other than hospitals receiving certain exception payments and certain new hospitals). (We refer readers to the FY 2002 IPPS final rule (66 FR 39910 through 39914) for additional information on the methodology used to determine capital IPPS payments to hospitals both during and after the transition period.)
The basic methodology for determining capital prospective payments using the Federal rate is set forth in § 412.312 of the regulations. For the purpose of calculating capital payments for each discharge, the standard Federal rate is adjusted as follows:
(Standard Federal Rate) × (DRG Weight) × (Geographic Adjustment Factor (GAF)) × (COLA for hospitals located in Alaska and Hawaii) × (1 + Capital DSH Adjustment Factor + Capital IME Adjustment Factor, if applicable).
In addition, under § 412.312(c), hospitals also may receive outlier payments under the capital IPPS for extraordinarily high-cost cases that qualify under the thresholds established for each fiscal year.
B. Additional Provisions
1. Exception Payments
The regulations at § 412.348 provide for certain exception payments under the capital IPPS. The regular exception payments provided under §§ 412.348(b) through (e) were available only during the 10-year transition period. For a certain period after the transition period, eligible hospitals may have received additional payments under the special exceptions provisions at § 412.348(g). However, FY 2012 was the final year hospitals could receive special exceptions payments. For additional details regarding these exceptions policies, we refer readers to the FY 2012 IPPS/LTCH PPS final rule (76 FR 51725).
Under § 412.348(f), a hospital may request an additional payment if the hospital incurs unanticipated capital expenditures in excess of $5 million due to extraordinary circumstances beyond the hospital's control. Additional information on the exception payment for extraordinary circumstances in § 412.348(f) can be found in the FY 2005 IPPS final rule (69 FR 49185 and 49186).
2. New Hospitals
Under the capital IPPS, § 412.300(b) of the regulations defines a new hospital as a hospital that has operated (under previous or current ownership) for less than 2 years and lists examples of hospitals that are not considered new hospitals. In accordance with § 412.304(c)(2), under the capital IPPS a new hospital is paid 85 percent of its allowable Medicare inpatient hospital capital-related costs through its first 2 years of operation, unless the new hospital elects to receive full prospective payment based on 100 percent of the Federal rate. We refer readers to the FY 2012 IPPS/LTCH PPS final rule (76 FR 51725) for additional information on payments to new hospitals under the capital IPPS.
3. Hospitals Located in Puerto Rico
Section 412.374 of the regulations provides for the use of a blended payment amount for prospective payments for capital-related costs to hospitals located in Puerto Rico. Accordingly, under the capital IPPS, we compute a separate payment rate specific to Puerto Rico hospitals using the same methodology used to compute the national Federal rate for capital-related costs. In general, hospitals located in Puerto Rico are paid a blend of the applicable capital IPPS Puerto Rico rate and the applicable capital IPPS Federal rate. Capital IPPS payments to hospitals located in Puerto Rico are computed based on a blend of 25 percent of the capital IPPS Puerto Rico rate and 75 percent of the capital IPPS Federal rate. For additional details on capital IPPS payments to hospitals located in Puerto Rico, we refer readers to the FY 2012 IPPS/LTCH PPS final rule (76 FR 51725).
C. Other Changes for FY 2014—Adjustment To Offset the Cost of the Policy Proposal on Admission and Medical Review Criteria for Hospital Inpatient Services Under Medicare Part A
In the FY 2014 IPPS/LTCH PPS proposed rule (78 FR 27650 through 27651), we discussed our proposal that would clarify that a beneficiary becomes a hospital inpatient when formally admitted following a physician order for hospital inpatient admission, and that would also clarify when we believe hospital inpatient admissions are reasonable and necessary based on how long beneficiaries have spent, or are reasonably expected to spend, in the hospital as inpatients. Under this proposal, Medicare's external review contractors would presume that hospital inpatient admissions are reasonable and necessary for beneficiaries who require more than 1 Medicare utilization day (defined by encounters crossing 2 “midnights”) in the hospital receiving medically necessary services after inpatient admission. Similarly, we would generally presume that services spanning less than 2 midnights and not involving services designated by CMS as inpatient-only should have been provided on an outpatient basis, unless there is clear physician documentation in the medical record supporting the physician's order and expectation that the beneficiary required care spanning at least 2 midnights even though that did not ultimately transpire. In general, after consideration of public comments, we are adopting this proposal as final in this final rule. For a complete discussion of our proposed inpatient admission guidelines and the policy we are adopting in this final rule, including our time-based benchmark and presumption of medical necessity for hospital inpatient services based on the beneficiary's length of stay as part of our medical review criteria for payment of hospital inpatient services under Medicare Part A, we refer readers to section XI.C. of the preamble of this final rule.
As discussed in the FY 2014 IPPS/LTCH PPS proposed rule (78 FR 27651) and in section XI.C.4. of the preamble of this final rule, our actuaries estimated that our proposed policy would increase IPPS expenditures by approximately $220 million. These additional expenditures result from an expected net increase in hospital inpatient encounters due to some encounters spanning more than 2 midnights moving to the IPPS from the OPPS, and some encounters of less than 2 midnights moving from the IPPS to the OPPS. In making this projection, the actuaries analyzed Medicare claims data for extended hospital outpatient encounters and shorter stay hospital inpatient encounters, and estimated the number of encounters that are expected to shift from outpatient to inpatient and vice versa (that is, the number that are expected to shift from inpatient to outpatient). These estimated shifts of encounters represent a significant portion of the total encounters paid under the IPPS. Our actuaries estimated that this projected net increase in inpatient encounters would increase IPPS expenditures by approximately $220 million. In light of the widespread impact on the IPPS of our proposed policy and the systemic nature of the issue, in the FY 2014 IPPS/LTCH PPS proposed rule, we stated our belief that it is appropriate to propose to use our exceptions and adjustments authority under section 1886(d)(5)(I)(i) of the Act to offset the estimated $220 million in additional IPPS expenditures associated with this proposed policy by proposing to apply a −0.2 percent adjustment to the operating IPPS standardized amount, the hospital-specific rates, and the Puerto Rico-specific standardized amount. (For additional information on our actuarial estimate, we refer readers to section XI.C.4. of the preamble of this final rule.)
Consistent with the proposal to apply a −0.2 percent adjustment to the operating national and Puerto Rico-specific standardized amounts and the hospital-specific rates, we stated our belief that it is also appropriate, under the Secretary's broad authority under section 1886(g) of the Act, to propose to reduce the national capital Federal rate and Puerto Rico-specific capital rate by 0.2 percent (an adjustment factor of 0.998) to offset the estimated increase in capital IPPS expenditures associated with the projected increase in inpatient encounters that is expected to result from our proposed inpatient admission guidelines (78 FR 27651). Because hospitals receive an operating IPPS payment and also a capital IPPS payment for each discharge, we stated that we believe it would be appropriate to reduce payments under both the operating and capital IPPS to fully offset the projected increase in expenditures associated with these inpatient discharges. (We refer readers to section V.N. of the preamble of the proposed rule and section XI.C. of the preamble of this final rule for a complete discussion of our proposed and final inpatient admission guidelines and medical review criteria, including our time-based benchmark and presumption of medical necessity for hospital inpatient services based on the beneficiary's length of stay as part of our medical review criteria for hospital inpatient services under Medicare Part A.)
While we did not receive any comments that specifically addressed our proposal to make the −0.2 percent adjustment to the national capital Federal rate and Puerto Rico-specific capital rate, in section XI.C.4. of the preamble of this final rule, we discuss the public comments we received on our proposal to make a −0.2 percent adjustment to the operating IPPS standardized amount, the hospital-specific rates, and the Puerto Rico-specific standardized amount to offset the estimated $220 million in additional IPPS expenditures associated with the projected increase in inpatient encounters that is expected to result from our final inpatient admission guidelines. As we state in section XI.C.4. of the preamble of this final rule, our actuaries continue to estimate that there will be approximately $220 million in additional expenditures resulting from the net increase in hospital inpatient encounters due to some encounters spanning more than 2 midnights moving to the IPPS from the OPPS, and some encounters of less than 2 midnights moving from the IPPS to the OPPS. After consideration of the public comments we received, which we discuss in section XI.C.4. of the preamble of this final rule, under the Secretary's broad authority under section 1886(g) of the Act, we are finalizing the proposed 0.2 percent reduction (that is, an adjustment factor of 0.998) to the national capital Federal rate and the Puerto Rico-specific capital rate to offset the estimated increase in capital IPPS expenditures associated with the projected increase in inpatient encounters that is expected to result from the inpatient admission guidelines policy we are adopting in this final rule. As noted above, this is the same adjustment that we are finalizing to the standardized amount, the hospital-specific rates, and the Puerto Rico-specific standardized amount. Because hospitals receive an operating IPPS payment and also a capital IPPS payment for each discharge, we continue to believe it is appropriate to reduce payments under both the operating and capital IPPS to fully offset the projected increase in expenditures associated with these inpatient discharges.
D. Annual Update for FY 2014
The annual update to the capital PPS Federal and Puerto Rico-specific rates, as provided for at § 412.308(c), for FY 2014 is discussed in section III. of the Addendum to this final rule.
We note that, in section II.D. of the preamble of this final rule, we present a discussion of the MS-DRG documentation and coding adjustment, including previously finalized policies and historical adjustments, as well as the recoupment adjustment to the standardized amounts under section 1886(d) of the Act that we are finalizing for FY 2014 pursuant to the amendments made to section 7(b)(1)(B) of Public Law 110-90 by section 631 of the ATRA. As we explained in the FY 2014 IPPS/LTCH PPS proposed rule (78 FR 27652), because section 631 of the ATRA requires CMS to make a recoupment adjustment only to the operating IPPS standardized amount, we did not propose a similar adjustment to the national or Puerto Rico capital IPPS rates (or to the operating IPPS hospital-specific rates or Puerto Rico-specific standardized amount). This approach is consistent with our historical approach regarding the application of the recoupment adjustment authorized by section 7(b)(1)(B) of Public Law 110-90. In that same proposed rule (78 FR 27505), we also discussed additional prospective adjustments for the MS-DRG documentation and coding effect through FY 2010 authorized under section 1886(d)(3)(A)(vi) of the Act, and stated that, after further consideration of the MedPAC analysis of claims data, if we were to apply an additional prospective adjustment for the cumulative MS-DRG documentation and coding effect through FY 2010, we believe the most appropriate additional adjustment is −0.55 percent, rather than the adjustment proposed in prior rulemaking of −0.8 percent. While we did not propose an additional prospective adjustment in FY 2014 for the cumulative MS-DRG documentation and coding effects through FY 2010 at the time of the proposed rule, we solicited comments on the issue of applying a prospective adjustment to the operating IPPS standardized amount (and hospital-specific rates) for the cumulative MS-DRG documentation and coding effect through FY 2010.
Consistent with our historical approach, in the FY 2014 IPPS/LTCH PPS proposed rule (78 FR 27652), we stated that, because the cumulative documentation and coding effect through FY 2010 results in inappropriately high capital IPPS payments, if we were to apply a prospective adjustment to the operating IPPS standardized amount and the hospital-specific rates to remove this effect, we would also do so for the national capital IPPS Federal rate. Therefore, if we attributed a portion of the proposed −0.8 percent recoupment adjustment to the operating IPPS standardized amount for FY 2014 to the prospective adjustment, we would also make an appropriate adjustment to the national capital IPPS Federal rate under the Secretary's broad authority under section 1886(g) of the Act. (We also noted that the capital IPPS Puerto Rico rate (and operating IPPS Puerto Rico-specific standardized amount) would not be affected as we previously found no significant additional MS-DRG documentation and coding effect through FY 2010 for Puerto Rico that would warrant any additional adjustment (77 FR 53279 and 53457).)
In section II.D.7. of the preamble of this final rule, we summarize, and respond to, public comments that we solicited as to whether any portion of the aforementioned −0.8 percent recoupment adjustment to the operating IPPS standardized amount should be reduced and instead applied as a prospective adjustment to the operating IPPS standardized amount (and hospital-specific rates) for the cumulative MS-DRG documentation and coding effect through FY 2010. As discussed in that same section, after consideration of public comments, CMS is not allocating any portion of the −0.8 percent recoupment adjustment in FY 2014 as a prospective adjustment to account for FY 2010 documentation and coding effects. Therefore, consistent with our proposal, we are not making an additional documentation and coding adjustment to the FY 2014 national or Puerto Rico capital IPPS rates.
VII. Changes for Hospitals Excluded from the IPPS Back to Top
A. Rate of Increase in Payments to Excluded Hospitals for FY 2014
Historically, certain hospitals and hospital units excluded from the prospective payment system received payment for inpatient hospital services they furnished on the basis of reasonable costs, subject to a rate-of-increase ceiling. A per discharge limit (the target amount as defined in § 413.40(a) of the regulations) was set for each hospital or hospital unit based on the hospital's own cost experience in its base year, and updated annually by a rate-of-increase percentage. The updated target amount was multiplied by total Medicare discharges during that period and applied as an aggregate upper limit (the ceiling as defined in § 413.40(a)) on total inpatient operating costs for a hospital's cost reporting period. Prior to October 1, 1997, these payment provisions applied consistently to certain categories of excluded providers, which included rehabilitation hospitals and units (now referred to as IRFs), psychiatric hospitals and units (now referred to as IPFs), LTCHs, children's hospitals, and IPPS-excluded cancer hospitals. IRFs, IPFs, and LTCHs, which were paid previously under the reasonable cost methodology, now receive payment under their own prospective payment systems, in accordance with changes made to the statute. In general, the prospective payment systems for IRFs, IPFs, and LTCHs provided transition periods of varying lengths during which time a portion of the prospective payment was based on cost-based reimbursement rules under 42 CFR Part 413. (However, certain providers do not receive a transition period or may elect to bypass the transition period as applicable under 42 CFR Part 412, Subparts N, O, and P.) We note that the various transition periods provided for under the IRF PPS, the IPF PPS, and the LTCH PPS have ended.
Certain hospitals excluded from a prospective payment system, including children's hospitals and 11 cancer hospitals, continue to be subject to the rate-of-increase ceiling based on the hospital's own historical cost experience. In accordance with § 403.752(a) of the regulations, RNHCIs are also subject to the rate-of-increase limits established under § 413.40 of the regulations.
Beginning with FY 2006, we have used the percentage increase in the IPPS operating market basket to update the target amounts for children's and cancer hospitals and RNHCIs. As explained in the FY 2006 IPPS final rule (70 FR 47396 through 47398), with IRFs, IPFs, and LTCHs being paid under their own PPS, the number of providers being paid based on reasonable cost subject to a ceiling, including children's hospitals, 11 cancer hospitals, and RNHCIs, is too small and the cost report data are too limited to be able to create a market basket solely for these hospitals. Therefore, for FY 2014 and subsequent fiscal years, as we stated in the FY 2014 IPPS/LTCH PPS proposed rule (78 FR 27653), we would continue to use the percentage increase in the IPPS operating market basket to update the target amounts for these cancer hospitals, children's hospitals, and RNHCIs for the reasons discussed in the FY 2006 IPPS final rule.
In addition, because we also proposed in the FY 2014 IPPS/LTCH PPS proposed rule to revise and rebase the IPPS operating market to a FY 2010 base year, we proposed to use the percentage increase in the FY 2010-based IPPS operating market basket to update the target amounts for children's hospitals, the 11 cancer hospitals, and RNHCIs for FY 2014 and subsequent fiscal years. As described in section IV. of the preamble of this final rule, we are finalizing our proposal (as presented in the FY 2014 IPPS/LTCH PPS proposed rule (78 FR 27561 through 27572)) to revise and rebase the IPPS operating market basket to a FY 2010 base year. As we did not receive any public comments on our proposal to use the percentage increase in the FY 2010-based IPPS operating market basket to update the target amounts for children's hospitals, the 11 cancer hospitals, and RNHCIs for FY 2014 and subsequent fiscal years, we are finalizing this proposal as well. Accordingly, for FY 2014 and subsequent fiscal years, the rate-of-increase percentage to be applied to the target amount for these cancer hospitals, children's hospitals, and RNHCIs is the percentage increase in the FY 2010-based IPPS operating market basket.
For the FY 2014 IPPS/LTCH PPS proposed rule (78 FR 27652 and 27653), based on IHS Global Insight, Inc.'s 2013 first quarter forecast, we estimated that the FY 2010-based IPPS operating market basket update for FY 2014 was 2.5 percent (that is, the estimate of the market basket rate-of-increase). We proposed that if more recent data became available for the final rule, we would use them to calculate the IPPS operating market basket update for FY 2014. For this final rule, based on IHS Global Insight, Inc.'s 2013 second quarter forecast (which is the most recent data available), we calculated the FY 2010-based IPPS operating market basket update for FY 2014 to be 2.5 percent. Thus, the FY 2014 rate-of-increase percentage that is applied to the FY 2013 target amounts in order to calculate the final FY 2014 target amounts for children's hospitals, the 11 cancer hospitals, and RNHCIs is 2.5 percent, in accordance with the applicable regulations at 42 CFR 413.40.
The IRF PPS, the IPF PPS, and the LTCH PPS are updated annually. We refer readers to section IV. of the Addendum to this final rule for the specific update changes to the Federal payment rates for LTCHs under the LTCH PPS for FY 2014. The annual updates for the IRF PPS and the IPF PPS are issued by the agency in separate Federal Register documents.
B. Report on Adjustment (exceptions) Payments
Section 4419(b) of Public Law 105-33 requires the Secretary to publish annually in the Federal Register a report describing the total amount of adjustment payments made to excluded hospitals and hospital units by reason of section 1886(b)(4) of the Act during the previous fiscal year.
The process of requesting, adjusting, and awarding an adjustment payment is likely to occur over a 2-year period or longer. First, generally, an excluded hospital must file its cost report for a fiscal year in accordance with § 413.24(f)(2). The fiscal intermediary or MAC reviews the cost report and issues a notice of provider reimbursement (NPR). Once the hospital receives the NPR, if its operating costs are in excess of the ceiling, the hospital may file a request for an adjustment payment. After the fiscal intermediary or MAC receives the hospital's request in accordance with applicable regulations, the fiscal intermediary or MAC or CMS, depending on the type of adjustment requested, reviews the request and determines if an adjustment payment is warranted. This determination is sometimes not made until more than 180 days after the date the request is filed because there are times when the applications are incomplete and additional information must be requested in order to have a completed application. However, in an attempt to provide interested parties with data on the most recent adjustments for which we do have data, we are publishing data on adjustment payments that were processed by the fiscal intermediary or MAC or CMS during FY 2012.
The table below includes the most recent data available from the fiscal intermediaries or MACs and CMS on adjustment payments that were adjudicated during FY 2012. As indicated above, the adjustments made during FY 2012 only pertain to cost reporting periods ending in years prior to FY 2011. Total adjustment payments given to excluded hospitals during FY 2012 are $3,457,953. The table depicts for each class of hospitals, in the aggregate, the number of adjustment requests adjudicated, the excess operating costs over the ceiling, and the amount of the adjustment payments.
| Class of hospital | Number | Excess cost over ceiling | Adjustment payments |
|---|---|---|---|
| Children's | 2 | $785,960 | $540,658 |
| Cancer | 1 | 19,193,933 | 2,818,076 |
| Religious Nonmedical Health Care Institution (RNHCI) | 1 | 194,363 | 99,219 |
| Total | 3,457,953 |
C. Critical Access Hospitals (CAHs): Changes to the Conditions of Participation
1. Background
Sections 1820 and 1861(mm) of the Act, as amended by section 4201 of the Balanced Budget Act (BBA) of 1997, replaced the Essential Access Community Hospitals and Rural Primary Care Hospitals (EACH/RPCH) program with the Medicare Rural Hospital Flexibility Program (MRHFP), under which a qualifying facility can be designated as a CAH. CAHs participating in the MRHFP must meet the conditions for designation by the State and be certified by the Secretary in accordance with section 1820 of the Act. Further, in accordance with section 1820(e)(3) of the Act, a CAH must meet other criteria that the Secretary specifies.
The regulations that codify the conditions of participation (CoPs) to implement the statutory requirements of section 1820 are codified at 42 CFR Part 485, Subpart F.
2. Proposed and Final Policy Changes
As we discussed in the FY 2014 IPPS/LTCH PPS proposed rule (78 FR 27653 through 27654), we have received a number of questions from stakeholders in the CAH provider community relating to whether CAHs are required to furnish acute care inpatient services under the CAH CoPs. Our interpretation is that CAHs must provide acute care inpatient services, and in the proposed rule (78 FR 27653 through 27654 and 27486), we proposed revisions to clarify and restate this requirement. In particular, we proposed to add paragraph (b)(1)(ii) to 42 CFR 485.635 as clarification that a CAH must provide acute care inpatient services. We stated that we expected that these services would be provided as appropriate to a CAH's resources and as appropriate to meet the needs of its patients.
In the proposed rule, we discussed our review of data for 1,230 of the existing 1,328 CAHs [53] using the July 2010 through June 2011 cost reports, and found that 99 percent of CAHs are regularly providing acute care inpatient services and are in compliance with the requirements under the CAH CoPs. However, we indicated that the data regarding the remaining 1 percent, together with the questions we had received, suggested that there may be some service gaps. We further stated that we believe that a few CAHs would benefit from clarification that CAHs must furnish acute care inpatient services.
As set forth in section 1820 of the Act, the CAH program was established to improve access to hospital and other health services for rural residents of a State. We believe that the statutory requirements related to the provision of emergency care and acute care inpatient services, including those at section 1820(c)(2)(B) of the Act, suggest that a CAH must furnish these acute care inpatient services, albeit, in a more limited fashion than would be expected of a hospital. Hospitals are subject to a different set of CoPs, found in 42 CFR Part 482.
In the proposed rule, we stated that we recognize that, given its resources and the needs of the community it serves, a CAH may not be actively treating inpatients at all times. Indeed, the Act fully recognizes the variable nature of a CAH's inpatient census, as it provides specific contingency language for the staffing requirements under section 1820(c)(2)(B)(iv) of the Act. We noted that a CAH is not specifically required to maintain a minimum average daily census (ADC) of inpatients receiving inpatient acute care services or a minimum number of certified inpatient beds. We indicated that we are aware that there are significant seasonal variations in the inpatient occupancy rates as well as variations that are a function of the size of the community in which a CAH is located. We also stated that we recognize the need for inpatient acute care services to be furnished in the best setting for the patient. However, we stated that while it may be true that CAHs generally are not able to handle patients requiring complex, specialized inpatient services, such as those services provided by trauma centers, or cardiac surgery centers, CAHs should be able to handle a range of patient needs requiring admission. We stated that we believe it is not in the best interest of patients for them to routinely be transferred to a more distant hospital if instead their care can be provided locally without compromising quality.
In the FY 2014 IPPS/LTCH PPS proposed rule (78 FR 27486), we also wished to clarify the relationship between a CAH's written policies and the services it offers. The regulations at 42 CFR 485.635(a) require a CAH to furnish health care services in accordance with appropriate written policies. Among other items, the CAH must describe its procedures for emergency medical services and its procedures for inpatient services. We explained that we would expect CAHs to be appropriately prepared to provide the services described in their policies and procedures. For example, we would expect a CAH's policies and procedures to be reflected in the number of certified beds, appropriate equipment, and available staffing (whether as employees or through arrangements or agreements). We also stated that we would expect to see a relationship between CAHs' policies and procedures and the actual services furnished, as appropriate to the needs of individual patients. To further clarify the interrelated standards at § 485.635(a) and (b) of the regulations, we proposed to amend the regulatory language at § 485.635(b), as noted below, and we proposed to revise the language under the standard for “Patient care policies” under § 485.635(a)(3)(vii) to remove the conditional phrase “If a CAH furnishes inpatient services.” By proposing to remove this conditional phrase, we stated that we would eliminate regulatory language that could be creating ambiguity where none was intended. We stated that the elimination of this language would clarify that CAHs are required to provide acute care inpatient services. We also stated that our revision would align the standard with the structure of neighboring standards under § 485.635(a).
Comment: One commenter thanked CMS for the continued emphasis on expanding access to critical health care services to all rural beneficiaries. The commenter believed that the CAH program has dramatically expanded access to critical health care services in rural areas for all rural residents. Another commenter noted that, often, the CAH provider is the foundation of all health care services in the community.
Response: We appreciate the positive feedback regarding the CAH program. We are mindful of the fact that the CAH program was established to improve access for rural residents to essential health care services, including hospital services. We believe the clarifying changes that we are finalizing in this rule will maintain the integrity of the CAH program and ensure continued access to these critical services, including acute care inpatient services.
Comment: One commenter stated that section 1820(c)(2)(B) of the Act, which sets forth criteria for designation as a CAH, does not include a requirement that CAHs provide inpatient acute care services. The commenter questioned CMS' authority and underlying reasoning for proposing the regulatory changes. Another commenter asked why CMS would consider adding one of the defining features of a “hospital,” namely, inpatient care, given that the definition of a hospital at section 1861(e) of the Act provides that a CAH is not always considered a hospital.
Response: While we acknowledge that section 1820(c)(2)(B) of the Act does not expressly require CAHs to provide inpatient acute care services, we note that section 1820(e)(3) of the Act authorizes the Secretary to require other criteria for a facility to be certified as a CAH. As set forth in section 1820 of the Act, the CAH program was established to improve access to hospital and other health services for rural residents of a State. We believe that the statutory requirements related to the provision of emergency care and acute care inpatient services, including those at section 1820(c)(2)(B) of the Act, suggest that a CAH must furnish these acute care inpatient services, albeit, in a more limited fashion than would be expected of a hospital. We further acknowledge that section 1861(e) of the Act specifies that the term “hospital” does not always include a CAH. At the same time, we note that section 1861(e) of the Act qualifies this statement with the phrase “unless the context otherwise requires.” For purposes of determining what services should be furnished by a CAH, we have concluded that the context requires CAHs to furnish inpatient acute care services.
Comment: One commenter noted that CMS' interpretive guidelines state that the “CAH must provide outpatient and emergency room services as direct services at the CAH campus through the use of CAH personnel.” Further, the commenter stated, the interpretive guidelines allow for a CAH to “choose the level of services to be offered. . . [and that a] CAH is not required to offer outpatient services 24/7 except for emergency room services.” In addition, the commenter stated that the interpretive guidelines only state that the CAH's “outpatient services must be integrated with inpatient services, as appropriate to the outpatient services offered.”
Response: We appreciate the commenter's questions. The guidance noted by the commenter related to the furnishing of services at § 485.635(b), which, under an earlier version of the regulation, were to have been provided by the CAH directly, by its own employees, rather than through an arrangement. As such, it would not have been appropriate to have viewed the guidance as identifying an exclusive list of services that a CAH must provide. Rather, the provision identified only those services that a CAH was required to provide directly.
In any event, we note that the interpretive guidelines referenced in the comment are outdated. The above referenced guidelines were applicable to a prior version of § 485.635(b) that addressed services that CAHs were then required to provide as “direct services,” that is, services provided by CAH employees (and not through an arrangement). We note that, in an effort to reduce burden on CAHs, we amended § 485.635(b) in the May 16, 2012 final rule, “Medicare and Medicaid Programs; Reform of Hospital and Critical Access Hospital Conditions of Participation,” that sought to reduce outmoded and unnecessarily burdensome regulations, and to increase the ability of CAHs to devote more resources to providing high quality patient care (77 FR 29034). In that final rule, we removed the requirement under § 485.635(b) for these services to be provided directly by CAH employees. We issued revised interpretative guidelines in S on March 15, 2013, and updated the State Operations Manual accordingly via Transmittal No. 84, issued on June 7, 2013. With the publication of this final rule, we will further update the interpretative guidelines for CAHs.
Comment: One commenter asked how CMS intended to monitor CAHs' compliance with the proposed requirement to provide inpatient services. The commenter was concerned that a requirement to provide inpatient acute care services would be enforced arbitrarily or that it might create a “slippery slope” leading to a misguided approach, such as a future requirement for a minimum average daily census (ADC). The commenter acknowledged CMS' commentary in the proposed rule that listed several reasons why maintaining a minimum ADC would not be desirable. At the same time, the commenter believed that CMS had not specified a compliance mechanism in the proposed rule.
Response: As we stated in the FY 2014 IPPS/LTCH PPS proposed rule (78 FR 27653 through 27654), a CAH is not specifically required to maintain a minimum ADC of inpatients receiving inpatient acute care services or a minimum number of certified inpatient beds. We are aware that there are significant seasonal variations in the inpatient occupancy rates as well as variations that are a function of the size of the community in which a CAH is located. We agree with the commenter that requiring a minimum daily census would not allow for the seasonal and regional variability within the CAH system. We also recognize the need for inpatient acute care services to be furnished in the best setting for the beneficiary. For these reasons, we did not propose a minimum ADC requirement.
However, while it may be true that CAHs generally are not able to handle patients requiring complex, specialized inpatient services, such as those services provided by trauma centers or cardiac surgery centers, CAHs should be able to handle a range of needs for beneficiaries requiring admission, particularly in the case of patients who present to the CAH seeking emergency services. As stated above, we believe it is not in the best interest of CAH patients requiring admission to be routinely transferred to a more distant hospital if their care can be provided by the CAH locally without compromising quality. We anticipate developing more detailed guidance that would consider the volume of emergency services provided by a CAH, along with the volume of transfers to hospitals, compared to inpatient CAH admissions through the emergency department. While we do not envision developing specific formulas for minimum inpatient admissions, we do believe this approach would enable identification of cases for further scrutiny where there is a significant disproportion between the emergency services and the inpatient services a CAH provides. We believe our proposal facilitates beneficiary care on both an individual and a population level.
Comment: One commenter agreed with CMS that CAHs and all rural facilities should maintain an accurate listing of the services they offer. The commenter acknowledged that patients in rural areas rely on accurate and timely notices of the services available at their local hospital. The commenter encouraged all CAHs to maintain and regularly update their written policies as they relate to services available in their facility.
Response: We appreciate the commenter's remarks and encouragement to CAHs to maintain and regularly update their written policies as they relate to services available in their facility. The regulations at 42 CFR 485.635(a) require a CAH to furnish health care services in accordance with appropriate written policies. Among other items, the CAH must describe its procedures for emergency medical services and its procedures for inpatient services. Therefore, we expect CAHs to be appropriately prepared to provide the described services. For example, a CAH's policies and procedures should be reflected in the number of certified beds, appropriate equipment, and available staffing (whether as employees or through arrangements or agreements). Similarly, we would expect CAHs to, in fact, be providing the same services outlined in their policies and procedures, as appropriate to the needs of individual patients.
Comment: A few commenters urged that greater consideration be given to this proposed change in policy; one commenter described the proposal as a major departure from the CAH CoPs that have been in place for the past 20 years. The commenters suggested that the proposed change could thwart the provision of health care services to rural and frontier communities. The commenter noted that, particularly in the West, inpatient volumes are decreasing as hospitals better manage patients' disease processes and care. Another commenter expressed concern that a requirement to furnish acute care inpatient services could have a major impact on the operational capacity and necessary workforce needs of many CAHs.
One commenter remarked that the CoPs, as written, have given CAH providers an option to change as time goes on to meet the needs of their communities. The commenter opposed an express requirement for CAHs to furnish inpatient services and expressed concern that, as the health care system evolves, the providers in a community continue to be able to respond to and meet the needs of its residents. Another commenter stated that provision that restricts or dictates how services are provided in these communities would necessarily limit innovations designed to meet the goals of the “Triple Aim.” The commenter also stated that proposals to reduce CAH payments or revoke status for current CAHs would do significant damage to the gains made since the establishment of this program in 1997.
Response: We share the commenters' concern for ensuring access to health care services in rural and frontier communities. At the same time, as we have stated, we have received a number of questions from stakeholders in the CAH provider community relating to whether CAHs are required to furnish acute care inpatient services under the CAH CoPs. As we stated in the proposed rule and as noted above, the data analysis that we conducted suggest that 99 percent of CAHs are regularly providing acute care inpatient services and are in compliance with such requirements. However, the data regarding the remaining 1 percent, along with the questions we have received, suggest that there may be some service gaps. We believe our proposed language to explicitly require CAHs to furnish inpatient acute care services would address these gaps in service.
In light of the fact that 99 percent of CAHs are already providing inpatient acute care services, we do not agree that the establishment of an express requirement for CAHs to provide inpatient services represents a major change to the CAH program. Moreover, we note that none of the commenters submitted evidence or specific examples demonstrating how finalizing a general requirement for CAHs to provide acute care inpatient services could have a major impact upon or thwart the provision of health care services to rural and frontier communities. In the event that a CAH decides that it is no longer able to comply, or that the circumstances no longer warrant compliance, with all of the CAH requirements, such a facility may wish to engage in a dialogue with CMS to explore its options, including avenues other than the CAH program, for continued participation in the Medicare program. For example, if it does not meet the CAH CoPs, a CAH could convert to a certified Medicare hospital.
We disagree with the comment that a requirement for CAHs to furnish inpatient acute care services is inconsistent with the goals of the “Triple Aim,” which calls for better care for individuals, better health for populations, and lower cost through improvement (without any harm to individuals). The CAH program was established to improve access for rural residents to essential health care services and, particularly, hospital services. Hospital services include acute care inpatient services, and, when a CAH does not provide them, the individuals residing in that rural community may be at risk. Indeed, once a facility has been designated and certified as a CAH, that facility is expected to provide services as a CAH, and it is entrusted with the reliance of the general public and of the local community. We recognize that, given its resources and the needs of the community it serves, a CAH may not be actively treating inpatients at all times. As stated above, we believe it is not in the best interest of a CAH's beneficiaries to be routinely transferred to a more distant hospital if instead their care could be provided locally without compromising quality.
Finally, we note that because we did not make any proposals in this section to change CAH payments, we believe the comments concerning payments to CAHs are outside the scope of the proposed rule. Therefore, for the reasons discussed above, we are finalizing the provisions at § 485.635(a) and (b), as proposed.
In the FY 2014 IPPS/LTCH PPS proposed rule (78 FR 27654), we proposed further changes at § 485.635(c), regarding “Services provided through agreements or arrangements.” We are removing paragraph (c)(1)(i) under § 485.635 requiring CAHs to furnish inpatient hospital care services through agreements or arrangements; redesignating the existing language of paragraph (b)(1) as paragraph (b)(1)(i); and adding a new paragraph (b)(1)(ii) under the standard “Patient services” that more clearly requires CAHs to furnish acute care inpatient services. (Because we are removing paragraph (c)(1)(i), we are redesignating existing paragraphs (c)(1)(ii) through (c)(1)(iv) as paragraphs (c)(1)(i) through (c)(1)(iii), respectively.)
We regard the services furnished in accordance with § 485.635(c) as other additional services, which a CAH may also provide through agreements or arrangements. Notwithstanding these clarifications and revisions, in accordance with section 1820(d) of the Act, each CAH member of a Rural Health Network will still be required to have an agreement with at least one full-service acute care hospital member of the network regarding patient referral and transfer.
We did not receive any public comments on our proposal to make the above-described changes at § 485.635(c). Therefore, we are finalizing these changes as proposed.
In the FY 2014 IPPS/LTCH PPS proposed rule (78 FR 27654), we also proposed a technical change at § 485.620(a), the section addressing the “Number of Beds” standard. Specifically, we proposed to remove the phrase “after January 1, 2004,” a prospective effective date established in the Medicare Prescription Drug, Improvement, and Modernization Act of 2003 (MMA) (Pub. L. 108-173) and which was subsequently restated in regulation at § 485.620(a) (69 FR 49215). The effective date of January 1, 2004 has passed and the revised maximum bed limit of 25 continues to apply. We did not receive any public comments on this proposed technical revision at § 485.620(a). Therefore, we are finalizing the technical revision without change.
VIII. Changes to the Long-Term Care Hospital Prospective Payment System (LTCH PPS) for FY 2014 Back to Top
A. Background of the LTCH PPS
1. Legislative and Regulatory Authority
Section 123 of the Medicare, Medicaid, and SCHIP (State Children's Health Insurance Program) Balanced Budget Refinement Act of 1999 (BBRA) (Pub. L. 106-113) as amended by section 307(b) of the Medicare, Medicaid, and SCHIP Benefits Improvement and Protection Act of 2000 (BIPA) (Pub. L. 106-554) provides for payment for both the operating and capital-related costs of hospital inpatient stays in long-term care hospitals (LTCHs) under Medicare Part A based on prospectively set rates. The Medicare prospective payment system (PPS) for LTCHs applies to hospitals that are described in section 1886(d)(1)(B)(iv) of the Act, effective for cost reporting periods beginning on or after October 1, 2002.
Section 1886(d)(1)(B)(iv)(I) of the Act defines a LTCH as “a hospital which has an average inpatient length of stay (as determined by the Secretary) of greater than 25 days.” Section 1886(d)(1)(B)(iv)(II) of the Act also provides an alternative definition of LTCHs: specifically, a hospital that first received payment under section 1886(d) of the Act in 1986 and has an average inpatient length of stay (LOS) (as determined by the Secretary of Health and Human Services (the Secretary)) of greater than 20 days and has 80 percent or more of its annual Medicare inpatient discharges with a principal diagnosis that reflects a finding of neoplastic disease in the 12-month cost reporting period ending in FY 1997.
Section 123 of the BBRA requires the PPS for LTCHs to be a “per discharge” system with a diagnosis-related group (DRG) based patient classification system that reflects the differences in patient resources and costs in LTCHs.
Section 307(b)(1) of the BIPA, among other things, mandates that the Secretary shall examine, and may provide for, adjustments to payments under the LTCH PPS, including adjustments to DRG weights, area wage adjustments, geographic reclassification, outliers, updates, and a disproportionate share adjustment.
In the August 30, 2002 Federal Register, we issued a final rule that implemented the LTCH PPS authorized under the BBRA and BIPA (67 FR 55954). For the initial implementation of the LTCH PPS (FYs 2003 through FY 2007), the system used information from LTCH patient records to classify patients into distinct long-term care diagnosis-related groups (LTC-DRGs) based on clinical characteristics and expected resource needs. Beginning in FY 2008, we adopted the Medicare severity long-term care diagnosis-related groups (MS-LTC-DRGs) as the patient classification system used under the LTCH PPS. Payments are calculated for each MS-LTC-DRG and provisions are made for appropriate payment adjustments. Payment rates under the LTCH PPS are updated annually and published in the Federal Register.
The LTCH PPS replaced the reasonable cost-based payment system under the Tax Equity and Fiscal Responsibility Act of 1982 (TEFRA) (97) for payments for inpatient services provided by a LTCH with a cost reporting period beginning on or after October 1, 2002. (The regulations implementing the TEFRA reasonable cost-based payment provisions are located at 42 CFR Part 413.) With the implementation of the PPS for acute care hospitals authorized by the Social Security Amendments of 1983 (98), which added section 1886(d) to the Act, certain hospitals, including LTCHs, were excluded from the PPS for acute care hospitals and were paid their reasonable costs for inpatient services subject to a per discharge limitation or target amount under the TEFRA system. For each cost reporting period, a hospital-specific ceiling on payments was determined by multiplying the hospital's updated target amount by the number of total current year Medicare discharges. (Generally, in section VIII. of this preamble, when we refer to discharges, we describe Medicare discharges.) The August 30, 2002 final rule further details the payment policy under the TEFRA system (67 FR 55954).
In the August 30, 2002 final rule, we provided for a 5-year transition period from payments under the TEFRA system to payments under the LTCH PPS. During this 5-year transition period, a LTCH's total payment under the PPS was based on an increasing percentage of the Federal rate with a corresponding decrease in the percentage of the LTCH PPS payment that is based on reasonable cost concepts, unless a LTCH made a one-time election to be paid based on 100 percent of the Federal rate. Beginning with LTCHs' cost reporting periods beginning on or after October 1, 2006, total LTCH PPS payments are based on 100 percent of the Federal rate.
In addition, in the August 30, 2002 final rule, we presented an in-depth discussion of the LTCH PPS, including the patient classification system, relative weights, payment rates, additional payments, and the budget neutrality requirements mandated by section 123 of the BBRA. The same final rule that established regulations for the LTCH PPS under 42 CFR Part 412, Subpart O, also contained LTCH provisions related to covered inpatient services, limitation on charges to beneficiaries, medical review requirements, furnishing of inpatient hospital services directly or under arrangement, and reporting and recordkeeping requirements. We refer readers to the August 30, 2002 final rule for a comprehensive discussion of the research and data that supported the establishment of the LTCH PPS (67 FR 55954).
We refer readers to the FY 2012 IPPS/LTCH PPS final rule (76 FR 51733 through 51743) for a chronological summary of the main legislative and regulatory developments affecting the LTCH PPS through the annual update cycles prior to the FY 2013 rulemaking cycle.
2. Criteria for Classification as a LTCH
a. Classification as a LTCH
Under the existing regulations at §§ 412.23(e)(1) and (e)(2)(i), which implement section 1886(d)(1)(B)(iv)(I) of the Act, to qualify to be paid under the LTCH PPS, a hospital must have a provider agreement with Medicare and must have an average Medicare inpatient length of stay of greater than 25 days. Alternatively, § 412.23(e)(2)(ii) states that, for cost reporting periods beginning on or after August 5, 1997, a hospital that was first excluded from the PPS in 1986 and can demonstrate that at least 80 percent of its annual Medicare inpatient discharges in the 12-month cost reporting period ending in FY 1997 have a principal diagnosis that reflects a finding of neoplastic disease must have an average inpatient length of stay for all patients, including both Medicare and non-Medicare inpatients, of greater than 20 days.
b. Hospitals Excluded From the LTCH PPS
The following hospitals are paid under special payment provisions, as described in § 412.22(c) and, therefore, are not subject to the LTCH PPS rules:
- Veterans Administration hospitals.
- Hospitals that are reimbursed under State cost control systems approved under 42 CFR Part 403.
- Hospitals that are reimbursed in accordance with demonstration projects authorized under section 402(a) of the Social Security Amendments of 1967 (90) (42 U.S.C. 1395b-1) or section 222(a) of the Social Security Amendments of 1972 (92) (42 U.S.C. 1395b-1 (note)) (Statewide all-payer systems, subject to the rate-of-increase test at section 1814(b) of the Act).
- Nonparticipating hospitals furnishing emergency services to Medicare beneficiaries.
3. Limitation on Charges to Beneficiaries
In the August 30, 2002 final rule, we presented an in-depth discussion of beneficiary liability under the LTCH PPS (67 FR 55974 through 55975). In the RY 2005 LTCH PPS final rule (69 FR 25676), we clarified that the discussion of beneficiary liability in the August 30, 2002 final rule was not meant to establish rates or payments for, or define Medicare-eligible expenses. Under § 412.507, if the Medicare payment to the LTCH is the full LTC-DRG payment amount, as consistent with other established hospital prospective payment systems, a LTCH may not bill a Medicare beneficiary for more than the deductible and coinsurance amounts as specified under §§ 409.82, 409.83, and 409.87 and for items and services as specified under § 489.30(a). However, under the LTCH PPS, Medicare will only pay for days for which the beneficiary has coverage until the short-stay outlier (SSO) threshold is exceeded. Therefore, if the Medicare payment was for a SSO case (§ 412.529) that was less than the full LTC-DRG payment amount because the beneficiary had insufficient remaining Medicare days, the LTCH could also charge the beneficiary for services delivered on those uncovered days (§ 412.507).
4. Administrative Simplification Compliance Act (ASCA) and Health Insurance Portability and Accountability Act (HIPAA) Compliance
Claims submitted to Medicare must comply with both the Administrative Simplification Compliance Act (ASCA) (Pub. L. 107-105), and the Health Insurance Portability and Accountability Act of 1996 (HIPAA) (Pub. L. 104-191). Section 3 of the ASCA requires that the Medicare Program deny payment under Part A or Part B for any expenses incurred for items or services “for which a claim is submitted other than in an electronic form specified by the Secretary.” Section 1862(h) of the Act (as added by section 3(a) of the ASCA) provides that the Secretary shall waive such denial in two specific types of cases and may also waive such denial “in such unusual cases as the Secretary finds appropriate” (68 FR 48805). Section 3 of the ASCA operates in the context of the HIPAA regulations, which include, among other provisions, the transactions and code sets standards requirements codified as 45 CFR Parts 160 and 162, Subparts A and I through R (generally known as the Transactions Rule). The Transactions Rule requires covered entities, including covered health care providers, to conduct certain electronic health care transactions according to the applicable transactions and code sets standards.
B. Medicare Severity Long-Term Care Diagnosis-Related Group (MS-LTC-DRG) Classifications and Relative Weights for FY 2014
1. Background
Section 123 of the BBRA requires that the Secretary implement a PPS for LTCHs (that is, a per discharge system with a diagnosis-related group (DRG)-based patient classification system reflecting the differences in patient resources and costs). Section 307(b)(1) of the BIPA modified the requirements of section 123 of the BBRA by requiring that the Secretary examine “the feasibility and the impact of basing payment under such a system [the long-term care hospital (LTCH) PPS] on the use of existing (or refined) hospital DRGs that have been modified to account for different resource use of LTCH patients, as well as the use of the most recently available hospital discharge data.”
When the LTCH PPS was implemented for cost reporting periods beginning on or after October 1, 2002, we adopted the same DRG patient classification system (that is, the CMS DRGs) that was utilized at that time under the IPPS. As a component of the LTCH PPS, we refer to this patient classification system as the “long-term care diagnosis-related groups (LTC-DRGs).” Although the patient classification system used under both the LTCH PPS and the IPPS are the same, the relative weights are different. The established relative weight methodology and data used under the LTCH PPS result in relative weights under the LTCH PPS that reflect “the differences in patient resource use . . .” of LTCH patients (section 123(a)(1) of the BBRA (Pub. L. 106-113)).
As part of our efforts to better recognize severity of illness among patients, in the FY 2008 IPPS final rule with comment period (72 FR 47130), the MS-DRGs and the Medicare severity long-term care diagnosis-related groups (MS-LTC-DRGs) were adopted under the IPPS and the LTCH PPS, respectively, effective beginning October 1, 2007 (FY 2008). For a full description of the development, implementation, and rationale for the use of the MS-DRGs and MS-LTC-DRGs, we refer readers to the FY 2008 IPPS final rule with comment period (72 FR 47141 through 47175 and 47277 through 47299). (We note that, in that same final rule, we revised the regulations at § 412.503 to specify that for LTCH discharges occurring on or after October 1, 2007, when applying the provisions of 42 CFR Part 412, Subpart O applicable to LTCHs for policy descriptions and payment calculations, all references to LTC-DRGs would be considered a reference to MS-LTC-DRGs. For the remainder of this section, we present the discussion in terms of the current MS-LTC-DRG patient classification system unless specifically referring to the previous LTC-DRG patient classification system that was in effect before October 1, 2007.)
The MS-DRGs adopted in FY 2008 represent an increase in the number of DRGs by 207 (that is, from 538 to 745) (72 FR 47171). The MS-DRG classifications are updated annually. As described in section II.G. of this preamble, for FY 2014 we did not create or delete any MS-DRGs, and as such we continue to have a total of 751 MS-DRG groupings for FY 2014. Consistent with section 123 of the BBRA, as amended by section 307(b)(1) of the BIPA, and § 412.515 of the regulations, we use information derived from LTCH PPS patient records to classify LTCH discharges into distinct MS-LTC-DRGs based on clinical characteristics and estimated resource needs. We then assign an appropriate weight to the MS-LTC-DRGs to account for the difference in resource use by patients exhibiting the case complexity and multiple medical problems characteristic of LTCHs. Below we provide a general summary of our existing methodology for determining the MS-LTC-DRG relative weights.
In a departure from the IPPS, and as discussed in greater detail below in section VIII.B.3.f. of this preamble, we are continuing to use low-volume MS-LTC-DRGs (that is, MS-LTC-DRGs with less than 25 LTCH cases) in determining the MS-LTC-DRG relative weights because LTCHs do not typically treat the full range of diagnoses as do acute care hospitals. For purposes of determining the relative weights for the large number of low-volume MS-LTC-DRGs, we group all of the low-volume MS-LTC-DRGs into five quintiles based on average charge per discharge. (A detailed discussion of the initial development and application of the quintile methodology appears in the August 30, 2002 LTCH PPS final rule (67 FR 55978).) Under our existing methodology, we account for adjustments to payments for SSO cases (that is, cases where the covered length of stay at the LTCH is less than or equal to five-sixths of the geometric average length of stay for the MS-LTC-DRG). Furthermore, we make adjustments to account for nonmonotonically increasing weights, when necessary. That is, theoretically, cases under the MS-LTC-DRG system that are more severe require greater expenditure of medical care resources and will result in higher average charges such that, in the severity levels within a base MS-LTC-DRG, the relative weights should increase monotonically with severity from the lowest to highest severity level. (We discuss nonmonotonicity in greater detail and our methodology to adjust the MS-LTC-DRG relative weights to account for nonmonotonically increasing relative weights in section VIII.B.3.g. (Step 6) of this preamble.)
2. Patient Classifications Into MS-LTC-DRGs
a. Background
The MS-DRGs (used under the IPPS) and the MS-LTC-DRGs (used under the LTCH PPS) are based on the CMS DRG structure. As noted above in this section, we refer to the DRGs under the LTCH PPS as MS-LTC-DRGs although they are structurally identical to the MS-DRGs used under the IPPS.
The MS-DRGs are organized into 25 major diagnostic categories (MDCs), most of which are based on a particular organ system of the body; the remainder involve multiple organ systems (such as MDC 22, Burns). Within most MDCs, cases are then divided into surgical DRGs and medical DRGs. Surgical DRGs are assigned based on a surgical hierarchy that orders operating room (O.R.) procedures or groups of O.R. procedures by resource intensity. The GROUPER software program does not recognize all ICD-9-CM procedure codes as procedures affecting DRG assignment. That is, procedures that are not surgical (for example, EKG), or minor surgical procedures (for example, biopsy of skin and subcutaneous tissue (procedure code 86.11)) do not affect the MS-LTC-DRG assignment based on their presence on the claim.
Generally, under the LTCH PPS, a Medicare payment is made at a predetermined specific rate for each discharge and that payment varies by the MS-LTC-DRG to which a beneficiary's stay is assigned. Cases are classified into MS-LTC-DRGs for payment based on the following six data elements:
- Principal diagnosis;
- Additional or secondary diagnoses;
- Surgical procedures;
- Age;
- Sex; and
- Discharge status of the patient.
Through FY 2010, the number of diagnosis and procedure codes considered for MS-DRG assignment was limited to nine and six, respectively. However, for claims submitted on the 5010 format beginning January 1, 2011, we increased the capacity to process diagnosis and procedure codes up to 25 diagnoses and 25 procedures. This includes one principal diagnosis and up to 24 secondary diagnoses for severity of illness determinations. We refer readers to section II.G.11.c. of the preamble of the FY 2011 IPPS/LTCH PPS final rule for a complete discussion of this change (75 FR 50127).
Under HIPAA transactions and code sets regulations at 45 CFR Parts 160 and 162, covered entities must comply with the adopted transaction standards and operating rules specified in Subparts I through S of Part 162. Among other requirements, by January 1, 2012, covered entities were required to use the ASC X12 Standards for Electronic Data Interchange Technical Report Type 3—Health Care Claim: Institutional (837), May 2006, ASC X12N/005010X223, and Type 1 Errata to Health Care Claim: Institutional (837) ASC X12 Standards for Electronic Data Interchange Technical Report Type 3, October 2007, ASC X12N/005010X233A1 for the health care claims or equivalent encounter information transaction (45 CFR 162.1102).
HIPAA requires covered entities to use the applicable medical data code set requirements when conducting HIPAA transactions (45 CFR 162.1000). Currently, upon the discharge of the patient, the LTCH must assign appropriate diagnosis and procedure codes from the most current version of the Internal Classification of Diseases, Ninth Revision, Clinical Modification (ICD-9-CM). For additional information on the ICD-9-CM Coding System, we refer readers to the FY 2008 IPPS final rule with comment period (72 FR 47241 through 47243 and 47277 through 47281). We also refer readers to the detailed discussion on correct coding practices in the August 30, 2002 LTCH PPS final rule (67 FR 55981 through 55983). Additional coding instructions and examples are published in the Coding Clinic for ICD-9-CM, a product of the American Hospital Association. (We refer readers to section II.G.11. of this preamble for additional information on the annual revisions to the ICD-9-CM codes.)
On October 1, 2014, covered entities must begin using the ICD-10-CM and ICD-10-PCS coding systems (45 CFR 162.1102(c)). We have been discussing the conversion to the ICD-10-CM and the ICD-10-PCS coding systems for many years. In prior rules published in the Federal Register (for example, in the FY 2011 IPPS/LTCH PPS final rule (75 FR 50122 through 50128)), we discussed the implementation date for the conversion to the ICD-10-CM and ICD-10-PCS coding systems. We refer readers to section II.G.11. of this preamble for additional information on the implementation of the ICD-10-CM and ICD-10-PCS systems.
To create the MS-DRGs (and by extension, the MS-LTC-DRGs), base DRGs were subdivided according to the presence of specific secondary diagnoses designated as complications or comorbidities (CCs) into one, two, or three levels of severity, depending on the impact of the CCs on resources used for those cases. Specifically, there are sets of MS-DRGs that are split into 2 or 3 subgroups based on the presence or absence of a CC or a major complication or comorbidity (MCC). We refer readers to section II.D. of the FY 2008 IPPS final rule with comment period for a detailed discussion about the creation of MS-DRGs based on severity of illness levels (72 FR 47141 through 47175).
Medicare contractors (that is, fiscal intermediaries and MACs) enter the clinical and demographic information submitted by LTCHs into their claims processing systems and subject this information to a series of automated screening processes called the Medicare Code Editor (MCE). These screens are designed to identify cases that require further review before assignment into a MS-LTC-DRG can be made. During this process, certain cases are selected for further development (74 FR 43949).
After screening through the MCE, each claim is classified into the appropriate MS-LTC-DRG by the Medicare LTCH GROUPER software on the basis of diagnosis and procedure codes and other demographic information (age, sex, and discharge status). The GROUPER software used under the LTCH PPS is the same GROUPER software program used under the IPPS. Following the MS-LTC-DRG assignment, the Medicare contractor determines the prospective payment amount by using the Medicare PRICER program, which accounts for hospital-specific adjustments. Under the LTCH PPS, we provide an opportunity for LTCHs to review the MS-LTC-DRG assignments made by the Medicare contractor and to submit additional information within a specified timeframe as provided in § 412.513(c).
The GROUPER software is used both to classify past cases to measure relative hospital resource consumption to establish the MS-LTC-DRG relative weights and to classify current cases for purposes of determining payment. The records for all Medicare hospital inpatient discharges are maintained in the MedPAR file. The data in this file are used to evaluate possible MS-DRG and MS-LTC-DRG classification changes and to recalibrate the MS-DRG and MS-LTC-DRG relative weights during our annual update under both the IPPS (§ 412.60(e)) and the LTCH PPS (§ 412.517), respectively.
b. Changes to the MS-LTC-DRGs for FY 2014
As specified by our regulations at § 412.517(a), which require that the MS-LTC-DRG classifications and relative weights be updated annually, and consistent with our historical practice of using the same patient classification system under the LTCH PPS as is used under the IPPS, as we proposed, we are updating the MS-LTC-DRG classifications effective October 1, 2013, through September 30, 2014 (FY 2014) consistent with the changes to specific MS-DRG classifications presented in section II.G. of this preamble (that is, GROUPER Version 31.0). Therefore, the MS-LTC-DRGs for FY 2014 presented in this final rule are the same as the MS-DRGs that are being used under the IPPS for FY 2014. In addition, because the MS-LTC-DRGs for FY 2014 are the same as the MS-DRGs for FY 2014, the other changes that affect MS-DRG (and by extension MS-LTC-DRG) assignments under Version 31.0 of the GROUPER discussed in section II.G. of the preamble of this final rule, including the changes to the MCE software and the ICD-9-CM coding system, are also applicable under the LTCH PPS for FY 2014.
3. Development of the FY 2014 MS-LTC-DRG Relative Weights
a. General Overview of the Development of the MS-LTC-DRG Relative Weights
One of the primary goals for the implementation of the LTCH PPS is to pay each LTCH an appropriate amount for the efficient delivery of medical care to Medicare patients. The system must be able to account adequately for each LTCH's case-mix in order to ensure both fair distribution of Medicare payments and access to adequate care for those Medicare patients whose care is more costly (67 FR 55984). To accomplish these goals, we have annually adjusted the LTCH PPS standard Federal prospective payment system rate by the applicable relative weight in determining payment to LTCHs for each case.
The basic methodology used to develop the MS-LTC-DRG relative weights generally continues to be consistent with the general methodology established when the LTCH PPS was implemented in the August 30, 2002 LTCH PPS final rule (67 FR 55989 through 55991), with the exception of some modifications of our historical procedures for assigning relative weights in cases of zero volume and/or nonmonotonicity resulting from the adoption of the MS-LTC-DRGs. (For details on the modifications to our historical procedures for assigning relative weights in cases of zero volume and/or nonmonotonicity, we refer readers to the FY 2008 IPPS final rule with comment period (72 FR 47289 through 47295) and the FY 2009 IPPS final rule (73 FR 48542 through 48550).) Under the LTCH PPS, relative weights for each MS-LTC-DRG are a primary element used to account for the variations in cost per discharge and resource utilization among the payment groups (§ 412.515). To ensure that Medicare patients classified to each MS-LTC-DRG have access to an appropriate level of services and to encourage efficiency, we calculate a relative weight for each MS-LTC-DRG that represents the resources needed by an average inpatient LTCH case in that MS-LTC-DRG. For example, cases in a MS-LTC-DRG with a relative weight of 2 will, on average, cost twice as much to treat as cases in a MS-LTC-DRG with a relative weight of 1.
b. Development of the MS-LTC-DRG Relative Weights for FY 2014
In the FY 2013 IPPS/LTCH PPS final rule (77 FR 53462 through 53467), we presented our policies for the development of the MS-LTC-DRG relative weights for FY 2013. The basic methodology we used to develop the FY 2013 MS-LTC-DRG relative weights was the same as the methodology we used to develop the FY 2012 MS-LTC-DRG relative weights in the FY 2012 IPPS/LTCH PPS final rule and was consistent with the general methodology established when the LTCH PPS was implemented in the August 30, 2002 LTCH PPS final rule (67 FR 55989 through 55991). In the FY 2014 IPPS/LTCH PPS proposed rule (78 FR 27658 through 27664), we proposed to continue to apply our established methodology to develop the FY 2014 MS-LTC-DRG relative weights for FY 2014, which includes application of established policies related to the data, the hospital-specific relative value (HSRV) methodology, the treatment of severity levels in the MS-LTC-DRGs, low-volume and no-volume MS-LTC-DRGs, adjustment for nonmonotonicity, and the steps for calculating the MS-LTC-DRG relative weights with a budget neutrality factor. Below we present the methodology that we continue to use to determine the MS-LTC-DRG relative weights for FY 2014, which is consistent with the methodology presented in the FY 2013 IPPS/LTCH PPS final rule.
Beginning with the FY 2008 update, we established a budget neutrality requirement for the annual update to the MS-LTC-DRG classifications and relative weights at § 412.517(b) (in conjunction with § 412.503), such that estimated aggregate LTCH PPS payments would be unaffected, that is, would be neither greater than nor less than the estimated aggregate LTCH PPS payments that would have been made without the classification and relative weight changes (72 FR 26882 through 26884). Consistent with § 412.517(b), and as we proposed, we continue to apply our established two-step budget neutrality methodology, which is based on the current year MS-LTC-DRG classifications and relative weights. We are continuing to apply our established two-step budget neutrality methodology such that the annual update to the MS-LTC-DRG classifications and relative weights for FY 2014 are based on the FY 2013 MS-LTC-DRG classifications and relative weights established in Table 11 listed in section VI. of the Addendum to the FY 2013 IPPS/LTCH PPS final rule (77 FR 53716 through 53717). (For additional information on the established two-step budget neutrality methodology, we refer readers to the FY 2008 IPPS final rule (72 FR 47295 through 47296).)
c. Data
For the FY 2014 IPPS/LTCH PPS proposed rule (78 FR 27658 through 27659), to calculate the MS-LTC-DRG relative weights for FY 2014, we obtained total charges from FY 2012 Medicare LTCH bill data from the December 2012 update of the FY 2012 MedPAR file, which were the best available data at that time, and used the proposed Version 31.0 of the GROUPER to classify LTCH cases. Consistent with our existing methodology, we also proposed that if more recent data became available, we would use those data and the finalized Version 31.0 of the GROUPER in establishing the FY 2014 MS-LTC-DRG relative weights in the final rule. Consistent with our proposal, to calculate the MS-LTC-DRG relative weights for FY 2014 in this final rule, we obtained total charges from the FY 2012 Medicare LTCH bill data from the March 2013 update of the FY 2012 MedPAR file, which are the best available data, and used the finalized Version 31.0 of the GROUPER to classify LTCH cases.
As proposed and consistent with our historical methodology, we excluded the data from LTCHs that are all-inclusive rate providers and LTCHs that are reimbursed in accordance with demonstration projects authorized under section 402(a) of 90 or section 222(a) of 92. Furthermore, consistent with our historical practice, we excluded Medicare Advantage (Part C) claims, which are now included in the MedPAR files, in the calculations for the relative weights under the LTCH PPS that are used to determine payments for Medicare fee-for-service claims. Specifically, as we proposed, we did not use any claims from the MedPAR files that have a GHO Paid indicator value of “1,” which effectively removes Medicare Advantage claims from the relative weight calculations (73 FR 48532). Accordingly, in the development of the FY 2014 MS-LTC-DRG relative weights in this final rule, we excluded the data of 14 all-inclusive rate providers and the 2 LTCHs that are paid in accordance with demonstration projects that had claims in the March 2013 update of the FY 2012 MedPAR file, as well as any Medicare Advantage claims.
d. Hospital-Specific Relative Value (HSRV) Methodology
By nature, LTCHs often specialize in certain areas, such as ventilator-dependent patients and treatment of infections and wound care. Some case types (MS-DRGs) may be treated, to a large extent, in hospitals that have, from a perspective of charges, relatively high (or low) charges. This nonrandom distribution of cases with relatively high (or low) charges in specific MS-LTC-DRGs has the potential to inappropriately distort the measure of average charges. As we proposed, to account for the fact that cases may not be randomly distributed across LTCHs, consistent with the methodology we have used since the implementation of the LTCH PPS, we continue to use a hospital-specific relative value (HSRV) methodology to calculate the MS-LTC-DRG relative weights for FY 2014. We believe this method removes this hospital-specific source of bias in measuring LTCH average charges (67 FR 55985). Specifically, under this methodology, we reduce the impact of the variation in charges across providers on any particular MS-LTC-DRG relative weight by converting each LTCH's charge for a case to a relative value based on that LTCH's average charge.
Under the HSRV methodology, we standardize charges for each LTCH by converting its charges for each case to hospital-specific relative charge values and then adjust those values for the LTCH's case-mix. The adjustment for case-mix is needed to rescale the hospital-specific relative charge values (which, by definition, average 1.0 for each LTCH). The average relative weight for a LTCH is its case-mix, so it is reasonable to scale each LTCH's average relative charge value by its case-mix. In this way, each LTCH's relative charge value is adjusted by its case-mix to an average that reflects the complexity of the cases it treats relative to the complexity of the cases treated by all other LTCHs (the average case-mix of all LTCHs).
In accordance with our established methodology, we continue to standardize charges for each case by first dividing the adjusted charge for the case (adjusted for SSOs under § 412.529 as described in section VIII.B.3.g. (Step 3) of this preamble) by the average adjusted charge for all cases at the LTCH in which the case was treated. SSO cases are cases with a length of stay that is less than or equal to five-sixths the average length of stay of the MS-LTC-DRG (§ 412.529 and § 412.503). The average adjusted charge reflects the average intensity of the health care services delivered by a particular LTCH and the average cost level of that LTCH. The resulting ratio is multiplied by that LTCH's case-mix index to determine the standardized charge for the case (67 FR 55989).
Multiplying the resulting ratio by the LTCH's case-mix index accounts for the fact that the same relative charges are given greater weight at a LTCH with higher average costs than they would at a LTCH with low average costs, which is needed to adjust each LTCH's relative charge value to reflect its case-mix relative to the average case-mix for all LTCHs. Because we standardize charges in this manner, we count charges for a Medicare patient at a LTCH with high average charges as less resource intensive than they would be at a LTCH with low average charges. For example, a $10,000 charge for a case at a LTCH with an average adjusted charge of $17,500 reflects a higher level of relative resource use than a $10,000 charge for a case at a LTCH with the same case-mix, but an average adjusted charge of $35,000. We believe that the adjusted charge of an individual case more accurately reflects actual resource use for an individual LTCH because the variation in charges due to systematic differences in the markup of charges among LTCHs is taken into account.
e. Treatment of Severity Levels in Developing the MS-LTC-DRG Relative Weights
For purposes of determining the MS-LTC-DRG relative weights, under our historical methodology, there are three different categories of MS-DRGs based on volume of cases within specific MS-LTC-DRGs. MS-LTC-DRGs with at least 25 cases are each assigned a unique relative weight; low-volume MS-LTC-DRGs (that is, MS-LTC-DRGs that contain between 1 and 24 cases based on a given year's claims data) are grouped into quintiles (as described below) and assigned the relative weight of the quintile. No-volume MS-LTC-DRGs (that is, no cases in the given year's claims data are assigned to those MS-LTC-DRGs) are cross-walked to other MS-LTC-DRGs based on the clinical similarities and assigned the relative weight of the cross-walked MS-LTC-DRG (as described in greater detail below). As we proposed, we are continuing to utilize these same three categories of MS-LTC-DRGs for purposes of the treatment of severity levels in determining the MS-LTC-DRG relative weights for FY 2014. (We provide in-depth discussions of our policy regarding weight-setting for low-volume MS-LTC-DRGs in section VIII.B.3.f. of the preamble of this final rule and for no-volume MS-LTC-DRGs, under Step 5 in section VIII.B.3.g. of this preamble.)
Furthermore, in determining the FY 2014 MS-LTC-DRG relative weights, when necessary, as we proposed, we are making adjustments to account for nonmonotonicity, as discussed in greater detail below in Step 6 of section VIII.B.3.g. of this preamble. We refer readers to the discussion in the FY 2010 IPPS/RY 2010 LTCH PPS final rule for our rationale for including an adjustment for nonmonotonicity (74 FR 43953 through 43954).
f. Low-Volume MS-LTC-DRGs
In order to account for MS-LTC-DRGs with low volume (that is, with fewer than 25 LTCH cases), consistent with our existing methodology for purposes of determining the FY 2014 MS-LTC-DRG relative weights, as we proposed, we are continuing to employ the quintile methodology for low-volume MS-LTC-DRGs, such that we group the “low-volume MS-LTC-DRGs” (that is, MS-LTC-DRGs that contained between 1 and 24 cases annually) into one of five categories (quintiles) based on average charges (67 FR 55984 through 55995 and 72 FR 47283 through 47288). In determining the FY 2014 MS-LTC-DRG relative weights in this final rule, in cases where the initial assignment of a low-volume MS-LTC-DRG to quintiles results in nonmonotonicity within a base-DRG, in order to ensure appropriate Medicare payments, consistent with our historical methodology, as we proposed, we are making adjustments to the treatment of low-volume MS-LTC-DRGs to preserve monotonicity, as discussed in detail below in section VIII.B.3.g. (Step 6) of this preamble.
In this final rule, using LTCH cases from the March 2013 update of the FY 2012 MedPAR file (which is currently the best available data), we identified 281 MS-LTC-DRGs that contained between 1 and 24 cases. This list of MS-LTC-DRGs was then divided into one of the 5 low-volume quintiles, each containing 56 MS-LTC-DRGs (281/5 = 56 with one MS-LTC-DRG as the remainder). As we proposed, we assigned a low-volume MS-LTC-DRG to a specific low-volume quintile by sorting the low-volume MS-LTC-DRGs in ascending order by average charge in accordance with our established methodology. Based on the data available for this final rule, the number of MS-LTC-DRGs with less than 25 cases is not evenly divisible by 5. Therefore, as noted in the proposed rule, consistent with our historical approach, we used the average charge of the low-volume quintile to determine which of the low-volume quintiles contain the additional low-volume MS-LTC-DRG. Specifically for this final rule, after organizing the MS-LTC-DRGs by ascending order by average charge, as we proposed, we assigned the first fifth (1st through 56th) of low-volume MS-LTC-DRGs (with the lowest average charge) into Quintile 1. The MS-LTC-DRGs with the highest average charge cases were assigned into Quintile 5. Because the average charge of the 57th low-volume MS-LTC-DRG in the sorted list was closer to the average charge of the 56th low-volume MS-LTC-DRG (assigned to Quintile 1) than to the average charge of the 58th low-volume MS-LTC-DRG (assigned to Quintile 3), we assigned it to Quintile 1 (such that Quintile 1 contains 57 low-volume MS- LTC-DRGs before any adjustments for nonmonotonicity, as discussed below). This resulted in 4 of the 5 low-volume quintiles containing 56 MS-LTC-DRGs (Quintiles 2, 3, 4 and 5) and the other low-volume quintile containing 57 MS-LTC-DRGs (Quintile 5). Table 13A, which is listed in section VI. of the Addendum to this final rule and is available via the Internet, lists the composition of the low-volume quintiles for MS-LTC-DRGs for FY 2014.
Accordingly, in order to determine the FY 2014 relative weights for the MS-LTC-DRGs with low volume, as we proposed, we are using the five low-volume quintiles described above. We determined a relative weight and (geometric) average length of stay for each of the five low-volume quintiles using the methodology that we applied to the MS-LTC-DRGs (25 or more cases), as described below in section VIII.B.3.g. of this preamble. As we proposed, we assigned the same relative weight and average length of stay to each of the low-volume MS-LTC-DRGs that make up an individual low-volume quintile. We note that, as this system is dynamic, it is possible that the number and specific type of MS-LTC-DRGs with a low volume of LTCH cases will vary in the future.
Furthermore, we note that we will continue to monitor the volume (that is, the number of LTCH cases) in the low-volume quintiles to ensure that our quintile assignments used in determining the MS-LTC-DRG relative weights result in appropriate payment for such cases and do not result in an unintended financial incentive for LTCHs to inappropriately admit these types of cases.
g. Steps for Determining the FY 2014 MS-LTC-DRG Relative Weights
In this final rule, as we proposed, we determined the FY 2014 MS-LTC-DRG relative weights based on our existing methodology. (For additional information on the original development of this methodology, and modifications to it since the adoption of the MS-LTC-DRGs, we refer readers to the August 30, 2002 LTCH PPS final rule (67 FR 55989 through 55995) and the FY 2010 IPPS/RY 2010 LTCH PPS final rule (74 FR 43951 through 43966).) In summary, to determine the FY 2014 MS-LTC-DRG relative weights, we grouped LTCH cases to the appropriate MS-LTC-DRG, while taking into account the low-volume quintile (as described above). After grouping the cases to the appropriate MS-LTC-DRG (or low-volume quintile), we calculated the FY 2014 relative weights by first removing statistical outliers and cases with a length of stay of 7 days or less (Steps 1 and 2 below). Next, we adjusted the number of cases in each MS-LTC-DRG (or low-volume quintile) for the effect of SSO cases (Step 3 below). After removing statistical outliers (Step 1 below) and cases with a length of stay of 7 days or less (Step 2 below), the SSO adjusted discharges and corresponding charges were then used to calculate “relative adjusted weights” for each MS-LTC-DRG (or low-volume quintile) using the HSRV method.
Below we discuss in detail the steps for calculating the FY 2014 MS-LTC-DRG relative weights. We note that, as we discussed in section VIII.B.3.c. of this preamble, we excluded the data of all-inclusive rate LTCHs, LTCHs that are paid in accordance with demonstration projects, and any Medicare Advantage claims in the March 2013 update of the FY 2012 MedPAR file.
Step 1—Remove statistical outliers.
The first step in the calculation of the FY 2014 MS-LTC-DRG relative weights is to remove statistical outlier cases. Consistent with our historical relative weight methodology, as we proposed, we are continuing to define statistical outliers as cases that are outside of 3.0 standard deviations from the mean of the log distribution of both charges per case and the charges per day for each MS-LTC-DRG. These statistical outliers are removed prior to calculating the relative weights because we believe that they may represent aberrations in the data that distort the measure of average resource use. Including those LTCH cases in the calculation of the relative weights could result in an inaccurate relative weight that does not truly reflect relative resource use among the MS-LTC-DRGs. (For additional information on this step of the relative weight methodology, we refer readers to 67 FR 55989 and 74 FR 43959.)
Step 2—Remove cases with a length of stay of 7 days or less.
The MS-LTC-DRG relative weights reflect the average of resources used on representative cases of a specific type. Generally, cases with a length of stay of 7 days or less do not belong in a LTCH because these stays do not fully receive or benefit from treatment that is typical in a LTCH stay, and full resources are often not used in the earlier stages of admission to a LTCH. If we were to include stays of 7 days or less in the computation of the FY 2014 MS-LTC-DRG relative weights, the value of many relative weights would decrease and, therefore, payments would decrease to a level that may no longer be appropriate. We do not believe that it would be appropriate to compromise the integrity of the payment determination for those LTCH cases that actually benefit from and receive a full course of treatment at a LTCH by including data from these very short stays. Therefore, consistent with our historical relative weight methodology, in determining the FY 2014 MS-LTC-DRG relative weights, as we proposed, we removed LTCH cases with a length of stay of 7 days or less. (For additional information on this step of the relative weight methodology, we refer readers to 67 FR 55989 and 74 FR 43959.)
Step 3—Adjust charges for the effects of SSOs.
After removing cases with a length of stay of 7 days or less, we were left with cases that have a length of stay of greater than or equal to 8 days. As the next step in the calculation of the FY 2014 MS-LTC-DRG relative weights, consistent with our historical relative weight methodology, as we proposed, we adjusted each LTCH's charges per discharge for those remaining cases for the effects of SSOs (as defined in § 412.529(a) in conjunction with § 412.503).
As we proposed, we made this adjustment by counting an SSO case as a fraction of a discharge based on the ratio of the length of stay of the case to the average length of stay for the MS-LTC-DRG for non-SSO cases. This has the effect of proportionately reducing the impact of the lower charges for the SSO cases in calculating the average charge for the MS-LTC-DRG. This process produces the same result as if the actual charges per discharge of an SSO case were adjusted to what they would have been had the patient's length of stay been equal to the average length of stay of the MS-LTC-DRG.
Counting SSO cases as full discharges with no adjustment in determining the FY 2014 MS-LTC-DRG relative weights would lower the FY 2014 MS-LTC-DRG relative weight for affected MS-LTC-DRGs because the relatively lower charges of the SSO cases would bring down the average charge for all cases within an MS-LTC-DRG. This would result in an “underpayment” for non-SSO cases and an “overpayment” for SSO cases. Therefore, we are adjusting for SSO cases under § 412.529 in this manner because it results in more appropriate payments for all LTCH cases. (For additional information on this step of the relative weight methodology, we refer readers to 67 FR 55989 and 74 FR 43959.)
Step 4—Calculate the FY 2014 MS-LTC-DRG relative weights on an iterative basis.
Consistent with our historical relative weight methodology, as we proposed, we calculated the FY 2014 MS-LTC-DRG relative weights using the HSRV methodology, which is an iterative process. First, for each LTCH case, we calculated a hospital-specific relative charge value by dividing the SSO adjusted charge per discharge (see Step 3) of the LTCH case (after removing the statistical outliers (see Step 1) and LTCH cases with a length of stay of 7 days or less (see Step 2)) by the average charge per discharge for the LTCH in which the case occurred. The resulting ratio was then multiplied by the LTCH's case-mix index to produce an adjusted hospital-specific relative charge value for the case. An initial case-mix index value of 1.0 was used for each LTCH.
For each MS-LTC-DRG, we calculated the FY 2014 relative weight by dividing the average of the adjusted hospital-specific relative charge values (from above) for the MS-LTC-DRG by the overall average hospital-specific relative charge value across all cases for all LTCHs. Using these recalculated MS-LTC-DRG relative weights, each LTCH's average relative weight for all of its cases (that is, its case-mix) is calculated by dividing the sum of all the LTCH's MS-LTC-DRG relative weights by its total number of cases. The LTCHs' hospital-specific relative charge values (from above) were then multiplied by the hospital-specific case-mix indexes. The hospital-specific case-mix adjusted relative charge values were then used to calculate a new set of MS-LTC-DRG relative weights across all LTCHs. This iterative process was continued until there was convergence between the weights produced at adjacent steps, for example, when the maximum difference was less than 0.0001.
Step 5—Determine a FY 2014 relative weight for MS-LTC-DRGs with no LTCH cases.
As we stated above, we determined the FY 2014 relative weight for each MS-LTC-DRG using total Medicare allowable total charges reported in the best available LTCH claims data (that is, the March 2013 update of the FY 2012 MedPAR file for this final rule). Using these data, we identified the MS-LTC-DRGs for which there were no LTCH cases in the database, such that no patients who would have been classified to those MS-LTC-DRGs were treated in LTCHs during FY 2012 and, therefore, no charge data were available for these MS-LTC-DRGs. Therefore, in the process of determining the MS-LTC-DRG relative weights, we were unable to calculate relative weights for the MS-LTC-DRGs with no LTCH cases using the methodology described in Steps 1 through 4 above. However, because patients with a number of the diagnoses under these MS-LTC-DRGs may be treated at LTCHs, consistent with our historical methodology, as we proposed, we assigned a relative weight to each of the no-volume MS-LTC-DRGs based on clinical similarity and relative costliness (with the exception of “transplant” MS-LTC-DRGs and “error” MS-LTC-DRGs, as discussed below). (For additional information on this step of the relative weight methodology, we refer readers to 67 FR 55991 and 74 FR 43959 through 43960.)
In general, we determined FY 2014 relative weights for the MS-LTC-DRGs with no LTCH cases in the March 2013 update of the FY 2012 MedPAR file used in this final rule (that is, “no-volume” MS-LTC-DRGs) by cross-walking each no-volume MS-LTC-DRG to another MS-LTC-DRG with a calculated relative weight (determined in accordance with the methodology described above). Then, the “no-volume” MS-LTC-DRG was assigned the same relative weight (and average length of stay) of the MS-LTC-DRG to which it was cross-walked (as described in greater detail below).
Of the 751 MS-LTC-DRGs for FY 2014, we identified 235 MS-LTC-DRGs for which there are no LTCH cases in the database (including the 8 “transplant” MS-LTC-DRGs and 2 “error” MS-LTC-DRGs). As stated above, we assigned relative weights for each of the 235 no-volume MS-LTC-DRGs (with the exception of the 8 “transplant” MS-LTC-DRGs and the 2 “error” MS-LTC-DRGs, which are discussed below) based on clinical similarity and relative costliness to one of the remaining 516 (751 − 235= 516) MS-LTC-DRGs for which we were able to determine relative weights based on FY 2012 LTCH claims data using the steps described above. (For the remainder of this discussion, we refer to the “cross-walked” MS-LTC-DRGs as the MS-LTC-DRGs to which we crosswalked one of the 235 “no volume” MS-LTC-DRGs, with the exception of the 8 “transplant” MS-LTC-DRGs and the 2 “error” MS-LTC-DRGs, for purposes of determining a relative weight.) Then, we assigned the no-volume MS-LTC-DRG the relative weight of the cross-walked MS-LTC-DRG. (As explained below in Step 6, when necessary, we made adjustments to account for nonmonotonicity.)
For this final rule, we cross-walked the no-volume MS-LTC-DRG to a MS-LTC-DRG for which there were LTCH cases in the March 2013 update of the FY 2012 MedPAR file, and to which it was similar clinically in intensity of use of resources and relative costliness as determined by criteria such as care provided during the period of time surrounding surgery, surgical approach (if applicable), length of time of surgical procedure, postoperative care, and length of stay. We evaluated the relative costliness in determining the applicable MS-LTC-DRG to which a no-volume MS-LTC-DRG was cross-walked in order to assign an appropriate relative weight for the no-volume MS-LTC-DRGs in FY 2014. (For more details on our process for evaluating relative costliness, we refer readers to the FY 2010 IPPS/RY 2010 LTCH PPS final rule (73 FR 48543).) We believe in the rare event that there would be a few LTCH cases grouped to one of the no-volume MS-LTC-DRGs in FY 2014, the relative weights assigned based on the cross-walked MS-LTC-DRGs would result in an appropriate LTCH PPS payment because the crosswalks, which are based on similar clinical similarity and relative costliness, generally require equivalent relative resource use.
We then assigned the relative weight of the cross-walked MS-LTC-DRG as the relative weight for the no-volume MS-LTC-DRG such that both of these MS-LTC-DRGs (that is, the no-volume MS-LTC-DRG and the cross-walked MS-LTC-DRG) have the same relative weight for FY 2014. We note that if the cross-walked MS-LTC-DRG had 25 cases or more, its relative weight, which was calculated using the methodology described in Steps 1 through 4 above, was assigned to the no-volume MS-LTC-DRG as well. Similarly, if the MS-LTC-DRG to which the no-volume MS-LTC-DRG was cross-walked had 24 or less cases and, therefore, was designated to one of the low-volume quintiles for purposes of determining the relative weights, we assigned the relative weight of the applicable low-volume quintile to the no-volume MS-LTC-DRG such that both of these MS-LTC-DRGs (that is, the no-volume MS-LTC-DRG and the cross-walked MS-LTC-DRG) have the same relative weight for FY 2014. (As we noted above, in the infrequent case where nonmonotonicity involving a no-volume MS-LTC-DRG resulted, additional adjustments as described in Step 6 were required in order to maintain monotonically increasing relative weights.)
For this final rule, a list of the no-volume MS-LTC-DRGs and the MS-LTC-DRGs to which each was cross-walked (that is, the cross-walked MS-LTC-DRGs) for FY 2014 is shown in Table 13B, which is listed in section VI. of the Addendum to this final rule and is available via the Internet.
To illustrate this methodology for determining the relative weights for the FY 2014 MS-LTC-DRGs with no LTCH cases, we are providing the following example, which refers to the no-volume MS-LTC-DRGs crosswalk information for FY 2014 provided in Table 13B.
Example: There were no cases in the FY 2012 MedPAR file used for this final rule for MS-LTC-DRG 61 (Acute Ischemic Stroke with Use of Thrombolytic Agent with MCC). We determined that MS-LTC-DRG 70 (Nonspecific Cerebrovascular Disorders with MCC) was similar clinically and based on resource use to MS-LTC-DRG 61. Therefore, we assigned the same relative weight of MS-LTC-DRG 70 of 0.8212 for FY 2014 to MS-LTC-DRG 61 (obtained from Table 11, which is listed in section VI. of the Addendum to this final rule and is available via the Internet).
Again, we note that, as this system is dynamic, it is entirely possible that the number of MS-LTC-DRGs with no volume of LTCH cases based on the system will vary in the future. We used the most recent available claims data in the MedPAR file to identify no-volume MS-LTC-DRGs and to determine the relative weights in this final rule.
Furthermore, for FY 2014, consistent with our historical relative weight methodology, as we proposed, we are establishing the MS-LTC-DRG relative weight of 0.0000 for the following transplant MS-LTC-DRGs: Heart Transplant or Implant of Heart Assist System with MCC (MS-LTC-DRG 1); Heart Transplant or Implant of Heart Assist System without MCC (MS-LTC-DRG 2); Liver Transplant with MCC or Intestinal Transplant (MS-LTC-DRG 5); Liver Transplant without MCC (MS-LTC-DRG 6); Lung Transplant (MS-LTC-DRG 7); Simultaneous Pancreas/Kidney Transplant (MS-LTC-DRG 8); Pancreas Transplant (MS-LTC-DRG 10); and Kidney Transplant (MS-LTC-DRG 652). This is because Medicare will only cover these procedures if they are performed at a hospital that has been certified for the specific procedures by Medicare and presently no LTCH has been so certified. At the present time, we include these eight transplant MS-LTC-DRGs in the GROUPER program for administrative purposes only. Because we use the same GROUPER program for LTCHs as is used under the IPPS, removing these MS-LTC-DRGs would be administratively burdensome. (For additional information regarding our treatment of transplant MS-LTC-DRGs, we refer readers to the RY 2010 LTCH PPS final rule (74 FR 43964).)
Step 6—Adjust the FY 2014 MS-LTC-DRG relative weights to account for nonmonotonically increasing relative weights.
As discussed earlier in this section, the MS-DRGs contain base DRGs that have been subdivided into one, two, or three severity of illness levels. Where there are three severity levels, the most severe level has at least one secondary diagnosis code that is referred to as an MCC (that is, major complication or comorbidity). The next lower severity level contains cases with at least one secondary diagnosis code that is a CC (that is, complication or comorbidity). Those cases without an MCC or a CC are referred to as “without CC/MCC.” When data do not support the creation of three severity levels, the base MS-DRG is subdivided into either two levels or the base MS-DRG is not subdivided. The two-level subdivisions could consist of the MS-DRG with CC/MCC and the MS-DRG without CC/MCC. Alternatively, the other type of two-level subdivision may consist of the MS-DRG with MCC and the MS-DRG without MCC.
In those base MS-LTC-DRGs that are split into either two or three severity levels, cases classified into the “without CC/MCC” MS-LTC-DRG are expected to have a lower resource use (and lower costs) than the “with CC/MCC” MS-LTC-DRG (in the case of a two-level split) or both the “with CC” and the “with MCC” MS-LTC-DRGs (in the case of a three-level split). That is, theoretically, cases that are more severe typically require greater expenditure of medical care resources and will result in higher average charges. Therefore, in the three severity levels, relative weights should increase by severity, from lowest to highest. If the relative weights decrease as severity increases (that is, if within a base MS-LTC-DRG, an MS-LTC-DRG with CC has a higher relative weight than one with MCC, or the MS-LTC-DRG “without CC/MCC” has a higher relative weight than either of the others), they are nonmonotonic. We continue to believe that utilizing nonmonotonic relative weights to adjust Medicare payments would result in inappropriate payments because the payment for the cases in the higher severity level in a base MS-LTC-DRG (which are generally expected to have higher resource use and costs) would be lower than the payment for cases in a lower severity level within the same base MS-LTC-DRG (which are generally expected to have lower resource use and costs). Consequently, in determining the FY 2014 MS-LTC-DRG relative weights in this final rule, consistent with our historical methodology, as we proposed, we combined MS-LTC-DRG severity levels within a base MS-LTC-DRG for the purpose of computing a relative weight when necessary to ensure that monotonicity was maintained. For a comprehensive description of our existing methodology to adjust for nonmonotonicity, we refer readers to the FY 2010 IPPS/RY 2010 LTCH PPS final rule (74 FR 43964 through 43966). Any adjustments for nonmonotonicity that were made in determining the FY 2014 MS-LTC-DRG relative weights in this final rule by applying this methodology are denoted in Table 11, which is listed in section VI. of the Addendum to this final rule and is available via the Internet.
Step 7—Calculate the FY 2014 budget neutrality factor.
In accordance with the regulations at § 412.517(b) (in conjunction with § 412.503), the annual update to the MS-LTC-DRG classifications and relative weights is done in a budget neutral manner such that estimated aggregate LTCH PPS payments would be unaffected, that is, would be neither greater than nor less than the estimated aggregate LTCH PPS payments that would have been made without the MS-LTC-DRG classification and relative weight changes. (For a detailed discussion on the establishment of the budget neutrality requirement for the annual update of the MS-LTC-DRG classifications and relative weights, we refer readers to the RY 2008 LTCH PPS final rule (72 FR 26881 and 26882).)
The MS-LTC-DRG classifications and relative weights are updated annually based on the most recent available LTCH claims data to reflect changes in relative LTCH resource use (§ 412.517(a) in conjunction with § 412.503). Under the budget neutrality requirement at § 412.517(b), for each annual update, the MS-LTC-DRG relative weights are uniformly adjusted to ensure that estimated aggregate payments under the LTCH PPS would not be affected (that is, decreased or increased). Consistent with that provision, as we proposed, we updated the MS-LTC-DRG classifications and relative weights for FY 2014 based on the most recent available LTCH data, and applied a budget neutrality adjustment in determining the FY 2014 MS-LTC-DRG relative weights.
To ensure budget neutrality in the update to the MS-LTC-DRG classifications and relative weights under § 412.517(b), as we proposed, we are continuing to use our established two-step budget neutrality methodology. In this final rule, in the first step of our MS-LTC-DRG budget neutrality methodology, for FY 2014, we calculated and applied a normalization factor to the recalibrated relative weights (the result of Steps 1 through 6 above) to ensure that estimated payments were not influenced by changes in the composition of case types or the changes to the classification system. That is, the normalization adjustment is intended to ensure that the recalibration of the MS-LTC-DRG relative weights (that is, the process itself) neither increases nor decreases the average CMI.
To calculate the normalization factor for FY 2014 (the first step of our budget neutrality methodology), we used the following three steps: (1.a.) we used the most recent available LTCH claims data (FY 2012) and grouped them using the FY 2014 GROUPER (Version 31.0) and the recalibrated FY 2014 MS-LTC-DRG relative weights (determined in steps 1 through 6 of the Steps for Determining the FY 2014 MS-LTC-DRG Relative Weights above) to calculate the average CMI; (1.b.) we grouped the same LTCH claims data (FY 2012) using the FY 2013 GROUPER (Version 30.0) and FY 2013 MS-LTC-DRG relative weights and calculated the average CMI; and (1.c.) we computed the ratio of these average CMIs by dividing the average CMI for FY 2013 (determined in Step 1.b.) by the average CMI for FY 2014 (determined in Step 1.a.). In determining the MS-LTC-DRG relative weights for FY 2014, each recalibrated MS-LTC-DRG relative weight was multiplied by 1.11579 (determined in Step 1.c.) in the first step of the budget neutrality methodology, which produced “normalized relative weights.”
In the second step of our MS-LTC-DRG budget neutrality methodology, we determined a budget neutrality factor to ensure that estimated aggregate LTCH PPS payments (based on the most recent available LTCH claims data) after reclassification and recalibration (that is, the FY 2014 MS-LTC-DRG classifications and relative weights) are equal to estimated aggregate LTCH PPS payments before reclassification and recalibration (that is, the FY 2013 MS-LTC-DRG classifications and relative weights). Accordingly, consistent with our existing methodology, we used FY 2012 discharge data to simulate payments and compared estimated aggregate LTCH PPS payments using the FY 2013 MS-LTC-DRGs and relative weights to estimate aggregate LTCH PPS payments using the FY 2014 MS-LTC-DRGs and relative weights. Specifically, for this final rule, as discussed previously in section VIII.B.3.c. of this preamble, we used LTCH claims data from the March 2013 update of the FY 2012 MedPAR file, as these are the best available data at this time.
For this final rule, we determined the FY 2014 budget neutrality adjustment factor using the following three steps: (2.a.) we simulated estimated total LTCH PPS payments using the normalized relative weights for FY 2014 and GROUPER Version 31.0 (as described above); (2.b.) we simulated estimated total LTCH PPS payments using the FY 2013 GROUPER (Version 30.0) and the FY 2013 MS-LTC-DRG relative weights in Table 11 of the Addendum to the FY 2013 IPPS/LTCH PPS final rule available on the Internet (76 FR 53716); and (2.c.) we calculated the ratio of these estimated total LTCH PPS payments by dividing the estimated total LTCH PPS payments using the FY 2013 GROUPER (Version 30.0) and the FY 2013 MS-LTC-DRG relative weights (determined in Step 2.b.) by the estimated total LTCH PPS payments using the FY 2014 GROUPER (Version 31.0) and the normalized MS-LTC-DRG relative weights for FY 2014 (determined in Step 2.a.). In determining the FY 2014 MS-LTC-DRG relative weights, each normalized relative weight was multiplied by a budget neutrality factor of 0.9955629 (determined in Step 2.c.) in the second step of the budget neutrality methodology to determine the budget neutral FY 2014 relative weight for each MS-LTC-DRG.
Accordingly, in determining the FY 2014 MS-LTC-DRG relative weights in this final rule, consistent with our existing methodology, we applied a normalization factor of 1.11579 and a budget neutrality factor of 0.9955629 (computed as described above). Table 11, which is listed in section VI. of the Addendum to this final rule and is available via the Internet, lists the MS-LTC-DRGs and their respective relative weights, geometric mean length of stay, five-sixths of the geometric mean length of stay (used to identify SSO cases under § 412.529(a)), and the “IPPS Comparable Thresholds” (used in determining SSO payments under § 412.529(c)(3)), for FY 2014 (and reflect both the normalization factor of 1.11579 and the budget neutrality factor of 0.9955629).
C. LTCH PPS Payment Rates for FY 2014
1. Overview of Development of the LTCH Payment Rates
The basic methodology for determining LTCH PPS Federal prospective payment rates is set forth at § 412.515 through § 412.536. In this section, we discuss the factors that we used to update the LTCH PPS standard Federal rate for FY 2014, that is, effective for LTCH discharges occurring on or after October 1, 2013 through September 30, 2014.
For further details on the development of the FY 2003 standard Federal rate when the LTCH PPS was initially implemented, we refer readers to the August 30, 2002 LTCH PPS final rule (67 FR 56027 through 56037). For subsequent updates to the LTCH PPS standard Federal rate as implemented under § 412.523(c)(3), we refer readers to the following final rules: RY 2004 LTCH PPS final rule (68 FR 34134 through 34140); RY 2005 LTCH PPS final rule (68 FR 25682 through 25684); RY 2006 LTCH PPS final rule (70 FR 24179 through 24180); RY 2007 LTCH PPS final rule (71 FR 27819 through 27827); RY 2008 LTCH PPS final rule (72 FR 26870 through 27029); RY 2009 LTCH PPS final rule (73 FR 26800 through 26804); FY 2010 IPPS/RY 2010 LTCH PPS final rule (74 FR 44021 through 44030); FY 2011 IPPS/LTCH PPS final rule (75 FR 50443 through 50444); FY 2012 IPPS/LTCH PPS final rule (76 FR 51769 through 51773); and FY 2013 IPPS/LTCH PPS final rule (77 FR 53479 through 53481).
The update to the LTCH PPS standard Federal rate for FY 2014 is presented in section V.A. of the Addendum to this final rule. The components of the annual market basket update to the LTCH PPS standard Federal rate for FY 2014 are discussed below, including the reduction to the annual update for LTCHs that fail to submit quality reporting data for fiscal year FY 2014 as required by the statute (as discussed below in section VIII.C.2.c. of this preamble). Furthermore, as discussed below in section VIII.C.3. of this preamble, for FY 2014, in addition to the update factor, under the second year of the 3-year phase-in under the current regulations at § 412.523(d)(3), as we proposed, we made a one-time prospective adjustment to the standard Federal rate for FY 2014 so that the effect of any significant difference between the data used in the original computations of budget neutrality for FY 2003 and more recent data to determine budget neutrality for FY 2003 is not perpetuated in the prospective payment rates for future years . In addition, as discussed in section V.A. of the Addendum of this final rule, as we proposed, we made an adjustment to the standard Federal rate to account for the estimated effect of the changes to the area wage level adjustment for FY 2014 on estimated aggregate LTCH PPS payments, in accordance with § 412.523(d)(4). (We refer readers to the discussion of the reduction to the annual update for LTCHs that fail to submit quality reporting data in section VIII.C.2.c. of this preamble, the application of the one-time prospective adjustment under the second year of the 3-year phase-in in section VIII.C.3. of this preamble, and the budget neutrality adjustment for changes in the area wage levels in section V.A. of the Addendum of this final rule.)
2. FY 2014 LTCH PPS Annual Market Basket Update
a. Overview
Historically, the Medicare program has used a market basket to account for price increases in the services furnished by providers. The market basket used for the LTCH PPS includes both operating and capital-related costs of LTCHs because the LTCH PPS uses a single payment rate for both operating and capital-related costs. As discussed in the FY 2013 IPPS/LTCH PPS final rule (77 FR 53468 through 53476), we adopted the newly created FY 2009-based LTCH-specific market basket for use under the LTCH PPS beginning in FY 2013. For additional details on the historical development of the market basket used under the LTCH PPS, we refer readers to the FY 2013 IPPS/LTCH PPS final rule (77 FR 53467 through 53468) and this preamble.
Section 3401(c) of the Affordable Care Act provides for certain adjustments to any annual update to the standard Federal rate and refers to the timeframes associated with such adjustments as a “rate year” (which are discussed in more detail in section VIII.C.2.b. of this preamble.) We note that because the annual update to the LTCH PPS policies, rates, and factors now occurs on October 1, we adopted the term “fiscal year” (FY) rather than “rate year” (RY) under the LTCH PPS beginning October 1, 2010, to conform with the standard definition of the Federal fiscal year (October 1 through September 30) used by other PPSs, such as the IPPS (75 FR 50396 through 50397). Although the language of sections 3004(a) 3401(c), 10319, and 1105(b) of the Affordable Care Act refers to years 2010 and thereafter under the LTCH PPS as “rate year,” consistent with our change in the terminology used under the LTCH PPS from “rate year” to “fiscal year,” for purposes of clarity, when discussing the annual update for the LTCH PPS, including the provisions of the Affordable Care Act, we use “fiscal year” rather than “rate year” for 2011 and subsequent years.
b. Revision of Certain Market Basket Updates as Required by the Affordable Care Act
Section 1886(m)(3)(A) of the Act, as added by section 3401(c) of the Affordable Care Act, specifies that, for rate year 2010 and each subsequent rate year through 2019, any annual update to the standard Federal rate shall be reduced:
- For rate year 2010 through 2019, by the “other adjustment” specified in sections 1886(m)(3)(A)(ii) and (m)(4) of the Act; and
- For rate year 2012 and each subsequent year, by the productivity adjustment (which we refer to as “the multifactor productivity (MFP) adjustment”) described in section 1886(b)(3)(B)(xi)(II) of the Act.
Section 1886(m)(3)(B) of the Act provides that the application of paragraph (3) of section 1886(m) of the Act may result in the annual update being less than zero for a rate year, and may result in payment rates for a rate year being less than such payment rates for the preceding rate year.
Section 1886(b)(3)(B)(xi)(II) of the Act defines the MFP adjustment as equal to the 10-year moving average of changes in annual economy-wide, private nonfarm business multifactor productivity (as projected by the Secretary for the 10-year period ending with the applicable fiscal year, calendar year, cost reporting period, or other annual period). Under our methodology, the end of the 10-year moving average of changes in the MFP coincides with the end of the appropriate FY update period. In addition, the MFP adjustment that is applied in determining any annual update to the LTCH PPS standard Federal rate is the same adjustment that is required to be applied in determining the applicable percentage increase under the IPPS under section 1886(b)(3)(B)(i) of the Act as they are both based on a fiscal year. The MFP adjustment is derived using a projection of MFP that is currently produced by IHS Global Insight, Inc. (For additional details on the development of the MFP adjustment and its application under the LTCH PPS, we refer readers to the FY 2012 IPPS/LTCH PPS final rule (76 FR 51691 through 51692 and 51770 through 51771).)
For FY 2014, as we proposed, we are continuing to use our methodology for calculating and applying the MFP adjustment to determine the annual update to the LTCH PPS standard Federal rate for FY 2014. (For details on the development of the MFP adjustment, including our finalized methodology for calculating and applying the MFP adjustment, we refer readers to the FY 2012 IPPS/LTCH PPS final rule (76 FR 51689 through 51692).)
c. Adjustment to the Annual Update to the LTCH PPS Standard Federal Rate under the Long-Term Care Hospital Quality Reporting (LTCHQR) Program
1. Background
In accordance with section 1886(m)(5) of the Act, as added by section 3004(a) of the Affordable Care Act, the Secretary established the Long-Term Care Hospital Quality Reporting (LTCHQR) Program. (As noted above, although the language of section 3004(a) of the Affordable Care Act refers to years 2011 and thereafter under the LTCH PPS as “rate year,” consistent with our change in the terminology used under the LTCH PPS from “rate year” to “fiscal year,” for purposes of clarity, when discussing the annual update for the LTCH PPS, including the provisions of the Affordable Care Act, we use “fiscal year” rather than “rate year” for 2011 and subsequent years.) Under the LTCHQR Program, as required by section 1886(m)(5)(A)(i) of the Act, for FY 2014 and each subsequent year, in the case of an LTCH that does not submit quality reporting data to the Secretary in accordance with section 1886(m)(5)(C) of the Act with respect to such a year, any annual update to a standard Federal rate for discharges for the hospital during the year, and after application of section 1886(m)(3) of the Act, shall be reduced by 2.0 percentage points. Section 1886(m)(5)(A)(ii) of the Act provides that the application of the 2.0 percentage points reduction may result in an annual update that is less than 0.0 for a year, and may result in LTCH PPS payment rates for a year being less than such LTCH PPS payment rates for the preceding year. Furthermore, section 1886(m)(5)(B) of the Act specifies that the 2.0 percentage points reduction is applied in a noncumulative manner, such that any reduction made under section 1886(m)(5)(A) of the Act shall apply only with respect to the year involved, and shall not be taken into account in computing the LTCH PPS payment amount for a subsequent year.
Section 1886(m)(5)(D)(iii) of the Act requires the Secretary to publish the selected measures for the LTCHQR Program that will be applicable with respect to the FY 2014 payment determination no later than October 1, 2012. Under section 1886(m)(5)(D)(i) of the Act, the quality measures for the LTCHQR Program are measures selected by the Secretary that have been endorsed by an entity that holds a contract with the Secretary under section 1890(a) of the Act, unless section 1886(m)(5)(D)(ii) of the Act applies. This contract is currently held by the National Quality Forum (NQF). Section 1886(m)(5)(D)(ii) of the Act provides that an exception may be made in the case of a specified area or medical topic determined appropriate by the Secretary for which a feasible and practical measure has not been endorsed by the entity that holds a contract with the Secretary under section 1890(a) of the Act. In such a case, section 1886(m)(5)(D)(ii) of the Act authorizes the Secretary to specify a measure(s) that is not so endorsed, as long as due consideration is given to measures that have been endorsed or adopted by a consensus organization identified by the Secretary. The LTCHQR Program was implemented in section VII.C. of the FY 2012 IPPS/LTCH PPS final rule (76 FR 51743 through 51756). In that same final rule, as discussed in section IX.C. of the preamble of this final rule, we adopted the following three quality measures for the FY 2014 payment determination: Urinary Catheter-Associated Urinary Tract Infection (CAUTI) rate per 1, 000 urinary catheter days, for Intensive Care Unit Patients (NQF #013); Central Line Catheter-Associated Blood Stream Infection (CLABSI) Rate for ICU and High-Risk Nursery Patients (NQF #0139); and Percent of Residents with Pressure Ulcers That are New or Worsened (Application of NQF #0678). For additional discussion and details of the history of the LTCHQR Program, including the statutory authority and further details on the three measures previously finalized for the FY 2014 payment determination, we refer readers to section IX.C. of the preamble of this final rule and to the FY 2012 IPPS/LTCH PPS final rule (76 FR 51743 through 51756).
2. Reduction to the Annual Update to the LTCH PPS Standard Federal Rate Under the LTCHQR Program
Consistent with section 1886(m)(5)(A)(i) of the Act, for FY 2014 and subsequent fiscal years, we proposed that for LTCHs that do not submit quality reporting data under the LTCHQR Program with respect to such a fiscal year, any annual update to a standard Federal rate for discharges for the LTCH during the fiscal year and after application of the market basket update adjustments required by section 1886(m)(3) of the Act, would be further reduced by 2.0 percentage points. That is, in establishing an update to the LTCH PPS standard Federal rate for FY 2014 and subsequent fiscal years, the full LTCH PPS market basket increase estimate, subject to an adjustment based on changes in economy-wide productivity (“the MFP adjustment”) required under section 1886(m)(3)(A)(i) of the Act and an additional reduction required by sections 1886(m)(3)(A)(ii) and 1886(m)(4) of the Act, would be further reduced by 2.0 percentage points for LTCHs that fail to submit quality reporting data under the LTCHQR Program.
We did not receive any public comments on our proposed implementation of the requirements of section 1886(m)(5)(A)(i) of the Act, and are adopting that proposal as final, without modification. Accordingly, in this final rule, as we proposed, we are implementing the reduction in the annual update to the LTCH PPS standard Federal rate for failure to report quality data under the LTCHQR Program for FY 2014 and subsequent fiscal years under § 412.523(c)(4). Specifically, consistent with section 1886(m)(5)(A)(i) of the Act, under § 412.523(c)(4)(i), as we proposed, for an LTCH that does not submit quality reporting data in the form and manner and at the time specified by the Secretary under the LTCHQR Program, the annual update to the standard Federal rate under § 412.523(c)(3) is further reduced by 2.0 percentage points. (Note, as discussed previously in this section, the annual update to the standard Federal rate implemented under § 412.523(c)(3) reflects the application of the adjustments to any annual update as required by sections 1886(m)(3) and (m)(4) of the Act.) In addition, as we proposed, consistent with section 1886(m)(5)(A)(ii) of the Act, we are specifying under § 412.523(c)(4)(ii), that any reduction of the annual update to the standard Federal rate under § 412.523(c)(4)(i) will apply only to the fiscal year involved and would not be taken into account in computing the annual update to the standard Federal rate for a subsequent fiscal year. Lastly, consistent with section 1886(m)(5)(B) of the Act, under § 412.523(c)(4)(iii), as we proposed, the application of any reduction of the annual update to the standard Federal rate under § 412.523(c)(4)(i) may result in an annual update that is less than 0.0 percent for a fiscal year, and may result in payment rates for a fiscal year that would be less than such payment rates for the preceding rate year.
We also discuss this application of the 2.0 percentage point reduction under § 412.523(c)(4)(i) in our discussion of the annual market basket update to the LTCH PPS standard Federal rate for FY 2014 below in section VIII.C.2.e. of this preamble.
d. Market Basket under the LTCH PPS for FY 2014
Under the authority of section 123 of the BBRA as amended by section 307(b) of the BIPA, in the FY 2013 IPPS/LTCH PPS final rule (77 FR 53468), we adopted a newly created FY 2009-based LTCH-specific market basket for use under the LTCH PPS beginning in FY 2013. The FY 2009-based LTCH-specific market basket is based solely on the Medicare cost report data submitted by LTCHs and, therefore, specifically reflects the cost structures of only LTCHs. For additional details on the development of the FY 2009-based LTCH-specific market basket, we refer readers to the FY 2013 IPPS/LTCH PPS final rule (77 FR 53467 through 53476).
For FY 2014, as we proposed, we are continuing to use the FY 2009-based LTCH-specific market basket to update the LTCH PPS for FY 2014. We continue to believe that the FY 2009-based LTCH-specific market basket appropriately reflects the cost structure of LTCHs for the reasons discussed when we adopted the FY 2009-based LTCH-specific market basket for use under the LTCH PPS in the FY 2013 IPPS/LTCH PPS final rule (77 FR 53467 through 53476).
e. Annual Market Basket Update for LTCHs for FY 2014
Consistent with our historical practice, we proposed to estimate the market basket update and the MFP adjustment based on IGI's forecast using the most recent available data. Based on IGI's second quarter 2013 forecast, the FY 2014 full market basket estimate for the LTCH PPS using the FY 2009-based LTCH-specific market basket is 2.5 percent. Using our established methodology for determining the MFP adjustment, the current estimate of the MFP adjustment for FY 2014 based on IGI's second quarter 2013 forecast is 0.5 percent, as discussed in section V.A.1. of this preamble.
For FY 2014, section 1886(m)(3)(A)(i) of the Act requires that any annual update to the standard Federal rate be reduced by the productivity adjustment (“the MFP adjustment”) described in section 1886(b)(3)(B)(xi)(II) of the Act. Consistent with the statute, as we proposed, we reduced the full FY 2014 market basket update by the FY 2014 MFP adjustment. To determine the market basket update for LTCHs for FY 2014, as reduced by the MFP adjustment, consistent with our established methodology, as we proposed, we subtracted the FY 2014 MFP adjustment from the FY 2014 market basket update. Furthermore, sections 1886(m)(3)(A)(ii) and 1886(m)(4)(D) of the Act requires that any annual update to the standard Federal rate for FY 2014 be reduced by the “other adjustment” described in paragraph (4), which is 0.3 percentage point for FY 2014. Therefore, following application of the productivity adjustment, as we proposed, we reduced the adjusted market basket update (that is, the full market basket increase less the MFP adjustment) by the “other adjustment” specified by sections 1886(m)(3)(A)(ii) and 1886(m)(4) of the Act. (For additional details on our established methodology for adjusting the market basket increase by the MFP and the “other adjustment” required by the statute, we refer readers to the FY 2012 IPPS/LTCH PPS final rule (76 FR 51771).)
As discussed previously in section VIII.C.2.c. of this preamble, for FY 2014, section 1886(m)(5) of the Act requires that for LTCHs that do not submit quality reporting data under the LTCHQR Program, any annual update to a standard Federal rate, after application of the adjustments required by section 1886(m)(3) of the Act, is further reduced by 2.0 percentage points. Therefore, the update to the LTCH PPS standard Federal rate for FY 2014 for LTCHs that fail to submit quality reporting data under the LTCHQR Program, the full LTCH PPS market basket increase estimate, subject to an adjustment based on changes in economy-wide productivity (“the MFP adjustment”) as required under section 1886(m)(3)(A)(i) of the Act and an additional reduction required by sections 1886(m)(3)(A)(ii) and 1886(m)(4) of the Act, is also further reduced by 2.0 percentage points.
In this final rule, in accordance with the statute, we reduced the FY 2014 full market basket estimate of 2.5 percent (based on IGI's second quarter 2013 forecast of the FY 2009-based LTCH-specific market basket) by the FY 2014 MFP adjustment (that is, the 10-year moving average of MFP for the period ending FY 2014, as described in section V.A.1. of the preamble of this final rule) of 0.5 percentage point (based on IGI's second quarter 2013 forecast). Following application of the productivity adjustment, the adjusted market basket update of 2.0 percent (2.5 percent minus 0.5 percentage point) is then reduced by 0.3 percentage point, as required by sections 1886(m)(3)(A)(ii) and 1886(m)(4)(D) of the Act. Therefore, in this final rule, under the authority of section 123 of the BBRA as amended by section 307(b) of the BIPA, consistent with our proposal, we are establishing an annual market basket update under the LTCH PPS for FY 2014 of 1.7 percent (that is, the most recent estimate of the LTCH PPS market basket update at this time of 2.5 percent, less the MFP adjustment of 0.5 percentage point, and less the 0.3 percentage point required under section 1886(m)(4)(D) of the Act), provided the LTCH submits quality reporting data in accordance with section 1886(m)(5) of the Act (as discussed above in section VIII.C.2.c. of this preamble). Accordingly, consistent with our proposal, we are revising § 412.523(c)(3) by adding a new paragraph (x), which specifies that the standard Federal rate for FY 2014 is the standard Federal rate for the previous LTCH PPS year updated by 1.7 percent, and as further adjusted, as appropriate, as described in § 412.523(d). For LTCHs that fail to submit quality reporting data under the LTCHQR Program, under § 412.523(c)(3)(x) in conjunction with § 412.523(c)(4), as we proposed, we further reduce the annual update to the LTCH PPS standard Federal rate by 2.0 percentage points in accordance with section 1886(m)(5) of the Act (as discussed previously in section VIII.C.2.c. of this preamble). Accordingly, consistent with our proposal, we are establishing an annual update to the LTCH PPS standard Federal rate of -0.3 percent (that is, 1.7 percent minus 2.0 percentage points) for FY 2014 for LTCHs that fail to submit quality reporting data under the LTCHQR Program. (We note that, as we proposed, we are also adjusting the FY 2014 standard Federal rate by the application of the one-time prospective adjustment under the second year of the 3-year phase-in under § 412.523(d)(3) (discussed below in section VIII.C.3. of this preamble) and by an area wage level budget neutrality factor in accordance with § 412.523(d)(4) (as discussed in section V.B.5. of the Addendum of this final rule).)
3. Adjustment for the Second Year of the Phase-In of the One-Time Prospective Adjustment to the Standard Federal Rate under § 412.523(d)(3)
We set forth regulations implementing the LTCH PPS, based upon the broad authority granted to the Secretary, under section 123 of the BBRA (as amended by section 307(b) of the BIPA). Section 123(a)(1) of the BBRA required that the system “maintain budget neutrality” in the August 30, 2002 LTCH PPS final rule (67 FR 55954). The statutory budget neutrality requirement means that estimated aggregate payments under the LTCH PPS for FY 2003 would be equal to the estimated aggregate payments that would have been made if the LTCH PPS were not implemented for FY 2003. The methodology for determining the LTCH PPS standard Federal rate for FY 2003 that would “maintain budget neutrality” is described in considerable detail in the August 30, 2002 final rule (67 FR 56027 through 56037). Our methodology for estimating payments for the purposes of budget neutrality calculations used the best available data, and necessarily reflected several assumptions (for example, costs, inflation factors, and intensity of services provided) in estimating aggregate payments that would have been made if the LTCH PPS had not been implemented (without accounting for certain statutory provisions that affect the level of payments to LTCHs in years prior to the implementation of the LTCH PPS, as required by the statute).
In the August 30, 2002 final rule, we also stated our intentions to monitor LTCH PPS payment data to evaluate whether later data varied significantly from the data available at the time of the original budget neutrality calculations (for example, data related to inflation factors, intensity of services provided, or behavioral response to the implementation of the LTCH PPS). To the extent the later data significantly differed from the data employed in the original calculations, the aggregate amount of payments during FY 2003 based on later data may be higher or lower than the estimates upon which the budget neutrality calculations were based. Therefore, in that same final rule, under the broad authority conferred upon the Secretary in developing the LTCH PPS, including the authority for establishing appropriate adjustments, under section 123(a)(1) of the BBRA, as amended by section 307(b) of the BIPA, we provided in § 412.523(d)(3) of the regulations for the possibility of making a one-time prospective adjustment to the LTCH PPS rates, so that the effect of any significant difference between actual payments and estimated payments for the first year of the LTCH PPS would not be perpetuated in the LTCH PPS rates for future years. We refer readers to the FY 2013 IPPS/LTCH PPS final rule (77 FR 53487 through 53488) for a complete discussion of the history of the development of the one-time prospective adjustment to the LTCH PPS standard Federal rate at § 412.523(d)(3).
In the FY 2013 IPPS/LTCH PPS final rule (77 FR 53495), we finalized our policy to make a one-time prospective adjustment to the standard Federal rate so that it will be permanently reduced by approximately 3.75 percent to account for the estimated difference between projected aggregate FY 2003 LTCH PPS payments and the projected aggregate payments that would have been made in FY 2003 under the TEFRA payment system if the LTCH PPS had not been implemented. Specifically, using the methodology we adopted in that same final rule, we determined that permanently applying a factor of 0.9625 (that is, a permanent reduction of approximately 3.75 percent) to the standard Federal rate is necessary to ensure estimated total FY 2003 LTCH PPS payments equal estimated total FY 2003 TEFRA payments consistent with our stated policy goal of the one-time prospective adjustment under § 412.523(d)(3) (that is, to ensure that the difference between estimated total FY 2003 LTCH PPS payments and estimated total FY 2003 TEFRA payments is not perpetuated in the LTCH PPS payment rates in future years). (We refer readers to the FY 2013 IPPS/LTCH PPS final rule (77 FR 53487 through 53502) for a complete discussion of the evaluation approach, methodology, and determination of the one-time prospective adjustment to the LTCH PPS standard Federal rate at § 412.523(d)(3).)
Given the magnitude of this adjustment, in the FY 2013 IPPS/LTCH PPS final rule (77 FR 53501 through 53502), under § 412.523(d)(3), we established a policy to phase-in the permanent adjustment of 0.9625 to the standard Federal rate over a 3-year period. To achieve a permanent adjustment of 0.9625, under the phase-in of this adjustment, in that same final rule, we explained that we will apply a factor of 0.98734 to the standard Federal rate in each year of the 3-year phase-in, that is, in FY 2013 (which does not apply to payments for discharges occurring on or after October 1, 2012, and on or before December 28, 2012, consistent with current law), FY 2014, and FY 2015. By applying a permanent factor of 0.98734 to the standard Federal rate in each year for FYs 2013, 2014, and 2015, we will completely account for the entire adjustment by having applied a cumulative factor of 0.9625 (calculated as 0.98734 × 0.98734 × 0.98734 = 0.9625) to the standard Federal rate. Accordingly, in the FY 2014 IPPS/LTCH PPS proposed rule (78 FR 27668), in accordance with the existing regulations at § 412.523(d)(3), we proposed to apply a permanent factor of 0.98734 for FY 2014 to the standard Federal rate under the second year of the 3-year phase-in of the one-time prospective adjustment.
Comment: Several commenters reiterated the objections raised in response to the one-time prospective adjustment under § 412.523(d)(3) proposal presented in the FY 2013 IPPS/LTCH PPS proposed rule, and continued to assert that the adjustment is “unnecessary” or “overstated.” Specifically, some of these commenters asserted that the adjustment is “unnecessary” because they believed that the policy objective behind the one-time prospective adjustment has already been accomplished by other adjustments and payment policy changes under the LTCH PPS since its implementation in FY 2003. The commenters who believe that the adjustment is “overstated” maintained that CMS has not accounted for the change in the percentage of cases paid under the Federal (base) rate since FY 2003 when determining the adjustment necessary to ensure that the difference between estimated total FY 2003 LTCH PPS payments and estimated total FY 2003 TEFRA payments is not perpetuated in the LTCH PPS payment rates in future years. These commenters did not raise objections to CMS' finding that estimated FY 2003 LTCH PPS payments are 2.5 percent higher than estimated total FY 2003 TEFRA payments, but, based on their analysis, these commenters believed that only a 2.75 percent reduction to the current standard Federal rate (rather than the approximate 3.75 percent reduction determined by CMS) is necessary to reduce total current LTCH PPS spending by 2.5 percent because there are now more cases paid under the standard Federal rate today than there were in FY 2003 (approximately 70 percent of cases in FY 2012 compared to approximately 50 percent of cases in FY 2003). Therefore, these commenters suggested that CMS eliminate the one-time prospective adjustment, or correct the amount of the adjustment for the remaining 2 years of the existing 3-year phase-in (FYs 2014 and 2015). Other commenters supported our proposed continuation of the 3-year phase-in of the one-time prospective adjustment, if after further analysis we determine that the adjustment is necessary.
Response: We continue to disagree with the commenters that the one-time prospective adjustment under § 412.523(d)(3) of approximately 3.75 percent established in the FY 2013 IPPS/LTCH PPS proposed and final rules is “unnecessary” or “overstated.” As we explained in our responses to similar comments in the FY 2013 IPPS/LTCH PPS final rule (78 FR 53493 through 53494), the other payment policy changes and adjustments made since the implementation of the LTCH PPS were not made to address any budget neutrality requirement related to the initial implementation of the LTCH PPS, and do not serve as a substitute for the one-time prospective adjustment under § 412.523(d)(3). The policy changes and adjustments that have been made to the LTCH PPS since its inception are part and parcel of fine-tuning a new prospective payment system, and were made to address explicitly stated policy goals, none of which were duplicative of the stated purpose and end-result of the one-time prospective adjustment. The purpose of the one-time prospective adjustment under § 412.523(d)(3) is to ensure that any significant difference between estimated total FY 2003 LTCH PPS payments and estimated total FY 2003 TEFRA payments is not perpetuated in the LTCH PPS payment rates (that is, the standard Federal rate) in future years. Our policy has always been that the one-time prospective adjustment be applied to the standard Federal rate. Our policy objective in providing for this one-time prospective adjustment has always been to ensure that computations based on the earlier, necessarily limited (but at the time best available) data at the inception of the LTCH PPS would not be built permanently into the payment rates if data available at a later date could provide more accurate results. The intended goal of the one-time prospective adjustment is to establish the LTCH PPS standard Federal rate in a manner that results in bringing the LTCH PPS standard Federal rate to the level it would have been had the estimated total FY 2003 LTCH PPS payments been 2.5 percent lower. Our goal is not to reduce current total LTCH PPS spending by 2.5 percent, as mistakenly believed by some commenters. We continue to believe that the one-time prospective adjustment is based on the difference between what would have otherwise been paid under the TEFRA payment system and payments made under the LTCH PPS as it was implemented in FY 2003, consistent with our policy goal of the one-time prospective adjustment. For these reasons, we continue to disagree with the commenters' assertions that the payment impact of policy changes and adjustments that have been made since the implementation of the LTCH PPS should be accounted for when evaluating the necessity of the one-time prospective adjustment under § 412.523(d)(3).
We also disagree with the commenters that the one-time prospective adjustment of approximately 3.75 percent is overstated because our methodology does not account for the fact that there are now more cases paid under the standard Federal rate (and relatively fewer cases paid as short-stay outliers (SSOs)) than there were paid under the standard Federal rate in FY 2003 (where there were relatively more cases paid as SSOs). Although the relative level of cases paid under the standard Federal rate (and cases paid as SSOs) has changed since the inception of the LTCH PPS, the policy objective of the one-time prospective adjustment has always been to ensure that the LTCH PPS standard Federal rate originally determined for FY 2003 does not perpetuate any significant difference between the data used in the original computation of budget neutrality for FY 2003 and more recent data to determine budget neutrality for FY 2003. Consistent with this policy objective, our methodology for determining a one-time prospective adjustment compares estimated payments that would have been made in FY 2003 under the TEFRA payment system to estimated payments under the LTCH PPS in FY 2003. Therefore, the data and methodology that we used for this purpose is limited to the types of Medicare cases projected to have been treated in LTCHs in 2003, and the current levels of cases paid under the standard Federal rate (or paid under the SSO policy) are not germane to the computations of budget neutrality for FY 2003 under the one-time prospective adjustment under § 412.523(d)(3).
The intended goal of the one-time prospective adjustment, to ensure that any significant difference between estimated total FY 2003 LTCH PPS payments and estimated total FY 2003 TEFRA payments is not perpetuated in the LTCH PPS payment rates (that is, the standard Federal rate) in future years, is not to reduce current total LTCH PPS spending by 2.5 percent, as mistakenly stated by some commenters. Rather, the intended goal of the one-time prospective adjustment is to adjust the LTCH PPS standard Federal rate in a manner that results in bringing the standard Federal rate to the level it should be had the FY 2003 standard Federal rate resulted in estimated aggregate LTCH PPS payments that were equal to the level they would have been if the LTCH PPS had not been implemented (that is, FY 2003 payments under the TEFRA system), based on actual FY 2003 data. The current mix of cases paid under the standard Federal rate has no relationship to estimated FY 2003 LTCH PPS payments, which were used to evaluate and calculate the one-time prospective adjustment under § 412.523(d)(3). Our methodology for determining the one-time prospective adjustment of approximately 3.75 percent is consistent with our stated goal because it makes an adjustment to the current standard Federal rate to bring it to the level that the FY 2003 standard Federal (base) rate would have been if we had determined that rate based on the best data currently available to estimate FY 2003 payments to LTCHs. Therefore, we continue to believe that the one-time prospective adjustment should be based on any difference in payment in FY 2003 between what would have otherwise been paid under the TEFRA payment system and payments made under the LTCH PPS as it was implemented in FY 2003, only. For these reasons, we disagree with the commenters' assertions that the one-time prospective adjustment of approximately 3.75 percent is overstated, and we are not adopting the commenters' suggestion to reduce the adjustment by making an adjustment to our methodology for calculating the one-time prospective adjustment to account for the change in the levels of cases paid under the standard Federal rate.
Finally, we appreciate the commenters' support for our proposal to continue the established 3-year phase-in of the one-time prospective adjustment. Therefore, after consideration of public comments, we are finalizing our proposal to apply a permanent factor of 0.98734 for FY 2014 to the standard Federal rate under the second year of the 3-year phase-in of the one-time prospective adjustment, without modification.
4. Summary of Other Public Comments on the Proposed LTCH PPS Payment Rates for FY 2014
We received a number of public comments that were not within the scope of this regulation, but we appreciate the commenters for sharing their concerns. We also received public comments on several other issues related to the proposed LTCH PPS payment rates for FY 2014, but not specifically addressed by the proposals and related discussion presented in the FY 2014 IPPS/LTCH PPS proposed rule.
Comment: One commenter questioned how the changes to the Medicare disproportionate share hospital (DSH) payment methodology for inpatient operating costs under the IPPS beginning in FY 2014, provided for by section 3133 of the Affordable Care Act, would affect payments under the LTCH PPS. Specifically, the commenter questioned how those changes to the IPPS DSH payment methodology would affect the LTCH PPS payment adjustments that are based on “IPPS rates” for some patients (that is, the “IPPS-comparable amount” under the SSO policy at § 412.529(d)(4) and the “IPPS-equivalent amount” under the 25-percent threshold payment adjustment policy at § 412.534(f) and § 412.536(e)). Under the provisions of section 3133 of the Affordable Care Act, starting in FY 2014, IPPS hospitals that qualify for Medicare DSH payments will receive an empirically justified Medicare DSH payment equal to 25 percent of the payment amount they previously would have received under the existing methodology under section 1886(d)(5)(F). The remaining amount, equal to 75 percent of the amount that would otherwise have been paid in Medicare DSH payments, will be adjusted to reflect changes in the percentage of individuals that are uninsured. Hospitals that receive empirically justified Medicare DSH payments will then receive an additional payment (referred to as an uncompensated care payment) that reflects the hospital's amount of uncompensated care relative to the total uncompensated care amount for all eligible hospitals. (For additional information on the changes to the Medicare DSH payment adjustment methodology as provided by Section 3133 of the Affordable Care Act, we refer readers to section V.E.3. of this preamble.) The commenter asserted that, although the new uncompensated care payment is only applicable to subsection (d) hospitals that are paid under the IPPS, LTCH PPS payments that are based on “IPPS rates” would be incomplete without the inclusion of an uncompensated care payment derived on the same basis as is the case for IPPS hospitals. The commenter also pointed out that the current “IPPS-comparable amount” and “IPPS-equivalent amount” under the LTCH PPS include adjustments for LTCHs treating low-income patients.
Response: We appreciate the commenter bringing this issue to our attention. In the FY 2014 IPPS/LTCH PPS proposed rule, we inadvertently neglected to specifically indicate how the changes to the Medicare IPPS DSH payment adjustment methodology beginning in FY 2014 provided for by section 3133 of the Affordable Care Act, including the new uncompensated care payment, would be reflected in the “IPPS-comparable amount” under the SSO policy at § 412.529(d)(4) and the “IPPS-equivalent amount” under the 25-percent threshold payment adjustment policy at § 412.534(f) and § 412.536(e). The determination of both the “IPPS-comparable amount” and the “IPPS-equivalent amount” under the current regulations specifically includes amounts for inpatient operating costs “for the costs of serving a disproportionate share of low-income patients.” (We refer readers to § 412.529(d)(4)(ii)(C), § 412.534(f)(2)(iii), and § 412.536(e)(2)(iii) of the regulations.) When we adopted the “IPPS-comparable amount” under the SSO policy in the RY 2007 LTCH PPS final rule (71 FR 27848), we explained that this payment under the LTCH PPS is generally comparable to a payment under the IPPS payment methodology, and would be calculated based on the sum of the applicable operating and capital IPPS rates in effect at the time of the discharge from the LTCH, as established in the applicable IPPS final rule published in the Federal Register. We also explained that there are specific features of the IPPS that do not directly translate into the LTCH PPS, and that “IPPS-comparable amount” payments would be calculated by applying IPPS principles to achieve a close approximation of payments that would be made under the IPPS, recognizing the fact that not all components of the IPPS can be carried out precisely in the LTCH PPS context. Similarly, in that same final rule (71 FR 28879), we clarified the meaning of the “IPPS-comparable amount” under the 25 percent threshold payment adjustment policy, and stated that it is our intention under the “IPPS-equivalent amount” to utilize and build upon IPPS payment principles to develop a payment adjustment under the LTCH PPS that approximates for LTCHs the payment for a particular case that would have been made under the IPPS. Therefore, we agree with the commenter that it is appropriate that the statutory changes to the Medicare IPPS DSH payment adjustment methodology provided by section 3133 of the Affordable Care Act, including the new uncompensated care payment that will begin in FY 2014, should be reflected in the calculation of the “IPPS-comparable amount” and the “IPPS-equivalent amount” under the LTCH PPS.
As described above, under the statutory changes to the Medicare DSH payment adjustment methodology as implemented in the regulations at § 412.106(f), (g), and (h), in general, eligible IPPS hospitals will receive an empirically justified Medicare DSH payment equal to 25 percent of the amount they otherwise would have received under the current statutory formula for Medicare DSH payments. The remaining amount, equal to an estimate of 75 percent of the amount that otherwise would have been paid as Medicare DSH payments, reduced to reflect changes in the percentage of individuals under the age of 65 who are uninsured, will become available to make additional payments to each hospital that qualifies for Medicare DSH payments and that has uncompensated care. The additional uncompensated care payments will be based on the hospital's amount of uncompensated care for a given time period relative to the total amount of uncompensated care for that same time period reported by all hospitals that receive Medicare DSH payments. Under these changes, aggregate Medicare IPPS operating DSH payments are projected to be reduced to 95.7 percent of the amount that would otherwise have been paid under the current statutory Medicare DSH payment formula. As discussed in greater detail in section V.E.3.d.(2) of this preamble, we are specifying that under the methodology outlined in section 1886(r)(2) of the Act, our estimate of 75 percent of the amount that would otherwise have been paid as Medicare DSH payments will be adjusted to 94.3 percent of that amount to reflect the change in the percentage of individuals that are uninsured. The resulting amount is then used to determine the amount of additional uncompensated care payments that will be made to eligible IPPS hospitals. In other words, Medicare DSH payments prior to the application of section 3133 of the Act are adjusted to 70.7 percent (the product of 75 percent and 94.3 percent) and the resulting amount is used to calculate the additional uncompensated care payments to eligible hospitals. As a result, for FY 2014, we project that the reduction in the amount of Medicare DSH payments pursuant to section 1886(r)(1) of the Act, along with the new additional payments for uncompensated care under section 1886(r)(2) of the Act, will result in overall Medicare DSH payments of 95.7 percent of the amount of Medicare DSH payments that would otherwise have been made in the absence of section 3133 of the Act (that is, 25 percent + 70.7 percent = 95.7 percent).
The current calculation of the “IPPS-comparable amount” and the “IPPS-equivalent amount” under the LTCH PPS includes an applicable IPPS operating DSH payment amount that is based on the current statutory Medicare DSH payment formula under section 1886(d)(5)(F) of the Act, as implemented at §§ 412.106(a) through (e). Therefore, we agree with the commenter that it is appropriate to reflect the statutory changes to the Medicare DSH payment adjustment methodology that will begin in FY 2014 in the calculation of the “IPPS-comparable amount” and the “IPPS-equivalent amount” under the LTCH PPS because section 3133 of the Affordable Care Act revised section 1886(d)(5)(F) of the Act to make payments under that section “[s]ubject to subsection (r), and the “IPPS-comparable” and the “IPPS-equivalent” amounts in the current LTCH PPS payment methodology specifically incorporate the DSH payments under section 1886(d)(5)(F) of the Act. To reflect the statutory changes to the Medicare DSH payment adjustment methodology in the calculation of the “IPPS-comparable amount” and the “IPPS-equivalent amount” under the LTCH PPS for FY 2014 and subsequent years, we will include a reduced Medicare DSH payment amount that reflects the projected percentage of the payment amount calculated based on the current statutory Medicare DSH payment formula that will be paid to eligible hospitals as empirically justified Medicare DSH payments and uncompensated care payments in FY 2014 and subsequent years (that is, a percentage of the current operating DSH payment amount that is reflected in the LTCH PPS payments that are based on IPPS rates). The projected percentage would be updated annually consistent with the annual determination of the amount of uncompensated care payments that will be made to eligible hospitals under the IPPS.
We believe that this approach will result in appropriate payments under the LTCH PPS and is consistent with our intention that the “IPPS-comparable amount” and the “IPPS-equivalent amount” under the LTCH PPS closely resembles what an IPPS payment would have been for the same episode of care, while recognizing that some features of the IPPS cannot be translated directly into the LTCH PPS (71 FR 28879). We believe this approach is consistent with the way we have interpreted “IPPS-comparable amount” and “IPPS-equivalent amount” because it represents a reasonable approximation of the overall change in payments to IPPS hospitals that is projected to result from the statutory changes to the Medicare DSH payment adjustment methodology while recognizing that not all components of the IPPS can be carried out precisely in the LTCH PPS context and without imposing the administrative burden to approximate the new uncompensated care payment amount under the provisions of section 1886(r)(2) of the Act as implemented at § 412.106(f) through (h) for each LTCH. As described in greater detail in section V.E.3.d.(3) of this preamble, an eligible IPPS hospital's uncompensated care payment is determined using a hospital-specific value that expresses the proportion of the estimated uncompensated care amount for each eligible IPPS hospital with the potential to receive empirically justified Medicare DSH payments relative to the estimated uncompensated care amount for all hospitals estimated to receive empirically justified Medicare DSH payments in the fiscal year for which the uncompensated care payment is to be made. Because the portion of the “IPPS-comparable amount” that is based on the operating Medicare DSH payment amount derived from the current statutory Medicare DSH payment formula is a very small percentage of total LTCH PPS payments annually (approximately 0.1 percent) and we have acknowledged in our initial implementation of the “IPPS-comparable amount” and the “IPPS-equivalent amount” under the LTCH PPS that not all components of the IPPS can be carried out precisely in the LTCH PPS context, we do not believe that it is necessary to undertake the calculations necessary to more precisely replicate the statutory IPPS uncompensated care payment amount when a straightforward and administratively simpler approximation results in a payment amount that reflects the overall payment change IPPS hospitals are projected to experience under the statutory changes to the Medicare DSH payment adjustment methodology that will begin in FY 2014.
Accordingly, for FY 2014, the calculation of the “IPPS-comparable amount” under § 412.529(d)(4) and the “IPPS-equivalent amount” under § 412.534(f) and § 412.536(e) will include an applicable operating Medicare DSH payment amount that is equal to 95.7 percent of the operating Medicare DSH payment amount based the current statutory Medicare DSH payment formula (that is, the operating Medicare DSH payment amount currently included in those calculations).
Comment: Two commenters suggested that CMS provide additional payment for end-stage renal disease (ESRD) patients under the LTCH PPS for the same circumstances that such payments are made under the IPPS, noting that section 1881(b) of the Act does not limit the adjustment to subsection (d) hospitals. The commenters cited our regulations at § 412.104 that provide for an ESRD add-on payment where the beneficiary received dialysis services during the inpatient stay (excepting specified MS-DRGs), constitute 10 percent or more of the IPPS hospital's total Medicare discharges. One of the commenters included a copy of the conclusions derived from its research, which indicate the significant frequency and high costs of dialysis patients that are being treated in a small number of LTCHs. This commenter also suggested that in the alternative to an ESRD add-on payment, CMS adjust the MS-DRG system to provide a CC or MCC for patients on dialysis.
Response: This comment is beyond the scope of the provisions of the proposed rule. However, we note that we have responded previously to the issue that these commenters raise in a detailed response included in the RY 2009 LTCH PPS final rule (73 FR 26826 through 26827), which is reiterated, in part, below. We are aware of the situation of the particular LTCH described by both commenters, which typically treats between 17 to 20 percent of patients that would qualify for an ESRD add-on payment under the IPPS regulations at § 412.104(a). As we noted in the RY 2009 LTCH PPS final rule, we continue to believe that applying an ESRD add-on payment adjustment to LTCHs would be inappropriate. LTCH's typically treat very sick patients with a number of serious secondary illnesses (multi-comorbidities) that require hospital-level care for, on average, greater than 25 days for any one episode of care. We believe that given the patient population treated at LTCHs, a higher proportion of LTCH patients would require dialysis than would be treated at an acute care hospital and paid for under the IPPS. Although the LTCH PPS uses the same patient classification system as is used by the IPPS, the relative weights assigned to the MS-LTC-DRGs under the LTCH PPS are based on LTCH cases, which reflect “differences in patient resource use and costs” in LTCHs as mandated by the statute that provides for the establishment of the LTCH PPS. A patient classification system using relative weights, such as the DRG-based system used by both the IPPS and the LTCH PPS, determines the amount that Medicare pays for particular types of cases based on the hospital resources used in treating such cases as compared to the resources utilized in treating other types of cases, and assigns all cases numerical values called “relative weights.” Data, such as charges, used to measure hospital resource use for each MS-LTC-DRG is captured on patient claims, which Medicare uses in the annual update of the relative weights.
In light of the commenters' request and their analysis, we recently reviewed LTCH claims data from the FY 2012 MedPAR files to determine the prevalence of LTCH patients with ESRD as a secondary diagnosis as identified by the ICD-9-CM code 585.6 (excluding cases in MS-LTC-DRGs 652 and 682 through 685, which are not included in the IPPS ESRD add-on payment). Our analysis indicated the following:
- 56 percent of the LTCHs have at least 10 percent of their cases with ESRD as a secondary diagnosis, which represents 78.8 percent of all the cases with ESRD as a secondary diagnosis;
- The average percent of cases in a MS-LTC-DRG with ESRD as a secondary diagnosis is approximately 20 percent;
- Almost 40 percent of MS-LTC-DRGs have cases with ESRD as a secondary diagnosis, of which 71 percent of those MS-LTC-DRGs have more than 10 percent of the cases in that MS-LTC-DRG with ESRD as a secondary diagnosis; and
- 59 MS-LTC-DRGs have more than 25 percent of the cases with ESRD as a secondary diagnosis.
Based on these findings, we continue to believe that ESRD patients in LTCHs are adequately reflected in data used to determine the MS-LTC-DRG relative weights for non-dialysis MS-LTC-DRGs. Therefore, we believe that payments based on the LTCH PPS will generally reflect the relative use of resources necessary to treat those MS-LTC-DRGs, except for cases with unusually high costs, which could qualify for high-cost outlier payments. Accordingly, we believe that the additional resources associated with renal dialysis treatments are include in the LTCH PPS payments, and we are not adopting the commenters' suggestion to provide for an additional payment for ESRD patients under the LTCH PPS.
D. Expiration of Certain Payment Rules for LTCH Services—The 25-Percent Threshold Payment Adjustment
Section 114(c) of the MMSEA, as amended by section 4302(a) of the ARRA and sections 3106(c) and 10312(a) of the Affordable Care Act provided for a 5-year moratorium on the full application of the 25-percent threshold payment adjustment policy that expired for some LTCHs and LTCH satellites for cost reporting periods beginning on or after October 1, 2012 (“October” LTCHs) and for other LTCHs and LTCH satellites for cost reporting periods beginning on or after July 1, 2012 (“July” LTCHs). In the FY 2013 IPPS/LTCH PPS final rule (77 FR 53483 through 53484) as amended by the FY 2013 IPPS/LTCH PPS correcting amendment (77 FR 63751 through 63753), we provided for extensions to the expiring statutory moratoria for both “October” and “July” LTCHs and LTCH satellites.
Specifically, we established a 1-year extension (that is, for cost reporting periods beginning on or after October 1, 2012, and before October 1, 2013) on the full application of the 25-percent threshold payment adjustment policy for “October” LTCHs, and for those “July” LTCHs that would have been affected by the “gap” between the expiration of the statutory moratorium (for cost reporting periods beginning on or after July 1, 2012) and our prospective regulatory relief (for cost reporting periods beginning on or after October 1, 2012), we also provided for an additional moratorium based on LTCH discharges occurring on or after October 1, 2012 and ending at the start of their next cost reporting period. For those “July” LTCHs with cost reporting periods beginning on or after October 1, 2012, the regulatory extension of the statutory moratorium, described above, effective for the hospital's first cost reporting period beginning on or after October 1, 2012, resulted in seamless coverage for that group. However, for those “July” LTCHs with cost reporting periods beginning on or after July 1, 2012, and before October 1, 2012, that would have otherwise been subject to the “gap” between the expiration of the statutory moratorium and the effective date of the regulatory moratoria, we established a second regulatory moratorium effective with discharges occurring beginning October 1, 2012, through the end of the hospital cost reporting period (that is, the end of the cost reporting period that began on or after July 1, 2012, and before October 1, 2012). For more details about these moratoria, we refer readers to the FY 2013 IPPS/LTCH PPS final rule (77 FR 53483 through 53484).
Under current law, the regulatory moratorium on the full application of the 25-percent threshold payment adjustment policy will expire for all LTCHs (both “October” and “July” LTCHs) for cost reporting periods beginning on or after October 1, 2013. As discussed in greater detail below, we are not extending the regulatory moratorium of the 25-percent threshold payment adjustment policy. Therefore, LTCHs are encouraged to familiarize themselves with the prior rulemakings that established the adjustments for the various types of LTCHs and LTCH satellites. (We refer readers to the FY 2005 IPPS final rule (69 FR 49205 through 49214) and the RY 2007 LTCH PPS final rule (72 FR 26929). We note that the 25-percent threshold payment adjustment policy does not apply to “subclause (II)” LTCHs, that is, an LTCH described under section 1886(d)(1)(B)(iv)(II) of the Act as implemented at § 412.23(e)(2)(ii) of the regulations. Subclause (II) LTCHs meeting that definition continue to be exempted from this policy.
In the proposed rule, we noted that we were allowing the moratoria to expire because we continue to be concerned that LTCHs that admitted more than the applicable percentage of patients from a particular referring hospital were, in effect, behaving like step-down units of the referring hospital, which results in two separate Medicare payments—one to the referring hospital and one to the LTCH—for what we believe should be structured as one episode of care. In light of our duties to protect the fiscal integrity of the Medicare program, we stated that we believed that it would be inappropriate to continue to offer the moratoria pending the implementation of the policy outcomes of the research discussed below. We welcomed public comments on this approach.
Comment: Several commenters questioned CMS' decision to allow the moratorium on the full application of the 25-percent threshold payment adjustment policy to expire. The commenters opined that CMS implied in the FY 2013 IPPS/LTCH final rule that the regulatory moratorium implemented for FY 2013 was being established as a bridge to new payment policies under the LTCH PPS. The commenters assumed that CMS' ongoing research on patient-level criteria for LTCHs would serve as the basis for (and would result in) payment policy proposals that would render the 25-percent threshold payment adjustment policy unnecessary. The commenters further viewed CMS' decision to allow the moratorium to expire, as stated in the proposed rule, as being inconsistent with the approach taken by CMS last year in light of its consideration of a developed framework to support potential policy proposals for FY 2015. These commenters suggested that CMS eliminate the 25-percent threshold payment adjustment policy or to extend the moratorium on the full application of the 25-percent threshold payment adjustment policy for an additional year to mitigate the potentially negative impact on the continued economic viability of LTCHs under this policy.
Response: While we understand that the FY 2013 IPPS/LTCH PPS final rule did not specify that we intended to fully implement the 25-percent threshold payment adjustment policy in FY 2014, there are no statutory or regulatory prohibitions on the Secretary that would bar her from allowing the moratorium to expire. The FY 2013 IPPS/LTCH PPS final rule did indicate that we had awarded research contracts for the purposes of developing patient-level criteria that could render the 25-percent threshold payment adjustment policy unnecessary. With that said, while the framework resulting from interim findings of these research projects was described in the FY 2014 IPPS/LTCH PPS proposed rule, we did not propose to implement patient-level criteria for LTCH admissions in FY 2014. Rather, based on the interim findings of these research projects, we were able to present a draft framework for potential payment policy proposals and solicited feedback.
In light of the extensive public comments that we received in response to our initial thoughts about what the framework might entail, in the absence of patient-level criteria being in place, we continue to believe that the 25-percent threshold payment adjustment policy serves as an effective instrument to protect the Medicare Trust Fund from significant and inappropriate expenditures. (We refer readers to our detailed discussions of the 25-percent threshold payment adjustment policy for HwHs and LTCH satellites in the FY 2005 IPPS final rule (69 FR 49191 through 49214) and its application to all other LTCHs in the RY 2008 LTCH PPS final rule (72 FR 26919 through 26944).) We further believe that the partial implementation of the 25-percent threshold payment adjustment policy has begun to serve this purpose. We note that the Office of the Assistant Secretary for Planning and Evaluation (ASPE) has conducted an analysis of LTCH referral patterns as part of its contract with Acumen, LLC. The results of Acumen's analysis indicate that, from 2010 through 2012 approximately 9-10 percent of total LTCH stays would have been subject to a payment adjustment under the 25-percent threshold payment adjustment policy. We note that a subset of those stays (for example, in rural LTCHs) would have been subject to the higher 50 percent threshold. Material supplied by an LTCH trade association as part of its comments to the FY 2014 IPPS/LTCH PPS proposed rule also support this conclusion.
With regard to the potentially negative impact of the 25-percent threshold payment adjustment policy on the economic viability of LTCHs, we note that although we understand that some LTCHs have much lower margins and some much higher margins, LTCHs have generally adapted and succeeded under the 25-percent threshold payment adjustment policy as it was modified by the statutory and regulatory moratoria. (We refer readers to MedPAC's March 2013 Report to the Congress, page 251, which notes that aggregate Medicare margins for LTCHs in 2013 would be 5.9 percent). Therefore, we believe that allowing the regulatory moratorium to expire and the 25-percent threshold payment adjustment policy to be fully implemented for cost reporting periods beginning on or after October 1, 2013, is the appropriate policy at least until such time as payments under the LTCH PPS are based on the adoption of clinically based, patient-level criteria.
Comment: MedPAC submitted a public comment regarding the expiration of the moratorium on the full implementation of the 25-percent threshold payment adjustment policy. MedPAC noted in its comment that the policy was implemented to ensure that LTCHs did not “. . . serve as de facto units of IPPS hospitals,” and stated that it considers this policy, in the absence of LTCH admission criteria, as a “blunt but necessary” instrument.” MedPAC encouraged the use of clinical patient-level admission criteria such as our CCI/MC framework, but stated “[n]evertheless, we cannot ignore the possibility of a new set of inappropriate provider responses to payment incentives under the CCI/MC framework. Therefore, if CMS moves forward with its CCI/MC criteria, we urge the agency to continue to apply the 25 percent rule during the implementation until the robustness of the CCI/MC criteria can be assessed and unintended consequences can be observed and addressed.”
Response: We appreciate MedPAC's support and for sharing its concerns regarding the future implementation of LTCH patient-level admissions criteria.
Comment: One commenter opposed full implementation of the 25-percent threshold payment adjustment policy and believed that, in an effort to avoid the payment reduction for admitting patients in excess of the applicable threshold, LTCHs would “swap” patients among themselves from referring hospitals to stay within their threshold. The commenter also noted that LTCHs would be presented with significant financial consequences for exceeding their thresholds as a result of the full implementation of the 25-percent threshold payment adjustment policy. The commenter also believed that the 25-percent threshold payment adjustment policy is not appropriate because of the differences between the care provided in LTCHs and IPPS hospitals, and stated that “LTCH patients are sicker and receive a unique set of services for their medical severity” and “. . . these are not the same short term acute interventions that are the focus of PPS hospitals.”
Response: We note that the 25-percent threshold payment adjustment policy was not proposed in the FY 2014 IPPS/LTCH PPS proposed rule. Rather, in the absence of proposing regulatory changes or a further extension of the moratorium, the policy simply becomes effective as set forth in our regulations at §§ 412.534 and 412.536. We are aware that, in areas where there are a number of LTCHs, patient “swapping” may enable hospitals to avoid exceeding their applicable thresholds. The ability of some LTCHs to side-step the intent of the 25-percent threshold payment adjustment policy is another reason why we believe that it is important to develop patient-level criteria for LTCHs, as we discussed in the FY 2014 IPPS/LTCH PPS proposed rule, that will more clearly identify those patients that we believe are the most appropriate for treatment in an LTCH. In the meantime, it is incumbent upon us to attempt to limit the percentage of beneficiaries for whom the Medicare program generates two PPS payments for what is essentially one episode of care. Furthermore, the financial impact mentioned by the commenter can be minimized if an LTCH treats patients who achieve high cost outlier status at the referring hospital because those patients are not counted towards the percentage threshold.
Although adapting to the full implementation of the 25-percent threshold payment adjustment policy may be challenging for a particular LTCH, we do not agree with the commenter's assertion that this policy will compromise an LTCH's ability to provide care for those Medicare beneficiaries that the LTCH appropriately admits. In addition, the conclusions that we draw from the data reported by the Acumen analysis regarding LTCH compliance with the 25-percent threshold payment adjustment policy for the ASPE project, in combination with MedPAC's report on aggregate LTCH margins for FY 2013, both explained in the previous response, do not appear to support the claims that there will be widespread economic consequences for LTCHs as a result of the full application of the 25-percent threshold payment adjustment policy. While we understand that some LTCHs are equipped to provide medical care for high-acuity severely sick patients, as described in the proposed rule, our data indicate that there are many patients admitted to LTCHs that do not fit this description. In addition, we disagree with the commenter's assertion that hospitals paid under the IPPS focus solely on short-term interventions and are not equipped to handle these high-acuity patients. As we noted in the FY 2014 IPPS/LTCH PPS proposed rule, “Our 2012 data indicates that less than 2 percent of all Medicare beneficiaries who were hospitalized in CY 2010 were treated in LTCHs.
Our 2013 data indicates that New Hampshire, Maine, and Vermont have no LTCHs and the following States have five or fewer LTCHs: Connecticut, Delaware, Hawaii, Iowa, Idaho, Kansas, Maryland, Minnesota, Montana, Nebraska, New Mexico, New York, Wisconsin, West Virginia, Wyoming, and the District of Columbia. Therefore, the number of LTCHs and their geographic distribution suggest to us that LTCHs are only treating a small percentage of the patients that the LTCH industry has identified as their target population nationwide” (78 FR 27669). Clearly, in areas where there is little or no LTCH presence, general acute care hospitals are effectively providing treatment for the same types of patients that are treated in LTCHs in areas where there is one or more LTCH present.
Comment: Several commenters expressed concern with the full application of the 25-percent threshold payment adjustment policy to freestanding LTCHs and “grandfathered” HwHs “for the first time” as these hospitals had previously been exempted from any application of the 25-percent threshold payment adjustment policy. Some commenters identified specific problems that groups of LTCHs that receive “special” treatment under the regulations (rural LTCHs and LTCHs admitting from MSA-dominant or urban single referring hospitals) have encountered even under the moratorium on the full implementation of the 25-percent threshold payment adjustment policy. Several commenters representing LTCHs in rural areas with few referring hospitals and a single-hospital MSA described the negative consequences they anticipated if the 25-percent threshold payment adjustment policy were to be fully implemented, including possible hospital closures, access issues for beneficiaries, the diversion of patients to geographic areas away from their homes, and the lack of family and community support. One comment from an LTCH noted that, while it supported our goals under the 25-percent threshold payment adjustment policy, the policy would be unworkable in a single-hospital MSA. This commenter offered several suggestions to amend the existing policy, including exempting the six single-hospital MSAs in the United States or at least exempting the three freestanding LTCHs in those MSAs; grandfathering LTCHs currently operating as freestanding LTCHs in single-hospital MSAs in accordance with our policies to “protect existing hospitals from potentially adverse impacts,” exempting LTCHs based on their distance from other LTCHs; or increasing the threshold percentage for single-hospital MSAs. The commenter also suggested excluding cases that exceed a specific length of stay from the 25-percent threshold payment adjustment policy, for example, cases that exceed 2 standard deviations from the average length of stay of the designated DRG at the referring hospital, in addition to excluding high cost outlier cases from the percentage threshold calculation and presuming that such cases received the full course of treatment; blending the otherwise unadjusted LTCH PPS payment and the IPPS-comparable payment instituted for cases exceeding the applicable threshold (as in the short-stay outlier (SSO) policy at § 412.529(c)(2)(iv)); or reinstating the “transition” to the full implementation of the 25-percent threshold payment adjustment policy.
Response: We agree with the commenter that, with the expiration of the moratoria, full implementation of the 25-percent threshold payment adjustment policy would apply to freestanding LTCHs and grandfathered co-located LTCHs for the first time. In addition, it would lower the percentage threshold for LTCHs in rural areas and LTCHs admitting patients from MSA-dominant and urban single referring hospitals from the present 75 percent to 50 percent. We understand some of the commenters' concern that the full application of the 25-percent threshold payment adjustment policy could result in negative consequences for the LTCHs in rural areas and in MSAs with one referring hospital, but we continue to believe that LTCHs are free to admit any patient from any source without limit or restriction and that the 25-percent threshold payment adjustment policy addresses how Medicare will pay for patients and establishes the applicable thresholds that are the basis for such payment (69 FR 49207).
We also appreciate the support expressed by the commenter from the single-hospital MSA for our policy goals, in general, and the suggestions made by this commenter. The application of the 25-percent threshold payment adjustment policy to freestanding LTCHs and grandfathered HwHs was finalized in RY 2008 (72 FR 26919 through 26944), and at that time we did provide a 3-year transition to the full implementation of the policy at §§ 412.536(f) and 412.534(h) of the regulations, respectively. Typically, we provide transitions when we have implemented significant policy changes in order to allow those entities affected by the policy change a reasonable time in which to adapt to whatever changes they need to make to come into compliance with the new regulatory scheme. The enactment of section 114(c) of the MMSEA of 2007, extended by section 4302 of the ARRA, sections 3106(c) and 10312(a) of the Affordable Care Act, and our regulations finalized for FY 2013, which will expire for cost reporting periods beginning on or after October 1, 2013, delayed the implementation of the full application of the 25-percent threshold payment adjustment policy under §§ 412.534 and 412.536 of the regulations. Congress only delayed application of the 25-percent threshold payment adjustment policy; it did not reverse that policy in 2008, but rather left the decision on full implementation to the Secretary's discretion, once the statutory moratorium expired for cost reporting periods beginning on or after July 1, 2012 and October 1, 2012, respectively. Furthermore, we believe that the moratorium period has allowed LTCHs adequate time to adapt to and prepare for the full implementation of the 25-percent threshold payment adjustment policy. In addition, we believe that it is important to reiterate that patients that are admitted to an LTCH having reached the high-cost outlier threshold at those referring hospitals are not counted towards the percentage threshold.
Comment: Several commenters challenged CMS' restatement of its original policy rationale for the establishment of the 25-percent threshold payment adjustment that was presented in the proposed rule, stating, that “LTCHs that admit more than the applicable percentage of patients from a particular referring hospital are, in effect, behaving like step-down units of the referring hospital . . .” The commenters cited the report from Kennell/RTI's July 2012 “follow-up” research on “Determining Medical Necessity and Appropriateness of Care for Medicare Long-Term Care Hospitals,” which they asserted differentiated LTCHs from step-down units of IPPS hospitals. The commenters pointed out that CMS' contractors stated that LTCHs treat far more high-acuity patients than do step-down units. One commenter asserted that CMS has “no basis to suggest that step-down units in IPPS hospitals exist of the type and scope needed to care for patients admitted to LTCHs.”
Response: The reality of LTCHs serving as defacto step-down units for IPPS hospitals has been at the center of our rationale for establishing the 25-percent threshold payment adjustment policy, beginning in FY 2005 for co-located LTCHs and LTCH satellites and in RY 2008 for all other LTCHs. Specifically, our data indicated that Medicare patients were being discharged to LTCHs after being stabilized at IPPS hospitals for additional hospital-level care, care that Medicare had already paid the general acute care hospital to provide under the IPPS. The IPPS stays for these patients were shorter than for similar patients in communities where there was little or no LTCH presence (69 FR 49201, 49211).
The commenters included excerpts from our report, “Determining Medical Necessity and Appropriateness of Care for Medicare Long-Term Care Hospitals,” (the follow-up report, as opposed to the Report to Congress, as discussed in greater detail below in section VIII.E. of this proposed rule) which indicated the percentage of critically ill patients treated in LTCHs as compared to step-down units in support of their contention that the distinction between LTCHs and step-down units indicated that our 25-percent threshold payment adjustment policy was based on a flawed premise. We disagree with the commenters. We believe that the basis of our 25-percent threshold payment adjustment policy has been well justified since its inception and that our recent data support the policy. We also note that, based on the FY 2010 MedPAR data, there were 13.8 million IPPS admissions, of which 450,989 met the CCI/MC patient profile. In FY 2010, there were 127,969 LTCH admissions, of which only 32,743 (or 31 percent) met the CCI/MC patient profile. Therefore, while it may be correct that as a percentage of total patients, LTCHs treat a “higher percentage” of critically ill patients, these numbers are useful as a “reminder” that IPPS step-down units do treat critically ill CCI/MC patients, and are paid to treat those patients under the IPPS.
Comment: Several commenters, including the American College of Thoracic Surgeons (ACTS) urged the adoption of clinical, as opposed to systems factors, for determining admissions to LTCHs. The ACTS stated, “[t]he [25 percent] policy is not grounded in evidence and may restrict appropriate transfers for some patients . . .” and further expressed concern that although existing payment models could provide inappropriate incentives to transfer some patients to LTCHs “. . . we believe that the best solution for the majority of patients is to standardize admission criteria by creating an operational definition of chronic critical illness, not by restricting LTCH transfers via the 25 percent rule.”
Response: We agree with the commenters regarding the value of evidence-based clinical factors for determining which LTCH patients Medicare should pay for under the LTCH PPS. We believe that the CCI/MC patient profile material that we presented in the proposed rule, which was derived from our contractor's preliminary report on the patient-level criteria project, provided a robust framework for further development. We note that, included among the many comments that we received on this matter, comments on independently commissioned research will be shared with our contractor, Kennell/RTI.
Comment: Several commenters noted that there are a number of major changes occurring in the Medicare program for LTCHs with a wide array of regulatory demands: the roll out of quality programs, transition to ICD-10, implementation of requirements for electronic medical records, efforts to integrate with other providers and payers in their communities, and stated that LTCHs are presented with what some of these commenters call “substantial regulatory challenges and uncertainty.” Given these factors, commenters urged CMS to maintain the 25-percent threshold payment adjustment policy's current threshold levels and (referring to the CCI/MC patient profile framework) to “. . . reconsider the direction and scope of its current research and concentrate on less severe means of raising the minimum clinical standards for LTCHs.”
One commenter quoted a recent preliminary report by the Institute of Medicine (IOM) on Geographic Variation in Medicare Services that stated “we are at a crossroads in post-acute care” and a “call to action” was issued jointly by the House of Representatives Ways and Means Committee and Senate Finance Committee on June 19, 2013, which requested stakeholders' input on concerns related post-acute care in the changing medical landscape by August 19, 2013. This commenter urged CMS to delay the full implementation of the 25-percent threshold payment adjustment policy until the IOM's final report has been issued and also pending the response to Congress' request for stakeholder input.
Response: We do not believe that the forthcoming Federal fiscal year presents uniquely burdensome regulatory demands for LTCHs. Several of the commenters specifically mentioned the “roll-out” of quality measures; transition to the ICD-10 code sets used to report medical diagnoses and inpatient procedures from ICD-9; implementation of requirements for electronic medical records; and efforts to integrate with other providers and payers in their communities. However, it is not clear to us that the presence of these programs would affect an LTCH's ability to comply with the 25-precent threshold payment adjustment policy. Furthermore, we note that these are not all mandatory programs. These programs have been publicly known for some time and LTCHs have had considerable notice of the adopted policies. For example, the Long-Term Care Hospital Quality Reporting (LTCHQR) Program, which was initially introduced in section 3004 of the Affordable Care Act of 2010, required us to design and implement a pay-for-reporting program for LTCHs by 2014, and stipulated that these quality measures be made available by 2012, with reporting on these measures to begin in FY 2013, and payment affected for FY 2014. The ICD-10 code sets were originally set to be implemented on January 1, 2012, a deadline that was changed first, to October 1, 2013, and then October 1, 2014. The Health Information Technology for Economic and Clinical Health (HITECH) Act of 2009 provides for incentive payments for providers who adopt and demonstrate meaningful use of certified EHRs with the goal of widespread adoption by 2014, but this is a voluntary program. Participation in our demonstrations for provider integration/bundling are also purely voluntary at this time. Therefore, we do not agree that the programs listed provide the LTCH community with substantial regulatory challenges, or that the expiration of the moratorium on the full application of the 25-percent threshold payment adjustment policy constitutes an additional burden.
In addition, we do not align or link the full implementation of the 25-percent threshold payment adjustment policy and the issuance of a final IOM report on Geographic Variation in Medicare Services and the request by Congress for stakeholder input on the broad topic of post-acute care. Each one of these items, independently, improves the Medicare program.
Comment: Several commenters stated that LTCHs continue to be unable to obtain high cost outlier (HCO) details from discharging IPPS hospitals prior to admitting patients, therefore making it difficult for LTCHs to benefit from our exemption of HCO patients from the percentage calculation under the 25-percent threshold payment adjustment policy.
Response: We have provided publicly available software for IPPS hospitals for the purposes of tracking their charges, costs, and determining their anticipated payments (that is, the PC PRICER, which is available on the CMS Web site). In addition, we are aware that commercial software is also available for such purposes. It has been our expectation that this information would, or at least should, freely pass between an IPPS discharge planner and an LTCH admissions officer. We also expect LTCHs to aggressively pursue obtaining this information from their referring IPPS hospitals and for IPPS hospitals to cooperate with these efforts.
As we discuss the mechanics of implementing this policy, we are taking this opportunity to note the recent findings from the Department of Health and Human Services' Office of the Inspector General (OIG) in an Early Alert Memorandum Report entitled, “Co-Located Long-Term Care Hospitals Remain Unidentified, Resulting in Potential Overpayments,” (OEI-04-12-00491). The regulations at §§ 412.22(e), 412.22(h), and 412.532(i) require co-located LTCHs (HwHs or LTCH satellites) to report their co-located status to us and the Medicare claims processing contractor. The regulatory penalty for not reporting co-located status as provided in § 412.505 (b) is that “. . . CMS may withhold (in full or in part) or reduce Medicare payment to the hospital.” The OIG estimates that nearly half of the 211 LTCHs whose co-located status it had determined have not reported this information to contractors. We urge LTCHs that have not met the regulatory notification requirement to do so immediately.
Comment: Several commenters stated that there is widespread confusion about the difference between the IPPS-comparable payment, which is an option under the SSO policy and has been suggested for payment for non-CCI/MC patients under the preliminary framework presented in the proposed rule, and the IPPS-equivalent payment that is utilized under the 25-percent threshold payment adjustment policy.
Response: There are similarities between an “IPPS-comparable” amount under the SSO policy and an “IPPS-equivalent” amount under the 25-percent threshold payment adjustment policy, but there are also differences. Both are initially calculated as one would calculate an IPPS payment amount, including the applicable IPPS payment adjustments that would respectively be applied to each. We refer readers to § 412.529(d)(4) of the regulations for a description of the “IPPS-comparable” amount and § 412.534(f) for a description of the “IPPS-equivalent” amount. We also note that, under the SSO policy if a case is paid an “IPPS-comparable” amount and is also a HCO, the LTCH PPS fixed-loss amount is applied, whereas under the 25-percent threshold payment adjustment policy, if the case is paid an “IPPS-equivalent” amount and is also a HCO, the fixed-loss amount is based on the IPPS fixed-loss amount. Furthermore, the “IPPS-comparable” amount under the SSO policy is one of four options for payment. Under the 25-percent threshold payment adjustment policy, a case is paid “the lesser of” the otherwise unadjusted amount under the LTCH PPS or “an amount payable under this subpart that is equivalent, as set forth in paragraph (f) of this section, to the amount that would be determined under the rules at § 412.1(a).” The most significant difference between these two adjusted LTCH payments is also the issue that seemed to confound the commenters; for purposes of the SSO policy, the “IPPS-comparable” amount is paid as a per diem not to exceed the full MS-DRG amount for that case. However, for purposes of the 25-percent threshold payment adjustment policy, the “IPPS-equivalent” amount is the entire MS-DRG amount such as would be payable under the IPPS (not converted to a per diem). We refer readers to a detailed explanation of the “IPPS-equivalent” amount in the RY 2007 LTCH proposed rule (71 FR 4648, 4698 through 4700).
Comment: Several commenters requested that CMS, in addition to excluding patients from the threshold calculation under the 25-percent threshold payment adjustment policy that had reached the HCO threshold at the referring IPPS hospital, exclude patients that Kennell/RTI have identified as “appropriate” for treatment at an LTCH, CCI/MC patients.
Response: We understand the rationale behind the commenters' request, that is, if we use HCO status at the referring hospital as a proxy for a patient having completed a full course of treatment and, therefore, a patient for whom it would be reasonable for Medicare to generate a second payment, it is logical that we also exclude patients from the threshold calculation that are, by definition, appropriate for treatment in an LTCH. We agree that this rationale and request are logical, but the CCI/MC patient profile framework has just been presented to LTCH stakeholders for discussion and feedback. If we are able to propose and finalize the CCI/MC patient profile framework and we retain the25-percent threshold payment adjustment policy, we could consider excluding CCI/MC patients from the 25-percent threshold.
After consideration of the public comments we received, and as we did not propose any policy changes, the regulatory moratorium on full implementation of the 25-percent threshold payment adjustment will expire on October 1, 2013, which means that the 25-percent threshold payment adjustment policy will be applied to discharges occurring on or after October 1, 2013.
E. Research on the Development of a Patient Criteria-Based Payment Adjustment Under the LTCH PPS
1. Overview
In the FY 2014 IPPS/LTCH PPS proposed rule (78 FR 27668 through 27676), we presented a description of our research on the development of patient and/or facility-level criteria for LTCHs and presented a potential framework for developing potential payment policy proposals based on the preliminary findings of two projects conducted by Kennell and Associates (Kennell) and its subcontractor, RTI, under the guidance of CMS' Center for Medicare and Medicaid Innovation (the Innovation Center). We stated that we believed that the findings from these projects, in large part, could be used to identify the subpopulation of Medicare beneficiaries that should form the core of patients under the LTCH PPS. Although this research is still not completed, we believe that the preliminary findings suggest that certain types of patients, namely those who are chronically critically ill and considered medically complex, as identified by specific clinical factors, are more appropriate candidates for high-cost treatment at an LTCH than other types of patients.
The resulting interim framework was presented in the FY 2014 IPPS/LTCH PPS proposed rule (78 FR 27668 through 27676). As stated in the proposed rule, we believe that the potential policy changes discussed are consistent with a significant body of research, which identifies the CCI/MC patient criteria as a useful indicator of an appropriate LTCH admission. Furthermore, the CCI/MC patient criteria appear to coincide with the kinds of patients that LTCHs have asserted they are best equipped to treat (78 FR 27675).
As stated in the proposed rule, we were interested in receiving feedback from the public on the findings of this research study, as well as the potential impact that our framework could have on hospital markets with the expectation of formulating a proposal for FY 2015. As a result, we received several public comments on the framework from hospital associations, groups and coalitions of LTCHs, individual LTCHs, and attorneys representing LTCHs. Some of these comments included detailed data analyses. While we are not addressing these comments in this final rule, we will be sharing the comments and the data analyses with CMMI's contractors and soliciting their responses to the commenters' assertions and any data that may bring into question our contractor's interim framework.
As previously stated, although we are not addressing these comments in this final rule, we believe that it is important to note several specific issues mentioned by the commenters regarding the CCI/MC patient profile framework:
- CMS' identification of the CCI/MC patient is more rigorous than MedPAC's, which is based solely on 8 ICU/CCI days prior to discharge from an IPPS hospital without a list of additional medically complex clinical factors. Because the research conducted by Kennell/RTI stated that identification of the CCI/MC patient group based on Medicare claims data was “conservative and erring on side of being too restrictive rather than too inclusive,” CMS should use a less “restrictive” framework.
- CCI/MC patients identified with the “ICU metric” are too limited. Patients with high acuity and significant resource use should be the focus of LTCH-patient reform. This policy will dramatically lower payments for high-severity cases that are not identified as CCI/MC. CMS is not “establishing criteria to identify the types of patients who benefit from the unique services that LTCHs provide.”
- There is a group of patients that are not captured by the CCI/MC clinical factors who could benefit from treatment in an LTCH. Rather than establishing a framework based on a data-driven “restrictive” definition of which patients “should” be treated in LTCHs for the full LTCH PPS payment, CMS “. . . should assess broader array of clinical conditions that can and should be treated in LTCHs,” as well as an inclusive consideration of those patients presently treated in LTCHs requiring hospital-level care.
- LTCH industry-sponsored research is evaluating data on LTCH patients that have lower cost than patients not treated in LTCHs. The commenters suggested that CMS should consider this research.
- Outcomes for patients in LTCHs are superior to those for similar patients not treated in LTCHs.
- Paying for treatment of non-CCI/MC patients under an IPPS-comparable amount based on a per diem up to the full IPPS amount is not appropriate and violates the statutory intent of the establishment of the LTCH PPS, totally “skewing” the averaging systems of PPS payment settings. Like all PPSs, payments should be structured as per discharge payments subject to HCO payments.
- Under the framework presented, LTCHs will be receiving the majority of their payments based on IPPS data.
- LTCHs fill a unique role in the continuum of care and our data verifies that LTCHs case mix is becoming more complex. Clinical standards should be established to incent treating the highest acuity, long-stay patients and discourage admission of patients with low acuity, suitable for admission to a lower level of care.
MedPAC summarized its comment on the CCI/MC patient profile framework as follows:
“With respect to CMS's discussion of possible policy changes to the long-term care hospital (LTCH) PPS that would encourage the LTCH industry to refocus its admitting practices on serving chronically critically ill and medically complex (CCI/MC) patients, we believe the policy potentially represents a first real step towards criteria for LTCH patients that would appropriately limit high LTCH payment rates to the most medically complex patients who may be most likely to benefit from an LTCH program of care. This approach has the potential for significant Medicare savings, at least in the short run. The approach also may expand the concept of site neutrality by limiting payments for other cases admitted to LTCHs to IPPS payment rates for the same MS-DRGs. The Commission remains concerned, however, about the level of payments for medically complex patients in both LTCHs and ACHs. While the Commission continues to support the use of criteria to justify higher LTCH payments, we urge CMS to continue to strive toward site-neutral payments so that Medicare pays the same, subject to risk differentials for the same services, regardless of where the services are provided.” (p. 3).
We also want to take this opportunity to address and correct misperceptions regarding the studies and the chronology that appeared in the majority of the public comments. These commenters asserted that at the time that the proposed rule was published, we had not submitted the 2011 Report to Congress. This is incorrect. As stated in the proposed rule, the Report to Congress on “Determining Medical Necessity and Appropriateness of Care for Medicare Long-Term Care Hospitals” required by section 114(b) of the Medicare and Medicaid State Children's Expansion Act of 2007 (MMSEA) (Pub.L. 110-173) was submitted in March of 2011 (78 FR 27670 through 27671). As we also noted in the proposed rule, the report may be found on the CMS Web site at: http://www.cms.gov/officeoflegislation/downloads/RTC-long-term-care-hospitals-final.pdf. Our contractors' research findings for the 2011 Report to Congress can be found in Appendix A of the 2011 Report to Congress.
In addition, the description of the framework that was presented in the FY 2014 IPPS/LTCH PPS proposed rule was also premised on “additional follow-up research that CMS was sponsoring [to] . . . update and refine our understanding of Medicare LTCH patients and payments” (78 FR 27671). One component of the follow-up research (as opposed to the research required by section 114(b) of the MMSEA for the 2011 Report to Congress), is described in the identically-named final report entitled “Determining Medical Necessity and Appropriateness of Care for Medicare Long-Term Hospitals,” which was finalized in July 2012. This July 2012 report factored in findings resulting from the implementation of the CARE tool, providing foundations for the remaining follow-up research, namely the to-be-completed research project to design a payment framework. The follow-up research on the development of a payment framework will ultimately generate an additional report, namely the “Long-Term Care Hospitals and the Chronically Critically Ill Population—Payment Recommendations (CCIP-PR). We refer readers to the FY 2014 IPPS/LTCH PPS proposed rule (78 FR 27671 through 27672) for further discussion of this ongoing research. We refer readers to the following Web site: www.rti.org/reports/cms/Kennell/Determine-Med-Necessity-Appropriate-Care-Medicine-LTCHs.pdf for additional information on Kennell/RTI's work. For additional information on the CARE tool, we refer reader to the following Web sites: http://www.cms.gov/Research-Statistics-Data-and-Systems/Statistics-Trends-and-Reports/Reports/downloads/Flood_PACPRD_RTC_CMS_Report_Jan_2012.pdf and http://www.cms.gov/Research-Statistics-Data-and-Systems/Statistics-Trends-and-Reports/Reports/downloads/GAGE_PACPRD_RTC_Supp_Materials_May_2011.pdf.
We also note that several commenters asserted that we were acting in “near total secrecy” as we carried out our research, and expressed concern regarding the lack of “transparency” because “none of the data, findings, or other information from this research [the CCI/MC framework] has been made available to the public.” We do not agree with these assertions. The FY 2014 IPPS/LTCH PPS proposed rule provided a recap of prior work (including citations to published findings) and put the public on notice as to ongoing research, as well as preliminary findings. Such information was made available to the public to ensure transparency and it included a description of a possible payment approach that ultimately may or may not figure into future proposals in LTCH PPS rulemakings. As part of the proposed rule, interested stakeholders were offered the opportunity to comment on a general approach. When our research is complete, the results will be made available to the public and, if such research leads to policy proposals, the public will have an opportunity to review our proposals and the data/findings supporting those proposals.
We do not expect the stakeholders to be able to perform a detailed analysis of a specific plan because a specific plan has not yet been formulated and has not been proposed at this time. If we do determine that we intend to proceed with rulemaking in this area, a specific plan will be proposed, along with relevant supporting materials. Stakeholders will be provided the opportunity to submit comments on this material as part of the rulemaking process. The specifics of any future proposals will be determined by us at the appropriate time during the development of any such policy. Review of contractor reports may ultimately prove useful if policies are ultimately proposed based on those findings, but interested parties should plan on referring to and commenting on the documentation associated with any future proposals during the rulemaking process as opposed to prior to any such proposals. The payment approach detailed in the FY 2014 IPPS/LTCH PPS proposed rule was influenced by a variety of projects and analyses. Publicly available reports for these projects can be found on the following Web sites: for the LTCH FPC Report to Congress at: http://www.cms.gov/About-CMS/LegislativeAffairs/OfficeofLegislation/Downloads/RTC-Long-Term-Care-Hospitals-Final.pdf; and for the LTCH FPC Final Report at: http://www.rti.orglreports/cms/kennell/Determine-Med-NecessityAppropriate-Care-Medicare-LTCHs.pdf. The presented approach was additionally influenced by work performed under the Chronically Critically Ill Population Payment Recommendation (CCIP-PR) project. CCIP-PR is an active project, and there are no finalized documents available at this time. There will be a final report for this project, anticipated to be delivered to us in the Fall 2013. It is our intention to make this report publicly available.
IX. Quality Data Reporting Requirements for Specific Providers and Suppliers Back to Top
CMS is seeking to promote higher quality and more efficient health care for Medicare beneficiaries. This effort is supported by the adoption of widely agreed-upon quality measures. CMS has worked with relevant stakeholders to define measures of quality for most settings and to measure various aspects of care for most Medicare beneficiaries. These measures assess structural aspects of care, clinical processes, patient experiences with care, and, increasingly, outcomes.
CMS has implemented quality reporting programs for multiple settings of care, including:
- Hospital inpatient services, under the Hospital Inpatient Quality Reporting (IQR) Program (formerly referred to as the Reporting Hospital Quality Data for Annual Payment Update (RHQDAPU) Program);
- Hospital outpatient services, under the Hospital Outpatient Quality Reporting (OQR) Program (formerly referred to as the Hospital Outpatient Quality Data Reporting Program (HOP QDRP));
- Care furnished by physicians and other eligible professionals, under the Physician Quality Reporting System (PQRS, formerly referred to as the Physician Quality Reporting Program Initiative (PQRI));
- Inpatient rehabilitation facilities, under the Inpatient Rehabilitation Facility Quality Reporting Program (IRF QRP);
- Long term care hospitals, under the Long Term Care Hospital Quality Reporting (LTCHQR) Program;
- PPS-exempt cancer hospitals, under the PPS-Exempt Cancer Hospital Quality Reporting (PCHQR) Program;
- Ambulatory surgical centers, under the Ambulatory Surgical Center Quality Reporting (ASCQR) Program;
- Inpatient psychiatric facilities, under the Inpatient Psychiatric Facilities Quality Reporting (IPFQR) Program;
- Home health agencies, under the home health quality reporting program (HH QRP); and,
- Hospices, under the Hospice Quality Reporting Program.
CMS has also implemented an end-stage renal disease quality improvement program that links payment to performance.
In implementing the Hospital IQR Program and other quality reporting programs, we have focused on measures that have high impact and support CMS and HHS priorities for improved quality and efficiency of care for Medicare beneficiaries. Our goal for the future is to align the clinical quality measure requirements of the Hospital IQR Program with various other Medicare and Medicaid programs, including those authorized by the Health Information Technology for Economic and Clinical Health (HITECH) Act, so that the burden for reporting will be reduced. As appropriate, we will consider the adoption of measures with electronic specifications, so that the electronic collection of performance information is part of care delivery. Establishing such a system will require interoperability between EHRs and CMS data collection systems, additional infrastructural development on the part of hospitals and CMS, and the adoption of standards for capturing, formatting, and transmitting the data elements that make up the measures. However, once these activities are accomplished, the adoption of many measures that rely on data obtained directly from EHRs will enable us to expand the Hospital IQR Program measure set with less cost and burden to hospitals. We believe that in the near future, automatic collection and reporting of data elements for many measures through EHRs will greatly simplify and streamline reporting for various CMS quality reporting programs, and that hospitals will be able to switch primarily to EHR-based reporting of data for many measures that are currently manually chart-abstracted and submitted to CMS for the Hospital IQR Program.
We have also implemented a Hospital Value-Based Purchasing (VBP) Program under section 1886(o) of the Act. In 2011, we issued the Hospital Inpatient VBP Program final rule (76 FR 26490 through 26547). We adopted additional policies for the Hospital VBP Program in section IV.B. of the FY 2012 IPPS/LTCH PPS final rule (76 FR 51653 through 51660), in section XVI. of the CY 2012 OPPS/ASC final rule with comment period (76 FR 74527 through 74547) and in section VIII.C. of the FY 2013 IPPS/LTCH PPS final rule (77 FR 53567 through 53614). We are finalizing additional policies for this program in section V.H. of this final rule. Under the Hospital VBP Program, hospitals will receive value-based incentive payments if they meet performance standards with respect to measures for a performance period for the fiscal year involved. The measures under the Hospital VBP Program must be selected from the measures (other than readmission measures) specified under the Hospital IQR Program as required by section 1886(o)(2)(A) of the Act.
In selecting measures for the Hospital IQR Program, we are mindful of the conceptual framework of the Hospital VBP Program. Section 1886(o)(2)(B)(i)(I) of the Act states that for FY 2013, the selected measures for the Hospital VBP Program must cover at least the following five specified conditions or procedures: Acute myocardial infarction (AMI), Heart failure (HF), Pneumonia (PN), surgical care, as measured by the Surgical Care Improvement Project (SCIP), and Healthcare-Associated Infections (HAIs), as measured by the prevention metrics and targets established in the HHS Action Plan to Prevent HAIs (or any successor HHS plan). Section 1886(o)(2)(B)(i)(II) of the Act provides that, for FY 2013, measures selected for the Hospital VBP Program must also be related to the Hospital Consumer Assessment of Healthcare Providers and Systems survey (HCAHPS).
The Hospital IQR Program is linked with the Hospital VBP Program because the measures and reporting infrastructure for both programs overlap. We view the Hospital VBP Program as the next step in promoting higher quality care for Medicare beneficiaries by transforming Medicare from a passive payer of claims into an active purchaser of quality healthcare for its beneficiaries. Value-based purchasing is an important step to revamping how care and services are paid for, moving increasingly toward rewarding better value, outcomes, and innovations instead of merely volume. As we stated in the Hospital Inpatient VBP Program proposed rule (76 FR 2455), we applied the following principles for the development and use of measures and scoring methodologies:
- Public reporting and value-based payment systems should rely on a mix of standards, process, outcomes, and patient experience of care measures, including measures of care transitions and changes in patient functional status. Across all programs, we seek to move as quickly as possible to the use of primarily outcome and patient experience measures. To the extent practicable and appropriate, outcome and patient experience measures should be adjusted for risk or other appropriate patient population or provider characteristics.
- To the extent possible and recognizing differences in payment system maturity and statutory authorities, measures should be aligned across public reporting and payment systems under Medicare and Medicaid. The measure sets should evolve so that they include a focused core set of measures appropriate to the specific provider category that reflects the level of care and the most important areas of service and measures for that provider.
- The collection of information should minimize the burden on providers to the extent possible. As part of this effort, we will continuously seek to align our measures with the adoption of e-specified measures, and reporting of quality data via Certified Electronic Health Record Technology (CEHRT), so the electronic collection of performance information is part of care delivery.
- To the extent practicable, measures used by CMS should be nationally endorsed by a multi-stakeholder organization. Measures should be aligned with best practices among other payers and the needs of the end users of the measures.
We also view the Hospital-Acquired Condition (HAC) payment adjustment program authorized by section 3008 of the Affordable Care Act and the Hospital VBP Program as related, but separate, efforts to reduce HACs. The Hospital VBP Program is an incentive program that awards payments to hospitals based on quality performance on a wide variety of measures, while the program established by section 3008 of the Affordable Care Act, the HAC Reduction Program, creates a payment adjustment resulting in payment reductions for the lowest performing hospitals based on their rates of HACs. Policies for the Hospital VBP Program are included in section V.H. of the preamble of this final rule. Policies for the HAC Reduction Program are included in section V.I. of the preamble of this final rule.
Although we intend to monitor the various interactions of programs authorized by the Affordable Care Act and their overall impact on providers and suppliers, we also view programs that could potentially affect a hospital's Medicaid payment as separate from programs that could potentially affect a hospital's Medicare payment.
In the preamble of this final rule, we are adopting changes to the following Medicare quality reporting systems:
- In section IX.A., the Hospital IQR Program.
- In section IX.B., the PCHQR Program.
- In section IX.C., the LTCHQR Program.
- In section IX.D., the IPFQR Program.
In addition, in section IX.E. of the preamble of this final rule, we are adopting changes to the Medicare EHR Incentive Program and meaningful use.
A. Hospital Inpatient Quality Reporting (IQR) Program
1. Background
a. History of Measures Adopted for the Hospital IQR Program
We refer readers to the FY 2010 IPPS/RY 2010 LTCH PPS final rule (74 FR 43860 through 43861) and the FY 2011 IPPS/LTCH PPS final rule (75 FR 50180 through 50181) for detailed discussions of the history of the Hospital IQR Program, including the statutory history, and to the FY 2013 IPPS/LTCH PPS final rule (77 FR 53503 through 53555) for the measures we have adopted for the Hospital IQR measure set through FY 2016.
b. Maintenance of Technical Specifications for Quality Measures
The technical specifications for the Hospital IQR Program measures, or links to Web sites hosting technical specifications, are contained in the CMS/The Joint Commission (TJC) Specifications Manual for National Hospital Quality Measures (Specifications Manual). This Specifications Manual is posted on the QualityNet Web site at https://www.QualityNet.org. We generally update the Specifications Manual on a semiannual basis and include in the updates detailed instructions and calculation algorithms for hospitals to use when collecting and submitting data on required measures. These semiannual updates are accompanied by notifications to users, providing sufficient time between the change and the effective date in order to allow users to incorporate changes and updates to the specifications into data collection systems. We will provide ICD-9 to ICD-10 crosswalks for the measure specifications in the manual for preview and comment in the July 2013 manual release.
The technical specifications for the HCAHPS patient experience of care survey are contained in the current HCAHPS Quality Assurance Guidelines manual, which is available at the HCAHPS On-Line Web site, http://www.hcahpsonline.org. We maintain the HCAHPS technical specifications by updating the HCAHPS Quality Assurance Guidelines manual annually, and include detailed instructions on survey implementation, data collection, data submission and other relevant topics. As necessary, HCAHPS Bulletins are issued to provide notice of changes and updates to technical specifications in HCAHPS data collection systems.
Many of the quality measures used in different Medicare and Medicaid reporting programs are endorsed by the National Quality Forum (NQF). The NQF is a voluntary consensus standard-setting organization with a diverse representation of consumer, purchaser, provider, academic, clinical, and other healthcare stakeholder organizations. The NQF was established to standardize healthcare quality measurement and reporting through its consensus development process. As part of its regular maintenance process for endorsed performance measures, the NQF requires measure stewards to submit annual measure maintenance updates and undergo maintenance of endorsement review every 3 years. In the measure maintenance process, the measure steward (owner/developer) is responsible for updating and maintaining the currency and relevance of the measure and will confirm existing or minor specification changes to NQF on an annual basis. NQF solicits information from measure stewards for annual reviews and in order to review measures for continued endorsement in a specific 3-year cycle.
Through NQF's measure maintenance process, NQF-endorsed measures are sometimes updated to incorporate changes that we believe do not substantially change the nature of the measure. Examples of such changes could be updated diagnosis or procedure codes, medication updates for categories of medications, changes to exclusions to the patient population, definitions, or extension of the measure endorsement to apply to other settings. We believe these types of maintenance changes are distinct from more substantive changes to measures that result in what are considered new or different measures, and that they do not trigger the same agency obligations under the Administrative Procedure Act.
In the FY 2013 IPPS/LTCH PPS final rule (77 FR 53504 through 53505), we finalized a policy under which we will use a subregulatory process to make non-substantive updates to NQF-endorsed measures used for the Hospital IQR Program. With respect to what constitutes substantive versus nonsubstantive changes, we expect to make this determination on a case-by-case basis. Examples of non-substantive changes to measures might include updated diagnosis or procedure codes, medication updates for categories of medications, broadening of age ranges, and exclusions for a measure (such as the addition of a hospice exclusion to the 30-day mortality measures). We believe that non-substantive changes may also include updates to NQF-endorsed measures based upon changes to guidelines upon which the measures are based. We will revise the Specifications Manual so that it clearly identifies the updates and provide links to where additional information on the updates can be found. We also will post the updates on the QualityNet Web site at https://www.QualityNet.org. We will provide sufficient lead time for hospitals to implement the changes where changes to the data collection systems would be necessary.
We will continue to use rulemaking to adopt substantive updates made by the NQF to the endorsed measures we have adopted for the Hospital IQR Program. Examples of changes that we might consider to be substantive would be those in which the changes are so significant that the measure is no longer the same measure, or when a standard of performance assessed by a measure becomes more stringent (for example, changes in acceptable timing of medication, procedure/process, or test administration). Another example of a substantive change would be where the NQF has extended its endorsement of a previously endorsed measure to a new setting, such as extending a measure from the inpatient setting to hospice.
The quality measure SCIP INF 4, Controlled 6AM Glucose for Cardiac Surgery Patients (NQF #300), is an example of a measure that has undergone extensive changes as a result of the NQF maintenance process. The specifications have substantively changed and we proposed to adopt these changes in the FY 2014 IPPS/LTCH PPS proposed rule (78 FR 27684). As we discuss below, the NQF Steering Committee voted to change the measure from controlled glucose at 6AM to controlled glucose 18-24 hours post-surgery for cardiac surgery patients. The specifications also require corrective action to be documented if a post-operative glucose is over 180mg/dl. The specifications for the proposed updated measure can be found at: http://www.qualityforum.org.
We believe that this policy adequately balances our need to incorporate non-substantive NQF updates to NQF-endorsed Hospital IQR Program measures in the most expeditious manner possible, while preserving the public's ability to comment on updates that so fundamentally change an endorsed measure that it is no longer the same measure that we originally adopted. We also note that the NQF process incorporates an opportunity for public comment and engagement in the measure maintenance process. These policies regarding what is considered substantive versus non-substantive apply to all measures in the Hospital IQR Program.
Comment: One commenter suggested that measure maintenance changes such as broadening of age ranges, and exclusions for a measure (for example, addition of a hospice exclusion to the 30-day mortality measures), as well as updates to NQF-endorsed measures based upon changes to guidelines upon which the measure was based) are substantive and should be proposed via rulemaking. One commenter urged that any changes involving individuals under the age of 18 in measures that were initially developed for adult populations include a process for review and input by a panel of pediatric experts and stakeholders.
Response: As stated previously in this section, we will continue to use rulemaking to adopt substantive updates made to the endorsed measures we have adopted for the Hospital IQR Program. We believe that measure maintenance changes can be either substantive, which could result in what are considered new or different measures, or nonsubstantive, which does not trigger the same agency obligations under the Administrative Procedure Act. With respect to what constitutes substantive versus nonsubstantive changes, we expect to make this determination on a case-by-case basis to assess changes such as those suggested by the commenter—broadening of age ranges, additional exclusions for a measure, guideline changes, etc. We thank the commenter for the suggestion for getting input by a panel of pediatric experts and stakeholders when a measure applying to adults are changed to include individuals under the age of 18 and will consider doing so in the future.
c. Public Display of Quality Measures
Section 1886(b)(3)(B)(viii)(VII) of the Act, as amended by section 3001(a)(2) of the Affordable Care Act, requires that the Secretary establish procedures for making information regarding measures submitted available to the public after ensuring that a hospital has the opportunity to review its data before they are made public. In the FY 2014 IPPS/LTCH PPS proposed rule (78 FR 27678 through 27679), we proposed, for the FY 2014 Hospital IQR Program and subsequent years, to continue our current policy of reporting data from the Hospital IQR Program as soon as it is feasible on CMS Web sites such as the Hospital Compare Web site, http://www.hospitalcompare.medicare.gov, and/or the interactive https://data.medicare.gov Web site, after a 30-day preview period.
The Hospital Compare Web site is an interactive Web tool that assists beneficiaries by providing information on hospital quality of care to those who need to select a hospital. It further serves to encourage beneficiaries to work with their doctors and hospitals to discuss the quality of care hospitals provide to patients, thereby providing an additional incentive to hospitals to improve the quality of care that they furnish. The Hospital IQR Program currently includes process of care measures, risk-adjusted outcome measures, the HCAHPS patient experience-of-care survey, structural measures, Emergency Department Throughput timing measures, hospital acquired condition measures, immunization measures, and hospital acquired infection measures, all of which are featured on the Hospital Compare Web site.
However, information that may not be relevant to or easily understood by beneficiaries and information for which there are unresolved display issues or design considerations for inclusion on Hospital Compare may be made available on other CMS Web sites that are not intended to be used as an interactive Web tool, such as http://www.cms.hhs.gov/HospitalQualityInits/ or https://data.medicare.gov. Publicly reporting the information in this manner, although not on the Hospital Compare Web site, allows CMS to meet the requirement under section 1886(b)(3)(B)(viii)(VII) of the Act for establishing procedures to make information regarding measures submitted under the Hospital IQR Program available to the public following a preview period. In such circumstances, affected parties are notified via CMS listservs, CMS email blasts and memorandums, Hospital Open Door Forums, national provider calls, and QualityNet announcements regarding the release of preview reports followed by the posting of data on a Web site other than Hospital Compare.
In the FY 2013 IPPS/LTCH PPS final rule (77 FR 53507 through 53508), we removed five Agency for Healthcare Research and Quality (AHRQ) Patient Safety Indicators (PSIs). We did so noting that four of these indicators were part of the AHRQ PSI-90 measure, and that this information could be made publically available in the future in addition to the PSI-90 composite measure results that we currently make publically available. We recently received feedback from consumer advocacy groups and large purchasers that data on the individual PSI indicators that are part of the PSI-90 composite measure are highly relevant to consumers, and not publically reporting them would be a disservice to consumers of healthcare. Therefore, we proposed to make publicly available hospital level data for the PSI indicators that are part of the PSI-90 composite in addition to the composite results. We invited public comment on this proposal.
Comment: Some commenters supported the proposal to break out the reporting of hospital-level data for the PSI indicators that are part of the PSI-90 composite, in addition to the composite results. The commenters stated that while the display of specific adverse event data is more valuable to hospitals to determine areas for quality improvement, the composite rates are useful for beneficiaries.
One commenter did not support the disaggregating the data on PSI-90 because several of the underlying measures are not NQF-endorsed, and therefore may not be stable at the individual level. The commenter contended that incomplete or unstable data does not serve the patients well when making informed decisions on the data.
One commenter recommended excluding the display of PSI-7: Central venous catheter related bloodstream infection rate results in the PSI-90 composite for concerns that the public may confuse this claims-based measure with the NHSN Central line associated bloodstream infection (CLABSI) measure in Hospital IQR Program. The commenter noted these two measures are significantly different as they are collected from different data sources.
Response: We thank the commenters for recognizing the value of reporting separate hospital-level data for the PSI-90 indicators that are part of the PSI-90 composite, aside from the reporting of the composite results. We recognize that not all of the indicators in PSI-90 are NQF endorsed. However, we do not believe that this means these measures are unreliable. We also recognize that one or more of the measures in PSI-90 may be similar to other measures displayed for consumers like the PSI-7. However, we believe that it would be beneficial for both hospitals and consumers to have access to performance information for the individual measures upon which the composite is based—hospitals for quality improvement purposes, consumers for greater understanding of what the composite score means. We will continue to provide data to the public in an easily understandable, user-friendly manner. We will report the composite score for PSI-90, and the individual hospital level rates in the downloadable database, https://data.medicare.gov/, that is available to users free of charge.
After consideration of the public comments we received, we are finalizing our proposal to make publicly available hospital level data for the PSI indicators that are part of the PSI-90 composite in addition to the composite results.
We also invited public comment on what additional quality measures and information featured on Hospital Compare may be highly relevant to patients and other consumers of healthcare, and how we may better display this information on the Hospital Compare Web site. One option we have considered is aggregating measures in a graphical display, such as star ratings.
Comment: One commenter suggested that CMS report additional information on medical errors on Hospital Compare. Another commenter suggested that CMS report the information on pressure ulcer Stages III or IV.
Response: We thank the commenters for these suggestions for additional information to report that may be highly relevant to patients, and we will consider mechanisms that we may use to do so.
Comment: Some commenters supported CMS' goal of improving the display of quality information for the public's use. One commenter believed that the public would embrace a “star rating” system due to its simplicity. However, the commenter was concerned if confidence intervals and statistically significant differences can be displayed appropriately and correctly. One commenter recommended maintaining the availability of actual raw measure rates and testing different graphic depictions of measure results to improve the beneficiary-friendliness of the Hospital Compare Web site. Another commenter recommended that, prior to implementing graphical display, CMS should conduct an analysis of the appropriate domains or elements that would comprise the graphical rating, the relative weights assigned to each domain, and how risk-adjustment will be applied and get input from stakeholders.
A few commenters opposed the “star rating” system as they believed that this kind of system requires arbitrary cutoffs. The commenters asserted that the pursuit for the small differences in high performance levels, as in the case of many Hospital IQR Program measures, is neither helpful to consumers nor fair to hospitals. Commenters believed that differentiation of hospital performance is best represented by the actual score or performance rate. The commenters were concerned that the use of star ratings may lead to hasty, snap decisions by the public.
Response: We understand the commenter's concerns and thank them for sharing their insight on star rating system and graphical display. We work continuously to develop our Web site into a positive, user-friendly experience. We will take the commenters' suggestions into consideration as we work to further improve Hospital Compare.
Comment: A few commenters believed the platform of Hospital Compare offers the best hub for all kinds of measures of hospital performance. One commenter believed that the term “Hospital Compare” on the site is not appropriate due to the fact that no hospital attributes are used in any of the methodologies, and therefore, the data is not “comparative” of “hospitals.” Some commenters contended that patient outcomes should be compared only against “like” facilities to truly measure outcomes that are meaningful. For example, the commenters believed that comparing a Trauma Level I facility to a Trauma Level III facility is not an appropriate compare. Likewise, tertiary facilities may unfairly be represented due to receiving higher acuity patients. The commenters urged adding more transparency in hospital reports by including hospital attributes and regional patient demographics including volume, and numerators and denominators used to determine values, so that comparisons are realistic and a national standard within each stratum is user friendly and meaningful.
Response: We thank the commenters for these suggestions for how to better display information on Hospital Compare, and will consider whether these enhancements are feasible for a future release of the Web site. We currently report characteristics including type of hospital and whether or not that hospital has an Emergency Department. We are fully committed to the display of hospital quality information for the general public to make informed decisions.
Comment: One commenter recommended that CMS provide raw rates in Excel File format to meet provider and researchers' needs. In addition, the commenter also asked CMS to post hospital-level data for any measures that are used in calculating payments in a timely and routine fashion.
Response: We currently make available data in a downloadable format which includes both an Access Database and CSV file formats which can be imported into an Excel spreadsheet. We will continue to offer these formats for downloading Hospital Compare data. We provide this data each quarter on http://www.medicare.gov/Download/DownloadDB.asp and on https://data.medicare.gov/. The process of care, HCAHPS and HAI measure rates are calculated on this quarterly schedule. Due to the nature of the calculation requirements, the outcome measures are only calculated annually.
Comment: A few commenters were concerned that the outcome measures do not adequately identify outliers since the vast majority of hospitals are classified as average.
Response: We have chosen to classify hospitals as Higher than Expected only when there is a high degree of certainty in order to avoid misleading consumers. To fall in the Higher than Expected category, the 95 percent interval estimate surrounding the hospital's rate must be higher than the national observed rate; the Lower than Expected category includes hospitals with 95 percent interval estimates lower than the national observed rate. The point estimate is also available for these hospitals, however, and shows a range of performance.
2. Removal and Suspension of Hospital IQR Program Measures
a. Considerations in Removing Quality Measures From the Hospital IQR Program
Generally, we retain measures from the previous year's Hospital IQR Program measure set for subsequent years' measure sets except when they are removed or replaced as indicated. We refer readers to the FY 2013 IPPS/LTCH PPS final rule (77 FR 53505 through 53506) for a discussion of the considerations we use in removing (formerly referred to as retiring) previously adopted Hospital IQR Program measures.
Comment: One commenter stated that “topped-out” should not be the sole criterion to remove process measures from the Hospital IQR Program measure set because the commenter was concerned about unintended consequences. The commenter contended that data collection for process measures that are strongly linked to the desired health outcomes (that is, accountability measures) should be continued since it is hard to predict the impact on performance once the measurement stops. The commenter strongly encouraged CMS to adopt the TJC accountability classification system in determining which process measures to remove.
Response: We wish to clarify that when we propose to remove or suspend measures, we consider not only the measure's “topped-out” status, but also many other factors such as the MAP recommendation, NQF endorsement, the measure's tie to better patient outcomes, the potential negative impact on performance, whether the practices addressed by these measures continue to be routinely practiced, as well as public comments. The four measures we suspended beginning with the FY 2015 payment determination (77 FR 53509) were examples of how we apply such considerations.
We also wish to clarify that measure suspension from the Hospital IQR Program results in a discontinuation of routine data collection for the measure for Hospital IQR Program purposes until further notice. However, unlike measure removal, data collection for a suspended measure may be re-initiated through subregulatory notification processes should there be evidence to support doing so and the specifications do not require substantive revision. After suspension, we may choose to reinstate measure data collection at a future time. Some circumstances under which we may choose to reinstate collection include, but are not limited to: Evidence indicating declines in performance after the suspension of a topped-out measure; changes in performance targets or best practices that informed the original measure; or MAP recommendations to reinstate the measure. If changes in the measure prompt us to consider reinstating data collection and such changes are substantive in nature, any modifications to a previously NQF-endorsed measure may require supplemental NQF review as well as rulemaking.
We thank the commenter for the recommendation that we use the TJC accountability classification system and will take it into consideration when we contemplate measure removal and suspension.
b. Hospital IQR Program Measures Removed in Previous Rulemaking
In previous rulemakings, we have removed numerous Hospital IQR Program quality measures, including:
- PN-1: Oxygenation Assessment for Pneumonia, a “topped-out” measure, because measures with very high performance among hospitals present little opportunity for improvement and do not provide meaningful distinctions in performance for consumers (73 FR 48604).
- AMI-6: Beta Blocker at Arrival measure from the Hospital IQR Program because it no longer “represent[ed] the best clinical practice,” as required under section 1886(b)(3)(B)(viii)(VI) of the Act. We stated that when there is reason to believe that the continued collection of a measure as it is currently specified raises potential patient safety concerns, it is appropriate for CMS to take immediate action to remove a measure from the Hospital IQR Program and not wait for the annual rulemaking cycle. Therefore, we adopted the policy (74 FR 43864 and 43865) that we would promptly remove such a measure, confirm the removal in the next IPPS rulemaking cycle, and notify hospitals and the public of the decision to promptly remove measures through the usual hospital and QIO communication channels used for the Hospital IQR Program. These channels include memos, email notification, and QualityNet Web site postings. To this end, we confirmed the removal of the AMI-6 measure in the FY 2010 IPPS/LTCH PPS rulemaking cycle after immediate suspension because the measure posed patient safety risks.
- Mortality for Selected Procedures Composite measure because the measure is not considered suitable for purposes of comparative reporting by the measure developer (75 FR 50186).
- Three adult smoking cessation measures: AMI-4: Adult Smoking Cessation Advice/Counselling; HF-4: Adult Smoking Cessation Advice/Counselling; and PN-4: Adult Smoking Cessation Advice/Counselling, because these measures are “topped-out” and no longer NQF-endorsed (76 FR 51611).
- PN-5c: Timing of Receipt of Initial Antibiotic Following Hospital Arrival measure out of concerns that the continued collection of this measure might lead to the unintended consequence of antibiotic overuse (76 FR 51611).
- 17 measures set out below (77 FR 53506 through 53509)
| Topic | 17 Measures removed from hospital IQR program measure set for the FY 2015 payment determination and subsequent years |
|---|---|
| * Chart-abstracted measure | |
| ** Claims-based measure | |
| Surgical Care Improvement Project (SCIP) Measure | |
| • SCIP INF-VTE-1: Surgery patients with recommended Venous Thromboembolism (VTE) prophylaxis ordered * | |
| AHRQ Patient Safety Indicators (PSIs), Inpatient Quality Indicators (IQIs) and Composite Measures | |
| • PSI 06: Iatrogenic pneumothorax, adult ** | |
| • PSI 11: Post Operative Respiratory Failure ** | |
| • PSI 12: Post Operative PE or DVT ** | |
| • PSI 14: Postoperative wound dehiscence ** | |
| • PSI 15: Accidental puncture or laceration ** | |
| • IQI 11: Abdominal aortic aneurysm (AAA) mortality rate (with or without volume) ** | |
| • IQI 19: Hip fracture mortality rate ** | |
| • IQI 91: Mortality for selected medical conditions (composite) ** | |
| Hospital Acquired Condition Measures | |
| • Foreign Object Retained After Surgery ** | |
| • Air Embolism ** | |
| • Blood Incompatibility ** | |
| • Pressure Ulcer Stages III & IV ** | |
| • Falls and Trauma: (Includes: Fracture Dislocation Intracranial Injury Crushing Injury Burn Electric Shock) ** | |
| • Vascular Catheter-Associated Infection ** | |
| • Catheter-Associated Urinary Tract Infection (UTI) ** | |
| • Manifestations of Poor Glycemic Control ** | |
Comment: A commenter recommended expediting the removal date of the 17 measures targeted for FY 2015 payment determination removal to FY 2014.
Response: We note that although the payment determination in which these measures would cease to be used is FY 2015, the collection requirement for the measures will cease December 31, 2014. It is not feasible to cease collection sooner.
c. Removal of Hospital IQR Program Measures for the FY 2016 Payment Determination and Subsequent Years
As we move toward more outcome-related measures, we have considered the removal of additional measures using our stated removal criteria. In the FY 2014 IPPS/LTCH PPS proposed rule (78 FR 27680 through 27681), we proposed to remove 8 measures from the Hospital IQR Program. Three measures are chart-abstracted (one pneumonia measure, one heart failure measure, and one immunization measure), and one is a structural measure (Systematic Clinical Database Registry for Stroke Care). We also proposed to remove 4 additional chart-abstracted measures from the Hospital IQR Program because they were either recommended for removal by the MAP during the pre-rulemaking process or are considered “topped out.”
(1) Removal of PN-3b: Blood Culture Performed in the Emergency Department Prior to First Antibiotic Received in the Hospital Measure
In the FY 2007 IPPS final rule, we adopted PN-3b: Blood Culture Performed in the Emergency Department Prior to First Antibiotic Received in the Hospital. We proposed to remove this measure based on several considerations. First, the measure is no longer NQF-endorsed. Second, the MAP recommended removal of the measure from the Hospital IQR Program in a February 2013 pre-rulemaking report that made recommendations on measures under consideration by HHS. The MAP believed the measure was topped-out with no room for improvement. Third, the measure lacks an adequate association between processes of care and patient outcomes. Accordingly, since there is only limited data showing impact from drawing blood cultures prior to administering antibiotics and to address concerns of overuse of blood cultures, we proposed to remove PN-3b from the Hospital IQR Program.
Comment: Many commenters strongly agreed with the rationale for removing PN-3b and acknowledged CMS' concerns about the unintended consequences of measuring the timing of drawing blood cultures, starting of antibiotics and its effect on the overuse of antibiotics and the emergence of drug resistant organisms.
Response: We thank the commenters for supporting the removal of this measure and agreeing with our concerns for this measure.
After consideration of the public comments we received, we are finalizing the removal of this measure from the Hospital IQR Program measure set.
(2) Removal of HF-1: Discharge Instructions Measure
In the FY 2007 IPPS final rule we adopted HF-1: Discharge Instructions. We proposed to remove this measure based on several considerations. First, the measure is no longer NQF-endorsed. In addition, the MAP was concerned because research showed a weak correlation between this measure and patient outcomes. Third, while we consider discharge instructions an important aspect of patient care, we face a challenge in validating the efficacy of the information received with this measure. Therefore, we proposed to remove HF-1 from the Hospital IQR Program.
Comment: Some commenters supported the proposal to remove the HF-1 measure, but also recommended the removal of STK-8 Stroke education measure as they are similar in nature since they are both discharge instruction measures.
Response: We thank the commenter for the support for the removal of HF-1. We have not proposed to remove STK-8 because the assessment of stroke care quality is a relatively new topic in the Hospital IQR Program, and we have not had an opportunity to evaluate data on the measure because collection just began earlier this year. Also, for electronic reporting alignment purposes, STK-8 is one of the measures that we are going to allow hospitals to voluntarily report electronically.
Comment: Many commenters strongly supported the proposed removal of the HF-1 Discharge Instruction Measure, which they believed contributes no real value in patient outcome. Commenters pointed out that the measure has been retired from the American College of Cardiology/America Hospital Association performance measure list for heart failure patients because there is no strong link to outcomes. One commenter stated that the medication reconciliation aspect of this measure is labor intensive. One commenter encouraged CMS to continue to evaluate potential heart failure measures to maintain a comprehensive perspective, including medication reconciliation, because this condition affects so many high risk beneficiaries in the Medicare population. The commenter was concerned that the removal of the HF-1 measure would cause a void in the measurement of medication reconciliation.
Response: We thank the commenters for the support of our proposal to remove this measure. We agree with the commenter that heart failure is a high-risk condition affecting a large percentage of the Medicare population. We recognize the commenter's concerns that the HF-1 measure is not strongly tied to patient outcomes and that the medication reconciliation component of the measure is cumbersome to implement. However, there are currently three other measures in Hospital IQR Program measure set that address heart failure: HF-2: Evaluation of left ventricular systolic function; Heart Failure 30-day risk standardized readmission; and Heart Failure 30-day risk standardized mortality rate. Regarding the commenter's concern about a void in medication reconciliation from the removal of HF-1, we will continue to seek potential measures that address this HF issue for future rulemaking.
After consideration of the public comments we received, we are finalizing the removal of this measure from the Hospital IQR Program measure set as proposed.
(3) Removal of IMM-1: Immunization for Pneumonia Measure
We adopted IMM-1: Immunization for Pneumonia for the Hospital IQR Program for the FY 2014 payment determination with data collection beginning with January 1, 2012 discharges. We proposed to remove this measure based on the following consideration. In October of 2012, the Advisory Committee on Immunization Practices (ACIP) released new guidelines on the administration of pneumococcal vaccination for various populations. Because IMM-1 was already required as part of the Hospital IQR Program before the new guidelines were published, we cannot feasibly implement the measure to incorporate the potential iterations of the new guidelines. We believe that maintaining the measure in the Hospital IQR Program during this period of rapid guideline changes would detract from hospitals efforts to administer vaccines appropriately.
We emphasize that, despite the proposed removal of IMM-1 from the Hospital IQR Program, we expect hospitals to continue to keep up-to-date with the vaccination recommendations for various populations.
Comment: Many commenters supported the proposed removal of IMM-1 from the Hospital IQR Program measure set.
Some commenters did not support the proposed removal of IMM-1 Immunization for Pneumonia measure because they believed that removing the measure would undermine efforts to continually improve pneumococcal immunization rates. In addition, the commenters noted that optimal vaccination rates for the older patient population have yet to be achieved. Commenters believed immunization for pneumonia in older adults, especially the Medicare population, is of paramount importance to prevent admissions due to pneumonia. The commenters believed that the latest CMS measure specifications updates in the Specifications Manual should be broad enough to accommodate the new ACIP guidelines for the administration of pneumococcal vaccination to various populations. Commenters expressed concern that efforts to increase adult vaccination for pneumonia would decline if the measure were removed from the program altogether. One commenter recommended allowing an interim period for hospitals to prepare to report on the measure based on the ACIP recommendations. Also, the commenter urged CMS to maintain a comprehensive pneumonia measure set in the Hospital IQR Program.
Response: We appreciate the comments that support the removal IMM-1 from the Hospital IQR Program. Our original intent was to propose and finalize the removal of the measure from the Hospital IQR Program measure set based on the reasons indicated in the FY 2014 IPPS/LTCH PPS proposed rule (78 FR 27680). Since the publication of the proposed rule, we have carefully assessed our measure removal criteria, measure suspension criteria as discussed in the IX.A.2.a. of the preamble of this final rule, the considerations in removing quality measures from the Hospital IQR Program set out in the FY 2012 IPPS/LTCH PPS final rule (76 FR 51609 through 51611), as well as public comments received from this rulemaking. We have, as explained more fully below, decided it is more suitable to suspend the collection of the IMM-1 measure until further notice rather than remove it from the program altogether in order that we may update the measure and reinstate the collection of the measure in electronic form in the future, should evidence arise of a decline in performance. As indicated in this example of measure suspension, we note our measure suspension policy entails flexibility in that suspension decisions can be made on a case by case basis.
In the FY 2012 IPPS/LTCH PPS final rule (76 FR 51609 through 51610), we removed measures because they were “topped-out.” In the FY 2013 IPPS/LTCH PPS final rule (77 FR 53506 through 53509), we removed measures for several reasons: (1) They lost NQF endorsement; (2) an alternative measure that is more proximal to or that has a stronger relationship to outcome was available; (3) a more broadly applicable measure was available; (4) to reduce redundancy; (5) MAP recommendation; or (6) the measure would not be used in Hospital VB Program.
The IMM-1 measure does not meet one or more of the criteria for removal stated above, and therefore, we believe warrants suspension rather than removal. In the case of the IMM-1 measure, since the October 1, 2012 release of the ACIP guidelines on the administration of the pneumococcal vaccination for various populations, we investigated numerous options to refine the IMM-1 measure to be consistent with those guidelines. Following discussions with technical experts, we learned that creating several algorithms to capture all possible scenarios prior to pneumococcal vaccination was not the only challenge of implementing a feasible and reliable chart-abstracted measure. We learned that achieving reproducibly meaningful measure results depended on patient charts that consistently contained detailed information about the date and type of prior vaccination, and comorbid conditions. We determined that our current data source for the measure (that is, paper medical records that undergo chart abstraction) often do not contain this level of detailed historical data and patients often do not recall dates of prior vaccines received and specific vaccine types. When considering possible clinical scenarios of screening and vaccinating for pneumonia, current chart and electronic data do not consistently allow for successful abstraction of these varied and detailed historical facts, all of which are needed to appropriately administer a pneumococcal vaccine. The measure, as updated by ACIP guidelines, would burden hospitals with data abstraction yielding questionably meaningful and reliable results, and could potentially encourage hospitals to vaccinate inappropriate patients in order to not perform poorly on a measure. Furthermore, we also learned that the ACIP recommendations are likely to further evolve in the near future.
However, we agree with the commenters that immunization for pneumonia in older adults, especially the Medicare population, is of paramount importance to prevent admissions due to pneumonia. Ideally, patients 65 years of age and older should be routinely screened and vaccinated during all points of contact with healthcare providers, not just in the acute care setting. Hospital IQR Program measures play a pivotal role in improving health care and we believe that IMM-1 has contributed to achieving desirable pneumococcal rates. We stress that is not our intent to discourage appropriate pneumococcal vaccination of adults. We reiterate that hospitals should adhere to preventive medicine principles by being up-to-date with evidenced-based ACIP recommendations and CDC pneumococcal vaccination guidelines and vaccinate accordingly.
In summary, we believe the IMM-1 measure is more appropriate for suspension than removal because it does not meet the previously stated removal criteria, but cannot be implemented in its current state. Therefore, in an effort to balance our goals to incentivize high quality care while minimizing data collection burden for hospitals, we have decided to suspend data collection for IMM-1 in the Hospital IQR Program until such time when the guidelines stabilize and are well-established.
In addition, due to the detailed aspects of the current ACIP guidelines, we believe a pneumococcal measure is best implemented with information from electronic health records. Based on the above comments and issues, instead of removing, we will suspend the IMM-1 measure from the Hospital IQR Program beginning with the FY 2016 payment determination until further notice.
(4) Removal of the Structural Measure: Participation in a Systematic Clinical Database Registry for Stroke Care
We adopted the structural measure Participation in a Systematic Clinical Database Registry for Stroke Care for the Hospital IQR Program for the FY 2013 payment determination with data collection beginning with January 1, 2011 discharges. We proposed to remove this measure based on the following consideration. Since the adoption of this structural measure, we have adopted a Stroke measure set with data collection beginning with January 1, 2013 discharges. We believe that the Stroke measure set will provide more meaningful and detailed information regarding how well stroke care is being managed in a hospital setting than the current structural measure, which consists of a general yes/no response.
Comment: Many commenters supported the proposed removal of the measure in light of the proposed addition of clinically driven process of care measures of stroke care. The commenters believed that participation in a registry is not correlated with improved patient care. A few commenters did not support the removal of this measure for concern that hospitals may be dis-incentivized to participate in registry data collection. The commenters added that the stroke registry collects more information than the Stroke measure set specified for e-reporting.
Response: We thank the commenters for their support of the removal of the measure. The purpose of this measure was to assess registry participation and not to incentivize it. We do not believe that removal of this measure would dis-incentivize hospitals from participating in registries. Currently, the Hospital IQR Program measure set still contains other structural measures regarding registry participation. We believe that registries continue to provide valuable quality improvement feedback to hospitals that may be useful beyond what we are reporting. We do not anticipate hospitals would discontinue participation in registry even though we remove this structural measure.
After consideration of the public comments we received, we are finalizing the removal of this measure from the Hospital IQR Program measure set as proposed.
(5) Removal of Four Additional Chart-Abstracted Measures
We also proposed to remove four chart-abstracted measures from the Hospital IQR Program because these measures were either recommended for removal by the MAP during the pre-rulemaking process or are considered “topped out.”
- AMI-2: Aspirin prescribed at discharge
- AMI-10: Statin prescribed at discharge
- HF-3: ACEI or ARB for LVSD
- SCIP-Inf-10: Surgery Patients with perioperative temperature management
We invited public comment on our proposal to remove these measures.
Comment: Many commenters supported the proposed removal of the four additional chart-abstracted measures.
Response: We thank the commenters for their support for the removal of these proposed measures.
Comment: A few commenters did not support the proposed removal of the AMI-2 Aspirin prescribed at discharge and AMI-10 Statin prescribed at discharge measures. The commenters were concerned that removal of these two measures may change the topped-out performance to sub-par performance. One commenter urged CMS to put these four measures in suspension rather than removal. The commenters noted that the first three of these measures are TJC accountability measures and are worthy of monitoring and continued review to ensure that performance do no inappropriately decline.
Response: We recognize the commenters' concern and appreciate the feedback. However, we consider many factors before proposing to remove a measure from the Hospital IQR Program. These factors include the measure's “topped-out” status, MAP recommendation, NQF endorsement, the measure's tie to better patient outcomes, the likelihood of a potential negative effect on performance, whether the practices addressed by these measures continue to be routinely practiced, as well as public comments. We believe that even with removal of the these measures, the remaining AMI and HF measures in Hospital IQR Program measure set will ensure that hospitals continue to monitor appropriate medication use for patients with AMI and HF conditions, and we also believe (based on our experience with other measures that we have removed) that performance of these routine care processes is unlikely to decline. Taking all these factors into consideration, we will finalize removal of these measures.
Comment: One commenter did not support the removal of the HF-3 ACE-I or ARB for left ventricular systolic dysfunction measure. The commenter believed that the measure collects valuable data for HF patients as the ACE-I/ARB dose could shed light on best practices. The commenter urged CMS to put this measure in suspension rather than removal.
Response: We appreciate the commenters concerns. However, the data collected from HF-3 only captures if an ACE-I or ARB was prescribed at discharge and does not capture dosing practices. We believe that the remaining measures in the Hospital IQR Program will continue to monitor and evaluate the quality of HF care within hospitals.
After consideration of the public comments we received and based on the reasons provided in the proposed rule (78 FR 27680), we are finalizing our proposal to remove this measure from the Hospital IQR Program.
Comment: One commenter recommended the removal of all structural measures.
Response: In our view, the structural measures currently in the Hospital IQR Program measure set still yield valuable information in the improvement of healthcare quality and we have no plans to remove all structural measures unless evidence indicates otherwise.
Comment: Many commenters requested immediate removal of the removed measures from Hospital Compare once their removal is finalized.
Response: We note that once the measures are removed from the Hospital IQR Program, they are also removed from Hospital Compare.
After consideration of the public comments we received, we are finalizing the removal of six chart-abstracted measures and one structural measure listed in the tables below; we are also suspending the IMM-1 measure from the Hospital IQR Program measure set beginning with the FY 2016 payment determination and until further notice.
| Topic | Hospital IQR program measures removed in this Final Rule beginning with the FY 2016 Payment Determination |
|---|---|
| Acute Myocardial Infarction | • AMI-2 Aspirin prescribed at discharge. • AMI-10 Statin prescribed at discharge. |
| Pneumonia | • PN-3b Blood culture performed in the emergency department prior to first antibiotic received in hospital. |
| Heart Failure | • HF-1 Discharge instructions. • HF-3 ACEI or ARB for LVSD. |
| Surgical Care Improvement Project | • SCIP-Inf-10 Surgery patients with perioperative temperature management. |
| Structural Measure | • Participation in a systematic clinical database registry for stroke care. |
| Topic | Hospital IQR program measures suspended in this Final Rule beginning with the FY 2016 payment determination |
|---|---|
| Immunization | • IMM-1 Immunization for pneumonia. |
d. Suspension of Data Collection for the FY 2014 Payment Determination and Subsequent Years
In the FY 2012 IPPS/LTCH PPS final rule (76 FR 51611), we suspended data collection for four measures beginning with January 1, 2012 discharges, affecting the FY 2014 payment determination and subsequent years.
| Topic | Hospital IQR program measures previously suspended beginning with the FY 2014 payment determination |
|---|---|
| Acute Myocardial Infarction (AMI) | • AMI-1 Aspirin at arrival. • AMI-3 ACEI/ARB for left ventricular systolic dysfunction. • AMI-5 Beta-blocker prescribed at discharge. |
| Surgical Care Improvement Project (SCIP) | • SCIP INF-6 Appropriate Hair Removal. |
We suspended, rather than removed, these measures, despite having evidence that these measures may be topped-out (that is, their performance is uniformly high nationwide, with little variability among hospitals) because we believe that the processes assessed by these measures are tied to better patient outcomes, and that permanent removal of the measures from the Hospital IQR Program may result in declines in performance and, therefore, worse outcomes. Therefore, we decided not to remove these measures from the Hospital IQR Program. The suspension of data collection for these four measures will be continued unless we have evidence that performance on the measures is in danger of declining. Should we determine that hospital adherence to these practices has unacceptably declined, we would resume data collection using the same form and manner and on the same quarterly schedule that we finalize for these and other chart abstracted measures, providing at least 3 months of notice prior to resuming data collection. Hospitals would be notified of this via CMS listservs, CMS email blasts, national provider calls, and QualityNet announcements. In addition, we would comply with any requirements imposed by the Paperwork Reduction Act before resuming data collection of these four measures.
3. Process for Retaining Previously Adopted Hospital IQR Program Measures for Subsequent Payment Determinations
For the purpose of streamlining the rulemaking process, in the FY 2013 IPPS/LTCH PPS final rule (77 FR 53512 through 53513), we finalized our policy that when we adopt measures for the Hospital IQR Program beginning with a particular payment determination, these measures are automatically adopted for all subsequent payment determinations unless we propose to remove, suspend, or replace the measures.
4. Additional Considerations in Expanding and Updating Quality Measures Under the Hospital IQR Program
We refer readers to the FY 2013 IPPS/LTCH PPS final rule (77 FR 53510 through 53512) for a discussion of the considerations we use to expand and update quality measures under the Hospital IQR Program and our policy, beginning with the FY 2013, to use one calendar year of data for chart-abstracted measures for payment determinations.
Comment: Many commenters commended CMS for its overarching plans and efforts to advance the Hospital IQR Program to its current success.
Many commenters applauded CMS' program direction in strengthening the portfolio of hospital inpatient quality measures, removing some chart-abstracted clinical process measures and adding more claims-based outcome measures in the Hospital IQR Program. Many commenters greatly appreciated CMS' efforts to strive for measures that meet the objectives of the National Priorities Partnership, HHS Strategic Plan and National Quality Strategy and moving towards using EHR for data collection. Commenters anticipated that streamlining the reporting requirements, aligning and harmonizing measures for the EHR Incentive Program and the Hospital IQR Program will significantly ease the reporting burden on hospitals as well as on clinicians who can devote more time to direct patient care.
Response: We are strongly encouraged by the positive support from the public and hospitals. We will continue to embrace our goals and commitment to inspire hospitals to continually improve the quality of care.
We are very pleased with the public support of our program direction and our efforts to shift our focus to more outcome measures and use the NQS as the framework to attain a cohesive public national quality strategy to achieve high quality care across the healthcare spectrum.
Comment: One commenter suggested CMS consider issuing a prioritized set of medical conditions for which CMS seeks to adopt quality measures in proposed rulemaking to solicit stakeholders' feedback.
Response: We thank the commenter for this suggestion, and will consider doing so in future rulemaking.
Comment: One commenter suggested consolidating all the hospital payment incentives and related reporting program requirements into one big program to alleviate the reporting burden on providers.
Response: We understand the commenter's concerns. However, it would not be feasible for us to implement such a program at this time. To alleviate burden for hospital providers, we are striving to align measures across settings as well as moving toward electronic reporting.
Comment: One commenter supported the established NQF/MAP process to review and endorse measures. However, the commenter recommended that CMS adhere to the scheduled NQF/MAP meetings for endorsement without using ad hoc meetings to review measures that did not receive NQF endorsement.
Response: We thank the commenters for their support of the Measure Applications Partnership (MAP) and the NQF. We acknowledge that their contributions to quality measurement remain a valuable part of our programs. However, because it appears that some confusion may have arisen, we are clarifying the roles that these two groups play in this process.
First, we would like to state that the MAP pre-rulemaking process and the NQF endorsement process are very different processes, even though they both involve the NQF. The NQF endorsement process involves reviewing measures for endorsement and deals with substantive changes to measures because such changes often affect measure endorsement. Section 1890 of the Act governs the contract that the Secretary has with the NQF and the duties related to endorsement. On the other hand, the MAP pre-rulemaking process does not address the review and development of measures for endorsement, nor does the MAP endorse measures. Rather, section 1890A of the Act, which establishes the pre-rulemaking process, requires that the entity under contract with the Secretary under section 1890 of the Act (currently the NQF) convene multi-stakeholder groups to provide input into the selection of certain categories of quality and efficiency measures being considered by the Secretary for use in a number of federal programs and other quality-related initiatives. This process provides another opportunity, in addition to opportunities provided during the rulemaking process itself, for the public to comment on measures being considered for use in certain federal healthcare programs and initiatives. The NQF convenes such multi-stakeholder groups and has labeled these multi-stakeholder groups the MAP. The MAP's input is based on, among other things, a list that the Secretary must make available to the public by December 1st of each year (the List of Measures Under Consideration or MUC List). The MUC List sets forth the measures that the Secretary is considering for inclusion in certain federal programs at the time that the list is made public. The MAP must provide its input on selecting measures by February 1st of the following year, and can provide input on the measures on the MUC List. We note that there is no statutory requirement for us to follow every MAP recommendation. As stated in the statute, the Secretary need only consider the MAP input. We follow many MAP recommendations and have considered all MAP input, as required by statute.
We did request that the MAP set up meetings with a Hospital Workgroup for an ad hoc review of four measures for hospital programs that were not on the MUC list. However, none of those measures were IQR measures. As such, the ad hoc meetings had no effect on the IQR program.
Comment: A few commenters strongly recommended that CMS only adopt measures reviewed by the MAP and endorsed by NQF. The commenters contended that consensus achieved during the measure development process, through broad acceptance and use of a measure, or through public comment do not entail the robust and comprehensive process used to establish NQF endorsement.
Response: We have adhered to the pre-rulemaking process as required under section 1890A of the Act in proposing and finalizing all measures in the Hospital IQR program. This includes receiving and taking into consideration input from the MAP. We reiterate that, as stated in 77 FR 53510, to the extent practicable, measures we use should be nationally endorsed by a multi-stakeholder organization. Section 3001(a)(2) of the Affordable Care Act added new sections 1886(b)(3)(B)(viii)(IX)(aa) and (bb) of the Act. These sections state that “* * * effective for payments beginning with fiscal year 2013, each measure specified by the Secretary under this clause shall be endorsed by the entity with a contract under section 1890(a) [of the Act],” and “[i]n the case of a specified area or medical topic determined appropriate by the Secretary for which a feasible and practical measure has not been endorsed by the entity with a contract under section 1890(a) [of the Act], the Secretary may specify a measure that is not so endorsed as long as due consideration is given to measures that have been endorsed or adopted by a consensus organization identified by the Secretary.” Accordingly, we attempt to utilize endorsed measures whenever possible.
5. Changes to Hospital IQR Program Measures Previously Adopted for the FY 2015 and FY 2016 Payment Determinations and Subsequent Years
a. Previously Adopted Hospital IQR Program Measures for the FY 2015 Payment Determination and Subsequent Years
In the FY 2013 IPPS/LTCH PPS final rule (77 FR 53512 through 53531), we finalized 59 measures for the Hospital IQR Program measure set for the FY 2015 payment determination and subsequent years. These 59 measures are listed below.
| Topic | Hospital IQR program measures previously adopted for the FY 2015 payment determination and subsequent years |
|---|---|
| * New or expanded measures/items for the FY 2015 payment determination and subsequent years. | |
| † Measure for electronic reporting via CEHRT in the Hospital IQR Program (voluntary participation in CY 2014). | |
| Acute Myocardial Infarction (AMI) Measures | • AMI-2 Aspirin prescribed at discharge. • AMI-7a Fibrinolytic (thrombolytic) agent received within 30 minutes of hospital arrival. • AMI-8a Timing of Receipt of Primary Percutaneous Coronary Intervention (PCI). • AMI-10 Statin Prescribed at Discharge. |
| Heart Failure (HF) Measures | • HF-1 Discharge instructions. • HF-2 Evaluation of left ventricular systolic function. • HF-3 Angiotensin Converting Enzyme Inhibitor (ACE-I) or Angiotensin II Receptor Blocker (ARB) for left ventricular systolic dysfunction. |
| Stroke (STK) Measure Set | • STK-1 VTE prophylaxis. • STK-2 Antithrombotic therapy for ischemic stroke. † • STK-3 Anticoagulation therapy for Afib/flutter. † • STK-4 Thrombolytic therapy for acute ischemic stroke. † |
| • STK-5 Antithrombotic therapy by the end of hospital day 2. † • STK-6 Discharged on Statin. † • STK-8 Stroke education. † | |
| • STK-10 Assessed for rehab. † | |
| VTE Measure Set | • VTE-1 VTE prophylaxis. † • VTE-2 ICU VTE prophylaxis. † • VTE-3 VTE patients with anticoagulation overlap therapy. † • VTE-4 Patients receiving un-fractionated Heparin with doses/labs monitored by protocol. † • VTE-5 VTE discharge instructions. † • VTE-6 Incidence of potentially preventable VTE. † |
| Pneumonia (PN) Measures | • PN-3b Blood culture performed in the emergency department prior to first antibiotic received in hospital. • PN-6 Appropriate initial antibiotic selection. |
| Surgical Care Improvement Project (SCIP) Measures | • SCIP INF-1 Prophylactic antibiotic received within 1 hour prior to surgical incision. • SCIP INF-2: Prophylactic antibiotic selection for surgical patients. • SCIP INF-3 Prophylactic antibiotics discontinued within 24 hours after surgery end time (48 hours for cardiac surgery). • SCIP INF-4: Cardiac surgery patients with controlled 6AM postoperative serum glucose. • SCIP INF-9: Postoperative urinary catheter removal on post operative day 1 or 2 with day of surgery being day zero. |
| • SCIP INF-10: Surgery patients with perioperative temperature management. • SCIP Cardiovascular-2: Surgery Patients on a Beta Blocker prior to arrival who received a Beta Blocker during the perioperative period • SCIP-VTE-2: Surgery patients who received appropriate VTE prophylaxis within 24 hours pre/post surgery. | |
| Mortality Measures (Medicare Patients) | • Acute Myocardial Infarction (AMI) 30-day mortality rate. • Heart Failure (HF) 30-day mortality rate. • Pneumonia (PN) 30-day mortality rate. |
| Patients' Experience of Care Measures | • HCAHPS survey (expanded to include one 3-item care transition set* and two new “About You” items).* |
| Readmission Measures (Medicare Patients) | • Acute Myocardial Infarction 30-day Risk Standardized Readmission Measure. • Heart Failure 30-day Risk Standardized Readmission Measure. • Pneumonia 30-day Risk Standardized Readmission Measure. • 30-day Risk Standardized Readmission following Total Hip/Total Knee Arthroplasty.* • Hospital-Wide All-Cause Unplanned Readmission (HWR).* |
| AHRQ Patient Safety Indicators (PSIs) Composite Measures | • Complication/patient safety for selected indicators (composite). |
| AHRQ PSI and Nursing Sensitive Care | • PSI-4 Death among surgical inpatients with serious treatable complications. |
| Structural Measures | • Participation in a Systematic Database for Cardiac Surgery. • Participation in a Systematic Clinical Database Registry for Stroke Care. • Participation in a Systematic Clinical Database Registry for Nursing Sensitive Care. • Participation in a Systematic Clinical Database Registry for General Surgery. |
| Healthcare-Associated Infections Measures | • Central Line Associated Bloodstream Infection. • Surgical Site Infection. —SSI following Colon Surgery. —SSI following Abdominal Hysterectomy. • Catheter-Associated Urinary Tract Infection. |
| • MRSA Bacteremia. •Clostridium difficile (C. difficile). • Healthcare Personnel Influenza Vaccination. | |
| Surgical Complications | • Hip/Knee Complication: Hospital-level Risk-Standardized Complication Rate (RSCR) following Elective Primary Total Hip Arthroplasty.* |
| Emergency Department (ED) Throughput Measures | • ED-1 Median time from emergency department arrival to time of departure from the emergency room for patients admitted to the hospital. † • ED-2 Median time from admit decision to time of departure from the emergency department for emergency department patients admitted to the inpatient status. † |
| Prevention: Global Immunization (IMM) Measures | • Immunization for Influenza. • Immunization for Pneumonia. |
| Cost Efficiency | • Medicare Spending per Beneficiary. |
| Perinatal Care | • PC-01 Elective delivery prior to 39 completed weeks of gestation.*/† |
We received some comments on some of the measures adopted for the FY 2015 payment determination and subsequent years.
Comment: One commenter believed that the Hospital-wide readmission (HWR) measure cohort is too broad for adequate risk-adjustment and risk-adjustment for readmission rates is inadequate overall.
Response: In reference to the commenter's concern about the cohort being too broad for adequate risk-adjustment, we wish to clarify that the HWR measure divides the broad hospital cohort into 5 categories for risk-adjustment. The HWR measure is composed of 5 separate models—cardiorespiratory, cardiovascular, general medicine, neurology and surgery. This enables us to assess the risk factor profiles of the conditions within each cohort to ensure that risk factors are similar within cohort both in directionality and the strength of the relationship with the outcome, for each of these specific cohorts. Therefore, we believe that this cohort specific approach ensures adequate risk adjustment for the readmission measure. We note that the intent of readmission measures is to profile hospital quality and not to maximize the prediction of hospital or patient readmission risk as the commenter seems to imply.
Comment: One commenter was concerned about hospitals shifting care to the ED or using more observation stay services in order to avoid being penalized for readmissions and requests that the readmission measures be accompanied by measures of ED and observation stay usage.
Response: We have continued to consider and evaluate stakeholder concerns regarding the increased use of ED and observation stay use in order to avoid readmissions. We take this issue very seriously and will continue to monitor the usage of ED and observation stay services to determine if other measures of ED and observation stay should be reported alongside readmission measures.
b. Refinements to Existing Measures in the Hospital IQR Program
In the FY 2014 IPPS/LTCH PPS proposed rule (78 FR 27683 through 27684), we proposed to incorporate refinements for several measures that are currently adopted in the Hospital IQR Program. These refinements have either arisen out of the NQF endorsement maintenance process, or during our internal efforts to harmonize measurement approaches. The measure refinements include the following: (1) Incorporation of the planned readmission algorithm in 30-day readmission measures for AMI, HF, PN, THA/TKA, and Hospital-Wide Readmission to match recent NQF endorsement maintenance decisions beginning in 2013; (2) expansion of CLABSI and CAUTI measures to select non-ICU locations in IPPS hospitals beginning with infections occurring on or after January 1, 2014 (consistent with NQF expansion of the measures beyond ICUs); (3) updates to SCIP INF 4 to match recent NQF endorsement maintenance decisions beginning with January 1, 2014 discharges; and (4) an update to the MSPB measure to include Railroad Retirement Board (RRB) beneficiaries beginning in 2014. These proposed refinements are described in greater detail below.
(1) Incorporation of Planned Readmission Algorithm for 30-Day Readmission Measures
In response to stakeholder comments, we have developed an algorithm to identify readmissions that are likely to be planned as part of ongoing medical or surgical treatment. Planned readmissions are identified in claims data using the CMS Planned Readmission Algorithm Version 2.1 which detects readmissions that are typically planned and may occur within 30 days of discharge from the hospital. For more information on the methodology used to identify planned readmissions, and the list of planned diagnoses and procedures used in the algorithm, we refer readers to the CMS Web site at: http://www.cms.gov/Medicare/Quality-Initiatives-Patient-Assessment-Instruments/HospitalQualityInits/Measure-Methodology.html, as well as the discussion of planned readmissions under section 3025 of the Affordable Care Act in section V.G. of the preamble of this final rule. We submitted this algorithm for NQF review during annual maintenance of the AMI, HF, PN, and Total Hip/Total Knee Replacement readmission measures as well as for the recently adopted Hospital Wide Readmission measure.
NQF has endorsed the use of the algorithm for these measures, and we proposed to incorporate the Planned Readmission Algorithm into the AMI, HF, PN, and Total Hip/Knee Replacement readmission measures in addition to the Hospital-Wide Readmission Measure beginning in 2013. We invited public comment on this proposal.
Comment: Many commenters supported the inclusion of the planned readmissions algorithm.
Response: We appreciate the commenters support for the readmissions algorithm.
Comment: One commenter requested that the planned readmissions algorithm for stroke include patent foramen ovale closure and cranioplasty following a decompressive craniectomy.
Response: We thank the commenter for the suggestions. We clarify that as part of the planned readmissions algorithm, patients who are readmitted for a patent foramen ovale closure (AHRQ CCS 49—Other OR heart procedures) or cranioplasty (AHRQ CCS 9—Other OR therapeutic nervous system procedures) are already classified as planned readmissions and will not count as readmissions in the measures.
Comment: Many commenters believed that CMS should exclude readmissions unrelated to the initial reason for admission.
One commenter requested that CMS allow hospitals to indicate when a readmission was planned. Another commenter requested that CMS allow hospitals to indicate if a readmission was related so that these can be excluded.
Response: We do not seek to differentiate between related and unrelated readmissions because readmissions not directly related to the index condition may still be a result of the care received during the index hospitalization. For example, a patient hospitalized for stroke who develops a hospital-acquired infection may ultimately be readmitted for sepsis. It would be inappropriate to treat this readmission as unrelated to the care the patient received during the index hospitalization. Furthermore, the range of potentially avoidable readmissions also includes those not directly related to the initial hospitalization, such as those resulting from poor communication at discharge or inadequate follow-up. Therefore, creating a comprehensive list of potential complications related to the index hospitalization would be arbitrary, incomplete, and, ultimately, impossible to implement.
Generally, planned readmissions are not a signal of quality of care. We have worked with experts in the medical community as well as other stakeholders to carefully identify procedures and treatments that should be considered “planned” and not counted as readmissions. In the FY 2014 IPPS/LTCH PPS proposed rule (78 FR 27683), we proposed that the measures identify planned readmissions by using an expanded algorithm, which is a set of criteria for classifying readmissions as planned using Medicare claims. This algorithm identifies admissions that are typically planned and may occur within 30 days of discharge from the hospital.
Comment: A few commenters urged CMS to continue researching additional exclusions for planned readmissions.
Response: We are committed to continually updating the planned readmissions algorithm. Our measures continually undergo maintenance to determine the need for updated specifications and to monitor trends as well as coding changes. We will continue to closely monitor the planned readmissions algorithm and modify it as needed.
Comment: A few commenters requested that CMS incorporate socioeconomic factors in its risk-adjustment methodology for outcome measures.
Response: We have continued to consider and evaluate stakeholder concerns regarding the influence of patient socioeconomic status on readmission and mortality rates. We routinely monitor the impact of socioeconomic status on hospitals' results and have consistently found that hospitals that care for large proportions of patients of low socioeconomic status are capable of performing well on our measures. Our most recent analyses (Chartbook: http://www.cms.gov/Medicare/Quality-Initiatives-Patient-Assessment-Instruments/HospitalQualityInits/Downloads/MedicareHospitalQualityChartbook2012.pdf) once again confirmed this finding. Many safety-net providers and teaching hospitals do as well or better on the measures than hospitals without substantial numbers of patients of low socioeconomic status. Our analyses also show that adding SES to the risk-adjustment has a negligible impact on hospitals' risk-standardized rates (p. 36 of the previously referenced Chartbook). The risk-adjustment for clinical factors likely captures much of the variation due to socioeconomic status, thus leading to more modest impact of socioeconomic status on hospitals' results than stakeholders expect.
We note that the goal of risk-adjustment is to account for factors that are inherent to the patient at the time of admission, such as severity of disease, so as to put hospitals on a level playing field. The measures should not be risk-adjusted to account for differences in practice patterns that lead to lower or higher risk for patients to be readmitted or die. The measures aim to reveal differences related to the patterns of care. The measures do not adjust for socioeconomic status because the association between socioeconomic status and health outcomes can be due, in part, to differences in the quality of health care received by groups of patients with varying socioeconomic status. The measures also do not adjust for socioeconomic status because we do not want to hold hospitals to different standards for the outcomes of their patients of low socioeconomic status.
Finally, we do not want to mask potential disparities or minimize incentives to improve the outcomes of disadvantaged populations. This approach is also consistent with the guidance from the NQF, which states that risk models should not obscure disparities by adjusting for factors associated with inequality (such as race or socioeconomic status). However, we are committed to tracking this issue and will continue to evaluate disparities in care and the impact of patients' socioeconomic status on hospitals' rates.
After consideration of the public comments we received, we are finalizing the proposed incorporation of planned readmission algorithm for 30-day readmission measures.
(2) Expansion of Collection of CLABSI and CAUTI to Select Non-ICU Locations
We proposed to expand the collection of the CAUTI and CLABSI measures to include several non-ICU locations beginning with infections occurring on or after January 1, 2014. Those proposed locations are medical wards, surgical wards, and medical/surgical wards. This expansion is consistent with the NQF re-endorsement update to these measures allowing application of the measures beyond ICUs. We proposed this expansion to allow hospitals that do not have ICU locations to use the tools and resources of the NHSN for quality improvement and public reporting efforts. We invited public comment on this proposal.
Comment: Some commenters supported the proposed expansion and collection of the CLABSI and CAUTI measures to select non-ICU locations. These commenters believed the prevalence of the use of urinary and central venous line catheters outside the ICU setting is significant, and this refinement would allow hospitals that do not have ICU locations to use these tools and resources for quality improvement. In addition, the refinements align with the updated NQF-endorsed version. Commenters urged CMS to update the measure specifications in the measure Specifications Manual accordingly.
Response: We thank the commenters' for their support. CDC is the measure steward for the CLABSI and CAUTI measures and the technical Specifications Manual will refer to the CDC site for the updated measure specifications.
Comment: A few commenters did not support the expansion and collection of CLABSI and CAUTI to select non-ICU locations for several reasons. These commenters noted that collection beyond the ICU setting is very burdensome and labor intensive because it would require manual data collection for a potentially large number of patients each day that they have a catheter device for the denominator.
These commenters recommended that CMS should: (1) Retain the current specifications and confine data collection for CLABSI and CAUTI to ICUs (where patients are at most risk) only within acute care hospitals until more accurate surveillance definitions and validated methods to more simply collect the data are available; (2) wait for the CDC to obtain NQF endorsement for a revised version of the CLABSI measure; and (3) focus on developing an electronically specified hospital-wide measure that relies on ICD-10.
Response: Over 1,300 healthcare facilities nationwide already collect and report CLABSI and CAUTI data from patient care locations beyond ICUs. This reporting is prompted by State mandates, facility participation in the current CMS 10th Scope of Work for the QIO program (http://medicaring.org/2011/06/22/highlights-of-10th-sow-for-qios/), and a number of existing regional collaborations. The commenter is correct that the CDC is working to clarify the CAUTI definitions to eliminate any confusion and inaccuracies in the determinations of specified criteria. These clarifications are planned to be included in the NHSN system as early as January 2014.
There were no further updates submitted to NQF by CDC at this time for CLABSI definitions, so the only update being made by CDC to this NQF measure is inclusion of the calculations to produce a reliability-adjusted SIR. This is an addition and not a replacement to any metrics already described in the existing approved measure, and does not change any criteria or definitions for reporting CLABSIs. We also note that we consider a change of this type to be a technical change to the measure, rather than a substantive change requiring notice and comment rulemaking. CDC analyses have shown that the SIR and its use of the number of days catheters were used (catheter days) are reliable and accurately represent the risk for patients who acquire catheter-associated infections. Use of any other denominator, like number of patients (patient days), may not appropriately evaluate the risk of infection per patient. The NHSN definitions for CLABSI and CAUTI are a more accurate and true representation of these infections as the definitions focus on actual signs and symptoms collected from a patient and not simply a number of codes attached to a patient stay for billing purposes. Therefore, ICD-10 diagnosis codes, as is the case with the current ICD-9-CM codes, would not be a suitable or acceptable replacement for the NHSN HAI definitions.
Comment: Some commenters recommended delaying the expansion and collection of CAUTI to select non-ICU locations, in order to give hospitals more time to implement electronic collection of the denominator data, expand best practices outside the ICU, and prepare for data collection to accurately count and report device days. Some commenters recommended allowing hospitals to have a trial collection period.
Response: We acknowledge commenters' concerns about needing additional time to expand collection efforts beyond the ICU for CLABSI and CAUTI. Based upon these comments, we will defer the implementation date of the CLABSI/CAUTI expansion to non-ICU settings by one year to January 1, 2015. This 1-year deferred implementation date would give hospitals time to test collection in non-ICU locations prior to the January 1, 2015 implementation date.
After consideration of the public comments we received, we are deferring the implementation date of the CLABSI/CAUTI expansion to non-ICU settings to January 1, 2015.
(3) Refinement of SCIP-INF-4 to Match Refinements Made During NQF Re-endorsement
The quality measure SCIP INF 4, Controlled 6AM Glucose for Cardiac Surgery Patients (NQF #300), is an example of a measure that has undergone extensive changes as a result of the NQF endorsement maintenance process. The specifications have changed so substantially that we proposed to adopt them in the proposed rule. Specifically, the NQF Steering Committee voted to change the measure from controlled glucose at 6AM to a more comprehensive measure, controlled glucose 18-24 hours post-cardiac surgery. The revised specifications also require corrective action to be documented if a post-operative glucose is over 180mg/dl. We proposed to adopt these revised specifications for SCIP-INF-4 beginning with January 1, 2014 discharges and invited public comment on this proposal. The revised specifications for the measure can be found at http://www.qualityforum.org/QPS/0300.
Comment: Many commenters supported the proposed adoption of the NQF changes that arose from the NQF endorsement maintenance process. Some commenters believed the specifications, once updated, would result in a more clinically meaningful measure. One commenter requested CMS consider more glycemic controlled-related measures in the future.
Response: We thank the commenters' support of our proposal and suggestions. Once this final rule is published, we will publish an addendum to the Specifications Manual to address any changes adopted in the final rule.
Comment: One commenter noted that the 18-24 hours post-cardiac surgery time frame should not be tied to the anesthesia end time. Instead, the commenter requested use of a different time parameter by which the receiving unit would clearly have documented the arrival of the patient in the unit where the patient will likely remain throughout that specified time frame. Another commenter stated that most of the literature supports averaging blood glucose over the first one or two days. The commenter, therefore, recommended reducing the 0600 target glucose from 200 mg/dL to 180 mg/dL instead on post-operative day (POD) 1 and POD2. Another commenter asked if the term “corrective action” can be changed to “documentation of clinical attempt of glucose control.” One commenter asked for clarification whether the guidelines allow for exclusions when corrective actions are appropriately administered and glucose remains elevated above the threshold of 200mg/dL. Another commenter stated that the term “controlled” should be defined and raised concerns that tight glycemic control in frail elderly patients would contribute to decreased cognition and function.
Response: We adopted the measure refinement as endorsed by NQF. We will consider whether some of the other suggestions made by commenters regarding glucose target and terminology (for example, corrective action and controlled) used in the measure should be changed or further defined in order to encourage appropriate treatment while preventing adverse outcomes as suggested by commenters. In response to the comment about broadening the timeframe of the measure, anesthesia end time is a standard data element already collected and reported by hospitals participating in the Hospital IQR Program as part of the SCIP performance measures. As a result, during re-endorsement, anesthesia end time was used to define the start of the period for blood glucose control. However, we will consider whether additional refinements should be made to better define the 18 to 24 hour timeframe for the measure.
In the past, we have received considerable feedback on the use of 0600, or 6 a.m., as the target for glucose control. This “6 a.m.” time does not take into account the time that the operation ended. For example, if a patients' surgery did not end until midnight, hospitals have noted difficulty in getting the blood sugar under control by 6 a.m. During re-endorsement, the NQF Technical Advisory Panel rejected the use of the arbitrary time frame of 6 a.m. to evaluate glucose control and recommended a fixed time of 18-24 hours after the end of surgery to allow sufficient time to get the blood glucose under control.
All technical details and exclusions for the revised measures will be outlined in the inpatient technical Specifications Manual posted on QualityNet on July 1, 2013 for discharges beginning on January 1, 2014.
After consideration of the public comments we received, we are finalizing the proposed refinement of SCIP-INF-4 to match refinements made during NQF re-endorsement.
(4) Refinement of Medicare Spending Per Beneficiary Measure (MSPB)
(a) Inclusion of Railroad Retirement Board Beneficiaries (RRB)
We proposed to refine the Medicare Spending per Beneficiary (MSPB) measure previously finalized for the FY 2015 payment determination and subsequent years. We proposed to include Railroad Retirement Board (RRB) beneficiaries in the measure for the FY 2016 and subsequent years' payment determinations. We do not consider this refinement to be a substantive change. However, we proposed this refinement through rulemaking because we explicitly stated in previous rulemaking that these beneficiaries would be excluded from the measure (76 FR 51620). Since that time, we have learned that we have complete claims data for RRB beneficiaries, and believe that eligible MSPB episodes generated by RRB hospital discharges should be included in the MSPB measure. We finalized the details of MSPB episode construction and adjustment in the FY 2012 IPPS/LTCH PPS final rule (76 FR 51618 through 51626). The effect of including RRB beneficiaries on the MSPB ratio is minimal. For the majority of hospitals, the change in their MSPB measure rates would be small—between −0.01 and 0.01.
Comment: No commenters opposed including RRB. One commenter did not have reservations about including RRB beneficiaries in the measure, and one stated that CMS should ensure that including the RRB beneficiaries is consistent with the measure specifications submitted to the NQF for endorsement consideration. One commenter generally expressed support for proposed refinements to existing Hospital IQR Program measures.
Response: We thank these commenters for their support of including the RRB beneficiary population in the MSPB measure, and we agree that the measure specifications should reflect their inclusion. We did not exclude RRB beneficiary population on the NQF measure submission form, and we explicitly stated in the submission that we could include RRB beneficiaries without changing the measure methodology.
Comment: Several commenters expressed views regarding the use of the MSPB measure in the Hospital IQR Program in general. Commenters expressed concern that the measure did not adequately address hospital efficiency and that hospitals require data in real time in order to improve.
Response: This measure was finalized for inclusion in the Hospital IQR Program in the FY 2012 IPPS/LTCH PPS final rule (76 FR 51618-51627). We addressed the question of whether the MSPB is a measure of efficiency in the FY 2013 IPPS/LTCH PPS final rule (77 FR 53586), noting that it is consistent with existing approaches to measuring cost in the healthcare setting. We appreciate the value of timely performance information, which is why we provide hospitals with extensive amounts of data on their performance on this measure as soon as practicable, allowing time for claims to be processed, MSPB episodes to be calculated, and reports to be generated. In late May 2013, hospitals received the data on their performance during calendar year 2012. This followed the 3-month claim run period out finalized for the measure. For a description of the extensive, hospital-specific data that hospitals receive during the measure preview period, we refer readers to the FY 2013 IPPS/LTCH PPS final rule (77 FR 53588).
After consideration of the public comments we received, we are finalizing the inclusion of RRB beneficiaries in the MSPB measure for future Hospital IQR Program payment determinations.
(b) Incorporating Maryland Hospitals
We are considering how best to incorporate Maryland hospitals paid under the waiver under section 1814(b)(3) of the Act into the MSPB measure. The payments made to Maryland hospitals pose a unique challenge to the payment standardization methodology currently used for the MSPB measure. Currently, hospitalizations in Maryland hospitals that are captured in the post-discharge window of the MSPB measure are standardized by applying the hospital wage index to the labor-related share of the IPPS payment, according to the methodology found on page 10 of the “CMS Price Standardization” document (http://www.qualitynet.org/dcs/ContentServer?c=Page&pagename=QnetPublic%2FPage%2FQnetTier4&cid=1228772057350). This approach does not account for the absence of outlier payments on Maryland claims. In order to make a comparison of Maryland hospitals to other subsection (d) hospitals paid under the IPPS, in the event that MSPB measure rates are calculated for Maryland hospitals in the future, outliers would have to be imputed. If we were to include Maryland hospitals in the MSPB measure in the future, we would do so through future rulemaking.
Comment: A few commenters referred to calculation of base operating DRG payment amounts for Maryland, stating that they should be calculated as they are for all other IPPS hospitals.
Response: We wish to clarify that we do not calculate the MSPB measure using base operating DRG payment amounts, but rather it is based on standardized Medicare payment amounts for Part A and Part B services received by Medicare beneficiaries during an MSPB episode surrounding a hospitalization. We refer readers to the FY 2012 IPPS/LTCH PPS final rule for further details of the measure's construction (76 FR 51618 through 51627).
Comment: Several commenters expressed that we should collect and publicly report data on Hospital Compare for as many hospitals as possible, including Maryland hospitals.
Response: We thank these commenters for their input and will consider it as we develop further policy on this issue.
Comment: One commenter noted a number of differences in the way that Maryland hospital payments are calculated and requested an opportunity to work with us to make the standardized allowed amounts for Maryland hospitals more comparable to hospitals paid under the IPPS.
Response: We thank this commenter for the input, and we will consider it as we determine an appropriate standardization approach for Maryland hospital payments.
6. Additional Hospital IQR Program Measures for the FY 2016 Payment Determination and Subsequent Years
In the FY 2014 IPPS/LTCH PPS proposed rule (78 FR 27684 through 27694), we proposed to add five new risk-adjusted claims-based outcome measures to the Hospital IQR Program for the FY 2016 payment determination and subsequent years: (1) 30-day risk standardized COPD Readmission; (2) 30-day risk standardized COPD Mortality; (3) 30-day risk standardized Stroke Readmission; (4) 30-day risk standardized Stroke Mortality; and (5) AMI payment per Episode of Care. In section IX.A.7. of the preamble of this final rule, we also discuss our proposal that hospitals may voluntarily report certain Hospital IQR measures in an electronic format.
The proposed measures were included on a publicly available document entitled “List of Measures Under Consideration for December 1, 2012” in compliance with section 1890A(a)(2) of the Act, and they were reviewed by the MAP in its “MAP Pre-Rulemaking Report: 2013 Recommendations on Measures Under Consideration by HHS,” which has been made available on the NQF Web site at http://www.qualityforum.org/Setting_Priorities/Partnership/Measure_Applications_Partnership.aspx. We considered the input and recommendations provided by the MAP in selecting measures to propose for the Hospital IQR Program.
For purposes of the Hospital IQR Program, section 1886(b)(3)(B)(IX)(aa) of the Act requires that any measure specified by the Secretary must have been endorsed by the entity with a contract under section 1890(a) of the Act. However, the statutory requirements under section 1886(b)(3)(B)(IX)(bb) of the Act provide an exception that, in the case of a specified area or medical topic determined appropriate by the Secretary for which a feasible and practical measure has not been endorsed by the entity with a contract under section 1890(a) of the Act, the Secretary may specify a measure that is not so endorsed as long as due consideration is given to measures that have been endorsed or adopted by a consensus organization identified by the Secretary.
We received some general comments on the proposed measures.
Comment: One commenter noted that that claims data alone are not sufficient to support quality measures such as the risk-adjusted outcome measures.
Response: We appreciate the commenter's concern about the use of claims data in quality measures; however, we feel that claims data are sufficient for a number of reasons. The claims are used to identify the cohort of included hospitalizations, assess the outcome and risk-adjust. In order to identify the cohort of included hospitalizations (for example, admissions for heart attack), claims are commonly used in both quality measures and research. ICD-9 codes are generally considered reliable sources for identifying key information such as the principal discharge diagnosis to establish measure cohorts. Claims are a highly valid source of outcome measurement, readmission or death, and payment amount.
Stakeholders' specific concerns about claims data commonly relate to the use of claims for risk-adjusting measures. The current and proposed outcome measures have been developed in line with accepted standards for measure development and with extensive input from the clinical, scientific and stakeholder community to ensure the validity of our risk-adjusted outcome measures. Furthermore, many similar measures have undergone validation with medical-record data, which has demonstrated that the results of measures that use claims instead of medical record data for risk-adjustment have highly correlated hospital-level results. This validation confirms that claims are an adequate source of data needed for risk-adjustment of these outcome measures.
We develop measures in accordance with national guidelines, and in consultation with clinical and measurement experts, key stakeholders, and the public. The current and proposed outcome measures are consistent with the technical approach to outcomes measurement set forth in the NQF guidance for outcomes measures, CMS' Measure Management System, and the guidance articulated in the American Heart Association scientific statement “Standards for Statistical Models Used for Public Reporting of Health Outcomes.” Furthermore, many prior administrative claims based outcome measures have been validated with chart data and this validation demonstrated that hospital profiling is similar, supporting the use of claims data for these measures.
Throughout measure development, we obtain expert and stakeholder input via two mechanisms: First, through regular discussions with an advisory working group, and second, through meetings with a national Technical Expert Panel (TEP), a group of recognized experts and stakeholders in relevant fields. We hold regular conference calls with our working group throughout the measure development phase. The working group includes clinicians and other professionals with expertise in stroke, biostatistics, measure methodology, and quality improvement. The working group meetings address key issues surrounding measure development including detailed discussions regarding the pros and cons of specific decisions (for example, defining the appropriate measure cohort) to ensure the methodological rigor of the measure.
In addition to the working group, and in alignment with the CMS' Measure Management System, we convene a TEP to provide input and feedback during measure development. To create the TEP, we release a public call for nominations and select individuals representing a range of perspectives including those of physicians, consumers, hospitals, and purchasers. We convene three TEP conference calls during the course of measure development. In contrast to the working group meetings, the TEP meetings follow a more structured format consisting of presentation of key issues, relevant data, and our proposed approach. This presentation is followed by open discussion of these issues with TEP members.
Finally, we publicly post the measure specifications and a summary of the TEP discussions and make a widely distributed call for public comments. We collect these comments through the Measure Management System Web site (https://www.cms.hhs.gov/apps/QMIS/publicComment.asp). We summarize the public comments and post the verbatim comments on a freely accessible Web site. We take the comments we receive into consideration during the final stages of measure development. In conclusion, we believe that all the above steps that occur during the measure development process provide assurance that claims-based data provide adequate information we need for claims-based measures.
Comment: One commenter supported the measurement of condition-specific outcomes measures, such as mortality and readmissions, as the data provides actionable quality improvement information.
Response: We appreciate the commenter's support for this aspect of the program.
Comment: One commenter believed that CMS should educate hospitals on the risk-adjustment variables and approach used for the measures.
Response: We are committed to ensuring that hospitals are fully aware of the technical specifications of all quality measures. Prior to implementing new outcome measures, we conduct dry runs of the measures to familiarize hospitals with their discharge- and hospital-level data and the measure methodology. In addition we publicly post the methodology reports for the measures as well as frequently asked questions (http://www.cms.gov/Medicare/Quality-Initiatives-Patient-Assessment-Instruments/HospitalQualityInits/Measure-Methodology.html). We also have inboxes which hospitals can contact with any questions they may have about the measures (CMSreadmissionmeasures@yale.edu and CMSmortalitymeasures@yale.edu).
Comment: One commenter believed that CMS should monitor the unintended consequences of the outcome measures such as the appropriate use of palliative and hospice care.
Response: We appreciate this comment. Through prior informal analysis, we learned that the use of codes to indicate hospice care is inconsistent across hospitals and, therefore, raises the concern of how accurately the current available data reflects appropriate use of palliative or hospice care. We will, however, consider the feasibility of monitoring the appropriate use of palliative and hospice care given the current inconsistent use of codes by hospitals.
Comment: One commenter was concerned that CMS is not properly monitoring the readmission measures to determine if there are unintended consequences.
Response: We are committed to monitoring the measures and assessing unintended consequences over time, such as the inappropriate shifting of care, increased patient morbidity and mortality, and other negative unintended consequences for patients. In order to monitor unintended consequences we have a surveillance system and annually publish a Chartbook (http://www.cms.gov/Medicare/Quality-Initiatives-Patient-Assessment-Instruments/HospitalQualityInits/Downloads/MedicareHospitalQualityChartbook2012.pdf) which examines these issues.
Comment: One commenter did not support using the same measures in both the Hospital IQR Program and the Hospital Readmissions Reduction Program.
Response: We believe it is appropriate to align measurement across pay for reporting and pay for performance programs such as the Hospital IQR Program and Hospital Readmissions Reduction Program for various reasons, including placing emphasis on quality issues in need of improvement. To the extent that we target high-cost, high-volume areas for quality improvement in more than one program, we would expect there to be some amount of topical overlap among programs. In order to avoid confusion among providers, we also prefer to use one measure on a specific topic rather than measuring the same topic in two or more different ways in different programs.
Comment: A few commenters requested that CMS specify measures for all populations, not just Medicare patients.
Response: We appreciate the commenters' suggestion. To the extent feasible and applicable, we will specify the measures for all patients regardless of payers.
The proposed measures are described in greater detail below.
a. Hospital 30-Day, All-Cause, Risk-Standardized Readmission Rate (RSRR) Following Chronic Obstructive Pulmonary Disease (COPD) Hospitalization Measure (NQF #1891)
We proposed to include this NQF-endorsed measure in the Hospital IQR Program beginning with the FY 2016 payment determination. The MAP supports this measure. In 2007, MedPAC published a report to Congress in which it identified the seven conditions associated with the most costly potentially preventable readmissions; among these seven, COPD ranked fourth. [54] In 2008, 12.1 million U.S. adults were estimated to have COPD resulting in approximately 672,000 hospital discharges. [55] There is also evidence of variation in outcomes at hospitals for COPD patients, supporting the finding that there are opportunities for improving care. The median 30-day risk-standardized readmission rate among Medicare fee-for-service (FFS) patients aged 65 or older hospitalized for COPD in 2008 was 22.0 percent, and ranged from 18.33 percent-25.03 percent across 4,546 hospitals. [56]
The AHRQ has identified COPD as an ambulatory-care-sensitive condition (ACSC). ACSCs are conditions for which good outpatient care can potentially prevent the need for hospitalization or for which early intervention can prevent complications or more severe disease. [57] Although COPD is an ACSC, readmission rates are also influenced by inpatient care.
To better assess hospital care and care transitions for COPD patients, we developed a hospital-level readmission measure for patients hospitalized with an acute exacerbation of COPD. We proposed this measure for use in the Hospital IQR Program as well as the Hospital Readmissions Reduction Program. We discuss the measure methodology in detail in the section of this final rule pertaining to the Hospital Readmissions Reduction Program. We refer readers to section IX.A.6.b. of the preamble of this final rule on COPD for details of the measure specifications. Details on the technical specifications of the measure can also be found on our Web site at: (http://cms.gov/Medicare/Quality-Initiatives-Patient-Assessment-Instruments/HospitalQualityInits/Measure-Methodology.html.
We invited public comment on this proposal.
Comment: One commenter believed that CMS should report COPD readmission and mortality rates by gender.
Response: For public reporting, maintaining a single cohort has the advantage of increasing sample size and providing the ability to detect quality differences across hospitals. We will consider whether to look at this issue further as part of ongoing surveillance efforts.
Comment: Many commenters requested CMS incorporate socioeconomic factors in the risk-adjustment methodology.
Response: Commenters also raised this issue regarding our proposed incorporation of planned readmission algorithm for 30-day readmission measures in section IX.A.5.b.(1) of the preamble of this final rule and we refer readers to our response in that section.
Comment: A few commenters requested that CMS implement the COPD readmission measure in the Hospital IQR Program before simultaneously proposing it for the Hospital Readmissions Reduction Program.
Response: We proposed and are finalizing using the COPD readmission measure for the Hospital IQR Program and plan to publicly report data in FY 2014. This will allow hospitals to gain experience with the measure prior to implementation in both the Hospital IQR Program, and the Hospital Readmissions Reduction Program. In addition, we are committed to ensuring that hospitals are fully aware of the technical specifications of all quality measures. Prior to implementing new outcome measures, to the extent feasible, we conduct dry runs of the measures to familiarize hospitals with their patient- and hospital-level data and the measure methodology. The data provided to hospitals during the dry run are confidential and will not be publicly reported. In addition we publicly post the methodology reports for the measures as well as frequently asked questions. We also have inboxes which hospitals can contact us with any questions they may have about the measures (CMSreadmissionmeasures@yale.edu and CMSmortalitymeasures@yale.edu).
Comment: One commenter believed that CMS should add length of stay data to the COPD mortality and readmission measures because length of stay impacts risk of mortality and readmission.
Response: We recognize that length of stay affects risk of mortality and readmission. This is why our mortality and readmission measures use a standardized time period of 30-days in order to assess performance across hospitals fairly. We are committed to monitoring the measures and assessing unintended consequences over time, such as how shifts in length of stay impact performance on the measures. In order to monitor unintended consequences, we have a surveillance system and annually publish a Chartbook (http://www.cms.gov/Medicare/Quality-Initiatives-Patient-Assessment-Instruments/HospitalQualityInits/Downloads/MedicareHospitalQualityChartbook2012.pdf) which examines these issues.
Comment: One commenter was concerned about the lack of risk adjustment for environmental factors that may significantly affect respiratory patients.
Response: During measure development, we conducted a targeted literature review and consulted with several experts to explore risk adjusting for levels of particulate matter an air pollutant associated with short-term increases in morbidity and increased admission rates among respiratory patients. We found that the literature suggests that ambient levels of particulate matter affect short-term mortality and admission rates for COPD (and for other cardiovascular and respiratory conditions). 58 59 60 Although important from a public health standpoint, the increases in risk are relatively small. Further, the strength and direction of the potential association between particulate levels and the outcomes of mortality and readmission are influenced by other factors, including temperature, humidity, seasonal variation, and city-level factors such as smoking and air conditioning use rates. [61] Finally, we did not find any studies regarding the effect of ambient particulates on mortality and readmission rates among hospitalized patients for COPD, and the effect of particulate matter on readmission rates remains uncertain. Given the technical challenge of risk adjusting for this pollutant, and our expectation that building particulate levels into the model is not likely to significantly improve the models' performance even with the best methods, we do not plan to pursue adding air pollution variables to the models at this time.
The purpose of risk-adjustment is to account for differences across hospitals in factors unrelated to quality, such as patient comorbidities, that may affect the outcome of mortality and readmission. It is important to risk adjust for factors that could bias the measure results (for example, could favor hospitals in low pollution areas). Adjusting for environmental factors would make sense if it were technically feasible and if it would improve the model by reducing or eliminating a potential bias. Variables for environmental factors are unlikely to affect hospital-level risk-standardized rates. The studies to date focus on the general non-hospitalized population, and it is not clear how they apply to the patients in our models—that is, patients hospitalized with an acute exacerbation of COPD. Experts believed the effect of adjusting for particulate matter would likely be small or negligible given that the model applies to patients already hospitalized for COPD.
In addition, there are feasibility issues. Modeling the effect appropriately would be complex. Our review of the issues suggests it would be inappropriate to use ambient air quality levels as a risk adjuster without also adjusting for other factors that affect the strength and direction of the potential association between particulate levels and the outcomes, including temperature, humidity, seasonal variation, and city-level factors such as smoking and air conditioning use rates. Given these challenges, and our expectation that building particulate levels into the model is not likely to significantly improve the models' performance even with the best methods, we do not plan to pursue adding air pollution variables to the models at this time.
After consideration of the public comments we received, we are finalizing as proposed the Hospital 30-Day, all-cause, risk-standardized readmission Rate (RSRR) following chronic obstructive pulmonary disease (COPD) hospitalization measure for the FY 2016 payment determination and subsequent years.
b. Hospital 30-Day, All-Cause, Risk-Standardized Mortality Rate (RSMR) Following Chronic Obstructive Pulmonary Disease (COPD) Hospitalization Measure (NQF #1893)
(1) Background
COPD affects as many as 24 million individuals in the United States and is the nation's fourth leading cause of death. Between 1998 and 2008, the number of patients hospitalized annually for acute exacerbations of COPD (AECOPD) increased by approximately 18 percent. 62 63 64 Moreover, COPD is one of the top 20 conditions contributing to Medicare costs. [65] Finally, there is evidence of variation in outcomes at hospitals for COPD patients, supporting the finding that there are opportunities for improving care. The median 30-day risk-standardized mortality rate among Medicare FFS patients aged 65 or older hospitalized for COPD in 2008 was 8.5 percent, and ranged from 5.9 percent to 13.5 percent across 4,537 hospitals. [66]
We proposed to include a hospital 30-day, all-cause risk-standardized rate of mortality following an admission for an AECOPD in the Hospital IQR Program. The measure aims to address a prevalent and costly health problem in the nation. In addition, the measure aligns with our priority objectives to promote quality improvements leading to successful transition of care for patients from acute care to outpatient settings, and reducing short term, preventable mortality rates.
We plan to implement this measure to encourage improvement of outcomes by providing patients, physicians, and hospitals with information about hospital-level, risk-standardized mortality rates following hospitalization for an AECOPD. Clinical trials and observational studies suggest that several aspects of care provided to patients hospitalized for AECOPD can have significant effects on mortality, thus supporting the essential construct of mortality as an appropriate outcome to measure quality. 67 68 69 70 Moreover, by proposing an outcome measure, we intend to broaden the view of quality of care that encompasses more than what can be captured by merely measuring individual processes-of-care. Through outcome measures, we can capture complex and critical aspects of care, such as communication between providers, prevention of, and response to, complications, patient safety and coordinated transitions to the outpatient environment, all contribute to patient outcomes but are difficult to measure by individual process measures. [71] [72]
The specifics of the measure methodology are included in the measure methodology report we have posted on our Web site at: http://cms.gov/Medicare/Quality-Initiatives-Patient-Assessment-Instruments/HospitalQualityInits/Measure-Methodology.html. Please see the report for further details on the risk-adjustment statistical model.
(2) Overview of Measure
The measure is a NQF-endorsed 30-day, all-cause risk-standardized rate of mortality after admission for an AECOPD to any non-federal acute care hospital. The MAP supports this measure for inclusion in the Hospital IQR Program.
In general, the measure uses the same approach to risk-adjustment and hierarchical logistic modeling (HLM) methodology that is specified for our inpatient outcome measures previously adopted for the Hospital IQR Program, including AMI, HF, and PN readmission and mortality measures. For a discussion of this methodology, we refer readers to our Web site at: http://cms.gov/Medicare/Quality-Initiatives-Patient-Assessment-Instruments/HospitalQualityInits/Measure-Methodology.html.
(3) Data Sources
The proposed measure is claims-based and uses Medicare administrative data that contain hospitalizations for FFS Medicare beneficiaries hospitalized with AECOPDs.
(4) Outcome
The outcome for this measure is 30-day all-cause mortality defined as a death from any cause within 30 days of the admission date for the index hospitalization. This outcome period is consistent with other NQF-endorsed publicly reported mortality measures (AMI, HF, and PN).
The measure assesses all-cause mortality not just COPD-specific mortality for several reasons. First, limiting the measure to COPD-related mortalities may limit the focus of efforts to improve care to a narrow set of approaches (such as processes that will prevent a recurrent exacerbation) as opposed to encouraging broader initiatives aimed at improving the overall in-hospital care. Second, cause of death may be unreliably recorded and it is often not possible to exclude quality issues and accountability based on the documented cause of mortality. For example, a COPD patient who develops a hospital-acquired infection may ultimately die from sepsis. It would be inappropriate to treat this death as unrelated to the care the patient received for COPD. Finally, from a patient perspective, death is the outcome that matters, regardless of cause.
(5) Cohort
COPD is a group of lung diseases characterized by airway obstruction. Patients hospitalized for an AECOPD present with varying degrees of severity ranging from a worsening of baseline symptoms (dyspnea, cough, and/or sputum) to respiratory failure. To capture the full spectrum of severity of patients hospitalized for an AECOPD, we included patients with a principal diagnosis of COPD, as well as those with a principal diagnosis of respiratory failure who had a secondary diagnosis of an AECOPD. Requiring AECOPD as a secondary code helps to identify respiratory failure due to COPD exacerbation versus another condition (for example, heart failure). For detailed information on the cohort definition please reference the COPD mortality technical report on our Web site at: http://cms.gov/Medicare/Quality-Initiatives-Patient-Assessment-Instruments/HospitalQualityInits/Measure-Methodology.html.
(6) Inclusion and Exclusion Criteria
The measure includes hospitalizations for patients 65 years or older at the time of index admission and for whom there was a complete 12 months of FFS enrollment to allow for adequate risk-adjustment. The measure excludes the following admissions from the measure cohort: (1) Admissions for patients having a principal diagnosis of an AECOPD during the index hospitalization who were transferred from another acute care facility are excluded because the hospital where the patient was initially admitted made critical acute care decisions (including the decision to transfer and where to transfer); (2) admissions for patients enrolled in the Medicare Hospice Program any time in the 12 months prior to the index hospitalization, including the first date of the index admission are excluded because it is likely that these patients are continuing to seek comfort care and their goal may not be survival; and (3) admissions for patients that are discharged alive and against medical advice are excluded because providers did not have the opportunity to deliver full care and prepare the patient for discharge.
(7) Risk Adjustment
The measure adjusts for differences across hospitals in how at risk their patients are for death relative to patients cared for by other hospitals. Consistent with NQF guidelines, the model does not adjust for socioeconomic status or race because risk-adjusting for these characteristics would hold hospitals with a large proportion of minority or low socioeconomic status patients to a different standard of care than other hospitals. One goal of this measure is to illuminate quality differences that such risk adjustment would obscure.
(8) Calculating the Risk-Standardized Mortality Ratio (RSMR)
The measure is calculated using hierarchical logistic modeling (HLM). This approach appropriately accounts for the types of patients a hospital treats (that is, hospital case mix), the number of patients it treats, and the quality of care it provides. The HLM is an appropriate statistical approach to measuring quality based on patient outcomes when the patients are clustered within hospitals (and therefore the patients' outcomes are not statistically independent) and the number of eligible patients for the measure varies from hospital to hospital. As noted above, the measure methodology defines hospital case mix based on the clinical diagnoses provided in the hospital claims for their patients' inpatient and outpatient visits for the 12 months prior to the COPD hospitalization, as well as those present in the claims for care at admission. The methodology, however, specifically does not account for diagnoses present in the index admission that may indicate complications rather than patient comorbidities.
The RSMR is calculated as the ratio of the number of predicted deaths to the number of expected deaths and then the ratio is multiplied by the national unadjusted mortality rate. The ratio is greater than one for hospitals that have more deaths that would be expected for an average hospital with similar cases and less than one if the hospital has fewer deaths than would be expected for an average hospital with similar cases. This approach is analogous to a ratio of “observed” or “crude” rate to an “expected” or risk-adjusted rate used in other similar types of statistical analyses.
The RSMR is a point estimate—the best estimate of a hospital's mortality rate based on the hospital's case mix. For displaying the measure for the Hospital IQR Program, we computed an interval estimate, which is similar to the concept of a confidence interval, to characterize the level of uncertainty around the point estimate. We use the point estimate and interval estimate to determine hospital performance (for example, higher than expected, as expected, or lower than expected). For more detailed information on the calculation methodology please refer to our Web site at: http://cms.gov/Medicare/Quality-Initiatives-Patient-Assessment-Instruments/HospitalQualityInits/Measure-Methodology.html.
We invited public comment on this proposal.
Comment: Some commenters supported the addition of the COPD mortality measure to Hospital IQR Program.
Response: We appreciate the commenters' support for this measure.
Comment: Several commenters noted that the COPD mortality measure may not be reliable.
Response: We use the same statistical approach to reliability for the COPD mortality measure that we have established for our hospital risk-adjusted outcome measures, including the mortality and readmissions measures. Reliability is related to sample size. We adopted a risk-adjustment modeling methodology for our outcome measures that takes into account sample size. Although the commenter raised the issue of reliability related to the COPD mortality measure that CMS proposed for the Hospital IQR program, this issue was raised and responded to in part in the FY 2013 IPPS/LTCH PPS final rule (77 FR 53379) in our discussion of the readmission measures for the Hospital Readmissions Reduction Program. The response is set out below.
“We determined the 25-case threshold for public reporting based on a reliability statistic that is calculated from the intercluster correlation, a parameter of the model.”
In addition, we have thought carefully about how best to measure quality for small volume hospitals. Smaller hospitals do typically have less certain estimates, because they have fewer cases for use in assessing quality; that is a challenge inherent in outcome measurement. One advantage of the statistical model we use for the measures is that it allows for the inclusion of small hospitals while characterizing the certainty of their estimates. The hierarchical logistic regression model that we use to calculate the risk-standardized outcome measures allows the inclusion of hospitals with relatively few observations, but takes into account the uncertainty associated with sample size in estimating their risk-standardized outcome rates. The model takes into account the uncertainty in the estimate of outcome rates for small volume hospitals by assuming that each hospital is a typically performing hospital. It weighs that assumption along with the outcomes for the particular hospital in calculating the outcome rate. Therefore, the estimated outcome rates for smaller hospitals will likely be closer to the national rate because the limited number of eligible cases in the hospital tells little about that hospital's true outcome rate.
Comment: Several commenters requested that CMS incorporate socioeconomic factors in its risk-adjustment methodology.
Response: Commenters also raised this issue regarding our proposed incorporation of planned readmission algorithm for 30-day readmission measures in section IX.A.5.b.(1) of the preamble of this final rule and we refer readers to our response in that section.
Comment: A few commenters suggested that additional work is needed to adequately explore the relationship between COPD 30-day risk standardized mortality rates and 30-day readmission rates.
Response: We consider that hospital performance on mortality and readmission measures represent different aspects of quality. Researchers found that performance on risk-standardized mortality rates was not strongly correlated with performance on risk-standardized readmission rates for HF and not at all for AMI and pneumonia. [73] We appreciate the commenters' concern and will monitor the correlation for COPD as part of our hospital quality surveillance.
Comment: One commenter noted that the hospice exclusion is a crude exclusion for the mortality measures and requested that CMS add information about the desire of the patient to refuse CPR or other potentially life-extending services to determine if mortality was in fact an acceptable outcome for that patient.
Response: We appreciate this comment, and will continue to consider options for identifying and removing from the measures patients who are seeking comfort care only. The options available for identifying these patients and excluding them from the mortality measures are limited and each has tradeoffs. We appreciate the concern about the potential effects of the current approach on clinical care, and will consider this as we maintain the measures.
After consideration of the public comments we received, we are finalizing as proposed the Hospital 30-Day, all-cause, risk-standardized mortality rate (RSMR) following chronic obstructive pulmonary disease (COPD) hospitalization measure for the FY 2016 payment determination and subsequent years.
c. Hospital 30-day, All-Cause Risk-Standardized Rate of Readmission Following Acute Ischemic Stroke (Stroke Readmission) Measure
(1) Background
Stroke is an important and common diagnosis among Medicare patients. Ischemic stroke affects hundreds of thousands of adults in the United States each year and leaves many with new disability and at increased risk for complications, recurrent stroke and clinical deterioration. [74] Hospital readmissions after stroke may result from the progression of disease, but may also be an indicator of poor care. Approximately 10 percent of stroke survivors will have a recurrent stroke within a year and one out of four stroke patients will be readmitted to the hospital. [75] [76] [77] Moreover, stroke is one of the top 20 conditions contributing to Medicare costs. [78] Finally, there is evidence of variation in outcomes at hospitals for stroke patients, supporting the finding that there are opportunities for improving care. The median 30-day risk-standardized readmission rate among Medicare FFS patients aged 65 or older hospitalized for stroke in 2007 was 14.7 percent, and ranged from 11.6 percent to 19.4 percent across 4,242 hospitals. [79]
We proposed to include this non-NQF-endorsed hospital 30-day, all-cause risk-standardized rate of readmission following acute ischemic stroke measure in the Hospital IQR Program, under the exception authority in section 1886(b)(3)(B)(IX)(bb) of the Act as previously discussed in section IX.A.6. of the preamble to this final rule. Although the proposed measure is not currently NQF-endorsed or MAP supported, we considered other available measures that have been endorsed or adopted by a consensus organization, and found no other feasible and practical measures on this topic. We believe it is imperative to adopt this measure as it aims to address a prevalent and costly health problem in the nation. In addition, the measure aligns with our priority objectives to promote quality improvements leading to successful transition of care for patients from acute care to outpatient settings, and reduce short term, preventable readmission rates.
We plan to implement this measure to encourage improvement of outcomes by providing patients, physicians, and hospitals with information about hospital-level, risk-standardized readmission rates following hospitalization for acute ischemic stroke. Studies have shown stroke readmission to be related to quality of care, and that improvements in care can reduce readmission rates. [80] [81] [82] Moreover, by proposing an outcome measure, we intend to broaden the view of quality of care that encompasses more than what can be captured by merely measuring individual processes-of-care. Through outcome measures, we can capture complex and critical aspects of care, such as communication between providers, prevention of, and response to, complications, patient safety and coordinated transitions to the outpatient environment, all of which contribute to patient outcomes but are difficult to measure by individual process measures. [83] [84]
The specifics of the measure methodology are included in the measure methodology report we have posted on our Web site at: http://cms.gov/Medicare/Quality-Initiatives-Patient-Assessment-Instruments/HospitalQualityInits/Measure-Methodology.html. We refer readers to the report for further details on the risk-adjustment statistical model.
(2) Overview of Measure
The measure is a 30-day, all-cause risk-standardized rate of readmission following hospitalization for acute ischemic stroke to any non-federal acute care hospital. The measure includes Medicare FFS patients aged 65 or older admitted for an acute ischemic stroke and assesses if the patient was readmitted within 30 days of discharge.
In general, the measure uses the same approach to risk-adjustment and HLM methodology that is specified for our inpatient outcome measures previously adopted for the Hospital IQR Program, including AMI, HF, and PN readmission and mortality measures. For a discussion of this methodology, we refer readers to our Web site at: http://cms.gov/Medicare/Quality-Initiatives-Patient-Assessment-Instruments/HospitalQualityInits/Measure-Methodology.html.
Furthermore this measure, which is calculated using CMS claims or administrative data, is validated by comparing it to a medical record model in a matched cohort of admissions for which stroke medical record data and administrative claims data are available.
(3) Data Sources
The proposed measure is claims-based and uses Medicare administrative data that contain hospitalizations for fee-for-service Medicare beneficiaries hospitalized with acute ischemic stroke.
(4) Outcome
The outcome for this measure is 30-day all-cause readmission defined as an unplanned subsequent inpatient admission to any acute care facility from any cause within 30 days of the admission date for the index hospitalization. A number of studies have demonstrated that improvements in care at the time of patient discharge can reduce 30-day readmission rates. 85 86 87 It is a timeframe in which a readmission may reasonably be attributed to the hospital care and transitional period to a non-acute setting.
The measure assesses all-cause unplanned readmission (excluding planned readmissions) rather than only stroke-specific readmissions for several reasons. First, from the patient perspective, readmission for any reason is likely to be an undesirable outcome of care, even though not all readmissions are preventable. Second, limiting the measure to stroke-related readmissions may limit the focus of efforts to improve care to a narrow set of approaches (such as processes that will prevent recurrent stroke) as opposed to encouraging broader initiatives aimed overall at improving the care within the hospital and transitions from the hospital setting. Moreover, it is often hard to exclude quality issues and accountability based on the documented cause of readmission, for instance, a patient who came back with pneumonia may have aspirated due to inadequate preventive measures and therefore we would not want to discount such a readmission.
The measure does not count readmissions that are considered planned. Planned readmissions are identified in claims data using the CMS Planned Readmission Algorithm Version 2.1 which detects readmissions that are typically planned and may occur within 30 days of discharge from the hospital. For more information on the methodology used to identify planned readmissions, and the list of planned diagnoses and procedures used in the algorithm, please refer to on our Web site at: http://cms.gov/Medicare/Quality-Initiatives-Patient-Assessment-Instruments/HospitalQualityInits/Measure-Methodology.html. The stroke readmission measure makes one modification to the planned readmissions algorithm as it does not consider readmissions as planned for patients who are readmitted for debridement of wound; infection or burn (AHRQ's Clinical Classification Software procedure category 169). Such treatments are commonly provided for decubitus ulcers that can easily be unplanned readmissions following stroke care, because such ulcers can complicate a stroke. The algorithm includes planned readmissions for common related follow-up care for stroke patients (for example, carotid endarterectomy) as well as readmissions which are generally planned regardless of the original admission (for example, a stroke patient readmitted for cholecystectomy). Unplanned readmissions that fall within the 30-day post discharge timeframe from the index admission are not counted as outcomes for the index admission if they are preceded by a planned readmission.
(5) Cohort
The cohort of index hospital admissions included in the measure is restricted to hospitalizations for ischemic stroke. The measure is limited to ischemic stroke hospitalizations for several reasons. First, ischemic strokes are the most common type of stroke, accounting for the vast majority of stroke hospitalizations. [88] Second, the etiology and prognosis of ischemic stroke is quite different than that of hemorrhagic stroke, so a combined cohort would be more heterogeneous. This heterogeneity could make it more difficult to account for a hospital's patient mix and lead to a less fair measure. Similarly, patients with transient ischemic attacks (TIAs) are not included largely due to concerns about inconsistency in the use of administrative codes to define TIA and potential for inclusion of patients without cerebrovascular conditions. For detailed information on the cohort definition, we refer readers to the stroke readmission technical report on our Web site at: http://cms.gov/Medicare/Quality-Initiatives-Patient-Assessment-Instruments/HospitalQualityInits/Measure-Methodology.html.
(6) Inclusion and Exclusion Criteria
The measure includes hospitalizations for patients 65 years or older at the time of index admission and for whom there was a complete 12 months of FFS enrollment to allow for adequate risk-adjustment. The measure excludes the following admissions from the measure cohort: (1) Admissions for patients who die during the initial hospitalization because they are not eligible for readmission; (2) admissions for patients having a principal diagnosis of stroke during the index hospitalization and subsequently transferred to another acute care facility are excluded because the measure's focus is on hospitals that discharge patients to a non-acute setting (for example, to home or a skilled nursing facility); (3) admissions for patients that are discharged against medical advice are excluded because providers did not have the opportunity to deliver full care and prepare the patient for discharge; (4) admissions for patients without at least 30-days post-discharge enrollment in Medicare FFS are excluded because the 30-day readmission outcome cannot be assessed in this group; and (5) additional stroke admissions for patients within 30 days of discharge from an index stroke admission will be considered readmissions and not additional index admissions.
(7) Risk Adjustment
The measure adjusts for differences across hospitals in how at risk their patients are for readmission relative to patients cared for by other hospitals. Consistent with NQF guidelines, the model does not adjust for socioeconomic status or race because risk-adjusting for these characteristics would hold hospitals with a large proportion of minority or low socioeconomic patients to a different standard of care than other hospitals. One goal of this measure is to illuminate quality differences that such risk-adjustment would obscure.
(8) Calculating the Risk Standardized Readmission Ratio (RSRR)
The measure is calculated using HLM. This approach appropriately accounts for the types of patients a hospital treats (that is, hospital case mix), the number of patients it treats, and the quality of care it provides. HLM is an appropriate statistical approach to measuring quality based on patient outcomes when the patients are clustered within hospitals (and therefore the patients' outcomes are not statistically independent) and the number of eligible patients for the measure varies from hospital to hospital. As noted above, the measure methodology defines hospital case mix based on the clinical diagnoses provided in the hospital claims for their patients' inpatient and outpatient visits for the 12 months prior to the ischemic stroke hospitalization, as well as those present in the claims for care at admission. However, the methodology specifically does not account for diagnoses present in the index admission that may indicate complications rather than patient comorbidities. In addition, the measure takes into account situations where patients initially present at one ED but are then admitted to another hospital for their index stroke hospitalization. The measure includes a risk-adjustment factor to account for ED-transfer patients.
The RSRR is calculated as the ratio of the number of predicted readmissions to the number of expected readmissions and then the ratio is multiplied by the national unadjusted readmission rate. The ratio is greater than one for hospitals that have more readmission that would be expected for an average hospital with similar cases and less than one if the hospital has fewer readmissions than would be expected for an average hospital with similar cases. This approach is analogous to a ratio of “observed” or “crude” rate to an “expected” or risk-adjusted rate used in other similar types of statistical analyses.
The RSRR is a point estimate—the best estimate of a hospital's readmission rate based on the hospital's case mix. For displaying the measure for the Hospital IQR Program, we computed an interval estimate, which is similar to the concept of a confidence interval, to characterize the level of uncertainty around the point estimate. We use the point estimate and interval estimate to determine hospital performance (for example, higher than expected, as expected, or lower than expected). For more detailed information on the calculation methodology, we refer readers to our Web site at: http://cms.gov/Medicare/Quality-Initiatives-Patient-Assessment-Instruments/HospitalQualityInits/Measure-Methodology.html.
We proposed to adopt this measure in the Hospital IQR Program for the FY 2016 payment determination and subsequent years under the exception authority in section 1886(b)(3)(B)(IX)(bb) of the Act as previously discussed in section IX.A.6. of the preamble of this final rule. Although the proposed measure is not currently NQF-endorsed or MAP supported, we considered other available measures that have been endorsed or adopted by the NQF, and were unable to identify any other NQF-endorsed measures that assess stroke readmission with a standard period of follow-up. We also are not aware of any other 30-day stroke readmission measures that have been endorsed or adopted by a consensus organization. The development of this measure went through the same rigorous development process as the other publicly reported outcomes measures and involved extensive input by stakeholders and clinical experts. It follows the same scientific approach to evaluate hospital performance as other Hospital IQR Program outcome measures. Finally, it has been validated with medical record measures and shown to produce similar hospital-level results. Accordingly, we proposed to adopt the 30-day stroke readmission measure under the Secretary's authority set forth at section 1886(b)(3)(B)(IX)(bb) of the Act.
We invited public comment on this proposal.
Comment: Many commenters opposed the stroke readmission measure because it is not NQF-endorsed.
Response: We submitted the 30-day Stroke Readmission and 30-day Stroke Mortality Measures to the NQF for review during its 2012 Neurology Endorsement Maintenance Consensus Development Project. The NQF Neurology steering committee convened three times to assess the CMS stroke measures. The first time the Committee recommended the readmission measure for endorsement (the vote was 13 to 9). After the public comment period, the Steering Committee met for a second time to discuss the issues raised by the commenters. The issues raised during public comment were: (1) The lack of inclusion of the NIH Stroke Scale (NIHSS) score as patient severity score for risk adjustment purposes; (2) whether the measures are able to show variability among hospitals, and room for improvement; and (3) hospitals perceived ability to influence the readmission measure. The committee reassessed these issues and concluded that the 30-day readmission measure met the four NQF endorsement criteria—importance, scientific acceptability, usability, and feasibility. However the committee voted 12-10 against the endorsement of the readmission measure. The third time the Committee met following a second round of public comment, they discussed the issue of whether the readmission measure should be risk adjusted for patient level SES factors. The Steering Committee discussed these issues and decided not to re-vote on the measures. For further information, we refer readers to the Official NQF Report for this Consensus Development Project, located here: http://www.qualityforum.org/Publications/2012/12/Neurology_Endorsement_Maintenance_-_Phase_I_Technical_Report.aspx.
We submitted the readmission and mortality measures for review by the MAP in December 2012. While some members of the MAP supported use of the measures in the Hospital IQR Program, in its Final Report to HHS, the MAP did not support either the 30-day Stroke Readmission Measure or the 30-day Stroke Mortality Measure, because the measures did not receive NQF endorsement. We refer readers to the February 2013 MAP Pre-rulemaking recommendations located here: http://www.qualityforum.org/Publications/2013/02/MAP_Pre-Rulemaking_Report_-_February_2013.aspx.
In evaluating and selecting the 30-day acute ischemic stroke readmission measure for inclusion in the Hospital IQR Program, we considered whether there were other available measures that have been endorsed or adopted by the NQF, and were unable to identify any other NQF-endorsed measures that assess 30-day acute ischemic stroke readmission. We also are not aware of any other measures of 30-day acute ischemic stroke outcomes that have been endorsed or adopted by a consensus organization. The development of the 30-day acute ischemic stroke readmission measure went through the same rigorous development process as the other publicly reported outcomes measures and involved extensive input by stakeholders and clinical experts. This follows the same scientific approach to evaluate hospital performance as other Hospital IQR Program outcome measures. There are currently no stroke outcome measures in the Hospital IQR Program to complement the process of care and structural measures, yet stroke remains one of the top causes of death, and hospitalization for Stroke is frequently followed by readmission. This is why we proposed to adopt this measure for the Hospital IQR Program under the Secretary's authority set forth at section 1886(b)(3)(B)(IX)(bb) of the Act.
We appreciate and have heard the concerns of the stakeholders on this issue. We are committed to working with the stakeholder communities and to continuously refine our measures, which for the stroke outcome measures includes risk adjusted patient severity. We will work with the stroke communities and other stakeholders to seek feasible ways to incorporate additional severity adjustment as suggested. We note that stroke is the fifth leading cause of adult mortality in the U.S., and therefore we believe it would be a disservice to patients to delay inclusion of these current stroke outcome measures in quality reporting and quality improvement initiatives. We are committed to making these measures better and working with stakeholders to do so.
Comment: Several commenters supported the addition of the stroke readmission measure to Hospital IQR Program.
Response: We appreciate the commenters support for this measure.
Comment: A number of commenters expressed concerns that the stroke readmission measure does not include risk adjustment for stroke severity. Specifically a few commenters suggested that use of this measure could hamper efforts to develop State-wide coordinated care systems, since many stroke centers receive severe cases from other providers' emergency departments. Commenters also stated that the adoption of the measure may create disincentives for providers to accept more severe stroke patients to try to avoid having high readmission rates. Instead of the proposed measure, one commenter asked CMS to develop a measure that accounts for stroke severity to enable hospitals to put internal changes in action to reduce readmission rates and improve quality of care for stroke patients. The same commenter also noted that the vast majority of stroke readmissions are not preventable.
Response: We appreciate these concerns and suggestions and will continue to engage stakeholders on ways to incorporate stroke severity into the risk-adjusted model for stroke outcome measures. Our goal is to refine measures so that the measure results will better inform hospitals on ways to improve quality of care for their patients.
We understand stakeholders' concerns that a measure of stroke readmission that does not adequately adjust for stroke severity might negatively impact the development of State-wide coordinated care systems. During measure development, we attempted to address this concern through validation of our measure. We compared the results of our measure with medical record data that included a marker of stroke severity. The correlation coefficient of the risk standardized readmission rates from the administrative and medical record models is 0.99 and for the stroke mortality model (see the discussion of the stroke mortality measure below), it was 0.80. Hospital performance on both of the measures using two different data sources (that is, administrative claims or medical records) was very similar. We believe this analysis not only demonstrates the validity of the administrative claims data for risk-adjustment, but also illustrates how assessment of stroke severity using a method other than the NIHSS score can provide meaningful data that enables hospitals to improve stroke quality of care.
Regarding the concerns about the creation of a potential disincentive to accept more severe stroke patients in transfer, we have thought carefully about this measure's effect on tertiary care centers. In order to confirm that the measure is fair to tertiary care centers, we performed analyses during measure development and found that measure performance for stroke centers is not different than that of non-stroke center hospitals. Further, our measures continually undergo maintenance to determine the need for: (1) Updated specifications; (2) responses to concerns of stakeholders; and (3) measure refinement in response to monitored trends. We will closely monitor this issue to ensure that hospitals are appropriately caring for patients experiencing various levels of stroke severity.
We would like to clarify that we do not assume all readmissions are preventable. Our goal for the readmission measure is to identify hospitals that seem to have excess readmissions above and beyond what would be expected for their case mix. We believe that careful discharge planning and instructions, communication with outpatient providers, attention to patient safety and prevention of infections, are all important for reducing readmissions. With these internal changes by hospitals, we believe that these and other steps to reduce readmissions will lead to hospitals having lower overall readmission rates and have better rates on this measure. We stress that the measure is not intended to drive hospitals to a zero readmission rate, but rather is designed to encourage hospitals to identify opportunities to systematically reduce readmission risks in their environment.
Comment: One commenter was concerned that the measure calculations cannot be replicated/validated by hospitals by using solely their own data.
Response: The measure would require access to 100 percent of Medicare Part A and Part B claims for all Medicare Fee for Service beneficiaries in order to truly replicate the calculations that we perform for these measures. We realize that this type of data access or analytic capacity may not be available to hospitals, and this is why we provide hospitals with detailed information to help them understand what the calculations were based on—including discharge level comorbidities and dispositions, so that hospitals can verify the accuracy of the calculations we provide.
Comment: One commenter suggested that any stroke outcome measures used by the program should be properly developed, tested and risk-adjusted. Some commenters requested that CMS begin collecting stroke severity in the form of the NIHSS score and work to revise these measures to include adjustment for stroke severity, prior to implementation in the Hospital IQR Program.
Response: We appreciate these concerns and suggestions and will continue to engage stakeholders on ways to incorporate stroke severity into the stroke outcome measures. Our goal is to continuously refine measures so that the measure results will better inform hospitals on ways to improve quality of care for their patients.
We understand stakeholder concerns that the current stroke outcome measures do not risk-adjust for stroke severity using the NIHSS score. We believe the stroke outcome measures were effectively developed, tested and risk-adjusted because we validated our claims-based risk adjustment model against a clinical risk adjustment model that included the National Stroke Project Stroke Severity Scale (NSPSSS), a marker of patient severity other than the NIHSS score that correlates well with the NIHSS. [89] During development our aim was to: (1) Develop a scientifically valid measure; (2) conduct development in a fully transparent manner with multiple public comment periods; and (3) acquire extensive input from the clinical community.
To address the concerns of validity, we performed a comparison of the performance of the administrative claims model with the performance of a clinical model that included the NSPSSS in a matched cohort of admissions. Our analyses found that there was a high-level of agreement between the claims-based model and the clinical model. The correlation coefficients of the hospital risk standardized readmission rates calculated using the claims based model and the clinical model were 0.99 for the readmission measure and 0.80 for the stroke mortality measure. Hospital performance on the measures using the two different data sources (that is, administrative claims or medical records) was also very similar. We believe that these results demonstrate the validity of our administrative claims based model for risk-adjustment, because generally, clinical data from medical records are considered a gold standard for comparison.
We appreciate and have heard the concerns of the stakeholders on this issue. We are committed to working with the stakeholder communities and to continuously refine our measures, which for the stroke outcome measures includes risk adjusted patient severity. We will work with the stroke communities and other stakeholders to seek feasible ways to incorporate additional severity adjustment as suggested. We must highlight that stroke is the fifth leading cause of adult mortality in the U.S., and therefore we believe it would be a disservice to patients to delay inclusion of these current stroke outcome measures in quality reporting and quality improvement initiatives. We are committed to making these measures better and working with stakeholders to do so.
After consideration of the public comments we received, we are finalizing as proposed the Hospital 30-day, all-cause risk-standardized rate of readmission following acute ischemic stroke measure for FY 2016 payment determination and subsequent years.
d. Hospital 30-Day, All-Cause Risk-Standardized Rate of Mortality Following an Admission for Acute Ischemic Stroke (Stroke Mortality) Measure
(1) Background
Stroke is an important and common diagnosis among Medicare patients. Stroke affects approximately 795,000 people each year in the U.S. with high rates of mortality and morbidity. Stroke is the fourth most common cause of death after heart disease, cancer, and chronic lower respiratory disease. [90] Moreover, stroke is one of the top 20 conditions contributing to Medicare costs. [91] Finally, there is evidence of variation in outcomes at hospitals for stroke patients, supporting the finding that there are opportunities for improving care. The median 30-day risk-standardized mortality rate among Medicare FFS patients aged 65 or older hospitalized for stroke in 2007 was 15.3 percent, and ranged from 10.7 percent to 23.5 percent across 4,288 hospitals. [92]
We proposed to include a non-NQF endorsed hospital 30-day, all-cause risk-standardized rate of mortality following an admission for acute ischemic stroke measure in the Hospital IQR Program, under the exception authority in section 1886(b)(3)(B)(IX)(bb) of the Act as previously discussed in section IX.A.6. of the preamble of this final rule. Although the proposed measure is not currently NQF-endorsed or MAP supported, we considered other available measures that have been endorsed or adopted by a consensus organization, and found no other feasible and practical measures on this topic. We believe it is important to adopt this measure as it aims to address a prevalent and costly health problem in the nation. In addition, the measure aligns with our priority objectives to promote quality improvements leading to successful transition of care for patients from acute care to outpatient settings, and reducing short term, preventable mortality rates.
We plan to implement this measure to encourage improvement of outcomes by providing patients, physicians, and hospitals with information about hospital-level, risk-standardized mortality rates following hospitalization for acute ischemic stroke. Studies have shown stroke mortality to be related to quality of care, and that there are effective interventions that hospitals can adopt to reduce mortality rates. [93] [94] Moreover, by proposing an outcome measure, we intend to broaden the view of quality of care that encompasses more than what can be captured by merely measuring individual processes-of-care. Through outcome measures, we can capture complex and critical aspects of care, such as communication between providers, prevention of, and response to, complications, patient safety and coordinated transitions to the outpatient environment, all of which contribute to patient outcomes, but are difficult to measure by individual process measures. [95] [96]
The specifics of the measure methodology are included in the measure methodology report we have posted on our Web site at: http://cms.gov/Medicare/Quality-Initiatives-Patient-Assessment-Instruments/HospitalQualityInits/Measure-Methodology.html. We refer readers to the report for further details on the risk-adjustment statistical model.
(2) Overview of Measure
The measure is a 30-day, all-cause risk-standardized rate of mortality after admission for acute ischemic stroke to any non-federal acute care hospital. The measure includes Medicare fee-for-service patients aged 65 or older admitted for an acute ischemic stroke and assesses if the patient died within 30 days of admission.
In general, the measure uses the same approach to risk-adjustment and HLM methodology that is specified for our inpatient outcome measures previously adopted for the Hospital IQR Program, including AMI, HF, and PN readmission and mortality measures. For a discussion of this methodology, we refer readers to our Web site at: http://cms.gov/Medicare/Quality-Initiatives-Patient-Assessment-Instruments/HospitalQualityInits/Measure-Methodology.html.
Furthermore this measure, which is calculated using CMS claims or administrative data, is validated by comparing it to a medical record model in a matched cohort of admissions for which stroke medical record data and administrative claim data are available.
(3) Data Sources
The proposed measure is claims-based and uses Medicare administrative data that contain hospitalizations for Medicare FFS beneficiaries hospitalized with acute ischemic stroke.
(4) Outcome
The outcome for this measure is 30-day all-cause mortality defined as a death from any cause within 30 days of the admission date for the index hospitalization. Thirty days is a standard time period used in other measures of stroke mortality. [97] [98] It is a timeframe in which a death may reasonably be attributed to the hospital care and transitional period to a non-acute setting.
The measure assesses all-cause mortality as opposed to stroke-specific mortality for several reasons. First of all, limiting the measure to stroke-related mortalities may limit the focus of efforts to improve care to a narrow set of approaches (such as processes that will prevent recurrent stroke) as opposed to encouraging broader initiatives aimed at improving the overall care within the hospital. Second, cause of death may be unreliably recorded and it is often impossible to exclude quality issues and accountability based on the documented cause of mortality. For example, a stroke patient who develops a hospital-acquired infection may ultimately die from sepsis. It would be inappropriate to treat this mortality as unrelated to the care the patient received for stroke. Finally, from a patient perspective, death is the outcome that matters, regardless of cause.
(5) Cohort
The cohort of index hospital admissions included in the measure is restricted to hospitalizations for ischemic stroke. The measure is limited to ischemic stroke hospitalizations for a few reasons. First, ischemic strokes are the most common type of stroke, accounting for the vast majority of stroke hospitalizations. [99] Second, the causes and prognosis of ischemic stroke are quite different than that of hemorrhagic stroke, so a combined cohort would be more heterogeneous. This heterogeneity could make it more difficult to account for a hospital's patient mix and lead to a less fair measure. Similarly, patients with TIAs are not included largely due to concerns about inconsistency in the use of administrative codes to define TIA and potential for inclusion of patients without cerebrovascular conditions. For detailed information on the cohort definition please reference the stroke mortality technical report on our Web site at: http://cms.gov/Medicare/Quality-Initiatives-Patient-Assessment-Instruments/HospitalQualityInits/Measure-Methodology.html.
(6) Inclusion and Exclusion Criteria
The measure includes hospitalizations for patients 65 years or older at the time of index admission and for whom there was a complete 12 months of FFS enrollment to allow for adequate risk-adjustment. The measure excludes the following admissions from the measure cohort: (1) Admissions for patients having a principal diagnosis of stroke during the index hospitalization who were transferred from another acute care facility are excluded because the hospital where the patient was initially admitted made critical acute care decisions (including the decision to transfer and where to transfer); (2) admissions for patients enrolled in the Medicare Hospice program any time in the 12 months prior to the index hospitalization, including the first date of the index admission are excluded because it is likely that these patients are continuing to seek comfort care and their goal may not be survival; and (3) admissions for patients that are discharged alive and against medical advice are excluded because providers did not have the opportunity to deliver full care and prepare the patient for discharge.
(7) Risk Adjustment
The measure adjusts for differences across hospitals in how at risk their patients are for death relative to patients cared for by other hospitals. Consistent with NQF guidelines, the model does not adjust for socioeconomic status or race because risk-adjusting for these characteristics would hold hospitals with a large proportion of minority or low socioeconomic status patients to a different standard of care than other hospitals. One goal of this measure is to illuminate quality differences that such risk-adjustment would obscure.
(8) Calculating the Risk Standardized Mortality Ratio (RSMR)
The measure is calculated using hierarchical logistic modeling (HLM). This approach appropriately accounts for the types of patients a hospital treats (that is, hospital case mix), the number of patients it treats, and the quality of care it provides. The HLM is an appropriate statistical approach to measuring quality based on patient outcomes when the patients are clustered within hospitals (and therefore the patients' outcomes are not statistically independent) and the number of eligible patients for the measure varies from hospital to hospital. As noted above, the measure methodology defines hospital case mix based on the clinical diagnoses provided in the hospital claims for their patients' inpatient and outpatient visits for the 12 months prior to the stroke hospitalization, as well as those present in the claims for care at admission. However, the methodology specifically does not account for diagnoses present in the index admission that may indicate complications rather than patient comorbidities. In addition, the measure takes into account situations where patients initially present at one ED, are then admitted to another hospital for their index stroke hospitalization. The measure includes a risk-adjustment factor to account for ED-transfer patients.
The RSMR is calculated as the ratio of the number of predicted deaths to the number of expected deaths and then the ratio is multiplied by the national unadjusted mortality rate. The ratio is greater than one for hospitals that have more deaths that would be expected for an average hospital with similar cases and less than one if the hospital has fewer deaths than would be expected for an average hospital with similar cases. This approach is analogous to a ratio of an “observed” or “crude” rate to an “expected” or risk-adjusted rate used in other similar types of statistical analyses.
The RSMR is a point estimate—the best estimate of a hospital's mortality rate based on the hospital's case mix. For displaying the measure for the Hospital IQR Program, we computed an interval estimate, which is similar to the concept of a confidence interval, to characterize the level of uncertainty around the point estimate. We use the point estimate and interval estimate to determine hospital performance (for example, higher than expected, as expected, or lower than expected). For more detailed information on the calculation methodology, we refer readers to our Web site at: http://cms.gov/Medicare/Quality-Initiatives-Patient-Assessment-Instruments/HospitalQualityInits/Measure-Methodology.html.
We proposed to adopt this measure in the Hospital IQR Program for the FY 2016 payment determination and subsequent years under the exception authority in section 1886(b)(3)(B)(IX)(bb) of the Act as previously discussed in section IX.A.6. of the preamble of this final rule. Although the proposed measure is not currently NQF-endorsed or MAP supported, we considered other available measures that have been endorsed or adopted by the NQF, and were unable to identify any other NQF-endorsed measures that assess stroke mortality with a standard period of follow-up. We also are not aware of any other 30-day stroke mortality measures that have been endorsed or adopted by a consensus organization. The development of this measure went through the same rigorous development process as the other publicly reported outcomes measures and involved extensive input by stakeholders and clinical experts. It follows the same scientific approach to evaluate hospital performance as other Hospital IQR outcome measures. Finally, it has been validated with medical record measures and shown to produce similar hospital-level results. Accordingly, we proposed to adopt the 30-day stroke mortality measure under the Secretary's authority set forth at section 1886(b)(3)(B)(IX)(bb) of the Act.
We invited public comment on this proposal.
Comment: Many commenters opposed the use of the stroke mortality measure because it is not NQF-endorsed.
Response: We submitted the 30-day Stroke Mortality Measure to the NQF for review during its 2012 Neurology Endorsement Maintenance Consensus Development Project. The NQF Neurology Steering Committee convened three times to assess the measure. At the first meeting, the Committee strongly recommended the measure for endorsement (the vote was 18 yes to 4 no). After the public comment period, the Steering Committee met for a second time to discuss the issues raised by the commenters. The issues raised during public comment were: (1) The measure uses administrative data rather than clinical data; (2) most of the severely disabled stroke patients are redirected to referral stroke centers, which may result in excess mortality at those sites; (3) unintended consequences—hospitals may selectively accept stroke patients with mild or moderate strokes and may not want to accept more severely ill patients; (4) the measure did not appear well validated; and (5) the NIHSS score is not included in the risk-adjustment model (The NIHSS is a tool used by healthcare providers to quantify the impairment caused by a stroke such as level of consciousness, eye movement, visual test, facial palsy, motor arm, motor leg, limb ataxia, sensory, language, and speech, whereas the NSPSSS assesses the presence of visual, speech, motor and sensory deficits for stroke patients.) Commenters cited the findings of the JAMA article, Comparison of 30-Day Mortality Models for Profiling Hospital Performance in Acute Ischemic Stroke With vs Without Adjustment for Stroke Severity, by Fonarow, et al. The Committee discussed these issues at length, especially the results in the Fonarow article. The Steering Committee then voted again on the measure. Votes on each of the four NQF criteria—importance, scientific acceptability, usability, and feasibility—resulted in a majority of high and moderate votes for the measure. For the overall endorsement vote, however the Committee did not reach consensus (the vote was split 11 yes to 11 no). The measure went out for a second public comment period with additional testing information. We elected to withdraw the stroke mortality measure from NQF review prior to the third Steering Committee meeting. For further information, we refer readers to the Official NQF Report for this Consensus Development Project, located here: http://www.qualityforum.org/Publications/2012/12/Neurology_Endorsement_Maintenance_-_Phase_I_Technical_Report.aspx.
We submitted the measures for review by the MAP in December 2012. While some members of the MAP supported use of the measures in the Hospital IQR Program, in their Final Report to HHS, the MAP did not support the 30-day Stroke Mortality Measure because the measure did not receive NQF endorsement. We refer readers to the February 2013 MAP Pre-rulemaking recommendations located here: http://www.qualityforum.org/Publications/2013/02/MAP_Pre-Rulemaking_Report_-_February_2013.aspx.
In evaluating and selecting this measure for inclusion in the Hospital IQR Program, we considered whether there were other available measures that have been endorsed or adopted by the NQF, and were unable to identify any other NQF-endorsed measures that assess 30-day stroke mortality. We also are not aware of any other measures of 30-day stroke outcomes that have been endorsed or adopted by a consensus organization. The development of this measure went through the same rigorous development process as the other publicly reported outcomes measures and involved extensive input by stakeholders and clinical experts. This follows the same scientific approach to evaluate hospital performance as other Hospital IQR Program outcome measures. There are currently no stroke outcome measures in the Hospital IQR Program to complement the process of care and structural measures, yet stroke remains one of the top causes of death. This is why we proposed to adopt this measure for the Hospital IQR Program under the Secretary's authority set forth at section 1886(b)(3)(B)(IX)(bb) of the Act.
We appreciate and have heard the concerns of the stakeholders on this issue. We are committed to working with the stakeholder communities and to continuously refine our measures, which for the stroke outcome measures includes risk adjusted patient severity. We will work with the stroke communities and other stakeholders to seek feasible ways to incorporate additional severity adjustment as suggested. We must highlight that stroke is the fifth leading cause of adult mortality in the U.S., and therefore we believe it would be a disservice to patients to delay inclusion of these current stroke outcome measures in quality reporting and quality improvement initiatives. We are committed to making these measures better and working with stakeholders to do so.
Comment: Some commenters supported the addition of the stroke mortality measure to Hospital IQR Program.
Response: We appreciate the commenters' support.
Comment: Several commenters requested CMS consider excluding hospice settings and levels of care for post discharge stroke patients.
Response: The stroke mortality measure excludes patients who are enrolled in Medicare hospice on the day of admission or in the 12 months prior to the day of admission because the goal of the hospitalization for these patients is likely not survival. However, consistent with guidelines for health care quality outcome measures, the 30-day measure does not exclude patients who transitioned to hospice or palliative care during their hospital stay because such transitions may be the result of quality failures that have led to poor clinical outcomes; thus, excluding these patients could mask quality problems. Moreover, the use of palliative care during a hospital stay is not necessarily an indication that a patient is no longer seeking life-sustaining measures. Palliative care is focused on providing patients relief of symptoms. It is increasingly used by patients who are not at the end of life and, therefore, should not be used to exclude patients from a mortality measure.
Comment: A few commenters requested that CMS focus on an e-measure for strokes which implements ICD-10 codes.
Response: We are currently expanding the use of e-measures and will continue to examine the feasibility of converting existing measures into e-measures. We are also committed to transitioning current measures to ICD-10 once ICD-10 is fully implemented.
Comment: One commenter requested that the measure include Medicare Advantage patients.
Response: We do not receive claims data for beneficiaries who are enrolled in the Medicare Advantage Program. Therefore, the measure cannot be calculated using claims paid under the Medicare Advantage Program.
Comment: One commenter requested CMS develop a reporting mechanism, similar to the present on admission (POA) flag, so that providers can more accurately and properly report the care that they deliver to the patient.
Response: We have implemented a POA coding requirement for primary and secondary diagnoses on claims submitted for Part A services. We currently do not use these codes in this measure. However, we appreciate the recommendation for the use of POA flags and will continue to evaluate whether they can be used as part of the stroke mortality measure rate calculations.
Comment: One commenter requested CMS include the NQF #0467 measure—Acute Stroke Mortality Rate (AHRQ IQI 17) in the Hospital IQR measure set instead of the stroke readmission and mortality measures.
Response: The NQF #0467 measure is a measure of inpatient deaths only and does not include deaths which occur in the post-acute timeframe. We believe it is important to not only measure inpatient deaths but also those that occur in any setting during the 30-day period after discharge, which are captured in the proposed measure. This is because measuring only in-hospital deaths may result in the unintended consequence of hospitals discharging patients inappropriately in order to avoid being attributed with their death.
Comment: One commenter noted that the stroke mortality measure model does not provide adequate discrimination between hospitals in terms of performance citing a recent JAMA article which suggests that hospitals can be classified as “better than” or “worse than” expected mortality when those hospitals should be classified as “expected mortality” if the risk adjustment does not include the NIHSS.
Response: The article referenced by the commenter in the Journal of the American Medical Association (JAMA) in 2012 is believed to be that written by Fonarow et al. [100] In this article, the authors compared categorization or classification of hospitals as better than, no different than, or worse than the national stroke rate using a 30-day mortality model with and without the NIHSS score. Briefly, Fonarow et al. created a 30-day mortality model thought to be identical to the CMS/Yale 30-day acute ischemic stroke mortality model. Once they created this model they added NIHSS score variables and categorized 782 hospitals using the model without the NIHSS score and with the NIHSS score. Their analyses showed that 94 percent of the 782 hospitals that were analyzed were classified or categorized identically by both models (that is, model with and without the NIHSS score). The commenter noted that Fonarow et al.'s article found that the model with the NIHSS score classified 6 percent of the hospitals (that is, 45 of 782 hospitals) differently from the model without the NIHSS score.
We believe the reclassification found in article is potentially unreliable due to several limitations of this article. First over half of the patients in the study did not have a measured NIHSS score. This fact both undermines the findings in the article and provides evidence that implementing a measure with the NIHSS score would not be feasible in the near term. Second the measure analyzed within the article, though described as being the same as the CMS measure actually differed in important respects. The measure in the JAMA article lacks a risk variable for Emergency Department (ED)-transfer patients. The ED transfer variable included in the proposed measure is an important variable that likely captures some of the differences in stroke severity for patients treated in hospitals that are regional stroke centers. In addition the measure in the JAMA article included a different cohort of stroke patients other than Acute Ischemic Stroke patients (the JAMA article included hemorrhagic patients), the risk-adjustment includes different variables and is much less parsimonious (has 87 variables). Third, the article did not allow evaluation of the degree of differences between the results of the two models. A small change in the estimates may change ranking without meaningfully changing hospital results. The article does not provide information about how similar the new estimates are to the CMS original estimates, or whether the new estimates fall within the uncertainty of the original estimates. Nor does the article present the correlation between the original model results and new results for hospitals.
We believe the proposed stroke outcome measures were effectively developed, tested and risk adjust using the National Stroke Project Stroke Severity Scale (NSPSSS), a marker of patient severity other than but similar to the NIHSS score. The NIHSS is a tool used by healthcare providers to quantify the impairment caused by a stroke such as level of consciousness, eye movement, visual test, facial palsy, motor arm, motor leg, limb ataxia, sensory, language, and speech. The NSPSSS assesses the presence of visual, speech, motor and sensory deficits for stroke patients. The NSPSSS correlates well with NIHSS. During the measure development, we performed a comparison of the performance of the administrative claims model with the performance of a medical record model that included the NSPSSS. Our analysis found that the models had a high-level of agreement. The correlation coefficient of the hospital risk standardized readmission rates calculated from the claims and the medical record risk-adjustment models is 0.99 and for the stroke mortality model it was 0.80. These results demonstrated the validity of the administrative claims data for risk-adjustment. Hospital performance on the measures using two different data sources (that is, administrative claims or medical records) was very similar. The measures we have developed are scientifically valid measures, developed in full transparency and with extensive input from the clinical community. We believe these are the best measures possible using available data and its implementation would encourage improvements in quality and patient outcomes.
Comment: One commenter requested that measure performance be reported more frequently, on a quarterly basis.
Response: We decided to use the proposed timeframe because it balances the needs for the most recent claims and for sufficient time to process the claims data and calculate the measures to meet the program implementation timeline. Quarterly reporting of performance data for the 30-day outcome measures will not allow sufficient differentiation of performance. However, we will continue to explore the feasibility of providing more frequent feedback on discharges to hospitals.
After consideration of the public comments we received, we are finalizing as proposed the Hospital 30-Day, all-cause risk-standardized rate of mortality following an admission for acute ischemic stroke for FY 2016 payment determination and subsequent years.
e. Hospital Risk-Standardized Payment Associated With a 30-day Episode-of-Care for Acute Myocardial Infarction (AMI) Measure
(1) Background
Providing high-value care is an essential part of our mission to provide better health care for individuals, better health for populations, and lower costs for health care. In order to incentivize innovation that promotes high-quality care at high value it is critical to examine measures of payment and patient outcomes concurrently. There is evidence of variation in payments at hospitals for AMI patients; mean 30-day risk-standardized payment among Medicare FFS patients aged 65 or older hospitalized for AMI in 2008 was $20,207, and ranged from $15,521 to $27,317 across 1,846 hospitals. [101] However, high or low payments to hospitals are difficult to interpret in isolation. Some high payment hospitals may have better clinical outcomes when compared with low payment hospitals while other high payment hospitals may not have better outcomes. For this reason, the value of hospital care is more clearly assessed when pairing hospital payments with hospital quality. Therefore, we proposed to include a non-NQF-endorsed measure: hospital risk-standardized payment associated with a 30-day episode-of-care for acute myocardial infarction (AMI) in the Hospital IQR Program under the exception authority in section 1886(b)(3)(B)(IX)(bb) of the Act as previously discussed in section IX.A.6. of the preamble of this final rule. Although the proposed measure is not currently NQF-endorsed, we considered other available measures that have been endorsed or adopted by a consensus organization, and found no other feasible and practical measures on this topic. The MAP supports this measure contingent on NQF-endorsement.
We believe it is important to adopt this measure as it is aligned with our 30-day AMI mortality measure and can also be paired with our 30-day AMI readmission measure. This would facilitate assessing hospital value, because including this measure in the Hospital IQR Program and publicly reporting it on Hospital Compare will allow stakeholders to assess information about a hospital's quality and cost of care for AMI. The measure reflects differences in the management of care for patients with AMI both during hospitalization and immediately post-discharge. AMI is a condition with substantial variation in costs of care and, therefore, is an ideal condition for assessing relative value for an episode-of-care that begins with an acute hospitalization. By focusing on one specific condition, value assessments may provide actionable feedback to hospitals and incentivize targeted improvements in care.
(2) Rationale for Examining Payments for a 30-Day Episode-of-Care
When examining variation in payments, consideration of the episode-of-care triggered by admission is meaningful for several reasons. First, hospitalizations represent a brief period of illness that requires ongoing management post-discharge and decisions made at the admitting hospital affect payments for care in the immediate post-discharge period. Second, attributing payments for a continuous episode-of-care to admitting hospitals may reveal practice variations in the full care of the illness that can result in increased payments. Third, a 30-day preset window provides a standard observation period by which to compare all hospitals. Lastly, the AMI payment measure is intended to be paired with our 30-day AMI mortality and readmission measures and capture payments for Medicare patients across all care settings, services, and supplies, except for Medicare Part D (that is, inpatient, outpatient, skilled nursing facility, home health, hospice, physician/clinical laboratory/ambulance services, supplier Part B items, and durable medical equipment, prosthetics/orthotics, and supplies).
We have posted the measure methodology report on our Web site at: http://cms.gov/Medicare/Quality-Initiatives-Patient-Assessment-Instruments/HospitalQualityInits/Measure-Methodology.html. We refer readers to the report for further details on the risk adjustment statistical model as well as the model results.
(3) Overview of the Measure
The AMI payment measure assesses hospital risk-standardized payment associated with a 30-day episode-of-care for AMI for any non-federal acute care hospital. The measure includes Medicare FFS patients aged 65 or older admitted for an AMI and calculates payments for these patients over a 30-day episode-of-care beginning with the index admission. In general, the measure uses the same approach to risk-adjustment as our 30-day outcome measures previously adopted for the Hospital IQR Program, including the AMI, HF, and PN readmission and mortality measures. We refer readers to our Web site at: http://cms.gov/Medicare/Quality-Initiatives-Patient-Assessment-Instruments/HospitalQualityInits/Measure-Methodology.html.
(4) Data Sources
The proposed measure is claims-based and uses Medicare administrative data that contain hospitalizations and payments for Medicare FFS beneficiaries hospitalized with AMI.
(5) Outcome
The primary outcome of the AMI payment measure is the hospital-level risk-standardized payment for an AMI episode-of-care. The measure captures payments for Medicare patients across all care settings, services, and supplies, except Part D. By risk-standardizing the payment measure, we are able to adjust for case-mix at any given hospital and compare a specific hospital's AMI payment to other hospitals with the same case-mix. The analytic time frame for the AMI payment measure begins with the index admission for AMI and ends 30 days post-admission.
In order to isolate payment variation that reflects practice patterns rather than CMS payment adjustments, the AMI payment measure excludes policy and geography payment adjustments unrelated to clinical care decisions. We achieve this by “stripping” or “standardizing” payments for each care setting. Stripping refers to removing geographic differences and policy adjustments in payment rates for individual services from the total payment for that service. Standardizing refers to averaging payments across geographic areas for those services where geographic differences in payment cannot be stripped. Stripping and standardizing the payment amounts allows for a fair comparison across hospitals based solely on payments for decisions related to clinical care of AMI.
(6) Cohort
We created the AMI payment measure cohort to be aligned with the publicly reported AMI mortality measure cohort. Consistent with these measures, the AMI payment measure includes hospitalizations with a principal hospital discharge diagnosis of AMI using the International Classification of Diseases, Ninth revision, Clinical Modification. A full list of ICD-9-CM codes included in the final cohort can be found in Appendix B of the technical report on our Web site at: http://cms.gov/Medicare/Quality-Initiatives-Patient-Assessment-Instruments/HospitalQualityInits/Measure-Methodology.html. An index hospitalization is the initial AMI admission that triggers the 30-day episode-of-care for this payment calculation. The measure includes only those hospitalizations from short-stay acute care hospitals in the index cohort and restricts the cohort to patients enrolled in FFS Medicare Parts A and B (with no Medicare Advantage coverage).
(7) Inclusion and Exclusion Criteria
The AMI payment measure includes hospitalizations for patients 65 years or older at the time of index admission and for whom there was a complete 12 months of FFS enrollment to allow for adequate risk adjustment. The measure excludes the following admissions from the measure cohort: (1) Admissions for patients with fewer than 30 days of post-admission enrollment in Medicare because this is necessary in order to identify the outcome (payments) in the sample over the analytic period; (2) admissions for patients having a principal diagnosis of AMI during the index hospitalization who were transferred from another acute care facility are excluded, because the hospital where the patient was initially admitted made the critical acute care decisions (including the decision to transfer and where to transfer); (3) admissions for AMI patients who were discharged on the same or next day as the index admission and did not die or get transferred are excluded, because it is unlikely these patients suffered a clinically significant AMI; (4) admissions for patients enrolled in the Medicare Hospice program any time in the 12 months prior to the index hospitalization, including the first date of the index admission are excluded, because it is likely that these patients are continuing to seek comfort care and their goal may not be survival; (5) admissions for patients who are discharged alive and against medical advice are excluded because providers did not have the opportunity to deliver full care and prepare the patient for discharge; (6) admissions for patients transferred to or from federal or Veterans Administration hospitals are excluded, because we do not have claims data for these hospitals; thus, including these patients would systematically underestimate payments; and (7) admissions without a DRG or DRG weight for the index hospitalization are excluded, because we cannot calculate a payment for these patients' index admission using the IPPS; this would underestimate payments for the entire episode-of-care.
(8) Risk Adjustment
The measure adjusts for differences across hospitals in how payments are affected by patient comorbidities relative to patients cared for by other hospitals. Consistent with NQF guidelines, the model does not adjust for socioeconomic status or race, because risk-adjusting for these characteristics would hold hospitals with a large proportion of minority or low socioeconomic status patients to a different standard of care than other hospitals. One goal of this measure is to illuminate quality differences that such risk-adjustment would obscure.
(9) Calculating the Risk Standardized Payment (RSP)
The measure is calculated using hierarchical generalized linear statistical models with a log link and an inverse Gaussian error distribution. This approach appropriately models a positive, continuous, right-skewed outcome like payment and also accounts for the types of patients a hospital treats (that is, hospital case mix), the number of patients it treats, and the quality of care it provides. The hierarchical generalized linear model is an appropriate statistical approach to measuring quality based on patient outcomes when the patients are clustered within hospitals (and therefore the patients' outcomes are not statistically independent) and sample sizes vary across hospitals. As noted above, the measure methodology defines hospital case mix based on the clinical diagnoses provided in the hospital claims for their patients' inpatient and outpatient visits for the 12 months prior to the AMI hospitalization, as well as those present in the claims for care at admission. This methodology specifically does not, however, account for diagnoses present in the index admission that may indicate complications rather than patient comorbidities.
The RSP is calculated as the ratio of predicted payments to expected payments and then the ratio is multiplied by the national unadjusted average payment for an episode-of-care. The ratio is greater than one for hospitals that have higher payments than would be expected for an average hospital with similar cases and less than one if the hospital has lower payments than would be expected for an average hospital with similar cases. This approach is analogous to a ratio of “observed” or “crude” rate to an “expected” or “risk-adjusted” rate used in other similar types of statistical analyses.
The RSP is a point estimate—the best estimate of a hospital's payment based on the hospital's case mix. For displaying the measure for the Hospital IQR Program, we computed an interval estimate, which is similar to the concept of a confidence interval, to characterize the level of uncertainty around the point estimate, we use the point estimate and interval estimate to determine hospital performance (for example, higher than expected, as expected, or lower than expected). For more detailed information on the calculation methodology, we refer readers to our Web site at: http://cms.gov/Medicare/Quality-Initiatives-Patient-Assessment-Instruments/HospitalQualityInits/Measure-Methodology.html.
We proposed to adopt the AMI payment measure in the Hospital IQR Program for the FY 2016 payment determination and subsequent years under the exception authority in section 1886(b)(3)(B)(IX)(bb) of the Act as previously discussed in section IX.A.6. of the preamble of this final rule. Although the proposed measure is not currently NQF-endorsed, we considered available measures that have been endorsed or adopted by the NQF, and we were unable to identify any measures that assess hospital risk-standardized payment associated with a 30-day episode-of-care for acute myocardial infarction. We also are not aware of any other 30-day episode-of-care for acute myocardial infarction measures that have been endorsed or adopted by a consensus organization.
This measure is meant to be paired with our 30-day AMI mortality and/or readmission measure in order for us to gain a better understanding of the value of care for a hospital's patients and the nation as a whole. We invited public comment on this proposal.
Comment: Many commenters opposed the adoption of the AMI payment per episode of care measure because it is not NQF-endorsed.
Response: Although the proposed measure is not currently NQF-endorsed, we considered other available measures that have been endorsed or adopted by a consensus organization, and found no other feasible and practical measures on this topic. The MAP supports this measure contingent on NQF-endorsement. We believe it is important to adopt this measure as it is aligned with our 30-day AMI mortality measure and can also be paired with our 30-day AMI readmission measure. This measure would facilitate assessing hospital quality, because including this measure in the Hospital IQR Program and publicly reporting it on Hospital Compare will allow stakeholders to assess information about a hospital's quality and cost of care for AMI. Therefore, we are adopting this hospital risk-standardized payment associated with a 30-day episode-of-care for acute myocardial infarction (AMI) in the Hospital IQR Program under the exception authority in section 1886(b)(3)(B)(IX)(bb) of the Act as previously discussed in section IX.A.6. of the preamble of this proposed rule.
There is evidence of variation in payments at hospitals for AMI patients; mean 30-day risk-standardized payment among Medicare FFS patients aged 65 or older hospitalized for AMI in 2008 was $20,207, and ranged from $15,521 to $27,317 across 1,846 hospitals. However, high or low payments to hospitals are difficult to interpret in isolation. Some high payment hospitals may have better clinical outcomes when compared with low payment hospitals while other high payment hospitals may not have better outcomes. For this reason, the quality of hospital care is more clearly assessed when pairing hospital payments with hospital quality.
Comment: Some commenters noted that this measure is being proposed as a hospital measure even though it reflects the actions of a multitude of health care entities, many of which are often not within hospitals' direct control. Costs within a 30-day episode of AMI care cannot be attributed solely to hospitals.
Response: When considering payments to hospitals, we attributed payments for a 30-day episode of care to the hospital since the episode is triggered by admission to an inpatient hospitalization. Hospitalizations represent a brief period of acute illness that requires ongoing management post-discharge and hospitals are often directly responsible for scheduling post-discharge follow-up. Therefore decisions made at the admitting hospital affect not only the hospitalization payments, but payments for care in the immediate post-discharge period.
Comment: A few commenters were concerned that the AMI payment measure is duplicative of CMS' bundled payment program. Commenters questioned why CMS is not using CMS' AMI episode grouper for this measure.
Response: The AMI payment measure is different from our Bundled Payments for Care Improvement Initiative (BCPI) in several ways. If providers wish to participate in the BPCI for AMI episode of care, these episodes would be defined by DRGs and not ICD-9 codes.
The goal of the AMI payment measure is to provide information on the value of care by comparing payments for an AMI episode of care with performance on quality measures like CMS' 30-day readmission and mortality measures. Thus, it is important that the patient cohorts are as closely aligned as possible between payment and quality measures. This would not be possible if we used the AMI episode grouper.
Comment: A few commenters requested clarification on the rationale for proposing the AMI payment measure when the MSPB measure is already in use and requested clarification regarding how the measure will be paired with the AMI Mortality and Readmission measures. These commenters believe the measure would be duplicative of the MSPB measure if it were to be adopted into the Hospital VBP Program.
Response: The goal of the AMI payment measure is to provide information on the value of care provided for a specific condition, AMI, while the MSPB measure examines spending for all conditions. This measure is meant to be paired with our 30-day AMI mortality and/or readmission measure in order for us to gain a better understanding of the value of care for a hospital's patients and the nation as a whole. We plan to publicly report a single summary risk-standardized payment (RSP) score for each hospital included in the measure.
We proposed the AMI payment measure for the Hospital IQR Program, and at this time have not proposed to add it to the Hospital VBP Program. Because the AMI payment measure is condition-specific, we believe this measure would not be duplicative of the MSPB measure, which is not condition-specific.
Comment: A few commenters believed that the minimum number of cases for the AMI payment measure may not be reliable.
Response: We use the same approach to small numbers and reliability for the AMI payment measure that we have established for our hospital risk-adjusted outcome measures in general, including the mortality and readmission measures. Reliability is related to sample size. We adopted a risk-adjustment modeling methodology for our outcome measures that takes into account sample size. Although the commenter raised the issue of reliability related to the AMI payment measure, the issue was raised and responded to in a previous rulemaking. We refer readers to the FY 2013 IPPS/LTCH PPS final rule (77 FR 53379) for our discussion of the basis for selecting the minimum number of cases for the readmission measures for the Hospital Readmissions Reduction Program. We determined the 25-case threshold for public reporting based on a reliability statistic that is calculated from the intercluster correlation, a parameter of the model.
In addition, we have considered how best to measure quality for small volume hospitals. Smaller hospitals do typically have less certain (for example, less statistically reliable) estimates, because they have fewer cases for use in assessing quality; that is a challenge inherent in outcome measurement. One advantage of the statistical model we use for the measures is that it allows for the inclusion of small hospitals while characterizing the certainty of their estimates. The hierarchical logistic regression model that we use to calculate the risk-standardized outcome measures allows the inclusion of hospitals with relatively few observations, but takes into account the uncertainty associated with sample size in estimating their risk-standardized outcome rates. The model takes into account the uncertainty in the estimate of outcome rates for small volume hospitals by assuming that each hospital is a typically performing hospital. It weighs that assumption along with the outcomes for the particular hospital in calculating the outcome rate. Therefore, the estimated outcome rates for smaller hospitals will likely be closer to the national rate because the limited number of eligible cases in the hospital tells little about that hospital's true outcome rate.
Comment: One commenter supported the measure methodology.
Response: We appreciate the commenter's support for this aspect of the measure methodology.
Comment: One commenter requested CMS provide hospitals with their results before the AMI payment measure is added to Hospital IQR Program.
Response: We strive to provide information to hospitals about new claims-based measures whenever it is feasible for us to do so. We plan to conduct a dry run prior to public reporting of the measure in which we will provide hospitals with their results on the measure as well as how payments for their patients are distributed among various post-acute care settings.
Comment: One commenter was concerned that the AMI payment measure does not adequately capture case mix and has not been validated.
Response: We have performed validation work to confirm the scientific rigor of using claims data for risk adjustment in outcome measures. We validated the AMI, HF, and pneumonia mortality and readmission measures with models that use medical record-abstracted data for risk adjustment. These analyses demonstrated that using claims data produces estimated hospital-level risk-standardized mortality rates (RSMRs) and risk-standardized readmission rates (RSRRs) that are very similar to the rates estimated by models based solely on medical record data. This high level of agreement in the results based on the two different approaches supports the use of the claims-based models for public reporting. Because the risk adjustment model for AMI payment is similar to that used for mortality, we believe that this previous validation study performed for the AMI, HF, and PN mortality and readmissions measures that establishes their overall reliability also supports that of the AMI payment measure.
Our approach to gathering risk factors for patients also mitigates the potential limitations of claims data. Because not every diagnosis is coded at every visit, we use claims data for the year prior to the index admission, as well as secondary diagnosis codes during the index admission, for risk adjustment.
Comment: One commenter noted the difference between the cost of care for those cases in the 10th percentile and the 90th percentile is small, especially when considering the cost of the admission is included in the calculation. One commenter believed that the index admission and readmissions are the largest drivers of payments for an AMI episode of care and other care settings will contribute little if any to hospital's total episode payments.
Response: The variation in the adjusted hospital-specific AMI 30-day episode-of-care payment ranges from $15,251 to $27,317 across 1,846 hospitals. We believe that this variation is sufficient for assessing differences in payment that arise from treating a patient with AMI. While other conditions may exhibit greater relative and absolute payment differences, assessing AMI payments remains important. This importance is magnified when considering that AMI quality and outcome measures are already being reported. The association between AMI episode payments and quality/outcome measures is of importance to us. While index admissions and readmissions are the most costly portions of treating AMI patients, they are not the only care settings used by AMI patients. In examining payments for AMI patients for a 30-day episode of care we find that there is variation between providers with regards to the types and amount of post-acute care used.
After consideration of the public comments we received, we are finalizing as proposed the Hospital risk-standardized payment associated with a 30-day episode-of-care for acute myocardial infarction measure for the Hospital IQR Program for FY 2016 payment determination and subsequent years.
In summary, we are adopting all of the Hospital IQR Program measures adopted in previous payment determinations, with the exception of seven measures (six chart-abstracted measures and 1 structural measure) that we are removing and one measure we are suspending (one chart-abstracted measure). We are finalizing five new claims-based measures for a total of 57 measures for the FY 2016 payment determination and subsequent years.
Set out below is a table showing both the previously adopted and the new quality measures finalized in this final rule for the FY 2016 payment determination and subsequent years. This table does not include suspended measures and removed measures.
| Topic | Previously adopted hospital IQR Program measures and measures finalized in this final rule for the FY 2016 payment determination and subsequent years |
|---|---|
| * New or expanded measures/items for FY 2015 payment determination and subsequent years. | |
| ** New measures for FY 2016 payment determination and subsequent years. | |
| *** Measures finalized in this final rule for the FY 2016 payment determination and subsequent years. | |
| † Measure for electronic reporting via CEHRT in the Hospital IQR Program (voluntary participation in CY 2014). | |
| Acute Myocardial Infarction (AMI) Measures | |
| • AMI-7a Fibrinolytic (thrombolytic) agent received within 30 minutes of hospital arrival. | |
| • AMI-8a Timing of Receipt of Primary Percutaneous Coronary Intervention (PCI). | |
| Heart Failure (HF) Measures | |
| • HF-2 Evaluation of left ventricular systolic function. | |
| Stroke Measure (STK) Set | |
| • STK-1 VTE prophylaxis. | |
| • STK-2 Antithrombotic therapy for ischemic stroke†. | |
| • STK-3 Anticoagulation therapy for Afib/flutter†. | |
| • STK-4 Thrombolytic therapy for acute ischemic stroke†. | |
| • STK-5 Antithrombotic therapy by the end of hospital day 2†. | |
| • STK-6 Discharged on Statin†. | |
| • STK-8 Stroke education†. | |
| • STK-10 Assessed for rehab†. | |
| VTE Measure Set | |
| • VTE-1 VTE prophylaxis†. | |
| • VTE-2 ICU VTE prophylaxis†. | |
| • VTE-3 VTE patients with anticoagulation overlap therapy†. | |
| • VTE-4 Patients receiving un-fractionated Heparin with doses/labs monitored by protocol†. | |
| • VTE-5 VTE discharge instructions†. | |
| • VTE-6 Incidence of potentially preventable VTE†. | |
| Pneumonia (PN) Measures | |
| • PN-6 Appropriate initial antibiotic selection. | |
| Surgical Care Improvement Project (SCIP) Measures | |
| • SCIP INF-1 Prophylactic antibiotic received within 1 hour prior to surgical incision. | |
| • SCIP INF-2: Prophylactic antibiotic selection for surgical patients. | |
| • SCIP INF-3 Prophylactic antibiotics discontinued within 24 hours after surgery end time (48 hours for cardiac surgery). | |
| • SCIP INF-4: Cardiac surgery patients with controlled 6AM postoperative serum glucose. | |
| • SCIP INF-9: Postoperative urinary catheter removal on post operative day 1 or 2 with day of surgery being day zero. | |
| • SCIP Cardiovascular-2: Surgery Patients on a Beta Blocker prior to arrival who received a Beta Blocker during the perioperative period. | |
| • SCIP-VTE-2: Surgery patients who received appropriate VTE prophylaxis within 24 hours pre/post surgery. | |
| Mortality Measures (Medicare Patients) | |
| • Acute Myocardial Infarction (AMI) 30-day mortality rate. | |
| • Heart Failure (HF) 30-day mortality rate. | |
| • Pneumonia (PN) 30-day mortality rate. | |
| • Stroke 30-day mortality rate.*** | |
| • COPD 30-day mortality rate.*** | |
| Patients' Experience of Care Measures | |
| • HCAHPS survey (expanded to include one 3-item care transition set * and two new “About You” items).* | |
| Readmission Measures (Medicare Patients) | |
| • Acute Myocardial Infarction (AMI) 30-day Risk Standardized Readmission Measure. | |
| • Heart Failure (HF) 30-day Risk Standardized Readmission Measure. | |
| • Pneumonia (PN) 30-day Risk Standardized Readmission Measure. | |
| • 30-day Risk Standardized Readmission following Total Hip/Total Knee Arthroplasty.* | |
| • Hospital-Wide All-Cause Unplanned Readmission (HWR).* | |
| • Stroke 30-day Risk Standardized Readmission.*** | |
| • COPD 30-day Risk Standardized Readmission.*** | |
| AHRQ Patient Safety Indicators (PSIs) Composite Measures | |
| • Complication/patient safety for selected indicators (composite). | |
| AHRQ PSI and Nursing Sensitive Care | |
| • PSI-4 Death among surgical inpatients with serious treatable complications. | |
| Structural Measures | |
| • Participation in a Systematic Database for Cardiac Surgery. | |
| • Participation in a Systematic Clinical Database Registry for Nursing Sensitive Care. | |
| • Participation in a Systematic Clinical Database Registry for General Surgery. | |
| • Safe Surgery Checklist Use.** | |
| Healthcare-Associated Infections Measures | |
| • Central Line Associated Bloodstream Infection. | |
| • Surgical Site Infection. | |
| —SSI following Colon Surgery. | |
| —SSI following Abdominal Hysterectomy. | |
| • Catheter-Associated Urinary Tract Infection. | |
| • MRSA Bacteremia. | |
| •Clostridium difficile (C. difficile). | |
| • Healthcare Personnel Influenza Vaccination. | |
| Surgical Complications | |
| • Hip/Knee Complication: Hospital-level Risk-Standardized Complication Rate (RSCR) following Elective Primary Total Hip Arthroplasty.* | |
| Emergency Department (ED) Throughput Measures | |
| • ED-1 Median time from emergency department arrival to time of departure from the emergency room for patients admitted to the hospital†. | |
| • ED-2 Median time from admit decision to time of departure from the emergency department for emergency department patients admitted to the inpatient status†. | |
| Prevention: Global Immunization (IMM) Measures | |
| • Immunization for Influenza. | |
| Cost Efficiency | |
| • Medicare Spending per Beneficiary. | |
| • AMI Payment per Episode of Care.*** | |
| Perinatal Care | |
| • Elective delivery prior to 39 completed weeks of gestation*/†. | |
7. Electronic Clinical Quality Measures
We believe that collection and reporting of data through health information technology will greatly simplify and streamline reporting for many CMS quality reporting programs. Through electronic reporting, hospitals will be able to leverage EHRs to capture, calculate, and electronically submit quality data that is currently manually chart-abstracted and submitted to CMS for the Hospital IQR Program. As we noted in the FY 2012 IPPS/LTCH PPS final rule (76 FR 51614), we recognize the need to align and harmonize measures across hospital quality reporting programs to minimize the reporting burden imposed on hospitals. In the Medicare EHR Incentive Program Stage 2 final rule (77 FR 54083 through 54087), we finalized 29 clinical quality measures from which hospitals must select at least 16 measures covering three domains to report beginning in FY 2014. We anticipate that, as health information technology evolves and infrastructure is expanded, we will have the capacity to accept electronic reporting of many of the chart-abstracted measures that are currently part of the Hospital IQR Program.
Recently, we published in the Federal Register (78 FR 308 through 310) a Request for Information (RFI) entitled, “Medicare Program; Request for Information on Hospital and Vendor Readiness for Electronic Health Records Hospital Inpatient Quality Data Reporting” to gather stakeholder feedback to determine the optimal timing and transition strategy for adopting electronic reporting of quality measures by hospitals participating in the Hospital IQR Program. The information received in response to the RFI was considered as the requirements set forth below were developed. In the FY 2014 IPPS/LTCH PPS proposed rule (78 FR 27694 through 27695), we proposed an approach that begins to align the Hospital IQR and Medicare EHR Incentive Programs by providing hospitals currently participating in the Hospital IQR Program with the option of electronically reporting a subset of measures.
We proposed that hospitals would be able to, on a voluntary basis, electronically report 16 measures across four measure sets, (stroke [STK], venous thromboembolism [VTE], emergency department [ED], and perinatal care [PC]) in CY 2014 for the FY 2016 Hospital IQR Program payment determination. These four measure sets are already included in the Hospital IQR Program as chart-abstracted measures. The measures in three of these four measure sets—STK, VTE, ED—(15 measures) are already included in the Medicare EHR Incentive Program Electronic Reporting Pilot for Eligible Hospitals and CAHs (76 FR 74489). With regard to the perinatal care (PC) measure set, we stated in the 2013 IPPS/LTCH PPS final rule that we would consider electronic reporting when the e-specification of the PC-01 measure became available. The electronic specifications for these measures are included in the electronic clinical quality measure library at: http://www.cms.gov/Regulations-and-Guidance/Legislation/EHRIncentivePrograms/eCQM_Library.html. We recognize that PC-01 is a highly burdensome measure for hospitals to report via chart abstraction. Also, we do not believe that the measures, in their electronically specified form, are substantively different than they are in their chart-abstracted form, although we recognized that the EHR-based extraction methodology is different from the chart abstraction data collection methodology.
We proposed to make electronic reporting voluntary in CY 2014. The requirements for electronic reporting are discussed below in section IX.A.9.d. of the preamble of this final rule. We invited public comment on this proposal.
Comment: Most commenters expressed support for CMS efforts to align quality measurement reporting programs, encouraged CMS to simplify reporting periods as much as possible and urged CMS to continue to work to align the Hospital IQR Program, Medicare EHR Incentive Program, and all other federal quality reporting programs now and in the future. Commenters suggested CMS consider the variety of health system settings throughout the entire process of quality measurement when planning to include measures for public reporting and value-based purchasing (VBP).
Response: We agree with the commenters and believe that aligning various federal quality reporting programs will reduce provider reporting burden and increase patient quality of care now and in the future. We believe the optional electronic reporting will simplify reporting periods by enabling hospitals to submit clinical quality measures for both the Medicare EHR Incentive Program and the Hospital IQR Program with one submission. We will take into consideration the suggestion to consider the variety of health system settings throughout the entire process of quality measurement when planning to include measures for public reporting and value based purchasing.
Comment: One commenter found the proposed approach—collecting electronic clinical quality measures—to be totally devoid of the critical role the Hospital IQR Program plays in providing valid, reliable and consistent data collection and reporting of measures for both public reporting and pay for reporting programs.
Response: We appreciate the comment, but we disagree that the collection of electronic clinical quality measures is devoid of the critical role of the Hospital IQR Program. To align various federal quality programs affecting hospitals, we believe it is important to implement electronic measure reporting for hospitals. The movement to adopt electronic measure reporting in the Hospital IQR Program will ultimately lessen the reporting burden on hospitals and improve data reliability.
Comment: A few commenters encouraged CMS to spend more time planning for the transition to electronic measures for the Hospital IQR Program and urged CMS to address the timeline under which electronic clinical quality measures are developed and implemented.
Response: We have invested and will continue to invest in planning for the transition to electronic clinical quality measures. We have evaluated the electronic clinical quality measures' development and implementation processes and expect to streamline these processes in the near term. There is a well-established process whereby we work with stakeholders to propose and finalize electronic clinical quality measures. For additional details about these processes please see the CMS electronic clinical quality measures resource at http://www.cms.gov/Regulations-and-Guidance/Legislation/EHRIncentivePrograms/ClinicalQualityMeasures.html and also see the Measures Management Blueprint at https://www.cms.gov/Medicare/Quality-Initiatives-Patient-Assessment-Instruments/MMS/MeasuresManagementSystemBlueprint.html.
Comment: One commenter requested CMS lay out its plan for the current core measure topics (Acute Myocardial Infarction, Heart Failure, Pneumonia, Surgical Care Improvement Process, and Immunization) to provide healthcare organizations with enough lead time to plan for and make necessary changes to existing electronic medical record systems, hire appropriate staff, and address any issues as the Hospital IQR Program shifts to electronic data abstraction.
Response: We understand the need to share the Hospital IQR Program electronic measures strategy to provide vendors and providers with enough lead time to plan for human resource and IT needs and we plan to continue to address these issues as we transition to electronic reporting of quality measures in the Hospital IQR Program. We intend to consider the adoption of additional electronic measures in future rulemaking.
Comment: One commenter requested that CMS clarify whether the Stroke, VTE, ED, Perinatal, and Severe Sepsis measures will only be allowed to be submitted from the electronic medical record or will still be allowed to be reported via chart-abstraction under the Hospital IQR Program for FY 2014 and FY 2015, and asked whether a hospital's failure to submit will result in a 2 percentage point reduction in its annual payment update.
Response: To clarify, the electronic submission of the Stroke, VTE, ED, and PC measure data for the Hospital IQR Program in 2014 for the FY 2016 payment determination is voluntary, and hospitals can elect to submit the data via chart abstraction instead. For the FY 2014 and FY 2015 payment determination, hospitals will submit via chart-abstraction as previously finalized. We also note that the STK-1 measure need not be reported as part of the STK measure set for those electronically reporting because no electronic specification exists for STK-1. There is no severe sepsis measure currently adopted for the Hospital IQR Program.
Comment: Some commenters opposed requiring electronic submission of Hospital IQR Program measures in 2015. Commenters recommended instead that hospitals continue to electronically report measures on a voluntary basis for the Hospital IQR Program. Commenters indicated that this option would provide CMS with the time needed to collect evidence from the hospitals that voluntarily reported in 2014 to understand issues, lessons learned, and such and specify a date certain for the start of required electronic clinical quality measures reporting for the Hospital IQR Program. Commenters concluded that the proposal does not provide CMS with the benefit of learning from experience from the field.
Response: We understand several commenters had concerns regarding our consideration to require mandatory electronic submission of measures for the Hospital IQR Program in 2015. To address these concerns, we plan to monitor electronic clinical quality measures submissions and CMS system responses. The 2013 Medicare EHR Incentive Program Electronic Reporting Pilot data (which will be submitted by November 30, 2013) will be used to develop and test the electronic clinical quality measures data collection process. This process will inform our decisions regarding electronic reporting of certain Hospital IQR measures in CY 2015 and beyond.
Comment: One commenter sought clarification regarding how hospitals may participate in the EHR Incentive Program Pilot.
Response: The 2013 Medicare EHR Incentive Program Electronic Reporting Pilot is a voluntary electronic reporting option hospitals may use to satisfy the electronic clinical quality measures reporting component for the Medicare EHR Incentive Program. Participation in the pilot is highly encouraged and allows hospitals an opportunity to pioneer efforts for submitting clinical quality measures electronically. More information on the pilot, including how to participate, can be found on the QualityNet Web site at: https://www.qualitynet.org/dcs/ContentServer?c=Page&pagename=QnetPublic%2FPage%2FQnetTier2&cid=1228771190900.
Comment: Several commenters requested that CMS evaluate the 2012 EHR Incentive Program Reporting Pilot data to determine the program's challenges and lessons learned and urged CMS to extend the duration of the pilot program. Commenters also urged CMS to work with vendors to make the EHR Incentive Program Reporting Pilot a viable option for all hospitals.
Response: The 2013 Medicare EHR Incentive Program Electronic Reporting Pilot data (which will be submitted by November 30, 2013) will be used to develop and test the electronic clinical quality measures data collection process as well as the monitoring process. We plan to share the lessons learned once the two-year pilot has concluded. We will be looking for errors in data submissions to identify potential problems—both systemic and hospital-specific. We will analyze the pilot data to assess the consistency and reliability of quality measure reporting and will leverage those insights to inform electronic measure reporting policies. We do not plan to extend the pilot beyond FY 2013 because the Medicare EHR Incentive Program has established electronic reporting options for hospitals beginning in FY 2014.
Comment: Many commenters requested that CMS consider the impact of the proposal to collect and use electronic clinical quality measures data on the overall establishment of national performance rates for the Hospital VBP Program. The commenters raised the concern that this proposal might negatively impact the true national database displayed on Hospital Compare and the benchmark values used to determine scoring for the Hospital VBP Program if hospitals are allowed to submit electronic measure data without fundamental statistical analysis to substantiate the accuracy, reliability and validity of the data.
Response: We selected these four measure sets specifically to avoid impact to the Hospital VBP Program and note that the four measure sets are not included in the Hospital VBP Program. We do not intend to utilize the CY 2014 electronically submitted data for any of these measure sets to determine a hospital's baseline period for the Hospital VBP Program, in part because the volume of data we are requesting—one quarter of data—is insufficient to establish a baseline. We will consider adopting electronically-submitted measures for the Hospital VBP Program as the measures meet the program's statutory requirements.
Comment: One commenter supported the development of a central portal for distribution of electronic measure specifications and associated tools.
Response: We appreciate the comment and will take it into consideration.
Comment: One commenter urged CMS to formally designate a single national central external reference library for electronic clinical quality measures.
Response: We believe the commenter is requesting CMS develop a central repository of electronic quality measures similar to NQF's repository of endorsed quality measures. We will consider this request that we formally designate this type of repository for electronic clinical quality measures.
Comment: A few commenters expressed concern that, as hospitals move towards submitting electronic clinical quality measures and the amount of quality measures increases, they face the difficulty of documenting activities that are spread over multiple electronic systems that may not yet be fully integrated. The commenters noted that since there is not yet an EHR available that handles all facets of healthcare delivery, hospitals will always run into this problem.
Response: We are aware of the challenges associated with moving toward electronic quality measure reporting such as an increase in the difficulty of documenting activities using multiple electronic systems that may not yet be fully integrated. However, we believe that in the long-run, electronic quality measure reporting from EHRs will benefit patients and providers by decreasing the burden on providers of reporting measures using the chart-abstraction method. We believe electronic reporting will increase provider reporting efficiency and reduce costs by decreasing paperwork.
Comment: Several commenters were concerned that electronic clinical quality measures yield different performance rates than their chart-abstracted counterpart measures and, urged CMS to postpone mandatory electronic submission of measures to avoid reporting disparate results. The commenters supported a standardized electronic measures vocabulary to reduce the reporting burden and electronic collection of health care quality information. The commenters also urged CMS to keep the electronic clinical quality measures library current with clinical practice and update the value sets as needed, based on changes to the national vocabularies.
Response: We intend to use the voluntarily submitted measure data to assess the differences in performance rates for electronically submitted versus chart-abstracted data. We currently update electronic specifications annually to reflect current clinical practice for electronic clinical quality measures finalized in the Stage 2 final rule (Table 10: 77 FR 54083 through 54087), which include the four measure sets that we proposed to be electronically reported for the Hospital IQR Program. Each CMS electronic clinical quality measure ID identifies a root measure number plus a version number, which corresponds with a specific version of electronic specifications with the related value sets for each electronic clinical quality measure. We work in conjunction with the National Library of Medicine (NLM) and Office of the National Coordinator for Health Information Technology (ONC) to update value sets as needed and to standardize vocabularies. For more information on electronic specifications for electronic clinical quality measures, please visit http://www.cms.gov/Regulations-and-Guidance/Legislation/EHRIncentivePrograms/Electronic_Reporting_Spec.html.
Comment: Several commenters agreed with CMS that measures used should be endorsed by a multi-stakeholder organization because consideration and input from a variety of stakeholders is necessary to ensure efficient and optimized use of measurement in the multi-dimensional process of health care delivery.
Response: We appreciate the comment and agree with the commenter. We support measures approved through a multi-stakeholder consensus development process such as that of NQF. NQF uses a formal “Consensus Development Process” to evaluate and endorse consensus standards, including performance measures, and is designed to consider the interests of stakeholder groups from across the healthcare industry.
After consideration of all the public comments we received, we are finalizing our proposal to allow optional electronic submission of the STK, VTE, ED, and PC measure sets for the FY 2016 payment determination. As we note above, the STK-1 measure need not be reported as part of the STK measure set for those electronically reporting because no electronic clinical quality measure exists for STK-1. As further detailed in section IX.A.9.d. of the preamble of this final rule, hospitals may electronically report one or more of these four measure sets electronically.
8. Possible New Quality Measures and Measure Topics for Future Years
We anticipate that, as EHR technology evolves, hospitals will electronically report all chart-abstracted clinical process of care and HAI measures which are currently part of the Hospital IQR Program or which have been proposed for adoption into the Program. As stated above, we intend for the future direction of electronic quality measure reporting to significantly reduce administrative burden on hospitals under the Hospital IQR Program. We will continue to work with measure stewards and developers to develop new measure concepts, and conduct pilot, reliability, and validity testing. We believe that this proposal will provide hospitals and CMS with the ability to test systems in CY 2014 in order to prepare for future required electronic reporting. We believe this will simplify measure collection and submission for the Hospital IQR Program, and will reduce the burden on hospitals to report chart-abstracted measures.
We intend to propose that hospitals report additional electronic measures in an effort to reduce the burden associated with reporting chart abstracted measures and to continue to promote the adoption of CEHRT.
In the FY 2014 IPPS/LTCH PPS proposed rule (78 FR 27695), we invited public comment on our intention to add 5 new measures to be collected via EHRs in the future. The five new measures listed below were reviewed by the MAP for inclusion in the Hospital IQR Program:
- Severe Sepsis and Septic Shock Management Bundle NQF #0500 (MAP supported)
- PC-02 Cesarean Section NQF #0471 (MAP supported)
- PC-05 Exclusive Breast Milk Feeding NQF #0480 (MAP supported)
- Healthy Term Newborn NQF #0716 (MAP supported the direction of this measure)
- Hearing Screening Prior to Hospital Discharge NQF #1354 (MAP supported).
Comment: A few commenters supported the five measures that CMS intends to collect via EHRs in the future. One commenter stated that the five measures that CMS intended for e-reporting should be put on hold until the experience with the reporting of the first set of e-measures are available.
Many commenters strongly advocated that sepsis and septic shock management saves lives and strongly recommended the implementation of this measure no later than 2015. A few commenters were very concerned that the severe sepsis and septic shock management and the Cesarean section measures have not been specified, validated or NQF-endorsed as e-measures and therefore, would not be conducive for e-reporting.
A few commenters supported the PC-05 Exclusive Breast Milk Feeding, Healthy Term Newborn, and Hearing Screening Prior to Hospital Discharge measures, and recommended the identification of the population through the use of administrative codes rather than a combination of diagnoses. One commenter did not support the PC-05 Exclusive Breast Milk Feeding measure stating that the exclusion limitation of this measure that requires a provider/lactation consultant to complete the documentation is burdensome and does not match the EHR infrastructure and workflow.
One commenter did not support the Hearing Screening Prior to Hospital Discharge measure which was believed to be more appropriate as an outpatient measure.
Response: We thank the commenters for their input and we will take them into consideration as we decide whether to collect these measures via EHRs in the future.
Comment: In addition to suggestions regarding specific measures, we also received many comments on the following measure topics:
- Medication Reconciliation (NQF #0097), and Medication Reconciliation Post-Discharge (NQF #0554)
- Medication safety
- MRSA surveillance testing
- Surgical outcomes, including lower-extremity bypass complications, ICU mortality and complications, elderly surgical outcomes and colorectal surgery outcomes
- Appropriate therapy for surgical prophylaxis
- TJC Substance use measure set
- TJC Tobacco treatment measure set
- Participation in a systematic clinical database for vascular treatment
- Colorectal cancer screening
- Oncology: Plan of care for pain
- Urinary incontinence
- Pain assessment
- Hospital malnutrition: Nutrition screening and assessment
- Registry-based CABG composite score
We thank the commenters for the comments and suggestions and will take them into consideration for future measure selections.
9. Form, Manner, and Timing of Quality Data Submission
a. Background
Sections 1886(b)(3)(B)(viii)(I) and (II) of the Act state that the applicable percentage increase for FY 2007 and each subsequent fiscal year shall be reduced by 2.0 percentage points (or beginning with FY 2015, by one-quarter of such applicable percentage increase (determined without regard to sections 1886(b)(3)(B)(ix), (xi), or (xii) of the Act)) for any subsection (d) hospital that does not submit, to the Secretary in accordance with this clause and in a form and manner, and at a time, specified by the Secretary, data required to be submitted on measures selected under this clause with respect to such a fiscal year. For each Hospital IQR Program year, we require that hospitals submit data on each measure in accordance with the measure's specifications for a particular period of time. The data submission requirements, Specifications Manual, and submission deadlines are posted on the QualityNet Web site at: http://www.QualityNet.org/. Hospitals submit quality data through the secure portion of the QualityNet (formerly known as QualityNet Exchange) Web site (https://www.QualityNet.org). This Web site meets or exceeds all current Health Insurance Portability and Accountability Act requirements for security of protected health information.
In order to participate in the Hospital IQR Program, hospitals must meet specific procedural requirements. Hospitals choosing to participate in the Hospital IQR Program must also meet specific data collection, submission, and validation requirements.
b. Procedural Requirements for the FY 2016 Payment Determination and Subsequent Years
The Hospital IQR Program procedural requirements are now codified in regulation at 42 CFR 412.140. Hospitals should generally refer to the regulation for participation requirements. In the FY 2014 IPPS/LTCH PPS proposed rule (78 FR 27695 through 27696), however, we proposed to make three changes to the procedural requirements.
We proposed to align the last date to withdraw with the final submission deadline. The current withdrawal deadline is August 15 of the fiscal year preceding the fiscal year for which a Hospital IQR Program payment determination will be made. We proposed to change that deadline to May 15 prior to the start of the payment year affected in order to align with the last submission quarter deadline. For example, if a hospital wanted to withdraw from the program for the FY 2016 payment determination, the hospital would need to complete the withdrawal by May 15, 2015. We proposed to amend the language at 42 CFR 412.140(b) to reflect this proposal. We proposed this change because we are striving to provide more timely feedback to hospitals regarding their annual payment update (APU) status. We do not believe this change would add any additional burden to hospitals and it would provide CMS the ability to make earlier participation decisions. We invited public comment on this proposal.
Comment: Several commenters supported the administrative changes proposed in the Hospital IQR Program.
Response: We appreciate the commenters' support.
After consideration of the public comments we received, we are finalizing as proposed the alignment of the last day to withdraw with the final submission deadline, May 15th. We are also amending our regulations at § 412.140(b) to reflect this policy.
In addition, we proposed two technical corrections to the regulation text at 42 CFR 412.140. The first correction is to the title of this section. The current title is “Participation, Data Submission, and Validation Requirements under the Hospital Inpatient Quality Review (IQR) Program.” This should state “Participation, Data Submission, and Validation Requirements Under the Hospital Inpatient Quality Reporting (IQR) Program.” The second technical correction is at paragraph (a)(3) which states: “Submit a completed Notice of Participation Form to CMS if the hospital is participating in the program for the first time, has previously withdrawn from the program and would like to participate again, or has received a new CMS Certification Number (CNN).” We proposed to correct the acronym “CNN” to “CCN.” The proposed language would state: “Submit a completed Notice of Participation Form to CMS if the hospital is participating in the program for the first time, has previously withdrawn from the program and would like to participate again, or has received a new CMS Certification Number (CCN).”
Comment: Several commenters supported the proposed technical corrections.
Response: We appreciate the commenters' support.
After consideration of the public comments we received, we are finalizing as proposed two technical corrections to the regulation text at § 412.140. The first correction is to the title of this section, “Participation, Data Submission, and Validation Requirements Under the Hospital Inpatient Quality Reporting (IQR) Program.” The second technical correction is to paragraph (a)(3) to “Submit a completed Notice of Participation Form to CMS if the hospital is participating in the program for the first time, has previously withdrawn from the program and would like to participate again, or has received a new CMS Certification Number (CCN).”
c. Data Submission Requirements for Chart-Abstracted Measures
In the FY 2013 IPPS/LTCH PPS final rule (77 FR 53536 through 53537), for the FY 2015 payment determination and subsequent years, we retained the 41/2months quarterly submission deadline for chart-abstracted quality measures. We also retained the aggregate population and sampling deadline of 4 months. Hospitals would continue to be required to submit aggregate population and sample size counts to CMS on a quarterly basis for Medicare and non-Medicare discharges for the topic areas for which chart-abstracted data must be submitted (76 FR 51640 through 51641). We adopted the same 14-day period after the aggregate population and sample size count deadline to submit the required patient-level records. For the FY 2016 payment determination and subsequent years, hospitals must submit data for four consecutive calendar year discharge quarters. For example, for the FY 2016 payment determination, the submission quarters are as follows: 1Q CY 2014, 2Q CY 2014, 3Q CY 2014 and 4Q CY 2014. We also adopted this submission deadline for the new chart-abstracted measure for FY 2016, Elective Delivery Prior to 39 Completed Weeks Gestation: Percentage of Babies Electively Delivered Prior to 39 Completed Weeks Gestation which is collected via a Web Based Tool.
In the FY 2014 IPPS/LTCH PPS proposed rule (78 FR 27696), for the FY 2016 payment determination and subsequent years, we proposed to clarify the submission deadline time. Although we have historically stated that the submission deadline is 11:59 p.m., we have not clarified which time zone. For the FY 2016 payment determination and subsequent years we proposed to clarify that submissions to QualityNet will be accepted until 11:59 p.m. Pacific time. We invited public comment on this proposal.
Comment: Several commenters supported the proposed clarification.
Response: We appreciate the commenters' support.
After consideration of the public comments we received, we are finalizing as proposed policy to reflect that submissions to QualityNet will be accepted until 11:59 p.m. Pacific time.
d. Data Submission Requirements for Quality Measures That May be Voluntarily Electronically Reported for the FY 2016 Payment Determination
In the FY 2014 IPPS/LTCH PPS proposed rule (78 FR 27696 through 27698), we proposed the following approach to begin to align quality measure reporting under the Hospital IQR and Medicare EHR Incentive Programs. (We noted that this proposal, if finalized, does not implement any statutory provisions of the HITECH Act or change any of the existing regulatory provisions of the Medicare EHR Incentive Program, which are the subject of section IX.E of the preamble of this final rule, separate rulemaking, and public comment.) Under the Hospital IQR Program, for the FY 2016 payment determination, we proposed that hospitals may choose to either (1) electronically report at least one quarter of CY 2014 quality measure data for each measure in each of four Hospital IQR measure sets (STK, VTE, ED, and PC), or (2) to continue reporting all of these measures using chart-abstracted data for all four quarters of CY 2014. The proposal also stated, if a hospital chose to electronically report the four measure sets, all of the quality measures in those four measure sets must be electronically reported for the same reporting quarter(s) although, as stated above, the hospital would choose which quarter(s) to report.
We strongly recommended hospitals electronically report the 16 measures in these four measure sets in CY 2014, to provide hospitals and CMS with the ability to test systems and adjust workflow in CY 2014 in order to prepare for required electronic reporting. We stated our belief that this will simplify quality reporting and submission for the Hospital IQR Program, and will reduce the reporting burden on hospitals. To further incentivize hospitals to choose this option, we stated our intent to use the electronically reported data to determine whether the hospital has satisfied the Medicare EHR Incentive Program clinical quality measure reporting requirement. We noted that the hospital must also satisfy all other requirements for the Medicare EHR Incentive Program.
We proposed different Hospital IQR Program data submission deadlines for each quarter depending on whether the hospital is submitting the data solely for the Hospital IQR Program (that is, if the hospital does not want the data to be used to determine whether the hospital has satisfied the Medicare EHR Incentive Program clinical quality measure reporting requirement) or whether the hospital wishes to submit the data for both the Hospital IQR Program and the Medicare EHR Incentive Program. We proposed that, if a hospital chooses to report the four measure sets electronically for the Hospital IQR Program, but does not want the data to be used to determine whether the hospital has satisfied the Medicare EHR Incentive Program clinical quality measure reporting requirement, the reporting periods and deadlines would be as follows:
| Discharge reporting periods | Submission deadlines |
|---|---|
| January 1, 2014-March 31, 2014 | August 15, 2014. |
| April 1, 2014-June 30, 2013 | November 15, 2014. |
| July 1, 2014-September 30, 2014 | February 15, 2014. |
| October 1, 2013-December 31, 2014 | May 15, 2013. |
We proposed that if the hospital does not want us to use the electronically reported data to also determine whether the hospital has satisfied the Medicare EHR Incentive Program clinical quality measure reporting requirement, we would modify this data submission schedule to align the reporting periods and deadlines for the Hospital IQR and Medicare EHR Incentive Programs. Specifically, we proposed that if a hospital wants us to also use the electronically reported data to determine whether the hospital has satisfied the Medicare EHR Incentive Program clinical quality measure reporting requirement, the Medicare EHR Incentive Program reporting periods and deadlines could be used to satisfy the Hospital IQR Program requirements. The Medicare EHR Incentive Program clinical quality measure reporting follows the Federal fiscal year while the Hospital IQR Program follows the calendar year. The table below lists the FY 2014 Medicare EHR Incentive Program reporting periods and submission deadlines.
| Reporting periods | Submission deadlines |
|---|---|
| For eligible hospitals in their first year of the Medicare EHR Incentive Program—Any 90 consecutive days in FY 2014 prior to July 1, 2014 | July 1, 2014. |
| For eligible hospitals that are beyond their first year of the Medicare EHR Incentive Program reportingelectronically—Any FY 2014 quarter, or the entire FY 2014 (October 1, 2013-September 30, 2014) | November 30, 2014. |
We noted that the data submission deadline is November 30, 2014 for hospitals that are beyond their first year of the Medicare EHR Incentive Program (77 FR 54080). Accordingly, if such a hospital chose to electronically report 3Q CY 2014 data under the Hospital IQR Program, it would need to submit the data by November 30, 2014 (not February 15, 2015) in order to also use that data to determine whether the hospital has satisfied its Medicare EHR Incentive Program clinical quality measurement requirement. In addition, we noted that, as noted above, the hospital must also satisfy all other program requirements established for the Medicare EHR Incentive Program.
We also noted that because of the difference in reporting deadlines, we would not be able to use 4Q 2014 electronically submitted Hospital IQR data for purposes of determining whether a hospital has satisfied its Medicare EHR Incentive Program clinical quality measurement requirement. We proposed that hospitals could still report the data electronically to meet their Hospital IQR Program requirements.
We proposed in section IX.E. of the preamble of the proposed rule to extend the beginning of the electronic submission period to January 2, 2014 (78 FR 27745). We noted that, if the extended electronic submission period is finalized, hospitals in their first year of demonstrating meaningful use could also electronically submit the four measure sets (STK, VTE, ED, and PC) for one quarter by July 1, 2014 to meet the clinical quality measure reporting criteria for the Medicare EHR Incentive Program as well as the Hospital IQR Program reporting requirement for those measure sets. We also proposed that hospitals choosing to report at least one quarter of quality measure data electronically would not need to submit chart-abstracted quality measure data for the other quarters in CY 2014 for these four measure sets (STK, VTE, ED, and PC).
For hospitals choosing to report electronically in the Hospital IQR Program, we proposed that hospitals submitting these four measure sets electronically must use the Medicare EHR Incentive Program process for electronically submitting quality measure data into QualityNet (for EHR-based reporting). We proposed that Hospital IQR Program hospitals follow the submission requirements finalized in the Medicare EHR Incentive Program Stage 2 final rule (77 FR 54080) and utilize their existing QualityNet account to submit electronic quality measure data. We noted that specific submission procedures will be posted on the QualityNet Web site at: https://www.qualitynet.org/.
We proposed to align with the case threshold exemption from the Medicare EHR Incentive Program. This means that for each quality measure for which hospitals do not have a minimum number of patients that meet the patient population denominator criteria for the relevant EHR reporting period, hospitals would have the ability to declare a “case threshold exemption” of five or fewer discharges. We stated that our intent is to finalize the same process in both the Medicare EHR Incentive Program and the Hospital IQR Program as further detailed below.
In preparation for this transition to electronic quality measure reporting under the Hospital IQR Program, we proposed that if a hospital chooses to report the four measure sets (STK, VTE, ED, and PC) electronically during CY 2014, the hospital's data would be extracted from the Certified Electronic Health Record Technology (CEHRT) and submitted to CMS using the Health Level Seven (HL7) Quality Reporting Document Architecture (QRDA) Category I Revision 2 standard. Certified EHR Technology is defined for the Medicare EHR Incentive Program at 42 CFR 495.4 and 45 CFR 170.102.
We recognized that a small percentage of Hospital IQR Program-participating hospitals are not currently participating in the Medicare EHR Incentive Program and that this proposal may not be applicable to those hospitals. We stated that these hospitals should continue to report the four measure sets using chart-abstraction. However, we noted that greater adoption of CEHRT and reporting of quality measures electronically across Medicare hospital quality reporting will reduce the administrative burden on hospitals associated with the reporting of chart-abstracted quality measures. This will help hospitals to meet both Hospital IQR Program and Medicare EHR Incentive Program requirements with a streamlined data submission to CMS.
We stated that, in the recent HHS ONC final rule regarding standards, implementation specifications, and certification criteria for health information technology (77 FR 54163 through 54292), HHS adopted “2014 Edition” EHR certification criteria that will require CEHRT to provide the capability to submit electronic clinical quality measure data in the HL7 QRDA Category I standard to support patient-level data submissions. We stated that we do not believe that our proposal to use QRDA Category I (patient-level) data under the Hospital IQR Program will create a new reporting burden for hospitals because we already require hospitals to submit “all-payer” patient-level data under the Hospital IQR Program.
We stated that the QRDA standard specifies the framework for quality reporting, standardizes measure-defined data elements for interoperability between organizations, and is used to transmit clinical quality measure data needed to meet meaningful use (MU) requirements under the Medicare EHR Incentive Program.
We proposed that we would not publicly report data collected from hospitals choosing to report these four measure sets electronically in CY 2014. After reviewing comments we received from our Request for Information (RFI) entitled “Medicare Program; Request for Information on Hospital and Vendor Readiness for Electronic Health Records Hospital Inpatient Quality Data Reporting” (78 FR 308 through 310), it became clear that we should consider not publicly reporting clinical quality measure data submitted electronically for the four proposed measure sets due to possible abnormalities in the data and/or the submission process that may occur during the first year of electronic reporting to CMS. We stated that this proposal will provide us time to assess the data reported to determine the optimal timing and transition strategy for electronic quality measure reporting by hospitals participating in the Hospital IQR Program. However, we stated that we would like to recognize hospitals that report electronically and invited public comment on whether hospitals choosing electronic reporting of quality measures would like to be acknowledged on the Hospital Compare Web site as “Pioneers” in Medicare EHR-based reporting. We noted, however, that the data results for Medicare EHR-based measures would not be publicly reported.
We stated our concern that a large number of hospitals would not be able to meet the Hospital IQR Program requirements for FY 2016 if we proposed to require hospitals to electronically report the four measure sets. Accordingly, we stated our belief that this proposal—providing hospitals the opportunity for voluntary electronic submission of data for one quarter of CY 2014 discharges—represents a balanced policy that some hospitals will be able to take advantage of while ensuring that the FY 2016 Hospital IQR Program requirements are attainable for all participating hospitals. We stated that, as we move further toward alignment of quality measures reporting among our reporting initiatives, we intend to propose in the future to require hospitals to report electronically specified quality measures.
We did not propose to validate any of the data that is electronically reported for the FY 2016 Hospital IQR Program. However, we shared the concern among hospitals, vendors, and other stakeholders that there is a need to develop a comprehensive validation process that applies to electronically reported data. We stated our intent to develop and propose to adopt a data validation strategy for electronically reported quality measure data in the FY 2015 IPPS/LTCH PPS proposed rule. This strategy will be informed, in part, by comments we receive in response to the proposed rule.
We invited public comment on these proposals.
Comment: Some commenters indicated that there are challenges with hospital EHR adoption and the number of hospitals using electronic clinical quality measures. A few commenters urged CMS to take a step back and rearticulate the program goals and logic.
Response: We have conducted various outreach, education, and communication activities with stakeholder communities, including hospitals and vendors. We will continue to consider stakeholder feedback in developing the electronic quality reporting strategy. We have previously stated our commitment to align quality measurement and reporting among our programs (for example, the Hospital IQR Program and PQRS). We noted that our alignment efforts focus on several fronts including using the same measures for different programs, standardizing the measure development and electronic specification processes across our programs, coordinating quality measurement stakeholder involvement efforts, and identifying ways to minimize multiple submission requirements and mechanisms. A longer-term vision would be hospitals and clinicians reporting through a single, aligned mechanism for multiple CMS programs (77 FR 54053).
We understand that, while there are some challenges with hospital EHR adoption rates, there has also been tremendous progress over the years. In March 2013, ONC reported, “since the passage of the HITECH Act in 2009, there has been strong growth in non-federal acute care hospital adoption of EHR technology to meet Meaningful Use objectives. . . . Hospital adoption rates for each of the 14 Meaningful Use Stage 1 Core objectives ranged from 72% to 94%. . . . These findings indicate that acute care hospitals have made considerable progress since the passage of the HITECH Act toward the goals of improving health and health care through the use of advanced health information technology” (http://www.healthit.gov/sites/default/files/oncdatabrief10final.pdf).
Comment: A few commenters wondered what, if any, potential impacts there would be on hospital ICD-10 implementation and wondered whether CMS provided algorithms for the electronic measures.
Response: We do not believe that there will be significant impacts related to ICD-10 implementation because the ICD-10 code sets have already been included in the electronic specifications for the electronic clinical quality measures. Also, the electronic specifications for the electronic clinical quality measures are available to the public at the electronic clinical quality measures library found at: http://www.cms.gov/Regulations-and-Guidance/Legislation/EHRIncentivePrograms/eCQM_Library.html. The code sets for all the electronic clinical quality measures are available on the National Library of Medicine's Value Set Authority Center (VSAC) at https://vsac.nlm.nih.gov.
Comment: A few commenters requested clarification regarding whether or not hospitals report Hospital IQR Program measures using chart-abstraction for the non-electronically reported measures. Commenters urged CMS to recognize that hospitals will be required to continue to report chart abstracted data to other national and State entities, such as The Joint Commission, until all of the entities are in total alignment with CMS efforts to electronically report quality measures.
Response: As discussed in more detail below, we are finalizing a modified approach to voluntary electronic reporting. Under this approach, hospitals that choose to engage in voluntary electronic reporting should continue to report measures via chart abstraction unless the measure is part of the measure set that the hospital reports electronically. For example, if a hospital chooses to report the PC measure set (which is currently comprised of one measure) electronically, the hospital will be able to report that measure set electronically for one of the following quarters (its choice)—CY Q1, CY Q2 or CY Q3. If the hospital chooses to report more than one measure set electronically, they must be all reported in the same calendar quarter. For example, if a hospital choses to use voluntarily electronic reporting for a CY quarter and then reports a different measure set for a later CY quarter, the hospital would only receive Hospital IQR credit for the first discharge quarter submitted; the expectation is that the hospital would be submitting chart-abstraction of a full calendar year for the latter measure set. All other chart-abstracted measures, including the measures in the measure sets not electronically reported will need to be reported via chart-abstraction for all four quarters. If a hospital reports part of a measure set electronically and the other part via chart abstraction, the hospital will not receive Hospital IQR credit for the measure set. We understand hospitals will continue to have to report chart-abstracted data to other national and State entities, and we continue to discuss options for electronic reporting alignment with various stakeholders.
In addition, we note that the STK-1 measure cannot be electronically reported because electronic specifications have not been developed for that measure. Therefore, if a hospital chooses to report the STK measure set electronically, it would not need to report the STK-1 measure via chart-abstracted measure to satisfy the Hospital IQR Program reporting requirements.
Comment: Many commenters opposed the proposal to require electronic reporting of Hospital IQR Program data in 2014 because of the challenges associated with electronic measure specifications and the EHR implementation and certification process.
Response: Hospitals are encouraged, but not required, to submit electronic clinical quality measures for the Hospital IQR Program in 2014 for the FY 2016 Hospital IQR Program payment determination. Through this voluntary process, hospitals and CMS will gain additional experience with electronic reporting and any potential issues that may result. We also encourage hospitals to continue submitting these measures via chart-abstraction if they choose. This will enable the most robust data set for the comparison. Since this proposal is voluntary, we believe it provides hospitals the flexibility to determine whether they are ready to submit electronically.
Comment: Some commenters urged CMS to allow hospitals to voluntarily generate data using the specifications in the CMS/Joint Commission measure manual, rather than using the methods and standards finalized for the Medicare EHR Incentive Program, and report it to CMS using the electronic submission mechanism. The commenters noted that these data would be submitted in conformance with the requirements of the Hospital IQR Program, and if submitted through the electronic submission mechanism for at least one quarter, would count as fulfilling the Meaningful Use requirements for clinical data submission.
Response: We appreciate the suggestion and note that the electronic submission of clinical quality measure data for the Hospital IQR Program in 2014 is voluntary. We are finalizing our proposal to allow hospitals to voluntarily submit measures electronically via the Medicare EHR Incentive Program. If a hospital chooses this option, the hospital will report the electronic clinical quality measures using the methods and standards finalized for the Medicare EHR Incentive Program (see the CMS and ONC final rules at 77 FR 53968 and 77 FR 54163, respectively, for further details regarding the Medicare EHR Incentive Program). This proposal does not preclude submitting the traditional chart-abstracted measures to the Hospital IQR Program using the specifications in the CMS/Joint Commission measure manual; however, the hospital need not do so if it elects to report electronically.
Comment: A commenter questioned whether a hospital that does not report PC-01 can still participate in the Medicare EHR Incentive Program or whether the hospital has to report all 16 measures to be eligible.
Response: Under the policy that we adopted for the Medicare EHR Incentive Program, a hospital may be exempted from reporting on a particular electronic clinical quality measure if the hospital seldom has the types of cases addressed by that electronic clinical quality measure. Specifically, a hospital that experiences 5 or fewer inpatient discharges per quarter or 20 or fewer inpatient discharges per year (Medicare and non-Medicare combined), as defined by an electronic clinical quality measure's denominator population, would be exempted from reporting on that electronic clinical quality measure (for further explanation of the policy, see 77 FR 54080, 72988 through 72989). Under this policy, it is possible that a hospital could qualify for an exemption from reporting on PC-01 for the Medicare EHR Incentive Program.
Comment: One commenter supported the CMS proposal to submit the identified four measure sets electronically to satisfy a portion of the Hospital IQR and EHR Incentive Program requirements.
Response: We thank the commenter for the support.
Comment: Many commenters opposed the proposal to submit the identified four measure sets—16 measures total—electronically to CMS noting that the policy would limit hospitals' choice in fulfilling meaningful use requirements since, by identifying the 16 electronic clinical quality measures, the policy would eliminate the choice hospitals currently have to report any 16 of 29 electronic clinical quality measures. Most commenters also noted that vendors are not required to support all 29 measures and may not support the 16 identified in the proposed rule.
Response: We understand that hospitals prefer to have the flexibility to choose from the list of 29 measures from Stage 2 of the Medicare EHR Incentive Program. We have taken these comments into consideration and are finalizing a modified policy as a result. Specifically, we are finalizing a policy which permits hospitals, if they choose this voluntary option, to select one or more of the four measure sets (STK (except, as noted above, STK-1), ED, VTE, and PC) to electronically report in CY 2014, instead of requiring hospital, if they choose this option, to use electronic reporting for all four measure sets. We believe that this modification allows enough flexibility for hospitals to begin electronically reporting, if, for example, a hospital's vendor does not support all of the measures in the four measure sets originally proposed.
Comment: Commenters noted that Stage 2 of the Medicare EHR Incentive Program requires hospitals to implement at least five clinical decision support (CDS) tools in their EHRs that are related to the electronic clinical quality measures they report for Meaningful Use. Commenters suggested that CMS address this issue by eliminating the requirement that CDS tools be related to electronic clinical quality measures and allow hospitals to choose the CDS tools that best help them achieve their individual quality improvement strategies and goals.
Response: We disagree with the commenters' belief that this proposal interferes with CDS tools implementation. Hospitals have the flexibility to choose which CDS interventions to implement. It is expected that hospitals will select clinical decision support interventions to drive improvement in the delivery of care for the high-priority health conditions relevant to their patient population. We refer the commenters to the Medicare EHR Incentive Program Stage 2 final rule (77 FR 53995) for more information.
Comment: One commenter requested that CMS provide additional details regarding where hospitals can find the measure failures and whether this information is contained at CMS or in the CEHRT.
Response: We appreciate the request for additional details regarding measure failures but cannot respond because we were unclear of what was specifically meant by this comment given the lack of context. We invite the commenter and others to join our EHR listservs on QualityNet if the commenter has additional questions or would like to learn more about electronic clinical quality measures in general.
Comment: With regard to the proposed 16 electronic clinical quality measures, a few commenters requested more detail about how CMS intends to use and store the data. In addition, several commenters wondered whether CMS has the necessary infrastructure to accept electronic clinical quality measures within the specified timeframe. One commenter wanted more information about whether data would be retained for unknown usage in the future.
Response: We intend to store the electronic data in the same manner that we store the Hospital IQR Program chart-abstracted data, with modifications to accept QRDA I data. We believe this infrastructure will allow us to accept the electronic clinical quality measure data submitted in CY 2014 for the Hospital IQR Program. We intend to retain the data to analyze it for lessons learned, and we will use the data to inform future policy decisions.
Comment: Some commenters did not support the initiative to label hospitals “Pioneers” on the Hospital Compare Web site and suggested that CMS develop an icon and name through focus group testing to recognize hospitals that are submitting quality measure information electronically.
Response: We appreciate the comment and will further evaluate the name to be used to recognize these hospitals. We intend to recognize hospitals that voluntarily report electronic clinical quality measures electronically in CY 2014 for the Hospital IQR Program.
Comment: One commenter questioned why CMS finds it necessary to create a special designation on the Hospital Compare Web site for hospitals using CEHRTs given the public awareness of hospitals participating in the Meaningful Use program. A commenter noted that the purpose of Hospital Compare is to provide evidence-based quality and performance information about hospitals to consumers and wonders whether consumers may misinterpret the meaning of a special designation and make healthcare decisions based on that rather than the hospital's performance on evidence-based measures.
Response: Our intention in recognizing these hospitals is, in part, to incentivize other hospitals to electronically report and, as a result, increase the volume of electronic clinical quality measures data we collect for validation testing purposes. We intend to clearly indicate the purpose and meaning of the recognition on the Hospital Compare Web site to avoid any potential confusion.
Comment: One commenter asked CMS to validate data derived electronically from the EHR with the medical record in its totality. The commenter suggested the data validation process should occur in the FY 2015 reporting period and the level of data accuracy should be ascertained prior to instituting required electronic reporting in the FY 2016 payment determination or subsequent years. Some commenters also noted the data submitted electronically for the FY 2016 Hospital IQR Program would not be validated and wondered whether CMS intends to develop a validation strategy for electronically reported quality measure data in next year's IPPS rulemaking. Some commenters objected to the adoption of baseline and performance periods for the Hospital VBP Program that blend the results of both reporting modes until the reliability and accuracy of measures reported using electronic specifications has improved.
Many commenters supported CMS' proposal to withhold voluntarily submitted electronic clinical quality measures data from public display in CY 2014 due to possible abnormalities in the data or potential issues associated with a new submission method. The commenters also noted that it would not be fair to compare results for hospitals reporting on chart-abstracted and electronic versions of the same measures since measures manually abstracted benefit from the broader context that is available in a chart. Commenters recommended that additional research be conducted to address differences between measures reported electronically and measures reported via chart-abstraction before CMS mandates public reporting of electronic clinical quality measure data through the Hospital IQR Program or other quality reporting programs.
The majority of commenters, however, opposed CMS' proposal to withhold the electronically reported data from publication on Hospital Compare and instead urged CMS to publicly display it. These commenters believed that withholding the data would undermine the intent of the Hospital IQR Program and provide little insight into whether EHRs can be used to effectively report comparable data for purposes of public reporting in the future.
Response: We believe that the 2013 Medicare EHR Incentive Program Electronic Reporting Pilot is beginning to address concerns regarding data validity, and we invite participation in the 2013 Medicare EHR Incentive Program Electronic Reporting Pilot. In addition, we have worked with ONC to include more stringent certification criteria for EHR products in order to increase data consistency and reliability across providers and vendors. The electronic clinical quality measures have been tested, and we are working with the EHR vendor and provider communities to continuously improve the electronic specifications. We do, however, understand the concerns raised by commenters regarding data validity and public reporting. After taking all of these considerations into account, we are finalizing that we will make the electronically reported data public on Hospital Compare if we deem that the data are accurate enough to be publicly reported. In addition, we intend to develop and propose a validation strategy for electronically reported quality measure data in future rulemaking.
Comment: Several commenters suggested that CMS transition to electronic reporting of clinical quality measures by maintaining the intent of quality measures, testing tools designed to support electronic clinical quality measures development, and field testing measures prior to including them in a reporting program.
Response: We are continuing to work with partners and key stakeholders to improve the tools used to develop electronic clinical quality measures and methodologies to test electronic clinical quality measures prior to adoption in our quality reporting programs.
Comment: Many commenters noted that electronic clinical quality measures lack accuracy, testing, quality, validity, comparability with chart-abstracted measures, and well-developed standards. The commenters called for “electronic specification stability” before CMS adopts electronic reporting for the Hospital IQR Program and noted that electronic reporting does not currently produce complete information. Some commenters urged CMS to reconsider the proposed acceptance of hospital quality reporting data directly from EHRs until there has been verification of data reliability and validity.
Response: We thank the commenters for their input. We are working with the hospital and vendor communities to develop a robust validation methodology. We continue to engage with external stakeholders by requesting public comments regarding validation methodologies. Until we receive quality data reported directly from EHRs, we will have limited ability to perform data reliability and validity testing. By offering a voluntary submission option, we anticipate that hospitals will submit quality measure data directly from EHRs so that we have data for reliability and validity testing.
Comment: A few commenters strongly supported continued engagement with the provider and vendor communities through cooperative efforts such as the eMeasures Learning Collaborative and its workgroups and urged CMS and ONC to include the vendor community when working with measure stewards and developers in the development of new measure concepts and when pilot, reliability, and validity testing is conducted. For example, commenters noted that in 2012, CMS launched the eMeasures Learning Collaborative with the NQF, and the commenters applauded this collective approach to effectively advise stakeholders on the best eMeasures development, maintenance, and implementation processes.
Response: We thank the commenters for their support. We plan to continue to collaborate with multi-stakeholder groups and the ONC when working with measure stewards and developers in the development of new measure concepts and conducting pilot, reliability, and validity testing.
Comment: Some commenters urged CMS and ONC to align efforts to verify through demonstration projects the comparability of results of manually abstracted measures with electronically specified/EHR extracted measures. The commenters also called for a certification requirement for third party auditors.
Response: Although we do not understand what the commenters mean when referring to a “third-party auditor,” we do not believe that the electronic clinical quality measures are substantively different from their chart-abstracted forms. We are researching methodologies, including consideration of demonstrations and/or pilots to develop data validation strategies and are working with the hospital and vendor communities.
Comment: A few commenters noted errors in the 2014 measure specifications, the Cypress software used to certify electronic clinical quality measures, and the certification test methods. These commenters noted time pressures associated with the frequent updates and changes to the ONC certification process over the past five months since the tools and measure specifications became available. These changes require vendors and providers to adopt new versions of measures, resulting in time pressures for development, testing and implementation/roll out to customers.
Response: We plan to continue to work with the ONC to address these issues. We understand vendors are working hard to adopt new measure specifications released by CMS and ONC.
Comment: A few commenters found the proposal focused more on the electronic submission and less on the accuracy of the information and, consequently, believed 2014 was too soon to assume electronic quality measures are ready for validation. The commenters outlined an alternative approach to allow hospitals to satisfy both programs clinical quality measure reporting requirements when they pull quality data from an EHR and allow a chart abstractor to validate that information in the Hospital IQR Program specifications.
Response: We do not plan to validate electronic clinical quality measure data, as part of the regular Hospital IQR validation program, for the FY 2016 payment determination. We will, however, review the accuracy of the electronic clinical quality measure data assessing it for the electronic specification adherence before making it publicly available. Further, we intend to use these submissions to inform the development of a validation strategy that would apply to electronically reported measure data in the future. We do not preclude hospitals from using their EHRs to collect data for submitting chart-abstracted measures under the Hospital IQR Program. We are working on a strategic plan to identify the optimal transition while providing a flexible voluntary option to electronically report measures in 2014. For validation of electronic clinical quality measures, we are researching methodologies to develop data validation strategies and are working with the hospital and vendor communities. We have engaged external stakeholders by requesting public comments regarding validation methodologies through a Request for Information (RFI) published in January 2013.
Comment: Some commenters were concerned that, although the measure descriptions seem similar for both Meaningful Use and the Hospital IQR Program (the measures have the same title, etc.), the measure specifications and calculations were developed independently and are not equivalent. The commenters requested that CMS consider this variation and provide education and outreach to the provider community to assist in this transition.
Response: We do not believe that the electronic clinical quality measures are substantively different from their chart- abstracted form. We believe that collection and reporting of data through health information technology will greatly simplify and streamline reporting for many CMS quality reporting programs. Through electronic reporting, hospitals will be able to leverage EHRs to capture, calculate, and electronically submit quality data that is currently manually chart-abstracted and submitted to CMS for the Hospital IQR Program. In addition, we provide a central location for all clinical quality measure specifications and educational materials for electronic clinical quality measures reporting which providers can access (http://www.cms.gov/Regulations-and-Guidance/Legislation/EHRIncentivePrograms/eCQM_Library.html). We are moving in the direction of expanding that resource to incorporate additional electronic clinical quality measures resources. We intend to provide outreach and education to hospitals for this transition in multiple formats such as Webinars and FAQs.
Comment: A few commenters suggested that CMS work with an independent evaluator to understand any variance that may result from the electronic extraction of quality measure data from EHRs rather than through manual chart abstraction.
Response: We appreciate the suggestion and will take this recommendation into consideration as we further develop our electronic reporting policies.
Comment: A few commenters expressed concern that the efficiency of reporting should not be achieved at the expense of alienating clinicians and hospitals by detracting from patient care.
Response: We agree with the commenters and will consider burden as we develop our policy and methods.
Comment: Some commenters believed a hard cut-off between chart-abstracted and electronic “retooled” measures was not practical in the near term.
Response: We agree with commenters. We are engaged in a transition from chart-abstracted reporting of measures to electronic reporting of measures, and we anticipate that the transition to full electronic measure reporting in the Hospital IQR Program will occur over a period of time, rather than all at once.
Comment: One commenter identified a lack of alignment between the electronic data submission deadlines and the timeline in the FY 2014 IPPS/LTCH PPS proposed rule. The commenter noted publication of the FY 2015 IPPS/LTCH PPS final rule would precede the data submission deadline of November (in the proposed rule, November 30, 2014) and CMS would not benefit from the experience. Therefore, commenter requested that CMS align these timeframes in the future.
Response: We understand that the rulemaking cycle will overlap with the voluntary electronic reporting period. However, we anticipate having the opportunity to collect two quarters of electronic data from hospitals that choose to report electronically. We encourage hospitals to report data as early as possible in order to gain experience with submitting measures via electronic specifications. We believe these two quarters of data will provide us with a better understanding of the data derived from submitting measures via electronic specifications. We will also gain additional experience with the 2013 Medicare EHR Incentive Program Electronic Reporting Pilot.
Comment: A few commenters raised concerns about the proposal to require only one quarter's worth of data for hospitals reporting Hospital IQR Program measures electronically, and believed that one quarter of data does not provide a statistically valid sample and that electronic data derived from CEHRTs may result in an inaccurate assessment of a hospital's performance.
Response: We proposed one quarter of data for the purposes of aligning with the reporting periods established for the Medicare EHR Incentive Program. In addition, we believe that allowing a hospital that chooses to report electronically to report one quarter of data will reduce the reporting burden on the hospital. Also, this policy creates an incentive for hospitals to participate in the voluntary electronic clinical quality measure reporting for the Hospital IQR Program.
Comment: A few commenters found the reporting timelines confusing and questioned the rationale for proposing different reporting timelines that vary depending on whether or not a hospital elected to electronically report measures or to report measures using the standard chart-abstracted method.
Response: The goal of the proposal was to synchronize the reporting periods of the Hospital IQR and the Medicare EHR Incentive Programs to reduce the reporting burden on hospitals. However, based on concerns of these commenters, we are finalizing a policy that better aligns the reporting deadlines under the two programs. We are finalizing that if a hospital would like us to use the electronically reported Hospital IQR data to determine whether the hospital has satisfied the Medicare EHR Incentive Program clinical quality measure reporting requirement, it must electronically report the data for CY Q1, CY Q2 or CY Q3 2014 by November 30, 2014, or if the hospital is in its first year of demonstrating meaningful use, electronically report CY 2014 Q1 or CY 2014 Q2 data by July 1, 2014. Due to the FY 2016 Hospital IQR Program timeline and the desire to align with the Medicare EHR Incentive Program submission timelines, we will not be able to accept electronically specified measures during CY 2014 Q4 to determine whether a hospital satisfies the Hospital IQR Program requirements. This is the beginning of a multi-year process we seek to engage in to align the timelines of multiple federal quality reporting programs.
Comment: A few commenters requested that CMS continue to adopt the newest version of the HL7 standard used to specify the electronic clinical quality measures within the quality reporting programs.
Response: We plan to continue to collaborate with our partners and stakeholders to identify appropriate standards—including the HL7 standard—to be used for quality reporting.
Comment: Many commenters requested that CMS provide the process it will use to develop and release new versions of electronic clinical quality measures, their associated value sets and how CMS plans to document the timeframe for which each HL7 version is active within the applicable quality-reporting programs, including the Hospital VBP Program.
Response: We understand the nature of the commenters' request and plan to continue to collaborate with our partners and stakeholders to identify appropriate standards and update existing standards for quality reporting. We will also continue to collaborate with our partners and stakeholders to identify the best manner in which to communicate those standards.
Comment: Many commenters opposed CMS' proposal to restrict the data standard to QRDA I and recommended that CMS allow hospitals to use either the QRDA I or QRDA III standard. Commenters requested clarification regarding why CMS made the determination that QRDA I is feasible and QRDA III is not feasible. In addition, commenters urged that if QRDA I is the policy choice for electronic quality data submission, CMS must take all necessary steps to protect against breaches of private health information through the use of CMS' electronic reporting portal. Commenters also noted the QRDA standards (categories I and III) are still in draft format and are not yet widely used. Therefore, there is little, if any, experience with or testing of these standards. One commenter suggested that CMS align its data standard with ONC's certification requirements for EHR technology. The commenters noted that this approach would fully leverage CEHRTs which allow both QRDA I and QRDA III.
Response: The QRDA category I specifies the framework for quality reporting, standardizes measure-defined data elements for interoperability between organizations, and is used to transmit clinical quality measure data needed to meet Meaningful Use (MU) requirements under the Medicare EHR Incentive Program. After reviewing all the comments, we have decided to adopt the QRDA I reporting standard for the Hospital IQR Program and may consider the QRDA III standard in future rulemaking. We will adopt the QRDA I reporting standard because it aligns with the current Hospital IQR Program standard of collecting patient level data for chart-abstracted measures. The Medicare EHR Incentive Program for hospitals has modified in this final rule, section IX.E below, the clinical quality measure reporting requirement for 2014 to accept only the QRDA I (release 2) format for electronic reporting.
As noted above, hospitals will continue to submit quality data through the secure portion of the QualityNet Web site (https://www.QualityNet.org). This Web site meets or exceeds all current Health Insurance Portability and Accountability Act requirements for security of protected health information. CMS will consider other options for collecting clinical quality measurement data in future rulemaking.
Comment: One commenter requested more information regarding whether CMS would make QRDA I details available for EHR developers who need to understand if the feasibility assessment will change in 2015 and beyond.
Response: We understand the concerns raised and, as feasibility assessments are completed, we will make every effort to post the information on a Web site such as http://www.QualityNet.org/. Currently the Hospital IQR Program requires submission of chart-abstracted data at the patient level (QRDA I equivalent), so our decision to accept QRDA I is aligned with the method hospitals currently use to submit chart-abstracted data for the same measures.
After consideration of the public comments we received, we are finalizing a modified approach that will allow hospitals to voluntarily report up to four measure sets (STK (with the exception of STK-1), ED, VTE, and/or PC) electronically for the same quarter for FY 2016 Hospital IQR Program. Hospitals that choose this option will meet their Hospital IQR reporting requirement with respect to each of these measure sets if they report all the measures in that measure set (with the exception of STK-1, if the hospital chooses that measure set) electronically for one quarter.
We will take into account the measure set(s) reported electronically for the Hospital IQR Program when we determine whether a hospital has satisfied the clinical quality measure reporting component of meaningful use for the Medicare EHR Incentive Program in FY 2014. Specifically, if a hospital would like us to use the electronically reported Hospital IQR data to determine whether the hospital has satisfied the Medicare EHR Incentive Program clinical quality measure reporting requirement, it must electronically report the data for CY Q1, CY Q2 or CY Q3 2014 by November 30, 2014, or if the hospital is in its first year of demonstrating meaningful use, electronically report CY Q1 or CY Q2 2014 data by July 1, 2014. Due to the FY 2016 Hospital IQR Program's 2016 payment determination timeline and the desire to align with EHR Incentive Program submission timelines, we cannot accept electronic submission of CY Q4 2014 data since EHR Incentive Program data is required to be reported by November 30, 2014. The measures electronically reported under the Hospital IQR Program will be considered to determine whether the hospital has satisfied the Medicare EHR Program clinical quality measure reporting requirement as long as the hospital also satisfies all other program requirements under the Medicare EHR Incentive Program. With the exception of the electronically reported measures (for which only one quarter of reporting would be necessary), all other Hospital IQR chart-abstracted measures (including those that are electronically specified but not chosen by the hospital for electronic reporting) must be reported via chart-abstraction for all four quarters of 2014.
We are also finalizing that we will only publicly report the electronically reported data on Hospital Compare if we determine the data are accurate enough to be reported.
The chart below provides a summary of the finalized reporting periods and electronic submission deadlines for the FY 2016 Hospital IQR Program:
| Discharge reporting periods | Submission deadlines |
|---|---|
| January 1, 2014-March 31, 2014 | November 30, 2014. |
| April 1, 2014-June 30, 2014 | November 30, 2014. |
| July 1, 2014-September 30, 2014 | November 30, 2014. |
| October 1, 2014-December 31, 2014 | Not Applicable. |
As described in section IX.E of the preamble of this final rule, we are also finalizing our proposal to extend the beginning of the electronic submission period for the Medicare EHR Incentive Program to January 2, 2014 and note that hospitals in their first year of demonstrating meaningful use could also electronically submit the four measure sets for one quarter by July 1, 2014 to meet the clinical quality measure reporting criteria for the Medicare EHR Incentive Program.
Hospitals choosing to report at least one quarter of quality measure data electronically are not required, but are highly encouraged, to also submit the same data via chart-abstraction. We understand that many hospitals will be submitting chart-abstracted quality measure data to The Joint Commission so the reporting burden would not be increased. Hospitals will gain experience in understanding the differences in the submission methods. Furthermore, for hospitals who chose to voluntarily report electronically in the Hospital IQR Program, we are finalizing that the hospitals will use the Medicare EHR Incentive Program process for electronically submitting quality measure data into QualityNet (for EHR-based reporting). We also note that hospitals voluntarily submitting electronically specified clinical quality measures will follow the submission requirements finalized in the Medicare EHR Incentive Program Stage 2 final rule (77 FR 54088) and in subsequent rulemaking. Hospitals voluntarily submitting electronically specified clinical quality measures will utilize their existing QualityNet account to submit electronic quality measure data. If a hospital chooses to report one or more of the four measure sets (STK (with the exception of STK-1), VTE, ED, and PC) electronically during CY 2014, the hospital's data will be extracted from the CEHRT and submitted to CMS using the Health Level Seven (HL7) Quality Reporting Document Architecture (QRDA) Category I Revision 2 standard.
After consideration of the public comments we received, we are finalizing our proposal to adopt the QRDA I reporting standard for hospitals voluntarily submitting electronically specified clinical quality measures to the Hospital IQR Program. We will not accept the QRDA III reporting standard at this time; however, we will consider this and other options in future rulemaking. The Hospital IQR Program requires submission of chart-abstracted data at the patient level, so our decision to accept QRDA I is aligned with the method hospitals currently use to submit clinical quality measure data.
We intend to develop and propose a validation strategy for electronically reported quality measure data in the FY 2015 IPPS/LTCH PPS proposed rule. We are researching methodologies to develop data validation strategies and are working closely with the hospital and vendor communities to develop a robust validation methodology that will complement the vendor certification process for electronic clinical quality measures. We do not plan to validate, for purposes of meeting Hospital IQR Program validation requirements, electronic clinical quality measures voluntarily submitted to the Hospital IQR Program for the FY 2016 payment determination.
We believe this proposal—providing hospitals the opportunity for voluntary electronic submission of data for one quarter of CY 2014 discharges—represents a balanced policy that some hospitals will be able to take advantage of while ensuring that the FY 2016 Hospital IQR Program requirements are attainable for all participating hospitals. As we move further toward alignment of quality measures reporting among our reporting initiatives, we intend to propose in the future to require hospitals to report electronically specified quality measures.
e. Sampling and Case Thresholds for the FY 2016 Payment Determination and Subsequent Years
In the FY 2012 IPPS/LTCH PPS final rule (76 FR 51641), we continued, for the FY 2015 payment determination and subsequent years, the approach we adopted in the FY 2011 IPPS/LTCH PPS final rule (75 FR 50230) regarding hospital submission of population and sampling data. In the FY 2013 IPPS/LTCH PPS final rule (77 FR 53537), we did not make any changes to these requirements. For the FY 2016 payment determination and subsequent years, we did not propose to make any changes to these requirements.
We strongly recommend that hospitals review the QIO Clinical Warehouse Feedback Reports and the Hospital IQR Program Provider Participation Reports that are available after patient-level data are submitted to the QIO Clinical Warehouse. We generally update these reports on a daily basis to provide accurate information to hospitals about their submissions. These reports enable hospitals to ensure that their data were submitted on time and accepted into the QIO Clinical Warehouse.
f. HCAHPS Requirements for the FY 2017 Payment Determination and Subsequent Years
In the FY 2011 IPPS/LTCH PPS final rule (75 FR 50220), we adopted the HCAHPS requirements for the FY 2013 and FY 2014 Hospital IQR Program payment determinations.
In the FY 2012 IPPS/LTCH PPS final rule (76 FR 51641 through 51643), we made one change to these requirements. Beginning with discharges occurring in third quarter CY 2011, we established that hospitals will have about 13 weeks after the end of a calendar quarter to submit HCAHPS data for that quarter to the QIO Clinical Warehouse.
In the FY 2013 IPPS/LTCH PPS final rule (77 FR 53537 through 53538), for the FY 2016 Hospital IQR Program payment determination, we continued these HCAHPS requirements.
In the FY 2014 IPPS/LTCH PPS proposed rule (78 FR 27698 through 27700), for the FY 2017 payment determination and subsequent years, we proposed to retain these requirements. Under these requirements, a hospital must continuously collect and submit HCAHPS data in accordance with the current HCAHPS Quality Assurance Guidelines and the quarterly data submission deadlines, both of which are posted at http://www.hcahpsonline.org. In order for a hospital to participate in the collection of HCAHPS data, a hospital must either: (1) Contract with an approved HCAHPS survey vendor that will conduct the survey and submit data on the hospital's behalf to the QIO Clinical Warehouse; or (2) self-administer the survey without using a survey vendor provided that the hospital attends HCAHPS training and meets Minimum Survey Requirements as specified on the HCAHPS Web site at: http://www.hcahpsonline.org. A current list of approved HCAHPS survey vendors can be found on the HCAHPS Web site. For the FY 2017 Hospital IQR Program, the HCAHPS data would be based on discharges from January 1, 2015 through December 31, 2015.
Every hospital choosing to contract with a survey vendor must provide the sample frame of HCAHPS-eligible discharges to its survey vendor with sufficient time to allow the survey vendor to begin contacting each sampled patient within 6 weeks of discharge from the hospital. (We refer readers to the Quality Assurance Guidelines located at http://www.hcahpsonline.org for details about HCAHPS survey administration.) Hospitals are strongly encouraged to submit their entire patient discharge list, excluding patients who had requested “no publicity” status or who are excluded because of State regulations, in a timely manner to their survey vendor to allow adequate time for sample creation, sampling, and survey administration. We emphasize that hospitals must also provide the administrative data that is required for HCAHPS in a timely manner to their survey vendor. This includes the patient MS-DRG at discharge, or alternative information that can be used to determine the patient's service line, in accordance with the survey protocols in the most recent HCAHPS Quality Assurance Guidelines.
We note that the HCAHPS Quality Assurance Guidelines require that hospitals maintain complete discharge lists that indicate which patients were eligible for the HCAHPS survey, which patients were not eligible, and which patients were excluded, and the reason(s) for ineligibility and exclusion. (We refer readers to the Quality Assurance Guidelines located at http://www.hcahpsonline.org for details about HCAHPS eligibility and sample frame creation.) In addition, the hospital must authorize the survey vendor to submit data via My QualityNet, the secure part of the QualityNet Web site, on the hospital's behalf.
Hospitals must obtain and submit at least 300 completed HCAHPS surveys in a rolling four-quarter period unless the hospital is too small to obtain 300 completed surveys. We wish to emphasize that the absence of a sufficient number of HCAHPS eligible discharges is the only acceptable reason for obtaining and submitting fewer than 300 completed HCAHPS surveys in a rolling four quarter period. If a hospital obtains fewer than 100 completed surveys, the hospital's HCAHPS scores will be accompanied by an appropriate footnote on the Hospital Compare Web site alerting the Web site users that the scores should be reviewed with caution, as the number of surveys may be too low to reliably assess hospital performance.
After the survey vendor submits the data to the QIO Clinical Warehouse, we strongly recommend that hospitals employing a survey vendor promptly review the two HCAHPS Feedback Reports (the Provider Survey Status Summary Report and the Data Submission Detail Report) and the HCAHPS Review and Correction Report that are available. These reports enable a hospital to ensure that its survey vendor has submitted the data on time, the data has been accepted into the QIO Clinical Warehouse, and the data accepted into the QIO Clinical Warehouse are complete and accurate.
In order to ensure compliance with HCAHPS survey and administration protocols, survey vendors and hospitals that self-administer the HCAHPS Survey must: (1) Meet HCAHPS Minimum Survey Requirements and Rules of Participation presented in the current HCAHPS Quality Assurance Guidelines; (2) adhere to the HCAHPS survey administration protocols provided in the current HCAHPS Quality Assurance Guidelines and updated through HCAHPS Bulletins and announcements on the official HCAHPS On-Line Web site, http://www.hcahpsonline.org; and (3) participate in all oversight activities. As part of the oversight process, during the onsite visits or conference calls, the HCAHPS Project Team will review the hospital's or survey vendor's survey systems and assess protocols based upon the most recent HCAHPS Quality Assurance Guidelines. All materials relevant to survey administration will be subject to review.
The systems and program review includes, but is not limited to: (a) Survey management and data systems; (b) printing and mailing materials and facilities; (c) telephone and Interactive Voice Response (IVR) materials and facilities; (d) data receipt, entry and storage facilities; and (e) written documentation of survey processes. As needed, hospitals and survey vendors will be subject to follow-up site visits or conference calls. We point out that the HCAHPS Quality Assurance Guidelines state that hospitals should refrain from activities that explicitly influence how patients respond on the HCAHPS survey. If we determine that a hospital is not compliant with HCAHPS program requirements, we may determine that the hospital is not submitting HCAHPS data that meet the requirements of the Hospital IQR Program.
We strongly recommend that hospitals approved to self-administer the HCAHPS Survey attend both HCAHPS Introductory Training and HCAHPS Update Training every year. The dates of HCAHPS training session are announced on the HCAHPS On-Line Web site, http://www.hcahpsonline.org.
The HCAHPS Survey is available in official translations in several languages other than English: Spanish (mail and telephone modes); Chinese (mail mode); Russian (mail mode); and Vietnamese (mail mode). All official translations of the HCAHPS Survey instrument are available in the current HCAHPS Quality Assurance Guidelines. We strongly encourage hospitals with a significant patient population that speaks Spanish, Chinese, Russian or Vietnamese to offer the HCAHPS Survey in those languages. We plan to offer an official translation of the HCAHPS Survey in Portuguese (mail mode) in 2013. We encourage hospitals that serve patient populations that speak languages other than those noted to request CMS to create an official translation of the HCAHPS Survey in those languages. Only the official translations of the HCAHPS Survey instrument can be implemented.
We continue to strongly recommend that each new hospital participate in an HCAHPS dry run, if feasible, prior to beginning to collect HCAHPS data on an ongoing basis to meet Hospital IQR Program requirements. New hospitals can conduct a dry run in the last month of a calendar quarter. The dry run will give newly participating hospitals the opportunity to gain first-hand experience collecting and transmitting HCAHPS data without the public reporting of results. Using the official survey instrument and the approved modes of administration and data collection protocols, hospitals/survey vendors will collect HCAHPS dry-run data and submit the data to My QualityNet, the secure portion of QualityNet.
We wish to emphasize that, barring the exception that the hospital is too small to obtain 300 completed surveys in a four-quarter period, IPPS hospitals that do not meet the minimum 300 completed surveys requirement may not be in compliance with the Hospital IQR Program's requirement that hospitals submit quality data in the form, manner, and time specified by the Secretary in order to receive the full APU. If we become aware of specific cases in which a hospital has not met the finalized HCAHPS survey protocols, we may determine that the hospital has failed to meet the applicable APU requirement, and will reduce that hospital's APU accordingly.
We proposed to codify the current guideline that approved HCAHPS survey vendors and self-administering hospitals must fully comply with all HCAHPS oversight activities, including allowing CMS and its HCAHPS Project Team to perform site visits at hospitals' and survey vendors' locations. We proposed to codify this survey requirement at § 412.140(f)(1).
We proposed to codify the current guideline that CMS approves survey vendor applicants to administer the HCAHPS survey for hospitals clients when applicants have met the Minimum Survey Requirements and Rules of Participation listed in the current HCAHPS Quality Assurance Guidelines and adhere to the survey administration protocols provided in the current HCAHPS Quality Assurance Guidelines and occasionally updated through HCAHPS Bulletins and announcements on the official HCAHPS On-Line Web site. We proposed to include this survey requirement at § 412.140(f)(2).
The absence of a sufficient number of HCAHPS eligible discharges is the only acceptable reason for obtaining and submitting fewer than 300 completed HCAHPS surveys in a rolling four quarter period. Hospitals and HCAHPS survey vendors should regularly check the official HCAHPS Web site at http://www.hcahpsonline.org for new information and program updates regarding the HCAHPS Survey, its administration, oversight and data adjustments. We invited public comment on our proposal to continue using these HCAHPS requirements for the FY 2016 payment determination and subsequent years.
We did not receive any public comments on our Hospital IQR HCAHPS proposal and are finalizing it as proposed, with some changes to the proposed regulatory language.
g. Data Submission Requirements for Structural Measures for the FY 2015 and FY 2016 Payment Determinations
In the FY 2012 IPPS/LTCH PPS final rule (76 FR 51643 through 51644), beginning with FY 2013, we finalized the period of data collection for which hospitals will submit the required structural measure information once annually for the structural measures via a Web-Based Measure Tool. We finalized our proposal for FY 2014 for submission of structural measures between April 1, 2013 and May 15, 2013 with respect to the time period of January 1, 2012 through December 31, 2012. In the FY 2013 IPPS/LTCH PPS final rule (77 FR 53538 through 53539), we finalized our proposal to continue this policy for the FY 2015 payment determination and subsequent years.
In the FY 2014 IPPS/LTCH PPS proposed rule (78 FR 27700), however, in order to provide the more timely feedback to hospitals regarding APU participation status, for the FY 2015 payment determination, we proposed to change the date that structural measures will be submitted from April 1 2014-May 15, 2014 to January 1, 2014-February 15 2014. For the FY 2016 payment determination, we proposed that the period of data collection for which hospitals will submit the required registry participation information for the structural measures via a Web-Based Measure Tool be between January 1, 2015 and February 15, 2015, with respect to the time period of January 1, 2014 through December 31, 2014. These proposals will allow us to provide earlier feedback to hospitals regarding APU status. We invited public comment on our proposals.
Comment: A few commenters supported the proposals.
Response: We thank the commenters for their support.
Although some commenters generally supported this proposal, some commenters did not support the proposal to move the deadline for the Data Accuracy and Completeness Acknowledgement (DACA). It is our experience that most hospitals complete the DACA and structural measures at the same time. Because we are not finalizing our proposal to move the deadline for the DACA to February 15th in this final rule (we refer readers to section IX.A.11. of the preamble of this final rule), we believe that moving the submission deadline for the structural measures as proposed would require hospitals to complete these requirements at different times and, as a result, create unnecessary burden because it would be inconsistent with the DACA submission deadline. In addition, because we are not finalizing the DACA submission deadline change, we will not be able provide more timely feedback to hospitals on whether they have satisfied the Hospital IQR Program requirements for a particular year regardless of whether the timeframe to report the structural measures is January 1, 2014-February 15, 2014 or April 1, 2014-May 15, 2014. For those reasons, we are not finalizing this proposal, and the timeframe to report the structural measures each year will be April 1, 2104-May 15, 2014, with respect to the preceding calendar year.
h. Data Submission and Reporting Requirements for Healthcare-Associated Infection (HAI) Measures Reported via NHSN
In the FY 2012 IPPS/LTCH PPS final rule (76 FR 51644 through 51645), we adopted the data submission and reporting standard procedures that have been set forth by CDC for NHSN participation in general and for submission of the HAI measures to NHSN. The existing data collection and submission timeframes for the HAI measures for the FY 2015 payment determination and subsequent years align with the submission timeframes for chart-abstracted measures with the exception of Healthcare Provider Influenza Vaccination as defined below. The data submission deadlines are posted on the QualityNet Web site at: http://www.QualityNet.org/.
Hospitals will have until the Hospital IQR Program final submission deadline to submit their quarterly data for CLABSI, SSI, CAUTI, MRSA Bacteremia and Clostridium difficile to NHSN. After the final Hospital IQR Program submission deadline has occurred for each calendar quarter of CY 2013, we will obtain the hospital-specific calculations that have been generated by the NHSN for the Hospital IQR Program.
In the FY 2013 IPPS/LTCH PPS final rule (77 FR 53539), we continued the data submission and reporting standard procedures we adopted in the FY 2012 IPPS/LTCH PPS final rule, with two exceptions discussed below, for the FY 2015 payment determination and subsequent years.
The HAI measures that will be included in the FY 2016 payment determination are included in the following chart:
| Topic | FY 2016 payment determination: hospital associated infection measures (CDC's NHSN) |
|---|---|
| Central Line Associated Blood Stream Infection. | |
| Surgical Site Infection. | |
| Catheter-Associated Urinary Tract Infection. | |
| MRSA Bacteremia. | |
| Clostridium difficile. | |
| Healthcare Provider Influenza Vaccination. |
We realize that some hospitals may not have locations that meet the NHSN criteria for CLABSI or CAUTI reporting, for example, when a hospital has no ICUs. In the FY 2013 IPPS/LTCH PPS final rule (77 FR 53539), we provided an exception for the CLABSI and CAUTI measures for hospitals that do not have an ICU, reducing the burden associated with reporting to NHSN.
In addition, we recognize that some facilities may perform so few procedures requiring surveillance under the SSI measure that the data may not meaningfully assess the hospital's performance on the measure. Therefore, in the FY 2013 IPPS/LTCH PPS final rule (77 FR 53539), we provided an exception for these hospitals from the reporting requirement in any given year if the hospital performed fewer than a combined total of 10 colon and abdominal hysterectomy procedures in the calendar year prior to the reporting year. For example, a hospital that performed only 2 colon surgeries and 4 abdominal hysterectomies in CY 2013 is not required to report the SSI measure in CY 2014. We finalized our proposal to provide hospitals with a single HAI exception form, to be used for seeking an exception for any of the CLABSI, CAUTI and SSI measures, which is available on QualityNet at: https://www.qualitynet.org/ Hospitals-Inpatient>Healthcare Associated Infections (HAI). For the FY 2016 payment determination and subsequent years, we did not propose to make any changes to these requirements and exceptions.
In the FY 2012 IPPS/LTCH PPS final rule (76 FR 51631-51633) we finalized collection of the Healthcare Provider Influenza Vaccination measure data from October 1 through March 31st to coincide with the flu season. In the FY 2014 IPPS/LTCH PPS proposed rule (78 FR 27700), because this measure is collected seasonally, we proposed to collect this measure on May 15th of the calendar year for which the season ends. For example, for the Healthcare Provider Influenza Vaccination measure collection for vaccinations given from October 1, 2013 (or when the vaccine becomes available)—March 31, 2014, the submission deadline would be May 15, 2014. We invited public comment on this proposal.
Comment: A few commenters expressed concerns that differing deadlines among CMS programs are confusing for submitters.
Response: We thank the commenters for informing us of their concern. We have aligned several deadlines in recent years and will continue to align deadlines as possible across programs.
Comment: Several commenters supported the May 15th deadline for the Healthcare Provider Influenza Vaccination measure.
Response: We thank the commenters for their support.
After consideration of the public comments we received, for FY 2015 and subsequent years we are finalizing as proposed the submission deadline of May 15 of the calendar year for which the season ends.
For the FY 2016 payment determination and subsequent years, we proposed to require hospitals to report the Medicare Beneficiary ID numbers to the NHSN system for all events reported for Medicare beneficiaries. The NHSN system currently supports the voluntary submission of this information, but we proposed to make it mandatory for patients with Health Insurance Claim (HIC) numbers. We made this proposal to better support our validation efforts to improve CMS and hospitals' ability to correctly identify the sampled validation episodes of care. We currently match medical records to NHSN data as part of validation. With the information available for matching, we may occasionally fail to match a reported event. By requiring that hospitals report the HIC number when it is available, we increase our confidence that records reported to NHSN will appropriately be matched with the records we sample for validation. Because we cannot anticipate in advance which records may be sampled for validation, we proposed to require that hospitals provide this information for all reported events during Hospital IQR data submission. We invited public comment on this proposal.
Comment: Several commenters supported the proposal to add a requirement to report the HIC numbers for those patients who have them in order to enhance future validation efforts.
Response: We thank commenters for their support.
Comment: Several comments expressed concern about the burden associated with adding the HIC number. Commenters observed that the HIC number is not routinely included in databases used by infection control practitioners to monitor infection, and that vendors may not be able to accommodate this change in the timeframes established. One commenter recommended that CMS work with infection control practitioners to evaluate the feasibility of including the HIC number in the NHSN database. One commenter expressed the opinion that this requirement should not be adopted without analysis of its impact on workflow/burden to hospitals, and that, if adopted, sufficient time should be provided to allow facilities to appropriately resource and/or alter their electronic data capture in order to meet this new requirement.
Response: We proposed this requirement to greatly enhance both confidence and efficiency in achieving matches between events reported to NHSN and events identified during validation. However, we recognize that for some hospitals that do not maintain HIC number in their laboratory IT system and do not yet have interoperable systems for billing and laboratory data, this new requirement could be perceived as burdensome. To address concerns that hospitals need time to complete this set-up activity, we are finalizing that hospitals will be required to report Medicare Beneficiary ID numbers to the NHSN system for all events reported for Medicare beneficiaries, beginning with CY Q3 2014 events, which is the first quarter that we anticipate beginning to validate HAIs for the FY 2017 annual payment determination.
Comment: One commenter noted that in their State, a Social Security number is already required and is used to match NHSN cases to an all-payer all claims database.
Response: Although we are aware that some States may already require that providers report patient identifying information to NHSN, we believe that our proposal will enable us to improve the accuracy of the Hospital IQR validation process for all participating hospitals nationwide. We also note that the NHSN system already includes an optional field for the HIC number. Therefore, no NHSN infrastructure must be changed to accommodate this requirement.
After consideration of the public comments we received, we are finalizing that hospitals will be required to report Medicare Beneficiary ID numbers to the NHSN system for all events reported for Medicare beneficiaries, beginning with CY Q3 2014 events.
10. Modifications to the Validation Process for Chart-Abstracted Measures Under the Hospital IQR Program
In the FY 2014 IPPS/LTCH PPS proposed rule (78 FR 27701 through 27709), for the FY 2015 payment determination and subsequent years, we proposed some modifications to the validation requirements and methods we finalized in the FY 2013 IPPS/LTCH PPS final rule (77 FR 53539 through 53553). As described below, these proposals are intended to strengthen the Hospital IQR Program by validating new HAI measures while simultaneously decreasing burden relative to previous years.
The procedures to which we proposed to modify are organized into the following sections: (a) Number and timing of quarters included in validation; (b) selection of measures and sampling of charts to be included in validation; (c) procedures for computing the validation score; (d) selection of hospitals for validation of chart-abstracted measures; and (e) procedures for submitting records for validation.
a. Timing and Number of Quarters Included in Validation
As finalized in the FY 2011 IPPS/LTCH PPS final rule (75 FR 50219), the quarters included in the validation effort for each year's Hospital IQR Program payment determination are the 4th calendar quarter (October through December) of the year that occurs 2 years before the payment determination and the first 3 calendar quarters (January through September) of the following calendar year. For example, as illustrated below, for the FY 2015 payment determination, the quarters previously finalized for inclusion in validation are the fourth quarter of CY 2012 through the third quarter of CY 2013. The first figure below shows the timeline and steps associated with the Hospital IQR Program and the subsequent steps in annual validation as previously finalized and as proposed.
Section 1886(o)(1)(C)(ii)(I) of the Act precludes a hospital from participating in the Hospital VBP Program for a fiscal year if the hospital is subject to the payment reduction under the Hospital IQR Program for that fiscal year. As illustrated in the figure, the process previously finalized (75 FR 50219), yields the determination of a hospital's Hospital IQR Program APU in August of every year. However, to support the hospital's payment determination under the Hospital VBP Program in a timely manner, the Hospital IQR APU determination must be made by July 1 of each year. Therefore, we proposed the changes discussed below.
For the FY 2015 payment determination and subsequent years, we proposed to change this requirement to include in validation only the 4th quarter of the calendar year that occurs 2 years before the payment determination and the first 2 calendar quarters (January through June) of the following calendar year. As illustrated below, for the FY 2015 payment determination, the quarters proposed for inclusion in validation are the fourth quarter of CY 2012 through the second quarter of CY 2013; and for the FY 2016 payment determination, the quarters proposed for inclusion in validation are the fourth quarter of CY 2013 through the second quarter of CY 2014.
For the FY 2016 payment determination and subsequent years, we also proposed to change the validation requirement to include the 3rd and 4th calendar quarters of the year that occurs 2 years before the payment determination is made and the 1st and 2nd quarters of the subsequent year for validation. As discussed above, this timeframe still allows an APU determination by July 1 each year. From an operational standpoint, gathering data for the entire year is preferable to gathering data for only three quarters. Also, we believe that all four quarters of data that are used for the Hospital IQR and VBP Programs should be checked for accuracy.
However, as described further below, we will not have built the infrastructure needed to support the proposed HAI validation process by the 3rd quarter of CY 2013. Therefore, for the FY 2016 payment determination, we proposed to validate all measures except for HAIs starting with 3rd quarter of CY 2013, and to initiate validation of HAIs in the 4th quarter of CY 2013.
We invited public comment on this proposal.
Comment: A commenter opposed this proposal because the commenter believed that decreased sample size would result in more hospitals failing to satisfy the validation requirement because of the narrow margin of error.
Response: We thank the commenter for this feedback and wish to clarify the impact of a decreased sample size on a hospital's ability to satisfy the validation requirement. In the FY 2013 IPPS/LTCH PPS final rule (77 FR 53551), we fixed the confidence level at 90 percent. We use the upper bound of a two-tailed confidence interval. At any given sample size and population value for the hospital's score, the probability of failure is fixed at this confidence level. Because our confidence level is fixed, the probability of a hospital failing also does not change. However, decreasing the sample size would decrease our detection rates for failing hospitals by increasing the probability that a hospital would not fail (that is, its confidence interval will include a score of 75 percent), when in fact the population (true) score for the hospital was less than 75 percent. We believe that most of our hospitals have very high reliability. For example, for the FY 2013 payment determination, half of all hospitals had a score of 95 percent or better. Therefore, we believe that cutting sample size for a single year in order to make the necessary determinations in required timeframes will not negatively impact hospitals or the program.
Comment: Several commenters supported CMS' proposals to change the timing of the quarters of measure data it validates, as well as the number of quarters included in order to make all payment determinations by July 1 of each year.
Response: We thank these commenters for their support.
After consideration of the public comments we received, we are finalizing this policy as proposed.
b. Selection of Measures and Sampling of Charts to be Included in Validation
(1) Clinical Process of Care Measures
In the FY 2013 IPPS/LTCH PPS final rule (77 FR 53540 through 53550), for the FY 2015 payment determination and subsequent years, we finalized separate processes for selecting and scoring for validation of 21 chart-abstracted clinical process of care measures and three HAI measures. The measures finalized for validation for clinical processes of care were included in 6 measure sets: acute myocardial infarction (AMI), heart failure (HF), pneumonia (PN), surgical care improvement project (SCIP), emergency department (ED) and immunization (IMM) (77 FR 53541 through 53542).
In the FY 2014 IPPS/LTCH PPS proposed rule (78 FR 27703), for the purposes of the FY 2016 payment determination and subsequent years, we proposed to retain for validation 12 of the 21 chart-abstracted clinical process of care measures and to suspend validation for the remaining 9 chart-abstracted clinical process of care measures. With respect to seven of the nine measures, we did not propose to include them in the FY 2016 measure set.
However, we proposed to suspend validation of ED-1 and ED-2, despite their proposed inclusion in the FY 2016 measure set, because we do not operationally have the ability to validate electronically-specified versions of these quality measures. We believe that continuing to validate the measures only when they are reported via chart-abstraction could create inequity in the validation process that favors hospitals opting to report the measures electronically. Therefore, we proposed to delete the ED measure set from the validation process. We invited public comment on these proposals.
Comment: Several commenters emphasized the importance of validating the ED measure set. One commenter stated that all Hospital IQR measures should be validated for as long as they are publicly reported on Hospital Compare. One commenter disagreed with CMS' proposal that the ED measures should not be validated because CMS lacks validation methods for Hospital IQR measures that are reported as electronically-specified. This commenter argued that ED measures derived from electronic specifications are as valid as ED measures derived via chart-abstracted methods, and that dropping the ED measures from validation would “devalue” these measures which are important indicators of quality and efficiency in EDs. One commenter emphasized the importance of developing validation methodologies for all electronically-specified quality measures in the Hospital IQR Program, but agreed with the logic for removing the measure set from the chart-abstracted validation process.
Response: We recognize the importance of validating ED-1 and ED-2, and anticipate that their removal from validation will be temporary until we select an appropriate methodology for validating electronically reported measures. We discuss our efforts to develop a validation strategy in section IX.A.9.d. of the preamble of this final rule.
Comment: Several comments supported the proposal to validate the clinical process of care measures for AMI, HF, PN, SCIP and IMM in the Hospital IQR Program. Some commenters expressed their understanding that the measures proposed to be included in Hospital IQR Program validation are measures which are retained in the program.
Response: We thank these commenters for their support. In addition, in the FY 2014 IPPS/LTCH PPS proposed rule, we inadvertently mislabeled the tag for the IMM-2 measure in the Table on 78 FR 27703 as “Immunization for Pneumonia,” instead of “Immunization for Influenza.” We are clarifying that we are finalizing a requirement to validate IMM-2, which we clarify is “Immunization for Influenza.” We also clarify that we will not validate “IMM-1 Immunization for Pneumonia,” beginning with the FY 2016 Hospital IQR Program because, as explained in section IX.A.2.c.(3) of the preamble to this final rule above, we have decided to suspend the measure.
After consideration of the public comments we received, we are finalizing as proposed the removal of 9 measures from validation including the 7 that have been suspended or removed from the Hospital IQR Program and two ED measures.
Set out below are the 12 clinical process of care measures we are finalizing for validation for the FY 2016 payment determination and subsequent years. Please note that while the table only reflects the information for the FY 2016 payment determination, these measures are finalized for validation in subsequent years as well.
| Measure: |
| AMI-7a Fibrinolytic (thrombolytic) agent received within 30 minutes of hospital arrival. |
| AMI-8a Timing of receipt of primary percutaneous coronary intervention. |
| HF-2 Evaluation of left ventricular systolic function. |
| PN-6 Appropriate initial antibiotic selection. |
| SCIP INF-1 Prophylactic antibiotic received within 1 hour prior to surgical incision. |
| SCIP INF-2: Prophylactic antibiotic selection for surgical patients. |
| SCIP INF-3 Prophylactic antibiotics discontinued within 24 hours after surgery end time (48 hours for cardiac surgery). |
| SCIP INF-4: Cardiac surgery patients with controlled 6AM postoperative serum glucose. |
| SCIP INF-9: Postoperative urinary catheter removal on postoperative day 1 or 2 with day of surgery being day zero. |
| SCIP Cardiovascular-2: Surgery Patients on a Beta Blocker prior to arrival who received a Beta Blocker during the perioperative period. |
| SCIP-VTE-2: Surgery patients who received appropriate VTE prophylaxis within 24 hours pre/post surgery. |
| IMM-2 Immunization for influenza |
The process for sampling of clinical process of care cases previously finalized for the FY 2015 payment determination and subsequent years in the FY 2013 IPPS/LTCH PPS final rule (77 FR 53540 through 53541) is as follows. A sample of 15 records per quarter is to be drawn for validation of the chart-abstracted clinical process of care measures (77 FR 53540 through 53541). As finalized in the FY 2012 IPPS/LTCH PPS final rule for the FY 2014 payment determination and subsequent years, the sample is to include 3 records each sampled from among the AMI, HF, PN, and SCIP measure sets, and 3 records to validate for both the ED and IMM measure sets from among “principal diagnoses and surgical procedures not already included in the AMI, HF, PN, and SCIP populations eligible for validation sampling in these four topic areas (76 FR 51648).” As finalized in the FY 2012 IPPS/LTCH PPS final rule, the records sampled for AMI, HF, PN, and SCIP will also be validated for ED/IMM (76 FR 51648); but as finalized in the FY 2013 IPPS/LTCH PPS final rule, these cases will not be validated from among charts sampled for HAI validation (77 FR 53540 through 53541).
We proposed to modify this process for the FY 2016 payment determination and subsequent years in two ways. First, we proposed to eliminate validation of the ED measure set for the reasons described immediately above. Second, we proposed to change the requirement to validate ED and IMM for all records included in the validation sample for AMI, HF, PN, and SCIP (77 FR 53540 through 53541). When previously finalized, this policy was intended for two purposes. When a patient chart sampled for validation for AMI, HF, PN, or SCIP also had data submitted to the warehouse for ED/IMM, we have been evaluating the accuracy of the data submitted to the warehouse for ED and IMM and including our assessment of accuracy in the validation score. In addition, when a patient chart sampled for validation for AMI, HF, PN, or SCIP did not include data submitted to the warehouse, our intention in abstracting data on ED and IMM was to assess the extent to which hospitals may have misdrawn the sample such that the ED and IMM data reported to the warehouse was inaccurate. Although it was our intention to use the data for both reasons, we have found it challenging to use the data to evaluate inaccurate sampling and have not yet done so.
Therefore, for the FY 2016 payment determination and subsequent years, we proposed to validate IMM for between 3 and 15 charts per hospital per quarter. These include the 3 charts sampled for IMM from among principal diagnoses and surgical procedures not already included in the AMI, HF, PN, and SCIP populations eligible for validation sampling in these four topic areas, and as many of the 12 charts sampled for AMI, HF, PN, and SCIP populations as have IMM data submitted to the warehouse. We invited public comment on this proposal.
Comment: One commenter supported this specific proposal, and no commenters explicitly opposed it.
Response: We thank the commenter for the support.
After consideration of the public comment we received, we are finalizing this policy as proposed.
(2) HAI Measures Included in the Current Validation Process
The three HAIs specified for chart-abstracted validation in the FY 2013 IPPS/LTCH PPS final rule (77 FR 53542), for FY 2015 payment determination and subsequent years are CLABSI, CAUTI, and SSI for patients undergoing abdominal hysterectomies and colon procedures. HAIs are very rare events, which makes validating that they have been reported accurately more challenging than validating the clinical process of care measures. As previously finalized in the FY 2012 and FY 2013 IPPS/LTCH PPS final rules (76 FR 51645 through 51648 and 77 FR 53542 through 53548, respectively), for each HAI, we identify a set of patient episodes of care which have a much higher probability of containing a reportable HAI than others. Each quarter, we sample up to 12 of these candidates, request patient charts from hospitals to determine whether or not an HAI occurred, and score these charts by determining whether events were appropriately reported to NHSN.
Comment: Some commenters noted duplicated efforts between CMS and State health departments regarding HAI validation. Some of these commenters recommended that federal responsibility and funding for HAI validation should be redirected from CMS to the CDC and States. These commenters described the current and historical roles played by the CDC and State health departments in preventing HAIs, mandating State HAI reporting, providing training and education on NHSN definitions, developing protocols, reporting, and analyzing HAI data. Commenters also called attention to the CDC's CLABSI Validation Toolkit, [102] a guidance document for States. Some of these same commenters argued that redirecting funds would result in a more efficient and effective process because States are “better equipped” to perform validation than CMS. One commenter acknowledged that having a uniform method for validating all Hospital IQR Program measures “seems most efficient,” but asked CMS to consider whether HAIs warrant special attention. Commenters also emphasized the need for more detailed educational feedback and stronger communication and coordination between CMS and other stakeholders, particularly the CDC's NHSN, State health departments and infection control practitioners.
Response: We have the responsibility to ensure the validity of HAI data reported to our Hospital IQR Program. Data from this program are used to provide the public and other stakeholders with information regarding the quality of care furnished by subsection (d) hospitals throughout the nation. We are also collecting HAI data for the Hospital VBP Program. Given the importance of ensuring that the data are accurate, we believe that our validation process must be consistent nationwide.
Although we recognize the role that many States are taking to prevent HAIs, we do not intend to fund State efforts to conduct these activities. We believe that State efforts in this area are best viewed as complementary to our efforts to uniformly validate HAI data.
We understand that CDC and State health departments prefer on-site validation methodologies. However, at a national level, on-site validation is impractical because of the resources required. We disagree that on-site validation is the only way to achieve valid quality measurement systems. As discussed further below in this section, we believe that removing ambiguities from NHSN's case definitions will be far more effective for achieving objective consistent reporting of HAI by all hospitals nationally than conducting validation onsite.
We agree that hospitals need more detailed educational feedback. Because NHSN data are not integrated into CMS's QualityNet System, which hospitals use to submit clinical process of care data to the Hospital IQR Program, the feedback available to hospitals in the first year of HAI validation was less detailed than that available to hospitals for the clinical process of care measures. However, individual hospitals with questions were still able to request educational feedback. We have already addressed this limitation by storing more detailed information about abstractors' rationale for judging a particular record to have included or not included a reportable HAI event beginning with validation of data for 4th quarter 2012 discharges. We anticipate that hospitals should begin receiving this more detailed feedback shortly, and that this may address some of the commenters' concerns about hospitals' educational needs. It should also allow us to provide better aggregate information about common pitfalls in reporting HAIs.
Regarding collaboration, CMS and CDC staff have worked closely for more than two years to develop standardized approaches for validation of NHSN-based Hospital IQR data. To the extent that collaboration with other interested parties aligns with Hospital IQR Program goals while reducing burden to subsection (d) hospitals, we encourage such efforts.
Comment: Commenters believed State health department staff were better qualified to conduct validation than the CMS contractor because of “greater content expertise.” One commenter requested information on the knowledge and training of those individuals performing the HAI data validation. Another commenter emphasized the knowledge of NHSN protocols held by hospital infection control practitioners.
Response: We selected the Clinical Data Abstraction Center (CDAC) contractor because it employs highly trained professionals with extensive quality measurement experience developing and using standardized objective protocols. All CDAC staff are highly experienced medical records abstractors who undergo rigorous training and testing. The CDAC has abstracted HAI data from medical records for HHS quality measurement programs for approximately 10 years. In addition, the CDAC also abstracts the HAI quality measure data used to evaluate the HHS Partnership for Patients campaign.
The CDAC contractor is also familiar with NHSN protocols. CMS and CDAC interact at least monthly and usually weekly with CDC staff to request detailed technical assistance in all areas related to the understanding and use of the NHSN protocol such that they can develop and update standardized abstraction protocols for their staff. After protocols are developed and before the implementation of any new validation activity, CMS and CDC subject matter experts review all CDAC materials. CDC trains CDAC supervisors and CMS staff on all newly introduced and updated NHSN protocols. CDAC supervisors continuously monitor their staff and provide routine feedback when they detect abstractor errors regarding HAI protocols.
Comment: One commenter asked for a summary of findings from CMS' prior validation of CLABSI reporting including lessons learned and the accuracy of the surveillance in the ICUs for CLABSI based on data submitted to CMS.
Response: We generally release quarterly validation scores to the hospitals using a secure QualityNet report. We protect the confidentiality of validation reports to provide hospitals with feedback for their internal quality improvement efforts. We intend to provide a national summary report on our 2012 CLABSI validation within the next year.
From the first year, we identified some important lessons learned. For example:
- CDAC identified a lack of a standardized timeframe in both CDAC and NHSN protocols for the presence of symptoms indicating infection onset prior to central line placement. As a result, this was a common reason why CDAC identified no infection when a hospital reported one. By the time we reviewed these results, CDC had already updated their protocols to reduce the subjectivity in their case definitions and increase standardized timeframes. [103] CDAC is in the process of updating its validation protocols to align with these revised case definitions and will make them publicly available. CMS and CDC will continue to collaborate on additional standardization.
- When hospitals failed to report an event that CDAC thought should have been reported, CDAC identified some cases in which there was partial documentation that a particular infection was secondary to another site (and therefore not a CLABSI), but for which all NHSN criteria for this designation were not met.
Comment: One commenter agreed with CMS that identifying SSIs post-discharge is important, but urged CMS to delay adoption of post-discharge surveillance methods until the CDC is able to develop recommendations related to this specific issue. The commenter suggested that once the CDC is able to make these recommendations, the CMS Conditions of Participation (CoPs) for post-discharge surveillance could incorporate them.
Response: In the FY 2013 IPPS/LTCH PPS final rule (77 FR 53545), we raised the importance of identifying SSIs post-discharge for purposes of quality reporting. For this reason, we finalized a process to validate SSIs occurring post-discharge using claims data and medical records. Hospital CoPs are separate from the Hospital IQR Program, and we have not proposed any changes to CoPs. Rather, we described how we would validate SSIs occurring post-discharge. Moreover, in the FY 2014 IPPS/LTCH PPS proposed rule, we proposed no changes to the general SSI approach. We intend to share with our Survey and Certification Group the commenter's recommendation that post-discharge surveillance be incorporated into hospital CoPs for future consideration.
In order to identify candidate cases referenced above for CLABSI and CAUTI, we also require hospitals to submit supplemental information on certain patient episodes of care quarterly. In the FY 2012 and FY 2013 IPPS/LTCH PPS final rules (76 FR 51645 through 51648 and 77 53542 through 53548, respectively), we identified the supplemental information to be provided and the types of patient episodes of care for which this information is needed. We require hospitals to submit this supplemental information in two separate “Validation Templates” according to formats specified on QualityNet. We require separate CLABSI and CAUTI Validation Templates because different information is required to identify candidate CLABSIs and candidate CAUTIs. For a detailed discussion of these requirements, we refer readers to our Web site at: https://www.qualitynet.org/dcs/ContentServer?c=Page&pagename=QnetPublic%2FPage%2FQnetTier2&cid=1228760487021.
As stated in the FY 2012 IPPS/LTCH PPS final rule (76 FR 51646), for the FY 2012 payment determination and subsequent years, hospitals are required to report positive blood cultures for intensive care unit patients and are also required to “self-identify intensive care unit patients with a central venous catheter (CVC) that are on this blood culture list.” In the FY 2014 IPPS/LTCH PPS proposed rule (78 FR 27703 through 27704), we proposed for the FY 2016 payment determination and subsequent years to remove the requirement to note a CVC and replace it with a requirement to note a “central line.” In other words, we proposed to require that hospitals note on the CLABSI Validation Template whether patients had a “central line” present at any time during their hospital stay. We made this proposal to better align with current NHSN definitions.
The FY 2012 IPPS/LTCH PPS final rule (76 FR 51646) also specified which organisms should be reported on the CLABSI Validation Template, which are also regarded as common commensals (often referred to as skin contaminants), and where hospitals could find an updated list of these commensals. This list is updated annually. When we review the CLABSI Validation Templates for the FY 2016 payment determination and subsequent years, we proposed to apply the most up-to-date list available at the time of review. The current list may be found at: http://www.cdc.gov/nhsn/XLS/master-organism-Com-Commensals-Lists.xlsx.
We also proposed for the FY 2016 payment determination and subsequent years that hospitals must exclude from CAUTI Validation Templates urine cultures with more than 2 organisms, even if they have greater than or equal to 1,000 colony-forming units (CFUs)/ml. We made this proposal because, when we finalized the requirement to include on the CAUTI Validation Templates all urine cultures with greater than or equal to 1,000 CFUs/ml (77 FR 53542 through 53545), our intention was to identify urine cultures that conform to NHSN definitions for CAUTI. Although these definitions vary, all require that there be no more than 2 organisms identified in the result (because multiple organisms often indicate contamination). [104] We invited public comment on this proposal.
Comment: Commenters supported our proposals to align CMS' validation practice with CDC case definitions. Some commenters supported CMS' HAI validation of CLABSI, CAUTI, and SSI generally without mentioning these specific proposals.
Response: We thank these commenters for their support.
After consideration of the public comments we received, we are finalizing these policies as proposed.
We proposed for the FY 2016 payment determination and subsequent years to notify hospitals of future changes to the definition of candidate HAI events through HAI Validation guidance documents to be posted annually on QualityNet. As illustrated by several proposals immediately above identifying places where CMS and NHSN are slightly misaligned, we believe that these very detailed specifications may more appropriately be addressed through sub-regulatory guidance than through the rulemaking process. Therefore, we made this proposal to simplify future proposed rules regarding validation, to ensure that we are able to remain current with NHSN guidance and protocols, and to ensure that hospitals are made aware of these updates. We invited public comment on this proposal.
Comment: A few commenters supported this proposal. One commenter expressed the need for closer collaboration with the CDC, infection control practitioners, and the Association of Professionals in Infection Control (APIC) when engaging in this subregulatory process.
Response: We will continue to consult with CDC as we have historically in nearly every aspect of the Hospital IQR Program's HAI validation plan. We will consider other collaborations as described above in this section.
Comment: One commenter stated that if a subregulatory process is used, hospitals should receive several notices pushed directly to hospital leadership describing the guidance. CMS should not just rely on line hospital staff to interpret the importance of the validation process and ensure its accuracy. Hospital leadership should be included in any changes to validation for any measure that significantly affects a hospital's overall quality score.
Response: The Hospital IQR Program has a routine process for education and outreach to notify hospital leadership and line staff of important updates, such as when hospitals have been selected to participate in validation activities. As part of this process, QIOs are required to maintain a list of hospital contacts, including leadership contacts, which the IQR program then uses for these updates. QIOs will periodically contact hospitals to verify hospital staff contacts and to keep them current. However, it is important for hospital staff to notify their QIO whenever they have staff changes, especially those that are in leadership roles so those contacts can be kept current. As we already do for other key Hospital IQR Program requirements, we intend to use this list to inform key contacts when critical changes to NHSN validation requirements are posted on QualityNet.
After consideration of the public comments we received, we are finalizing this policy as proposed.
For the FY 2016 payment determination and subsequent years, we also proposed to exclude from HAI validation all patient episodes of care with lengths of stay of more than 120 days. Patient episodes of care involving lengths of stay over 120 days are very rare, accounting for much less than one percent of the records submitted for Q1 2012 CLABSI validation. Because medical records for patients with very long lengths of stay may be tens of thousands of pages, the burden and costs of validation to hospitals and CMS are disproportionate to the information gained from their validation. In addition, this proposed change aligns the HAI episode of care maximum length of stay with the Hospital IQR Program's clinical process of care measures episode of care maximum length of stay of 120 days as detailed in the Specifications Manual for the National Hospital Inpatient Quality Measures (http://www.qualitynet.org). We invited public comment on this proposal.
Comment: Some commenters supported this proposal. Commenters expressed appreciation that CMS proposed policies to reduce validation burden.
Response: We thank the commenters for the support.
After considering public comments we received, we are finalizing this policy as proposed.
For the FY 2016 payment determination and subsequent years, we also proposed to require each hospital to submit data without modifications to the format within the Validation Template posted on QualityNet at the beginning of each validation cycle. We believe this requirement is needed based on our experience with the CLABSI Validation Template for the FY 2013 payment determination. We have observed that many hospitals enter the required data but alter the format of the downloadable Validation Template. For example, hospitals may change the length or format of a column or change its column name. Because our contractors must process hundreds of these templates in a matter of weeks, even minor alterations to formats of the data within the Template create significant operational delays. We will continue to give hospitals feedback on their Validation Templates prior to the submission deadline. To assist hospitals in meeting this formatting requirement, we will include formatting in future feedback. We invited public comment on this proposal.
Comment: A commenter recommended that CMS test this process before implementing it.
Response: We understand that the requirements to produce Validation Templates are complex. However, these complex requirements were finalized for CLABSI and CAUTI in the FY 2012 IPPS/LTCH PPS (76 FR 51646-51648) and FY 2013 IPPS/LTCH PPS final rules (77 FR 53542 through 53544), and hospitals have already successfully submitted them for CLABSI for 5 quarters and for CAUTI for 1 quarter.
The additional requirements that we are finalizing in this final rule are technical in nature, intended to reduce the operational delays that are caused when hospitals alter the format of the Templates. We are finalizing that this requirement be effective with Validation Templates to be submitted beginning on May 1, 2014, which will give hospitals 9 months to make any system changes necessary to comply. We will also provide hospitals with education and feedback to assist them in meeting the requirement.
Comment: A commenter supported this proposal.
Response: We appreciate this commenter's support.
After considering the public comments we received, we are finalizing this policy as proposed.
(3) HAI Measures to be Added to the Validation Process
In the FY 2014 IPPS/LTCH PPS proposed rule (78 FR 27704 through 27706), for the FY 2016 payment determination and subsequent years, we proposed to validate two new HAI measures: methicillin-resistant Staphylococcus aureus (MRSA) bacteremia Laboratory-identified (LabID) events and Clostridium difficile (CDI) LabID events. MRSA and CDI were finalized for inclusion in the Hospital IQR Program in the FY 2012 IPPS/LTCH PPS final rule (76 FR 51629 through 51631) starting with the FY 2015 payment determination. We proposed to validate MRSA and CDI consistent with requirements under section 1886(b)(3)(B)(viii)(XI) of the Act which requires us to establish a process to validate measures included in the Hospital IQR Program as appropriate. We invited public comment on this proposal.
Comment: A commenter stated that QualityNet does not function reliably and questioned whether the system can handle the addition of validation-related requirements.
Response: The commenter appears to be concerned that as we continue to add validation-related requirements that use QualityNet, these performance issues will negatively impact validation. We agree that systems issues have created challenges for hospitals as well as for CMS and its other contractors. We are taking the following steps to ensure reliable access to QualityNet in the future. We are pursuing the use of “Axway”, a secure file transfer product. When operational, hospitals will be able to transfer files through either a Web-based portal or direct from a client using secure file transfer protocol (FTP). We are currently testing Axway and intend to make it available to hospitals in the Hospital IQR Program within the next 12 to 18 months.
In the interim, we have archived large amounts of older data to off-site storage facilities, which greatly improve QualityNet performance. This will allow us to continue to use QualityNet until Axway replaces the existing system.
Comment: Several commenters supported this proposal. One commenter mentioned that it was important to validate these infections.
Response: We agree that it is important to validate MRSA and CDI, which is why we are finalizing a policy to do so.
After consideration of the public comments we received, we are finalizing this policy as proposed.
For MRSA and CDI validation, we proposed a process similar to that for CLABSI and CAUTI for the FY 2016 payment determination and subsequent years. Specifically, we proposed to require sampled hospitals to provide to CMS or its contractor one list of final blood cultures positive for MRSA and a second list of all final stool specimens toxin positive for CDI. We note that although CMS only publicly reports hospital-onset infections, CMS requires hospitals to report both hospital and community-onset cases. We require hospitals to report community-onset cases because NHSN employs this information in risk-adjustment. Validation of MRSA and CDI requires confirmation that both hospital and community-onset cases are reported correctly and completely. Therefore, for the FY 2016 payment determination and subsequent years, we proposed that both types of cases be included on the MRSA and CDI Validation Templates.
For these payment determinations, we proposed to collect the following information on the MRSA and CDI Validation Templates needed to identify each candidate event: (1) Laboratory accession number, collection date, and location; (2) necessary information to identify the patient (that is, patient identifier, Medicare Beneficiary number also known as the HIC number, sex, and date of birth); (3) the patient's admission and discharge dates; and (4) necessary information to identify the hospital (NHSN Facility ID, Provider ID/CCN, Hospital Name and State, Contact Information for the Person Completing the Template).
Draft versions of the proposed MRSA and CDI Validation Templates were posted on the QualityNet Web site at: https://www.qualitynet.org/dcs/ContentServer?c=Page&pagename=QnetPublic%2FPage%2FQnetTier2&cid=1228760487021 during the public comment period. We proposed this approach for MRSA and CDI validation, because we believe that this is the best way for us to systematically identify candidates that are likely to yield a high proportion of cases that should have appropriately been reported to NHSN. Consistent with the process we have been using for the CLABSI and CAUTI Validation Templates, we proposed that quarterly submission deadlines correspond to those for population and sampling data as defined in section IX.A.9.e. of the preamble of the proposed rule. We invited public comment on this proposal.
Comment: Commenters indicated that the time of specimen collection was unnecessary even though it was included on the draft MRSA and CDI Validation Templates.
Response: We agree that the time of collection is not a necessary field. For this reason, we did not propose to require it on the MRSA and CDI Validation Templates. We indicated the required fields on these Templates with an asterisk, with others being optional. Time was included as an optional field. The optional information may assist our CDAC abstractors in locating the result in the medical record. In addition, because we have proposed that hospitals should only send the part of the record that documents the specimens collected, the optional information might be of assistance to hospital medical records personnel who may also use it to identify the right parts of the medical records to submit for validation. This may be especially useful if the staff who complete the Validation Templates and those who submit medical records for validation work in different hospital departments. Hospitals may choose whether to provide this information.
Comment: Commenters suggested that establishing whether there were any hospital discharges for a particular patient in the last 28 days should be part of validation. This information may affect how community-onset cases are classified.
Response: We agree that the information about discharges in the last 28 days would ideally be used for validation. The information contributes to how CDC risk-adjusts the MRSA and CDI statistics reported on Hospital Compare. However, in our first year of validation, we sought to validate only reporting of the candidate event and the date the event occurred, as these two pieces of information are most relevant to assessing completeness of reporting hospital-onset cases and accurately distinguishing hospital-onset from community-onset cases reported to NHSN. We believe that this validation effort is sufficiently ambitious at this time. Because we are concerned about the hospital burden related to validation, we will not yet be distinguishing among types of community-onset cases. We will consider refinements to our validation strategy in future rulemaking cycles.
Comment: One commenter stated that “CMS is now proposing to require sampled validation hospitals to provide additional lists (one list of final blood cultures positive for MRSA and a second list of all final stool specimens toxin positive for CDI).” The commenter viewed this proposal as “prohibitively burdensome,” and believes that it should be delayed until “it can be automated through EHRs.”
Response: Although we agree that the new Validation Templates for MRSA and CDI will create some burden for hospitals that are selected for validation, we do not believe that this burden is prohibitive or outweighs our goal to properly validate these measures. Moreover, we carefully considered ways to reduce the burden associated with this requirement, and proposed that no hospital would be required to complete more than 2 Validation Templates per quarter if selected for validation in given year. Accordingly, we believe that this requirement will not add a new burden to hospitals, as hospitals will either be required to submit (1) MRSA and CDI Validation Templates or (2) CLABSI and CAUTI Validation Templates, but not both sets.
Comment: Some commenters supported the use of Validation Templates. One commenter noted support because hospitals are already familiar with it.
Response: We thank the commenters for their support.
After consideration of the public comments we received, we are finalizing this policy as proposed.
We recognize that the proposal to add two new HAI Validation Templates has the potential to increase burden to individual hospitals selected for validation. As finalized in the FY 2013 IPPS/LTCH PPS final rule (77 FR 53551 through 53553), for the FY 2015 payment determination and subsequent years, the annual validation sample includes 400 randomly selected hospitals and up to 200 hospitals sampled based on targeting criteria. To add these new Templates without increasing burden for the FY 2016 payment determination and subsequent years, we proposed to randomly assign half of hospitals to submit templates for CLABSI and CAUTI validation and half of hospitals to submit templates for MRSA and CDI validation. We believe this proposal will limit hospital burden to that finalized in the FY 2013 IPPS/LTCH PPS final rule, because no hospital would be required to submit more than two templates per quarter.
In the FY 2013 IPPS/LTCH PPS final rule (77 FR 53547 through 53548), we established a sample size of 12 records for HAI validation per quarter for the FY 2015 payment determination and subsequent years. Each quarterly sample is to be drawn from a list of patient episodes of care for all three types of candidate HAIs (CLABSI, CAUTI, and SSI) combined in one non-stratified sampling frame. For the FY 2016 payment determination and subsequent years, we proposed to target separate sampling strata for each type of HAI. We made this proposal because we believe that having separate sampling targets for each infection will better accommodate the very different incidence of different types of HAI events, particularly for hospitals which are to be validated for SSI, MRSA, and CDI. This proposal also supports the objective to evaluate how well each HAI is reported to NHSN when considered across all hospitals combined.
| APU determination | HAI | Number of hospitals | Number of quarters | Number of records/quarter/ hospital | Number of records per hospital |
|---|---|---|---|---|---|
| * Within each hospital, quarterly targets are 3, 3, and 1 respectively for CLABSI, CAUTI, and SSI and 3, 3, and 1 respectively for MRSA, CDI, and SSI. We will randomly allocate 2 additional records per hospital each quarter to meet the fractional case targets on average. | |||||
| FY 2015 (previously finalized) | CLABSI, CAUTI, SSI combined | Up to 600 | 4 | 12 | 48 |
| In the preamble to the proposed rule | |||||
| FY 2015 | CLABSI, CAUTI, SSI combined | Up to 600 | 3 | 12 | 36 |
| FY 2016 | CLABSI | Up to 300 | 3 | 5 | 15 |
| FY 2016 | CAUTI | Up to 300 | 3 | 5 | 15 |
| FY 2016 | MRSA | Up to 300 | 3 | 5 | 15 |
| FY 2016 | CDI | Up to 300 | 3 | 5 | 15 |
| FY 2016 | SSI | Up to 600 | 3 | 2 | 6 |
| FY 2017 and subsequent years | CLABSI | Up to 300 | 4 | * 3.75 | 15 |
| FY 2017 and subsequent years | CAUTI | Up to 300 | 4 | * 3.75 | 15 |
| FY 2017 and subsequent years | MRSA | Up to 300 | 4 | * 3.75 | 15 |
| FY 2017 and subsequent years | CDI | Up to 300 | 4 | * 3.75 | 15 |
| FY 2017 and subsequent years | SSI | Up to 600 | 4 | * 1.5 | 6 |
The sample sizes for each HAI proposed for the FY 2016 payment determination are shown in the table above. For hospitals submitting CLABSI and CAUTI templates, the infection-specific sample sizes per hospital per quarter proposed are: 2 for SSI, 5 for CLABSI, and 5 for CAUTI (12 per quarter). For hospitals submitting MRSA and CDI Validation Templates, the infection-specific sample sizes per hospital per quarter proposed are: 2 for SSI, 5 for MRSA, and 5 for CDI. For each hospital, in each quarter, these cases would be drawn randomly from each individual Validation Template (or from claims for SSI) from among episodes of care containing at least one candidate event. Across all hospitals and quarters combined, we are assuming that approximately 10 percent of patients with candidate CLABSI events had a CLABSI. This will yield approximately 450 hospital discharges with actual events. Assuming a design effect resulting from clustered data collection of no more than 2, this will allow us to estimate accurate reporting (+/− 5 percentage points with 90 percent confidence) of CLABSI if it occurs approximately 75 percent of the time. We developed sample size requirements based on a 75 percent score to align with CMS requirements for a 75 percent score to pass validation as specified in 42 CFR § 412.140(d)(2), and using a two- tailed 90 percent confidence interval as finalized in the FY 2013 IPPS/LTCH PPS final rule (77 FR 53551). Based on these statistics, we believe this is the smallest sample size needed to meet the objective of accurately evaluating how well hospitals report CLABSI data to NHSN.
Because we have less data on which to base sample size calculations for CAUTI, MRSA bacteremia, and CDI than we have for CLABSI, we proposed similar sample size targets for these 4 HAIs. By proposing similar sample size requirements across these 4 HAIs for the FY 2016 payment determination and subsequent years, we assure that hospitals will be required to submit the same number of records regardless of which set of Validation Templates they are assigned to submit.
For SSI, the proposed sample size assumes that most hospitals will not have more than 2 candidate SSIs per quarter. By sampling fewer SSI cases over twice as many hospitals, we ensure that the sample size for SSI validation is also adequate. Because SSI cases may be sampled without the added submission requirement of a Validation Template, we foresee no difficulty in requiring all hospitals sampled for validation to provide information for SSI. We invited public comment on these proposals.
Comment: A number of commenters supported the proposal to reduce the number of records submitted per hospital, and minimizing the number of Validation Templates required for each hospital. Commenters expressed appreciation for the efforts to reduce burden and encouraged us to consider additional ways in which we may reduce burden associated with HAI validation, and to work more directly with stakeholders including infection preventionists.
Response: We thank the commenters for their support, and acknowledge the need to continue to look for ways to reduce burden associated with HAI validation. We have discussed the issue of outreach above in section IX.A.10.b.(2) of the preamble to this final rule.
Comment: One commenter believed that the proposal to split the validation sample would only save time/cost for CMS, but not for hospitals. The commenter opposed it because it would result in having two different standards for validation.
Response: The proposal is intended to decrease burden for hospitals. Instead of having to complete four Validation Templates, each hospital only has to complete two. We agree that it is possible that some hospitals might find it slightly easier to complete requirements for one set of Validation Template requirements or the other. We have no reason to believe that the process will be inequitable for different hospitals. However, we will monitor this concern, and consider changes in the future if we determine that one group of hospitals appears more likely to pass validation than the other.
After considering the comments received, we are finalizing the policies describing the number of hospitals and number of cases to be sampled for each HAI as proposed.
Within each hospital for each type of HAI event each quarter, a random sample would be drawn from among patient episodes of care with at least one candidate event identified from the Validation Template (or claims data for SSI) to meet the targeted sample size. If there are not enough cases in any stratum, we proposed for the FY 2016 payment determination and subsequent years to reallocate those cases to any stratum or strata that have more than enough cases to meet sample size targets. We proposed to reallocate cases because different hospitals may have different relative frequencies of each HAI. The proposed reallocation process will give CMS the flexibility to meet sample size quotas in the event that one hospital has more than enough candidate MRSA events but not enough candidate CDI events and the next hospital has more than enough candidate CDI events and not enough candidate MRSA events. We invited public comment on this proposal.
We received no specific comments on this proposal, and are finalizing this policy as proposed.
For the FY 2017 payment determination and subsequent years, we proposed to reduce the quarterly HAI sample from 12 to 9. Please see the chart above. This is to reflect the fact that we proposed to collect data for 4 quarters instead of for 3 quarters starting with the FY 2017 payment determination (section IX.A.10.a. of the preamble of the proposed rule). When we distribute over 4 quarters, the 15 annual patient charts each for CLABSI, CAUTI, MRSA, and CDI and 6 annual patient charts each for SSI, the process produces fractions. We proposed to request 9 patient charts by establishing quarterly targets of 3, 3, and 1 respectively for CLABSI, CAUTI, and SSI and 3, 3, and 1 respectively for MRSA, CDI, and SSI, and then randomly allocating the remaining 2 records to meet the hospital target of 9 HAIs for the quarter. We invited public comment on these proposals.
Comment: A few commenters expressed views related to the small proposed sample size. One commenter believed that the proposed HAI validation strategy is “statistically underpowered to detect substandard performance.” We interpret this statement to mean that the sample size is to too small to meet the goal of detecting inaccurate reporting of HAIs within each individual hospital.
Response: Although we agree with the commenter that our sample sizes are small our goal is to validate the accuracy of Hospital IQR data as a whole, with as little burden to hospitals as is possible to achieve that goal. Therefore, when considering sample size for individual hospitals, we did not evaluate the minimum sample size needed to assess accuracy for HAIs alone. Because charts sampled for the clinical process of care measures are scored for multiple measures, the 96 charts per hospital per year proposed yields 180 separate measures. We believe this is adequate to estimate the overall reliability of the data with satisfactory accuracy and confidence. The combined approach also accomplishes the task of validation with much lower burden and cost than would be needed to meet the requirement suggested by the commenter.
Our proposal acknowledged that for each individual hospital, although we can detect overall reliability, it may be difficult to detect errors for reportable HAIs alone. Therefore, we also are finalizing below in section IX.A.10.d. of the preamble to this final rule our proposal to target any hospital which failed to report to NHSN at least half of actual HAI events detected as determined during the previous year's validation effort.
To improve our program, we intend to analyze all the data across all hospitals in the validation sample to examine reporting accuracy and factors that influence it for individual HAIs. This will allow us to provide feedback to all Hospital IQR participating hospitals (whether or not included in the validation sample) about how to improve their reporting process and provide an overall measure of accuracy for the program.
Comment: One commenter argued that CMS' validation design differs markedly from international standards. The commenter provided an article detailing a recommended approach to ensuring adequate power based on acceptance sampling methods developed for quality control in manufacturing. [105]
Response: We found this article to be interesting and will consider the extent to which it might be useful as we further develop our validation policies.
After consideration of the public comments we received, we are finalizing these policies as proposed.
c. Procedures for Scoring Records for Validation
We did not propose any changes to the procedures for scoring records for validation for the clinical process of care measures for the FY 2016 payment determination or subsequent years. This process was described in the FY 2011 IPPS/LTCH PPS final rule (75 FR 50226). In the FY 2014 IPPS/LTCH PPS proposed rule (78 FR 27706 through 27707), however, we proposed changes to the procedures for scoring records for validation of HAI measures.
(1) Scoring of CLABSI, CAUTI, and SSI
In the FY 2013 IPPS/LTCH PPS final rule (77 FR 53550 through 53551), for the FY 2015 payment determination and subsequent years, we finalized a scoring approach considering all three HAI measures simultaneously. In general, if hospitals have matched data on all three HAIs, they would receive a score of 1, and if they have a mismatch on one or more HAIs, they would receive a score of 0. For example, if a patient had a CLABSI during an episode of care and no CAUTI or SSI and the CLABSI was properly reported, the hospital received a score of 1 for that patient. We developed this approach primarily out of an interest in maximizing the information available to us about CLABSI, CAUTI, and SSI using the same set of records reviewed for all three infections at once, and because we recognized that an individual infection event could not simultaneously be attributed to more than one cause, that is, a particular infection was either a primary CLABSI, CAUTI, or SSI, but never all three at once. In addition, the records were sampled from a single unduplicated frame. With a single sampling frame for all three events, it was not always possible to determine in advance which event to evaluate for a particular case. Moreover, it is apparent that an event that was sampled because of a MRSA bacteremia result does not need to be evaluated for CDI and vice-versa. For both of these reasons, we proposed for the FY 2016 payment determination and subsequent years, to evaluate and score each case only for the infection for which it was sampled as having candidate events. For example, episodes of care for patients on the CLABSI Validation Template will be evaluated and scored only for CLABSI. We invited public comment on this proposal.
Comment: Two commenters supported these changes. One of these commenters supported the proposed individualized process for validating each of the HAIs—CLABSI (ICUs), CAUTI (ICUs), and SSI (colon and hysterectomy). For SSIs, the commenter agreed that utilizing two charts will be necessary to provide a thorough review of the NHSN criteria. The other commenter described the change in scoring as “appropriate.”
Response: We appreciate the commenters' support.
After considering the public comments we received, we are finalizing the policy to score each HAI individually as proposed.
We also proposed for the FY 2016 payment determination and subsequent years to score charts selected for SSI, CLABSI, and CAUTI in the manner that scoring was finalized for CLABSI in the FY 2012 IPPS/LTCH PPS final rule (76 FR 51647). If the CDAC contractor reviews a medical record and determines that patient had no CLABSI events and the hospital reported no CLABSI to NHSN, the case will receive a score of 1. If the CDAC contractor determines that the patient had a CLABSI and this was reported to NHSN, the case will also receive a score of 1. If a mismatch occurs and the CDAC contractor determined that the patient had no CLABSI when one is reported, or that the patient had a CLABSI that was not reported, the hospital will receive a score of 0. If the CMS quarterly validation process identified that 3 out of 4 total sampled records accurately reported the presence of CLABSI or did not report a CLABSI when none was present, then the hospitals' quarterly CLABSI validation score would be3/4or 75 percent. If two or more infections are detected for a patient episode of care, the case may receive separate scores for each event. For example, if one patient episode of care included two CLABSIs, both of which were reported correctly, and reported correctly for 2 of the remaining three records evaluated for CLABSI, then the validation score for CLABSI that quarter would be4/5or 80 percent.
Comment: One commenter supported this specific proposal.
Response: We thank the commenter for this support.
After consideration of the public comments we received, we are finalizing these policies as proposed.
(2) Scoring of MRSA and CDI
MRSA bacteremia and CDI, have very different reporting requirements from other HAIs included in the Hospital IQR Program. The major difference between the case definitions for MRSA and CDI relative to other HAIs being reported as part of IQR is that MRSA and CDI are laboratory-identified events that do not require extensive clinical judgment on the part of the reporting hospital. If the laboratory events and date of hospital admission are reported accurately, CDC makes the determination as to whether the event was community or hospital onset.
Our proposal entails evaluating each patient episode of care on a minimum of two components, with a score of 1 for each matched component and 0 for each mismatched component. We proposed to evaluate each laboratory identified event on the following components: (1) Whether it was reported to NHSN when it should have been reported; and (2) whether the correct dates of admission and event were reported such that NHSN correctly classified the event as hospital or community onset. Each of these components contributes to an assessment of the accuracy and completeness of the public reporting result that appears on Hospital Compare, and each is important.
Because each candidate event will be scored on two different components, scores will be reported in multiples of two. For example, if a sampled patient episode of care has only one candidate event, and 1 out of 2 elements matched for that event, the total score for that candidate event would be1/2. If a particular patient episode of care contains multiple candidate events, that patient episode will be evaluated on each of these events, increasing the number of possible elements to be validated by 2, one for each candidate event evaluated. The maximum number of events that we would validate for any episode of care would be 4. Therefore, the maximum possible score for any one patient episode of care would be 8 (2 × 4). NHSN has an automated process to remove events that should not have been reported to NHSN if they occurred within 14 days of a previous laboratory-identified event for the same infection. Because NHSN excludes these events automatically, we proposed for the FY 2016 payment determination and subsequent years that hospitals will not be credited or penalized for reporting or failing to report an automatically excluded event. We invited public comment on these proposals.
Comment: Two commenters suggested that CMS evaluate how well this proposal functioned at the end of the first year.
Response: We are very committed to evaluating our process and will take this suggestion into consideration.
Comment: Some commenters encouraged CMS to give each reportable event only 1 point. The commenters argued that both the date and the event must be reported correctly for hospitals to have an accurate hospital-onset infection rate, and that both are relatively easy to report.
Response: We agree with the comment that giving each reportable event only 1 point is better than 2 points per case. This is because both pieces of information—the laboratory event and the date for which it occurred—contribute to the accuracy of reporting for a single case. By adopting a final score of 1 point per candidate event, scoring will more closely align with scoring for other HAI and clinical process of care measures to be validated. As described in section IX.A.10.c.(1) of this preamble, other HAIs receive a maximum of 1 point for each candidate event within the same episode of care. Similarly, as described in the FY 2011 IPPS/LTCH PPS final rule (75 FR 50226), for each clinical process of care measure evaluated, the maximum score attainable for a measure is 1 point. We believe that for MRSA and CDI, giving each reportable event 1 point, instead of 2 as proposed, is more consistent with our policies.
Based on the public comments we received, we will provide hospitals with only one point per candidate MRSA or CDI event. To receive a score of 1/1 for each event for up to 4 events, hospitals must correctly report both the laboratory event and the event date. Hospitals will receive a score of 0/1 for each event if they either fail to report the event or report the incorrect event date—in other words, if there is a mismatch in data received. In the case when a hospital has no reportable events, the hospital would receive a score of 1/1 if none were reported to NHSN (a match), and a score of 0/1 if any were reported to NHSN (a mismatch). We will provide hospitals with feedback on correct reporting of both the infection and the event date via QualityNet.
(3) Combined Scores
In the FY 2013 IPPS/LTCH PPS final rule (77 FR 53549), we finalized the process for combining the clinical process of care and HAI validation scores for the FY 2015 payment determination and subsequent years scores by weighting them proportionate to the number of measures validated in each group. We did not propose any changes to this process. Using the finalized procedure for combining the clinical process of care and HAI validation scores, the relative weights for the FY 2016 payment determination would be 12/17 for the clinical process of care measures included in validation and 5/17 for the HAI measures included in validation.
As previously finalized in the FY 2013 IPPS/LTCH PPS payment rule for the FY 2015 payment determination and subsequent years (77 FR 53551), we use the upper bound of a two-tailed 90 percent confidence interval around the combined score to determine if a hospital passes or fails validation. If this number is greater than or equal to 75 percent, then the hospital passes validation. We did not propose changes to this methodology. We intend to post the specific formulas used to compute the confidence interval on the QualityNet Web site at least one year prior to computation as we have done in the past (https://www.qualitynet.org/dcs/ContentServer?c=Page&pagename=QnetPublic%2FPage%2FQnetTier2&cid=1138115987129). These formulas will continue to account appropriately for the manner in which patient charts are sampled and scored for the measures corresponding to the payment determination period.
Comment: A commenter supported the process for combining scores.
Response: We appreciate the commenter's support.
Comment: One commenter stated that denominators were too small and would lead to unreliable results.
Response: We had difficulty understanding the commenter's concern because the size of the denominator in the context of this policy does not affect the reliability of results. We therefore wish to clarify that this policy does not refer to a sample size, but rather reflects: (1) The number of individual clinical process of care and HAI quality reporting measures to be validated, and (2) the relative weights for those measures. As we indicate above, each hospital will submit up to 96 charts and will have the opportunity to be evaluated up to 180 separate times.
We did not propose any policy changes and we are not finalizing any changes to existing policy.
d. Procedures to Select Hospitals for Validation
In the FY 2013 IPPS/LTCH PPS final rule, for the FY 2015 payment determination and subsequent years, we finalized an annual hospital validation sample size of 400 randomly selected hospitals and a supplemental sample of up to 200 hospitals to be selected for more targeted validation (77 FR 53552 through 53553). The supplemental sample of up to 200 hospitals will include all hospitals that fail validation in the previous year and a random sample of hospitals meeting certain targeting criteria for the FY 2015 payment determination and subsequent years. The targeting criteria were finalized in the FY 2013 IPPS/LTCH PPS final rule (77 FR 53552 through 53553) for the FY 2016 payment determination and subsequent years. A summary of these criteria is set out below.
- Any hospital with abnormal or conflicting data patterns.
- Any hospital with rapidly changing data patterns.
- Any hospital that submits data to NHSN after the Hospital IQR Program data submission deadline has passed.
- Any hospital that joined the Hospital IQR Program within the previous 3 years, and which has not been previously validated.
- Any hospital that has not been randomly selected for validation in any of the previous 3 years.
- Any hospital that passed validation in the previous year, but had a two-tailed confidence interval that included 75 percent.
In the FY 2014 IPPS/LTCH PPS proposed rule (78 FR 27707), for the FY 2016 payment determination and subsequent years, we proposed one additional criterion for targeting as follows: any hospital which failed to report to NHSN at least half of actual HAI events detected as determined during the previous year's validation effort. We made this proposal to increase incentives for properly reporting HAI events that should have been reported to NHSN. To ensure a fair process for validation scoring, we credit hospitals for following NHSN protocols correctly. In this regard, hospitals receive credit for not reporting to NHSN candidate HAI events that we determine were not actually events and reporting candidate HAI events to NHSN that we determine were actually HAI events. We anticipate that hospitals may receive credit for not reporting many such candidate events. We believe it is appropriate to pass hospitals for following NHSN protocols correctly by not reporting non-events. However, we recognize that the Hospital VBP Program might give hospitals an unintended incentive to underreport HAI events because the lower their HAI measure rates, the more points they will earn.
Therefore, we proposed to use evidence of severe under-reporting (less than 50 percent) as a targeting criterion for supplemental validation. In making this proposal, we recognize that the sample size of events, which should have been reported to NHSN, may not be reliable as it is a subset of the sample of 36 candidate HAI events per hospital per year. For the 30 candidate CLABSI and CAUTI records selected each year, we expect less than half of candidate events to be actual events. We would not wish to fail hospitals based upon such a small sub-sample. Instead, in such situations we would like to gather more data, which is why we proposed to add a targeting criterion for hospitals that appear to frequently under-report HAIs. We invited public comment on this proposal.
Comment: A few commenters supported this proposal. Commenters discussed incentives for accurate reporting. One commenter indicated that in previous years they had recommended that CMS include targeting criteria for hospital selection.
Response: CMS appreciates the support for our approach to target hospitals potentially inaccurate reporting and also incentivize accurate reporting.
After consideration of the public comments we received, we are finalizing this policy as proposed.
e. Procedures for Submitting Records for Validation
(1) Separate Submission Requirements for MRSA Bacteremia and CDI Validation
Under section 412.140(d)(1) of our regulations, a hospital must submit to CMS a sample of patient charts that the hospital used for purposes of data submission under the program. Historically, we have requested the entire medical record where the content of the medical record is defined under 42 CFR 482.24. In the FY 2014 IPPS/LTCH PPS proposed rule (78 FR 27707 through 27708), for validation of the MRSA bacteremia and CDI measures for the FY 2016 payment determination and subsequent years, we proposed to require hospitals to submit only those two specific parts of the medical record that are needed to validate these measures. For each sampled chart, the two required parts are: (1) All final positive blood cultures for MRSA and toxin-positive specimens for CDI with specimen collection dates; and (2) all documentation of the dates on which a patient was admitted to, transferred to, or discharged from each location within the hospital during his/her stay. We proposed to request only this information because it is all that CMS needs to complete validation for these measures. Therefore, this proposal will save CMS effort in completing validation, resulting in more timely feedback to hospitals. In addition, we believe that this more limited request may alleviate burden for many hospitals. Finally, this proposal should reduce the cost to CMS in both photocopying and shipping compared with submission of the entire patient chart. We invited public comment on this proposal.
Comment: One commenter supported this proposal.
Response: We thank the commenter for this support.
After consideration of the public comments we received, we are finalizing this policy as proposed.
(2) Secure Transmission of Electronic Versions of Medical Information
The current regulation at 42 CFR 412.140(d)(1) states:
“(d) Validation of Hospital IQR Program data. CMS may validate one or more measures selected under section 1886(b)(3)(B)(viii) of the Act by reviewing patient charts submitted by selected participating hospitals. (1) Upon written request by CMS or its contractor, a hospital must submit to CMS a sample of patient charts that the hospital used for purposes of data submission under the program. The specific sample that a hospital must submit will be identified in the written request. A hospital must submit the patient charts to CMS or its contractor within 30 days of the date identified on the written request.”
In the FY 2014 IPPS/LTCH PPS proposed rule (78 FR 27708 through 27709), we proposed that this requirement may be met by employing either of the following options each quarter: (1) A hospital may submit paper medical records, which is the form in which CMS has historically requested them; or (2) a hospital may securely transmit electronic versions of medical information for the FY 2016 payment determination and subsequent years. The intent of this proposal is to offer an additional mode through which hospitals may meet the requirement to submit patient charts. The content of the patient charts to be submitted are defined at 42 CFR 482.24(c). We did not propose to change the content of these charts (except for MRSA bacteremia and CDI as discussed in section IX.A.10.e.(1) of the preamble of this final rule). We proposed this change because hospitals are rapidly adopting EHR systems as their primary source of information about patient care. Our understanding is that as of December 2012, more than 4,000 hospitals, including 77 percent of hospitals participating in the Hospital IQR Program, had enrolled in the Medicare EHR Incentive Program.
Based on the instructions that we have historically provided with written requests for records under 42 CFR 412.140(d)(1), hospitals have only been able to submit this information in paper format. For records stored electronically, hospitals expend additional resources printing records onto paper that may be more efficiently transmitted electronically. We pay hospitals at a rate of 12 cents per page, plus shipping (70 FR 23667). In addition, the length of paper charts has been increasing, and the paper used to submit these records has an environmental impact. As shown in the table below, the average patient chart based on the most recent available statistics from our CDAC contractor, is much larger than when CMS began validating quality reporting data.
| IPPS/LTCH PPS final or proposed rule FY | Approximate average page length | Citation |
|---|---|---|
| Final 2006 | 140 | 70 FR 47702 |
| Final 2009 | 150 | 73 FR 49075 |
| Final 2012 | 275 | 76 FR 51828 |
| Proposed 2014 | 410 |
In examining the most recent statistics available, which are based on records submitted for 2Q 2012, most of the increase in chart length is attributable to including HAI charts in the sample; HAI charts are on average 1,500 pages long, but other inpatient chart lengths are also larger, now averaging about 300 pages. Therefore, the proposal to allow hospitals to choose between submitting paper copy patient charts and securely transmitting electronic versions of medical information has the potential for significant reduction in administrative burden, cost, and environmental impact. Furthermore, this potential for savings grows as the measures selected for Hospital IQR Program chart validation increasingly focus on HAIs.
We proposed for the FY 2016 payment determination and subsequent years that those hospitals wishing to securely transmit electronic versions of medical information to download or copy the digital image of the patient chart onto CD, DVD, or flash drive and ship it following instructions similar to those for shipping paper copies of patient charts. The precise guidelines to achieve this process will be posted on QualityNet and included with CMS' written requests for patient charts. This proposal requires hospitals to use this single method for secure transmission of electronic versions of medical information, because it will enable us to efficiently process records and provide timely feedback to hospitals. We recognize that there may be many other methodologies under which transmission of electronic versions of medical information might occur. After evaluating several different potential approaches, we proposed the only one available at this time that has been successfully tested. We will continue to develop and test additional technologies for secure transmission of electronic versions of medical information. We will notify hospitals through QualityNet as we acquire any new capabilities for accepting electronic versions of medical information, and to update available methodologies through future payment rules. We invited public comment on this proposal.
Comment: Many commenters supported this proposal. Most of these commenters encouraged CMS to consider a wider range of options for transmitting electronic version of medical records for validation. One commenter inquired why the methodology made available to hospitals by Recovery Audit Contractors (RACs) was not being made available to hospitals for Hospital IQR Program validation.
Response: We thank commenters for their support and for the opportunity to further share our future plans regarding options for submission of medical records for validation. CMS evaluated the technology used by the RAC program, known as ESMD. We found that ESMD was not a scalable option for our quality reporting programs. Among ESMD's limitations are its resource-intensive hardware and software requirements as well as the frequency of user complaints and problems. In addition, ESMD requires the transmitter to either have its own software or to submit records through an intermediary. The use of an intermediary adds to the cost and complexity of this approach. Instead, we are pursuing the use of “Axway” a secure file transfer product. When operational, hospitals will be able to transfer files through either a Web-based portal or direct from a client using secure file transfer protocol (FTP). We are testing Axway now and intend to make it available to hospitals in the Hospital IQR Program within the next 12 to 18 months.
Comment: One commenter expressed concern that medical records could not be securely transmitted on CDs, DVDs, or flash drives without encryption. The commenter further expressed the opinion that encryption may prove “more cumbersome” than sending paper charts.
Response: We thank the commenter for the opportunity to clarify that the shipping instructions “similar” to those for shipping paper copies of patient charts would in fact include information on how to encrypt the CDs and how to share this information with CDAC. As noted above, we are exploring other options for secure transmission and intend to make them available soon. In the meantime, any hospital that finds it less cumbersome to send paper charts has the option of doing so.
After consideration of the public comments we received, we are finalizing this policy as proposed.
For the FY 2016 payment determination and subsequent years, we also proposed to incentivize the electronic option by offering reimbursement for the labor and supply costs of submitting electronic versions of medical information. Because hospitals can choose between the current paper and the proposed electronic option of submitting validation records, we believe that this proposal does not increase cost or burden to hospitals. We invited public comment on this proposal.
Comment: Some commenters supported this proposal. Two commenters noted that CMS did not indicate what the reimbursement for medical records submitted electronically would be.
Response: As stated in section XII.B.6. of the preamble of the FY 2014 IPPS/LTCH PPS proposed rule (78 FR 27749), the amount we proposed to reimburse hospitals for the FY 2016 payment determination is $3.00 per patient chart.
After consideration of the public comments we received, we are finalizing this policy as proposed.
11. Data Accuracy and Completeness Acknowledgement Requirements for the FY 2015 Payment Determination and Subsequent Years
In the FY 2013 IPPS/LTCH PPS final rule (77 FR 53554), we finalized our proposal to require hospitals to continue to electronically acknowledge their data accuracy and completeness once annually. For the FY 2015 payment determination and subsequent years, the submission deadline finalized for the Data Accuracy and Completeness Acknowledgement (DACA) was aligned with the final submission quarter for each fiscal year. For example, for the FY 2015 payment determination, the submission deadline for the Data Accuracy and Completeness Acknowledgement is currently May 15, 2014, with respect to the reporting period of January 1, 2013, through December 31, 2013.
In the FY 2014 IPPS/LTCH PPS proposed rule (78 FR 27709), in order to provide the timely feedback to hospitals regarding the APU status, we proposed that for the FY 2015 payment determination and subsequent years, we would collect the DACA in alignment with the 3rd quarter submission deadline. This would mean, for example, the electronic acknowledgement of data accuracy and completeness for the FY 2015 payment determination would be submitted between January 1, 2014 and February 15, 2014, with respect to the reporting period of January 1, 2013 through December 31, 2013. We invited public comment on this proposal.
Comment: Several commenters supported the proposed DACA requirements.
Response: We thank the commenters for their support
Comment: A few commenters expressed concern that aligning the DACA submission with the 3rd quarter submissions would not allow hospitals the opportunity to ensure that data submitted in the 4th quarter was accurate at the time of the DACA submission.
Response: We understand the commenters' concern, and agree that signing the DACA prior to the 4th quarter would not allow hospitals the opportunity to ensure complete and accurate data for the 4th quarter prior to the DACA submission.
After consideration of the public comments we received, we not finalizing our proposal.
12. Public Display Requirements for the FY 2016 Payment Determination and Subsequent Years
In the FY 2012 IPPS/LTCH PPS final rule (76 FR 51650), we continued, for the FY 2014 payment determination and subsequent years, the approach we adopted in the FY 2011 IPPS/LTCH PPS final rule (75 FR 50230) for public display requirements for the FY 2012 payment determination and subsequent years. In the FY 2013 IPPS/LTCH PPS final rule (77 FR 53554), we did not make any changes to these requirements. For the FY 2016 payment determination and subsequent years, we did not propose to make any changes to these requirements. As previously stated in section IX.A.9.d. of the preamble of this final rule, we proposed that we would not publicly report data collected from hospitals choosing to report the four measure sets (VTE, STK, ED and PC) electronically in CY 2014.
We did not receive any public comments on this proposal and we are therefore, finalizing the proposal. We note that, as discussed above, hospital may voluntarily submit electronic data regarding one or more of the measure sets, if they choose.
The Hospital IQR Program quality measures are typically reported on the Hospital Compare Web site at: http://www.medicare.gov/hospitalcompare, but on occasion are reported on other CMS Web sites such as http://www.cms.gov and/or https://data.medicare.gov. We require that hospitals sign a Notice of Participation form when they first register to participate in the Hospital IQR Program. Once a hospital has submitted a form, the hospital is considered to be an active Hospital IQR Program participant until such time as the hospital submits a withdrawal form to CMS (72 FR 47360). Hospitals signing this form agree that they will allow us to publicly report the quality measures included in the Hospital IQR Program.
We will continue to display quality information for public viewing as required by section 1886(b)(3)(B)(viii)(VII) of the Act. Before we display this information, hospitals will be permitted to review their information as recorded in the QIO Clinical Warehouse.
13. Reconsideration and Appeal Procedures for the FY 2015 Payment Determination and Subsequent Years
The Hospital IQR Program reconsideration and appeals requirements were adopted in the FY 2012 IPPS/LTCH PPS final rule (76 FR 51650 through 51651) and are found at section 412.140(e) of our regulations. The form for reconsiderations and a detailed description of the reconsideration process are available on the QualityNet Web site at: http://www.qualitynet.org/> Hospitals-Inpatient > Hospital Inpatient Quality Reporting Program > APU Reconsiderations. In the FY 2014 IPPS/LTCH PPS proposed rule (78 FR 27709), we proposed to interpret this requirement to allow for this form to be completed online via the secure portion of the QualityNet Web site.
Comment: Several commenters supported the proposed interpretation.
Response: We thank the commenters for their support.
After consideration of the public comments we received, we are finalizing as proposed, the policy to allow the reconsideration form to be completed via an online module in QualityNet.
In the past, it has been CMS' process to allow hospitals with a quarterly Overall Validation Result of <75 percent to request a review by or appeal mismatched data element(s) to their State Quality Improvement Organization (QIO). This process requires that the CDAC contractor copy and ship all records for any hospital that receives an overall validation score of <75 percent to the State QIO. In the past two years, none of the mismatched appeals would have resulted in a change to the final APU determination. As described at § 412.140(e) of our regulations, hospitals can also request a reconsideration of a decision by CMS that the hospital has not met the requirements of the Hospital IQR Program for a particular fiscal year. This includes reconsideration on the basis that CMS concluded it did not meet the validation requirements. We believe this process is redundant and, for the FY 2015 payment determination and subsequent years, we proposed to remove the quarterly appeal of mismatched data elements to the State QIO. We invited public comment on this proposal.
Comment: Several commenters supported the proposed administrative changes.
Response: We thank the commenters for their support.
After consideration of the public comments we received, we are removing the quarterly appeal of mismatched data elements to the State QIO from the Hospital IQR Program. We encourage hospitals that believe there may be an error in validation to use our reconsideration and appeals procedures described at § 412.140(e) of our regulations.
14. Hospital IQR Program Extraordinary Circumstances Extensions or Waivers
The Hospital IQR Program extraordinary circumstances disaster extensions or waiver requirements were adopted in the FY 2012 IPPS/LTCH PPS final rule (76 FR 51651 through 51652) and can be found at 42 CFR § 412.140(c)(2). In the FY 2012 IPPS/LTCH PPS final rule, we explained the requirements for disaster extensions or waivers. The forms and a detailed description of the extension or waiver process are available on the QualityNet Web site at: http://www.qualitynet.org/> Hospitals-Inpatient>Hospital Inpatient Quality Reporting Program.
In the FY 2014 IPPS/LTCH PPS proposed rule (78 FR 27709 through 27710), we proposed to allow for not only a CEO, but also other hospital-designated personnel contact to complete and sign waiver/extraordinary circumstances forms. This proposed change would allow hospitals to designate an appropriate, non-CEO, contact at its discretion. This individual would be responsible for the submission, and would be the one signing the form.
In addition, we proposed to allow for this form to be completed online via the secure portion of the QualityNet Web site.
We also proposed that we may grant a waiver or extension to hospitals if we determine that a systemic problem with one of our data collection systems directly affected the ability of the hospitals to submit data. Because we do not anticipate that these types of systemic errors will happen often, we do not anticipate granting a waiver or extension on this basis frequently.
If we make the determination to grant a waiver or extension, we proposed to communicate this decision through routine communication channels to hospitals, vendors and QIOs by means of, for example, memoranda, emails, and notices on the QualityNet Web site. We invited public comment on these proposals.
Comment: Several commenters supported the proposed changes regarding extraordinary circumstances extensions or waivers.
Response: We thank the commenters for their support.
After consideration of the public comments we received, we are finalizing our proposals to allow hospitals to designate an appropriate, non-CEO contact as the contact for the Extraordinary Circumstances Extensions or Waivers requests. In addition, we are finalizing our proposal to allow the Extraordinary Circumstances Extensions or Waivers s form to be completed online. Lastly, we are finalizing the proposal to allow CMS to grant a waiver or extension to hospitals if we determine that a systemic problem with one of our data collection systems directly affected the ability of the hospitals to submit data.
B. PPS-Exempt Cancer Hospital Quality Reporting (PCHQR) Program
1. Statutory Authority
Section 3005 of the Affordable Care Act added new subsections (a)(1)(W) and (k) to section 1866 of the Act. Section 1866(k) of the Act establishes a quality reporting program for a hospital described in section 1886(d)(1)(B)(v) of the Act (referred to as a “PPS-Exempt Cancer Hospital” or “PCH”). Section 1866(k)(1) of the Act states that, for FY 2014 and each subsequent fiscal year, a PCH shall submit data to the Secretary in accordance with section 1866(k)(2) of the Act with respect to such a fiscal year. Section 1866(k)(2) of the Act provides that, for FY 2014 and each subsequent fiscal year, each hospital described in section 1886(d)(1)(B)(v) of the Act shall submit data to the Secretary on quality measures specified under section 1866(k)(3) of the Act in a form and manner, and at a time, specified by the Secretary.
Section 1866(k)(3)(A) of the Act requires that any measure specified by the Secretary must have been endorsed by the entity with a contract under section 1890(a) of the Act, unless an exception under section 1866(k)(3)(B) of the Act applies. The NQF currently holds this contract. The NQF is a voluntary, consensus-based, standard-setting organization with a diverse representation of consumer, purchaser, provider, academic, clinical, and other health care stakeholder organizations. The NQF was established to standardize healthcare quality measurement and reporting through its consensus development processes. We have generally adopted NQF-endorsed measures in our reporting programs. However, section 1866(k)(3)(B) of the Act provides an exception. Specifically, it provides that, in the case of a specified area or medical topic determined appropriate by the Secretary for which a feasible and practical measure has not been endorsed by the entity with a contract under section 1890(a) of the Act, the Secretary may specify a measure that is not so endorsed as long as due consideration is given to measures that have been endorsed or adopted by a consensus organization identified by the Secretary.
Under section 1866(k)(3)(C) of the Act, the Secretary was required to publish the measure selection for PCHs no later than October 1, 2012, with respect to FY 2014.
Section 1866(k)(4) of the Act requires the Secretary to establish procedures for making public the data submitted by PCHs under the PCHQR Program. Such procedures must ensure that a PCH has the opportunity to review the data that is to be made public with respect to the PCH prior to such data being made public. The Secretary must report quality measures of process, structure, outcome, patients' perspective on care, efficiency, and costs of care that relate to services furnished by PCHs on the CMS Web site.
2. Covered Entities
Section 1886(d)(1)(B)(v) of the Act excludes particular cancer hospitals from payment under the IPPS. This final rule covers only those PPS-excluded cancer hospitals meeting eligibility criteria specified in 42 CFR 412.23(f).
3. Previously Finalized Quality Measures for PCHs for the FY 2014 Program and Subsequent Years
In the FY 2013 IPPS/LTCH PPS final rule (77 FR 53556 through 53561), we finalized five quality measures for the FY 2014 program and subsequent years. Specifically, we finalized two of the CDC's NHSN-based HAI quality measures (outcome measures): (1) Central Line-Associated Bloodstream Infection (CLABSI); and (2) Catheter-Associated Urinary Tract Infection (CAUTI). We also finalized three cancer-specific process of care measures: (1) Adjuvant chemotherapy is considered or administered within 4 months (120 days) of surgery to patients under the age of 80 with AJCC III (lymph node positive) colon cancer; (2) Combination chemotherapy is considered or administered within 4 months (120 days) of diagnosis for women under 70 with AJCC T1c, or Stage II or III hormone receptor negative breast cancer; and (3) Adjuvant hormonal therapy.
The finalized measures are shown below.
| Safety and Healthcare-Associated Infections—HAI | |
| • (NQF #0139) NHSN Central Line-Associated Bloodstream Infection (CLABSI) Outcome Measure | |
| • (NQF #0138) NHSN Catheter-Associated Urinary Tract Infections (CAUTI) Outcome Measure | |
| Clinical Process/Cancer-Specific Treatments | |
| • (NQF #0223) Adjuvant Chemotherapy is considered or administered within 4 months (120 days) of surgery to patients under the age of 80 with AJCC III (lymph node positive) colon cancer | |
| • (NQF #0559) Combination Chemotherapy is considered or administered within 4 months (120 days) of diagnosis for women under 70 with AJCC T1c, or Stage II or III hormone receptor negative breast cancer | |
| • (NQF #0220) Adjuvant Hormonal Therapy |
We did not propose to remove or replace any of the previously finalized measures from the PCHQR Program for the FY 2015 program and subsequent years. We discussed the collection requirements and submission timeframes for these measures in the preamble of the FY 2013 IPPS/LTCH PPS final rule (77 FR 53563 through 53564).
4. Considerations in the Selection of the Quality Measures
Section 1866(k)(3)(A) of the Act requires that any measure specified by the Secretary must have been endorsed by the entity with a contract under section 1890(a) of the Act, unless section 1866(k)(3)(B) of the Act applies. Section 1866(k)(3)(B) of the Act states that, in the case of a specified area or medical topic determined appropriate by the Secretary for which a feasible and practical measure has not been endorsed by the entity with a contract under section 1890(a) of the Act, the Secretary may specify a measure that is not so endorsed as long as due consideration is given to measures that have been endorsed or adopted by a consensus organization identified by the Secretary.
In the FY 2013 IPPS/LTCH PPS final rule (77 FR 53556), we indicated that we have taken a number of principles into consideration when developing measures for the PCHQR Program, and that many of these principles are modeled on those we use for measure development under the Hospital IQR Program:
- Public reporting should rely on a mix of standards, outcomes, process of care measures, and patient experience of care measures, including measures of care transitions and changes in patient functional status.
- The measure set should evolve so that it includes a focused core set of measures appropriate to cancer hospitals that reflects the level of care and the most important areas of service furnished by those hospitals. The measures should address gaps in the quality of cancer care.
- We also consider input solicited from the public through rulemaking and public listening sessions.
- We consider suggestions and input from a PCH Technical Expert Panel (TEP), convened by a CMS measure development contractor, which rated potential PCH quality measures for importance, scientific soundness, usability, and feasibility. The TEP membership includes health-care providers specializing in the treatment of cancer, cancer researchers, consumer and patient advocates, disparities experts, and representatives from payer organizations.
Like the Hospital IQR Program, the PCHQR Program also supports the National Quality Strategy, national priorities, HHS Strategic Plans and Initiatives, and CMS Strategic Plans, as well as takes into consideration the recommendations of the MAP and strives for burden reduction whenever possible.
We invited public comment on these considerations.
Comment: Some commenters expressed concern regarding the measures CMS had proposed to adopt or continue using for the PCHQR Program. These commenters believed that: (1) The previously finalized and newly proposed measures are fragmented in nature and most of them only apply to a small sub-set of the cancer population; (2) the majority of the already finalized and newly proposed measures for the PCHQR Program are process-of-care oriented and cannot accurately reflect the quality of care at cancer centers; (3) some finalized and newly proposed measures have not been used in the cancer population possibly limiting their relevance and value for cancer hospitals; and (4) there are critical gaps in the NQF-endorsed cancer measures (for example, functional status, symptom management, survival and other outcomes). For example, these commenters suggested that some of the proposed NQF-endorsed measures assess a specific therapeutic regimen or treatment approach, which would lock clinicians into one standard of care that may represent suboptimal treatment.
To address these concerns, the commenters supported measure selections to include care coordination, functional status, patient safety, patient and caregiver experience with care, population/community health, efficiency, and other outcomes of care that are important to patients. These commenters urged CMS to work with cancer centers to establish an effective quality reporting program that will lead to meaningful improvements in cancer centers.
Response: We appreciate the commenters' opinions and recommendations. We believe that both the previously finalized and newly proposed measures address many critical domains identified in the Department of Health and Human Services' National Quality Strategy, including patient safety, efficiency, patient and family engagement, and clinical outcomes, in addition to clinical processes of care. They also assess many diagnosis, staging, and treatment modalities provided at cancer centers, including chemotherapy, adjuvant treatments, surgical care, and radiation therapy. However, we also recognize that measurement gaps remain, and we intend to propose in the future to adopt additional measures that assess the safety and efficiency of diagnosis and treatment of cancer, measures that take into account novel diagnostic and treatment modalities, measures that assess symptoms and functional status, measures of appropriate disease management and care coordination, measures that assess treatment of less common cancers such as leukemia and lymphoma, and measures of admissions for complications of cancer and treatment for cancer. In addition, we will continually reassess and update measures used in the PCHQR Program to ensure that they are consistent with optimal standards of care.
5. New Quality Measures
In the FY 2014 IPPS/LTCH PPS proposed rule (78 FR 27711), for the FY 2015 PCHQR Program and subsequent years, we proposed to adopt one new measure: NHSN HAI measure of Surgical Site Infection (SSI).
In the FY 2014 IPPS/LTCH PPS proposed rule (78 FR 27711 through 27714), for the FY 2016 PCHQR Program and subsequent years, we proposed to adopt 13 new measures: six measures of Surgical Care Improvement Project (SCIP); six Clinical Process/Oncology Care Measures; and one Patient Experience of Care measure (the HCAHPS Survey).
All 14 of these proposed measures are NQF-endorsed. Some address inpatient care, and others address outpatient care. All of the measures address treatment provided to cancer patients in PCH inpatient or outpatient settings. In addition, the adoption of measures that apply to more than one healthcare setting is one of our objectives in promoting quality care consistently across all health care settings. The 14 proposed measures are a subset of 19 measures that we included on a publicly available document entitled “List of Measures Under Consideration for December 1, 2012” in compliance with section 1890A(a)(2) of the Act. These measures were reviewed by the MAP, a multi-stakeholder body convened by the NQF for the purpose of providing input to HHS on the selection of measures, and the MAP's conclusions can be found in the “MAP Pre-Rulemaking Report: 2013 Recommendations on Measures Under Consideration by HHS.” The MAP Report can be accessed at: http://www.qualityforum.org/Publications/2013/02/MAP_Pre-Rulemaking_Report__February_2013.aspx.
We considered the input and recommendations provided by the MAP in selecting the 14 measures that we proposed for the PCHQR Program. Of these 14 measures, the MAP supported the inclusion of 13 of them in the PCHQR Program, and supported the direction of the proposed HCAHPS measure, noting that additional experience with the survey is needed so that the survey questions are applicable for use in the PCH settings. Although we recognize that some stakeholders would prefer that we adopt an experience of care measure developed specifically for the cancer hospital setting, we believe that other stakeholders think HCAHPS is appropriate for the cancer hospital setting, and are aware that approximately 27 percent of PCHs are currently administering HCAHPS to their patients. For these reasons, we believe that until a new patient experience measure is developed specifically for the PCH setting, the HCAHPS will provide valuable information to the public on the patient experience of care in PCHs.
In addition, the proposed measures address the National Quality Strategy domains of Patient Safety, Clinical Effectiveness, and Patient Experience/Engagement, and further our goal of aligning measures across programs because they are already in use in either the Hospital IQR Program or the PQRS Program. We describe these proposed measures in detail below.
Comment: Several commenters expressed concern that only two outcome measures are proposed for FY 2015 and FY 2016 and encouraged CMS to focus on developing meaningful outcome measures for the program, for example measures of risk-adjusted, stage-specific survival curves for various types of cancer. Commenters also supported the inclusion of cancer-specific measures and encouraged CMS to validate formally any non-cancer specific measures proposed for inclusion in the PCHQR Program to ensure their applicability and usability for this program.
Response: We recognize the importance of outcome measures in assessing quality of care and we are continually working with contractors, clinical experts, and stakeholders to develop appropriate measures. We agree that a robust measure set is one that evolves to include a focused core set of measures appropriate to cancer hospitals that reflects the level of care and the most important areas of service furnished by these hospitals. The PCHQR Program measures also should address gaps in the quality of cancer care.
Comment: One commenter recommended using existing registries and data sources to expand and enhance quality reporting to minimize burden on hospitals and physicians.
Response: We appreciate the commenter's suggestion. We strive to minimize burden whenever possible and consider multiple data sources and potential reporting mechanisms when considering a measure for adoption. The current measure set includes measures that are collected through registries.
a. New Measure for the FY 2015 Program and Subsequent Years—NHSN Healthcare-Associated Infection (HAI) Measure: Surgical Site Infection (SSI) (NQF #0753)
This NQF-endorsed American College of Surgeons/CDC harmonized measure of surgical site infection (SSI) meets the measure selection requirements at section 1866(k)(3)(A) of the Act, and expands upon the existing Healthcare-Associated Infections (HAIs) measurement topic that is part of the PCHQR Program. The measure addresses HAIs, a topic area widely acknowledged by HHS, the Institute of Medicine, the National Priorities Partnership and others as a high priority requiring measurement and improvement. HAIs are among the leading causes of death in the United States. The CDC estimates that as many as 2 million infections are acquired each year in hospitals and that HAIs result in approximately 90,000 deaths per year. It is estimated that more Americans die each year from HAIs than from auto accidents and homicides combined. HAIs not only put the patient at risk, but also increase the days of hospitalization required for patients and add considerable health care costs.
HAIs are largely preventable through interventions such as better hygiene and advanced scientifically tested techniques for surgical patients. Therefore, many health care consumers and organizations have called for public disclosure of HAIs, arguing that public reporting of HAI rates provides the information health care consumers need to choose the safest hospitals, and give hospitals an incentive to improve infection control efforts (75 FR 50201).
Detailed specifications for this proposed measure can be found at: http://www.cdc.gov/nhsn/TOC_manual.html. This measure assesses the incidence of surgical site infections following colon surgeries and abdominal hysterectomies performed by PCHs and include laparoscopic procedures. The measure rate is calculated as the Standardized Infection Ratio for each procedure type. Adult patients 18 years and older with deep incisional and organ space infections during the 30-day postoperative period are included in the measure. This measure is risk-adjusted and reported at the facility level. It is not specific to a hospital ward or setting, rather it is applicable to all postoperative patients who fall into the numerator criteria. The denominator is calculated using logistic regression models, determining the expected number of SSI's by facility and procedure type. We invited public comment on this proposed SSI measure.
Comment: A few commenters believed this measure is important to positive surgical outcomes and supported its addition to the PCHQR Program. However, one commenter cautioned that CMS should exercise discretion in publicly reporting the measure in the future. The commenter pointed out that many cancer patients are immune-compromised and therefore, are more susceptible to infections than other patients. The commenter recommended engaging cancer centers to determine whether stratifying SSI reporting by type of cancer may allow for a more meaningful comparison of rates.
Response: We appreciate the commenters' support. We understand the concern about differences in patient case mix between PCHs and acute care hospitals. Like the CLABSI and CAUTI measures previously adopted for this program, we believe that the SSI measure in its current form is suitably risk-adjusted for the PCH setting. However, we will explore with the CDC, the measure developer, whether further stratification of the measure is feasible for future implementation.
Comment: A few commenters suggested modifications to the SSI measure, including adding exceptions for patients who are discharged to hospice care and for cancer hospital patients on palliative care services, formally testing the measure in the cancer population, and granting a reporting exception to any PCH performing fewer than 20 eligible colon and abdominal hysterectomy procedures in the preceding calendar year.
Response: We appreciate the commenters' suggestions. As we noted, we believe it is important to align our measures with the Hospital IQR Program as much as possible to both streamline the programs and reduce burden. At this time, the Hospital IQR Program uses a case minimum of 10 for the SSI measure (77 FR 53539). As we explained in the FY 2013 IPPS/LTCH PPS final rule, we chose a case minimum of 10 cases because we believe 10 cases will be sufficiently meaningful for the results to be publicly displayed while ensuring the availability of the most data possible for public reporting (77 FR 53539). For detailed information regarding the number of cases, we refer readers to the CDC specification manual: http://www.cdc.gov/hai/ssi/ssi.html.
Comment: One commenter advocated that CMS and NHSN work with the National Surgical Quality Improvement Program (NSQIP) to develop a single set of specifications for the SSI measure. The commenter noted the different data collection timeframes as an example to demonstrate the need for alignment: NSQIP requires data collection for 90 days while NHSN requires data collection for 30 days post-op for all procedures related to breast cancer and for craniotomies. The commenter noted that without such definition alignments, both data sets will be less actionable and require extra communication to enable practice and process changes.
Response: We agree that it is an important goal to achieve alignment of measure specifications if a measure is being collected by more than one entity. We also understand that both the CDC, which operates the NHSN, and the American College of Surgeons (ACoS), which operates the NSQIP, approve the NQF-endorsed SSI measure that we have proposed to adopt for the PCHQR Program. Under the harmonized NQF endorsed measure specifications, there is a 30-day follow up period for SSIs after colon surgeries and abdominal hysterectomies, and our understanding is that the NSQIP does not require 90-day follow up for SSIs. Breast procedures and craniotomies are not included in the harmonized NQF-endorsed SSI measure that we have proposed to adopt for the PCHQR Program.
Comment: One commenter did not support the SSI measure CMS proposed for FY 2015, because the commenter believed the proposed measure only applies to highly specialized cancer centers.
Response: We disagree. As we stated in the proposed rule, this measure is not specific to a hospital ward or setting, rather it is applicable to all postoperative patients who fall into the numerator criteria. The measure assesses the incidence of surgical site infections following colon surgeries and abdominal hysterectomies performed by PCHs and the measure includes laparoscopic procedures.
After consideration of the public comments we received, we are finalizing the SSI measure as proposed for FY 2015 program and subsequent years.
b. New Measures for the FY 2016 Program and Subsequent Years
(1) Surgical Care Improvement Project (SCIP) Measures
Measures from the Surgical Care Improvement Project (SCIP) have been collected as part of the Hospital IQR Program for most subsection (d) hospitals paid under the IPPS and reported on the Hospital Compare Web site for a number of years, because they assess effective care for patients undergoing surgery. In general, these measures are also applicable to patients undergoing surgery in PCHs. In the FY 2014 IPPS/LTCH PPS proposed rule (78 FR 27711 through 27712), we proposed to adopt six NQF-endorsed, SCIP measures for the PCHQR Program beginning with the FY 2016 program year. All six of the measures are NQF-endorsed and therefore meet the selection requirements at section 1866(k)(3)(A) of the Act.
In addition, all six of these measures were supported by the MAP for inclusion in the PCHQR Program in its February 2013 pre-rulemaking report to HHS located at: http://www.qualityforum.org/Setting_Priorities/Partnership/MAP_Final_Reports.aspx. Four of these measures: SCIP—Inf 1 (NQF #0527); SCIP—Inf 2 (NQF #0528), SCIP—Inf 3 (NQF #0529); and SCIP—Inf 9 (NQF #0453) assess hospital performance with regard to infection prevention practices. SCIP-Card-2 (NQF #0284) assesses the continuity of beta blocker treatment during the perioperative period for cardiac patients undergoing non-cardiac surgery. SCIP—VTE 2 (NQF #0218) assesses hospital performance regarding effective preventive care for venous thromboembolism.
These measures are described below, and detailed measure specifications for all six of these measures can be found in the Hospital IQR Program Specifications Manual located at: https://www.qualitynet.org/dcs/ContentServer?c=Page&pagename=QnetPublic%2FPage%2FQnetTier4&cid=1228772433589.
(A) SCIP—Inf 1: Prophylactic Antibiotics received Within 1 Hour Prior to Surgical Incision (NQF #0527)
This measure assesses the percent of surgical patients with prophylactic antibiotics initiated within one hour prior to surgical incision. Patients who received vancomycin or a fluoroquinolone for prophylactic antibiotics should have the antibiotics initiated within 2 hours prior to surgical incision. This measure addresses the National Quality Strategy domain of Clinical Effectiveness, and complements the proposed SSI measure.
(B) SCIP—Inf 2: Prophylactic Antibiotic Selection for Surgical Patients (NQF #0528)
This measure assesses the percent of surgical patients who received prophylactic antibiotics consistent with current guidelines (specific to each type of surgical procedure). A goal of prophylaxis with antibiotics is to use an agent that is safe, cost-effective, and has a spectrum of action that covers most of the probable intraoperative contaminants for the operation. This measure addresses the National Quality Strategy domain of Clinical Effectiveness, and complements the SSI measure.
(C) SCIP—Inf 3: Prophylactic Antibiotic Discontinuation within 24 Hours after Surgery End Time (NQF #0529)
This measure assesses the percentage of surgical patients whose prophylactic antibiotics were discontinued within 24 hours after Anesthesia End Time. A goal of prophylaxis with antibiotics is to provide benefit to the patient with as little risk as possible. It is important to maintain therapeutic serum and tissue levels throughout the operation. Intraoperative re-dosing may be needed for long operations. However, administration of antibiotics for more than 24 hours after the incision is closed offers no additional benefit to the surgical patient. Prolonged administration increases the risk of Clostridium difficile infection and the development of antimicrobial resistant pathogens. This measure addresses the National Quality Strategy domain of Clinical Effectiveness and complements the proposed SSI measure.
(D) SCIP—Inf 9: Urinary Catheter Removed on Post-Operative Day 1 or Post-Operative Day 2 with Day Surgery being Day Zero (NQF #0453)
This measure assesses the percent of surgical patients with a urinary catheter removed on Postoperative Day 1 or Postoperative Day 2 with day of surgery being day zero. The risk of catheter-associated urinary tract infection (UTI) increases with longer duration of indwelling urinary catheterization. This measure complements the CAUTI measure currently adopted for the PCHQR Program.
(E) SCIP—Card 2: Surgery Patients on Beta Blocker Therapy Prior to Admission Who Received a Beta Blocker during the Perioperative Period (NQF #0284)
This measure assesses the percent of surgery patients on beta blocker therapy prior to arrival who received a beta blocker during the perioperative period. The perioperative period for this measure is defined as the day prior to surgery through postoperative day two, with day of surgery being day zero. The American College of Cardiology/American Heart Association promotes continuation of beta blocker therapy in the perioperative period as a class I indication, and accumulating evidence suggests that titration to maintain tight heart rate control should be the goal. We believe that this measure targets an important process of care, beta blocker administration for non-cardiac surgery patients. Concerns regarding the discontinuation of beta blocker therapy in the perioperative period have existed for several decades. This measure addresses the National Quality Strategy domain of Clinical Effectiveness.
(F) SCIP—VTE 2: Surgical Patients who Received Appropriate VTE Prophylaxis within 24 Hours prior to Surgery to 24 Hours after Surgery End Time (NQF #0218)
This measure assesses the percent of surgery patients who received appropriate VTE prophylaxis within 24 hours prior to Anesthesia Start Time to 24 hours after Anesthesia End Time. The frequency of VTE, which includes deep vein thrombosis and pulmonary embolism, is related to the type and duration of surgery, patient risk factors, duration and extent of postoperative immobilization, and use or nonuse of prophylaxis. Despite the evidence that VTE is one of the most common postoperative complications and prophylaxis is the most effective strategy to reduce morbidity and mortality, it is often underused. We believe that this measure will encourage practices to reduce the risk of post-operative complications associated with VTE. This measure addresses the National Quality Strategy domain of Clinical Effectiveness.
We invited public comment on these six proposed SCIP measures.
Comment: Several commenters supported the six proposed SCIP measures because they are NQF-endorsed and supported by MAP. A few commenters opposed the inclusion of the six SCIP measures, because the commenters believed that these proposed measures do not apply to PCHs.
Response: We appreciate the commenters' support of the proposed measures. We believe that the six SCIP measures apply to patient care furnished at both acute care hospitals and PCHs. The measures are currently used in the Hospital IQR Program, in which they measure care furnished to both cancer patients and non-cancer patients. Further, the inclusion of these measures promotes alignment between the PCHQR and Hospital IQR Program as many hospitals participating in the Hospital IQR Program are already reporting these same measures, allowing assessments of the quality of surgical care to be made in the same manner across these two settings.
Comment: One commenter did not support the six proposed SCIP measures because the measures address procedures that are performed rarely at PCHs. The commenter was concerned that these chart-abstracted measures would discourage PCHs from focusing on aspects of care that are more relevant in the PCH setting. Some commenters encouraged CMS to use current registries and claims data for reporting to minimize the reporting burden on PCHs.
Response: While we recognize that resources are required to report the measures, the same measures are already reported by the 3,900 hospitals that participate in the Hospital IQR Program. Furthermore, these measures are also part of existing facility level accreditation programs that many of the PCHs are already participating in, and for that reason, we do not believe that the reporting of these data under the PCHQR Program will pose a significant additional burden for those PCHs. However, we appreciate the suggestion to use registries and alternative data sources. We are working with the American College of Surgeons National Cancer Data Base (NCDB) on the feasibility of allowing three of the five measures finalized in the FY 2013 IPPS/LTCH PPS final rule to be reported via registry in the future, and we also intend to explore the feasibility of adopting future measures that can be reported via registry.
Comment: Some commenters recommended that CMS delay adoption of the six SCIP measures until: (1) Formal sampling may be performed at PCHs to determine whether associated gaps in care exist; (2) we can ensure that the measures are validated formally for use in the cancer population; and, (3) a formal sampling methodology is developed for reporting these measures, such as the existing methodology currently used by the Hospital IQR Program, to decrease the burden placed on PCHs.
Response: We appreciate the commenters' views. The SCIP measures are important quality of care measures and are currently applied to cancer patients across the country through inclusion in the Hospital IQR Program. Furthermore, we believe that the measures are appropriate for all surgical patients (including those that have cancer) that meet the measure inclusion criteria and do not fall into any of the exclusion categories. In response to comments regarding the reporting burden, we will allow PCHs to report these measures using the same sampling methodology that we currently allow for the reporting of the same measures by subsection (d) hospitals under the Hospital IQR Program (outlined in the specification manual https://www.qualitynet.org/dcs/ContentServer?c=Page&pagename=QnetPublic%2FPage%2FQnetTier2&cid=1138115987129).
After consideration of the public comments we received, we are finalizing the adoption of the SCIP measures for the FY 2016 PCHQR Program and subsequent years, and will allow PCHs to report the measures using the same sampling methodology that we currently allow for the reporting of these measures under the Hospital IQR Program.
(2) Clinical Process/Oncology Care Measures
In the FY 2014 IPPS/LTCH PPS proposed rule (78 FR 27712 through 27714), we proposed to add to the PCHQR Program, for the FY 2016 program and subsequent years, six measures specific to assessing the quality of medical treatment and staging of cancer by PPS-exempt cancer hospitals. All six measures are specified and endorsed for outpatient settings to evaluate the performance of a cancer treatment team. In addition, all six of these measures are NQF-endorsed and address the quality of outpatient cancer treatment provided at PCHs; therefore, they meet the measure selection requirement at section 1866(k)(3)(A) of the Act.
All six measures also are recommended as priorities for program alignment in the PCHQR Program by the MAP in a June 2012 Final Report entitled “Performance Measurement Coordination Strategy for PPS-Exempt Cancer Hospitals.” In addition, the MAP in its 2013 Pre-Rulemaking Final Report issued in February 2013 supports all six of the measures for inclusion in the PCHQR Program. Both of these MAP reports can be located at: http://www.qualityforum.org/Setting_Priorities/Partnership/MAP_Final_Reports.aspx.
Detailed specifications of these six proposed measures can be found in Appendix A of the December 2012 NQF Cancer endorsement maintenance project report at: http://www.qualityforum.org/Publications/2012/12/Cancer_Endorsement_Maintenance_2011.aspx. We invited public comment on these six proposed clinical process/oncology care measures.
Comment: A few commenters supported the inclusion of cancer-specific measures. A few commenters opposed the six clinical process/oncology care measures because the commenters believed that these proposed measures do not apply to PCHs. Some commenters encouraged using current registries and data sources for reporting to minimize the burden on PCHs.
Response: We appreciate the commenters' support. We believe that the proposed clinical process/oncology care measures are relevant to assessing the quality of care provided to cancer patients regardless of setting. We appreciate the suggestion to use registries and alternative data sources wherever possible and we are investigating the NCDB or other cancer registry data for future measures.
Comment: One commenter requested that CMS delay the implementation of these 6 clinical process/oncology care measures until a formal sampling methodology is developed for reporting these measures to CMS and more meaningful measures are considered for inclusion.
Response: We have directed our efforts to align our quality reporting programs across settings, to the extent possible. For this reason, we will allow PCHs to use the same sampling methodology as specified in the specification manual for the Physicians Quality Reporting System (PQRS) program found on the CMS Web site at http://www.cms.gov/Medicare/Quality-Initiatives-Patient-Assessment-Instruments/PQRS/MeasuresCodes.html.
(A) Clinical Process/Oncology Care—Multiple Myeloma-Treatment with Bisphosphonates (NQF #0380)
This measure assesses the percentage of patients aged 18 years and older with a diagnosis of multiple myeloma, not in remission, for which intravenous bisphosphonate therapy was prescribed or received within the 12-month reporting period. This measure is intended to promote the appropriate use of bisphosphonates to reduce morbidity and mortality in multiple-myeloma patients. Bisphosphonates specifically decrease osteoclast activity, thereby reducing bone pain and fractures in patients with multiple myeloma. [106] This measure addresses the National Quality Strategy domain of Clinical Effectiveness.
Comment: Some commenters did not support this measure, stating that the drug has multiple side effects and would not be appropriate for bone stem deterioration in all patients. The commenters stated that there may be other drugs that work just as well, if not better. Another commenter stated that the data collection for this measure would be very labor intensive and burdensome. The commenter also questioned the value of this measure given that performance is already high in terms of providing guideline-based care. Another commenter stated that this measure was intended for a physician setting and that CMS has generalized it to apply to the PCH setting without appropriate testing. The commenter urged CMS to delay implementation of this measure.
Response: After review of the public comments we received, we are persuaded by the commenters that this measure is not appropriate to be included in the PCHQR Program at this time. We acknowledge that collecting this measure would be resource intensive, and we are sensitive to the fact that new drugs are available for the same therapeutic purpose. Based upon the concerns expressed by the commenters, we have decided not to finalize this measure for the PCHQR Program.
(B) Clinical Process/Oncology Care—Radiation Dose Limits to Normal Tissues (NQF #0382)
This measure assesses the percentage of patients, regardless of age, with a diagnosis of pancreatic or lung cancer receiving 3D conformal radiation therapy with documentation in the medical record that radiation dose limits to normal tissues were established prior to the initiation of a course of 3D conformal radiation for a minimum of two tissues. This measure is intended to assess the appropriate use of 3D conformal radiation therapy in the treatment of pancreatic and lung cancers. Treatment is important due to the high rate of morbidity and mortality associated with these cancers. For example, among cancers in US adults, lung cancers are the leading cause of deaths in both men and women. It is estimated from 2006—2008 rates that 6.94 percent of U.S. men and women born today will be diagnosed with cancer of the lung and bronchus at some time during their lifetime. [107]
Regarding pancreatic cancer, there has been an increased frequency of this cancer since 1998 of 0.8 percent in men and 1.0 percent in women. [108] Based on rates from 2006 through 2008, 1.45 percent of men and women born today will be diagnosed with cancer of the pancreas at some time during their lifetime. A major goal of radiation therapy is the delivery of the desired dose distribution of radiation to target tissue while limiting the radiation dose to the surrounding normal tissues to an acceptable level.
Patients treated with 3D conformal radiation therapy are often subjected to radiation dose levels that exceed normal tissue tolerance. Precise specification of maximum doses to be received by normal tissues during radiation treatment planning is considered a best practice to avoid delivering unnecessary radiation to patients.
Comment: A few commenters recommended that patients with metastatic disease receiving palliative care and patients with short life expectancy care be excluded from this measure.
Response: Although palliative care often differs from curative cancer treatment, we are not aware of scientific evidence that patients receiving 3D conformal radiation therapy for palliative care or with short life expectancies should be exempt from dose limits. We believe that the measure is appropriate as it is currently specified.
After consideration of the public comments we received, we are finalizing the Clinical Process/Oncology Care—Radiation Dose Limits to Normal Tissues measure for the FY 2016 program and subsequent years.
(C) Clinical Process/Oncology Care—Plan of Care for Pain (NQF #0383)
This measure assesses the percentage of visits for patients, regardless of age, with a diagnosis of cancer currently receiving chemotherapy or radiation therapy, who report having pain, with a documented plan of care to address that pain. Pain is one of the most common symptoms associated with cancer, occurring in approximately one quarter of patients with newly diagnosed malignancies, one third of patients undergoing treatment, and three quarters of patients with advanced disease. Proper pain management is critical to achieving pain control. “Unrelieved pain denies [patients] comfort and greatly affects their activities, motivation, interactions with family and friends, and overall quality of life.” [109] This measure aims to improve attention to pain management and requires a plan of care for cancer patients who report having pain to allow for individualized treatment based on clinical circumstances and patient wishes. [110] This measure addresses the National Quality Strategy domain of Patient and Family Engagement. This measure is intended to be paired with NQF #0384 below.
Comment: A few commenters appreciated CMS' intent in pairing the Oncology: Plan of Care for Pain, and the Oncology: Pain Intensity Quantified measures but did not support the measures. Commenters believed that pain must be systematically assessed and treated in a manner appropriate for the level of pain. Some commenters stated that the definition for a plan of care in the “Oncology: Plan of Care for Pain” measure is ambiguous, with no indication of which interventions are appropriate for what type of patients or what level of pain requires intervention. Commenters pointed out that pain fluctuates over time. A commenter stated that from a patient's perspective, alleviation of pain is more important than the documentation of its evaluation. The commenter recommended the development of an outcome measure such as measuring changes in clinically significant cancer-related pain scores.
Response: While we agree with many of the commenters' observations, we believe the broad definition of a plan of care in the Clinical process/Oncology care—Plan of care for pain measure would actually promote individualized treatment for each patient. We recognize that the alleviation of pain is the goal for both PCHs and patients and developing an appropriate plan of care is a necessary step to reach that goal. At the same time, we agree that an outcome measure of pain would be useful and are exploring how to develop this type of measure for the future.
Comment: One commenter recommended that CMS modify the measure so that the numerator includes a minimum threshold for pain (for example, 3 or more on a 10-point scale) and the denominator includes visits outside of chemotherapy and radiation therapy appointments (for example, palliative care). The commenter also recommended that the term “visit” be well-defined.
Response: Consistent with National Comprehensive Cancer Network guidelines, we believe that all patients who report pain, even those with mild pain, should have a plan of care. This is reflected in the denominator of the measure, which includes all patients who report having pain. We agree that patients other than those receiving radiation therapy or chemotherapy may benefit from plan of care for treatment of pain, but the NQF-endorsed version of the measure does not include other categories of patients at this time. We also believe that many patients will benefit from our adoption of the measure as it is currently specified. The term “visit” has a detailed definition in the current specifications. [111]
After consideration of the public comments we received, we are finalizing the Clinical Process/Oncology Care—Plan of Care for Pain measure for the FY 2016 program and subsequent years.
(D) Clinical Process/Oncology Care—Pain Intensity Quantified (NQF #0384)
This measure assesses the percentage of patient visits, regardless of patient age, with a diagnosis of cancer currently receiving chemotherapy or radiation therapy in which pain intensity is quantified. As described above for the Oncology: Plan of Care for Pain (NQF #0383) measure, pain is the most common symptom in cancer patients and this measure is used in conjunction with NQF #0384 to encourage consistent assessment of pain intensity to better guide the care of pain. [112] This measure addresses the National Quality Strategy domain of Patient and Family Engagement. Higher rates are indicative of better performance. This measure is intended to be paired with NQF #0383 above.
Comment: A few commenters stated that there was ambiguity in the measure specifications for the Oncology: Pain Intensity Quantified measure which encompasses subjective interpretation, thereby undermining efforts to collect reliably the measure data. Commenters argued that the list of instrument examples included with the measure specifications only captures general types of tools that could be used and this could distract from substantive effort to alleviate cancer-related pain.
Response: We disagree that the measure is subjective. The determination of whether a physician or other health care provider has used a tool is objective; the provider either used a tool or did not. The option to choose among different types of tools allows providers to individualize care for patients. It is not necessary for the tools to be cancer-specific. The experience of pain is complex and it is not realistic or appropriate to separate cancer-specific pain when the goal is to support patients' comfort and quality of life. We believe that measuring pain intensity by an appropriate method is a necessary step to achieving pain management.
Comment: One commenter recommended that CMS modify this measure so that the denominator includes visits outside of chemotherapy and radiation therapy appointments (for example, palliative care).
Response: We believe that the measure is appropriate as it is currently specified. We agree that patients other than those receiving radiation therapy or chemotherapy may benefit from plan of care for treatment of pain, but the NQF-endorsed version of the measure does not include other categories of patients at this time. We also believe that many patients will benefit from finalizing the measure as it is currently specified.
After consideration of the public comments we received, we are finalizing the Clinical Process/Oncology Care—Pain Intensity Quantified measure for the FY 2016 program and subsequent years.
(E) Clinical Process/Oncology Care—Prostate Cancer-Avoidance of Overuse Measure-Bone Scan for Staging Low-Risk Patients (NQF #0389)
This measure assesses the percentage of patients, regardless of age, with a diagnosis of prostate cancer at low risk of recurrence receiving interstitial prostate brachytherapy, or external beam radiotherapy to the prostate, or radical prostatectomy, or cryotherapy, who did not have a bone scan performed at any time since diagnosis of prostate cancer.
Prostate cancer is the most commonly diagnosed cancer and the second leading cause of cancer death in men over the age of 40 years in the United States. Current guidelines and best practices do not recommend bone scans for patients in the low risk stratum for prostate cancer bony involvement. The goal of this measure is to reduce the use of bone scans that are clinically unnecessary and reduce economic burden to the patient and payer. [113] This measure addresses the National Quality Strategy domain of Clinical Efficiency.
Comment: One commenter stated that, as currently written, the wording of the measure implies that a low-risk patient should never receive a bone scan. The commenter stated that the measure specifications must accommodate patients whose disease manifestations warrant a bone scan (for example, short time to relapse, rapid PSA doubling time), and the term “at any time” should be avoided.
Response: We agree with the commenter that the measure specifications should allow for appropriate use of bone scans when they are warranted. The current specifications of this measure account for these circumstances through several measure “exclusions” that remove otherwise low-risk patients with certain symptoms or physical findings from the denominator, because they would warrant a bone scan, and we agree that scans for these patients should not be counted as overuse.
Comment: One commenter recommended that CMS modify the measure so that the numerator incorporates a literature-based period (for example, imaging within X days of diagnosis).
Response: We believe the measure is appropriate as it is currently specified. Bone scans are considered unnecessary for most low-risk patients with prostate-cancer, no matter how long a patient might have had prostate cancer. There is no scientific evidence that passage of time alone, in the absence of a change in clinical status, would indicate a valid reason for a bone scan.
After consideration of the public comments we received, we are finalizing the Clinical Process/Oncology Care—Prostate Cancer-Avoidance of Overuse Measure-Bone Scan for Staging Low-Risk Patients measure for the FY 2016 PCHQR program and subsequent years.
(F) Clinical Process/Oncology Care—Prostate Cancer-Adjuvant Hormonal Therapy for High-Risk Patients (NQF #0390)
This measure assesses the percentage of patients, regardless of age, with a diagnosis of prostate cancer at high risk of recurrence receiving external beam radiotherapy to the prostate, who were prescribed adjuvant hormonal therapy (GnRH agonist or antagonist). Prostate cancer is the most commonly diagnosed cancer and the second leading cause of cancer death in men over the age of 40 years in the United States. If patients are receiving external beam radiotherapy as primary therapy, those patients that are designated as high risk may be prescribed hormonal therapy. Adjuvant hormonal therapy in these patients has been shown to increase the effectiveness of the radiotherapy and may prolong survival. Further, the American Urological Association and the National Comprehensive Cancer Network guidelines recommend adjuvant hormonal therapy with radiotherapy for high-risk prostate cancer patients for prolonged survival. This measure attempts to encourage compliance with this guideline for this specific patient population. [114] This measure addresses the National Quality Strategy domain of Clinical Effectiveness.
Comment: One commenter recommended that CMS modify the measure so that the numerator provides additional specifications to categorize patients at “high risk for recurrence” and incorporates a literature-based period (for example, treatment within X days of diagnosis).
Response: We believe that the measure is appropriate as it is currently specified. The specification describes patients at “high risk for recurrence” as having one or more of the following characteristics: PSA > 20 mg/dL, Gleason score of 8 to 10, or clinically localized stage T3a1. The measure requires that patients receiving External Beam Radiation Therapy (EBRT) receive adjuvant hormonal therapy at the same time (concurrently); therefore, the measure already contains a time period for the adjuvant hormonal therapy.
After consideration of the public comments we received, we are finalizing the Clinical Process/Oncology Care—Prostate Cancer-Adjuvant Hormonal Therapy for High-Risk Patients measure for the FY 2016 PCHQR program and subsequent years.
(3) Patient Experience of Care Survey: HCAHPS
To advance patient safety and quality improvement in cancer hospital settings, we proposed that for the FY 2016 program and subsequent years, PCHs submit data on the HCAHPS Survey of patient experience-of-care. We partnered with AHRQ to develop HCAHPS. The HCAHPS Survey is the first national, standardized, publicly reported survey of patients' experience of hospital care. HCAHPS, also known as CAHPS® Hospital Survey, is a survey instrument and data collection methodology for measuring patients' perceptions of their hospital experience.
The HCAHPS Survey asks recently discharged patients 32 questions about aspects of their hospital experience that they are uniquely suited to address. The core of the survey contains 21 items that ask “how often” or whether patients experienced a critical aspect of hospital care. The survey also includes four items to direct patients to relevant questions, five items to adjust for the mix of patients across hospitals, and two items that support Congressionally-mandated reports (77 FR 53513 through 53515).
Ten HCAHPS measures (six summary measures, two individual items and two global items) are currently publicly reported on the Hospital Compare Web site (http://www.hospitalcompare.hhs.gov/) for each hospital participating in the Hospital IQR Program. One new composite item, “Transition to post-hospital care,” will be added to the Hospital Compare Web site for the Hospital IQR Program once participating hospitals have submitted four calendar quarters of data on the three Care Transition Measure items that were added to the HCAHPS Survey beginning with January 2013 discharges (77 FR 53513 through 53515).
Each of the six currently reported summary measures, or composites, is constructed from two or three survey questions. The six composites summarize how well doctors communicate with patients, how well nurses communicate with patients, how responsive hospital staff are to patients' needs, how well hospital staff helps patients manage pain, how well the staff communicates with patients about medicines, and whether key information is provided at discharge. The two individual items address the cleanliness and quietness of patients' rooms, while the two global items report patients' overall rating of the hospital, and whether they would recommend the hospital to family and friends.
The HCAHPS Survey is administered to a random sample of adult inpatients between 48 hours and 6 weeks after discharge. Patients admitted in the medical, surgical and maternity care service lines are eligible for the survey; the survey is not restricted to Medicare beneficiaries. PCHs may use an approved survey vendor, or collect their own HCAHPS data (if approved by CMS to do so). To accommodate hospitals, HCAHPS can be implemented using one of four different survey modes: mail; telephone; mail with telephone follow-up; or active interactive voice recognition (IVR). Regardless of the mode used, the PCH would be required to make multiple attempts to contact patients.
PCHs may use the HCAHPS Survey alone, or include additional questions after the 21 core items discussed above. PCHs must survey patients throughout each month of the year, and PCHs participating in the PCHQR Program must target at least 300 completed surveys over four calendar quarters in order to attain the reliability criterion CMS has set for publicly reported HCAHPS scores. The HCAHPS Survey is available in official translations in several languages other than English: Spanish (mail and telephone modes); Chinese (mail mode); Russian (mail mode); and Vietnamese (mail mode). All official translations of the HCAHPS Survey instrument are available in the current HCAHPS Quality Assurance Guidelines. The survey itself and the protocols for sampling, data collection, coding and file submission can be found in the current HCAHPS Quality Assurance Guidelines manual, available on the HCAHPS On-Line Web site located at: http://www.hcahpsonline.org.
We partnered with AHRQ to develop and test the HCAHPS Survey. AHRQ carried out a rigorous and multi-faceted scientific process, including a public call for measures; literature review; cognitive interviews; consumer focus groups; stakeholder input; a three-State pilot test; extensive psychometric analyses; consumer testing; and numerous small-scale field tests. In addition, we provided three separate opportunities for the public to comment on HCAHPS, and responded to over 1,000 comments.
In May 2005, the HCAHPS Survey was NQF-endorsed and in December 2005 OMB gave its final approval for the national implementation of HCAHPS for public reporting purposes. We implemented the HCAHPS Survey for the Hospital IQR Program in October 2006 and the first public reporting of HCAHPS results under that program occurred in March 2008. The survey and its methodology are available on the HCAHPS On-Line Web site located at: http://hcahpsonline.org and the survey results are available on the Hospital Compare Web site at http://www.hospitalcompare.hhs.gov.
Currently, nearly 3,900 hospitals that participate in the Hospital IQR Program publicly report their HCAHPS scores on Hospital Compare, and about 27 percent of PCHs voluntarily administer the HCAHPs Survey. We strongly encourage those PCHs that are currently submitting the HCAHPS measure to continue their current data submission.
We invited public comment on our proposals to adopt the HCAHPS measure beginning with the FY 2016 program year.
Comment: One commenter supported inclusion of the HCAHPS measure.
Response: We appreciate the commenter's support for the adoption of the HCAHPS measure for PCHs.
Comment: Some commenters objected to the HCAHPS inclusion because this tool has not yet been tested or NQF-endorsed for use in PCHs, and it is limited to the inpatient population whereas the great majority of PCH patients receive care in the outpatient setting. Commenters urged rapid testing and adoption of a Cancer CAHPS survey.
Response: The HCAHPS Survey received the endorsement of the National Quality Forum (NQF #0166) for use by acute care hospitals. In addition, approximately 27 percent of PCHs currently participate in HCAHPS on a voluntary basis.
We believe that the HCAHPS Survey is appropriate to measure inpatients' experience of care in the PCH setting. The widespread adoption of HCAHPS by acute care hospitals as resulted in benchmarks that could be useful to PCHs in their quality improvement efforts. The HCAHPS Survey looks at key facets of patient experience that are relevant to PCHs, such as communication with patients, responsiveness of staff, cleanliness and quietness of the hospital environment and discharge instructions. We further note that PCHs have the option to add their own supplemental items to the HCAHPS Survey, as explained in the current HCAHPS Quality Assurance Guidelines, V8.0, which can be found at http://www.hcahpsonline.org. PCHs treat patients on both an inpatient and an outpatient basis, and we believe that the HCAHPS Survey will provide a starting point to monitor patient experience of care in PCHs. We are monitoring the development of other CAHPS tools that may be appropriate for cancer care patients in the inpatient/ambulatory settings.
Comment: One commenter indicated that although some PCHs may currently use the HCAHPS Survey, posting on Hospital Compare will compel the institution to agree to participation in the Hospital IQR Program. Therefore, information that PCHs are exempt from reporting, such as hospital readmission rates, will be posted. If this is correct, commenter strongly urged the postponement of implementation of this measure until operational challenges such as these have been resolved.
Response: PCHs are not required to submit any data under the Hospital IQR Program because that program does not apply to PCHs. However, we are aware that some PCHs currently submit HCAHPS data to CMS on a voluntary basis, and we encourage PCHs to continue this practice so that they can assess the experience of care of their patients against the experience of care of subsection (d) hospital patients. In addition, by voluntarily continuing to submit HCAHPS data to CMS prior to the time when the data is due under the PCHQR Program, PCHs will increase their familiarity with the HCAHPS Survey, its implementation, data collection, and data submissions protocols.
Comment: One commenter recommended that CMS postpone adoption of the HCAHPS measure until the development and testing of the cancer CAHPS survey is complete. Another commenter supported MAP's recommendation to submit the cancer module of the HCAHPS Survey for endorsement as soon as possible. One commenter recommended further testing to address the cancer population, palliative/end-of-life-care, and to include outpatient services in the survey before inclusion in the PCHQR Program.
Response: We continue to monitor AHRQ's development of a cancer CAHPS survey. We understand that further development and more extensive testing of this instrument are still needed. In the interim, we believe that the HCAHPS Survey is an appropriate instrument to measure inpatient experience of care in the PCH setting. As noted above, the widespread adoption of HCAHPS by acute care hospitals has resulted in benchmarks that could be useful to PCHs in their quality improvement efforts. The HCAHPS Survey will allow a PCH to assess key facets of patient experience that are relevant to hospitals, such as communication with patients, responsiveness of staff, cleanliness and quietness of the hospital environment and discharge instructions. While the HCAHPS Survey was designed for the inpatient setting, it provides a starting point to monitor inpatient experience of care in PCHs.
After consideration of the public comments received, we are finalizing the HCAHPS measure for the FY 2016 program and subsequent years.
(4) Summary of Measures
In addition to the five measures that we previously finalized for the PCHQR Program, we are finalizing one new SSI measure for reporting beginning with the FY 2015 PCHQR Program. We are also finalizing six new SCIP, five new Clinical Process/Oncology Care Measures and the HCAHPS Survey for reporting beginning with the FY 2016 PCHQR Program. We discuss below our finalized policies regarding the form, manner, and timing of data collection for these measures. The tables below list the previously finalized measures and the new finalized measures for the PCHQR Program beginning with the FY 2015 PCHQR Program.
| Topic | Previously finalized measures for the PCHQR program beginning with the FY 2014 program year |
|---|---|
| Safety and Healthcare-Associated Infection—HAI | |
| • (NQF #0139) NHSN Central Line-Associated Bloodstream Infection (CLABSI) Outcome Measure | |
| • (NQF #0138) NHSN Catheter-Associated Urinary Tract Infections (CAUTI) Outcome Measure | |
| Clinical Process/Cancer-Specific Treatments | |
| • (NQF #0223) Adjuvant Chemotherapy is Considered or Administered Within 4 Months (120 days) of Surgery to Patients Under the Age of 80 with AJCC III (lymph node positive) Colon Cancer | |
| • (NQF #0559) Combination Chemotherapy is Considered or Administered Within 4 Months (120 days) of Diagnosis for Women Under 70 with AJCC T1c, or Stage II or III Hormone Receptor Negative Breast Cancer | |
| • (NQF #0220) Adjuvant Hormonal Therapy |
| Topic | Previously Finalized Measures for the PCHQR Program Beginning with the FY 2015 Program Year |
|---|---|
| Safety and Healthcare-Associated Infection—HAI | |
| • (NQF #0753) Harmonized Procedure Specific Surgical Site Infection (SSI) Outcome Measure |
| Topic | Previously Finalized Measures for the PCHQR Program Beginning with the FY 2016 Program Year |
|---|---|
| SCIP | |
| • (NQF #0218) Surgery Patients who Received Appropriate VTE Prophylaxis within 24 Hrs Prior to Surgery to 24 Hrs After Surgery End Time | |
| • (NQF #0453) Urinary Catheter Removed on Post-Operative Day 1 or Post-Operative Day 2 with Day of Surgery Being Day Zero | |
| • (NQF #0527) Prophylactic Antibiotic Received Within 1 Hr Prior to Surgical Incision | |
| • (NQF #0528) Prophylactic Antibiotic Selection for Surgical Patients | |
| • (NQF #0529) Prophylactic Antibiotic Discontinued Within 24 Hrs After Surgery End Time | |
| • (NQF #0284) Surgery Patients on Beta Blocker Therapy Prior to Admission who Received a Beta Blocker During the Perioperative Period | |
| Clinical Process/Oncology Care Measures | |
| • (NQF #0382) Oncology-Radiation Dose Limits to Normal Tissues | |
| • (NQF #0383) Oncology: Plan of Care for Pain | |
| • (NQF #0384) Oncology: Pain Intensity Quantified | |
| • (NQF #0390) Prostate Cancer-Adjuvant Hormonal Therapy for High-Risk Patients | |
| • (NQF #0389) Prostate Cancer-Avoidance of Overuse Measure-Bone Scan for Staging Low-Risk Patients | |
| Patient Engagement/Experience of Care | |
| • (NQF #0166) HCAHPS |
6. Possible New Quality Measure Topics for Future Years
We seek to develop a comprehensive set of quality measures to be available for widespread use for informed decision-making and quality improvement in the PPS-exempt cancer hospital setting. Therefore, through future rulemaking, we intend to propose to adopt new or updated measures, such as measures that assess the safety and efficiency of diagnosis and treatment of cancer, measures that take into account novel diagnostic and treatment modalities, measures that assess symptoms and functional status, measures of appropriate disease management and care coordination, and measures of admissions for complications of cancer and treatment for cancer, that help us further our goal of achieving better health care and improved health for Medicare beneficiaries who obtain cancer services through the widespread dissemination and use of performance information.
In the FY 2014 IPPS/LTCH PPS proposed rule (78 FR 27715), we welcomed public comment and suggestions for the following measure domains: clinical quality of care, care coordination, patient safety, patient and caregiver experience of care, population/community health, and efficiency. These domains align with those of the National Quality Strategy, and we believe that selecting measures to address these domains will promote better cancer care while bringing the PCHQR Program in line with other established quality reporting and pay for performance programs such as the Hospital IQR Program, the Hospital VBP Program, and the Hospital OQR Program, and others within our purview.
Comment: One commenter recommended the inclusion of three MAP recommended and NQF-endorsed measures: Oncology: Radiation dose limits to normal tissue, prostate cancer; Adjuvant hormonal therapy for high-risk patients, and prostate cancer; and Avoidance of overuse of bone scan for staging low-risk patients. One commenter preferred the adoption of more long-term, cancer-specific outcome measures as well as measures for less common malignancies. One commenter recommended inclusion of more outcome measures in areas such as survival, quality of life, infection, VTE rates and mortality. One commenter suggested that CMS take a leadership role in developing measures of particular relevance to this reporting program, such as measures of risk-adjusted, stage-specific survival curves for various types of cancer (for example, lung, pancreas, liver, thyroid and esophagus, breast, colorectal). Another commenter recommended a multi-drug resistant organism (MDRO) measure.
Response: We appreciate the commenters' comments and suggestions, and we will consider them as we develop and select future measures. A CMS contractor has actively engaged stakeholders to discuss viable strategies to develop valid and reliable measures in these domains.
7. Maintenance of Technical Specifications for Quality Measures
Many of the quality measures used in different Medicare and Medicaid reporting programs are NQF-endorsed. As part of its regular maintenance process for endorsed performance measures, the NQF requires measure stewards to submit annual measure maintenance updates and undergo maintenance of endorsement review every 3 years. In the measure maintenance process, the measure steward (owner/developer) is responsible for updating and maintaining the currency and relevance of the measure and will confirm existing or minor specification changes to NQF on an annual basis. NQF solicits information from measure stewards for annual reviews and in order to review measures for continued endorsement in a specific 3-year cycle.
Through NQF's measure maintenance process, NQF-endorsed measures are sometimes updated to incorporate changes that we believe do not substantively change the nature of the measure. We believe these types of maintenance changes are distinct from more substantive changes to measures that result in what are considered new or different measures, and that they do not trigger the same agency obligations under the Administrative Procedure Act.
In the FY 2013 IPPS/LTCH PPS final rule (77 FR 53562), we adopted a policy to use a subregulatory process to make nonsubstantive updates to NQF-endorsed measures used for the PCHQR Program. We also said that we expected to make the determination of what constitutes a substantive versus a nonsubstantive change on a case-by-case basis, and provided examples of the types of changes that would fall into each category. We further said that the policies regarding what is considered substantive versus nonsubstantive changes would apply to all PCHQR Program measures.
The technical specifications for the HCAHPS patient experience of care survey are contained in the current HCAHPS Quality Assurance Guidelines manual, which is available at HCAHPS On-Line Web site, http://www.hcahpsonline.org. As necessary, HCAHPS Bulletins are issued to provide notice of changes and updates to technical specifications in HCAHPS data collection systems. The specifications for the other measures are posted in the Specifications Manual on the QualityNet Web site at www.qualitynet.org.
The Specifications Manual contains links to measure specifications, data abstraction information, data submission information, and other information necessary for PCHs to participate in the PCHQR Program. We maintain the technical specifications for the quality measures by updating this Manual periodically as we continue to expand and update our PCHQR Program. These updates include detailed instructions for PCHs to use when collecting and submitting data on the required measures and are accompanied by notifications to PCHQR Program-participating users, providing sufficient time between the change and effective dates in order to allow users to incorporate changes and updates to the measure specifications into data collection systems. We also revise the Specifications Manual and provide links to reflect measure changes which are also posted on the QualityNet Web site at: https://www.QualityNet.org.
8. Public Display Requirements for the FY 2014 Program and Subsequent Years
Section 1866(k)(4) of the Act requires the Secretary to establish procedures for making the data submitted under the PCHQR Program available to the public. Such procedures shall ensure that a PCH has the opportunity to review the data that is to be made public with respect to the hospital prior to such data being made public. Section 1866(k)(4) of the Act also provides that the Secretary shall report quality measures of process, structure, outcome, patients' perspective on care, efficiency, and costs of care that relate to services furnished in such hospital on the CMS Web site.
In order to meet these requirements, in the FY 2013 IPPS/LTCH PPS final rule (77 FR 53562 through 56563), we finalized our policy to publicly display the submitted data on the Hospital Compare Web site (http://www.hospitalcompare.hhs.gov/) and established a preview period of 30 days prior to making such data public.
This year we have more information on the state of our systems' capability and readiness. Therefore, in the FY 2014 IPPS/LTCH PPS proposed rule (78 FR 27716), we proposed to display publicly in 2014 the data for the measures listed below:
- Adjuvant Chemotherapy is considered or administered within 4 months (120 days) of surgery to patients under the age of 80 with AJCC III (lymph node positive) colon cancer (NQF #0223); and
- Combination Chemotherapy is considered or administered within 4 months (120 days) of diagnosis for women under 70 with AJCC T1c, or Stage II or III hormone receptor negative breast cancer (NQF #0559).
However, we proposed to defer the public reporting of the remaining three finalized measures for the FY 2014 PCHQR Program. We are in the process of testing and assessing data quality, including the reliability and validity of the measure rates, and do not believe that the data will be ready for public posting until sometime in the future. We will provide more information in future rulemaking.
We invited public comment on these proposals.
Comment: Many commenters supported CMS' proposal to defer public reporting of the measures in the program while we continue to test and assess the quality of the data.
Response: We appreciate the commenters' support.
Comment: One commenter recommended that CMS defer public reporting of the central line-associated blood stream infection (CLABSI) measure for the PCHQR Program until the NQF-endorsed measure has been revised to exclude infections unrelated to central line placement to avoid erroneous conclusions about infection rates at PCHs.
Response: We work very closely with the measure developer, the CDC, to provide meaningful public reporting data. The current CLABSI measure is NQF-endorsed and in use by the CDC and other quality reporting programs. Reporting on this measure will help to address the quality of care provided in PCH setting. We believe it is important to collect data on CLABSI because CLABSI can lead to severe complications that interfere with the quality of life of cancer patients. Further, given successful use of this measure in the Hospital IQR Program, we think that the measure as it is currently specified by the CDC provides sufficient information to allow meaningful public reporting.
Comment: One commenter commended CMS' efforts in including public reporting requirements in the PCHQR Program because the commenter believed that the public reporting of quality measure performance at a centralized Web site will improve a beneficiary's ability to make informed health care choices and will facilitate a PCH's ability to improve the quality and efficiency of its care. The commenter encouraged CMS to make the data for the additional finalized measures for 2014 publicly available as quickly as possible.
Response: We appreciate the commenter's support. It is our goal to ensure that the public obtains access to valid and reliable quality of care measure data in a timely manner. We intend to make data on these measures available to the public as soon as possible.
Comment: One commenter recommended that CMS require all PCHs to display prominently the performance outcomes in patient areas in a manner similar to what is required by the ESRD QIP.
Response: There are no performance score certificates in the PCHQR Program, and PCHs are not evaluated based on performance. We will make the data publicly available on the Hospital Compare Web site (http://www.hospitalcompare.hhs.gov/). Such public display of the quality measure data will inform patients and their caregivers of the quality of care provided at PCHs.
Comment: One commenter recommended that CMS exercise care in publicly reporting the SSI measure because reporting the measure for cancer patients presents different challenges than reporting the measure for general acute care hospital patients.
Response: We appreciate the commenter's recommendation. At this time, this measure is specified for use by NQF for all postoperative patients. Therefore, we believe it is appropriate to use for postoperative cancer patients.
After consideration of the public comments we received, we are finalizing the public display requirements for the FY 2014 program and subsequent years.
9. Form, Manner, and Timing of Data Submission for the FY 2015 Program and Subsequent Years
a. Background
Section 1866(k)(2) of the Act requires that, beginning with the FY 2014 PCHQR Program, each PCH must submit to the Secretary data on quality measures specified under section 1866(k)(3) of the Act in a form and manner, and at a time as specified by the Secretary.
The complete data submission requirements and submission deadlines for FY 2014 have been posted on the QualityNet Web site at: https://www.QualityNet.org. We also refer readers to the FY 2013 IPPS/LTCH PPS final rule (77 FR 53563 through 535567) for more information.
b. Waivers From Program Requirements
In our experience with other quality reporting and/or performance programs, we have noted occasions when providers have been unable to submit required quality data due to extraordinary circumstances that are not within their control (for example, natural disasters). We do not wish to unduly increase their burden during these times. Therefore, in the FY 2014 IPPS/LTCH PPS proposed rule (78 FR 27716), we proposed that, beginning with FY 2014, PCHs may request and we may grant waivers with respect to the reporting of required quality data when extraordinary circumstances beyond the control of the PCH warrant. When waivers are granted, we will notify the respective PCH.
Under the proposed process, in the event of extraordinary circumstances not within the control of the PCH, such as a natural disaster, the PCH may request a reporting extension or a complete waiver of the requirement to submit quality data for one or more quarters. Such facilities would submit to CMS a request form that would be made available on the QualityNet Web site. The following information should be noted on the form:
- The PCH's CCN;
- The PCH's name;
- Contact information for the PCH's CEO and any other designated personnel, including name, email address, telephone number, and mailing address (the address must be a physical address, not a post office box);
- The PCH's reason for requesting an extension or waiver;
- Evidence of the impact of extraordinary circumstances, including but not limited to photographs, newspaper and other media articles; and
- A date when the PCH will again be able to submit PCHQR Program data, and a justification for the proposed date.
We proposed that the request form must be signed by the PCH's CEO or designee, and must be submitted within 30 days of the date that the extraordinary circumstances occurred. Following receipt of the request form, we would: (1) Provide a written acknowledgement, using the contact information provided in the request, to the CEO and any additional designated PCH personnel, notifying them that the PCH's request has been received; and (2) provide a formal response to the CEO and any additional designated PCH personnel, using the contact information provided in the request, notifying them of our decision.
This proposal does not preclude us from granting waivers or extensions to PCHs that have not requested them when we determine that an extraordinary circumstance, such as an act of nature (for example, a hurricane or other natural disaster that could reasonably affect a PCH's ability to compile or report data), affects an entire region or locale. If we make the determination to grant a waiver or extension to PCHs in a region or locale, we proposed to communicate this decision through routine communication channels to PCHs and vendors, by means of memoranda, emails, and notices on the QualityNet Web site, among other means.
We invited public comment on this proposal.
Comment: One commenter supported CMS' proposal.
Response: We appreciate the commenter's support.
After consideration of the public comment we received, we are finalizing the waiver and extension process for the PCHQR Program.
c. Reporting Periods and Submission Timelines for the Finalized SSI Measure
In the FY 2014 IPPS/LTCH PPS proposed rule (78 FR 27716 through 27717), we proposed that PCHs report the proposed SSI measure beginning with January 1, 2014 events. We believe that this date will provide enough advance notice for PCHs to prepare to report the measure, and we base this belief on our experience gained from collecting the SSI measure for the Hospital IQR Program.
We proposed to calculate the SSI measure rate for purposes of the FY 2015 program year using data from the first quarter (Q1) of calendar year (CY) 2014. We recognize that using data from only one quarter may not provide a complete picture of the quality of care provided at a PCH. However, our intent is to align the PCHQR reporting timeline with the reporting timeline used by the Hospital IQR Program as well as to leverage current IT infrastructure to minimize cost and burden.
We proposed to calculate the SSI measure rate for purposes of the FY 2016 program year using data from the last three quarters (Q2, Q3, and Q4) of CY 2014, and we proposed to calculate the SSI measure rate for purposes of the FY 2017 program year using data from all four quarters (Q1, Q2, Q3, and Q4) of CY 2015.
We proposed that PCHs submit the SSI measure data to the CDC through the NHSN database. This is the same procedural/reporting mechanism requirement used for the CLABSI and CAUTI measures we finalized in FY 2013 IPPS/LTCH PPS final rule (77 FR 53563 through 53564). The data submission and reporting procedures have been set forth by CDC for NHSN participation in general and for submission of the SSI measure to NHSN. We refer readers to the CDC's Web site (http://www.cdc.gov/nhsn/) for detailed data submission and reporting procedures. After the final submission deadline has passed, we will obtain the PCH-specific calculations that have been generated by the NHSN for the PCHQR Program.
As noted above, we proposed to adopt a quarterly submission process for the SSI measure that uses a reporting mechanism that is the same as the one finalized for the Hospital IQR Program (77 FR 53539). We have successfully implemented this reporting mechanism in the Hospital IQR Program, and we strongly believe that this type of data submission is the most feasible option because PCHs are accustomed to reporting the CAUTI and CLABSI measures to the NHSN this way.
We welcomed public comment on this proposal.
Comment: Some commenters supported the proposed data collection and reporting proposals for the SSI measure.
Response: We appreciate the commenters' support.
Comment: One commenter recommended that CMS allow sampling rather than chart abstraction whenever possible to reduce the reporting burden on PCHs.
Response: As indicated in the SSI measure specifications, the SSI measure applies to all postoperative patients who fall into the numerator criteria. We believe that the reporting burden for this measure is minimized because PCHs can submit aggregate denominator data every quarter. We also note that PCHs are required to report patient-level infection events only for potentially infected patients, not all patients. PCHs are also required to summarize their population of all eligible patients receiving the surgical procedures by submitting aggregate level counts. We do not allow sampling because previous experience in the Hospital IQR Program indicates that PCHs will report relatively few patients with potential infections. We believe that complete submission of all potential patient-level infection events is necessary to perform risk adjustment and ensure sufficient reliability for SSI publicly reported measure data.
Comment: One commenter recommended that CMS calculate measure rates for the PCHQR Program based on a full year of data for purposes of public reporting.
Response: We appreciate the commenter's recommendation. As noted above, we are attempting to align the PCHQR reporting timeline with the reporting timeline used by the Hospital IQR Program, with the goal that we will collect and report a full year of data for the SSI measure beginning FY 2017. We will continue to consider and strive to report, whenever operationally possible, 12 months of data.
Comment: A few commenters recommended that CMS implement a vendor certification program for the PCHQR Program that would allow PCHs to reduce redundant data collection and streamline PCHQR Program reporting.
Response: We believe the commenter is recommending that we implement something similar to the approved survey vendor list we use for the HCAHPS. For the HCAHPS, vendors must undergo rigorous training on how to conduct the survey prior to being added to our list of approved survey vendors. The reason we require hospitals to either receive training on how to conduct the survey or use vendors from our list who have been trained to conduct the survey is because the HCAHPS requires patient and/or patient caregiver interface to gather information on hospitalization experience of care. Therefore, human factors influence demand that survey conductors are trained in survey administration techniques in order to yield the most objective, reliable data. We do not think that there is a need for such a process for collecting the other measures which are gathered through chart abstraction. PCHs, however, can use any reliable and reputable vendor to meet their needs with non-HCAHPS data collection and submission. We do not require that such vendors be CMS-approved to submit PCHQR Program data.
After consideration of the public comments we received, we are finalizing the reporting periods and submission timelines for the SSI measure. The table below outlines the finalized reporting periods and submission timeframes for the FY 2015, FY 2016, and FY 2017 programs.
| Program year (FY) | Reporting periods (CY) | Data submission deadlines |
|---|---|---|
| 2015 | Q1 2014 events (January 1, 2014—March 31, 2014) | August 15, 2014. |
| 2016 | Q2 2014 events (April 1, 2014—June 30, 2014) | November 15, 2014. |
| Q3 2014 events (July 1, 2014—September 30, 2014) | February 15, 2015. | |
| Q4 2014 events (October 1, 2014—December 31, 2014) | May 15, 2015. | |
| 2017 | Q1 2015 events (January 1, 2015—March 31, 2015) | August 15, 2015. |
| Q2 2015 events (April 1, 2015—June 30, 2015) | November 15, 2015. | |
| Q3 2015 events (July 1, 2015—September 30, 2015) | February 15, 2016. | |
| Q4 2015 events (October 1, 2015—December 31, 2015) | May 15, 2016. |
d. Exceptions to Reporting and Data Submission for HAI Measures (CAUTI, CLABSI, and SSI)
Last year we finalized policies for the Hospital IQR Program providing exceptions to the reporting and data submission requirements for the CLABSI, CAUTI and SSI measures (77 FR 53539). We implemented these exceptions because we realize that some hospitals may not have locations that meet the NHSN criteria for CLABSI or CAUTI reporting and that that some hospitals may perform so few procedures requiring surveillance under the SSI measure that the data may not be meaningful for Hospital Compare or sufficiently reliable to be utilized for a program year. We also finalized last year the CLABSI and CAUTI measures for the PCHQR Program starting with FY 2014 (77 FR 53557), but did not propose to adopt the same exceptions for those measures. This year, in the FY 2014 IPPS/LTCH PPS proposed rule (78 FR 27717), we proposed to adopt the same exceptions to the CLABSI and CAUTI measures for PCHs, which are outlined in CDC's specifications manual, because we realize that some hospitals may not have locations that meet the NHSN criteria. We refer readers to the CDC's specifications manual for more information on location exceptions for the CAUTI [115] and CLABSI. [116]
In addition, as with the Hospital IQR Program, we recognize that some PCHs may perform so few procedures requiring surveillance under the proposed SSI measure that the data may not be meaningful for Hospital Compare or sufficiently reliable to be utilized for quality reporting purposes. We proposed to provide an exception for these PCHs from the reporting requirement in any given year if the PCH performed less than a combined total of 10 colon and abdominal hysterectomy procedures in the calendar year prior to the reporting year.
We proposed to provide PCHs with a single HAI exception form, to be used for seeking an exception for any of the CLABSI, CAUTI, and SSI measures. This exception form will be available on QualityNet Web site.
We invited public comment on this proposal.
Comment: One commenter recommended that for the SSI measure, CMS grant reporting exceptions to any hospital performing fewer than 20 eligible colon and abdominal hysterectomy procedures in the preceding calendar year.
Response: We appreciate the commenter's recommendation. As we noted, we believe it is important to align our measures with the Hospital IQR Program as much as possible to both streamline the programs and reduce provider burden. At this time, the Hospital IQR Program uses a case minimum of 10 for the SSI measure (77 FR 53539). As we explained in the FY 2013 IPPS/LTCH PPS final rule (77 FR 53539), we chose a case minimum of 10 because we believe 10 cases will be sufficiently meaningful for the results to be publicly displayed while ensuring the availability of the most data possible for public reporting. For detailed information regarding the number of cases, we refer readers to the CDC specification manual: http://www.cdc.gov/hai/ssi/ssi.html.
After consideration of the public comments we received, we are finalizing the exceptions to reporting and data submission for the HAI Measures (CAUTI, CLABSI, and SSI). PCHs will not be required to report these measures if the PCH performed less than a combined total of 10 colon and abdominal hysterectomy procedures in the calendar year prior to the reporting year. We are also finalizing the location exceptions listed in the CDC's specifications manual. 117 118
e. Reporting and Data Submission Requirements for the Finalized Clinical Process/Oncology Care Measures
In the FY 2014 IPPS/LTCH PPS proposed rule (78 FR 27717 through 27718), we proposed that PCHs report the proposed clinical process/oncology care measures beginning with January 1, 2015 discharges. We believe that this date will provide enough advance notice for PCHs to prepare to report the measures. We believe that this timeline provides PCHs with sufficient time to prepare to report on the new measures. We proposed to calculate the clinical process/oncology care measure rates for purposes of the FY 2016 program year using data from the first quarter (Q1) of CY 2015, and that PCHs submit aggregated data for each measure for this quarter during a data submission window that will be open from July 1 through August 15, 2015. We proposed to calculate the clinical process/oncology care measure rates for purposes of the FY 2017 program year using data from the last three quarters (Q2, Q3, and Q4) of CY 2015. We proposed that PCHs submit aggregated data for each measure for each of these quarters during a data submission window that will be open from July 1 through August 15, 2016. We proposed to calculate the clinical process/oncology care measure rates for purposes of the FY 2018 program year using data from the four quarters (Q1, Q2, Q3, and Q4) of CY 2016. We proposed that PCHs submit aggregated data for each measure for each of these quarters during a data submission window that will be open from July 1 through August 15, 2017.
For data collection, we proposed that PCHs submit aggregate-level data through the CMS Web-based Measures Tool. This proposal mirrors the requirements we have finalized for the IPFQR Program (77 FR 53655). PCHs would submit all the data required for a particular program year once annually during the data submission windows we proposed above, and would do so via the PCH section on the QualityNet secure Web site. However, the data input forms on the QualityNet Web site for such submission will require aggregate data for each separate quarter. Therefore, PCHs will need to track and maintain quarterly records for their data. We refer readers to FY 2013 IPPS/LTCH PPS final rule (77 FR 53655) for more information on the CMS Web-based aggregated data collection tool used in the IPFQR Program, which we proposed to also use in the PCHQR Program. We believe that this option is less burdensome for PCHs than patient-level reporting.
We also recognize that aggregate level reporting has the potential to result in less accurate measure rates than patient-level reporting; however, we have assessed our infrastructure readiness to collect these measures in the PCHQR Program and believe that an aggregate data submission approach is the most feasible approach at this time.
We welcomed public comment on the proposed reporting periods and data collection methods/modes for the clinical process/oncology care measures.
Comment: One commenter recommended that CMS utilize sampling rather than chart abstraction whenever possible to conduct PCHQR reporting to reduce burden.
Response: We appreciate the commenter's recommendation. As we noted earlier, we will allow PCHs to report the clinical process/oncology care measures using the same sampling methodologies we allow to be used to report these measures under the PQRS Program. The methodologies can be found in the PQRS manual at http://www.cms.gov/Medicare/Quality-Initiatives-Patient-Assessment-Instruments/PQRS/MeasuresCodes.html. In future years, we intend to work with the measure developer during the measure maintenance period so that we may develop a sampling methodology that is tailored to PCH settings.
Comment: One commenter recommended that CMS calculate measure rates for the PCHQR Program based on a full year of data for purposes of public reporting.
Response: A commenter also raised this issue regarding our proposed reporting periods and timelines for the SSI measure in section IX.B.9.c. of the preamble of this final rule and we refer readers to our response in that section.
Comment: For the clinical process/oncology care measures, a few commenters recommended that CMS implement a vendor certification program for the PCHQR Program that would allow PCHs to reduce redundant data collection and streamline PCHQR Program reporting.
Response: Commenters also raised this issue regarding our proposed reporting periods and timelines for the SSI measure in section IX.B.9.c. of the preamble of this final rule and we refer readers to our response in that section.
After consideration of the public comments we received, we are finalizing the reporting and data submission requirements for the Clinical Process/Oncology Care Measures. The table below outlines the finalized reporting periods and submission timeframes for the FY 2016, FY 2017, and FY 2018 programs for the clinical process/oncology care measures.
| Program year (FY) | Reporting periods (CY) | Data submission deadlines |
|---|---|---|
| 2016 | Q1 2015 discharges (January 1, 2015—March 31, 2015) | July 1, 2015-August 15, 2015. |
| 2017 | Q2 2015 discharges (April 1, 2015—June 30, 2015) Q3 2015 discharges (July 1, 2015—September 30, 2015) Q4 2015 discharges (October 1, 2015—December 31, 2015) | July 1, 2016-August 15, 2016. |
| 2018 | Q1 2016 discharges (January 1, 2016—March 31, 2016) Q2 2016 discharges (April 1, 2016—June 30, 2016 Q3 2016 discharges (July 1, 2016—September 30, 2016) Q4 2016 discharges (October 1, 2016—December 31, 2016) | July 1, 2017—August 15, 2017. |
f. Reporting and Data Submission Requirements for the Finalized SCIP Measures
In the FY 2014 IPPS/LTCH PPS proposed rule (78 FR 27718), we proposed that PCHs report the proposed SCIP measures beginning with January 1, 2015 discharges. We believe that this date will provide enough advance notice for PCHs to prepare to report the measures, and our belief is based on the experience gained from collecting the SCIP measures for the Hospital IQR Program.
We proposed to calculate the SCIP measure rates for purposes of the FY 2016 program year using patient-level data from the first quarter (Q1) of CY 2015. We recognize that using data from only one quarter may not provide a complete picture of the quality of care provided at a PCH. However, our intent is to align the PCHQR Program's current reporting timeline with the reporting timeline used by the Hospital IQR Program, as well as to leverage the current IT infrastructure to minimize cost and burden. We proposed to calculate the SCIP measure rates for purposes of the FY 2017 program year using the last three quarters (Q2, Q3, and Q4) of CY 2015. This will allow us to calculate measure rates for FY 2018 using data from all four quarters (Q1, Q2, Q3, and Q4) of CY 2016.
We proposed that PCHs submit patient-level data for each of the SCIP measures to CMS through the QualityNet infrastructure. This is the same procedural/reporting mechanism requirement used for collecting Hospital IQR Program SCIP process of care measures. We have successfully implemented this reporting mechanism in the Hospital IQR Program and intend to use the same reporting mechanism to collect data for the PCHQR Program. We proposed the patient-level data submission approach for the SCIP measures so that we can compare the data being submitted by PCHs with that being submitted by hospitals under the Hospital IQR Program. We also believe that patient-level data will provide us with more granular information that we can use to better assess the quality of care provided at a PCH.
We welcomed public comment on the proposed reporting and submission requirements for the proposed SCIP measures and welcomed feedback on using patient-level versus other types of data submission.
Comment: Some commenters supported the proposed data collection and reporting proposals for the SCIP measures.
Response: We appreciate the commenters' support.
Comment: Some commenters urged that, if adopted, CMS implement a sampling methodology for reporting the SCIP measures. Commenters noted that doing so would reduce burden.
Response: As we stated above, we will allow PCHs to report the SCIP measures using the same sampling methodology that we currently allow for the reporting of the same measures by subsection (d) hospitals under the Hospital IQR Program (outlined in the specification manual https://www.qualitynet.org/dcs/ContentServer?c=Page&pagename=QnetPublic%2FPage%2FQnetTier2&cid=1138115987129).
Comment: One commenter requested that CMS provide clarification regarding the use of an approved core measure vendor to meet the reporting requirements for the SCIP measures.
Response: Commenters also raised this issue regarding our proposed reporting periods and timelines for the SSI measure in section IX.B.9.c. of the preamble of this final rule and we refer readers to our response in that section.
Comment: For the SCIP measures, one commenter recommended that CMS calculate measure rates for the PCHQR Program based on a full year of data for purposes of public reporting.
Response: A commenters also raised this issue regarding our proposed reporting periods and timelines for the SSI measure in section IX.B.9.c. of the preamble of this final rule and we refer readers to our response in that section.
Comment: For the SCIP measures, a few commenters recommended that CMS implement a vendor certification program for the PCHQR Program that would allow PCHs to reduce redundant data collection and streamline PCHQR Program reporting.
Response: Commenters also raised this issue regarding our proposed reporting periods and timelines for the SSI measure in section IX.B.9.c. of the preamble of this final rule and we refer readers to our response in that section.
After consideration of the public comments we received, we are finalizing the reporting and data submission requirements for the SCIP measures. The table below outlines the finalized reporting periods and submission timeframes for the FY 2016, FY 2017, and FY 2018 programs.
| Program year (FY) | Reporting periods (CY) | Data submission deadlines |
|---|---|---|
| 2016 | Q1 2015 discharges (January 1, 2015-March 31, 2015) | August 15, 2015. |
| 2017 | Q2 2015 discharges (April 1, 2015-June 30, 2015) | November 15, 2015. |
| Q3 2015 discharges (July 1, 2015-September 30, 2015) | February 15, 2016. | |
| Q4 2015 discharges (October 1, 2015—December 31, 2015) | May 15, 2016. | |
| 2018 | Q1 2016 discharges (January 1, 2016—March 31, 2016) | August 15, 2016. |
| Q2 2016 discharges (April 1, 2016—June 30, 2016) | November 15, 2016. | |
| Q3 2016 discharges (July 1, 2016—September 30, 2016) | February 15, 2017. | |
| Q4 2016 discharges (October 1, 2016—December 31, 2016) | May 15, 2017. |
g. HCAHPS Requirements
In the FY 2014 IPPS/LTCH PPS proposed rule (78 FR 27719 through 27720), we proposed HCAHPS requirements that mirror those used for the Hospital IQR Program (77 FR 53537 through 53538). Similarly, we proposed that PCHs submit HCAHPS data in accordance with the current HCAHPS Quality Assurance Guidelines and the quarterly data submission deadlines, both of which are posted at http://www.hcahpsonline.org. Like acute care hospitals that submit HCAHPS data under the Hospital IQR Program, we proposed that PCHs will have approximately 13 weeks after the end of a calendar quarter to submit HCAHPS data for that quarter to the QIO Clinical Warehouse, also referred to as the “HCAHPS data warehouse.”
In order for a PCH to participate in the collection of HCAHPS data, a PCH must either: (1) Contract with an approved HCAHPS Survey vendor that will conduct the survey and submit data on the PCH's behalf to the QIO Clinical Warehouse; or (2) self-administer the survey without using a vendor provided that the PCH attends HCAHPS training and meets Minimum Survey Requirements as specified on the HCAHPS Web site at: http://www.hacahpsonline.org. A current list of approved HCAHPS Survey vendors can be found on the HCAHPS Web site.
We proposed that a PCH which chooses to contract with a survey vendor must provide the sample frame of HCAHPS-eligible discharges to its survey vendor with sufficient time to allow the survey vendor to begin contacting each sampled patient within 6 weeks of discharge from the hospital. (We refer readers to the Quality Assurance Guidelines located at http://www.hcahpsonline.org, for details about HCAHPS Survey administration.) We would strongly encourage PCHs to submit their entire patient discharge list, excluding patients who had requested “no publicity” status or who are excluded because of State regulations, in a timely manner to their survey vendor to allow adequate time for sample creation, sampling, and survey administration. We emphasize that PCHs must also provide the administrative data that is required for HCAHPS in a timely manner to their survey vendor. This includes the patient's MS-DRG at discharge, or alternative information that can be used to determine the patient's service line, in accordance with the survey protocols in the most recent HCAHPS Quality Assurance Guidelines.
We note that HCAHPS Quality Assurance Guidelines require that hospitals maintain complete discharge lists that indicate which patients were eligible for the HCAHPS Survey, which patients were not eligible, which patients were excluded, and the reason(s) for ineligibility and exclusion. (We refer readers to the Quality Assurance Guidelines located at http://www.hcahpsonline.org for details about HCAHPS eligibility and sample frame creation.) In addition, the PCH must authorize the survey vendor to submit data via My QualityNet, the secure part of the QualityNet Web site, on the PCH's behalf.
We proposed that the PCHs obtain and submit at least 300 completed HCAHPS Surveys in a rolling four-quarter period unless the PCH is too small to obtain 300 completed surveys. We proposed that the absence of a sufficient number of HCAHPS-eligible discharges will be the only acceptable reason for obtaining and submitting fewer than 300 completed HCAHPS Surveys in a rolling four quarter period. We proposed that if a PCH obtains fewer than 100 completed surveys, the PCH's scores will be accompanied by an appropriate footnote on the Hospital Compare Web site alerting the Web site users that the scores should be reviewed with caution, as the number of surveys may be too low to reliably assess PCH performance.
After the survey vendor submits the data to the QIO Clinical Warehouse, we strongly recommend that PCHs employing a survey vendor promptly review the two HCAHPS Feedback Reports (the Provider Survey Status Summary Report and the Data Submission Detail Report) and the HCAHPS Review and Correction Report that are available. These reports will enable a PCH to ensure that its survey vendor has submitted the data on time, the data has been accepted into the QIO clinical Warehouse, and the data accepted into the QIO Clinical Warehouse are complete and accurate.
In order to ensure compliance with HCAHPS Survey and administration protocols, we proposed that PCHs and survey vendors must participate in oversight activities, which will include onsite visits and/or conference calls. During the oversight process, the HCAHPS Project Team will review the PCH's or survey vendor's survey systems and assess protocols based upon the most recent HCAHPS Quality Assurance Guidelines. All materials relevant to survey administration will be subject to review. The systems and program review includes, but is not limited to: (a) Survey management and data systems; (b) printing and mailing materials and facilities; (c) telephone and Interactive Voice Response (IVR) materials and facilities; (d) data receipt, entry and storage facilities; and (e) written documentation of survey processes. As needed, hospitals and survey vendors will be subject to follow-up site visits or conference calls. We point out that the HCAHPS Quality Assurance Guidelines state that hospitals should refrain from activities that explicitly influence how patients respond on the HCAHPS Survey. We proposed that if we determine that a PCH is not compliant with HCAHPS program requirements, we may determine that the PCH is not submitting HCAHPS data that meet the requirements of the PCHQR Program.
We strongly encouraged those PCHs that are currently administering the HCAHPS Survey and submitting survey data to CMS to continue to do so. We welcomed public comment on our proposed HCAHPS requirements for PCHs.
Comment: One commenter did not support the HCAHPS reporting proposals because this commenter did not support the adoption of the HCAHPS Survey for the PCHQR Program.
Response: We believe that the HCAHPS Survey is an appropriate instrument to measure inpatients' experience of care in the PCH setting. The widespread adoption of HCAHPS by acute care hospitals has resulted in benchmarks that could be useful to PCHs in their quality improvement efforts. The HCAHPS Survey produces comparable measures of key facets of patient experience that are relevant to PCHs, such as communication with patients, responsiveness of staff, cleanliness and quietness of the PCH environment and discharge instructions.
After consideration of the public comment we received, we are finalizing the HCAHPS requirements as proposed. Below is a table outlining the finalized HCAHPS reporting and data submission requirements.
| Program year (FY) | Reporting periods (CY) | Data submission deadlines |
|---|---|---|
| 2016 | Q2 2014 discharges (April 1, 2014-June 30, 2014) | October 1, 2014. |
| Q3 2014 discharges (July 1, 2014-September 30, 2014) | January 7, 2015. | |
| Q4 2014 discharges (October 1, 2014-December 31, 2014) | April 1, 2015. | |
| 2017 | Q1 2015 discharges (January 1, 2015-March 31, 2015) | July 1, 2015. |
| Q2 2015 discharges (April 1, 2015-June 30, 2015) | October 7, 2015. | |
| Q3 2015 discharges (July 1, 2015-September 30, 2015) | January 6, 2016. | |
| Q4 2015 discharges (October 1, 2015-December 31, 2015) | April 6, 2016. | |
| 2018 | Q1 2016 discharges (January 1, 2016-March 31, 2016) | July 6, 2016. |
| Q2 2016 discharges (April 1, 2016-June 30, 2016) | October 5, 2016. | |
| Q3 2016 discharges (July 1, 2016-September 30, 2016) | January 4, 2017. | |
| Q4 2016 discharges (October 1, 2016-December 31, 2016) | April 5, 2017. |
C. Long-Term Care Hospital Quality Reporting (LTCHQR) Program
1. Statutory History
In accordance with section 1886(m)(5) of the Act, as added by section 3004 of the Affordable Care Act, the Secretary established the Long-Term Care Hospital Quality Reporting (LTCHQR) Program. Under the LTCHQR Program, for the FY 2014 annual payment update (which we also refer to as the “payment determination”) and subsequent years, in the case of an LTCH that does not submit data to the Secretary in accordance with section 1886(m)(5)(C) of the Act with respect to such a rate year, any annual update to a standard Federal rate for discharges for the hospital during the rate year, and after application of section 1886(m)(3) of the Act, shall be reduced by two percentage points.
Section 1886(m)(5)(D)(iii) of the Act required the Secretary to publish the selected measures for the LTCHQR Program that will be applicable with respect to the FY 2014 payment determination no later than October 1, 2012.
Under section 1886(m)(5)(D)(i) of the Act, the quality measures for the LTCHQR Program are measures selected by the Secretary that have been endorsed by an entity that holds a contract with the Secretary under section 1890(a) of the Act, unless section 1886(m)(5)(D)(ii) of the Act applies. This contract is currently held by the National Quality Forum (NQF). Additional information regarding NQF and its measure review processes is available at: http://www.qualityforum.org/Measuring_Performance/Measuring_Performance.aspx.
While as a general matter the Secretary must select endorsed measures for the LTCHQR Program, section 1886(m)(5)(D)(ii) of the Act provides that an exception may be made in the case of a specified area or medical topic determined appropriate by the Secretary for which a feasible and practical measure has not been endorsed by the entity that holds a contract with the Secretary under section 1890(a) of the Act. In such a case, section 1886(m)(5)(D)(ii) of the Act authorizes the Secretary to specify a measure(s) that is not so endorsed, as long as due consideration is given to measures that have been endorsed or adopted by a consensus organization identified by the Secretary. The LTCHQR Program was implemented in section VII.C. of the FY 2012 IPPS/LTCH PPS final rule (76 FR 51743 through 51756).
2. General Considerations Used for Selection of Quality Measures for the LTCHQR Program
We seek to promote higher quality and more efficient health care for the beneficiaries we serve. Quality reporting programs, as well as public reporting of that information, furthers such quality improvement efforts. Quality measurement remains the key tool to the success of these programs. Therefore, the selection of only the highest caliber of measures remains a constant priority for CMS.
We seek to adopt measures for the LTCHQR Program that promote better, safer, and more efficient care. Our measure development and selection activities for the LTCHQR Program take into account national priorities, such as those established by the National Priorities Partnership (http://www.qualityforum.org/Setting_Priorities/NPP/National_Priorities_Partnership.aspx), HHS Strategic Plan (http://www.hhs.gov/secretary/about/priorities/ priorities.html), and the National Quality Strategy (NQS) (http://www.ahrq.gov/workingforquality/nqs/nqs2011annlrpt.htm).
We must also consider input from the Measure Applications Partnership (MAP) when selecting measures under the LTCHQR Program. The MAP is composed of multi-stakeholder groups convened by our current section 1890 contractor, the NQF. The NQF must convene these stakeholders and provide us with the stakeholders' input on the selection of certain categories of quality and efficiency measures as part of a pre-rulemaking process described in section 1890A of the Act. We, in turn, must take this input into consideration in selecting those categories of measures. The NQF provided MAP input to CMS in February of 2013, as required under section 1890A(a)(3) of the Act. This input appears at: http://www.qualityforum.org/Setting_Priorities/Partnership/Measure_Applications_Partnership.aspx. Measures proposed for the LTCHQR Program in the FY 2014 IPPS/LTCH PPS proposed rule (78 FR 27720 through 27734) were measures CMS included under its List of Measures Under Consideration (MUC List) for December 1, 2012 [119] , a list CMS must make public by December 1 of each year, as part of the pre-rulemaking process, as described in section 1890A(a)(2). The list is discussed in the MAP Pre-Rulemaking Report available at: http://www.qualityforum.org/Publications/2013/02/MAP_Pre-Rulemaking_Report_-_February_2013.aspx (pp. 170-176). The MAP supported the direction of each of the proposed measures described below, noting the measure concepts as promising for several of them, and requiring further testing and development.
In the FY 2014 IPPS/LTCH PPS proposed rule (78 FR 27724 through 27730), in the absence of any NQF-endorsed measures for the LTCH setting and after due consideration to any measures that may have been endorsed or adopted by a consensus organization, we proposed measures that are fully supported by the MAP for the LTCHQR Program, or that most closely align with the national priorities discussed in section IX.C.2. of the preamble of this final rule. In the absence of the MAP's full support, we have in some cases deemed it appropriate to propose measures for which there is MAP support for the measure concept. Further discussion of why a particular measure is high priority in the LTCH setting is included for each proposed measure below.
In addition, to the extent practicable, we have for each proposed measure that is not endorsed by the NQF or another consensus organization, sought measures that have been recommended by multi-stakeholder organizations, and/or been developed with the input of providers, purchasers/payers, and a variety of other stakeholders.
While we did not invite public comments on the general considerations used for selection of quality measures for the LTCHQR Program, we received input from several commenters. We greatly appreciate the commenters' views on our previously finalized policies. Although we did not make any proposals in the FY 2014 IPPS/LTCH PPS proposed rule on these topics or finalized policies, we will consider all of these views for future rulemaking and program development. We have responded, however, to a few comments in which commenters asked only for a clarification related to an existing policy or measure. We summarize these comments and our responses, below.
Comment: Several commenters encouraged CMS to refrain from adopting measures into the LTCHQR Program, until after they have been endorsed by the NQF for use in the LTCH setting. One commenter also encouraged CMS to only include measures that have gone through the full NQF review process, as this process is significantly more rigorous than the expedited limited endorsement review process. Several commenters expressed concerns regarding the expansion of existing measures from other healthcare settings to the LTCH setting. These commenters encouraged CMS to either develop new measures specifically for the LTCH setting, or wait until measures have been re-specified and tested for the LTCH setting, before applying for NQF endorsement and eventually including these measures in the LTCHQR Program.
Response: We agree that the NQF endorsement process is an important part of measure development. We have generally adopted NQF-endorsed measures whenever possible. However, where such measures do not exist for the LTCH setting, we may adopt measures that are not NQF-endorsed under the Secretary's exception authority set out in section 1886(m)(5)(D)(ii) of the Act. When measures are not NQF-endorsed, we actively work with NQF to re-specify and expand endorsement of these measures to the LTCH setting. Given the critical quality and patient safety issues we address in the LTCHQR Program, there have been times, such as in the case of NQF #0678, Percent of Residents or Patients with Pressure Ulcers That Are New or Worsened (Short-Stay), that we have finalized an application of a quality measure for the LTCHQR Program, while we were still working on re-specification, and later obtained NQF endorsement for the expansion. We believe that the NQF endorsement process is public and transparent and would encourage LTCHs and stakeholders to participate in that process.
Comment: Several commenters noted that CMS should, in its selection of measures, more closely align with the recommendations of MAP. These commenters noted that the MAP did not recommend any of the measures proposed for the FY 2017 and FY 2018 LTCHQR payment determinations and subsequent years, but rather, “supported the direction” of these measures and suggested that further testing and refinement is needed prior to introducing these measures in the LTCHQR Program.
Response: We agree that MAP guidance is an important part of the measure selection process. When the MAP supports only the direction of a measure, we carefully consider how that measure will need to be modified for expansion to the LTCH setting. However, while submission of measures to the MAP and consideration of its recommendations are part of our measure selection process, we also consider the input of stakeholders, subject matter and industry experts through the technical expert panels (TEPs) periodically convened by our measure development contractor, as well as national healthcare priorities suggested by groups such as MedPAC, and as set forth in the National Quality Strategy.
Comment: Two commenters encouraged CMS to work more closely with stakeholders to identify, select and modify quality measures to include in the LTCHQR Program. The commenters encouraged CMS to work with LTCHs to identify measures they currently use for quality reporting, to take advantage of measures from stakeholders such as LTCH associations and to use TEPs.
Response: We appreciate the commenters' suggestions and we stress that we place a high value on stakeholder feedback when developing quality measures. Throughout the measure selection process, we have sought input from a variety of stakeholders, including technical experts and LTCHs. A CMS Listening Session was held on November 15, 2010; Special Open Door Forums were held on December 6, 2010, September 21, 2011, and April 13, July 26, August 30, September 20, and October 18 of 2012; and our measure developer contractor convened LTCHQR TEPs on January 31, July 6, September 27, and December 13 of 2011, and March 8 and November 7 of 2012. We will continue to solicit input from stakeholders throughout the development and expansion of the LTCHQR Program.
Comment: Several commenters expressed concern regarding the pace with which items are being added to the LTCH CARE Data Set, and one noted that this may require LTCHs to shift resources from prevention activities to reporting activities.
Response: By building upon preexisting resources for data collection and submission, we intend to foster alignment of LTCHQR Program measures and measures in other quality reporting programs. This should help to reduce the administrative burden related to data collection and submission. We are aware that the initial setup and acclimation to the data collection vehicle—the LTCH CARE Data Set—has already occurred for a vast majority of LTCHs as part of the implementation of an application of the measure Percent of Residents or Patients with Pressure Ulcers That Are New or Worsened (Short-Stay) (NQF #0678) for the LTCHQR Program for the FY 2014 payment determination. Further, we anticipate that with the implementation of the Percent of Residents or Patients Who Were Assessed and Appropriately Given the Seasonal Influenza Vaccine (Short-Stay) (NQF #0680) for the LTCHQR Program for the FY 2016 payment determination, which we adopted in the FY 2013 IPPS/LTCH final rule, LTCHs will be very familiar with the LTCH CARE Data Set through its use for the LTCHQR Program by the time when LTCHs are required to submit data on the new measures we included in the proposed rule. Therefore, we believe the transition to reporting one additional measure via the LTCH CARE Data Set may be less burdensome.
3. Process for Retention of LTCHQR Program Measures Adopted in Previous Payment Determinations
In the FY 2013 IPPS/LTCH PPS final rule (77 FR 53614 through 53637), for the LTCHQR Program, we adopted a policy that once a quality measure is adopted, it is retained for use in subsequent years, unless otherwise stated. For the purpose of streamlining the rulemaking process, when we initially adopt a measure for the LTCHQR Program for a payment determination, this measure will be automatically adopted for all subsequent years or until we propose to remove, suspend, or replace the measure. For further information on how measures are considered for removal, suspension, or replacement, we refer readers to that final rule (77 FR 53614 and 53615).
4. Process for Adopting Changes to LTCHQR Program Measures
In the FY 2013 IPPS/LTCH PPS final rule (77 FR 53615 through 53616), we finalized our policy that if the NQF updates an endorsed measure that we have adopted for the LTCHQR Program in a manner that we consider to not substantively change the nature of the measure, we will use a subregulatory process to incorporate those updates to the measure specifications that apply to the LTCHQR Program. Examples of such nonsubstantive changes could be updated diagnosis or procedure codes, medication updates for categories of medications, changes to exclusions to the patient population, or minor changes to definitions. Examples of changes that we might consider to be substantive would be those in which the changes are so significant that the measure is no longer the same measure, or when a standard of performance assessed by a measure becomes more stringent. Specific examples of what we might consider substantive are changes in acceptable timing of medication, procedure/process, or test administration, or expansion of the measure to a new setting. The subregulatory process for nonsubstantive changes will include revision of the LTCHQR Program Manual and posting of updates on our LTCHQR Program Web site at: https://www.cms.gov/Medicare/Quality-Initiatives-Patient-Assessment-Instruments/LTCH-Quality-Reporting/index.htm.
While we did not propose changes to this process for adopting changes to LTCHQR Program measures, we received input from several commenters. We greatly appreciate the commenters' views on these topics and previously finalized measures. We will consider all of these views for future rulemaking and program development. We summarize these comments on existing policies and/or measures and our responses, below.
Comment: Several commenters recommended that CMS more clearly define the process involved in adopting changes to LTCHQR Program quality measures and allow for public comment before adopting, changing, or removing approved measures, as minor changes to definitions can result in a substantive change to a quality measure. Many commenters noted that clear definitions are essential to the successful implementation of quality measures in the LTCH setting. More specifically, this commenter suggested that LTCHs must fully understand the specifics of each measure and CMS must communicate the standards for measuring quality measure performance and improvement. Further, commenters suggested that the proposed quality measures be subject to periodic review, including public comment. One commenter stated that CMS did not provide clear information regarding the process by which substantive changes will be made to quality measures.
Response: We appreciate these commenters' input and agree on the importance of allowing for public comment as part of the process of adopting changes to LTCHQR Program measures. Information on this process, as well as the process by which substantial changes will be made to quality measures, is described in the FY 2013 IPPS/LTCH PPS final rule (77 FR 53615 through 53616). We will review these comments and take them into consideration when considering future changes.
We agree that clear definitions are required for the successful implementation of quality measures in the LTCH setting. When available, we include detailed measure definitions in proposed rulemaking. Following rulemaking, we will release the final technical data submission specifications and updated LTCHQR Program Manual. We also plan to offer ongoing training related to all CMS- and CDC-stewarded measures adopted into the LTCHQR Program as we move forward in our expansion of this program. We will continue to provide multiple resources that include detailed measure information to continue the successful implementation of the LTCHQR Program. We invite the public to visit the LTCHQR Program Web site for future updates on our training activities and ongoing activities we have undertaken as part of LTCHQR Program implementation at: https://www.cms.gov/Medicare/Quality-Initiatives-Patient-Assessment-Instruments/LTCH-Quality-Reporting/index.html.
We plan to provide specific information regarding the standards for measuring quality measure performance and improvement. We have alerted providers with letters of non-compliance for October 1, 2012 through December 31, 2012 quarter for CAUTI, CLABSI, and Pressure Ulcer quality measure data.
Regarding the suggestion that proposed quality measures be subject to periodic review, we have outlined the criteria that it will use to consider a quality measure for removal (77 FR 53614 through 53615). If we consider a measure for removal, the public will be given the opportunity to comment through the rulemaking process. In addition, we participate in a periodic review of all NQF-endorsed measures by submitting these measures for NQF maintenance review every three years.
5. Previously Adopted Quality Measures for the FY 2014 and FY 2015 Payment Determinations and Subsequent Years
In the FY 2013 IPPS/LTCH PPS final rule (77 FR 53616 through 53623), we retained the application of NQF #0678 to the LTCH setting (initially adopted in the FY 2012 IPPS/LTCH PPS final rule (76 FR 51745 through 51750)) and adopted updated versions of NQF #0138 and NQF #0139, for the FY 2014 and FY 2015 payment determinations and subsequent years as listed in the following table:
| NQF Measure ID | Measure title |
|---|---|
| NQF #0138 | National Health Safety Network (NHSN) Catheter-associated Urinary Tract Infection (CAUTI) Outcome Measure. |
| NQF #0139 | National Health Safety Network (NHSN) Central line-associated Blood Stream Infection (CLABSI) Outcome Measure. |
| Application of NQF #0678 | Percent of Residents with Pressure Ulcers That are New or Worsened (Short-Stay). |
We refer readers to the FY 2013 IPPS/LTCH PPS final rule (77 FR 53619 through 53623 and 53667 through 53672) for a discussion of the data collection and submission methods for these measures for the FY 2014 payment determination and subsequent years and for references to the descriptions of and specifications for these measures.
While CMS did not propose any changes in the FY 2014 IPPS/LTCH PPS proposed rule to these previously adopted quality measures for the FY 2014 and FY 2015 payment determinations and subsequent years, CMS received input from several commenters. We greatly appreciate the commenters' views on these previously finalized policies, and will consider all of these views for future rulemaking and program development. We have responded below, however, to a few comments in which commenters asked only for a clarification related to an existing policy and/or measure.
Comment: One commenter suggested that the definition of the CAUTI measure (NQF #0138) be broadened to include the entire hospital, and not just intensive care unit (ICU) stays. Another commenter expressed concern about the adaptation of the CAUTI measure to the long-term care environment. Of particular concern is that LTCHs may need resources to enroll, receive training, and educate staff on CDC's NSHN basics, including surveillance definitions and processes.
Response: The CAUTI measure (NQF #0138), as currently specified and finalized for the LTCHQR Program (77 FR 53616 through 53623), is applicable at the hospital level. It is not solely for ICU stays. With respect to the concern of resources and training, before the implementation of the LTCHQR Program, many LTCHs were already submitting data to the CDC's National Health Safety Network (NHSN) either voluntarily or as part of mandatory State reporting requirements for HAIs. For these LTCHs, the burden related to coping with the requirements of the LTCHQR Program was reduced because of pre-existing familiarity with the NHSN submission process. Further, we provided free training in May 2012, and both CDC and CMS have made extensive resources available to support providers and other stakeholders with the implementation of the LTCHQR Program. We plan to offer ongoing training related to all CMS- and CDC-stewarded measures adopted into the LTCHQR Program as we move forward in our expansion of this program. Please continue to check the LTCHQR Program Web site for updates on our training activities at: https://www.cms.gov/Medicare/Quality-Initiatives-Patient-Assessment-Instruments/LTCH-Quality-Reporting/index.html.
Comment: One commenter noted that CAUTI rates would not be comparable with different populations, as LTCHs comprise a very mixed population.
Response: Under the LTCHQR Program, CAUTI data will be analyzed solely for LTCHs. LTCHQR Program CAUTI data will not be compared to any data collected from hospitals, IRFs, or SNFs Because of the patient safety concerns CAUTIs pose to the patients with multiple comorbities in the LTCH setting, the burden they create on the healthcare system as well as available guidelines for prevention of CAUTIs, we continue to believe the measure remains relevant for the LTCHQR Program and believe it promotes awareness and encourages implementation of CAUTI prevention and control procedures in the LTCH setting. Further measure information is available on the NQF Web site at http://www.qualityforum.org/QPS/0138.
Comment: One commenter expressed concern regarding the changes that have been made to the NHSN definition effective January 1, 2013. For example, in the past, hospitals did not have to report CAUTIs when the hospital determined that the CAUTI was not the primary site of infection. With the recent change in definition, hospitals are now required to report CAUTIs in addition to the primary infection.
Response: The CAUTI measure was previously finalized for the LTCHQR Program for the FY 2014 payment determination in the FY 2012 IPPS/LTCH PPS final rule (76 FR 51745 through 51747). For this measure, facilities have never been able to state that a CAUTI was secondary to another site of infection (unlike CLABSIs). According to the measure steward (CDC), NHSN's definition of CAUTI did not change in 2013, and the revised criteria in 2013 for what constitutes an healthcare-associated infection (HAI) amounts to providing operational guidance—already widely in use before the guidance was published—that makes identifying and reporting HAIs more consistent across healthcare facilities. There was no change in the NQF measure specification; the CAUTI measure remains the same. As a result, CAUTI data reported for infections occurring in 2013 can be compared to the CAUTI baseline established using CAUTI data reported for infections occurring in 2012. In short, there was no significant change in the measure and the changes in HAI criteria have no bearing on reporting obligations.
Therefore, we do not believe that this should be addressed through rulemaking, as the NQF measure remains fully endorsed and NQF measure specifications criteria or the definition in the NHSN. Additional information related to the change in HAI definition is available at http://www.cdc.gov/nhsn/pdf/pscmanual/errata2013.pdf.
Comment: One commenter suggested that the definition of the CLABSI measure (NQF #0139) be broadened to include the entire hospital, and not just intensive care unit (ICU) stays. Another commenter expressed concern about the adaptation of the CLABSI measure to the long-term care environment. Of particular concern is that LTCHs may need resources to enroll, receive training, and educate staff on CDC's NSHN basics, including surveillance definitions and processes.
Response: The CLABSI measure (NQF #0139), as currently specified and finalized for the LTCHQR Program in the FY 2013 IPPS/LTCH PPS final rule (77 FR 53616 through 53623), is applicable at the hospital level. It is not solely for ICU stays. With respect to the concern of resources and training, before the implementation of the LTCHQR Program, many LTCHs were already submitting data to the NHSN either voluntarily or as part of mandatory State reporting requirements for HAIs. For these LTCHs, the burden related to coping with the requirements of the LTCHQR Program was reduced because of pre-existing familiarity with the NHSN submission process. Further, we provided free training in May 2012 and both CDC and CMS have made extensive resources available to support LTCHs and other stakeholders with the implementation of the LTCHQR Program.
Comment: One commenter noted that CLABSI rates would not be comparable with different populations, as LTCHs comprise a very mixed population.
Response: Under the LTCHQR Program, CLABSI data will be analyzed solely for LTCHs. LTCHQR Program CLABSI data will not be compared to any data collected from hospitals, IRFs, or SNFs. Because of the patient safety problem posed by CLABSIs to the chronically ill patient population in the LTCH setting, as well as its burden on the healthcare system, we believe it is appropriate to adopt this measure for the LTCHQR Program in order to promote awareness and encourage implementation of CLABSI control procedures in the LTCH setting. Further measure information is available on the NQF Web site at http://www.qualityforum.org/QPS/0139.
For comments received in response to the pressure ulcer measure, as well as to our proposed revisions to this measure, please see section IX.C.7.c of the preamble of this final rule.
6. Previously Adopted Quality Measures for the FY 2016 Payment Determination and Subsequent Years
In the FY 2013 IPPS/LTCH PPS final rule (77 FR 53624 through 53636), we adopted two additional quality measures for the LTCHQR Program for the FY 2016 payment determination and subsequent years, in addition to the three previously adopted measures (CAUTI measure, CLABSI measure, and Pressure Ulcer measure).
Set out below are the quality measures, both previously adopted measures retained in the LTCHQR Program and measures adopted in FY 2013 IPPS/LTCH PPS final rule, for the FY 2016 payment determination and subsequent years.
| NQF Measure ID | Measure Title |
|---|---|
| * Adopted for the FY 2014 payment determination and subsequent years. | |
| ** Adopted for the FY 2016 payment determination and subsequent years. | |
| NQF #0138 | National Health Safety Network (NHSN) Catheter-associated Urinary Tract Infection (CAUTI) Outcome Measure.* |
| NQF #0139 | National Health Safety Network (NHSN) Central line-associated Blood Stream Infection (CLABSI) Outcome Measure.* |
| Application of NQF #0678 | Percent of Residents with Pressure Ulcers That are New or Worsened (Short-Stay).* |
| NQF #0680 | Percent of Residents or Patients Who Were Assessed and Appropriately Given the Seasonal Influenza Vaccine (Short-Stay).** |
| NQF #0431 | Influenza Vaccination Coverage among Healthcare Personnel.** |
For comments received in response to changes we proposed in the FY 2014 proposed rule relating to the Percent of Residents or Patients Who Were Assessed and Appropriately Given the Seasonal Influenza Vaccine (Short-Stay) (NQF #0680) measure, as well as general comments on this measure, please see section IX.C.7.b. of the preamble of this final rule.
For comments received in response to changes we proposed in the FY 2014 proposed rule relating to the Influenza Vaccination Coverage Among Healthcare Personnel (NQF #0431) measure, please see section IX.C.7.a. of the preamble of this final rule.
7. Revisions to Previously Adopted Quality Measures
In the FY 2014 IPPS/LTCH PPS proposed rule (78 FR 27721 through 27724), we proposed the following revisions to the quality measures we have previously adopted for the LTCHQR Program.
a. Proposed Revisions for Influenza Vaccination Coverage Among Healthcare Personnel (NQF #0431) for FY 2016 Payment Determination and Subsequent Years
In the FY 2013 IPPS/LTCH PPS final rule (77 FR 53630 through 53631) we finalized that for Influenza Vaccination Coverage among Healthcare Personnel (NQF #0431), LTCHs should begin to submit data for January 1, 2014, through December 31, 2014 (CY 2014) for the FY 2016 payment determination. There is unique seasonality in the timing of influenza activity each year. The CDC, the steward of this measure, notes (http://www.cdc.gov/flu/pastseasons/1213season.htm) that while influenza activity most commonly peaks in January or February in the United States, it can begin as early as October and can continue to occur as late as May. The CDC recommends that people get vaccinated against influenza as long as influenza viruses are circulating. Thus, influenza vaccination season usually begins in early fall.
Therefore, we proposed that, for the LTCHQR Program, the Influenza Vaccination Coverage among Healthcare Personnel measure (NQF #0431) have its own reporting period to align with the influenza vaccination season, which is defined by the CDC as October 1 (or when the vaccine becomes available) through March 31. Instead of beginning data collection and submission in the middle of the 2013-2014 influenza season, as is the case when reporting begins on January 1, 2014 (as finalized in FY 2013 IPPS/LTCH PPS final rule), we proposed that data collection begin on October 1, 2014, or when the influenza vaccine becomes available (as defined by the CDC) and continue through March 31, 2015 for the 2014-2015 influenza season. This change allows LTCHs to collect and report data on influenza vaccination for the entirety of the 2014-2015 influenza season for the FY 2016 payment determination. This change is presented in the following table for the FY 2016 and FY 2017 payment determinations:
| Data collection timeframe | Final submission deadlines | Payment determination |
|---|---|---|
| October 1, 2014 (or when the influenza vaccine becomes available)—March 31, 2015 | May 15, 2015 | FY 2016. |
| October 1, 2015 (or when the influenza vaccine becomes available)—March 31, 2016 | May 15, 2016 | FY 2017. |
While LTCHs can enter information in CDC's NHSN (www.cdc.gov/nhsn/) at any point during the influenza season for NQF #0431, data submission is only required once per year, unlike the other measures finalized for the LTCHQR Program that also utilize NHSN (CAUTI measure NQF #0138 and CLABSI measure NQF #0139). For example, LTCHs can choose to submit influenza vaccination data for NQF #0431 on a monthly basis. However, each time an LTCH submits these data, it will be asked to provide a cumulative total of vaccinations for the “current” influenza season. Thus, entering this information at the end of the influenza season would yield the same total number of vaccinations. The NHSN system will not track the individual number of vaccinations on a monthly basis, but, rather, will track the cumulative total of vaccinations for the “current” influenza season. Also, we note that the data collection period for this measure is not 12 months, as with other measures, but is approximately 6 months (October 1 (or when the vaccine becomes available) through March 31). The final deadlines associated with submitting data, approximately 45 days after the end of the data collection timeframe for the FY 2016 payment determination and subsequent years, remain consistent with other measures in the LTCHQR Program, except that the other measures have quarterly data collection periods, with submission deadlines approximately 45 days after the close of each quarter.
We note that these changes are applicable only to NQF #0431 Influenza Vaccination Coverage among Healthcare Personnel, and not applicable to any other LTCHQR Program measures, proposed or adopted, unless explicitly stated. The specifications for this measure can be found at http://www.cdc.gov/nhsn/PDFs/HPS-manual/vaccination/HPS-flu-vaccine-protocol.pdf. We invited public comments on our proposal to revise the data collection and reporting timeline for this influenza vaccination measure (NQF #0431) for the FY 2016 and FY 2017 payment determinations and subsequent years.
Comment: Several commenters expressed support for the proposed revisions to the data collection and reporting timeline for the quality measure Influenza Vaccination Coverage Among Healthcare Personnel (NQF #0431). Commenters were pleased that the new timeline would align with the influenza season and allow LTCHs to collect and report data on influenza vaccination for the entirety of the influenza season.
Response: We appreciate the commenters' support to revise the data collection and reporting timeline for the Influenza Vaccination Coverage Among Healthcare Personnel (NQF #0431) measure to better align with the influenza season and account for the unique seasonality in the timing of influenza activity each year.
After consideration of the public comments we received, we are finalizing the proposed revision to the data collection and reporting timeline for the Influenza Vaccination Coverage Among Healthcare Personnel measure (NQF #0431) for the FY 2016 payment determination and subsequent years.
b. Revisions for Percent of Residents or Patients Who Were Assessed and Appropriately Given the Seasonal Influenza Vaccine (Short-Stay) (NQF #0680) for the FY 2016 Payment Determination and Subsequent Years
In the FY 2013 IPPS/LTCH PPS final rule (77 FR 53624 through 53627), we finalized that for NQF #0680, Percentage of Residents or Patients Who Were Assessed and Appropriately Given the Seasonal Influenza Vaccine (Short-Stay), LTCHs should begin to collect and submit data on January 1, 2014, through December 31, 2014 (CY 2014), for the FY 2016 payment determination. This measure, stewarded by CMS, will be collected using items included in the LTCH CARE Data Set (Version 2.01). [120] The LTCH CARE Data Set was approved on June 10, 2013, by the Office of Management and Budget in accordance with the Paperwork Reduction Act (PRA); the OMB Control Number is 0938-1163. Later in 2013, we will release the final technical data submission specifications and updated LTCHQR Program Manual for the LTCH CARE Data Set (Version 2.01) containing items related to NQF #0680. Further, CMS and CDC have collaborated in the past with implementation of the LTCHQR Program and will continue to collaborate on training opportunities for providers.
In order to allow time and opportunity for LTCHs and vendors to participate in CMS-sponsored training activities pertaining to the implementation of the LTCH CARE Data Set (Version 2.01), as well as time to plan for and incorporate changes into their data collection and entry systems, we proposed to revise the previously finalized start date of January 1, 2014 for collecting data for this measure to April 1, 2014. We also noted that for CY 2014, data collection will continue through December 31, 2014. We proposed that data for admissions and discharges for an LTCH during April 1, 2014, through December 31, 2014, will be used for the FY 2016 payment determination. We also proposed that data for January 1, 2015, through December 31, 2015 (CY 2015), will be used for the FY 2017 payment determination. Further, we proposed that, thereafter, data for January 1 through December 31 of each year will be used for subsequent years. The proposed timeline is illustrated in the table below for the FY 2016 and FY 2017 payment determinations.
| Data collection timeframes | Submission deadlines | Payment determination |
|---|---|---|
| [Short-Stay] | ||
| April 1, 2014-June 30, 2014 | August 15, 2014. | FY 2016. |
| July 1, 2014-September 30, 2014 | November 15, 2014. | |
| October 1, 2014-December 31, 2014 | February 15, 2015. | |
| January 1, 2015-March 31, 2015 | May 15, 2015. | FY 2017. |
| April 1, 2015-June 30, 2015 | August 15, 2015. | |
| July 1, 2015-September 30, 2015 | November 15, 2015 | |
| October 1, 2015-December 31, 2015 | February 15, 2016 | |
Further, in the FY 2014 IPPS/LTCH PPS proposed rule (78 FR 27723), we proposed that while an LTCH's compliance with reporting quality data for NQF #0680 will be based on the calendar year, the measure calculation and public reporting of this measure (once public reporting is instated) will continue to be based on the influenza vaccination season starting on October 1 (or when vaccine becomes available) and ending on March 31 of the subsequent year. We also noted that, for example, while data collection is based on April 1, 2014, through December 31, 2014, for the FY 2016 payment determination, we will base the calculation of the measure for public reporting purposes on the 2014-2015 influenza vaccination season (October 1, 2014 (or when the vaccine becomes available)—March 31, 2015). Similarly for the following year, CMS noted that we will base data collection on January 1, 2015, through December 31, 2015, for the FY 2017 payment determination and calculation of the measure for public reporting purposes on the 2015-2016 influenza vaccination season (October 1, 2015 (or when vaccine becomes available)—March 31, 2016).
All LTCHs will be required to collect data using the LTCH CARE Data Set (Version 2.01). [121] The Quality Improvement and Evaluation System (QIES) Assessment Submission and Processing (ASAP) System will remain the data submission mechanism for the LTCH CARE Data Set. Further information on data submission of the LTCH CARE Data Set for the LTCHQR Program Reporting using the QIES ASAP system is available at: https://www.qtso.com/ and http://www.cms.gov/Medicare/Quality-Initiatives-Patient-Assessment-Instruments/LTCH-Quality-Reporting/LTCHTechnicalInformation.html.
We noted that these changes are applicable only to the Percent of Residents or Patients Who Were Assessed and Appropriately Given the Seasonal Influenza Vaccine (Short-Stay) (NQF #0680) for the LTCHQR Program, and not applicable to any other LTCHQR Program measures, proposed or adopted, unless explicitly stated.
We invited public comments on our proposal to revise the data collection and reporting timeline for this influenza vaccination measure (NQF #0680) for the FY 2016 and FY 2017 payment determinations and subsequent years.
Comment: Some commenters expressed support for the proposed revisions to the data collection and reporting timelines for Percent of Residents or Patients Who Were Assessed and Appropriately Given the Seasonal Influenza Vaccine (Short-Stay) (NQF #0680). Commenters believed that the proposed delay in the data collection and reporting timeline would allow needed time for the LTCH community and vendors to train, plan for and incorporate necessary changes into their data entry systems, prior to beginning data collection. A few commenters also appreciated that the proposed change in the timeline for calculation of the measure would better align with the traditional influenza season.
However, several commenters recommended that CMS align the data collection timeline for this measure to align with the data collection timeline for the Influenza Vaccination Coverage Among Healthcare Personnel measure (NQF #0431), resulting in a data collection period of October 1, 2014 (or when the influenza vaccine becomes available), through March 31, 2015, for the FY 2016 payment determination and October 1, 2015 (or when the influenza vaccine becomes available), through March 31, 2016, for the FY 2017 payment determination. These commenters added that it was confusing to follow a data collection period that does not correspond to the influenza season, when CMS plans to base the measurement calculation and subsequent public reporting of the measure on the influenza season (October 1-March 31). In addition, commenters felt that having two different data collection periods for the two influenza vaccination measures (NQF #0680 and NQF #0431) is confusing and is likely to lead to errors. One commenter noted concern that a data collection start date of April 1, 2014, does not allow sufficient time for LTCHs to prepare for and train their staff for data collection, and noted a start date of October 1, 2014, would be more sufficient.
Response: We appreciate the commenters' support for our proposal to revise the data collection and reporting timelines for Percent of Residents or Patients Who Were Assessed and Appropriately Given the Seasonal Influenza Vaccine (Short-Stay) (NQF #0680). We also appreciate commenters' concerns with submitting data during a timeframe that could be considered “off season.” Upon review of comments, and in response to those comments, we have revised the data collection timeframe to more closely align with the influenza vaccination season. Starting with the 2014-2015 influenza season, we will require LTCHs to collect data for all LTCH patients admitted or discharged between October 1 and April 30. At this point, our data reporting and submission infrastructure for the LTCH CARE Data Set requires LTCHs to submit data on patient admissions and discharges (or death) separately. As a result, allowing reporting through April will allow us to capture the influenza vaccination status of LTCH patients admitted in March and discharged in April. For example, any patient admitted to an LTCH in March is automatically included in the denominator of this measure. Requiring LTCHs to respond to, and report quality data items related to the Patient Influenza measure (#0680) through April 30th of any given year will allow LTCHs to show if those patients that were included in the denominator were vaccinated. If we were only to require LTCHs to answer the Patient Influenza items in the LTCH CARE Data Set through March 31st (as is required for the Healthcare Personnel Vaccination measure (NQF #0431), those patient admitted, but not discharged prior to March 31st would be excluded from the measure, and LTCHs would not receive credit for any Influenza vaccinations administered to those patients. Further, this revision will reduce the burden of data collection changing it from the previously finalized year-round data collection to seasonal data collection, which addresses concerns regarding year-round data collection. Further guidance for data collection will be released in the LTCHQR Program Manual and other subregulatory mechanisms (such as the special open door forums, provider training, etc.) later this year.
Comment: One commenter requested clarification regarding this (Percent of Residents or Patients Who Were Assessed and Appropriately Given the Seasonal Influenza Vaccine) quality measure. Specifically, the commenter asked whether screening patients for the influenza vaccine was required during the non-influenza season (April through December).
Response: In order to fully capture all LTCH patients who were in the LTCH during the influenza vaccination season, LTCHs will need to screen patients for influenza vaccination status during the data collection period of October 1st through April 30th only. However, for purposes of measure calculation and public reporting, we will use data collected and submitted beginning in October 1 of that year and ending on March 31 of the following year. We will issue operational guidance regarding the collection and submission of this data in the LTCH QR Program Manual version 2.0, which will be finalized and released upon publication of this rule.
Comment: A few commenters expressed concerns regarding patients who were transferred to the LTCH from an acute inpatient facility. Specifically, these commenters remarked that acute inpatient hospitals paid under the IPPS are required to report on the vaccination status of their patients as part of the Hospital IQR Program. As a result, these commenters believed that the inclusion of the Percent of Residents or Patients Who Were Assessed and Appropriately Given the Seasonal Influenza Vaccine (Short-Stay) (NQF #0680) as part of the LTCHQR Program is redundant, and expressed concerns that the inclusion of the measure in both quality reporting programs could result in duplicate vaccinations of the same patient leading to patient safety concerns.
Response: We greatly appreciate the commenters' views on these topics. Although we did not make proposals in the FY 2014 IPPS/LTCH PPS proposed rule on some of the topics or inclusion of this finalized measure in the LTCHQR Program, we are mindful of the concerns for redundancy and duplicate vaccination of the same patient that could result from the use of this measure in the Hospital IQR and LTCHQR Programs. However, we wish to clarify that the items on the LTCH CARE Data Set Version 2.01 for use in collecting data for the LTCHQR Program and specifications for the Percent of Residents or Patients Who Were Assessed and Appropriately Given the Seasonal Influenza Vaccine (short-stay) measure directly address and alleviate these concerns.
Specifically, we note that item O0250 on LTCH CARE Data Set Version 2.01 and guidance provided in the Draft LTCHQR Program Manual Version 2.00 is designed to ensure LTCHs follow current clinical guidelines to assess whether a patient should receive an influenza vaccine and to ensure that, when clinically indicated, each patient only receives one influenza vaccine, thus addressing patient safety concerns. For patients who did not receive the influenza vaccine in the facility, item O0250 allows LTCHs to indicate why a patient did not receive the vaccine. Choices include: (1) Patient not in facility during this year's influenza vaccination season; (2) Received outside of this facility; (3) Not eligible—medical contraindication; (4) Offered and declined; (5) Not offered; (6) Inability to obtain vaccine due to a declared shortage; and (9) None of the above. These options are designed to both ensure that influenza vaccinations occur within clinical guidelines and, with regard to option number 2, that patients are not vaccinated twice.
In addition, the specifications of this quality measure are designed so that facilities will only vaccinate when the patient has not already received the vaccination in another setting. Specifically, the numerator statement of the measure separately reports (and gives credit for): (1) Those who received the influenza vaccine during the most recent influenza season, either in the facility or outside the facility; (2) the number who were offered and declined the influenza vaccine; or (3) the number who were ineligible due to contraindication(s). LTCHs can report that a patient received the vaccine at another facility prior to arriving at the LTCH and still receive credit in the numerator. The use of this measure in the LTCHQR Program assumes and supports ongoing efforts of LTCHs and acute care hospitals for care coordination and sharing of clinical information between health care settings as part of patient transfer and discharge records.
Comment: One commenter recommended that the title of this measure be updated to reflect its application to LTCH patients.
Response: We greatly appreciate the commenter's input. Although we did not make proposals in the FY 2014 IPPS/LTCH PPS proposed rule on this topic, we will consider this view for future rulemaking and program development. We believe that the current title (which is the same as the title of the measure we finalized in the FY 2013 IPPS/LTCH PPS final rule) “Percent of Residents or Patients Who Were Assessed and Appropriately Given the Seasonal Influenza Vaccine (short-stay)” (revised from the previous title “Percent of Residents Who Were Assessed and Appropriately Given the Seasonal Influenza Vaccine (short-stay)” to reflect expansion to the LTCH (and IRF) patient population in addition to Skilled Nursing Facility/Nursing Home Short-Stay residents) sufficiently reflects its applicability to the LTCH setting. The addition of the word “patients” in the measure title was done at the time of NQF review of this measure and endorsement by the NQF Board of Directors on May 2, 2012, for the LTCH (and IRF) settings.
Comment: One commenter expressed concerns regarding the importance of Percent of Residents or Patients Who Were Assessed and Appropriately Given the Seasonal Influenza Vaccine (short-stay) (NQF #0680) within the LTCH setting. This commenter suggested that given CMS' limited resources, CMS should focus on measures that are most important for the LTCH setting and have the greatest impact on patients cared for in the LTCH setting.
Response: We greatly appreciate the commenter's view on this topic and this previously finalized measure. We will consider this input for future rulemaking and program development. We refer the commenter to the FY 2013 IPPS/LTCH PPS final rule (77 FR 53624 through 53625) for a discussion of the importance, rationale, and relevance finalized for this measure for the FY 2016 payment determination and subsequent years, and for references to the description of and specifications for this measure.
We recognize that there are many critical issues facing LTCHs and their patients and additional appropriate quality measures that we should consider for the LTCHQR Program. We continue to focus on developing and implementing measures for our various quality reporting programs that will have the greatest impact on patient populations cared for in each setting. Further, we remain committed to identifying quality measures in each quality reporting program, including the LTCHQR Program, to align with the aims and priorities outlined in the National Quality Strategy. [122] In future years, we will continue to identify and assess the relevance of both setting-specific and cross-setting quality measures to strengthen our quality reporting programs, including the LTCHQR Program.
After consideration of the public comments we received, we are finalizing a revised data collection and reporting timeline. Starting with the 2014-2015 influenza vaccination season, data collection for the Percent of Residents or Patients Who Were Assessed and Appropriately Given the Seasonal Influenza Vaccine (short-stay) measure (NQF #0680) will be required for any patient admitted or discharged between October 1 and April 30. Submission deadlines for the FY 2016 and FY 2017 payment determinations are illustrated in the table below. However, we note that, as discussed above, similar timeframe and deadlines apply to subsequent years. In addition, we are finalizing our proposal that the measure calculation and public reporting of this measure (once public reporting is instated) will be based on the influenza vaccination season of the subsequent year.
| Data collection timeframes | Submission deadlines | Payment determination |
|---|---|---|
| [Short-Stay] | ||
| October 1, 2014-April 30, 2015 | May 15, 2015 | FY 2016. |
| October 1, 2015-April 30, 2016 | May 15, 2016 | FY 2017. |
c. Revisions for Percent of Residents or Patients With Pressure Ulcers That Are New or Worsened (Short-Stay) (NQF #0678) for the FY 2015 Payment Determination and Subsequent Years
In the FY 2012 IPPS/LTCH PPS final rule (76 FR 51748 through 51750), we adopted an application of NQF #0678 Percent of Residents with Pressure Ulcers That are New or Worsened (Short-Stay) for the FY 2014 payment determination, and retained this application of the measure in the FY 2013 IPPS/LTCH PPS final rule (77 FR 53615 through 53619) for the FY 2015 payment determination and subsequent years. We refer readers to the FY 2012 IPPS/LTCH PPS final rule (76 FR 51748 through 51750) for a discussion of the rationale, data collection methods, and submission methods finalized for this measure for the FY 2014 payment determination and subsequent years, and for references to the description and specifications of this measure.
At the time we completed our work on the FY 2013 IPPS/LTCH PPS final rule, NQF #0678 was not yet NQF-endorsed for use in the LTCH setting and was undergoing ad hoc review at the NQF for expansion to the LTCH setting. As a result, we were only able to adopt an application of the endorsed measure in our FY 2013 IPPS/LTCH PPS final rule. NQF #0678 underwent review for expansion to the LTCH setting by the NQF Consensus Standards Approval Committee (CSAC) on July 11, 2012 and was subsequently ratified by the NQF Board of Directors for expansion to the LTCH setting on August 1, 2012. 123 124 The title of the measure was changed to Percent of Residents or Patients with Pressure Ulcers that are New or Worsened (Short-Stay) to reflect this expansion. Updated specifications, reflecting the expansion are available on the NQF Web site at: http://www.qualityforum.org/QPS/0678.
In the FY 2013 IPPS/LTCH PPS final rule (77 FR 53615 through 53616), we stated that we would continue to use the rulemaking process to adopt changes to measures when NQF review substantively changes the measure. We stated that one example of a substantive change would be the change the NQF makes to a previously endorsed measure when it extends that measure to a new setting. In the FY 2014 IPPS/LTCH PPS proposed rule (78 FR 27723 through 27724), because NQF #0678 has received endorsement for the LTCH setting, we proposed to adopt the updated measure NQF #0678 Percent of Residents or Patients with Pressure Ulcers that are New or Worsened (Short-Stay) for the FY 2015 payment determination and subsequent years.
This change would not alter the data collection, data submission, or burden finalized in the FY 2013 IPPS/LTCH PPS final rule since there have been no changes to the data elements in the LTCH CARE Data Set (version 1.01), data submission system (QIES ASAP) and technical submission specifications for the LTCH CARE Data Set used for this measure for the FY 2015 payment determination. The only difference between our previously finalized application of the measure (NQF #0678 Percent of Residents with Pressure Ulcers that are New or Worsened (Short-Stay)) and this expanded measure (NQF #0678 Percent of Residents or Patients with Pressure Ulcers that are New or Worsened (Short-Stay)) is the change in name and NQF-endorsed expansion of this measure to the LTCH (and IRF) patient population in addition to Skilled Nursing Facility/Nursing Home Short-Stay residents.
We invited public comment on this proposal to adopt NQF #0678 Percent of Residents or Patients with Pressure Ulcers that are New or Worsened (Short-Stay) for the LTCHQR Program.
Comment: Several commenters were supportive of the CMS proposal to adopt NQF #0678 Percent of Residents or Patients with Pressure Ulcers that are New or Worsened (Short-Stay) for the LTCHQR Program. Commenters commended CMS for completing the re-specification process for this measure and applying for and receiving the NQF endorsement for expansion of this measure to the LTCH (and IRF) settings.
Response: We appreciate the commenters' support and recognition of the importance of our work to re-specify and expand this measure to the LTCH setting and NQF endorsement for LTCH setting.
Comment: One commenter expressed concern regarding pressure ulcers that develop at another facility during a 3-day interrupted stay. The commenter mentioned that when a patient is discharged from an LTCH to another facility, the LTCH is not able to control the care provided in the other facility and does not have a professional responsibility for the care of the patient. The commenter expressed that it is unreasonable to impose a payment reduction on an LTCH, for a pressure ulcer that occurs in another facility during a 3-day stay interruption. In addition, this commenter believed that it would be misleading to the public to report a pressure ulcer as having occurred at an LTCH, when it was acquired at another facility during an interrupted stay. The commenter recommended that CMS use a new data collection item to capture information on whether a pressure ulcer is acquired during an interrupted stay.
Response: We refer readers to our response to these specific concerns in the FY 2013 IPPS/LTCH PPS final rule (77 FR 53618).
Comment: A few commenters did not believe NQF #0678 Percent of Residents or Patients with Pressure Ulcers that are New or Worsened (Short-Stay) is an appropriate quality measure for the LTCH setting. While these commenters recognized the importance of pressure ulcer prevention and management, they believed that it was inappropriate for CMS to implement a measure in the LTCH setting that was originally developed for the nursing home setting. Two commenters recommended that a more appropriate measure would be one that specifically measures pressure ulcer healing. Commenters pointed out that many LTCHs have expertise in wound healing and often admit patients in order to address a non-healing wound. One commenter also recommended that CMS consider a measure of hospital acquired infections of pressure ulcers or wounds.
Response: We greatly appreciate the commenters' views on the appropriateness of the pressure ulcer measure in the LTCHQR Program. We will consider all of these views for future rulemaking and program development. Please note that the commenters' concerns regarding the appropriateness of this measure in the LTCHQR Program were discussed in detail when this measure was originally finalized in the FY 2012 IPPS/LTCH PPS final rule. We refer readers to the FY 2012 IPPS/LTCH PPS final rule (76 FR 51748 through 51749) for a discussion of our rationale for finalizing this measure for the FY 2014 payment determination and subsequent years, and for references to the description and specifications of this measure. Further, we wish to clarify and reiterate that although this measure was originally developed for the SNF/nursing home patient population, it has been re-specified for the LTCH (and IRF) settings and undergone NQF review and received NQF endorsement for expansion to the LTCH (and IRF) settings on August 1, 2012. NQF endorsement of this measure demonstrates appropriateness of this measure in the LTCH setting.
We appreciate the commenters' recommendations that CMS consider additional quality measures related to pressure ulcers and is committed to taking this input under consideration to inform our ongoing work on further development and implementation of the LTCHQR Program.
Comment: One commenter expressed concern regarding the assumptions made in the development, selection, and re-specification of this measure. The commenter suggests that the measure does not take into account unavoidable pressure ulcers, or ulcers that are not caused by poor quality care. This commenter also pointed out that not all pressure ulcers progress through the numeric stages that are included in the data elements that LTCHs must report on and that worsening should not be defined as a pressure ulcer which increases in stage.
Response: While we agree that some pressure ulcers are unavoidable, clinical evidence suggests that many or most pressure ulcers can be avoided through application of appropriate standards of care. We refer readers to FY 2012 IPPS/LTCH PPS final rule for further discussion (76 FR 51749). However, the purpose of this measure is not to capture whether or not a pressure ulcer is or is not avoidable. That is a clinical determination outside of the scope of the measure. The measure only reflects the number of Stage 2-4 pressure ulcers that are new or worsened.
With regard to the commenters concern regarding the relationship between pressure ulcers and poor quality care, we agree that poor quality care cannot be determined solely by the pressure ulcer measures. A determination of poor quality of care would require a full medical chart and an assessment of whether or not the care given to a specific patient was appropriate based on the clinical assessment of the patient. This determination would be made by regulatory and certifying bodies, and not via the LTCHQR Program.
Finally, pressure ulcer worsening and healing is complex and multi-faceted, and takes into account several different factors including (but not limited to) increased exudate, erythema, lack of epithelialization, increase in surface area, continued degeneration of tissue and comorbidities. For the purposes of the LTCHQR Program, we define worsening of a wound as “a pressure ulcer that has progressed to a deeper level of tissue damage and is therefore staged at a higher number using a numerical scale of 1-4 (using the staging assessment classifications assigned to each stage; starting at stage 1, and increasing in severity to stage 4) on a discharge assessment as compared to the admission assessment.” (Draft LTCHQR Program Manual Version 2.00, page M-25, http://www.cms.gov/Medicare/Quality-Initiatives-Patient-Assessment-Instruments/LTCH-Quality-Reporting/Downloads/LTCH-QR-Program-Manual-v20-DRAFT.zip.) The staging system used for this measure is a modified version of the National Pressure Ulcer Advisory Panel (NPUAP) staging system, which has been tested for validity, accuracy, clarity, succinctness, utility, and discrimination. [125]
After consideration of the public comments we received, we are finalizing our proposal to adopt the expanded measure NQF #0678 Percent of Residents or Patients with Pressure Ulcers that are New or Worsened (Short-Stay) for the LTCHQR Program for FY 2015 payment determination and subsequent years.
8. New LTCHQR Program Quality Measures for the FY 2017 and FY 2018 Payment Determinations and Subsequent Years
a. Considerations in Updating and Expanding Quality Measures Under the LTCHQR Program for the FY 2017 Payment Determination and Subsequent Years
As noted in section IX.C.2. of the preamble of this final rule, we consider input from the MAP (http://www.qualityforum.org/Setting_Priorities/Partnership/Measure_Applications_Partnership.aspx) in selecting measures for the LTCHQR Program. Measures proposed for the LTCHQR Program in the proposed rule were included on CMS' List of Measures under Consideration for December 1, 2012 (MUC List), and discussed in the MAP Pre-Rulemaking Report available at: http://www.qualityforum.org/Publications/2013/02/MAP_Pre-Rulemaking_Report_-_February_2013.aspx (pp. 170-176). MAP supported the direction of each proposed measure.
In the FY 2014 IPPS/LTCH PPS proposed rule (78 FR 27724 through 27730), in the absence of any NQF-endorsed measures for the LTCH setting and after due consideration to any measures that may have been endorsed or adopted by a consensus organization, we proposed measures that are fully supported by the MAP for the LTCHQR Program, or that most closely align with the national priorities discussed in section IX.C.2. of the preamble of this final rule. In the absence of the MAP's full support, we have in some cases deemed it appropriate to propose measures for which there is MAP support for the measure concept. Further discussion of why a particular measure is high priority in the LTCH setting is included for each proposed measure below.
In addition, to the extent practicable, we have for each proposed measure that is not endorsed by the NQF or another consensus organization, sought measures that have been recommended by multi-stakeholder organizations, and/or been developed with the input of providers, purchasers/payers, and a variety of other stakeholders.
b. New LTCHQR Program Quality Measures for the FY 2017 Payment Determination and Subsequent Years
We proposed the following three new quality measures for the LTCHQR Program to affect the FY 2017 payment determination and subsequent years:
(1) Quality Measure #1: National Healthcare Safety Network (NHSN) Facility-Wide Inpatient Hospital-Onset Methicillin-Resistant Staphylococcus aureus (MRSA) Bacteremia Outcome Measure (NQF #1716)
NQF #1716 is a standardized infection ratio (SIR) of hospital-onset unique blood source MRSA laboratory-identified events among all inpatients in the facility. It was adopted by the Hospital IQR Program in the FY 2012 IPPS/LTCH PPS final rule (76 FR 51630) for the FY 2015 payment determination, with data collection having begun on January 1, 2013. The measure was developed by the CDC and is NQF-endorsed.
Methicillin-Resistant Staphylococcus aureus (S. aureus) (MRSA) infections are caused by a strain of S. aureus bacteria that has become resistant to antibiotics commonly used to treat these infections. Between 2003 and 2004, an estimated 4.1 million persons in the United States had nasal colonization with MRSA. [126] In addition, in 2005 it is estimated that there were 94,000 invasive MRSA infections in the United States associated with about 18,000 deaths. [127] Currently, there are eight States that have implemented a MRSA Prevention Collaborative. [128] For Medicare populations, MRSA is a source of increased cost, lengths of stay, morbidity and mortality, and can be a consequence of poor quality of care. 129 130
Older adults and patients in healthcare settings are most vulnerable to MRSA infections, as these patients have weakened immune systems. LTCHs are characterized by having highly acutely ill patients with multiple comorbidities and longer lengths of stay, thereby making LTCH patients at risk for acquisition of an antibiotic-resistant infection like MRSA infection. [131] According to analysis of ICD-9 codes reported on Medicare claims, LTCHs reported 5,853 cases of MRSA in 2009. Present-on-admission (POA) indicators are not available on LTCH claims; therefore, we are unable to say whether these conditions are present on admission or acquired during the LTCH stay. Therefore, it was not possible to determine which of these infections occurred in the LTCH. However, we note that on the majority of claims, the primary diagnosis is the admitting diagnosis and is considered to be present on admission and therefore, the secondary diagnoses can be assumed to provide a count of conditions that could have been acquired in the LTCH. [132] When it was assumed that a MRSA infection recorded in the primary diagnosis code was likely present on admission and an MRSA infection recorded in the secondary diagnosis code was acquired in the LTCH, there were 5,826 reported cases that may have been acquired in the LTCH. [133] Further, healthcare-associated MRSA infections occur frequently in patients who have invasive devices, such as catheters or ventilators. [134] We included the proposed MRSA measure in the December 1, 2012, MUC list. The MAP supported the direction of this measure. [135]
We proposed to use the CDC's NHSN reporting and submission infrastructure for reporting of the proposed NHSN Facility-Wide Inpatient Hospital-onset MRSA Bacteremia Outcome Measure (NQF #1716). CDC's NHSN is the data collection and submission framework currently used for reporting the CAUTI (#0138), CLABSI (#0139), and Influenza Vaccination Coverage among Healthcare Personnel (#0431) measures. Details related to the procedures for using NHSN for data submission and information on definitions, numerator data, denominator data, data analyses, and measure specifications for the proposed NHSN Facility-Wide Inpatient Hospital-onset MRSA Bacteremia Outcome Measure (NQF #1716) can be found at: http://www.qualityforum.org/QPS/1716 and http://www.cdc.gov/nhsn/PDFs/pscManual/12pscMDRO_CDADcurrent.pdf. For January 2012 through January 2013, an estimated 42 LTCHs reported laboratory-identified MRSA event data into NHSN. [136] By building on the CDC's NHSN reporting and submission infrastructure, we intend to reduce the administrative burden related to data collection and submission for this measure under the LTCHQR Program. We refer readers to section IX.C.9. of the preamble of this final rule for more information on data collection and submission. We invited public comment on this proposed measure and data collection and submission for the proposed measure for the FY 2017 payment determination and subsequent years.
Comment: A number of commenters expressed support of our proposal to include NHSN Facility-wide Inpatient Hospital-onset MRSA Infection Outcome Measure (NQF #1716), citing relevance of healthcare-acquired infections to the LTCH setting. One commenter also acknowledged the importance of MRSA prevention and control. One commenter noted that healthcare-acquired infections are a common reason for 30-day hospital readmission. Another commenter stated that pay-for-reporting programs are an important mechanism for raising awareness of conditions such as MRSA, especially when the data are publicly reported and institutions can compare their performance against the performance of other facilities. Two commenters appreciated the effort of CMS to align LTCHQR Program measures with measures in other quality reporting initiatives.
Response: We appreciate the commenters' recognition and support of our efforts to adopt measures for the LTCHQR Program that emphasize high-priority patient safety concerns and harmonize measures across settings, when applicable.
Comment: Many commenters objected to the proposed MRSA SIR healthcare-acquired infection measure, citing lack of NQF endorsement for the LTCH setting. These commenters urge CMS to request formal NQF review, using the Consensus Development Process, of this proposed measure for the LTCH setting before deciding whether to adopt it for the LTCHQR Program.
Many commenters objected to inclusion of MRSA SIR because they are concerned that, while the proposed MRSA measure received a “support direction” vote from the MAP, it was not granted full approval. Commenters cited the MAP's conclusion that the measure is “Not ready for implementation,” “the measure concept is promising but requires modification or further development,” and the “Measure should be specified and tested for the LTCH setting.” Commenters agreed with MAP reviewers that the measure has not been adequately developed, specified or tested in the LTCH setting.
Some commenters noted it is inappropriate to apply this measure to the LTCH setting, which has more medically complex patients with acute hospital needs, since it was developed for another setting. One commenter noted that although a number of LTCHs voluntarily reported MRSA data to the CDC's NHSN between January 2012 and January 2013, this voluntary reporting activity does not constitute formal testing. Commenters stated that it is essential that measures are rigorous enough to produce credible results given that LTCHQR Program measure scores will ultimately be publicly reported. Another commenter suggested delaying the collection and submission of this measure until such time as the data currently submitted to NHSN has been reviewed for validity and reliability.
Response: The National Healthcare Safety Network (NHSN) Facility-wide Inpatient Hospital-onset MRSA Outcome Measure was endorsed as NQF #1716 as of December 14, 2012, and is endorsed for use in several settings, including LTCHs. Because of the scope of the patient safety problem posed by MRSA to the chronically ill patient population in the LTCH setting, as well as its burden on the healthcare system, we believe it in the best interest of patients to adopt this measure for the LTCHQR Program in order to promote awareness and encourage implementation of MRSA control procedures in the LTCH setting. The CDC states that rates will be calculated for this measure in the LTCH setting (referred to as the Long-Term Acute Care [LTAC] setting by the CDC's NHSN) until appropriate risk adjustment can be determined for an SIR calculation. Data will be analyzed separately for the LTCHs so no inappropriate comparisons will be made between LTCH and other healthcare settings. The measure is on the list of NQF-endorsed measures and can be found on the NQF Web site at http://www.qualityforum.org/QPS/1716.
We appreciate the commenters' input on finalizing a measure for which the MAP supported direction. We note that we have taken the MAP's input into consideration in selecting quality measures, as we are required to do under section 1890(a)(4) of the Act. However, we are not required to follow the MAP's recommendations, but to take them into account when selecting measures for proposal. In addition to MAP input, we take a variety of other factors into account in selecting measures. In this instance, for example, the National Healthcare Safety Network (NHSN) Facility-wide Inpatient Hospital-onset Methicillin-resistant Staphylococcus aureus (MRSA) Bacteremia Outcome Measure (NQF #1716) is NQF-endorsed for the LTCH setting, an indication that it is appropriate for LTCH patients. In addition, this measure is appropriate in light of the fact that illness from MRSA most commonly affects older adults in hospitals or in facilities with longer lengths of stay. For the reasons listed above, this measure is appropriate for LTCH patients.
Comment: Commenters also expressed strong concern that CMS' failure to convene a TEP for any of the new proposed quality measures demonstrates the questionable nature of the proposed measures. The commenters believed that TEPs are integral to developing healthcare setting appropriate quality measures.
Response: We appreciate the commenter's concern, and agree that TEPs are an integral step for assessing a measure's appropriateness for a care setting. The MRSA measure was evaluated by a TEP. The TEP evaluated the measure on Importance, Scientific Soundness, Usability, and Feasibility. The TEP indicated that MRSA was of high importance and the measure was scientifically sound.
Comment: Several commenters suggested that inclusion of a POA code for LTCH Medicare claims may help quantify the problem and avoid the costly implementation of very labor-intensive data collection for MRSA infections. One commenter expressed concern that the MRSA performance data cited in the rule are based on 2009 Medicare claims data and that CMS acknowledged that LTCH claims lack a POA indicator that would help determine whether the MRSA was acquired before or during hospitalization.
Response: Although Medicare claims data for LTCHs lack the POA indicator, we believe that the data from our previous analysis provides evidence that MRSA infections do occur within the LTCH setting. [137] The data sources for the NQF endorsement of this measure do not rely on claims data. (We refer readers to http://www.qualityforum.org/QPS/1716 for a list of data sources for this measure.)
We agree that using a POA indicator would permit a claims-based MRSA measure, which would not require LTCHs to collect data. However, we previously considered implementation of a claims-based MRSA measure for the Hospital IQR Program but found that it was not feasible to do so in a valid and reliable manner. We believe that the very same issues related to validity and reliability would apply in the LTCHQR Program, since the programs are not distinguishable in any way that might affect the reliability or validity of using a claims based-measure. As a result, we do not believe at this time that it is feasible to implement a claims-based MRSA measure for the LTCHQR Program. However, we will continue to explore the feasibility of adding a POA indicator to LTCH Medicare claims data.
We also note that the definition of MRSA Laboratory-identified events (LabID events) (as required by this measure) allows laboratory testing data to be used without clinical evaluation of the patient, allowing for a much less labor-intensive method to track MRSA infections. This provides a proxy infection measure of MRSA healthcare acquisition, exposure burden, and infection burden based almost exclusively on laboratory data and limited admission date data, including patient care location. Further, we note that the definition of MRSA LabID events (as required by this measure) specifically addresses attribution through categorization of MRSA LabID events based on date admitted to facility and date specimen collected, as well as by the current date and prior dates of specimen collection. As specified in the measure, Community-Onset (CO) is a LabID Event collected as an outpatient or an inpatient ≤3 days after admission to the facility that is, days 1, 2, or 3 of admission), while Healthcare Facility-Onset (HO) is defined as a LabID Event collected from a patient >3 days after admission to the facility (that is, days 4 or later of admission). Data from outpatient locations (for example, outpatient encounters) are not included in this reporting of CO and HO Events. The CO definition accounts for infections acquired outside the LTCH setting, either in the community or in other healthcare settings. The measure to be used for comparison is the hospital-onset unique blood source MRSA LabID events among all inpatients in the facility. LabID events use NHSN forms to collect all required data, using the definitions of each data field.
Comment: Several commenters recommended that CMS delay the adoption of this proposed measure until such time as LTCH personnel can be trained in quality measure collection and submission procedures. Commenters were concerned that hospitals and States had not had enough time to develop the proper infrastructure to report these data, because only three States currently require hospitals to report these data. Commenters furthermore recommended development of robust training and technical support for NHSN collection. One commenter recommended delaying the proposed adoption of this measure until there is adequate vendor support for hospitals to electronically interface with the NHSN for reporting.
Response: As of May 15, 2013, based on CMS and CDC analysis of first quarter (October 1-December 31, 2012) data reporting for CLABSI and CAUTI measures, there is current and successful use of CDC's NHSN reporting infrastructure by about 399 of the approximately 440 certified LTCHs. This widespread adoption of NHSN reporting in certified LTCHs clearly indicates that training, technical and infrastructure support for NHSN data collection has been adequate. By utilizing CDC's NHSN for MRSA reporting, we intend to build upon LTCHs ongoing experience with data reporting via NHSN, thus avoiding adding in new systems and infrastructure requirements for the LTCHQR Program.
Comment: One commenter believed that the interpretation of MRSA SIRs will be challenging because laboratory-based infection definitions are confounded by differences in the sensitivity and mechanisms of hospital testing procedures. This commenter was concerned that the resulting difference in MRSA SIR measurement may unfairly portray hospitals that use the more sensitive testing technology as having more MRSA cases.
Response: Variability in sensitivities of MRSA test methods is not a problem, as it is for C. difficile testing. For the purpose of this measure, all standardized laboratory methods to identify MRSA are acceptable for reporting. Therefore, test method is not included in the risk adjustment for calculation of the MRSA SIR. Important factors that are included in this calculation are facility bed size, medical school affiliation, and admission prevalence rate.
After consideration of the public comments we received, we are finalizing the MRSA SIR measure as proposed (NQF #1716) for the FY 2017 payment determination and subsequent years.
(2) Quality Measure #2: National Healthcare Safety Network (NHSN) Facility-Wide Inpatient Hospital-Onset Clostridium difficile Infection (CDI) Outcome Measure (NQF #1717)
This measure is a standardized infection ratio (SIR) of hospital-onset C. difficile-associated infection (CDI) Laboratory-identified events among all inpatients in the facility, and was adopted by the Hospital IQR Program in the FY 2012 IPPS/LTCH PPS final rule (76 FR 51630 through 51631) for the FY 2015 payment determination, with data collection having begun on January 1, 2013. The measure was developed by the CDC and is NQF-endorsed.
Clostridium difficile (C. difficile) can cause a range of serious symptoms including diarrhea, serious intestinal conditions, sepsis, and death. [138] In the United States, C. difficile is responsible for an estimated 337,000 infections and 14,000 deaths annually. [139] Based on the HHS National Action Plan to Prevent Healthcare-Associated Infections, C. difficile rates have increased in recent years. [140] The CDC estimates that CDIs cost more than $1 billion in additional health care costs each year. [141] In recent years, CDIs have become more frequent, more severe and more difficult to treat. Mortality rates for CDIs are highest in elderly patients. [142] Between 1996 and 2009, rates of CDI among hospitalized patients aged 65 years and older increased 200 percent, while deaths related to C. difficile increased 400 percent between 2000 and 2007, which is partly attributed to a stronger germ strain. [143] [144] Further, an estimated 90 percent of the C. difficile-related deaths occur in patients 65 and older. C. difficile is a source of increased costs in patient care, lengths of stay, morbidity and mortality, and can be a consequence of poor quality of care for Medicare patients. [145]
Illness from C. difficile most commonly affects older adults in hospitals or in facilities with longer lengths of stay, where germs spread easily, antibiotic use is common, and people are especially vulnerable to infection. [146] Considering CDIs are increasing in LTCHs and that the LTCH population is highly vulnerable to CDI, it is important to measure these rates in LTCHs. [147] According to analysis of ICD-9 codes reported on Medicare claims, LTCHs reported 12,282 cases of C. difficile-associated disease in 2009. POA indicators are not available on LTCH claims, therefore we are unable to say whether these conditions are present on admission or acquired during the LTCH stay. Therefore, it was not possible to determine which of these infections occurred in the LTCH. However, we note that on the majority of claims, the primary diagnosis is the admitting diagnosis and is considered to be present on admission and, therefore, the secondary diagnoses can be assumed to provide a count of conditions that could have been acquired in the LTCH. [148] When it was assumed that a CDI recorded in the primary diagnosis code was likely present on admission and a C. difficile-associated infection recorded in the secondary diagnoses code may have been acquired in the LTCH, there were 11,384 reported cases that may have been acquired in the LTCH. [149] In addition, there is evidence that CDIs are preventable, and therefore surveillance and measuring infection rates is important to reducing infections and improving patient safety.
Currently, there are three States that require hospitals to report C. difficile data to NHSN. Fifteen States have implemented a C. difficile Prevention Collaborative. [150] The goal for this proposed C. difficile measure is to provide a common mechanism (CDC's NHSN) for all LTCHs to report and analyze these data that will inform infection control staff of the impact of targeted prevention efforts. We included the proposed C. difficile measure in the December 1, 2012, MUC list. The MAP supported the direction of this measure. [151]
We proposed to use the CDC's NHSN reporting and submission infrastructure for reporting of the proposed NHSN Facility-wide Inpatient Hospital-onset Clostridium difficile Outcome Measure (NQF #1717). CDC's NHSN is the data collection and submission framework currently used for reporting the CAUTI, CLABSI and Influenza Vaccination Coverage among Healthcare Personnel measures. Similar to the NHSN MRSA Bacteremia Outcome Measure we proposed above, details related to the procedures for using NHSN for data submission and information on definitions, numerator data, denominator data, data analyses, and measure specifications for the proposed NHSN Facility-wide Inpatient Hospital-onset Clostridium difficile Outcome Measure (NQF #1717) can be found at: http://www.qualityforum.org/QPS/1717 and http://www.cdc.gov/nhsn/PDFs/pscManual/12pscMDRO_CDADcurrent.pdf. For January 2012 through January 2013, an estimated 46 LTCHs reported laboratory-identified C. difficile event data into NHSN. [152] By building on the CDC's NHSN reporting and submission infrastructure, we intend to reduce the administrative burden related to data collection and submission for this measure under the LTCHQR Program.
We refer readers to section IX.C.9. of the preamble of this final rule for more information on data collection and submission. We invited public comment on this proposed measure and data collection and submission for the proposed measure for the FY 2017 payment determination and subsequent years.
Comment: A number of commenters supported the CMS proposal to include NHSN Facility-wide Inpatient Hospital-onset Clostridium difficile Infection (CDI) Outcome Measure (NQF #1717) in the LTCHQR Program. Several commenters based their support on the relevance of healthcare-acquired infections to the LTCH setting, and one commenter noted that healthcare-acquired infections are a common reason for 30-day hospital readmission. Another commenter expressed the opinion that pay-for-reporting programs are an important mechanism for raising awareness of conditions such as CDI, especially when the data are publicly reported and institutions can compare their performance against the performance of other facilities. Two commenters appreciated the effort of CMS to align LTCHQR measures with other quality reporting initiatives.
Response: We appreciate the commenters' support and recognition of the importance of the expansion of the LTCHQR Program to include this measure.
Comment: Many commenters objected to the proposed CDI measure, citing lack of NQF endorsement for the LTCH setting. These commenters urge CMS to request formal NQF review, using the Consensus Development Process, of this proposed measure for the LTCH setting before deciding whether to adopt it for the LTCHQR Program.
Many commenters strongly objected to inclusion of the CDI measure because they are concerned that, while the proposed CDI measure received a “support direction” vote from the MAP, it was not granted full approval. Commenters cited the MAP's conclusions that the measure is “[n]ot ready for implementation,” “the measure concept is promising but requires modification or further development,” and the “[m]easure should be specified and tested for the LTCH setting.” The commenters recognized the importance of CDI prevention and control, but believed that it was inappropriate to apply a measure that was developed for another setting to LTCHs given the more medically complex and acute hospital needs of LTCH patients, and therefore agreed with MAP reviewers that the measure has not been adequately developed, specified or tested in the LTCH setting.
One commenter noted that although a number of LTCHs voluntarily reported C. difficle data to the National Healthcare Safety Network between January 2012 and January 2013, this voluntary reporting activity does not constitute formal testing. Several commenters stated that it is essential that the measures are rigorous enough to produce credible results given that LTCHQR measure scores will ultimately be publicly reported, and another commenter suggested delaying the collection and submission of these measures until such time as the data currently submitted to NHSN has been reviewed for validity and reliability.
Response: The National Healthcare Safety Network (NHSN) Facility-wide Inpatient Hospital-onset Clostridium difficile Infection (CDI) Outcome Measure was endorsed as NQF #1717 as of December 14, 2012, and is endorsed for use in several settings, including the LTCH setting. As with the MRSA SIR, because of the scope of the patient safety problem posed by CDI to the very vulnerable LTCH population, as well as its burden on the healthcare system, we believe it is in the best interest of patients to adopt this measure in order to promote awareness and encourage immediate implementation of CDI control procedures within the LTCH setting. The measure is on the list of NQF-endorsed measures and can be found on the NQF Web site at http://www.qualityforum.org/QPS/1717.
We appreciate the commenters' input on finalizing a measure for which the MAP supported direction. We note that we have taken the MAP's input into consideration in selecting quality measures, as we are required to do under section 1890(a)(4) of the Act. However, we are not required to follow the MAP's recommendations, but to take them into account when selecting measures for proposal. In addition to MAP input, we take a variety of other factors into account in selecting measures. In this instance, for example, the National Healthcare Safety Network (NHSN) Facility-wide Inpatient Hospital-onset Clostridium difficile Infection (CDI) Outcome Measure (NQF #1717) is NQF-endorsed for the LTCH setting, an indication that it is appropriate for LTCH patients. In addition, this measure is appropriate in light of the fact that illness from CDI most commonly affects older adults in hospitals or in facilities with longer lengths of stay. For all of the reasons we have discussed, we believe this measure is appropriate for LTCH patients.
Comment: Commenters expressed strong concern that CMS' failure to convene a TEP for any of the new proposed quality measures demonstrates the questionable nature of the proposed measures.
Response: We agree that TEPs are an integral step for assessing a measure's appropriateness for a care setting. The CDI measure was evaluated by a TEP. The TEP evaluated the measure on Importance, Scientific Soundness, Usability, and Feasibility. The TEP indicated that CDI was of high importance and that the measure was scientifically sound.
Comment: Several commenters suggested that inclusion of a POA code for LTCH Medicare claims may help quantify the problem and avoid the costly implementation of very labor-intensive data collection for C. difficile infections. One commenter expressed concern that the CDI performance data cited in the rule are based on 2009 Medicare claims data and that CMS acknowledged that LTCH claims lack a POA indicator that would help determine whether the CDI was acquired before or during hospitalization.
Response: Although Medicare claims data for LTCHs lack the POA indicator, we believe that the data from our previous analysis provides evidence that CDIs do occur within the LTCH setting. [153] Further, the data sources for the NQF endorsement of this measure do not rely on claims data. (We refer readers to http://www.qualityforum.org/QPS/1717 for a list of data sources for this measure.) We previously considered implementation of a claims-based CDI measure for the Hospital IQR Program, but found that it was not feasible to do so in a valid and reliable manner and as a result, by extension, at this time, we do not believe it is feasible to implement a claims-based MRSA measure for the LTCHQR Program. We will continue to explore the feasibility of adding a POA indicator to LTCH Medicare claims data.
The definition of CDI LabID events inherently accounts for the problem of attribution, through categorization of CDI LabID events based on date admitted to facility and date specimen collected, as well as by the current date and prior dates of specimen collection. As specified in Community-Onset (CO) is a LabID Event collected as an outpatient or an inpatient at most 3 days after admission to the facility (that is, days 1, 2, or 3 of admission), while Community-Onset Healthcare Facility-Associated (CO-HCFA) is defined as a CO LabID Event collected from a patient who was discharged from the facility at most 4 weeks prior to current date of stool specimen collection. Data from outpatient locations (for example, outpatient encounters) are not included in this reporting. A Healthcare Facility-Onset (HO) is a LabID event collected more than 3 days after admission to the facility (that is, on or after day 4). Together, these definitions account for infections acquired outside the LTCH setting, either in the community or in other healthcare settings. The CDI measure is already in use in the hospital inpatient setting, where similar concerns have been raised and successfully addressed.
We also note that the definition of CDI LabID events (as required by this measure) allows laboratory testing data to be used without clinical evaluation of the patient, allowing for a much less labor-intensive method to track CDIs. This provides a proxy infection measure of CDI healthcare acquisition, exposure burden, and infection burden based almost exclusively on laboratory data and limited admission date data, including patient care location. LabID events use NHSN forms to collect all required data, using the definitions of each data field.
Comment: Some commenters recommended that CMS delay the adoption of this proposed measure until such time as LTCH personnel can be trained in the quality measure collection and submission procedures. Commenters were concerned that hospitals and states had not had enough time to develop the proper infrastructure to report these data, because only 3 States currently require hospitals to report these data. Other commenters noted that the burden of data collection must be considered in order to allow these facilities to acquire the resources to focus on improvement efforts and not completely on data collection and submission alone. Commenters furthermore recommended development of robust training and technical support for NHSN collection. One commenter recommended delaying the proposed adoption of this measure until there is adequate vendor support for hospitals to electronically interface with the NHSN for reporting.
Response: As of May 15, 2013, based on CMS and CDC analysis of first quarter (October 1-December 31, 2012) data reporting for CLABSI and CAUTI measures, there is current and successful use of CDC's NHSN reporting infrastructure by about 399 of the approximately 440 certified LTCHs. This widespread adoption of NHSN reporting in LTCHs clearly indicates that training, technical and infrastructure support for NHSN data collection has been adequate. By utilizing CDC's NHSN for CDI reporting, we intend to build upon LTCHs ongoing experience with data reporting via NHSN, thus avoiding adding in new systems and infrastructure requirements for the LTCHQR Program.
Comment: Some commenters believed that the calculation of CDI SIRs will be challenging because hospitals use testing mechanisms with differing sensitivity to identify the presence of CDI. These commenters were concerned that the resulting difference in CDI SIR measurement may unfairly portray hospitals that use the more sensitive testing technology as having more CDI cases.
Response: CDC acknowledges that differences in the sensitivity of CDI laboratory testing methods make a difference in the numbers of CDI events that hospitals identify and report. CDI laboratory event data is a combination of laboratory results and admission/discharge/transfer data. CDI facility-wide LabID event reporting is risk-adjusted by facility bed size, medical school affiliation, and CO admission prevalence rate. In addition, NHSN uses a question from the required annual facility survey that asks about the type of CDI testing the lab conducts and this information is used for additional risk-adjustment. And, for improved accuracy of this test type representation, CDC will be asking this question on a quarterly basis beginning in 2014.
Comment: Some commenters believed that the CDI SIR is an inappropriate measure for use among LTCHs because LTCHs are not sufficiently represented in baseline calculations. The commenters noted that, in the NQF Measure submission and evaluation worksheet 5.0, dated September 14, 2011, testing results in section 2b4.3 show that only 4 percent of the facilities used to construct the standard population that reported their facility type were LTCHs. The commenters believed that because the denominator identified in section 2a1.4, the hospital's onset CDI LabID event rate for the same types of facilities (obtained from the standard population) will be part of the calculation, LTCHs would be judged against a standard population that is only 4 percent LTCHs. The commenters argued that LTCHs should only be judged against their peers, that is, other LTCHs, and that such a peer comparison approach is even more important because a large risk factor for CDI is the patient's length of stay. Commenters believed that LTCHs would be at a distinct disadvantage since the average length of stay for LTCH patients is greater than 25 days.
Response: We agree with the commenters regarding the importance of statistically appropriate measures. The NQF Measure submission and evaluation worksheet incorporated numbers that were available at that time as a demonstration for the endorsement process. Calculations of CDI SIR for the LTCHQR Program will be based on a standard population that includes all reporting LTCHs, which after full implementation we believe will number over 400. At this time, we do not intend to compare LTCHs with any other hospital type.
Comment: Commenters noted that there are different types of microbiology tests available to test for CDI, and that the variety of tests available may result in up to a twofold difference in results. Commenters expressed that the more sensitive CDI tests will capture more true positives and that LTCHs that utilize these more expensive, more sensitive tests (for example, nucleic acid tests) will be penalized for “showing a higher rate”.
Commenters also noted that certain tests for CDI can show positive results for up to 6-9 weeks after the resolution of symptoms and recommended that CMS conduct further research of the timeline associated with duplicate positive CDI tests. Commenters also believed that the measure should be defined to exclude repeat tests on the same patient, in order to allow for confirmation of positive results. Finally, commenters were concerned that there is a high probability of an elderly patient who has diarrhea for an unrelated reason, falsely testing positive for CDI, thus falsely elevating the rates.
Commenters recommended that CMS postpone this measure until further testing is conducted regarding the varying sensitivities of the multiple tests available that are needed to satisfy this measure, and risk adjustment methodologies are developed to address this variation for these variations. CMS should conduct further research of the timeline associated with duplicate positive tests. Commenters also recommended that CMS postpone the measure until an algorithm is developed made available in all clinical laboratories that would help LTCHs avoid scenarios in which an elderly patient presenting symptoms for unrelated reasons also tests positive for C. difficile-associated infection and, thus, falsely elevates hospital rates.
Response: We appreciate the commenters' concerns. However, we wish to note that the CDC has taken into account repeat testing results by building a 14-day algorithm into the protocol that requires users to wait a full 14 days between positive results from the laboratory before another CDI LabID event should be reported into the NHSN system for a patient in a specific care location. Further, and in addition to the 14-day testing algorithm, the CDC defines recurrent CDI as a positive test within 8 weeks of previous positive test. If a patient test positive a second time within this timeframe, the infection is not counted as a new infection. In addition to this protocol guidance, CDC has posted recommended guidance on its Web site that is designed to improve the diagnosis and management of CDI in adult patients. This document includes first test and repeat testing guidance, in order to standardize the process and minimize false-positive results.
After consideration of the public comments we received, we are finalizing the CDI SIR measure National Healthcare Safety Network (NHSN) Facility-wide Inpatient Hospital-onset Clostridium difficile Infection (CDI) Outcome Measure (NQF #1717) as proposed for the FY 2017 payment determination and subsequent years.
(3) Quality Measure #3: All-cause Unplanned Readmission Measure for 30 days Post- Discharge from Long-Term Care Hospitals
LTCHs treat patients who, on average, are hospitalized 25 days or greater with medically complex problems, including prolonged mechanical ventilation or multiple organ failure. In 2011, as reported by MedPAC, about 123,000 Medicare beneficiaries received care for almost 140,000 LTCH stays in roughly 424 LTCHs nationwide, with payments of $5.4 billion. [154] For patients discharged from LTCH settings, the unadjusted rate of readmission to LTCHs and IPPS hospitals in the 30 days after an LTCH discharge was about 26 percent in 2010 and 2011. [155] With such a large proportion of patients being readmitted to an acute level of care (that is, to either an LTCH or to an IPPS hospital), we are interested in monitoring the rates for each facility and reducing rates that are inappropriately high. Thus, we proposed a risk-adjusted measure of readmission rates, the All-cause Unplanned Readmission Measure for 30 days Post Discharge from Long-Term Care Hospitals.
This measure will enhance efforts to promote patient safety, reduce healthcare-associated infections, improve coordination of care and care transitions, and reduce healthcare costs. Readmissions are costly to the Medicare program and have been identified as sensitive to improvements in coordination of care and discharge planning for patients. [156] Literature on readmissions is mainly focused on discharges from short-term acute care hospitals. However, processes that may affect readmission rates, such as discharge planning, communications, and coordination, also occur at other inpatient facilities.
While some readmissions are unavoidable, such as those resulting from the inevitable progression of disease or worsening of chronic conditions, readmissions may also result from poor quality of care or inadequate transitions between care settings. Randomized controlled trials in short-stay acute care hospitals have shown that improvement in the following areas can directly reduce hospital readmission rates: quality of care during the initial admission; improvement in communication with patients, their caregivers and their clinicians; patient education; pre-discharge assessment; and coordination of care after discharge. Successful randomized trials have reduced 30-day readmission rates by 20 to 40 percent, 157 158 159 160 161 162 163 and a 2011 meta-analysis of randomized clinical trials found evidence that interventions associated with discharge planning helped to reduce readmission rates, [164] illustrating how hospitals may influence readmission rates through best practices.
Because many studies have shown readmissions to be related to quality of care, and that interventions have been able to reduce 30-day readmission rates, we believe it is appropriate to include All-cause Unplanned Readmission Measure for 30 days Post Discharge from Long-Term Care Hospitals as a quality measure in the LTCHQR Program. Promoting quality improvements leading to successful transitions of care for patients moving from the LTCH setting to the community or another post-acute care setting, and reducing preventable facility-wide readmission rates, is consistent with the NQS aims of safer, better coordinated care and lower costs.
Our approach to developing this measure is similar to the approach we took in developing NQF-endorsed Hospital-Wide Risk-Adjusted All-Cause Unplanned Readmission Measure (NQF #1789) (Hospital-Wide Readmission or HWR measure) (http://www.qualityforum.org/QPS/1789), finalized for the Hospital IQR Program in the FY 2013 IPPS/LTCH PPS final rule (77 FR 53521 through 53528). We proposed to use the same statistical approach, the same time window and a similar set of patient characteristics. To the extent appropriate, the proposed LTCH measure is being harmonized with this HWR measure (NQF #1789) [165] and other measures of readmission rates being developed or proposed for post-acute care (PAC) settings, including the All-cause Unplanned Readmission Measure for 30 days Post Discharge from Inpatient Rehabilitation Facilities. This reflects MAP recommendations to promote alignment across care settings. [166]
LTCH patients, on average, require long stays at a hospital level of care and need care even after discharge. The setting chosen for placement of the discharged patient, and coordination with caregivers after discharge, are important for the stability of these patients. The rate of readmission to an acute level of care (short- or long-term) for such patients will be sensitive to appropriate discharge placement. The All-cause Unplanned Readmission Measure for 30 days Post Discharge from Long-Term Care Hospitals assesses return to short-stay acute care hospitals or LTCHs within 30 days of discharge from an LTCH to the community or another care setting of lesser intensity than an acute care setting. Patient readmissions are tracked using Medicare FFS claims data for 30 days after discharge, or the date of patient death if the patient dies within 30 days of discharge.
In the Hospital IQR Program, two readmission measurement approaches were taken: (1) Measures related to patients with specific medical conditions, such as heart failure, pneumonia, and acute myocardial infarction, [167] and (2) a hospital-wide measure. In LTCHs, patients tend to be complex and not easily classified into specific condition or procedure types. In addition, LTCHs have relatively small numbers of patients. Even ventilator patients, who are reasonably definable, are not numerous enough to provide good, stable indicators of quality. Therefore, a hospital-wide all-cause readmission measure reflects a broader assessment of the quality of care in LTCHs, and may consequently better promote quality improvement and inform consumers about quality of care.
In applying the All-cause Unplanned Readmission Measure for 30 days Post Discharge from Long-Term Care Hospitals, we will follow patients for 30 days after the LTCH discharge date, or date of death if the patient dies within the 30 day post-discharge period, using Medicare FFS claims data. Because patients differ in morbidity and complexity, the measure is risk-adjusted for patient case-mix. The measure also excludes planned readmissions because these are not considered to be indicative of poor quality care on the part of the LTCH.
A model developed by a CMS measure development contractor predicts admission rates while accounting for patient demographics, primary condition in the prior short stay, comorbidities, and a few other patient factors. The use of such risk adjusters will account for case-mix differences that affect patient readmission rates among facilities. While estimating the predictive power of the patient characteristics, the model also estimates a facility specific effect common to patients treated at that facility. Similar to the Hospital IQR Program hospital-wide readmission measure, the proposed LTCHQR Program measure is the ratio of the number of risk-adjusted predicted unplanned readmissions for each individual LTCH, including the estimated facility effect, to the average number of risk-adjusted predicted unplanned readmissions for the same patients treated at a facility with the average effect on readmissions. A ratio above one indicates a higher than expected readmission rate, or lower level of quality, while a ratio below one indicates a lower than expected readmission rate, or higher level of quality. (The construction of the Hospital IQR Program hospital-wide measure and an NQF technical report outlining the findings of the expedited review process for the Patient Outcomes:
All—Case Readmission Measures may be downloaded from: http://www.qualityforum.org/Publications/2012/07/Patient_Outcomes_All-Cause_Readmissions_Expedited_Review_2011.aspx.)
The patient population for the All-cause Unplanned Readmission Measure for 30 days Post Discharge from Long-Term Care Hospitals includes LTCH patients who:
- Were discharged alive from the LTCH;
- Had 12 months of Medicare Part A, fee-for-service coverage prior to the LTCH stay;
- Had 30 days of Medicare Part A, fee-for-service coverage post discharge;
- Had an acute care facility (IPPS, CAH, or psychiatric hospital) stay within the 30 days prior to the LTCH stay; and
- Were aged 18 years or above when admitted to the LTCH.
In this final rule, we are revising the terminology “Had an IPPS hospital stay within the 30 days prior to the LTCH stay” we used in the proposed rule and instead using “Had an acute care facility (IPPS, CAH, or psychiatric hospital) stay within the 30 days prior to the LTCH stay” to include acute care, including critical access hospitals (CAHs), IPPS hospitals, and inpatient psychiatric hospitals and units (IPFs). Patients from the IPPS and CAH settings with psychiatric diagnoses are included in the measure. As a result, including patients with an IPF stay for psychiatric diagnoses preceding the LTCH stay is also appropriate. There were about 0.5 percent of such stays in the measure using 2010-2011 data.
As in the Hospital IQR Program hospital-wide readmission measure, patients with medical treatment for cancer are excluded. Studies of this population that were reviewed for the Hospital IQR Program readmission measure showed them to have a different trajectory of illness and mortality than other patient populations. [168] The measure also excludes patients who were discharged against medical advice.
Readmissions that are not included in the measure are:
- Transfers from an LTCH to another LTCH or acute care facility; and
- Readmissions within the 30 day window that are usually considered planned due to the nature of the procedures and principal diagnoses of the readmission.
- LTCH stays with data that are problematic. (The Medicare data files occasionally have anomalous records that indicate a person is in two facilities or stays that overlap in dates, or are otherwise potentially erroneous or contradictory.)
The planned readmission list for the All-cause Unplanned Readmission Measure for 30 days Post Discharge from Long-Term Care Hospitals includes the planned procedures specified in the Hospital-Wide All-Cause Unplanned Readmission (HWR) Measure (NQF #1789) used in the Hospital IQR Program, plus other procedures that were determined in consultation with a TEP. The list of procedures considered planned may be found in the LTCH Readmissions Measure Specifications file, which was made available for download at the time of release of the proposed rule at: http://www.cms.gov/Medicare/Quality-Initiatives-Patient-Assessment-Instruments/LTCH-Quality-Reporting/. In addition to the list of planned procedures this file includes a list of diagnoses, which, if found as the principal diagnosis on the readmission claim, would indicate that the procedure occurred during an unplanned readmission. Another readmission type that is counted as planned for this measure is any readmission to a psychiatric hospital or unit. This had not been explicitly noted in the proposed rule.
A patient discharged from an LTCH is tracked until one of the following occurs: (1) The 30-day period post-discharge ends; (2) the patient dies; or, (3) the patient is readmitted to an acute level of care (short- or long-term). If multiple readmissions occur, only the first is considered for this measure. If the first readmission is unplanned, it is counted as a readmission in the measure rate. The occurrence of a planned readmission ends the 30-day window of the index discharge from the LTCH.
Readmission rates are risk-adjusted for patient case-mix characteristics, independent of quality. The risk adjusted model accounts for demographic characteristics, principal diagnosis, comorbidities, length of stay in the prior acute care facility, critical care days in the prior acute care facility, number of acute care facility stays in the prior year, and the occurrence of various surgery types in the prior acute care facility stay.
In modeling LTCH readmissions, all patients are included in a single model, an approach different from the five-cohort approach of the Hospital IQR Program HWR measure, adapted to account for a substantially smaller patient population in the LTCH setting. Separate models for patient types, as was done for the Hospital IQR Program measure, are not feasible. The number of cases is much smaller in the LTCHs than in the IPPS hospitals and patients are generally not as strongly characterized by one major admitting diagnosis or condition. Patient characteristics are captured by diagnoses and prior surgeries, with a marker for prolonged mechanical ventilation also included.
Because there are approximately 120,000 LTCH admissions per year, and approximately 110,000 of those admissions meet the criteria for inclusion, the proposed measure will use a model that merges two years of Medicare claims data. This approach is similar to that used by the Hospital IQR Program condition-specific readmission measures, which use three years of claims data (77 FR 53523). Merging multiple years of data produces more precise estimates of the effects of all the risk adjusters, and increases the sample size associated with each facility. Larger patient samples are better able to meaningfully distinguish facility performance.
Under the exception authority in section 1886(m)(5)(D)(ii) of the Act, we proposed to use this measure in the LTCHQR Program. This section provides that in the case of a specified area or medical topic determined appropriate by the Secretary for which a feasible and practical measure has not been endorsed by the entity with a contract under section 1890(a) of the Act, the Secretary may specify a measure that is not so endorsed as long as due consideration is given to measures that have been endorsed or adopted by a consensus organization identified by the Secretary. In the case of this measure, we did not find a feasible or practical NQF-endorsed measure that would be appropriate for the LTCH setting, or any other appropriate measure that has been adopted or endorsed by an appropriate consensus organization. The measure most similar in concept, and which has been endorsed by NQF, is the CMS Hospital-Wide All-Cause Unplanned Readmission Measure (NQF #1789) described below. This measure is for the short-term acute stay hospitals.
In 2012, NQF endorsed two hospital-wide readmission measures, the National Committee for Quality Assurance (NCQA) measure intended for health plans, Plan All-Cause Readmissions (NQF #1768), and CMS' Hospital-Wide All-Cause Unplanned Readmission Measure (HWR) (NQF #1789). The latter measure is the model for the All-cause Unplanned Readmission Measure for 30 days Post Discharge from Long-Term Care Hospital measure, we proposed in the FY 2014 IPPS/LTCH PPS proposed rule. We selected the latter measure as the model for the LTCH measure since it uses Medicare claims data and is in current use for the Hospital IQR Program, while the former uses health plans data. This measure was present on CMS' List of Measures Under Consideration for MAP 2012 and the most recent MAP Pre-Rulemaking Report noted that “readmission measures are also examples of measures that MAP recommends be standardized across settings, yet customized to address the unique needs of the heterogeneous Post-Acute Care (PAC)/LTC population. The MAP has continually noted the need for care transition measures in PAC/LTC performance measurement programs, and in 2013 supported the direction of this measure. [169] The readmission measure such as the one we proposed would address the need for an evidence-based measure that could promote alignment across the care continuum and PAC/LTC settings while ensuring appropriate risk adjustment to accommodate uniqueness of the LTCH population.
We intend to seek NQF endorsement of the All-cause Readmission Measure for 30 days Post Discharge from Long-Term Care Hospital. As this is a claims-based measure not requiring reporting of new data by LTCHs, this measure will not be used to determine LTCH reporting compliance for the LTCHQR Program. We proposed to begin reporting feedback to LTCHs on performance of this measure in CY 2016. The initial feedback will be based on FY 2013 and FY 2014 Medicare claims data related to LTCH readmissions. The readmission measure will be part of the LTCH public reporting program once public reporting is instated. We intend to provide details pertaining to public reporting, such as LTCH preview of performance results of this measure, in our future rulemaking.
We invited public comment on these proposals.
Comment: A number of commenters noted that the measure is not NQF-endorsed and this NQF endorsement should occur before implementation. Further, commenters noted the MAP did not fully support this measure.
Response: We are aware this measure is not yet NQF-endorsed. We intend to submit this measure for NQF review for endorsement. We are also aware that the MAP did not fully support this measure, but note that but note that we have taken the MAP's input into consideration in selecting quality measures, as we are required to do under section 1890(a)(4) of the Act. However, we are not required to follow the MAP's recommendations, but to take them into account when selecting measures for proposal. In addition to MAP input, we take a variety of other factors into account in selecting measures. In this instance, for example, the All-cause Unplanned Readmission Measure for 30 days Post-Discharge from Long-Term Care Hospitals is appropriate in light of the fact that such a large proportion of patients being readmitted to an acute level of care (that is, to either an LTCH or to an acute care facility). For the reasons listed above, this measure is appropriate for LTCH patients. Further, we have the authority to finalize non-NQF endorsed measures under the exception authority when NQF-endorsed measures are not available or appropriate for a setting, as described above. We proposed the readmissions measure under this exception authority.
Comment: Some commenters suggested that the readmission measure be created for only a few LTCH conditions.
Response: The initial set of readmission measures for short-term acute hospitals took this condition-specific approach. There is also an HWR measure for short-term acute care hospitals, which served as the starting point for the development of the LTCH readmissions measure. The HWR measure is NQF-endorsed.
There are a number of reasons not to use subsets of patients to develop condition-specific readmissions measures for the LTCH setting. First, LTCH stays number fewer than 150,000 per year. Therefore, patient sample size for particular DRGs or even larger patient subgroups would be relatively small. Second, the LTCH patient population tends to have multiple comorbidities and are typically not as distinctively classified into condition-specific categories as can be done for the short-term acute care hospital patient population. Third, the TEP convened by CMS' measure development contractor did not recommend separating groups of patients or even stratifying the model by patient types. The model includes indicators of the principal diagnosis in the prior short-term acute care hospital setting. In addition, we include an indicator in the model to adjust for the important subgroup of LTCH patients on prolonged mechanical ventilation in LTCHs. While making separate models for separate subgroups of patients is not desirable for the LTCH population, the inclusion of many characteristics of the patients, such as diagnoses, comorbidities, surgeries, etc., does provide risk adjustment to account for patient mix that varies across facilities.
Comment: Some commenters stated that the LTCH measure should be made especially appropriate for and tailored for LTCHs.
Response: The risk-adjustment model has been customized for LTCHs and includes predictors that are not present in the HWR model and a customized planned readmissions list. There is harmonization with other measures where reasonable and customization where appropriate. The tailoring of the measure is in the inclusion of particular risk adjustment variable types, such as the diagnoses, surgeries, intensive care days in the prior acute stay, and counts of prior acute admissions, as well as the statistical estimation of the effects of these variables using data specific to LTCH stays.
Comment: One commenter suggested that, just as patients discharged against medical advice (AMA) are not counted in the measure, readmissions for patients deemed non-compliant with medical advice or a discharge plan should not be counted in the measure.
Response: We believe the analogy to exclusion of discharges against medical advice is inaccurate. The AMA discharges are readily identifiable on claims submitted by LTCHs, the source of information used in the measure. These cases are completely excluded from the numerator and denominator. Non-compliance after discharge differs in that it can occur in degrees and be either voluntary or involuntary, such as when a patient does not have the assistance he or she needs to comply appropriately. We do not believe there is a clear marker for the point at which the patient should be excluded. We believe that the identification of such patients would be impractical at this time. For these reasons it is not possible to implement a non-compliance exclusion at this time.
Comment: Some commenters believed that socioeconomic factors and dual eligibility for Medicaid should be accounted for in the model as well as other contextual factors.
Response: The inclusion of factors related to socioeconomic status (SES) has been raised in the context of the Hospital IQR Program measures and our policy in that program omits them as explicit risk adjusters. Medicaid dual eligibility, which is related to income, is a socioeconomic factor, and is also not accounted for explicitly in Hospital IQR Program measures. The LTCH harmonizes with the other readmission measures in that respect (the Hospital IQR and the proposed IRFQR readmission measure). The effect of SES is similar in the case of LTCHs to the effects in the IPPS setting and the reasoning for not explicitly accounting for SES is similar. The effect of levels of SES is captured to a great extent by other variables included in the model. The proposed readmission measure is a risk-standardized readmission measure that adjusts for case-mix differences based on the clinical status of the patient at the time of admission to the hospital. That is, they are risk-adjusted for certain key variables (for example, age, sex, comorbid diseases and a history of repeat admissions) that are clinically relevant and/or have been found to have strong relationships with the outcome. To the extent that race or socioeconomic status results in certain patient groups having a worse medical condition profile, those factors are accounted for in the measure.
However, these measures are not specifically adjusted for factors such as race, SES, or English language proficiency. We believe such additional adjustments are not appropriate because the association between such patient factors and health outcomes can be due, in part, to differences in the quality of health care received by groups of patients with varying race/language/SES. Differences in the quality of health care received by certain racial and ethnic groups may be obscured if the measures risk-adjust for race and ethnicity. In addition, risk-adjusting for patient race, for instance, may suggest that hospitals with a high proportion of minority patients are held to different standards of quality than hospitals treating fewer minority patients. We appreciate the concerns of hospitals that care for disproportionately large numbers of disadvantaged populations. Our analysis indicates that better quality of care is achievable regardless of the demographics of the hospital's patients.
The issue of the quality of care available after discharge is of concern to us and is being addressed by quality measures being proposed across the spectrum of care. The issue is also related to our major concern regarding the quality of transitions on discharge from the LTCH and care coordination.
Comment: Some comments suggested that access to care in a community, from accessibility of providers to transportation, could affect readmission rates. They suggest that these factors be accounted for so that facilities are not disadvantaged.
Response: We understand the concern about the effect of such factors and will consider how they might be accounted for during our future measure development efforts.
Comment: One commenter recommended adding discharges to an IRF or IPF to the discharge destinations that serve as exclusions for the proposed measure.
Response: We consider the IRF level of care for rehabilitation to be a non-acute level for this measure. Discharges to this setting do not serve as excluded cases and are treated the same as discharges to skilled nursing facilities, home health care and to the community without formal home health care. Direct discharges to an IPF are excluded from the measure. Readmissions to an IPF that are detected during the measure window are treated as planned and not counted in the numerator of the measure.
Comment: Some commenters suggested exclusion of interrupted stays in the measure and clarification of treatment of discharges to collocated hospitals.
Response: The proposed measure requires that a patient who has been discharged from an LTCH be considered for inclusion in the measure. Admissions occurring during an LTCH stay are not part of the measure. Interruptions may occur during the LTCH stay. Interruptions of 3 days or less do not result in a claim with a discharge and charges for any inpatient or outpatient treatment are sent to the LTCH. Stay interruptions longer than 3 days may result in Medicare receiving a separate bill from the other provider, though the patient is not formally discharged from the LTCH. An interruption of 4 to 9 days to an IPPS hospital is an example of this. There are also interrupted stays in which the patient is discharged to an IRF or a SNF. Those interruptions have longer defined spans. None of these is relevant for this measure. The Medicare claim for the LTCH stay must be for a discharged patient to be considered for inclusion in the measure. We evaluate the discharge record as to whether it is to a lower level of care. The rule for discharges to collocated hospitals depends on whether an interruption rule applies. If the claim shows that the patient is discharged to a collocated facility, not for an interruption, the treatment of the LTCH stay for the quality measure depends on the type of facility the patient is discharged to. The standard exclusions pertain. The special payment provisions for LTCHs that transfer more than 5 percent of cases to a collocated facility do have a direct relation to the quality measure. Whether cases are included in the measure depends the discharge claims observed in the Medicare data.
Comment: Some commenters note that burn patients often need repeat hospitalizations and that the model does not account for that.
Response: The LTCH model could not include severe burn patients as a separate primary diagnosis group because the sample size in the national data was too small. The burn patients are included in the skin injury CCS diagnosis group. It was necessary to aggregate patient types with small numbers to include them in the model. As a very small group, such patients will have a small effect on the facility measure as a whole, and it is better to aggregate patient types to get a statistically significant average effect than to drop the small groups. The groupings were reviewed by a physician as they were being created, using clinical, sample size and estimated coefficients. In addition, we note that the Hospital-Wide All-Cause Unplanned Readmission Measure Final Technical Report (http://www.qualitynet.org/dcs/ContentServer?c=Page&pagename=QnetPublic%2FPage%2FQnetTier4&cid=1228772504318) had enough sample size to look at the burn patients. This report is in the NQF submission (NQF #1789). The readmission rate following discharge from the IPPS setting was reported as average. To the extent the commenter's concern is the number of readmissions that might occur, both the HWR measure and the LTCH measure do not count the number of readmissions in the post-discharge window, just the presence of at least one unplanned readmission.
Comment: Some commenters wanted the list of planned readmissions to be larger and/or that the countable readmissions include only those related to the LTCH admission and/or those deemed preventable. One commenter proposed that the LTCHs themselves could code the planned readmissions.
Response: The issue of all-cause readmissions, as opposed to a more focused set of readmission types, has been raised in other contexts, such as the Hospital IQR measure. Section 2.2.3 of the technical report in the HWR NQF Measure Submission Form for NQF ##1789 explains our decision regarding this issue. The link is on the QualityNet Web site. [170] The same logic applies to the LTCH setting. Discussions with technical experts have led to our preference in the LTCH, as for the HWR measure, for using an all-cause measure rather than a measure specific to a narrow set of conditions. The latter is possible when the population being measured is narrowly defined and certain complications are being targeted. For broader measures, covering patients with multiple medical conditions, a narrow set of readmission types is not desirable.
In addition, readmissions may be clinically related even if they are not related to the principal diagnosis of the patient. One of the primary purposes of the measure is to encourage improved transitions at discharge and choice of discharge destination. Some readmissions can occur that are less related to the primary condition being treated in the LTCH than to the coordination of care post-discharge. For instances where the readmission is likely random, such as a car accident, we expect these events not to be systematically distributed among the LTCHs. Therefore, we have chosen to reduce the all-cause readmission set by excluding readmissions that are frequently planned or expected. The Hospital IQR set of planned readmissions has been augmented for LTCHs by further recommendations by technical experts in the field of post-acute care. In 2010-2011 data, nearly 9 percent of readmissions are considered planned.
As to the suggestion that LTCHs code the planned readmissions, many of these do not occur during the LTCH stay and so could not be coded. Some planned readmissions would be interruptions of a stay and not be part of the measure. Some long interruptions could become discharges and could be coded, in principle, but these discharges would not be included in the measure because the readmission would have been a direct discharge to the acute hospital. The remaining post-discharge planned admissions that occur in the measure window are not under the control of the LTCH to code. We intend to continue its measure development work to further refine the planned readmission set after implementation of the proposed measure.
Comment: Some commenters suggested that more than two years of data be included in the measure to increase sample size.
Response: The two years of data for each report period is a compromise between sample size and timeliness. In this case the total number of LTCH stays in one year of national data is much smaller than the number of IPPS stays. The HWR measure uses one year of data. However, though the number of LTCH stays in the national data is small relative to the IPPS stays, two years of data yield good sample sizes at the LTCH level. In the 2010-2011 data, 95 percent of LTCHs have more than 100 patients averaged in their measure. The number of stays at the LTCH level is important for the precision of the LTCH measure. We do not think that three years of data are needed and the measure can be more current with 2 years.
Comment: Some commenters are concerned about the statistical power of the model and specifically the C statistic.
Response: The C statistic is one of the statistical criteria used in evaluating risk adjustment models. The acuity of patients in LTCHs is not uniform, though it is concentrated at the higher end of the spectrum. The relatively high readmission rate for LTCH patients post-discharge indicates that differentiating among the patients who have multiple medical conditions is challenging at the individual level. We note, however, that the risk-adjusted rates for LTCHs are not being compared to other facility types with a different patient mix. Though the LTCH C statistic is not as high as in some patient populations with a greater acuity span, the range of discrimination from the lowest to highest deciles of probability of readmission for individuals is quite good. The lowest decile has an average probability of an unplanned readmission of about 13 percent; the average in the highest decile is about 43 percent. The full range of patient readmission probabilities in the observed data (2010-2011) ranges from about 5 percent to about 64 percent. The risk adjustment model has a wide range of discrimination. In addition, other tests indicate the over- and under-prediction values throughout the deciles of predicted probability are good.
Comment: A few commenters requested that data for all patients be made available to LTCHs to track the patients after discharge. One commenter suggested monthly or quarterly transmissions of notices of readmission and made the case that the identifiable data would be HIPAA-compliant. Commenters also requested that historical rates be made available to the facilities.
Response: We recognize the value for LTCHs being able to track patients' readmissions to other hospitals in real time both for an LTCH's internal quality improvement purpose and for validating our readmission measure criteria. Further, we appreciate commenters request for historical rates. We will consider whether it is operationally possible to provide these data to LTCHs and whether sharing these data would be consistent with patient privacy considerations. Further, we note that the readmission rates will be made available to each LTCH from the first dry run year, prior to implementation of the readmission measure as part of the LTCHQR Program.
Comment: A few commenters were concerned about the appropriateness of a time window of 30 days post-discharge as a measure of readmission rate.
Response: We have observed a continuous curve as readmissions increase over time. There is no discontinuity on which to base a cut-off point. The TEP has considered longer and shorter time intervals, but did not find a clear case that the measures for facilities, relative to each other, would vary meaningfully. A much shorter interval would have fewer events, making each event relatively more important in computing a rate. A much longer interval would bring in more random events. The 30-day interval is an interval that harmonizes with other measures and was found reasonable by the technical panel, which included industry representation. We will include a graph of readmissions over time as illustrative material in the final technical specifications prior to measure implementation.
Comment: Two comments pointed out that LTCHs often discharge to another provider and that the attribution of any readmission might not belong to the LTCH because of limited control of the care at that point.
Response: We have harmonized this measure with the other inpatient readmission measures in this respect. Stays that result in a discharge to another acute provider are not included in the measure. Patients that are discharged to a lower level of care are those for which attribution is made to the LTCH. There are two main considerations in making this decision: (1) The discharging facility should be making a best effort to discharge its patients to the best setting and provider for the patients in the transition planning; and (2) it is intended the discharging facility will be sharing responsibility with the admitting provider for any readmission in the common part of their observation windows. Measures are being developed for other providers that will result in attribution of responsibility to these providers as well.
Comment: Some commenters expressed concern that CMS had not convened a TEP for this measure and requested that one be convened.
Response: Our measure development contractor has convened several meetings of a TEP (including representatives of the LTCH community). During these meetings, TEP members were consulted to inform our measure development efforts, including selection of the list of planned readmissions.
Comment: One commenter expressed concern over burden of data collection for the LTCH readmission measure.
Response: As we noted in the proposed rule and the measure specifications, this measure is based on claims and enrollment data. We do not require LTCHs to submit any data of a non-routine nature for the purpose of this measure. Therefore, there is no additional data collection or reporting burden associated with this measure.
Comment: One commenter requested that the statement in the measure specification concerning definitions of planned readmissions be explicitly stated in the rule.
Response: We included definitions of planned readmissions in the draft LTCH Readmissions Measure Specifications file available for download at the time of release of the proposed rule at: http://www.cms.gov/Medicare/Quality-Initiatives-Patient-Assessment-Instruments/LTCH-Quality-Reporting/. Generally, we include Web links to measure specifications rather than including the specification in the proposed or final rule.
Comment: One commenter wanted CMS to clarify that the LTCH stays included in the measure are only for patients discharged to the community or another setting of lesser intensity than an acute care facility.
Response: We addressed this clearly in the proposed rule as well as in the measure specifications. The measure excludes patients discharged and directly admitted to an IPPS hospital, CAH or LTCH at the time of an LTCH discharge. In addition, the measure excludes discharges against medical advice (as noted in measure specifications).
After consideration of the public comments we received, we are finalizing the All-cause Unplanned Readmission Measure for 30 days Post-Discharge from Long-Term Care Hospitals, as proposed.
c. New LTCHQR Program Quality Measure for the FY 2018 Payment Determination and Subsequent Years
We proposed one new quality measure, Application of the Percent of Residents Experiencing One or More Falls with Major Injury (Long Stay) (NQF #0674), for the LTCHQR Program for the FY 2018 payment determination and subsequent years.
This NQF-endorsed measure is an outcome measure that reports the percentage of residents (or patients for the LTCH setting) who experienced falls with major injury over a 12-month period. This measure was developed by CMS and is NQF-endorsed for the Nursing Home/Skilled Nursing Facility setting. Similar to our measure development work for the Pressure Ulcer measure (NQF #0678) and expansion to the LTCH setting, we anticipate re-specifying and expanding this measure to the LTCH setting through NQF ad hoc review and future rulemaking.
Research indicates that fall-related injuries are the most common cause of accidental death in people aged 65 and older, with approximately 41 percent of accidental deaths annually. [171] Rates increase to 70 percent of accidental deaths amongst individuals ages 75 and older. [172] In addition to death, falls can lead to fracture, soft tissue or head injury, fear of falling, anxiety and depression. [173] Research also indicates that approximately 75 percent of nursing facility residents fall at least once a year, twice the rate of their counterparts in the community. [174] Similar data are not available for the LTCH setting. Falls also represent a significant cost burden to the entire health care system, with injurious falls accounting for 6 percent of medical expenses among those age 65 and older. [175]
According to analysis of ICD-9 codes reported on Medicare claims, LTCHs reported 2,567 major injuries due to falls in 2009. POA indicators are not available on LTCH claims; therefore, we are unable to say whether these conditions are present on admission or acquired during the LTCH stay. Therefore, it was not possible to determine which of these falls occurred in the LTCH. However, we note that on the majority of claims, the primary diagnosis is the admitting diagnosis and is considered to be present on admission and therefore, the secondary diagnoses can be assumed to provide a count of conditions that could have been acquired in the LTCH. [176] When it was assumed that a fall recorded in the primary diagnosis code was likely present on admission and that a fall recorded in the secondary diagnosis code was acquired in the LTCH, there were 2,049 reported injuries that may have been acquired in the LTCH. [177]
According to Morse (2002), 78 percent of falls are anticipated physiologic falls. Anticipated physiological falls are falls amongst individuals who scored high on a risk assessment scale, meaning their risk could have been identified in advance of the fall. [178] To date, studies have identified a number of risk factors for falls. [179] [180] [181] [182] [183] [184] [185] [186] [187] The identification of such risk factors suggests the potential for health care facilities to reduce and prevent the incidence of falls for their patients.
In light of the evidence discussed above, we proposed an application of the measure NQF #0674 Percent of Residents Experiencing One or More Falls with Major Injury (Long Stay), for the LTCHQR Program for the FY 2018 payment determination and subsequent years.
We note that, while NQF #0674 is currently endorsed only for long stay nursing home residents, we believe that an application of this measure is highly relevant for the LTCH setting. As stated above, many patients receiving care in the LTCH setting are elderly and are at high risk for death and other injuries due to falls. A TEP convened by our measure development contractor discussed potential quality measures for the LTCH setting and stressed that falls with major injury are a major concern in LTCH setting.
In section 1886(m)(5)(D)(ii) of the Act, the exception authority provides that “[i]n the case of a specified area or medical topic determined appropriate by the Secretary for which a feasible and practical measure has not been endorsed by the entity with a contract under section 1890(a) of the Act, the Secretary may specify a measure that is not so endorsed as long as due consideration is given to measures that have been endorsed or adopted by a consensus organization identified by the Secretary.” We reviewed NQF's consensus endorsed measures and were unable to identify any NQF-endorsed measures for falls with major injury in the LTCH setting. We are unaware of any other measures for falls with major injury that have been endorsed or adopted by another consensus organization for the LTCH setting.
Therefore, we proposed to adopt an application of the NQF-endorsed measure Percent of Residents Experiencing One or More Falls with Major Injury (Long Stay) (NQF #0674) for use in the LTCH setting for the LTCHQR Program under the Secretary's authority to select non-NQF-endorsed measures. As mentioned previously, we are considering applying for NQF review for endorsement of this measure to the LTCH setting as part of the measure expansion process. Additional information regarding NQF #0674, on which our application of the measure is based, including measure specifications, is available at: http://www.qualityforum.org/QPS/0674. The use of different applications of the same quality measure across multiple healthcare settings is also consistent with the 2008 NQF steering committee recommendation that “in the interest of standardization and minimizing the burden for those implementing and using measures, measure harmonization is an important consideration in evaluating and recommending measures for endorsement.” [188] Data on NQF #0674 is currently collected and reported on Nursing Home Compare as part of the Nursing Home Quality Initiative. [189]
We proposed that data for the proposed application of NQF #0674 will be collected through the LTCH CARE Data Set, [190] with submission through the QIES ASAP System, as described in the FY 2013 IPPS/LTCH PPS final rule (77 FR 53619 through 53621). For more information on LTCHQR Program reporting using the QIES ASAP system, we refer readers to the Web site at: http://www.cms.gov/Medicare/Quality-Initiatives-Patient-Assessment-Instruments/LTCH-Quality-Reporting/LTCHTechnicalInformation.html. We intend to revise the LTCH CARE Data Set to include new items which assess the presence of falls and falls with major injury. These new items will be applied to all LTCH patients and will not distinguish between long stay versus short stay patients since this categorization is not applicable to the LTCH setting.
The items used for the application of the quality measure are based on the items from the Minimum Data Set (MDS) 3.0, version 1.13.0 (1/17/13) items J1800 (Any Falls Since Admission/Entry or Reentry or Prior Assessment) and J1900A., B. and C. (Number of Falls (A. with no injury, B. with injury (except major), C. with Major injury)) since Admission/Entry or Reentry or Prior Assessment), available at: http://www.cms.gov/Medicare/Quality-Initiatives-Patient-Assessment-Instruments/NursingHomeQualityInits/NHQIMDS30TechnicalInformation.html. The calculation of the proposed application of the measure will be based on item J1900C, Number of Falls with major injury, since admission. The specifications and data elements for NQF #0674 are available in the MDS 3.0 Quality Measures User's Manual Version 6.0 available on our Web site at http://www.cms.gov/ Medicare/Quality-Initiatives-Patient-Assessment-Instruments/NursingHomeQualityInits/MDS30RAIManual.html.
By building on the existing reporting and submission infrastructure for LTCHs, (the LTCH CARE Data Set, which we began using for data collection on October 1, 2012, for the Pressure Ulcer measure), we intend to reduce the burden related to data collection and submission for this measure under the LTCHQR Program. We refer readers to section IX.C.9. of the preamble of this final rule for more information on data collection and submission.
We invited public comment on this proposed measure and data collection and submission for the proposed measure for the FY 2018 payment determination and subsequent years.
Comment: A few commenters supported the adoption of an Application of the Percent of Residents Experiencing One or More Falls with Major Injury (Long Stay) (NQF #0674) for the LTCHQR Program for the FY 2018 payment determination and subsequent years. The commenters expressed that falls with major injury are an important safety concern in LTCHs, especially amongst frail and elderly patients, and this measure would reinforce efforts of LTCHs to provide high quality care.
Response: We thank the commenters for their support of this measure for the LTCHQR Program and agree that falls with major injury are an important patient safety concern in LTCHs.
Comment: Several commenters expressed concerns regarding the implementation of Percent of Residents Experiencing One or More Falls with Major Injury (Long Stay) (NQF #0674) to the LTCH setting prior to NQF endorsement and expansion to the LTCH setting. These commenters stated that this measure was developed for the long-stay nursing home population and that the patient populations in LTCHs and nursing homes are very different due to the medically complex and acute hospital needs of LTCH patients. Further, these commenters argued that the measure has not been adequately developed, specified or tested for the LTCH setting. While these commenters supported alignment and harmonization across settings, they strongly encouraged CMS to obtain NQF endorsement of this measure prior to expansion to the LTCH setting. Further, one commenter stated that this measure should undergo full NQF review, using the Consensus Development Process, rather than time-limited review. The commenter also stated that although the MAP supported the direction of the measure, but it concluded that the measure was “not ready for implementation,” “requires modification or further development,” and “should be specified and tested for the LTCH setting.” Finally one commenter remarked that CMS should convene a TEP, which includes experts from the LTCH setting to review the applicability of this measure to that setting.
Response: Although we agree that LTCHs are different from nursing homes in terms of medical complexity and patient needs, we do not agree that the definition of falls with major injury as well as guidelines for prevention of falls in health care settings is substantially different across nursing homes versus LTCHs. We appreciate the commenters' concerns regarding NQF endorsement and recognize that obtaining NQF endorsement is an important step in the measure development process. However, given the fact that falls with major injury is an important patient safety concern in LTCHs, along with the lack of availability of NQF endorsed measures for the LTCH setting, or measures endorsed by any other consensus organizations, we proposed this measure under the exception authority given to the Secretary in section 1886(m)(5)(D)(ii) of the Act, that allows CMS to apply a measure to the LTCH setting that is not NQF-endorsed for the LTCH setting. While this measure is currently endorsed for the nursing home setting, we believe the data collection items, measure definition and measure specifications are applicable across multiple healthcare settings, including the LTCH setting. In addition, our measure development contractor has convened a TEP that provided feedback on this measure and supported the importance of a quality measure to address falls with major injury.
We appreciate the commenters' input on finalizing a measure for which the MAP supported direction. We note that we have taken the MAP's input into consideration in selecting quality measures, as we are required to do under section 1890(a)(4) of the Act. However, we are not required to follow the MAP's recommendations, but to take them into account when selecting measures for proposal. In addition to MAP input, we take a variety of other factors into account in selecting measures. In this instance, for example, an application of the Percent of Residents Experiencing One or More Falls with Major Injury (Long Stay) measure (NQF #0674) is NQF-endorsed for the LTCH setting, an indication that it is appropriate for LTCH patients. In addition, this measure is appropriate in light of the fact that fall-related injury is an important patient safety concern for LTCH patients. For the reasons listed above, this measure is appropriate for LTCH patients.
Comment: One commenter expressed concern regarding the definition of falls with major injury. The commenter suggests that CMS work with LTCHs to establish common definitions of both falls and major injuries, as there are currently inconsistencies of the definitions used across facilities. The commenter expressed that the definitions need to be developed for the specific needs of the LTCH population. In addition, since LTCHs may care for long-term behavioral patients, falls will need to relate separately to medical and behavioral patients treated in those settings.
Response: We agree with the commenters that it is important to develop definitions of both falls and major injury, and this goal aligns with the NQF steering committee recommendation for measure harmonization across settings. [191] We believe that the definition of falls with major injury should be harmonized across healthcare settings since falls with major injury are setting-neutral concepts, should be defined and applied in the same way to all patients across healthcare settings, where appropriate, and that special exceptions to such definitions should not be made based on a specific patient population (such as behavioral patients). The definitions for these concepts were carefully developed and tested in the nursing home setting and data suggests both validity and reliability for the definitions included in this measure.
Although this measure was developed in nursing homes, and measure-specific data analysis and data reporting falls with major injury among the elderly has primarily been conducted in nursing homes, and while LTCHs are not entirely identical to nursing homes, these two post-acute settings have overlap in their patient populations and their risk factors. A 2009 report prepared by RTI International found similarities in age, race and illness severity across LTCHs and nursing homes (http://aspe.hhs.gov/health/reports/09/pacihs/report.pdf). This study also found that the location of a PAC referral is sometimes made based on nonclinical factors such as geographic availability and hospital affiliations. The similarities between the facilities and the potential overlap in patients, along with nonclinical factors that affect where a patient is treated, all suggest that research regarding nursing home residents, the MDS 3.0, and the use of quality measures in the nursing home setting, is applicable to LTCHs and the LTCH CARE Data Set.
After consideration of the public comments we received, we are finalizing our proposal to adopt the Application of the Percent of Residents Experiencing One or More Falls with Major Injury (Long Stay) (NQF #0674), for the LTCHQR Program for the FY 2018 payment determination and subsequent years.
d. LTCHQR Program Quality Measures and Concepts Under Consideration for Future Years Payment Determinations
We are considering the measures and measure topics in the table below for future years in the LTCHQR Program. In the FY 2014 IPPS/LTCH PPS proposed rule (78 FR 27730), we invited public comment on these measures and measure topics, specifically comments regarding the clinical importance, feasibility of data collection and implementation, current use, and usability of data to inform quality improvements in the LTCH setting.
| National Quality Strategy Priority: Safety and Healthcare-Associated Infections HAIs: |
| • Surgical Site Infection. |
| • Ventilator-Associated Event. |
| • Ventilator Bundle. |
| National Quality Strategy Priority: Safety and Healthcare-Acquired Conditions: Avoidable Adverse Events and Serious Reportable Events: |
| • Manifestations of Poor Glycemic Control. |
| National Quality Strategy Priority: Effective Clinical Processes: |
| • Severe Sepsis and Septic Shock: Management Bundle. |
| • Application of Venous Thromboembolism Prophylaxis (NQF #0371). |
| • Ventilator Weaning Rate. |
| National Quality Strategy Priority: Patient Safety. |
| • Application of Hospital-Based Inpatient Psychiatric Services (HBIPS)—2 Hours of Physical Restraint Use (NQF #0640). |
| • Application of Percent of Residents Who Were Physically Restrained (Long-Stay) (NQF #0687). |
| National Quality Strategy Priority: Patient and Caregiver-Centered Care: |
| • Depression Assessment and Management. |
| • Functional Change. |
| • Application of HCAHPS (NQF #0166). |
| • Application of Pain Management (for example, Percent of Residents Who Self-Report Moderate to Severe Pain (Short-Stay) (NQF #0677)). |
| National Quality Strategy Priority: Communication and Coordination of Care: |
| • Application of Medication Reconciliation (NQF #0097). |
| • Application of Medication Reconciliation Post-Discharge (NQF #0554). |
| • Reconciled Medication List Received by Discharged Patients (NQF #0646). |
| • Transition Record with Specified Elements Received by Discharged Patients (NQF #0647). |
| • Timely Transmission of Transition Record (NQF #0648). |
Comment: Several commenters expressed the need for a care coordination measure. Commenters supported implementation of two care coordination measures, the Hospital Consumer Assessment of Healthcare Providers and Systems Survey (HCAHPS) and the Care Transition Measure 3-Question Survey (CTM-3). One commenter noted that it would be helpful if CMS required a standardized LTCH patient satisfaction survey. Another commenter specifically noted that in order for CMS to take the lead in identifying palliative care measures appropriate for LTCHs, the HCAHPS survey should be a high priority in continuing measure development. One commenter advocated for the development and implementation of an LTCH-specific HCAHPS, which would broaden the survey to family members and surrogates if the patient is unable to self-report. This commenter also suggested that the survey be disseminated at the time of discharge to avoid having to locate the patient later.
Response: We appreciate the commenters' support of these measures, and we will take their comments into consideration in our measure development efforts as well as in our ongoing efforts to identify and propose appropriate measures for the LTCHQR Program in the future.
Comment: Two commenters encouraged CMS to consider implementing palliative care-related measures into the LTCHQR Program. Both commenters supported measures related to pain management, and one of the commenters recommended that depression assessment and management and functional change measures should continue to be priorities for LTCHQR Program measure development. These commenters urged CMS to work with measure developers to create and test these measures to be specifically appropriate for the LTCH setting.
Response: We thank the commenters for the comments and suggestions and will take these into consideration as we develop future measures for the LTCHQR Program.
Comment: One commenter expressed specific support for the Ventilator Weaning Rate measure and noted that it would serve as an indication of how well the LTCH is able to remove CCI patients from being dependent on ventilators. One commenter supported Surgical Site Infection (SSI) and sepsis measures and recommended that they should continue to be priorities in LTCHQR Program measure development. One commenter proposed the inclusion of a malnutrition-related quality measure for future use in the LTCHQR Program, as malnourishment can be associated with many other areas of quality measurement that are already implemented in the LTCHQR Program. The commenter suggested that adding a malnourishment measure to the LTCHQR Program would address this significant “gap” area and align priorities and incentives across care settings.
Response: We appreciate the commenters' support of these measures and we will take their comments into consideration as we develop future measures for the LTCHQR Program.
Comment: One commenter suggested that CMS consider the MAP recommendations to pursue measures of Experience of Care, Care Planning, Implementing Patient/Family/Caregiver Goals, and Avoiding Unnecessary Hospital and ED Admissions. The commenter encouraged CMS to take the lead in identifying measures to address these concepts in the LTCH setting.
Response: We will continue to work with the MAP as well as LTCH stakeholders to identify measure concepts and measures that address HHS priorities, align with quality initiatives in other settings, are evidence-based, have a low probability of unintended adverse consequences, and may drive quality improvement.
We thank the commenters for the comments and suggestions and we will consider them as we develop future measures.
9. Form, Manner, and Timing of Quality Data Submission for the FY 2016 Payment Determination and Subsequent Years
a. Background
Section 1886(m)(5)(C) of the Act requires that, for the FY 2014 payment determination and subsequent years, each LTCH submit to the Secretary data on quality measures specified by the Secretary and that such data shall be submitted in a form and manner, and at a time, specified by the Secretary. As required by section 1886(m)(5)(A)(i) of the Act, for any LTCH that does not submit data in accordance with section 1886(m)(5)(C) of the Act with respect to a rate year, the Secretary will reduce any annual update to the standard Federal rate for discharges for the hospital during the rate year by two percentage points.
All LTCHs will be required to collect data using the LTCH CARE Data Set (Version 2.01). [192] The LTCH CARE Data Set (Version 2.01) was approved on June 10, 2013, by the Office of Management and Budget in accordance with the Paperwork Reduction Act (PRA); the OMB Control Number is 0938-1163. Later in 2013, we will release the final technical data submission specifications and updated LTCHQR Program Manual for the LTCH CARE Data Set (Version 2.01) containing items related to NQF #0680. The Quality Improvement and Evaluation System (QIES) Assessment Submission and Processing (ASAP) System will remain the data submission mechanism for the LTCH CARE Data Set. Further information on data submission of the LTCH CARE Data Set for the LTCHQR Program Reporting using the QIES ASAP system is available at: https://www.qtso.com/ and http://www.cms.gov/Medicare/Quality-Initiatives-Patient-Assessment-Instruments/LTCH-Quality-Reporting/LTCHTechnicalInformation.html.
b. Finalized Timeline for Data Submission Under the LTCHQR Program for the FY 2016 Payment Determination
In the FY 2013 IPPS/LTCH PPS final rule (77 FR 53636 through 53637), we finalized the data submission timeline for measures for the FY 2016 payment determination. LTCHs are required to submit data on LTCH admissions and discharges occurring from January 1, 2014 through December 31, 2014 (CY 2014) for the FY 2016 payment determination. We adopted this timeframe because we believe this will provide sufficient time for LTCHs and CMS to put processes and procedures in place to meet the additional quality reporting requirements. We also finalized in this rule the quarterly submission deadlines for the FY 2016 payment determination as approximately 45 days after the end of each quarter, as outlined in the table below. This is the date by which all data collected during that quarter must be submitted to CMS for measures using the LTCH CARE Data Set and to CDC for measures using the CDC's NHSN.
| Data collection timeframe: CY 2014 | Submission deadline |
|---|---|
| Q1 (January-March 2014) | May 15, 2014. |
| Q2 (April-June 2014) | August 15, 2014. |
| Q3 (July-September 2014) | November 15, 2014. |
| Q4 (October-December 2014) | February 15, 2015. |
c. Timeline for Data Submission for the NQF #0431 Influenza Vaccination Coverage Among Healthcare Personnel Measure for the FY 2016 Payment Determination and Subsequent Years
In the FY 2013 IPPS/LTCH PPS final rule (77 FR 53630 through 53631) we finalized the adoption of the Influenza Vaccination Coverage among Healthcare Personnel (NQF #0431) measure for the FY 2016 payment determination. In the FY 2013 IPPS/LTCH PPS final rule (77 FR 53636) we also finalized the data collection period for the FY 2016 payment determination to be January 1, 2014 through December 31, 2014. As noted in IX.C.7.a. of the preamble to the proposed rule, there is a unique seasonality in the timing of influenza activity each year. The CDC, the steward of this measure, recommends that people get vaccinated against influenza as long as influenza viruses are circulating. We proposed that, for the LTCHQR Program, the Influenza Vaccination Coverage among Healthcare Personnel measure (NQF #0431) have its own reporting period to align with the influenza vaccination season, which is defined by the CDC as October 1 (or when the vaccine becomes available) through March 31of the subsequent year for the influenza season. This timeline is consistent with how the NQF specifies this measure. Further details related to the procedures for using the CDC's NHSN for data submission and measure specifications for the Influenza Vaccination Coverage among Healthcare Personnel (NQF #0431) measure can be found at: http://www.qualityforum.org/QPS/0431 and http://www.cdc.gov/nhsn/LTACH/hcp-flu-vac/index.html.
In the FY 2014 IPPS/LTCH PPS proposed rule (78 FR 27731), we stated that if our proposal in IX.C.7.a. of the preamble to the proposed rule is finalized, LTCHs would be required to report data on the Influenza Vaccination Coverage among Healthcare Personnel (NQF #0431) measure from October 1, 2014 or the date on which the vaccine becomes available, whichever occurs first, through March 31, 2015 for the 2014-2015 influenza season for FY 2016 payment determination. We also proposed that this October (or when vaccine becomes available) through March reporting period for the Influenza Vaccination Coverage among Healthcare Personnel (NQF #0431) measure would apply to the FY 2016 payment determination and subsequent years.
Comment: Several commenters provided input on the proposed data collection and reporting timelines for NQF #0431, Influenza Vaccination Coverage Among Healthcare Personnel.
Response: We refer readers to section IX.C.7.a. of the preamble of this final rule for responses to the comments regarding the timelines for this measure.
After consideration of the public comments we received (as discussed in section IX.C.7.a. of the preamble of this final rule), we are finalizing the data collection and reporting timeline for NQF #0431, Influenza Vaccination Coverage Among Healthcare Personnel for the FY 2016 payment determination and subsequent years.
d. Timeline for Data Submission for the NQF #0680 Percent of Residents or Patients Who Were Assessed and Appropriately Given the Seasonal Influenza Vaccine (Short Stay) Measure for the FY 2016 Payment Determination and Subsequent Years
In the FY 2013 IPPS/LTCH PPS final rule (77 FR 53624 through 53627), we finalized the adoption of the Percent of Residents or Patients Who Were Assessed and Appropriately Given the Seasonal Influenza Vaccine (Short Stay) (NQF #0680) measure for the FY 2016 payment determination. In the FY 2013 IPPS/LTCH PPS final rule (77 FR 53637) we also finalized the data collection period for the FY 2016 payment determination to begin January 1, 2014 and continue through December 31, 2014. This measure will be collected using the LTCH CARE Data Set. The LTCH CARE Data Set (version 2.01), [193] the proposed data collection instrument for this measure, was approved on June 10, 2013, by the Office of Management and Budget in accordance with the Paperwork Reduction Act (PRA); the OMB Control Number is 0938-1163.
We generally allow 9-12 months for LTCHs to comply with and integrate the requisite changes to new versions of data sets into their existing IT infrastructure, and to train staff members. In the FY 2014 IPPS/LTCH PPS proposed rule (78 FR 27731 through 277322), because summer 2013 approval of the LTCH CARE Data Set version 2.01 would only allow 6 months for LTCHs to put plans and procedures into place, we proposed to move the start date for data collection of this measure to April 1, 2014, instead of the previously finalized start date of January 1, 2014. Data collection and submission of this measure will continue through December 31, 2014, for the FY 2016 payment determination. This proposed change would only affect CY 2014 reporting. We proposed that for all subsequent years this measure will be collected on a calendar year basis beginning on January 1 and continuing through December 31 of each year.
We invited public comment on these proposed data collection and submission timeframes for NQF #0680 for the FY 2016 payment determination.
Comment: Several commenters provided input on the proposed data collection and reporting timelines for NQF #0680, Percent of Residents or Patients Who Were Assessed and Appropriately Given the Seasonal Influenza Vaccine (Short Stay). We present these comments, in detail, in section IX.C.7.b. of the preamble of this final rule.
Response: We refer readers to section IX.C.7.b. of the preamble of this final rule for responses to the comments regarding the timelines for this measure.
After consideration of the public comments we received, we are finalizing a revised data collection and reporting timeline. Starting with the 2014-2015 influenza vaccination season, data collection for the Percent of Residents or Patients Who Were Assessed and Appropriately Given the Seasonal Influenza Vaccine (short-stay) measure (NQF #0680), will be required for any patient admitted or discharged between October 1 and April 30. Data collection and submission deadlines for the FY 2016 payment determination are illustrated in the table below. We note that similar deadlines apply in subsequent years. In addition, we are finalizing our proposal that the measure calculation and public reporting of this measure (once public reporting is instated) will be based on the influenza vaccination season. Further, we are also finalizing that the start date for LTCH CARE Data Set Version 2.01 will be July 1, 2014 in place of April 1, 2014 allowing providers and vendors an additional 3-months to prepare for the implementation of LTCH CARE Data Set Version 2.01, which contains the data items that will be used by LTCHs to submit quality measure data for this measure. The items for NQF #0680 on the LTCH CARE Data Set Version 2.01 will be required starting on October 1, 2014.
Set out below are the data collection timelines and submission deadlines for the FY 2016 payment determination.
| NQF Measure ID | Data collection timeframe |
|---|---|
| * The data collection period for this measure was finalized in the FY 2013 IPPS/LTCH PPS final rule. | |
| ** This data collection timeframe for this measure is finalized in this final rule. | |
| NQF #0138* | January 1, 2014-December 31, 2014. |
| NQF #0139* | January 1, 2014-December 31, 2014. |
| NQF #0678* | January 1, 2014-December 31, 2014. |
| NQF #0680** | October 1, 2014-April 30, 2015.** |
| NQF #0431** | October 1, 2014 (or when vaccine becomes available)-March 31, 2015.** |
| Data collection timeframe: CY 2014 | Final submission deadlines for the LTCHQR Program FY 2016 payment determination |
|---|---|
| * The data collection period for this measure was finalized in the FY 2013 IPPS/LTCH PPS final rule. | |
| Q1 (January-March 2014) | May 15, 2014. |
| Q2 (April-June 2014) | August 15, 2014. |
| Q3 (July-September 2014) | November 15, 2014. |
| Q4 (October-December 2014) | February 15, 2015. |
| Data collection timeframe | Final submission deadlines for the LTCHQR Program FY 2016 payment determination |
|---|---|
| October 1, 2014-April 30, 2015 | May 15, 2015. |
| Data collection timeframe | Final submission deadlines for the LTCHQR Program FY 2016 payment determination |
|---|---|
| October 1, 2014 (or when vaccine becomes available)-March 31, 2015 | May 15, 2015. |
e. Timeline for Data Submission Under the LTCHQR Program for the FY 2017 Payment Determination
As previously stated, in the FY 2013 IPPS/LTCH PPS final rule (77 FR 53636 through 53637), we finalized the data submission timeline for the FY 2016 payment determination. In the FY 2014 IPPS/LTCH PPS proposed rule (78 FR 27732), for the FY 2017 payment determination, we proposed to require data submission for the LTCHQR Program on all LTCH admissions and discharges occurring January 1, 2015 through December 31, 2015 (CY 2015), with the exception of Influenza Vaccination among Healthcare Personnel (NQF #0431). We proposed that the data collection timeframe for this measure (NQF #0431) be in alignment with the CDC measure specifications, because CDC is the steward for this NQF-endorsed measure. We refer readers to section IX.C.9.c. of the preamble of this final rule for additional information on this measure's timelines.
We noted that the All-cause Unplanned Readmission Measure for 30 days Post-Discharge from Long-Term Care Hospitals is a Medicare claims-based measure; therefore, no new data need to be collected or reported by the facility. We will use CY 2013 and CY 2014 Medicare claims data to calculate the All-cause Unplanned Readmission Measure for 30 days Post-Discharge from Long-Term Care Hospitals.
For each quarter outlined in the table below during which the LTCHs are required to collect data, we proposed final submission deadlines occurring approximately 45 days after the end of any given quarter by which all data collected during that quarter must be submitted. We believe that this is a reasonable amount of time to allow LTCHs to submit data and make any necessary corrections. We proposed these timeframes because we believe this will provide sufficient time for CMS and LTCHs to put processes and procedures in place to meet the quality reporting requirements for quality measures (except for the readmissions measure, which is a claims based measure, and therefore, does not pose any requirements on LTCHs) under the LTCHQR Program.
We invited public comment on this proposal.
Comment: A few commenters supported the proposed timeline for data submission under the LTCHQR Program for the FY 2017 payment determination.
Response: We thank the commenters for their support of the proposed timeline for data submission for FY 2017 payment determination.
Comment: One commenter expressed concern regarding the data collection timeline for both the FY 2017 and FY 2018 payment determinations and the burden of adding several quality measures over 2 years. This commenter remarked that LTCHs will need to acquire additional resources to accommodate the needs of additional data collection, as well as resources to focus on quality improvement issues and noted concern that the limited existing resources at LTCHs will be moved from prevention activities to reporting activities.
Response: As we stated in section IX.B.9. of the preamble of this final rule, by building upon preexisting resources for data collection and submission, we intend to foster alignment between measures that help to reduce the administrative burden related to data collection and submission. We are aware that the initial setup and acclimation to the data collection process using the LTCH CARE Data Set and QIES ASAP has occurred for a vast majority of LTCHs as part of the implementation of the Pressure Ulcer measure (NQF #0678) starting October 1, 2012, for the LTCHQR Program for the FY 2014 payment determination as well as the implementation of the Patient Influenza Vaccination measure for the LTCHQR Program for the FY 2016 payment determination. Similarly, we are aware that the initial setup and acclimation to the data collection process using the CDC's NHSN has occurred for a vast majority of LTCHs as part of the implementation of the CAUTI and CLABSI measures (NQF #0138 and NQF #0139) starting October 1, 2012, for the LTCHQR Program. Therefore, we believe the addition of measures that employ the LTCH CARE Data Set and QIES ASAP or the CDC's NHSN for FY 2017 and FY 2018 may be less burdensome.
We also are aware of the need to improve quality of care for health care services provided within the LTCH and other health care settings while recognizing availability of limited resources. However, we believe that the cost of quality reporting programs is outweighed by the potential for gain in health and health care outcomes as well as potential cost savings from preventing avoidable conditions such as: Avoidable readmissions; HAIs such as CAUTI, CLABSI, C. Difficile and MRSA infections; HACs such as pressure ulcers; and falls with major injury.
After consideration of the public comments we received, we are finalizing the timelines we proposed, as proposed for all measures except NQF #0680, related to the measures affecting the FY 2017 payment determination. In this final rule, we revised the data collection and submission timeline for the Percent of Residents or Patients Who Were Assessed and Appropriately Given the Seasonal Influenza Vaccine (short-stay) measure (NQF #0680). Data collection for this measure will be required for any patient admitted or discharged between October 1 and April 30. We refer readers to section IX.C.9.b. of the preamble of this final rule for additional information on this measure's timeline. The timelines for data collection and submission for the measures for the FY 2017 payment determination are listed in the following tables.
| NQF Measure ID | Data collection timeframe |
|---|---|
| NQF #0138 | January 1, 2015-December 31, 2015. |
| NQF #0139 | January 1, 2015-December 31, 2015. |
| NQF #0678 | January 1, 2015-December 31, 2015. |
| NQF #0680 | October 1, 2015-April 30, 2016. |
| NQF #0431 | October 1, 2015 (or when vaccine becomes available)-March 31, 2016. |
| NQF #1716 | January 1, 2015-December 31, 2015. |
| NQF #1717 | January 1, 2015-December 31, 2015. |
| Data collection timeframe: CY 2015 | Final submission deadlines for the LTCHQR Program FY 2017 payment determination |
|---|---|
| Q1 (January-March 2015) | May 15, 2015. |
| Q2 (April-June 2015) | August 15, 2015. |
| Q3 (July-September 2015) | November 15, 2015. |
| Q4 (October-December 2015) | February 15, 2016. |
| Data collection timeframe | Final submission deadlines for the LTCHQR Program FY 2017 payment determination |
|---|---|
| October 1 2015-April 30, 2016 | May 15, 2016. |
| Data collection timeframe | Final submission deadlines for the LTCHQR Program FY 2017 payment determination |
|---|---|
| October 1 2015 (or when vaccine becomes available)-March 31, 2016 | May 15, 2016. |
f. Timeline for Data Submission Under the LTCHQR Program for the FY 2018 Payment Determination
For measures for the FY 2018 payment determination, we proposed to require data collection on LTCH discharges occurring from January 1, 2016, through December 31, 2016, with the exception of Influenza Vaccination among Healthcare Personnel (NQF #0431). We proposed that the data collection timeframe for this measure (NQF #0431) be in alignment with measure specifications per advisement of the CDC, the steward for this NQF-endorsed measure. LTCHs would follow the proposed deadlines presented in the tables below to complete submission of data for each quarter for each proposed measure for the FY 2018 payment determination. For each quarter outlined in the table below during which LTCHs are required to collect data, we proposed a final submission deadline occurring approximately 45 days after the end of each quarter by which all data collected during that quarter must be submitted. We believe that this is a reasonable amount of time to allow LTCHs to submit data and make any necessary corrections.
We invited public comment on this proposal.
Comment: A few commenters support the proposed timeline for data submission under the LTCHQR Program for FY 2018 payment determination.
Response: We thank the commenters for their support of the proposed timeline for data submission for FY 2018 payment determination.
After consideration of the public comments we received, we are finalizing, as proposed for all measures except for NQF #0680, all timelines related to FY 2018. For NQF #0680, in this final rule, we revised the data collection and submission timeline. Data collection for this measure will be required for all patients admitted or discharged from the LTCH between October 1 and April 30. We refer readers to section IX.C.9.b. of the preamble of this final rule for additional information on this measure's timeline. The timelines for data collection and submission for the measures for the FY 2018 payment determination are listed in the following tables.
| NQF Measure ID | Data collection timeframe |
|---|---|
| NQF #0138 | January 1, 2016-December 31, 2016. |
| NQF #0139 | January 1, 2016-December 31, 2016. |
| NQF #0678 | January 1, 2016-December 31, 2016. |
| NQF #0680 | October 1, 2016-April 30, 2017. |
| NQF #0431 | October 1, 2016 (or when vaccine becomes available)-March 31, 2017. |
| NQF #1716 | January 1, 2016-December 31, 2016. |
| NQF #1717 | January 1, 2016-December 31, 2016. |
| Application of NQF #0674 | January 1, 2016-December 31, 2016. |
| Data collection timeframe: CY 2016 | Final submission deadlines for the LTCHQR Program FY 2018 payment determination |
|---|---|
| Q1 (January-March 2016) | May 15, 2016. |
| Q2 (April-June 2016) | August 15, 2016. |
| Q3 (July-September 2016) | November 15, 2016. |
| Q4 (October-December 2016) | February 15, 2017. |
| Data collection timeframe | Final submission deadlines for the LTCHQR Program FY 2018 payment determination |
|---|---|
| October 1, 2016-April 30, 2017 | May 15, 2017. |
| Data collection timeframe | Final submission deadlines for the LTCHQR Program FY 2018 payment determination |
|---|---|
| October 1 2016 (or when vaccine becomes available)-March 31, 2017 | May 15, 2017. |
10. Public Display of Data Quality Measures for the LTCHQR Program
Under section 1886(m)(5)(E) of the Act, the Secretary is required to establish procedures for making any quality data submitted by LTCHs under section 1886(m)(5)(C) of the Act available to the public. Section 1886(m)(5)(E) of the Act requires that such procedures shall ensure that a LTCH has the opportunity to review the data that is to be made public with respect to its facility, prior to such data being made public. The Act also requires that the Secretary report quality measures that relate to services furnished in LTCHs on CMS' Internet Web site. In the FY 2013 IPPS/LTCH PPS final rule (77 FR 53637), we received and responded to public comment regarding the procedures we could adopt for the public reporting of quality data under the LTCHQR Program.
Currently, we are developing plans regarding the implementation of these provisions. We appreciate the need for transparency into the processes and procedures that will be implemented to allow for public reporting of the LTCHQR Program data and to afford LTCHs the opportunity to preview that data before it is made public. At this time, we have not established procedures or timelines for public reporting of data, but we intend to include related proposals in future rulemaking. In the FY 2014 IPPS/LTCH PPS proposed rule (78 FR 27733), we welcomed public comment on what we should consider when developing future proposals related to public reporting of quality measures for the LTCHQR Program.
Comment: One commenter urged CMS to publicly report the LTCHQR Program data on the Hospital Compare Web site: http://www.medicare.gov/hospitalcompare. This commenter further noted that the lack of established procedures or timelines for public reporting of these data is inappropriate and does not reflect the commitment to accountability and transparency CMS has shown in other quality reporting programs.
Response: We appreciate the need for accountability and transparency for the LTCHQR Program similar to other quality reporting programs. To this end, we are continuing to undertake efforts to establish procedures and a timeline for the public reporting of data for the LTCHQR Program. We will communicate this information through future rulemaking.
Comment: Another commenter urged CMS to provide LTCHs with ample time to review and make changes to their data before it is made available to the public. A commenter suggested that an initial review period greater than the typical 30-day period is critical for LTCHs.
Response: We are considering policies and procedures that would allow LTCHs sufficient time to review their quality data prior to it being made public.
Comment: One commenter urged CMS to seek input from stakeholders as to the best way to ensure the data made public is easily understood by providers and consumers.
Response: We appreciate the need to ensure that the data made publicly available is easily understood by stakeholders such as the providers and consumers. At this time, we are working to establish procedures for public reporting, including procedures that provide the opportunity for LTCHs to review their data before it is made public, and will propose such procedures through future rulemaking allowing for stakeholder input.
We thank the commenters for the input and suggestions, and we will consider them as we develop proposals for public reporting of quality measures in future rulemaking.
11. LTCHQR Program Submission Waiver Requirements for the FY 2015 Payment Determination and Subsequent Years
Our experience with other quality reporting programs has shown that there are times when providers are unable to submit quality data due to extraordinary circumstances beyond their control (for example, natural or man-made disasters). We define a “disaster” as any natural or man-made catastrophe which causes damages of sufficient severity and magnitude to partially or completely destroy or delay access to medical records and associated documentation. Natural disasters could include events such as hurricanes, tornadoes, earthquakes, volcanic eruptions, fires, mudslides, snowstorms, and tsunamis. Man-made disasters could include such events as terrorist attacks, bombings, floods caused by man-made actions, civil disorder, and explosions. A disaster may be widespread and impact multiple structures or be isolated and impact a single site only.
In certain instances of either natural or man-made disasters, an LTCH may have the ability to conduct a full patient assessment, and record and save the associated data either during or before the occurrence of an extraordinary event. In this case, the extraordinary event has not caused the facility's data files to be destroyed, but it could hinder the LTCH's ability to meet the quality reporting program's data submission deadlines. In this scenario, the LTCH would potentially have the ability to report the data at a later date, after the emergency circumstances have subsided. In such cases, a temporary waiver of the LTCH's responsibility to report quality measure data may be appropriate.
In other circumstances of natural or man-made disaster, an LTCH may not have had the ability to conduct a full patient assessment, and record and save the associated data before the occurrence of an extraordinary event. In such a scenario, the facility does not have data to submit to CMS as a result of the extraordinary event. We believe that it is appropriate, in these situations, to grant a full waiver of the reporting requirements.
We do not wish to penalize LTCHs in these circumstances or to unduly increase their burden during these times. Therefore, in the FY 2014 IPPS/LTCH PPS proposed rule (78 FR 27733 through 27734), we proposed a process, for the FY 2015 payment determination and subsequent years, for LTCHs to request and for CMS to grant waivers with respect to the reporting of required quality data when there are extraordinary circumstances beyond the control of the LTCHs. When a waiver is granted, an LTCH will not incur payment reduction penalties for failure to comply with the requirements of the LTCHQR Program. For LTCHQR Program reporting and submission of quality measure data for the FY 2014 payment determination, we have issued guidance on the waiver process via the LTCHQR Program Web site at: http://www.cms.gov/Medicare/Quality-Initiatives-Patient-Assessment-Instruments/LTCH-Quality-Reporting/.
Under the proposed process for the FY 2015 payment determination and subsequent years, an LTCH may request a waiver of the requirement to submit quality data for one or more quarters. We proposed a process that, in the event that an LTCH seeks to request a waiver for quality reporting purposes for the FY 2015 payment determination and subsequent years, the LTCH may request a waiver for one or more quarters by submitting a written request to CMS. We proposed that the LTCH compose a letter to CMS that documents the waiver request, with the information below, and submit the letter to CMS via email to the LTCH Quality Waiver mailbox at LTCHQRPReconsiderations@cms.hhs.gov.
We note that the subject of the email must read “Disaster Waiver Request” and the letter must contain the following information:
- LTCH CCN;
- LTCH name;
- CEO or CEO-designated personnel contact information including name, telephone number, title, email address, and mailing address (the address must be a physical address, not a post office box);
- LTCH's reason for requesting a waiver;
- Evidence of the impact of extraordinary circumstances, including but not limited to photographs, newspaper and other media articles; and
- A date when the LTCH believes it will be able to again submit LTCHQR Program data and a justification for the proposed date.
We proposed that the letter documenting the disaster waiver request be signed by the LTCH's CEO or CEO-designated personnel, and must be submitted within 30 days of the date that the extraordinary circumstances occurred. Following receipt of the letter, we would: (1) Provide a written acknowledgement, using the contact information provided in the letter, to the CEO or CEO-designated contact notifying them that the request has been received; and (2) provide a formal response to the CEO or any CEO-designated LTCH personnel, using the contact information provided in the letter, indicating our decision.
This proposal does not preclude us from granting waivers to LTCHs that have not requested them when we determine that an extraordinary circumstance, such as an act of nature, affects an entire region or locale. If we make the determination to grant a waiver to LTCHs in a region or locale, we proposed to communicate this decision through routine communication channels to LTCHs and vendors, including, but not limited to, issuing memos, emails, and notices on http://www.cms.gov/Medicare/Quality-Initiatives-Patient-Assessment-Instruments/LTCH-Quality-Reporting/index.html.
We invited public comment on this proposal.
Comment: Many commenters expressed support of CMS' proposal for the inclusion of a waiver process in the LTCHQR Program to ensure that LTCHs are not penalized in the event of an extraordinary circumstance beyond the control of the LTCH.
Response: We thank commenters for their support.
Comment: One commenter noted the waiver policies of other quality reporting programs and urged us to develop consistent waiver policies for the LTCHQR Program waiver process with at least the following elements: (1) a minimum of 30 days should be allowed after the extraordinary event for submitting waivers; (2) a standardized form should be provided for requesting waivers; (3) the waiver process should be in addition to the payment reduction appeal process, however the appeal process should allow for decisions that waive penalties retroactively; and (4) CMS should be able to grant waivers without an LTCH's request when the LTCH is located in an area impacted by a natural disaster or other extraordinary situation. In addition, the commenter recommended that CMS provide for a broad definition of “extraordinary circumstances” that allows for unanticipated situations.
Response: We are aware that our other quality reporting programs include an opportunity for providers to request a waiver due to the occurrence of an extraordinary circumstance. It is our goal to align our policies with those of existing quality reporting programs to the extent appropriate for the LTCH setting. We will not be providing a standard form for LTCH waiver requests at this time. However, we are aware of the benefits of standardized forms for providers and for CMS, and we intend to create such forms for waiver requests in the future. In addition, we do allow 30 days from the date of the “extraordinary event” during which an LTCH must submit their request for a waiver and this process will be separate from the reconsideration and appeals process proposed and finalized except for the FY 2014 payment determination, which we explain in our next response. In response to the commenter's statement that the CMS LTCH reconsideration process should allow for decisions that waive penalties retroactively, it is not clear to CMS to what penalties the commenter is referring. The CMS reconsideration process only reviews decisions of non-compliance the provider feels were made in error for one data reporting/submission period. In addition, any APU reduction that results from a finding of non-compliance takes place only after the provider has had a chance to request reconsideration and receive a final determination based on that request. Thus, there is no penalty which could be waived retroactively. The CMS reconsideration process will only review determinations of non-compliance made for a given FY's APU determination and not any previous determinations. Finally, we proposed and are finalizing a disaster waiver process for LTCHs in which we state that CMS may, in certain circumstances, grant a disaster waiver to LTCHs in particular region of the country that is affected by a natural disaster or extraordinary event without a request from these LTCHs if it is deemed necessary.
Comment: Some commenters sought clarification as to why the proposed waiver processes begin with the FY 2015 payment determination. The commenters requested that the proposed policies be implemented in time for the FY 2014 payment determination.
Response: This final rule will become effective October 1, 2013, the start of FY 2014 and, by that time, the FY 2014 annual payment determinations will be complete based on LTCHs compliance with the reporting requirements outlined in the FY 2012 IPPS/LTCH PPS final rule. As posted on the LTCHQR Program Web site, we made initial compliance determinations for the FY 2014 payment determination and issued notifications to non-compliant LTCHs in July 2013, at which time each LTCH had the opportunity to request a reconsideration. Any request for a waiver related to quality measure reporting and submission required for October 1, 2012-December 31, 2012 would have needed to be made through the FY 2014 reconsideration process as CMS did not have a waiver process in place during that reporting period. We will have already evaluated those reconsideration or waiver requests related to FY 2014 APU determinations and will have already made final payment determinations for FY 2014 in September 2013. Therefore, it would not be appropriate to proposed and finalize a FY 2014 waiver process as any related payment determinations will be complete prior to this rule becoming effective.
Furthermore, we would like to clarify that for purposes of the FY 2015 payment determination, because this final rule will become effective October 1, 2013, any LTCH that experiences an extraordinary circumstance on or after such date will be held to the requirement that waiver requests be received by CMS within 30 days of the event occurrence. If an extraordinary circumstance occurs prior to October 1, 2013 when this process and policy become final and effective, and if an LTCH wishes to request a waiver from the FY 2015 reporting requirements, the LTCH should communicate any extraordinary circumstances that prevented them from submitting data related to the FY 2015 APU during the reconsideration period for the FY 2015 payment determination. That is, if CMS issues a finding of non-compliance and the LTCH experienced an extraordinary event that prevented them from submitting data, but had no waiver process available to them at that time, the LTCH will need to use the reconsideration process in order to communicate their circumstances to CMS. This is the same process available to LTCHs to request a waiver from the reporting requirements of the FY 2014 payment determination as CMS did not have a waiver process in place during the reporting period affecting the FY 2014 APU determination. Further details of the LTCHQR Program reconsideration process can be found in this final rule and on the Program's Web site at http://www.cms.gov/Medicare/Quality-Initiatives-Patient-Assessment-Instruments/LTCH-Quality-Reporting/index.html.
After consideration of the public comments we received, we are finalizing the LTCHQR Program waiver process as proposed. LTCHs will have 30 days after the date of an extraordinary circumstance, as described above, to submit a waiver request to CMS via email that meets all of the finalized requirements. In the event that any extraordinary circumstance occurs prior to the effective date of this rule, October 1, 2013, LTCHs may utilize the FY 2015 reconsideration process to request a waiver, as the FY 2015 waiver policy and process will not be finalized and in effect until October 1, 2013. In addition, CMS may also grant waivers to LTCHs that have not requested them if it is determined that an extraordinary circumstances affects an entire region or local. More information on the LTCHQR Program Waiver process and all related announcements may be found on http://www.cms.gov/Medicare/Quality-Initiatives-Patient-Assessment-Instruments/LTCH-Quality-Reporting/index.html.
12. LTCHQR Program Reconsideration and Appeals for the FY 2014 and FY 2015 Payment Determination and Subsequent Years
At the conclusion of any given quality data reporting and submission period, we will review the data received from each LTCH during that reporting period to determine if the LTCH has met the quality data reporting requirements. LTCHs that are found to be non-compliant with the reporting requirements set forth for that reporting cycle will receive a reduction in the amount of 2.0 percentage points to their annual payment update for the upcoming fiscal year.
a. LTCHQR Program Reconsideration and Appeals for the FY 2014 Payment Determination
We are aware that some of our other quality reporting programs, such as the Hospital IQR Program, include an opportunity for providers to request a reconsideration of our initial non-compliance determination. We are also aware, for the purposes of the LTCHQR Program, that we recently made compliance determinations for the FY 2014 payment determinations and that there was a need for providers to be able to request a reconsideration if their circumstances warranted. We provided details pertaining to the reconsideration process, and the mechanisms related to provider requests for reconsiderations of their payment determination, such as filing requests, required content, supporting documentation, and mechanisms of notification and final determinations on the LTCHQR Program Web site in spring 2013 prior to any LTCH's need for information on the CMS reconsideration process for the FY 2014 payment determination and subsequent years at: http://www.cms.gov/Medicare/Quality-Initiatives-Patient-Assessment-Instruments/LTCH-Quality-Reporting/. CMS' subregulatory approach to the FY 2014 reconsideration process was necessary, as any other form of the reconsideration process that we might propose and finalize in this rule would not be final and in effect until October 1, 2013. This would have the effect of proposing and finalizing a FY 2014 process for reconsiderations that should already be completed. For this reason, we decided to post all information related to the FY 2014 reconsideration process on the CMS LTCHQR Program Web site listed above. We note that we are finalizing the policy that this subregulatory approach to the reconsideration process will remain in effect until we can propose and finalize a regulatory version of the reconsideration process in future rulemaking.
We invited public comment on our subregulatory approach for reconsideration and appeals for FY 2014 payment determination and subsequent years.
Comment: Many commenters expressed support for CMS' FY 2014 reconsideration and appeals process.
Response: We thank commenters for their support of the inclusion of reconsideration and appeals processes in the LTCHQR Program.
Comment: Some commenters suggested that the proposed reconsideration and appeals processes should be made available to LTCHs for the FY 2014 payment determination, citing that the proposals stated that the processes would be applicable to the FY 2015 payment determination and subsequent years.
Response: In the proposed rule, we communicated our intent to provide guidance pertaining to the reconsideration process for the FY 2014 payment determination on the LTCHQR Program Web site in addition to proposing processes for the FY 2015 payment determination. As posted on the LTCHQR Program Web site, we made initial compliance determinations for the FY 2014 payment determination and issued notifications to non-compliant LTCHs in July 2013, at which time each LTCH had the opportunity to request reconsideration. CMS considered those requests and final payment determinations were made in September 2013. While we did not propose and finalize an LTCH reconsideration process for FY 2014 we did make the process available to all LTCHs. We note that the reconsideration process is voluntary and only one of several processes in place, including the Provider Reimbursement Review Board (PRRB) or federal court, that an LTCH can use to have the CMS initial determination of non-compliance reevaluated.
Comment: One commenter stated that the proposed rule provided no information on the FY 2014 reconsideration and appeals process and instead referred readers to the LTCHQR Program Web page. The commenter suggested that this process must be proposed and finalized through regulation.
Response: We believe that we were justified in our subregulatory approach to the FY 2014 reconsideration process. Please see previous comment and response for a detailed explanation outlining our intentions and subsequent actions regarding the FY 2014 reconsideration process for LTCHs.
Comment: One commenter requested clarification as to CMS' authority to require providers to go through a reconsideration process that is not adopted through rulemaking before appealing to the PRRB referring to our subregulatory approach to the implementation of the FY 2014 LTCH reconsideration processes and procedures.
Response: While we provide a process for reconsideration should LTCHs choose to request to use this process, we would like note a change in policy. In the FY 2014 IPPS/LTCH PPS proposed rule, we stated that LTCHs must first apply for reconsideration through CMS prior to appealing our initial finding of non-compliance to the PRRB. In light of this commenter's concern that CMS did not provide procedural details of the reconsideration process through rulemaking and concern that CMS ensure that sufficient outreach and education are available, we have decided to continue with an LTCHQR Program reconsideration process that is voluntary for the time being in order to fully address these concerns. We are therefore only recommending that LTCHs use the reconsideration process prior to appealing to the PRRB. We note that we have had good success under the Hospital IQR Program with a process that is very similar to the one we proposed for the LTCHQR Program. Further, from the LTCH perspective, it allows for the opportunity to resolve issues early in the process when we have dedicated resources to considering all reconsideration requests before payment changes are applied to LTCH's annual payment.
b. LTCHQR Program Reconsideration and Appeals for the FY 2015 Payment Determination
In the FY 2014 IPPS/LTCH PPS proposed rule (78 FR 27734), to be consistent with other established quality reporting programs and to provide an opportunity for LTCHs to seek reconsideration of our initial non-compliance decision, we proposed a process that will allow LTCHs to request reconsiderations pertaining to the FY 2015 annual update and subsequent annual updates.
As part of this process, LTCHs that are non-compliant with the reporting requirements during a given reporting cycle will be notified of that finding. The purpose of this notification is to put the LTCH on notice of the following: (1) That the LTCH has been identified as being non-compliant with the LTCHQR Program's reporting requirements for the reporting cycle in question; (2) that the LTCH will be scheduled to receive a reduction in the amount of two percentage points to the annual payment update for the upcoming fiscal year; (3) that the LTCH may file a request for reconsideration if they believe that the finding of non-compliance is erroneous, or that if they were non-compliant, they have a valid and justifiable excuse for this non-compliance; and (4) that the LTCH must follow a defined process on how to file a request for reconsideration, which will be described in the notification.
Upon the conclusion of our review of each request for reconsideration, we will render a decision. We may reverse our initial finding of non-compliance if: (1) The LTCH provides proof of compliance with all requirements during the reporting period; or (2) the LTCH provides adequate proof of a valid or justifiable excuse for non-compliance if the LTCH was not able to comply with requirements during the reporting period. We will uphold our initial finding of non-compliance if the LTCH cannot show any justification for non-compliance. The full reconsideration request process is available at http://www.cms.gov/Medicare/Quality-Initiatives-Patient-Assessment-Instruments/LTCH-Quality-Reporting/LTCH-QUality-Reporting-Reconsideration-and-Disaster-Wavier-Request.html.
We invited public comment on the proposed procedures for reconsideration and appeals for FY 2015 payment determination and subsequent years.
Comment: Many commenters expressed support for CMS' proposed reconsideration and appeals process.
Response: We thank commenters for their support of the inclusion of reconsideration and appeals processes in the LTCHQR Program.
Comment: One commenter noted the reconsideration processes for other quality reporting programs and urged us to develop consistent reconsideration policies for the LTCHQR Program with at least the following elements: (1) A minimum of 30 days should be allowed after the determination of reporting non-compliance to submit a request for reconsideration; (2) a standardized form should be provided for requesting reconsideration; (3) the appeal process should be in addition to the waiver process, however the appeal process should allow for decisions that waive penalties retroactively; (4) the regulations should specifically state that an LTCH may file an appeal with the PRRB if it is dissatisfied with the result of CMS' reconsideration, similar to the provision at 42 CFR 412.434(c) for IPFs.
Response: We are aware that our other quality reporting programs include an opportunity for providers to request reconsideration of the reporting requirements for any given fiscal year's payment determination. It is our goal to align our policies with those of existing quality reporting programs to the extent appropriate for the LTCH setting. To that end, we proposed and are finalizing a reconsideration policy that does allow 30 days from the date of notification for a LTCH to file a request for reconsideration. In addition to this, the reconsideration process proposed and finalized in this rule is separate from and in addition to the disaster waiver process we proposed in the FY 2014 IPPS/LTCH PPS proposed rule (78 FR 27733 through 277344) and are finalizing in section IX.C.11. of the preamble of this final rule.
At this time, we will not be providing a standard form for LTCH reconsideration requests. However, we are aware of the benefits of standardized forms for providers and for CMS, and we intend to create such forms for reconsideration requests in the future.
Further, we would like to clarify that LTCHs dissatisfied with CMS' decision rendered at the reconsideration level may appeal to the PRRB under 42 CFR Part 405, Subpart R. In the FY 2014 IPPS/LTCH PPS proposed rule we stated that LTCHs that are dissatisfied with an initial CMS determination of non-compliance must first apply for reconsideration through CMS prior to appealing our initial finding of non-compliance to the PRRB. In light of a commenter's concern that CMS did not provide procedural details of the reconsideration process through rulemaking and concern that CMS ensure that sufficient outreach and education are available, we have decided to continue with an LTCHQR Program reconsideration process that is voluntary for the time being in order to fully address these concerns. We are therefore only recommending that LTCHs use the reconsideration process prior to appealing to the PRRB. We note that we have had good success under the Hospital IQR Program with a process that is very similar to the one we proposed for the LTCHQR Program. Further, from the LTCH perspective, it allows for the opportunity to resolve issues early in the process when we have dedicated resources to considering all reconsideration requests before payment changes are applied to LTCH's annual payment update, thereby allowing for more efficient operations at the PRRB level.
Comment: One commenter requested that CMS specify a timeframe by which CMS will render all reconsideration decisions. The commenter suggested that CMS should make reconsideration decisions within 60 days from the receipt of an LTCH's request for reconsideration.
Response: We will strive to render reconsideration decisions in a timely manner. Reconsideration decisions will be issued prior to the application of payment adjustment to LTCH's standard Federal rate for a fiscal year. That is, we will assess an LTCH's compliance against program requirements, issue non-compliance notification, and communicate reconsideration decisions prior to October 1 annually. Therefore, all reconsideration decisions will generally be made within 60 days of CMS' receipt of a reconsideration request for the applicable fiscal year. We expect that the timeline for subsequent years' payment determinations will be similar to the FY 2014 timeline currently outlined on the reconsideration page of the LTCHQR Program Web site at http://www.cms.gov/Medicare/Quality-Initiatives-Patient-Assessment-Instruments/LTCH-Quality-Reporting/index.html.
Comment: One commenter urged CMS to clearly set forth the process and standards CMS will use to measure a LTCH's compliance with LTCHQR Program reporting requirements in order to determine if a LTCH will receive a full annual payment update.
Response: As we have noted in previous rulemaking, all previous and current administrative and data submission requirements finalized through rulemaking must be met in order for an LTCH to receive their full annual payment update. All CMS quality data reporting requirements are discussed in detail in our LTCH QR Program Manual available for download on our LTCH QRP Web site at: http://www.cms.gov/Medicare/Quality-Initiatives-Patient-Assessment-Instruments/LTCH-Quality-Reporting/index.html.
Comment: One commenter suggested that the two-percentage point reduction in payment to a LTCH's annual update for the upcoming fiscal year should be stayed while a request for reconsideration is pending or until the PRRB appeal is concluded.
Response: Any determination of non-compliance made through CMS' initial review of data submitted by a provider, and subsequently upheld through the CMS reconsideration process will result in a 2.0 percentage point reduction to the provider's annual payment update. CMS will not stay any payment reduction while an appeal of our initial decision is pending review by an independent review board, such as the PRRB.
Comment: Several commenters suggested that CMS establish an appeal process for the LTCHQR Program that would allow LTCHs to seek review of any non-compliance determination to challenge the payment reduction. These commenters also suggested that this process be similar to established appeals processes of other quality reporting programs.
Response: We are aware that other quality reporting programs include processes for providers to appeal a non-compliance determination made by CMS. As stated above, LTCHs dissatisfied with our initial finding of non-compliance, or a decision rendered at the CMS reconsideration level may appeal the decision with the PRRB under 42 CFR Part 405, Subpart R. In the FY 2014 IPPS/LTCH PPS proposed rule we stated that LTCHs that are dissatisfied with an initial CMS determination of non-compliance must first apply for reconsideration through CMS prior to appealing our initial finding of non-compliance to the PRRB. We would like to clarify that we recommend, rather than require, LTCHs use this order of appeals. We note that the CMS reconsideration process is voluntary, and that we have had good success with it under the Hospital IQR Program. Further, from the LTCH perspective, it allows for the opportunity to resolve issues early in the process when CMS has dedicated resources to considering all reconsideration requests before payment changes are applied to LTCH's annual payment, thereby allowing for more efficient operations at the PRRB appeals level.
After consideration of the public comments we received, and with the exception that the prescribed order of appeals CMS listed is recommended rather than required, we are finalizing the FY 2015 LTCHQR Program reconsideration and appeals processes as proposed. Annually, we will notify LTCHs found to be non-compliant with the LTCHQR Program reporting requirements that they may be subject to the two percentage point reduction in their annual payment update. LTCHs may request a reconsideration of this non-compliance determination. If an LTCH are dissatisfied with our initial finding of non-compliance or a CMS decision rendered at the reconsideration level, it can appeal the decision with the PRRB under 42 CFR Part 405, Subpart R. An LTCH must submit a request for reconsideration, as described above and in the manner that is provided on the CMS Web site at: http://www.cms.gov/Medicare/Quality-Initiatives-Patient-Assessment-Instruments/LTCH-Quality-Reporting/.
D. Inpatient Psychiatric Facilities Quality Reporting (IPFQR) Program
1. Statutory Authority
Section 1886(s)(4) of the Act, as added and amended by sections 3401(f) and 10322(a) of the Affordable Care Act, requires the Secretary to implement a quality reporting program for inpatient psychiatric hospitals and psychiatric units. Section 1886(s)(4)(A)(i) of the Act requires that, for rate year (RY) 2014 and each subsequent rate year, the Secretary shall reduce any annual update to a standard Federal rate for discharges occurring during such rate year by 2.0 percentage points for any inpatient psychiatric hospital or psychiatric unit that does not comply with quality data submission requirements with respect to an applicable rate year.
We note that section 1886(s)(4)(A)(i) of the Act uses the term “rate year.” Beginning with the annual update of the inpatient psychiatric facility prospective payment system (IPF PPS) that took effect on July 1, 2011 (RY 2012), we aligned the IPF PPS update with the annual update of the ICD-9-CM codes, which are effective on October 1 of each year. The change allows for annual payment updates and the ICD-9-CM coding update to occur on the same schedule and appear in the same Federal Register document, thus making updating rules more administratively efficient. To reflect the change to the annual payment rate update cycle, we revised the regulations at 42 CFR 412.402 to specify that, beginning October 1, 2012, the 12-month period of October 1 through September 30 is referred to as a fiscal year (FY) (76 FR 26435). For more information regarding this terminology change, we refer readers to section III. of the RY 2012 IPF PPS final rule (76 FR 26434 through 26435). For purposes of the discussion below, the term “rate year” and “fiscal year” both refer to the period beginning October 1 and ending September 30. To avoid any confusion that may be caused by using the term “rate year” with respect to the inpatient psychiatric hospitals and psychiatric units quality reporting program, we will use the term “fiscal year” rather than “rate year” throughout this final rule, even when we are referring to statutory provisions that refer to “rate year.”
As provided in section 1886(s)(4)(A)(ii) of the Act, the application of the reduction for failure to report under section 1886(s)(4)(A)(i) of the Act may result in an annual update of less than 0.0 percent for a fiscal year, and may result in payment rates under section 1886(s)(1) of the Act being less than such payment rates for the preceding year. In addition, section 1886(s)(4)(B) of the Act requires that the application of the reduction to a standard Federal rate update be noncumulative across fiscal years. Thus, any reduction applied under section 1886(s)(4)(A) of the Act will apply only with respect to the fiscal year rate involved and the Secretary shall not take into account such reduction in computing the payment amount under the system described in section 1886(s)(1) of the Act for subsequent years.
Section 1886(s)(4)(C) of the Act requires that, for FY 2014 (October 1, 2013 through September 30, 2014) and each subsequent year, each psychiatric hospital and psychiatric unit shall submit to the Secretary data on quality measures as specified by the Secretary. Such data shall be submitted in a form and manner, and at a time, specified by the Secretary. Under section 1886(s)(4)(D)(i) of the Act, measures selected for the quality reporting program must have been endorsed by the entity with a contract under section 1890(a) of the Act. The National Quality Forum (NQF) currently holds this contract. The NQF is a voluntary, consensus-based, standard-setting organization with a diverse representation of consumer, purchaser, provider, academic, clinical, and other health care stakeholder organizations. The NQF was established to standardize health care quality measurement and reporting through its consensus development process. We generally prefer to adopt NQF-endorsed measures in our reporting programs with some exceptions as provided by law.
For purposes of the Inpatient Psychiatric Facilities Quality Reporting (IPFQR) Program, section 1886(s)(4)(D)(ii) of the Act provides that, in the case of a specified area or medical topic determined appropriate by the Secretary for which a feasible and practical measure has not been endorsed by the entity with a contract under section 1890(a) of the Act, the Secretary may specify a measure that is not so endorsed as long as due consideration is given to measures that have been endorsed or adopted by a consensus organization identified by the Secretary. Finally, pursuant to section 1886(s)(4)(D)(iii) of the Act, the Secretary shall publish the measures applicable to the FY 2014 IPFQR Program no later than October 1, 2012.
Section 1886(s)(4)(E) of the Act requires the Secretary to establish procedures for making public the data submitted by inpatient psychiatric hospitals and psychiatric units under the IPFQR Program. Such procedures must ensure that a facility has the opportunity to review its data prior to such data being made public. The Secretary must report quality measures that relate to services furnished by the psychiatric hospitals and units on a CMS Web site.
2. Application of the Payment Update Reduction for Failure To Report for the FY 2014 Payment Determination and Subsequent Years
Beginning in FY 2014, section 1886(s)(4)(A)(i) of the Act requires the application of a 2.0 percentage point reduction to the applicable annual update to a Federal standard rate for those psychiatric hospitals and psychiatric units that fail to comply with the quality reporting requirements implemented in accordance with section 1886(s)(4)(C) of the Act, as detailed below. The application of the reduction may result in an annual update for a fiscal year that is less than 0.0 percent and in payment rates for a fiscal year being less than the payment rates for the preceding fiscal year. Pursuant to section 1886(s)(4)(B) of the Act, any such reduction is not cumulative and it will apply only to the fiscal year involved. In the FY 2013 IPPS/LTCH PPS final rule (77 FR 53678), we adopted requirements regarding the application of the payment reduction to the annual update of the standard Federal rate for failure to report data on measures selected for the FY 2014 payment determination and subsequent years and added new regulatory text at 42 CFR 412.424 to codify these requirements.
3. Covered Entities
In the FY 2013 IPPS/LTCH PPS final rule (77 FR 53645), we established that the IPFQR Program's quality reporting requirements cover those psychiatric hospitals and psychiatric units that are paid under Medicare's IPF PPS (42 CFR 412.404(b)). Generally, psychiatric hospitals and psychiatric units within acute care and critical access hospitals that treat Medicare patients are paid under the IPF PPS. For more information on the application of and exceptions to payments under the IPF PPS, we refer readers to section IV. of the November 15, 2004 IPF PPS final rule (69 FR 66926). As we noted in the FY 2013 IPPS/LTCH PPS final rule (77 FR 53645), we use the term “inpatient psychiatric facility” (IPF) to refer to both inpatient psychiatric hospitals and psychiatric units. This usage follows the terminology we have used in the past in our IPF PPS regulations (42 CFR 412.402).
4. Considerations in Selecting Quality Measures
For purposes of the IPFQR Program, section 1886(s)(4)(D)(i) of the Act requires that any measure specified by the Secretary must have been endorsed by the entity with a contract under section 1890(a) of the Act. However, the statutory requirements under section 1886(s)(4)(D)(ii) of the Act provide an exception that, in the case of a specified area or medical topic determined appropriate by the Secretary for which a feasible and practical measure has not been endorsed by the entity with a contract under section 1890(a) of the Act, the Secretary may specify a measure that is not so endorsed as long as due consideration is given to measures that have been endorsed or adopted by a consensus organization identified by the Secretary.
In implementing the IPFQR Program, our overarching objective is to support the HHS National Quality Strategy's three-part aim of better health care for individuals, better health for populations, and lower costs for health care services: http://www.healthcare.gov/news/reports/quality03212011a.html#na. Implementation of the IPFQR Program will help achieve the three-part aim by creating transparency around the quality of care provided at IPFs to support patient decision-making and quality improvement. Over time, the IPFQR Program will help align the goals for quality measurement and improvement at IPFs with those of other providers in the health care system.
We seek to collect data in a manner that balances the need for information related to the full spectrum of quality performance and the need to minimize the burden of data collection and reporting. We have focused on measures that have high impact and support CMS and HHS priorities for improved quality and efficiency of care provided by IPFs. As we stated in the FY 2013 IPPS/LTCH PPS final rule (77 FR 53645 through 53646), we will use the following considerations for the development and selection of measures:
- Given the availability of well-validated measures and the need to balance breadth with minimizing burden, the measures should address, as fully as possible, the six domains of measurement that arise from the six priorities of the National Quality Strategy (NQS): Clinical care; person- and caregiver-centered experience and outcomes; safety; efficiency and cost reduction; care coordination; and community/population health.
- Public reporting should rely on a mix of standards, outcomes, process of care measures, and patient experience of care measures, including measures of care transitions and changes in patient functional status, with an emphasis on measurement as close to the patient-centered outcome of interest as possible.
- The measure sets should evolve so that they include a focused set of measures appropriate to IPFs that reflects the level of care and the most important areas of service and measures for IPFs as well as measures addressing a core set of measure concepts that align quality improvement objectives across all provider and supplier types and settings.
- Measures should address gaps in quality of inpatient psychiatric care.
- As part of our burden reduction efforts, we continuously seek to weigh the relevance and utility of the measures compared to the burden on IPFs submitting data under the IPFQR Program. As appropriate, we will align our measures with other Medicare and Medicaid quality programs and may consider how we can incorporate data reporting by means of electronic reporting mechanisms, so that the collection of performance information is part of care delivery.
- To the extent practicable, measures used by CMS should be nationally endorsed by a multi-stakeholder organization. Measures should be aligned with best practices among other payers and the needs of the end users of the measures. We take into account widely accepted criteria established in medical literature. We consider suggestions and input from technical expert panels (TEPs), convened by CMS contractors, which evaluate IPFQR quality measures for importance, scientific soundness, usability, and feasibility.
We also take into account national priorities and HHS Strategic Plans and Initiatives:
- HHS engaged a wide range of stakeholders to develop the National Quality Strategy, as required by the Affordable Care Act, which pursues three aims (better care, healthy people, and affordable care) that establish a framework with six identifiable priorities http://www.ahrq.gov/workingforquality/nqs/nqsfactsheet1.htm:
- • Ensuring that each person and family is engaged as partners in their care.
- • Promoting effective communication and coordination of care.
- • Promoting the most effective prevention and treatment practices for the leading causes of mortality, starting with cardiovascular disease.
- • Working with communities to promote wide use of best practices to enable healthy living.
- • Making quality care more affordable for individuals, families, employers, and governments by developing and spreading new health care delivery models.
- • Making care safer by reducing harm caused in the delivery of care.
- We consider recommendations of the Measures Application Partnership (MAP) for the inclusion of clinical quality measures http://www.qualityforum.org/MAP/. The MAP is a public-private partnership convened by the NQF for the primary purpose of providing input to HHS on selecting performance measures for quality reporting programs and pay-for-reporting programs.
- HHS is the United States Government's principal department for protecting the health of all Americans. HHS accomplishes its mission through programs and initiatives. The goals of the HHS Strategic Plan for FYs 2010 through 2015 are: Strengthen Health Care; Advance Scientific Knowledge and Innovation; Advance the Health, Safety, and Well-Being of the American People; Increase Efficiency, Transparency, and Accountability of HHS Programs; and Strengthen the Nation's Health and Human Services Infrastructure and Workforce (http://www.hhs.gov/secretary/about/priorities.html). HHS will update this strategic plan every 4 years and measure its progress in addressing specific national problems, needs, or mission-related challenges.
HHS prioritizes policy and program interventions to address the leading causes of death and disability in the United States, including heart disease, cancer, stroke, chronic lower respiratory diseases, unintentional injuries, and preventable behaviors. Initiatives such as the HHS Action Plan to Reduce Healthcare-Associated Infections in clinical settings and the Partnership for Patients exemplify these programs.
5. Quality Measures for the FY 2015 Payment Determination and Subsequent Years
a. Background
In the FY 2013 IPPS/LTCH PPS final rule (77 FR 53646 through 53652), we adopted the following six chart-abstracted IPF quality measures for the FY 2014 payment determination and subsequent years shown in the table below:
| National quality strategy priority | NQF No. | Measure ID | Measure description |
|---|---|---|---|
| Patient Safety | 0640 | HBIPS-2 | Hours of Physical Restraint Use. |
| 0641 | HBIPS-3 | Hours of Seclusion Use. | |
| Clinical Quality of Care | 0552 | HBIPS-4 | Patients Discharged on Multiple Antipsychotic Medications. |
| 0560 | HBIPS-5 | Patients Discharged on Multiple Antipsychotic Medications with Appropriate Justification. | |
| Care Coordination | 0557 | HBIPS-6 | Post-Discharge Continuing Care Plan Created. |
| 0558 | HBIPS-7 | Post-Discharge Continuing Care Plan Transmitted to Next Level of Care Provider Upon Discharge. |
We note that, at the time of the finalization of the FY 2013 IPPS/LTCH PPS final rule (77 FR 53258), providers were using ICD-9-CM codes, but as of October 1, 2014 ICD-10-CM codes will be in effect. We do not at this time anticipate that this change will have substantive effects on any measures.
Measures adopted for the IPFQR Program will remain in the quality reporting program for all subsequent years unless specifically stated otherwise (for example, through removal or replacement). In the FY 2014 IPPS/LTCH PPS proposed rule (78 FR 27737), we did not propose to remove or replace any of the previously adopted measures from the IPFQR Program or add any new measures to the IPFQR Program for the FY 2015 payment determination. We believe that keeping the same measures for the FY 2015 payment determination will allow IPFs one additional year during which they could ramp up recordkeeping and improve quality of care on existing measures. We discussed the collection requirements and submission timeframes for these measures in section VIII.F.7. of the preamble of the FY 2013 IPPS/LTCH PPS final rule (77 FR 53654 through 53658).
Comment: One commenter expressed appreciation that CMS did not propose additional data collection for the FY 2015 payment determination, because it will allow IPFs to improve data collection and documentation processes.
Response: We thank the commenter for its support.
Comment: In reference to the HBIPS-6 and HBIPS-7 measures, a commenter stated that according to the instructions for chart-abstraction for these two measures, even if a patient leaves Against Medical Advice (AMA), providers are still required to offer a referral to a next level-of-care provider. Therefore, currently, patients who leave AMA are not automatically excluded from either HBIPS-6 or HBIPS-7 measures unless the patients refuse a referral. The commenter noted that there was no hand-off of care involved and therefore, believed uncomfortable to release a copy of the continuing plan of care (to any providers) as this action could be construed as a HIPAA violation. Based on the belief of potential HIPAA violations, the commenter requested that patients with a discharge status of AMA be excluded from HBIPS-6 and HBIPS-7.
Response: We do not believe there is a potential HIPAA violation issue as we collect aggregate-level data and not patient-level data. Furthermore, a HIPAA covered entity is permitted to make the disclosure under HIPAA under the “required by law” provisions at 45 CFR 164.512(a). That is, if the reporting of that measure is mandatory, “required by law” is the applicable HIPAA basis for disclosure.
Comment: One commenter opposed the inclusion of HBIPS-4 because the commenter believed that the assumption that any patient discharged on multiple antipsychotic medications is an automatic indication of poor practice is unwarranted, particularly for acute care psychiatric facilities that treat distressed patients for a very short period.
Response: We disagree with the commenter's assumptions regarding the measure. The intent of the measure is not to prevent all instances of antipsychotic polytherapy, but rather to reduce the rate of discharge on two or more routinely prescribed antipsychotics without clinical justification. We acknowledge that circumstances, such as shorter inpatient stays, may require hospitals to discharge a patient on multiple antipsychotics. We believe that in these circumstances patients should be discharged with an aftercare plan to transition to monotherapy when clinically appropriate, and the facility should coordinate with post-discharge care providers. We also acknowledge that there are clinical circumstances when antipsychotic polytherapy may be clinically appropriate.
b. New Quality Measures for the FY 2016 Payment Determination and Subsequent Years
In the FY 2014 IPPS/LTCH PPS proposed rule (78 FR 27737 through 277340), we proposed three new measures for the FY 2016 payment determination and subsequent years for the IPFQR Program. The measures are: (1) SUB-1: Alcohol Use Screening (Submitted for NQF review); (2) SUB-4: Alcohol Drug Use: Assessing Status After Discharge (Submitted for NQF review); and (3) Follow-Up After Hospitalization for Mental Illness (FUH) (NQF #0576).
The three proposed measures were included in a publicly available document entitled “List of Measures under Consideration for December 1, 2012” in compliance with section 1890A(a)(2) of the Act, and they were reviewed by the MAP in its “MAP Pre-Rulemaking Report: 2013 Recommendations on Measures Under Consideration by HHS,” which is available on the NQF Web site at http://www.qualityforum.org/Setting_Priorities/Partnership/Measure_Applications_Partnership.aspx. We considered the input and recommendations provided by the MAP in selecting measures to propose for the IPFQR Program at this time. The MAP supported the inclusion of the third proposed measure in the IPFQR Program, and supported the direction of the first two measures, noting that their recommendation is contingent on NQF endorsement. The first two measures were submitted to the NQF in 2012. Currently, the dates for their review have not been established.
The first two of these measures have been developed by and are maintained by The Joint Commission (TJC) (the measure steward) and the third measure has been developed by and is maintained by the National Committee for Quality Assurance (NCQA) (the measure steward). These measures are appropriate for the purposes of assessing the quality of inpatient psychiatric services and align with the National Quality Strategy goals of promoting effective prevention and treatment practices (clinical quality of care), and promoting effective communication and coordination of care. Technical specifications for measures “SUB-1: Alcohol Use Screening” and “SUB-4: Alcohol & Drug Use: Assessing Status After Discharge” can be found on the TJC Web site at: https://manual.jointcommission.org/bin/view/Manual/WebHome. Technical specifications for the measure “Follow-Up After Hospitalization for Mental Illness” (FUH) (NQF #0576) can currently be found on the NCQA Web site at: http://www.ncqa.org/portals/0/Follow-Up%20After%20Hospitalization%20for%20Mental%20Illness.pdf.
The three proposed measures for FY 2016 and subsequent years are described in more detail below.
(1) SUB-1: Alcohol Use Screening (NQF Review Pending)
Individuals with mental health conditions experience substance use disorders (SUDs) at a much higher rate than the general population. Individuals with the most serious mental illnesses have the highest rates of such disorders. Co-occurring SUDs often go undiagnosed and, without treatment, contribute to a longer persistence of disorders, poorer treatment outcomes, lower rates of medication adherence, and greater impairments to functioning. Accordingly, this proposed measure, and the one immediately following, are intended to assess efforts by IPFs to screen for the most common type of such disorder, alcohol abuse, and to follow up after discharge with individuals who screen positive for alcohol abuse or who received a diagnosis of alcohol or drug disorder during the inpatient stay.
In late 2008, TJC received funding from the Partnership for Prevention and HHS' Substance Abuse and Mental Health Services Administration (SAMHSA) to develop, specify, and test standardized performance measures addressing alcohol screening and cessation counseling. Four alcohol/substance use performance measures were pilot tested in the spring/summer of 2010. The four alcohol/substance use measures (SUB measure set) were approved as a core measure set for use in TJC's accreditation programs (http://www.jointcommission.org/core_measure_sets.aspx). The SUB measures can be found in the TJC's Specification Manual for National Hospital Inpatient Quality Measures at: https://manual.jointcommission.org/bin/view/Manual/WebHome.
The SUB-1: Alcohol Use Screening proposed measure assesses the number of patients 18 years of age and older who were screened for alcohol use using a validated screening questionnaire for unhealthy drinking during their inpatient stay, and is reported as a percentage. The numerator includes the number of patients who were screened for alcohol use using a validated screening questionnaire for unhealthy drinking. The denominator includes the number of hospitalized inpatients 18 years of age or older. Higher rates on the measure are indicative of better performance. The measure excludes the following populations: patients younger than 18, cognitively impaired patients, and patients admitted for less than 1 day or greater than 120 days.
This measure is specified for collection through chart abstraction. We proposed the form, manner, and timing of collection in section IX.D.9. of the preamble of the proposed rule. Full specifications for this measure are available at: https://manual.jointcommission.org/bin/view/Manual/WebHome.
The SUB-1: Alcohol Use Screening proposed measure meets the measure selection exception requirements for the IPFQR Program under 1886(s)(4)(D)(ii) of the Act as discussed in Section 4 (Considerations in Selecting Quality Measures) of this rule. Although the proposed measure is not currently NQF-endorsed, we considered available measures that have been endorsed or adopted by a consensus organization and found no other feasible and practical measures on the topic of substance use disorder screening for the inpatient population.
We invited public comment on this proposed measure.
Comment: Some commenters supported inclusion of the SUB-1 measure because it promotes effective treatment practices, effective communication, and care coordination, as well as the ability to address issues of substance abuse. These commenters supported the proposed start date of January 1, 2013. Another commenter supported adoption of the SUB-1 measure because it promotes effective treatment and best care. This commenter noted that data for this measure can be retrieved by facilities, thereby promoting a standard of care that is within the control of the organization. One commenter supported CMS' efforts in recognizing the clinical importance of routinely screening patients admitted for psychiatric conditions for risky alcohol use.
Response: We thank the commenters for their support of our proposal. In response to the commenters who supported the adoption of the SUB-1 measure with a reporting start date as of January 1, 2013, we note that, as we stated in our proposal, the reporting start date for the FY 2016 payment determination is January 1, 2014, and not January 1, 2013 as the commenters stated.
Comment: One commenter agreed with CMS' proposal to add the SUB-1 measure to the IPFQR Program, but urged that, since there has been no reliability determination for such measure, we allow for a period of public reporting before attaching measures to payment.
Response: We thank the commenter for the recommendation. We note that the IPFQR Program is a pay-for-reporting and not a pay-for-performance program. This means that IPFs that participate in the IPFQR Program and meet its requirements will receive full payment.
Comment: Some commenters commended CMS for recognizing the clinical importance of routinely screening patients admitted to hospitals for psychiatric conditions for risky alcohol use. These commenters, however, also raised concerns regarding the fact that TJC's four substance use measures were developed and tested for use with all hospitalized patients, while the SUB-1 measure would only be used for IPF hospitals/units under the IPFQR Program.
Response: We thank the commenters for their support. Although the SUB-1 measure was developed using all hospitalizations in general acute care, we believe that SUB-1 is equally applicable to freestanding IPFs and psychiatric units within acute care facilities because risky alcohol use is an area of high comorbidity for populations hospitalized in freestanding IPFs and populations hospitalized in psychiatric units of general acute care facilities just as it is for all hospitalized patients.
Comment: Some commenters indicated that the SUB-1 measure should be adopted concurrently with SUB-2 (brief intervention) and SUB-3 (treatment initiation) measures in the IPFQR Program because these measures are critical to providing quality care as screening and intervention significantly reduce health risks and generate cost-savings. Commenters recommended that CMS add all four SUB measures because the measures are complementary to each other and are meant to be used as an entire set by hospitals to evaluate four key processes related to substance use.
Response: We thank the commenters for these suggestions for future consideration. We did not elect to adopt both of the suggested measures at this time due to concerns regarding the burden of chart-abstraction should both the SUB-1 and SUB-4 measures be adopted. However, we will consider whether this is still the case during future rulemaking cycles.
Comment: One commenter sought clarification on the kind of instrument to be used for alcohol screening with SUB-1.
Response: There is no specific instrument specified by the measure. We believe that the assessment tool used may vary depending on age and other characteristics of the patient. We refer readers to the following document published by the National Institute on Alcohol Abuse and Alcoholism (NIAAA) which lists commonly used screening and assessment instruments, along with their scientific properties: http://pubs.niaaa.nih.gov/publications/AssessingAlcohol/index.pdf.
Comment: One commenter opposed inclusion of the proposed SUB-1 measure because collecting data for such measure would require expenditure of significant resources from the facility because TJC does not collect data for this measure. Another commenter indicated that it does not have the capacity to report the SUB-1 measure because it does not collect or report such data to TJC.
Response: While IPFs may not currently be collecting this measure, we believe that our implementation timeline will allow sufficient time for facilities to make the necessary infrastructure changes to begin collecting and reporting the measure. In addition, although this measure would add burden, we do not believe that the burden concerns override the importance of collecting information on such a measure. As we noted in this preamble, individuals with mental health conditions experience substance use disorders (SUDs) at a much higher rate than the general population. We also note that individuals abusing alcohol comprise a subset of all individuals with mental health conditions with SUDs. Individuals with the most serious mental illnesses have the highest rates of such disorders. Co-occurring SUDs often go undiagnosed and, without treatment, contribute to a longer persistence of disorders, poorer treatment outcomes, lower rates of medication adherence, and greater impairments to functioning. The SUB-1 measure is intended to assess efforts by IPFs to screen for the most common type of such disorder, alcohol abuse, during the inpatient stay. Accordingly, we believe that the commenters' burden concerns are outweighed by the important role that such measure plays in patient quality of care.
Comment: Some commenters opposed the inclusion of the proposed SUB-1 measure because they believe that using a validated alcohol use screening tool in an acute care, short-term treatment setting is challenging and implies an IPF's ability to establish a treatment option, which potentially may not be available in the aftercare setting.
Response: We do not agree that use of an alcohol use screening tool in acute care would be challenging because we have previously implemented similar screening measures for other topics (such as tobacco use) in the acute care settings, and did not receive reports of implementation challenges in putting them in place. As we noted in the description of SUB-1, individuals with mental health conditions experience SUDs at a much higher rate than the general population, and individuals with the most serious mental illnesses have the highest rates of such disorders. The failure to identify and treat SUDs potentially contributes to a longer persistence of disorders, poorer treatment outcomes, lower rates of medication adherence, and greater functional impairment. Accordingly, assessment of such disorders is an important part of quality treatment planning in the IPF setting. Further, discharge planning, care coordination, and follow-up after hospitalization are critical in sustaining effective treatment that has begun in the acute care setting. The possibility that necessary treatment options may not exist in some circumstances does not justify a failure to assess the need for them.
Comment: Some commenters disagreed with the definition of the SUB-1 measure and argued that, although blood alcohol level is equivalent to screening for unhealthy alcohol use, one instance of excessive drinking does not require post-hospitalization for alcohol treatment.
Response: We disagree with the commenter. We do not believe that a blood alcohol level is equivalent to screening, or that it is sufficient to assess unhealthy alcohol use—chronic or otherwise. The measure is a screening measure, and therefore does not assess the need for or require post-hospitalization treatment.
Comment: Some commenters urged CMS not to finalize the SUB-1 measure because it has not been endorsed by the NQF or supported by the MAP.
Response: The MAP's assessment of SUB-1 was “support direction.” Recommendation of the measure by the MAP is contingent upon NQF endorsement. We note that at a recent meeting (June 2013), the NQF Behavioral Health Steering Committee recommended NQF endorsement of the SUB-1 measure.
Comment: Some commenters opposed finalizing the SUB-1 measure because they considered it to be very limited relative to the needs of hospitalized psychiatric patients as this measure does not include: (1) Patients who are using/abusing other substances; (2) what period of use/abuse is being assessed; and (3) patients under 18 years of age. In addition, these commenters argue that the measure does not specify when the screening should be completed, whether IPFs should request data from collateral sources, or the clinical credentials of the persons permitted to complete the screening. These commenters recommended using the HBIPS-1 measure instead because it contains a requirement for all psychoactive substance use screening, in addition to alcohol use screening, and covers the last 12 months of each patient's life. In addition, IPFs have been using this measure since 2010.
Response: We believe that adoption of this measure will allow future alignment in the general acute care setting. This alcohol use screening measure is the first screening measure adopted by this program for psychiatric inpatients, and represents an important first step for this program. We recognize that the SUB-1 measure only assesses alcohol use, and that screening for risky use/abuse of other substances would be also be desirable. We intend to incorporate substance use measures into the program in the future. We also clarify that the SUB-1 measure does not require the collection of data from collateral sources, or credentialing requirements. The primary focus of the measure is to screen inpatients for unhealthy drinking. We also agree that it may be preferable to include screening measures with a broader age range and a distinct period during the inpatient stay during which screening is performed. As suggested by commenters, we will consider the HBIPS-1 measure as well as other substance use screening measures for future rulemaking cycles.
Comment: One commenter did not support the SUB-1 measure because it believed that CMS should not add chart-abstracted measures during the transition to electronic measures.
Response: We support the adoption of EHRs, and will in the future adopt electronic measures. In the interim, however, we think that there is an immediate need to capture the quality of care provided to mental health patients. Therefore, while we do not disagree with the commenter in principle, we believe that the current needs of measuring quality of care in the IPF setting cannot wait until a later time.
After consideration of the public comments we received, we are finalizing this measure as proposed for the FY 2016 payment determination and subsequent years.
(2) SUB-4: Alcohol and Drug Use: Assessing Status After Discharge (NQF Review Pending)
The SUB-4: Alcohol and Drug Use proposed measure assesses whether discharged patients are contacted between 7 and 30 days after hospital discharge in order to collect post-discharge follow-up information regarding their alcohol or drug use status. The measure applies to patients 18 years of age or older who screened positive for alcohol abuse, or who received a diagnosis of alcohol or drug disorder during their inpatient stay. The numerator includes the number of discharged patients that are contacted between 7 and 30 days after hospital discharge and follow-up information regarding alcohol or drug use status is collected. The denominator includes the number of discharged patients 18 years of age and older who screened positive for alcohol abuse or who received a diagnosis of alcohol or drug use disorder during their hospital stay. Higher rates on the measure are indicative of better performance.
The following patients are excluded from the measure:
- Patients less than 18 years of age;
- Patients who are cognitively impaired;
- Patients who were not screened or refused to be screened for alcohol use;
- Patients who expired;
- Patients who have a duration of stay less than or equal to 1 day or greater than 120 days;
- Patients who do not screen positive for alcohol abuse;
- Patients discharged to another hospital;
- Patients who left against medical advice;
- Patients discharged to another health care facility;
- Patients discharged to home or other health care facility for hospice care;
- Patients who do not reside in the United States;
- Patients who do not have a phone or cannot provide any contact information;
- Patients discharged to a detention facility, jail, or prison; and
- Patients who are readmitted within the follow-up time frame.
This measure is specified for collection through chart abstraction. We proposed the form, manner, and timing of collection in section IX.D.9. of the preamble of the proposed rule. Full specifications for this measure are available at: https://manual.jointcommission.org/bin/view/Manual/WebHome.
The SUB-4: Alcohol and Drug Use: Assessing Status After Discharge proposed measure meets the measure selection exception requirements for the IPFQR Program under section 1886(s)(4)(D)(ii) of the Act as discussed in section IX.D.4. of the preamble of the proposed rule. Because this measure is not currently NQF-endorsed, we considered other available measures that have been endorsed or adopted by a consensus organization. We found no other feasible and practical measures on the topic of post-discharge alcohol and drug assessment for inpatients who screened positive for substance abuse.
We invited public comment on this proposed measure.
Comment: Some commenters opposed the addition of the proposed SUB-4 measure for the following reasons:
- They believed that there would be no added benefit to patients because hospital staff are unable to answer patients' clinical questions once patients leave the hospital.
- They believed the measure to be beyond the scope of psychiatric hospitals' responsibility.
- They argued that many free-standing psychiatric facilities do not currently submit the data to TJC, thus, making data collection burdensome.
- They asserted that sampling requirements for the measure are incompatible with those of the HBIPS measures.
- They asserted that measure collection will require hiring and training new employees.
- They believed that measure collection will require release of information forms.
- They believed that because the measure excludes patients under 18 years of age, it may be of limited utility.
- They argued that the measure will be financially burdensome to IPFs.
- They argued that IPFs have limited or no contact information for some patients because IPF patients are a highly mobile population and temporary addresses pose difficulties for conducting follow-up.
Response: We thank the commenters for articulating their concerns regarding this measure. We are aware that for some IPFs, this measure requires a process for following up with individuals with substance use disorders (SUDs) that may not now be in existence. Further, we are sensitive to the difficulties that may be created concerning differences between this measure and the other follow-up measure we proposed—the Follow-Up After Hospitalization for Mental Illness (FUH) measure. Most importantly, while the FUH measure only requires assessment of whether discharged patients with mental illness had contact with a specialty provider immediately after discharge, this measure requires contacting and obtaining clinically-related information from the patients themselves, a more difficult standard to meet. We recognize the burden to both facilities and patients to report, collect, and submit this information needed to report SUB-4 to CMS. We also considered calculating SUB-4 using Medicare claims and believe that this approach is not appropriate for this measure, since detailed information about the patient's follow-up visit necessary to calculate SUB-4 is not collected on Medicare claims. Accordingly, we are not finalizing this measure for the IPFQR Program at this time. We nevertheless will continue to explore the development and adoption of measures that assess the status and treatment of all patients in the period immediately following discharge, including those with SUDs.
Comment: Some commenters supported inclusion of the SUB-4 measure because it promotes effective treatment practices, effective communication, and care coordination, as well as addressing substance abuse issues. These commenters supported the proposed start date.
Some commenters were supportive of the CMS proposal, but also offered suggestions to risk-adjust the SUB-4 measure to: (1) Prevent discrepancies in performance resulting from differences in patient demographics; and (2) to allow for public reporting prior to attaching measures to reimbursement since there has been no reliability determination for this measure. One commenter urged CMS to exclude halfway houses and voluntary community locations of care from this measure because these facilities are not healthcare facilities. Some commenters commended CMS for recognizing the clinical importance of routinely screening patients admitted to hospitals for psychiatric conditions for risky alcohol use, but raised concerns over the fact that TJC's four substance use measures were developed and tested for use with all hospitalized patients and SUB-4 would only be used for IPF hospitals/units for the IPFQR Program.
Some commenters urged CMS to concurrently include SUB-2 (brief intervention) and SUB-3 (treatment initiation) with SUB-4 in the IPFQR final rule because these measures are critical to providing quality care as screening and intervention significantly reduce health risks and generate cost-savings. The commenters recommended that CMS add all four SUB measures because the measures are complementary to each other and are meant to be used as an entire set by hospitals to evaluate four key processes related to substance use.
Response: We thank the commenters for supporting our proposal to adopt SUB-4. However, we are not finalizing the SUB-4 measure for the IPFQR Program at this time for the reasons we have described above. We will refer the measure refinement suggestions to the measure steward, and will consider the additional measures recommended by the commenters for future rulemaking.
After consideration of the public comments we received, we are not finalizing the SUB-4 measure for the FY 2016 payment determination and subsequent years.
(3) Follow-Up After Hospitalization for Mental Illness (FUH) (NQF #0576)
Mental illness accounts for a very large disease burden and it is estimated that half of first-time psychiatric patients are readmitted within two years of hospital discharge. Continuity of treatment and appropriate follow-up care and management of chronic diseases, such as mental illnesses, are known to reduce the risk of repeated hospitalizations. Proper follow-up treatment for psychiatric hospitalization can lead to improved quality of life for patients, families, and society as a whole.
The Follow-Up After Hospitalization for Mental Illness measure assesses the percentage of discharges for patients 6 years of age and older who were hospitalized for treatment of selected mental health disorders, and who subsequently had an outpatient visit or an intensive outpatient encounter with a mental health practitioner, or received partial hospitalization services. The measure separately identifies the percentage of patients who received follow-up within 7 and 30 days of discharge. The detailed technical specifications for this measure can be found at: http://www.ncqa.org/portals/0/Follow-Up%20After%20Hospitalization%20for%20Mental%20Illness.pdf.
The measure is specified by the steward for either collection through chart abstraction or calculation using claims-based data. We considered using claims-based data for patients discharged from IPFs to calculate the measure, and in the FY 2014 IPPS/LTCH PPS proposed rule (78 FR 27738), we welcomed public feedback on this approach. However, we proposed to collect chart-abstracted data for this measure in order to maintain consistency with the approach used for existing measures in the IPFQR Program, and solicited comment on this proposal. We also considered using claims-based data for patients discharged from IPFs to calculate the measure, and welcomed public feedback on this alternative approach. We proposed the form, manner, and timing of collection in section IX.D.9. of the preamble of the proposed rule.
The Follow-Up After Hospitalization for Mental Illness (FUH) proposed measure meets the measure selection criteria under section 1886(s)(4)(D)(i) of the Act, because it is NQF-endorsed.
We invited public comment on this proposed measure.
Comment: Some commenters supported inclusion of the FUH measure because it promotes effective treatment practices, effective communication, and care coordination, as well as provides the ability to address issues of substance abuse. These commenters supported the proposed start date. Another commenter supported the FUH measure and indicated that it has used it with some success to refer patients to the next level of care. This commenter stated that case management is needed for this measure. One commenter stated that the data for this measure could be retrieved by facilities, thereby promoting a standard of care that is within the control of the organization. One commenter expressed concern that 7-30 days is not sufficient time for the FUH measure, especially in rural hospitals where access to specialty physicians is limited, thus making it difficult for patients to see the physicians within 30 days of discharge. One commenter suggested CMS require a uniform tool for collecting post-discharge information for the FUH measure so that outcomes can be appropriately compared.
Response: We thank the commenters for supporting our proposal to implement this measure in the IPFQR Program. We agree that effective treatment is sustained and enhanced through case management activities such as care coordination, provider communication, and follow up after discharge. We may consider case management-related measures in the future. The timeframe specified by this measure is a consensus-based timeframe within which initial follow-up should occur. A specialty physician is not required for the follow-up visit, and so rural hospitals should not be adversely affected. We will consider for future rulemaking the suggestion that we require a uniform tool for collecting post-discharge information for this measure.
Comment: A number of commenters sought clarification on the patient population criteria and exceptions and expressed other concerns about the measure. One commenter inquired whether the FUH measure applies to a patient enrolled in a Medicare Advantage plan with an insurance carrier that is fully at risk. One commenter inquired whether the FUH measure excludes patients who have been discharged to a non-CMS reimbursable service such as an intermediate care facility for individuals with mental retardation (ICF-MR), residential facility, group home, or jail, or when the patient is readmitted. Another commenter requested that CMS consider excluding homeless patients from the FUH measure. Another commenter requested information regarding how homeless patients or patients in shelters or boarding homes should be contacted. Another commenter indicated that the FUH measure is not appropriate for the “forensic” patient population because it is not possible to track these patients once they are released from jail.
One commenter recommended risk-adjusting the FUH measure to prevent discrepancies in performance resulting from differences in patient demographics. One commenter requested clarification about who is responsible for initiating follow-up for patients discharged from an acute care facility to an extended treatment facility for drugs and alcohol. This commenter was concerned that a patient who is currently being treated in an extended treatment program may have restricted contact. One commenter indicated that because a visit on the day of discharge is acceptable to meet the FUH measure requirements, adopting the measure may result in IPFs using same-day visits to meet the requirements of the measure rather than encouraging IPFs to coordinate care closely for follow-up treatment. One commenter noted that patients who are not involuntarily committed and make the decision to leave should not reflect poorly on the hospital.
Response: The FUH measure includes persons discharged to an ambulatory care setting/home (including homeless beneficiaries, and those discharged to a residential facility or group home). However, the IPF patient population criteria and exceptions for the IPF FUH measure would apply to these discharges. Therefore, we would exclude those Medicare FFS beneficiaries who are transferred to another inpatient or institutional setting (for example, another hospital, IPF, Skilled Nursing Facility, ICF-MR, nursing home, jail/prison). Regarding partial hospitalization or outpatient chemical dependency programs, these services are not considered inpatient discharges, but rather are outpatient services; and thus, are not part of IPF PPS or the IPFQR Program. In addition, Medicare Advantage beneficiaries are not included in the Medicare FFS program; therefore Medicare Advantage beneficiaries are excluded from the FUH measure. The measure does not focus on the forensic population, and since treatment of that population is covered by the State rather than Medicare, these patients would not be included in the measure.
We currently have no indication that same-day visits will be employed to a greater extent to meet the measure requirement once the measure is adopted, but we will monitor the measure for unintended consequences and changes in utilization patterns. We feel that certain disposition codes (involuntary commitment, left against medical advice) may be used improperly should we exclude these discharges from the measure, but will examine this issue further as well. We will consider the suggestions for additional exclusions and for risk adjustment of the IPF FUH measure.
Comment: A few commenters opposed the addition of the proposed FUH measure because it was perceived to be incompatible with the existing HBIPS measures. Some commenters stated that the FUH measure is incompatible with existing HBIPS measures because it requires follow-up at 7 and 30 days, whereas the timeframe for HBIPS is 12 months. The commenters were also concerned that sampling is not allowed for the FUH measure, but is allowed for the HBIPS measures. The commenters believed these differences will impose burdens on facilities.
Response: We do not believe that the FUH measure is incompatible with the HBIPS measure. We believe that the commenters misinterpreted the collection and submission requirements for the HBIPs measures currently in the IPFQR Program. Data for the HBIPS measures currently included in the IPFQR Program (HBIPS 2 through 7) are collected quarterly by IPFs. This information is then submitted to CMS once every 12 months via QualityNet. We acknowledge that the FUH measure's lack of sampling may pose a burden, and in response to concerns about burden, we are finalizing the adoption of this measure as a claims-based measure.
Comment: Some commenters opposed the addition of the FUH measure because it is specified for use by health plans and not IPFs. Therefore, these commenters argued that requiring IPFs to provide such data would impose great burden because they would need to develop systems to capture such data. Other commenters stated that psychiatric hospitals do not have such data. Some commenters indicated that collecting information for this measure raises confidentiality concerns and increases the risk of liability for hospitals. Other commenters argued that the FUH measure would require IPFs to put forth additional efforts to obtain Release of Information forms prior to patient discharge. Some commenters opposed the FUH measure because it would require psychiatric hospitals to reach out to aftercare providers to obtain the information needed for the measure, and thus impose a burden on IPFs. One commenter noted that the burden is further exacerbated because the measure specifications do not allow for sampling.
One commenter noted that patients, rather than IPFs, should take the lead in their follow-up care. Another commenter stated that IPFs could not be responsible for what patients do post-discharge. This commenter also noted that this measure is problematic because it relies on patients being honest about their follow-up care. One commenter recommended that CMS use claims/administrative data for the FUH measure.
Response: Because we are finalizing this measure as claims-based instead of chart-abstracted as we had initially proposed, IPFs would not need to obtain any sort of release of information form. These forms are not a requirement of the IPFQR Program or CMS, but we are aware that many IPFs obtain them to comply with State, HITECH, and HIPAA requirements, in order to contact aftercare providers to obtain information on patient follow-up care status. Based upon the public comments received above regarding burden and privacy concerns for FY 2016 payment determination and subsequent years, we are finalizing the FUH measure with a change in order to alleviate these concerns. We will calculate the measure using Part A and Part B claims data that are already received by Medicare for payment purposes. This approach requires no additional data collection or reporting by IPFs. However, in the future, we will consider transitioning this measure to chart-abstracted data collection, and will take these comments into account should we do so.
After considering the public comments we received, we are finalizing the FUH measure as a claims-based measure because we believe it will reduce the burden to IPFs since we will calculate this measure by linking Medicare FFS claims submitted by IPFs and subsequent outpatient providers for Medicare FFS IPF discharges.
In summary, we are retaining all six of the chart-abstracted measures previously adopted for the FY 2014 payment determination and subsequent years. We are not removing or replacing any of the previously adopted measures from the IPFQR Program or adding any new measures to the IPFQR Program for the FY 2015 payment determination and subsequent years.
For the FY 2016 payment determination and subsequent years, we are adding one new chart-abstracted measure for the IPFQR Program: SUB-1: Alcohol Use Screening (NQF review pending) as proposed. We are also adding another new measure: Follow-Up After Hospitalization for Mental Illness (FUH) (NQF #0576) with a change that data collection be claims-based. This change will apply to the FY 2016 payment determination and subsequent years, unless we change it through future rulemaking.
We are finalizing the collection requirements for these measures in section IX.D.9. of the preamble of this final rule. The table below lists the previously adopted measures for the FY 2014 payment determination and subsequent years and the additional measures for the FY 2016 payment determination and subsequent years.
| National Quality Strategy Priority | NQF No. | Measure ID | Measure description |
|---|---|---|---|
| * Previously adopted quality measures for the FY 2014 payment determination and subsequent years. | |||
| ** New quality measures adopted in this final rule for the FY 2016 payment determination and subsequent years. | |||
| Patient Safety | 0640 | HBIPS-2 | Hours of Physical Restraint Use.* |
| 0641 | HBIPS-3 | Hours of Seclusion Use.* | |
| Clinical Quality of Care | 0552 | HBIPS-4 | Patients Discharged on Multiple Antipsychotic Medications.* |
| 0560 | HBIPS-5 | Patients Discharged on Multiple Antipsychotic Medications with Appropriate Justification.* | |
| Care Coordination | 0557 | HBIPS-6 | Post-Discharge Continuing Care Plan Created.* |
| 0558 | HBIPS-7 | Post-Discharge Continuing Care Plan Transmitted to Next Level of Care Provider Upon Discharge.* | |
| Clinical Quality of Care | Review Pending | SUB-1 | Alcohol Use Screening.** |
| 0576 | FUH | Follow-Up After Hospitalization for Mental Illness.** | |
c. Maintenance of Technical Specifications for Quality Measures
We will provide a user manual that will contain links to measure specifications, data abstraction information, data submission information, a data submission mechanism known as the Web-based Measure Tool, and other information necessary for IPFs to participate in the IPFQR Program. This manual will be posted on the QualityNet Web site at: https://www.qualitynet.org/dcs/ContentServer?c=Page&pagename=QnetPublic%2FPage%2FQnetTier2&cid=1228772250192. We will maintain the technical specifications for the quality measures by updating this manual periodically and including detailed instructions for IPFs to use when collecting and submitting data on the required measures. These updates will be accompanied by notifications to IPFQR Program participants, providing sufficient time between the change and effective dates in order to allow users to incorporate changes and updates to the measure specifications into data collection systems.
Many of the quality measures used in different Medicare and Medicaid reporting programs are NQF-endorsed. As part of its regular maintenance process for NQF-endorsed performance measures, the NQF requires measure stewards to submit annual measure maintenance updates and undergo maintenance of endorsement review every 3 years. In the measure maintenance process, the measure steward (owner/developer) is responsible for updating and maintaining the currency and relevance of the measure and will confirm existing or minor specification changes with NQF on an annual basis. NQF solicits information from measure stewards for annual reviews, and it reviews measures for continued endorsement in a specific 3-year cycle.
In the FY 2013 IPPS/LTCH PPS final rule (77 FR 53652), we stated that the NQF regularly maintains its endorsed measures through annual and triennial reviews, which may result in the NQF making updates to the measures. We believe that it is important to have in place a subregulatory process to incorporate nonsubstantive updates made by the NQF into the measure specifications we have adopted for the IPFQR Program so that these measures remain up-to-date.
Through NQF's measure maintenance process, NQF endorsed measures are sometimes updated to incorporate changes that we believe do not substantially change the nature of the measure. We believe these types of maintenance changes are distinct from more substantive changes to measures that result in what are considered new or different measures, and that they do not trigger the same agency obligations under the Administrative Procedure Act.
In the FY 2013 IPPS/LTCH PPS final rule (77 FR 53653), we adopted a policy to use a subregulatory process to make nonsubstantive updates to NQF-endorsed measures used for the IPFQR Program. We also stated that we expected to make the determination of what constitutes a substantive versus a nonsubstantive change on a case-by-case basis, and provided examples of the types of changes that would fall into each category.
Examples of nonsubstantive changes to measures might include updated diagnosis or procedure codes, medication updates for categories of medications, broadening of age ranges, and exclusions for a measure (such as the addition of a hospice exclusion to the 30-day mortality measures). We believe that non-substantive changes may include updates to NQF-endorsed measures based upon changes to guidelines upon which the measures are based. As stated in the FY 2013 IPPS/LTCH PPS final rule, we will revise the Specifications Manual so that it clearly identifies the updates and provide links to where additional information on the updates can be found. We also will post the updates on the QualityNet Web site at https://www.QualityNet.org. We will provide sufficient lead time for facilities to implement the changes where changes to the data collection systems would be necessary.
We will continue to use rulemaking to adopt substantive updates made by the NQF to the endorsed measures we have adopted for the IPFQR Program. Examples of changes that we might consider to be substantive would be those in which the changes are so significant that the measure is no longer the same measure, or when a standard of performance assessed by a measure becomes more stringent (for example: changes in acceptable timing of medication, procedure/process, or test administration). Another example of a substantive change would be where the NQF has extended its endorsement of a previously endorsed measure to a new setting, such as extending a measure from the inpatient setting to hospice.
We believe that the policy finalized in the FY 2013 IPPS/LTCH PPS final rule adequately balances our need to incorporate non-substantive NQF updates to NQF-endorsed IPFQR Program measures in the most expeditious manner possible, while preserving the public's ability to comment on updates that so fundamentally change an endorsed measure that it is no longer the same measure that we originally adopted. We also note that the NQF process incorporates an opportunity for public comment and engagement in the measure maintenance process. These policies regarding what is considered substantive versus non-substantive apply to all measures in the IPFQR Program.
6. Request for Voluntary Information—IPF Assessment of Patient Experience of Care
As indicated previously, we strive to address each of the six priorities of the HHS National Quality Strategy in our quality reporting programs. One priority area currently unaddressed in the IPFQR Program is that of patient and family engagement and experience of care. We included on our “List of Measures under Consideration for December 1, 2012,” the measure “Inpatient Consumer Survey of Inpatient Behavioral Healthcare Services” (NQF #0726). The MAP provided input on this measure supporting its inclusion in the IPFQR Program.
We believe that while the specific survey instrument incorporated in that measure addressed an important area of quality care, and in the FY 2014 IPPS/LTCH PPS proposed rule (78 FR 27740), we did not propose to adopt the measure at this time because of several issues. These issues include potential reporting and information collection burdens in a new program, and compatibility with the content and format of other similar CMS beneficiary surveys. We intend to pursue the adoption of a standardized measure of patient experience of care for the IPFQR Program in the near future.
In an effort to proceed cautiously with the selection of an assessment instrument and collection protocol, we instead proposed to collect information from IPFs participating in the IPFQR Program regarding whether the IPF assesses patient experience of inpatient behavioral health services using a standardized instrument (Yes/No). We would also ask those IPFs that answer “Yes” to indicate the name of the survey that they administer. Submission of this information would be voluntary and would not affect an IPF's FY 2016 payment determination.
We will use information we collect from this request for voluntary information to assess readiness of IPFs to report patient experience of care measure data in the IPFQR Program. We intend to propose to make this request for voluntary information a mandatory measure in future rulemaking.
Section IX.D.9. of the preamble of the proposed rule, which covered the form, manner, and timing of data submissions, included our proposal for collection requirements that would apply to any information IPFs voluntarily submit. Section X.D.9. of the preamble of the proposed rule also included more information about the request for voluntary information.
We welcomed comments on this approach as well as recommendations concerning future measurement of this domain, including recommendations of specific instruments for surveying patient and family engagement and experience of care in inpatient psychiatric settings.
Comment: Some commenters supported CMS' efforts to implement a patient experience of care survey and offered to assist CMS to find patient experience of care measures that are appropriate for psychiatric settings. One commenter indicated that it is difficult to obtain experience of care information from geriatric psychiatric patients suffering from dementia and recommended using a readmission measure to assess whether the patient has improved. One commenter requested that when CMS selects a patient experience of care measure, it consider excluding patients committed involuntarily, because their views will be negatively influenced by the involuntary commitment. Some commenters urged CMS to work with stakeholders before implementing this measure to understand further the opportunities and challenges of various survey tools. Other commenters indicated that they developed their own surveys after determining that some of the questions in the NRI survey were not relevant to their patient population.
Response: We recognize the challenges of measuring patient experience of care, particularly for involuntary cases and geriatric psychiatric patients suffering from dementia. We also recognize that IPFs may have developed their own survey instruments, and we seek to learn more about these instruments prior to requiring collection of a patient experience of care survey for the IPFQR Program. For this reason, we seek to implement this request for voluntary information assessing whether IPFs currently assess patient experience of care, and to learn from the opportunities and challenges that our stakeholders have experienced.
After consideration of the public comments we received, we will implement the Request for Voluntary Information—IPF Assessment of Patient Experience of Care.
7. Request for Recommendations for New Quality Measures for Future Years
We seek to develop a comprehensive set of quality measures to be available for widespread use for informed decision-making and quality improvement in the inpatient psychiatric setting. Therefore, through future rulemaking, we intend to propose new measures that will help us further our goal of achieving better health care and improved health for Medicare beneficiaries who obtain inpatient psychiatric services, through the widespread dissemination and use of performance information.
We plan to continue developing a comprehensive set of quality measures to be available for widespread use for informed decision-making and quality improvement in IPFs. Accordingly, we are soliciting recommendations concerning future measures to assess the domains that arise from the six NQS priorities: clinical care; person- and caregiver-centered experience and outcomes; safety; efficiency and cost reduction; care coordination; and community/population health. This approach will enhance better psychiatric care while bringing the IPFQR Program in line with other established quality reporting and performance improvement programs who also aim to align with the NQS priorities such as the Hospital Inpatient Quality Reporting (IQR) Program, the Hospital Outpatient Quality Reporting (OQR) Program, the Hospital Value-Based Purchasing (VBP) Program, the End-Stage Renal Disease Quality Incentive Program (ESRD QIP), and other CMS quality programs. Recommendations for consideration of individual measures should address the importance of the measure, its scientific evidence, its relevance for quality improvement, and the feasibility of collection and reporting.
In the FY 2014 IPPS/LTCH PPS proposed rule (78 FR 27740), we welcomed all recommendations related to any of the identified domains. However, we stated that we are particularly interested in measure and domain recommendations concerning: (1) Inpatient psychiatric treatment and quality of care of geriatric patients and other adults, adolescents, and children; (2) quality of prescribing for antipsychotics and antidepressants; (3) readmissions; (4) access to care; (5) screening for suicide and violence; and (6) screening and treatment for nonpsychiatric, comorbid conditions for which patients with mental or substance use disorders are at higher risk. In addition, we sought recommendations on any other measures related to patient experience of care and overall quality of care for IPFs.
We welcomed public comment on considerations of additional measure topics for the IPFQR Program in future rulemaking.
Comment: In response to our request for comments we received the following additional measure topic suggestions:
- Suicide screening and violence
- HBIPS-1
- SUB-2
- SUB-3
- Readmission
Response: We thank the commenters for their suggestions for future measure selection. We will take them into consideration for the IPFQR Program.
8. Public Display Requirements for the FY 2014 Payment Determination and Subsequent Years
Section 1886(s)(4)(E) of the Act requires the Secretary to establish procedures for making the data submitted under the IPFQR Program available to the public. Such procedures shall ensure that an IPF has the opportunity to review the data that is to be made public with respect to the IPF prior to such data being made public. In the FY 2013 IPPS/LTCH PPS final rule (77 FR 53653 through 53654), we finalized our procedures for the FY 2014 payment determination and subsequent years regarding public display. We previously finalized that the data collected under the IPFQR Program would be displayed on a CMS Web site and that public display would begin in the first quarter of the calendar year following the respective payment determination year (77 FR 53654). Last year, we also finalized a 30-day preview period that would allow IPFs to review their data before it became public. The previously finalized preview period is September 20 through October 19 of the respective payment determination year (77 FR 53654).
In the FY 2014 IPPS/LTCH PPS proposed rule (78 FR 27740 through 27741), we proposed to change our finalized policies, however, in an attempt to align the IPFQR Program preview and display periods with that of the Hospital IQR Program. We proposed that for the FY 2014 payment determination and subsequent years, we would publicly display the submitted data on a CMS Web site in April of each calendar year following the start of the respective payment determination year. In other words, the public display period for the FY 2014 payment determination would be April 2014; the public display periods for the FY 2015 and FY 2016 payment determinations would be April 2015 and April 2016 respectively, and so forth.
We also proposed that the preview period for the FY 2014 payment determination and subsequent years be modified to 30 days approximately twelve weeks prior to the public display of the data. This is to align with the Hospital IQR Program's preview and display periods and, as a result, reduce burden to facilities.
We welcomed public comment on these proposals.
Comment: Many commenters supported our proposal to align the IPFQR Program public reporting and display periods with that of the Hospital IQR Program (April of each calendar year) and agreed that it will give IPFs the opportunity to review the data that is to be made public prior to its being made so.
Response: We thank commenters for their support.
Comment: One commenter believed that publicly reported quality data should be updated more than once per year so that hospitals have more current data in order to develop and track quality improvement.
Response: We agree with the commenter that continuous review of the most current data is important to quality improvement. At this time, however, we only require providers to input data for the IPFQR Program once per year. Thus, it is not operationally possible for us to post this data publicly on a quarterly basis. In addition, at this time, we do not believe it is appropriate for us to require data entry on a more frequent basis because this would impose a larger burden on IPFs. As IPFs become more comfortable with the program, however, the frequency of data entry may be less of a burden and may then be more appropriate. We will consider requiring reporting more than once per year and publicly reporting data on a more frequent basis for future rulemaking.
After consideration of the public comments we received, we are finalizing the public display requirements for the FY 2014 payment determination and subsequent years as proposed. Set out below is a table that displays the new public display timeline. Although we have listed the public display timeline only for the FYs 2014 through 2016 payment determinations, this policy applies to the FY 2014 payment determination and subsequent years.
| Payment determination year (fiscal year) | Reporting period (calendar year) | Public display (calendar year) |
|---|---|---|
| 2014 | Q4 2012 (October 1, 2012-December 31, 2012) | April 2014. |
| Q1 2013 (January 1, 2013-March 31, 2013) | ||
| 2015 | Q2 2013 (April 1, 2013-June 30, 2013) | April 2015. |
| Q3 2013 (July 1, 2013-September 30, 2013) | ||
| Q4 2013 (October 1, 2013-December 31, 2013) | ||
| 2016 | Q1 2014 (January 1, 2014-March 31, 2014) | April 2016. |
| Q2 2014 (April 1, 2014-June 30, 2014) | ||
| Q3 2014 (July 1, 2014-September 30, 2014) | ||
| Q4 2014 (October 1, 2014-December 31, 2014) |
9. Form, Manner, and Timing of Quality Data Submission for the FY 2014 Payment Determination and Subsequent Years
a. Background
Section 1886(s)(4)(C) of the Act requires that, for the FY 2014 payment determination and each subsequent year, each IPF submit to the Secretary data on quality measures as specified by the Secretary. Such data shall be submitted in a form and manner, and at a time, specified by the Secretary. As required by section 1886(s)(4)(A) of the Act, for any IPF that fails to submit quality data in accordance with section 1886(s)(4)(C) of the Act, the Secretary will reduce any annual update to a standard Federal rate for discharges occurring during such fiscal year by 2.0 percentage points. The complete data submission requirements, submission deadlines, and data submission mechanism, known as the Web-Based Measure Tool, is posted on the QualityNet Web site at: http://www.qualitynet.org/. The Web-Based Measure Tool is an Internet database for IPFs to submit their aggregate data. In the FY 2013 IPPS/LTCH PPS final rule (77 FR 53654 through 53658), we required that IPFs submit data in accordance with the specifications for the appropriate proposed reporting periods to the Web-Based Measures Tool found in the IPF section on the QualityNet Web site (http://www.qualitynet.org/).
b. Procedural Requirements
In order to participate in the IPFQR Program, in the FY 2013 IPPS/LTCH PPS final rule (77 FR 53654 through 53655), we required IPFs to comply with certain procedural requirements. We have aligned these procedural requirements with the Hospital IQR Program to avoid imposing additional burden on providers and to increase efficiencies by virtue of allowing providers to use similar submission requirements across programs. Under these adopted policies, IPFs must—
- Register with QualityNet before the IPF begins reporting, regardless of the method used for submitting the data.
- Identify a QualityNet Administrator who follows the registration process located on the QualityNet Web site (http://www.qualitynet.org/).
- Complete a Notice of Participation (NOP). IPFs that wish to participate in the IPFQR Program must complete an online NOP. Submission of a NOP is an indication that the IPF agrees to participate in the IPFQR Program and public reporting of their measure rates. The timeframe for completing the NOP is between January 1 and August 15 before each respective payment determination year. For example, for the FY 2015 payment determination year, the timeframe for completing the NOP is between January 1, 2014 and August 15, 2014.
- Any IPF that receives a new CMS Certification Number (CCN) on or after the beginning of the respective payment determination year and wishes to participate in the IPFQR Program, but has not otherwise submitted a NOP using the new CCN, must submit a completed NOP no later than 180 days from the date identified as the open date (that is, the Medicare acceptance date) on the approved CMS Quality Improvement Evaluation System to participate in the IPFQR Program.
- Withdrawals from the IPFQR Program will be accepted no later than August 15 before the beginning of each respective payment determination year. We believe the August 15 deadline will give us sufficient time to update payment determinations for each respective year. For example, under current policies, the withdrawal period for the FY 2015 payment determination year is between January 1, 2014 and August 15, 2014. If in a given payment determination year, an IPF withdraws from the program, it will receive a reduction of 2.0 percentage points to that year's applicable percentage increase. Once an IPF has submitted an NOP, it is considered to be an active IPFQR Program participant until such time as the IPF submits a withdrawal form to CMS.
- We determine if an IPF has complied with our data submission requirements by validating each IPF's CCN and their aggregated data submission on the QualityNet Web site.
- IPFs must submit the aggregated numerator and denominator data for all age groups, for all measures, to avoid the 2.0 percentage point reduction.
c. Submission Requirements for the FY 2016 Payment Determination and Subsequent Years
Currently, IPFs choosing to participate in the IPFQR Program must meet the specific data collection and submission requirements as described on the QualityNet Web site at http://www.qualitynet.org/ and by TJC, the HBIPS measure steward (77 FR 53655). As we indicated in the FY 2013 IPPS/LTCH PPS final rule, the specifications for the HBIPS measures can be found on the TJC Web site at: https://manual.jointcommission.org/bin/view/Manual/WebHome.
In the FY 2014 IPPS/LTCH PPS proposed rule (78 FR 27741 through 27742), for the FY 2016 payment determination, we proposed that, for the proposed chart-abstracted measures listed in the preamble of the proposed rule, participating IPFs meet the same specific data collection and submission requirements when reporting quality measure data. The specifications for the SUB-1 and SUB-4 measures can be found on the TJC Web site at: http://www.jointcommission.org/specifications_manual_for_national_hospital_inpatient_quality_measures.aspx. Please note, however, that we are not finalizing the SUB-4 measure in this rule. The specifications for the FUH measure are posted on the NCQA Web site at: http://www.ncqa.org/portals/0/Follow-Up%20After%20Hospitalization%20for%20Mental%20Illness.pdf. We note that for the FUH measure, based on comments we received, we are finalizing claims-based submission instead of chart-abstraction as we proposed; therefore, the chart-abstraction requirements described herein apply only to the SUB-1 measure.
We finalized a policy in the FY 2013 IPPS/LTCH PPS final rule (77 FR 53655 through 53656) requiring that IPFs submit aggregate data on measures on an annual basis via the Web-Based Measures Tool found in the IPF section on the QualityNet Web site. While this policy applies on an annual basis beginning in FY 2014, it is listed under a sub-heading labeled “Reporting and Submission Requirements for the FY 2014 Payment Determination” (77 FR 53655). To avoid reader confusion, we clarify that these reporting and submission requirements finalized in the FY 2013 IPPS/LTCH PPS final rule apply to all subsequent years unless we change our policy through future rulemaking. It is our intent to require that IPFs submit aggregate data on measures on an annual basis via the Web-Based Measures Tool found in the IPF section on the QualityNet Web site for the FY 2014 payment determination and subsequent years.
The data input forms on the QualityNet Web site for such submission will require aggregate data for each separate quarter. Therefore, IPFs will need to track and maintain quarterly records for their data.
Comment: One commenter objected to the submission deadline for the HBIPS measures, arguing that hospitals are not clear on expectations for data entry into the Web-based tool, which has yet to become operational. In addition, this commenter opposed the use of non-validated data for pay-for-performance programs.
Response: We would like to clarify that the IPFQR Program is a pay-for-reporting and not, as the commenter indicated, a pay-for-performance program. Last year, we finalized the measures amid overwhelming support from the public. We have held several Webinars listed on QualityNet to inform the public on program requirements. Although, as we noted, non-validated data may have some shortcomings, we believe that asking IPFs to acknowledge the accuracy and completeness of the data they submit will mitigate this problem. For more information, we refer readers to the IPFQR Program discussion in section VIII.F. of FY 2013 IPPS/LTCH PPS final rule (77 FR 53655 through 53656).
Comment: One commenter inquired whether Releases of Information forms are required to track data on behalf of CMS.
Response: We thank the commenter for seeking clarification. We believe the commenter is asking whether a release of information form—an institutional form that many hospitals require upon releasing sensitive patient information—is necessary for the IPFQR Program. The release of information form is not applicable to the IPFQR Program because we are collecting aggregate-level data, which do not contain sensitive patient information.
Comment: Some commenters sought clarification as to how the specifications of the proposed Follow-Up After Hospitalization for Mental Illness measure, which require that the denominator list data for 11 months, align with our requirement that measures be reported by quarter. Some commenters sought clarification as to how the FUH measure would be converted since it is specified for annual and not monthly reporting.
Response: As we have noted earlier in this preamble, based on comments received, we are finalizing the FUH measure with a change that it initially be collected as a claims-based measure, which will remove the need for IPFs to collect, calculate, and submit chart-abstracted data. We will calculate this measure utilizing Part A and Part B claims data, in accordance with measure specifications. To allow for the lag in claims submission, for the FY 2016 payment determination and subsequent years, we will calculate the measure for the period from July 1 of the year immediately preceding the reporting period for chart-abstracted measures to June 30 of the following year. Thus, the first FUH measure calculation period for the FY 2016 payment determination would be from July 1, 2013 to June 30, 2014.
Comment: Some commenters sought clarification on whether separate rates would be expected for different payers for the FUH measure since the measure specifications require that the data reported is payer-specific, whereas our proposal seeks data on “all payers.”
Response: As we have noted earlier in this rule, based on comments received, for the FY 2016 payment determination and subsequent years, we are finalizing the FUH measure with a change that it initially be collected as a claims-based measure. We will collect the data from Medicare Part A and Part B claims.
Comment: One commenter inquired as to what will be accepted as “proof” of follow-up for the FUH measure.
Response: As we have noted earlier in this rule, based on comments received, we are finalizing the FUH measure with a change that it initially be collected as a claims-based measure; thus, there is no “proof” of follow-up for the FUH submission requirements.
Comment: One commenter opposed the addition of the proposed measures because developing, improving and testing the integrity of a data process can take up to a year. Another commenter recommended postponing the implementation of the newly proposed measures until FY 2015 because these measures are new for many facilities and the data collection for the initial six measures only began in October 2012.
Response: We note that, contrary what the commenter suggested above, the measures will first apply to the FY 2016 payment determination and that the reporting period does not start until January 1, 2014. Since we are only finalizing one new chart-abstracted measure, we believe that facilities will have sufficient time to prepare for data collection and submission.
With respect to the NCQA's FUH measure, we proposed all-payer Web-based collection to maintain consistency throughout the measures we have selected for the IPFQR Program, but welcomed comments for alternative forms of data submission. Based on the public comments we received, we are finalizing that for the FY 2016 payment determination and subsequent years we will collect FUH measure using claims-based data.
After consideration of the public comments we received, we are finalizing the Submission Requirements for the FY 2016 Payment Determination and Subsequent Years policy for SUB-1 as proposed. For the FUH measure, we are finalizing a claims-based data collection and a reporting period for the FY 2016 payment determination and subsequent years, as illustrated for the FY 2016 payment determination in the table below.
| Payment determination year (fiscal year) | Reporting period (calendar year) | Public display (calendar year) |
|---|---|---|
| 2016 | July 1, 2013-June 30, 2014 | April 2016. |
As noted earlier in the preamble, NQF #0726 “Inpatient Consumer Survey of Inpatient Behavioral Healthcare Services” is a patient experience measure covering information not measured by existing program measures. While we are not adopting NQF #0726 at this time, we are finalizing our proposal to request voluntary information about survey administration, asking whether IPFs assess patient experience of inpatient behavioral health services using a standardized instrument. IPFs would only have to provide a “yes” or “no” response. We will also ask those IPFs that answer “yes” to indicate which survey they administer. We proposed that this information be collected through a Web-Based Collection Tool.
We invited public comment on the proposed submission requirements. We did not receive any comments on the submission proposals and are finalizing the requirement that facilities provide their voluntary information about survey administration via the Web-based tool as proposed.
d. Reporting Requirements for the FY 2016 Payment Determination and Subsequent Years
In the FY 2013 IPPS/LTCH PPS final rule (77 FR 53655 through 53657), we established reporting periods and submission timeframes for the FY 2014, FY 2015, and FY 2016 payment determinations, but we did not require any data validation approach. However, we encouraged the IPFs to use a validation method and conduct their own analysis. Our recommendations remained the same in the FY 2014 IPPS/LTCH PPS proposed rule (78 FR 27742). In future years, should we modify the program to require patient-level data, we will consider proposals for an appropriate validation method using rulemaking.
Although in the FY 2013 IPPS/LTCH PPS final rule (77 FR 53655 through 53657) we adopted policies for the FY 2014 payment determination and subsequent years, we only listed quality reporting periods and submission timeframes for the FY 2014, FY 2015, and FY 2016 payment determinations. We explained that the reporting periods for the FY 2014 and FY 2015 payment determinations were 6 and 9 months, respectively, to allow us to achieve a 12 month (calendar year) reporting period for the FY 2016 payment determination. We also indicated that the submission timeframe is between July 1 and August 15 within the same calendar year that marks the beginning of the appropriate payment determination year. We have included this information in the table below.
| Payment determination (fiscal year) | Reporting period for services provided (calendar year) | Data submission timeframe |
|---|---|---|
| 2014 | Q4 2012 (October 1, 2012-December 31, 2012) | July 1, 2013-August 15, 2013. |
| Q1 2013 (January 1, 2013-March 31, 2013) | ||
| 2015 | Q2 2013 (April 1, 2013-June 30, 2013) | July 1, 2014-August 15, 2014. |
| Q3 2013 (July 1, 2013-September 30, 2013) | ||
| Q4 2013 (October 1, 2013-December 31, 2013) | ||
| 2016 | Q1 2014 (January 1, 2014-March 31, 2014) | July 1, 2015-August 15, 2015. |
| Q2 2014 (April 1, 2014-June 30, 2014) | ||
| Q3 2014 (July 1, 2014-September 30, 2014) | ||
| Q4 2014 (October 1, 2014-December 31, 2014) |
To avoid reader confusion, we are reiterating that the policy we adopted for the FY 2016 payment determination also applies to the FY 2017 payment determination and subsequent years, unless we change it through future rulemaking.
e. Population, Sampling, and Minimum Case Threshold for the FY 2016 Payment Determination and Subsequent Years
In the FY 2013 IPPS/LTCH PPS final rule (77 FR 53657 through 53658), for the FY 2014 payment determination and subsequent years, we finalized our policy that participating IPFs must meet specific population, sample size, and minimum reporting case threshold requirements as specified in TJC's Specifications Manual. We also indicated that the Specifications Manual for the measures is updated at least twice a year (and may be updated more often as necessary), and IPFs must follow the requirements in the most recent manual, which can be found on the TJC Web site at: https://manual.jointcommission.org/bin/view/Manual/WebHome.
We also finalized our policy that the target population for the quality measures includes all patients, not solely Medicare beneficiaries, to improve quality of care. We believe it is important to require IPFs to submit measures on all patients because quality improvement is of industry-wide importance and should not be focused exclusively on a certain subset of patients. In addition, we need this scope of data in order to be able to assess the quality of care being provided to Medicare beneficiaries.
We also finalized our policy that IPFs that have no data to report for a given measure must enter zero for the population and sample counts. For example, an IPF that has no hours of physical restraint use (HBIPS-2) to report for a given quarter is still required to submit a zero for its quarterly aggregate population for HBIPS-2 in order to meet the reporting requirement. We believe it is important for IPFs to submit data on all measures even when the population size for a given measure is zero or small because it provides us with the opportunity to identify, assess, and evaluate the baseline for the number of cases for each measure in future years. This will also assist us in determining the minimum case threshold for future years in the rule. In cases where the measure rates are calculated based on low caseloads, when the submitted data are publicly displayed on the QualityNet Web site, we will clearly note that the affected measure rates were calculated based on low caseloads that may affect the result.
For the HBIPS measures, which we finalized in the FY 2013 IPPS/LTCH PPS final rule (77 FR 53657 through 53658), we will continue to apply our finalized policies for population, sampling, and minimum case threshold outlined above. For the measures we proposed for the FY 2016 payment determination and subsequent years, we proposed that IPFs follow the sampling and population requirements as specified by the appropriate measure steward as outlined below.
The most recent version of the Specifications Manual, including the sampling and population information for the SUB measures, can be found on the TJC Web site at: http://www.jointcommission.org/specifications_manual_for_national_hospital_inpatient_quality_measures.aspx. We note that IPFs are required to report data only for inpatient discharges treated by the IPF, not for acute care hospital discharges that are not treated and billed by the IPFs.
In the FY 2014 IPPS/LTCH PPS proposed rule (78 FR 27743), we proposed that there will be no sampling required for the FUH measure—IPFs are expected to submit all data. We proposed that IPFs follow the population requirements outlined at: http://www.ncqa.org/portals/0/Follow-Up%20After%20Hospitalization%20for%20Mental%20Illness.pdf.
We invited public comment on this proposal.
Comment: Some commenters opposed the proposed FUH measure because it would require IPFs to reach out to aftercare providers to obtain the information needed for the measure, thus imposing a burden on psychiatric hospitals. One commenter noted that the burden is further exacerbated because the measure specifications do not allow for sampling.
Response: As we have noted, based on comments received, we are finalizing the FUH measure with a change that it be collected initially as a claims-based measure, which removes the need for IPFs to collect, calculate and submit the data. IPF's are currently required to sign an IPFQR participation form that allows us to publicly report all IPFQR measures, including the FUH measure. However, as we consider transitioning this measure to a chart-abstracted measure in the future, we will take these comments into account.
Comment: Some commenters opposed our proposal to add SUB-1 to the IPFQR Program because they believed that the specifications for SUB-1 differ from those required for the HBIPS measures. For example, sampling requirements are different for SUB-1 and the HBIPS measures and chemical dependency units are included in the global population for SUB-1 but excluded from HBIPS. The commenters believed that these differences would require hospitals to modify their processes for data collection thus increasing the burden on facilities.
Response: Although there may be sampling and population differences between SUB-1 and HBIPS measures that may require IPFs to modify their data collection processes, we believe that the important role that SUB-1 plays in quality improvement far outweighs burden concerns. As we have explained in this preamble, individuals with mental health conditions experience substance use disorders (SUDs) at a much higher rate than the general population. Individuals with the most serious mental illnesses have the highest rates of such disorders. Co-occurring SUDs often go undiagnosed and, without treatment, contribute to a longer persistence of disorders, poorer treatment outcomes, lower rates of medication adherence, and greater impairments to functioning. Accordingly, we believe that SUB-1 plays an important role in assessing efforts by IPFs to screen for the most common type of such disorder, alcohol abuse.
After consideration of the public comments we received, with respect to the SUB-1 measure, we are finalizing the reporting and submission requirements as proposed for the FY 2016 payment determination and subsequent years. IPFs must ensure that all the reporting and submission requirements are followed by their vendors (if data are submitted by vendors on their behalf), because IPFs remain responsible for all submitted data regardless if data are submitted by a vendor or by the entity/organization themselves. Based on the public comments we received, for the FY 2016 payment determination and subsequent years we are finalizing the FUH measure with a change that it be collected as a claims-based measure, subject to the measure specifications and reporting periods described above.
f. Data Accuracy and Completeness Acknowledgement (DACA) Requirements
In the FY 2013 IPPS/LTCH PPS final rule (77 FR 53658), we finalized our DACA policy for the FY 2014 payment determination and subsequent years. We stated that IPFs must acknowledge their data accuracy and completeness once annually using a form provided on the QualityNet Web site. To affirm that the data provided to meet the IPFQR Program data submission requirements are accurate and complete to the best of an IPF's knowledge, an IPF is required to submit the DACA form. We will provide a link to this form once IPFs have completed entry of all aggregated measure data. Data submission is not complete until the IPF submits the DACA form. In the FY 2013 IPPS/LTCH PPS final rule (77 FR 53658), we listed the DACA deadlines for the FY 2014, FY 2015, and FY 2016 payment determinations only, even though our finalized policy was for the FY 2014 payment determination and subsequent years. Set out in the table below are the DACA deadlines we listed in the FY 2013 IPPS/LTCH PPS final rule (77 FR 53658).
| Payment determination (fiscal year) | Reporting period for services provided (calendar year) | Data accuracy and completeness acknowledgement deadline |
|---|---|---|
| 2014 | Q4 2012 (October 1, 2012-December 31, 2012) | August 15, 2013. |
| Q1 2013 (January 1, 2013-March 31, 2013) | ||
| 2015 | Q2 2013 (April 1, 2013-June 30, 2013) | August 15, 2014. |
| Q3 2013 (July 1, 2013-September 30, 2013) | ||
| Q4 2013 (October 1, 2013-December 31, 2013) | ||
| 2016 | Q1 2014 (January 1, 2014-March 31, 2014) | August 15, 2015. |
| Q2 2014 (April 1, 2014-June 30, 2014) | ||
| Q3 2014 (July 1, 2014-September 30, 2014) | ||
| Q4 2014 (October 1, 2014-December 31, 2014) |
To avoid reader confusion, we are reiterating that the DACA finalized policies listed above will continue to apply for the FY 2014 payment determination and subsequent years unless and until we change such policies through our rulemaking process. Thus, we will continue with our adopted policy that the deadline for submission of both measure data and the DACA form is no later than August 15 prior to the applicable IPFQR Program payment determination year.
We have summarized the pertinent IPFQR Program dates in the table below with regard to data reporting periods, submission deadlines, DACA deadlines, and public display periods.
| Payment determination (fiscal year) | Reporting period for services provided (calendar year) | Submission timeframe | DACA Deadline | Public display |
|---|---|---|---|---|
| 2014 | Q4 2012 (October 1, 2012-December 31, 2012) | July 1, 2013-August 15, 2013 | August 15, 2013 | April 2014. |
| Q1 2013 (January 1, 2013-March 31, 2013) | ||||
| 2015 | Q2 2013 (April 1, 2013-June 30, 2013) | July 1, 2014-August 15, 2014 | August 15, 2014 | April 2015. |
| Q3 2013 (July 1, 2013-September 30, 2013) | ||||
| Q4 2013 (October 1, 2013-December 31, 2013) | ||||
| 2016 | Q1 2014 (January 1, 2014-March 31, 2014) | July 1, 2015-August 15, 2015 | August 15, 2015 | April 2016. |
| Q2 2014 (April 1, 2014-June 30, 2014) | ||||
| Q3 2014 (July 1, 2014-September 30, 2014) | ||||
| Q4 2014 (October 1, 2014-December 31, 2014) |
Again, we have listed information until the FY 2016 payment determination, but these deadlines apply to the FY 2014 payment determination and subsequent years.
We did not receive any public comments on this issue.
10. Reconsideration and Appeals Procedures for the FY 2014 Payment Determination and Subsequent Years
In the FY 2013 IPPS/LTCH PPS final rule (77 FR 53658 through 53659), we adopted a reconsideration process whereby IPFs can request a reconsideration of their payment update reduction in the event an IPF believes that its annual payment update has been incorrectly reduced for failure to report quality data under the IPFQR Program. We codified the reconsideration procedures that IPFs must follow at 42 CFR 412.434. We instituted an annual reconsideration process similar to the Hospital IQR Program (74 FR 43892). We do not utilize reconsideration policies and procedures related to the Hospital IQR Program validation requirement because the IPFQR Program does not currently include an annual validation requirement for IPFs.
We did not receive any public comments on this process.
11. Waivers From Quality Reporting Requirements for the FY 2014 Payment Determination and Subsequent Years
In our experience with other quality reporting and/or performance programs, we have noted occasions when participants have been unable to submit required quality data due to extraordinary circumstances that are not within their control (for example, natural disasters). It is our goal to avoid penalizing IPFs in such circumstances or to unduly increase their burden during these times. Therefore, in the FY 2013 IPPS/LTCH PPS final rule (77 FR 53659 through 53660), we adopted a policy that, for the FY 2014 payment determination and subsequent years, IPFs may request and we may grant waivers with respect to the reporting of required quality data when extraordinary circumstances beyond the control of the IPF may warrant. When waivers are granted, IPFs will not incur payment reductions for failure to comply with the requirements of the IPFQR Program.
Under the process, in the event of extraordinary circumstances not within the control of the IPF, such as a natural disaster, the IPF may request a reporting extension or a complete waiver of the requirement to submit quality data for one or more quarters. Such IPFs would submit a request form to CMS available on the QualityNet Web site at: http://www.qualitynet.org/dcs/ContentServer?c=Page&pagename=QnetPublic%2FPage%2FQnetTier3&cid=1228772379030.
This process does not preclude us from granting waivers or extensions to IPFs that have not requested them when we determine that an extraordinary circumstance, such as an act of nature (for example, a hurricane or other natural disaster that could reasonably affect an IPF's ability to compile or report data), affects an entire region or locale. If we make the determination to grant a waiver or extension to IPFs in a region or locale, we will communicate this decision through routine communication channels to IPFs and vendors, by means of memoranda, emails, and notices on the QualityNet Web site, among other means.
We did not receive any public comments on this issue.
12. Electronic Health Records (EHRs)
Under the current and proposed chart-abstracted quality measures, IPFs cannot use EHRs (also referred to as electronic medical records) for data collection because the current and proposed measures will be submitted as aggregate data. However, we encourage IPFs to take steps towards adoption of EHRs that will allow for reporting of clinical quality data from EHRs directly to a CMS repository. We encourage IPFs that are implementing, upgrading, or developing EHR systems to ensure that the technology obtained, upgraded, or developed conforms to standards adopted by HHS. Although the IPFQR Program is in its initial implementation stages, we recommend that IPFs ensure that their EHR systems accurately capture quality data and that, ideally, such systems provide point-of-care decision support that promotes optimal levels of clinical performance.
In the future, we will continue to work with standard-setting organizations and other entities to explore processes through which EHRs could speed the collection of data and minimize the resources necessary for quality reporting.
In the FY 2013 IPPS/LTCH PPS final rule (77 FR 53660), we responded to public comments on the adoption of EHRs for the IPFQR Program in the future and in the FY 2014 IPPS/LTCH PPS proposed rule (78 FR 27744), we again invited public comment on this issue.
We did not receive any public comments on this issue.
E. Electronic Health Record (EHR) Incentive Program and Meaningful Use (MU)
1. Background
The HITECH Act (Title IV of Division B of the ARRA, together with Title XIII of Division A of the ARRA) authorizes incentive payments under Medicare and Medicaid for the adoption and meaningful use of certified EHR technology (CEHRT). Eligible hospitals and critical access hospitals (CAHs) may qualify for these incentive payments under Medicare (as authorized under sections 1886(n) and 1814(l) of the Act, respectively) if they successfully demonstrate meaningful use of CEHRT, which includes reporting on clinical quality measures (CQMs) using CEHRT.
The set of CQMs from which eligible hospitals and CAHs will report under the EHR Incentive Program beginning in FY 2014 is listed in Table 10 of the EHR Incentive Program Stage 2 final rule (77 FR 54083 through 54087). The subset of CQMs that we proposed for voluntary electronic reporting in the Hospital IQR Program in section IX.A.7. of the preamble to the FY 2014 IPPS/LTCH PPS proposed rule (78 FR 27694 through 27695) is included in Table 10 of the EHR Incentive Program Stage 2 final rule.
We continue to believe there are important synergies with respect to the two programs. We believe the financial incentives under the EHR Incentive Program for the adoption and meaningful use of CEHRT by eligible hospitals and CAHs will encourage the adoption and use of CEHRT for the anticipated electronic reporting of CQMs under the Hospital IQR Program. We expect that the electronic submission of quality data from EHRs under the EHR Incentive Program will provide a foundation for establishing the capacity of hospitals to send, and for CMS to receive, CQMs via CEHRT for certain Hospital IQR Program measures.
2. Expanded Electronic Submission Period for CQMs
Section 1886(n)(3)(B)(iii) of the Act requires that, in selecting CQMs for and establishing the form and manner of reporting for the EHR Incentive Program, the Secretary shall seek to avoid redundant or duplicative reporting with reporting otherwise required. To the extent that CQMs are included in both the Hospital IQR Program and the EHR Incentive Program, we expect that the Hospital IQR Program would transition to using CEHRT rather than manual chart abstraction. The beginning of this transition is described in section IX.A.7. of the preamble to this final rule with the voluntary electronic reporting in CY 2014 of up to 16 electronic clinical quality measures in the Hospital IQR Program, which are also included in the set of CQMs from which hospitals will report for the EHR Incentive Program beginning in FY 2014 (77 FR 54083 through 54087). By allowing voluntary electronic reporting in CY 2014 of the electronic clinical quality measures being finalized under the Hospital IQR Program, hospitals, if they choose to submit all 16 electronic clinical quality measures in the Hospital IQR Program, would be able to submit once and fulfill the CQM component of MU as well as the reporting requirement for those measures in the Hospital IQR Program.
In the EHR Incentive Program Stage 2 final rule (77 FR 54049 through 54051), for CQM data that is submitted electronically beginning in 2014, we established the submission period as the 2 months immediately following the end of the fiscal year (October 1 through November 30 for eligible hospitals and CAHs). In response to feedback we have received through various forums, we proposed in the FY 2014 IPPS/LTCH PPS proposed rule (78 FR 27745) to open the submission period for electronically submitted files on January 2. This will allow for better alignment with the Hospital IQR Program. The proposed expanded submission period would allow more flexibility for eligible hospitals and CAHs to start submitting earlier and more frequently, as patients who fit the denominator criteria of the CQMs that the hospitals will submit are discharged. As established in the EHR Incentive Program Stage 2 final rule, the submission period would end on November 30, and eligible hospitals that are demonstrating MU for the first time in the year immediately preceding any payment adjustment year must submit by July 1. This proposal would not change the reporting periods for CQMs established in the EHR Incentive Program Stage 2 final rule (77 FR 54051).
Comment: Several commenters supported the expansion of the submission period for hospitals beginning in 2014. Specifically, the commenters believed that allowing hospitals to start submitting files earlier and more frequently could help prevent a bottleneck of uploads during the two months following the federal FY.
Response: We appreciate the commenters' support.
After consideration of the public comments we received, and for the reasons set forth above, we are finalizing the policy as proposed. Beginning in FY 2014, the submission period for CQM data submitted electronically for the Medicare EHR Incentive Program will begin on January 2 and will end on November 30. As an example, the submission period for the reporting periods that occur in FY 2014 will begin on January 2, 2014 and end on November 30, 2014. As established in the Stage 2 final rule, eligible hospitals that are demonstrating MU for the first time in the year immediately preceding any payment adjustment year must submit no later than July 1.
In the Stage 2 final rule, we established the reporting periods for CQMs in FY 2014 for hospitals that have previously demonstrated meaningful use (77 FR 54050 through 54051). We stated that a hospital may choose to report CQM data for the full FY 2014, or alternatively, it may choose to report CQM data for the three-month FY quarter that is its EHR reporting period for the meaningful use objectives and measures. With this change to expand the submission period, we also consider it likely that some hospitals may prefer to report CQM data for a certain quarter and report the meaningful use objectives and measures for a different quarter. Furthermore, because there are different methods of submitting CQM data and meaningful use objectives and measures, it is also possible that a technical problem could arise for a submission of CQM data that would not affect a hospital's submission of meaningful use objectives and measures, or vice versa. To provide additional flexibility for hospitals in light of the expanded submission period, we will accept reporting periods of different quarters for CQMs and for meaningful use objectives and measures, as long as the quarters are within FY 2014.
We also proposed, beginning in FY 2014, to allow eligible hospitals and CAHs that are demonstrating meaningful use for the first time to report CQMs by attestation or through the electronic reporting methods that we establish for the EHR Incentive Program. We noted that in the EHR Incentive Program Stage 2 final rule (77 FR 54049 through 54051), we finalized a policy that first-time meaningful EHR users would be required to report CQMs through attestation. This proposal would change that policy to allow more flexibility for eligible hospitals and CAHs to choose between reporting by attestation or electronically in their first year of MU. For further explanation of reporting CQMs by attestation or electronically under the EHR Incentive Program, we referred readers to the discussion of reporting methods in the EHR Incentive Program Stage 2 final rule (77 FR 54087 through 54089). Regardless of the reporting method selected, however, the July 1 deadline for avoiding the Medicare payment adjustments will remain the same, as established in the EHR Incentive Program Stage 2 final rule (77 FR 54049 through 54051). We emphasized that to avoid a payment adjustment under Medicare, eligible hospitals demonstrating MU for the first time in the year immediately preceding any payment adjustment year must complete their submission of CQM data by July 1.
We noted that although reporting CQM data by attestation would still be an option for first-time meaningful users under the EHR Incentive Program, it would not fulfill any Hospital IQR Program requirements. We welcomed public comment on this proposal.
We did not receive any public comments on this proposed policy and are finalizing the policy as proposed for the reasons explained above. Beginning in FY 2014, eligible hospitals and CAHs that are demonstrating meaningful use for the first time may report CQMs by attestation or through the electronic reporting methods that we establish for the EHR Incentive Program. Regardless of the option selected, eligible hospitals that are demonstrating MU for the first time in the year immediately preceding any payment adjustment year must successfully meet all of the requirements to be a meaningful EHR user by July 1 to avoid the payment adjustment. We also clarify that if a hospital is demonstrating meaningful use for the first time in FY 2014 and chooses to report CQMs electronically, it must report for a three-month quarter in FY 2014 rather than any continuous 90-day period in FY 2014. Hospitals that would prefer to report CQMs for any continuous 90-day period may do so by attestation.
As explained in section IX.A.9.d. of the preamble to this final rule, our general intention is to align electronic reporting of quality data under the Medicare EHR Incentive Program and the Hospital IQR Program. While the Hospital IQR Program is allowing for voluntary electronic reporting of quality measures in 2014, to meet the requirement, a hospital that is voluntarily electronically reporting its quality measure data must do so for a three-month quarter within 2014 that also meets the reporting deadlines in the Medicare EHR Incentive program.
3. Quality Reporting Data Architecture Category III (QRDA-III) Option in 2014
In the EHR Incentive Program Stage 2 final rule (77 FR 54088), we finalized two options for eligible hospitals and CAHs to electronically submit CQMs beginning in FY 2014 under the Medicare EHR Incentive Program. Option 1 was to electronically submit aggregate-level CQM data using QRDA-III. Option 2 was to electronically submit using a method similar to the Hospital IQR Program electronic reporting pilot, which used QRDA-I (patient-level data). We also stated in that final rule that, consistent with section 1886(n)(3)(B)(ii) of the Act, in the event the Secretary does not have the capacity to receive CQM data electronically, eligible hospitals and CAHs that are beyond their first year of meaningful use may continue to report aggregate CQM results through attestation.
We noted in the FY 2014 IPPS/LTCH PPS proposed rule (78 FR 27745) that we have determined that the electronic submission of aggregate-level data using QRDA-III will not be feasible in 2014 for eligible hospitals and CAHs under the Medicare EHR Incentive Program. Thus, for the 2014 reporting period under the Medicare EHR Incentive Program, eligible hospitals and CAHs would have the option to continue to report aggregate CQM results through attestation. We stated that we will reassess this policy for the 2015 and future reporting periods. We noted that submissions of aggregate CQM data via attestation would not satisfy the reporting requirements for the Hospital IQR Program. We also noted that this policy does not apply to the Medicaid EHR Incentive Program. Therefore, the States may still require the submission of QRDA-III files to fulfill the CQM reporting requirements for hospitals that participate in the Medicaid EHR Incentive Program.
As described in section IX.A.9.d. of the preamble of this final rule, the Hospital IQR Program intends to continue its policy to accept patient-level data as it transitions to electronic reporting. In order to remain aligned with the Hospital IQR Program, and because over 82 percent of hospitals that participate in the Hospital IQR Program are already meaningful users, we strongly recommend that hospitals that are eligible to participate in both programs electronically submit up to 16 electronic clinical quality measures identified by the Hospital IQR Program in section IX.A.7. of the preamble of this final rule. We believe that keeping the two programs aligned will ultimately reduce reporting burden for hospitals. We believe that the extension of the submission period as finalized above will also help the electronic submission process for hospitals. We welcomed public comment on this proposal.
Comment: A few commenters stated that CMS should accept QRDA-III files from hospitals, including one commenter who noted that many EHR vendors are only prepared to support QRDA-III submission. Some of those commenters referenced examples of CMS eligible professional (EP) quality reporting programs that plan on accepting QRDA-III files beginning in the 2014 program year. Several commenters requested that CMS clarify why it does not have the capacity to accept QRDA-III files from hospitals.
Response: All CEHRT that is certified to the 2014 Edition certification criteria adopted by ONC should have the capability to electronically submit either QRDA-I or QRDA-III formats. EHR products that are certified to the certification criterion under 45 C.F.R. § 170.314(c)(3) for electronic submission must be tested for and pass both QRDA-I and QRDA-III formats in order to be certified for this criterion. Therefore, any eligible hospital or CAH that has implemented CEHRT should have the capability to submit both QRDA-I and QRDA-III files.
The CQMs and their respective electronic specifications are different for hospitals and EPs. Therefore, we cannot use the same infrastructure to accept and process quality data submitted by hospitals and EPs. Since the Hospital IQR Program has historically accepted and will continue to accept patient-level data, we will use the electronic reporting pilots from 2012 and 2013, which included electronic reporting via QRDA-I, as the basis for aligned reporting in 2014 for the Medicare EHR Incentive Program and the Hospital IQR Program. As we stated in the proposed rule, we will allow eligible hospitals and CAHs to submit aggregate CQM data for the EHR Incentive Program via attestation. However, CQM results submitted by attestation would not count towards submission for the Hospital IQR Program.
Comment: One commenter requested clarification on whether hospitals would be required to submit both aggregate CQM results via attestation and patient-level data electronically via QRDA-I or if the hospital would be able to select one of these methods.
Response: If the hospital would like to electronically report all 16 CQMs identified by the Hospital IQR Program and would like for its submission to also count for its CQM component of MU, the hospital could electronically submit those 16 CQMs via QRDA-I for both programs. For Hospital IQR Program purposes, if the hospital would like to report on a different set of 16 CQMs from the list of 29 CQMs finalized for eligible hospitals and CAHs in Table 10 of the EHR Incentive Program Stage 2 final rule (77 FR 54083 through 54087) than those identified by the Hospital IQR Program for voluntary electronic reporting, the hospital could electronically report 16 CQMs via QRDA-I for the Medicare EHR Incentive Program, but would need to submit the remainder of those measures via chart-abstraction to fulfill the Hospital IQR Program requirements. If the hospital would like to submit aggregate CQM data for the Medicare EHR Incentive Program by attestation, then the CQMs that will be reported to the Hospital IQR Program would need to be submitted separately.
After consideration of the public comments we received, and for the reasons set forth above, we are finalizing the policy as proposed. For the Medicare EHR Incentive Program, eligible hospitals and CAHs may report their CQMs electronically using QRDA-I (patient-level data) or via attestation (aggregate-level data). We note again that reporting via attestation would not count towards the reporting requirements for the Hospital IQR Program.
4. Case Number Threshold Exemption—Requirements Regarding Data Submission
In the EHR Incentive Program Stage 2 final rule (77 FR 54080), we established a case number threshold exemption policy for eligible hospitals and CAHs that experience a low volume of cases addressed by certain CQMs, and stated that hospitals seeking an exemption under the policy must submit aggregate population and sample size data in the same manner as required in the Hospital IQR Program. Our intent was to reduce the burden on hospitals that participate in both programs so they would only need to submit this information once. However, we have determined that this information could be captured in QualityNet for both the EHR Incentive Program and the Hospital IQR Program during the process of electronically submitting CQMs. In the FY 2014 IPPS/LTCH PPS proposed rule (78 FR 27746), we proposed to require that the aggregate population data be entered into QualityNet (for EHR-based reporting) during the process of electronically submitting CQMs. We noted that sample size data are not required for electronically submitted CQMs.
We noted that, in general, the submission deadline for the aggregate population data is the same as the submission deadline for CQMs (November 30). For eligible hospitals in their first year of demonstrating MU, the aggregate population data would need to be submitted no later than July 1 for hospitals that seek to invoke the case number threshold exemption, as this data would be needed to determine whether the eligible hospital met the CQM reporting requirements for MU.
We did not receive any public comments on this proposed policy, and for the reasons set forth above, we are finalizing the policy as proposed. Beginning in FY 2014 for the Medicare EHR Incentive Program, the aggregate population data will be entered into QualityNet (for EHR-based reporting) during the process of electronically submitting CQMs.
X. Change to the Medicare Hospital Conditions of Participation (CoPs) Relating to the Administration of Pneumococcal Vaccines Back to Top
Among the regulations at 42 CFR Part 482 governing the Conditions of Participation (CoPs) for hospitals to participate in the Medicare program, we have established a condition for Nursing Services under § 482.23. Included in the standards for the nursing services condition is a standard for the preparation and administration of drugs. Section 482.23(c)(3) contains the following provision: “With the exception of influenza and pneumococcal polysaccharide[emphasis added] vaccines, which may be administered per physician-approved hospital policy after an assessment of contraindications, orders for drugs and biologicals must be documented and signed by a practitioner who is authorized to write orders in accordance with State law and hospital policy, and who is responsible for the care of the patient as specified under § 482.12(c).” At the time that this CoP standard was originally promulgated (October 2, 2002), and for several years thereafter, the pneumococcal polysaccharide vaccine (PPSV or Pneumovax 23®, Merck) was the only pneumococcal vaccine approved for adult use. In developing the original standard, it was not the Agency's intention to specify a particular type or brand of pneumococcal vaccine. Instead, the Agency wanted to allow hospitals the flexibility to have a policy where nurses could administer influenza and pneumococcal vaccines without a prior practitioner order and only after assessing patients for any contraindications to the vaccines being administered.
However, we recently became aware of another pneumococcal vaccine (pneumococcal conjugate vaccine (PCV) or Prevnar 13®, Pfizer), which received FDA approval for adult use in December 2011. We believe that the availability of another FDA-approved pneumococcal vaccine may have the potential for causing confusion in the hospital community at large by our use of the term “polysaccharide” as a distinguisher for the pneumococcal vaccine in the hospital CoP standard. Indeed, it has come to our attention that some hospitals may be using only the polysaccharide type of pneumococcal vaccine because they believe they are not permitted under the CoPs to stock and use any other type of pneumococcal vaccine. However, the Advisory Committee on Immunization Practices (ACIP) recommends that certain groups receive PPSV23, and others are recommended to receive both PPSV23 and PCV13. As we discussed in the FY 2014 IPPS/LTCH PPS proposed rule (78 FR 27746), we believe the proposed change would allow for the inclusion of all pneumococcal vaccines approved for use now and in the future. With two types of pneumococcal vaccines currently approved for use with adults and recommended by the ACIP for certain populations based on age, medical condition, smoking, and other considerations, we also believe that patient access to the pneumococcal vaccine would potentially improve because hospitals would now possess the freedom and flexibility to stock and use both vaccines as recommended by the ACIP.
Therefore, in the FY 2014 IPPS/LTCH PPS proposed rule, we proposed to amend the regulatory language at § 482.23(c)(3) to delete the term “polysaccharide”. We stated that this proposed deletion would allow a hospital to include any type of pneumococcal vaccine as part of its physician-approved policy for administration by nurses without a prior practitioner order, provided the vaccine has been approved by the FDA and recommended for use by the ACIP. In addition, we stated that this proposed change would give hospitals the added flexibility to include the administration of any pneumococcal vaccines that are approved in the future by the FDA for administration under this CoP standard.
Comment: Commenters supported CMS' rationale for the proposed changes. The commenters agreed that the proposed changes would provide hospitals with the flexibility to include the administration of any pneumococcal vaccines that are currently approved and those that may be approved in the future by the FDA for administration. One commenter recommended that the proposed changes be made effective immediately upon publication of the final rule.
Response: We appreciate the commenters' support. We share the common goal of improving patient access to pneumococcal vaccines and eliminating confusion in the hospital community about the type of pneumococcal vaccines that hospitals may stock and use. With regard to the recommendation for the effective date, we do not believe that an effective date of October 1, 2013, which is the general effective date for this IPPS final rule, will delay beneficiaries from receiving necessary vaccines. Further, we believe that the delay will allow hospitals time to evaluate their policies, if necessary, and obtain a supply of pneumococcal conjugate vaccine. We also note that either type of pneumococcal vaccine can be administered with a physician's order.
Therefore, for the reasons set forth above, we are finalizing, without change, our proposal to remove the term “polysaccharide” from the regulatory language at § 482.23(c)(3).
XI. Payment Policies Related to Patient Status Back to Top
A. Background
In the CY 2013 Outpatient Prospective Payment System (OPPS)/Ambulatory Surgical Center (ASC) proposed rule (77 FR 45155 through 45157) and final rule with comment period (77 FR 68426 through 68433), we expressed concern about recent increases in the length of time that Medicare beneficiaries spend as hospital outpatients receiving observation services. We also solicited and summarized public comments on potential policy changes we could make to improve clarity and consensus among providers, Medicare, and other stakeholders regarding the relationship between admissions decisions and appropriate Medicare payment, such as when a Medicare beneficiary is appropriately admitted to a hospital as an inpatient. (In this section, the term “hospital” includes critical access hospitals (CAHs) unless otherwise specified. Although the term “hospital” does not generally include CAHs, section 1861(e) of the Act provides that the term “hospital”' includes CAHs if the context otherwise requires. We believe it is appropriate to apply the final policies in this section of this final rule to CAHs as well as all other hospitals. In addition, in this section, the term “inpatient” means an inpatient of a hospital unless otherwise specified.)
Observation care is a well-defined set of specific, clinically appropriate services, which include ongoing short-term treatment, assessment, and reassessment before a decision can be made regarding whether patients will require further treatment as hospital inpatients or if they are able to be discharged from the hospital (Section 20.6, Chapter 6 of the Medicare Benefit Policy Manual (MBPM) (Pub. 100-02)). In recent years, the number of cases of Medicare beneficiaries receiving observation services for more than 48 hours, while still small, has increased from approximately 3 percent in 2006 to approximately 8 percent in 2011. This trend concerns us because of the potential financial impact on Medicare beneficiaries, and we have published educational materials for beneficiaries to inform them of their respective liabilities as a hospital outpatient or inpatient. [194] Beneficiaries who are treated for extended periods of time as hospital outpatients receiving observation services may incur greater financial liability than they would if they were admitted as hospital inpatients. They may incur financial liability for Medicare Part B copayments, the cost of self-administered drugs that are not covered under Part B, and the cost of post-hospital SNF care because section 1861(i) of the Act requires a prior 3-day hospital inpatient stay for coverage of post-hospital SNF care under Medicare Part A. In contrast, as a hospital inpatient under Medicare Part A, a beneficiary pays a one-time deductible for all inpatient services provided during the first 60 days in the hospital of the benefit period for the year. Therefore, an inpatient deductible does not necessarily apply to all hospitalizations in the year. Medicare Part A coinsurance applies after the 60th day in the hospital.
In the CY 2013 OPPS/ASC proposed rule and final rule with comment period (77 FR 45155 and 77 FR 68426, respectively) and in a proposed rule entitled, “Medicare Program; Part B Inpatient Billing in Hospitals” that went on display at the Office of the Federal Register on March 13, 2013 and was issued in the Federal Register on March 18, 2013 (78 FR 16632) (referred to in this final rule as the “Part B Inpatient Billing proposed rule”), we discussed how the trend towards the provision of extended observation services may be attributable in part to hospitals' concerns about their ability to receive payment from Medicare under Part B when a Part A hospital inpatient claim is denied because a Medicare review contractor determines that the inpatient admission was not reasonable and necessary under section 1862(a)(1)(A) of the Act. Under longstanding Medicare policy, in these situations, hospitals could only receive payment for a limited set of largely ancillary inpatient services under Part B. We stated that we have heard from various stakeholders that hospitals appear to be responding to the financial risk of admitting Medicare beneficiaries for inpatient stays that may later be denied upon contractor review by electing to treat beneficiaries as outpatients receiving observation services, often for long periods of time, rather than admitting them as inpatients. In response to the CY 2013 OPPS/ASC proposed rule and final rule with comment period, the hospital community expressed a belief that Medicare's standards for hospital inpatient admission are not clear, and that, as a result, Medicare's medical review criteria for Part A hospital inpatient claims are inappropriately applied.
To address these issues, we recently proposed several clarifications and changes in Medicare's policies regarding payment of hospital inpatient services under Part B, Medicare's definition of a hospital “inpatient,” inpatient admission guidelines, and Medicare's medical review criteria for inpatient stays. First, in the Part B Inpatient Billing proposed rule (78 FR 16632), we proposed to revise our Part B inpatient payment policy to allow payment under Part B for all hospital services that were furnished and would have been reasonable and necessary if the beneficiary had been treated as a hospital outpatient, rather than admitted to the hospital as an inpatient. We proposed that this policy would apply when a Medicare Part A hospital inpatient claim is denied or when a hospital determines, through utilization review after a beneficiary has been discharged, that the inpatient admission was not reasonable and necessary and that the beneficiary should have received hospital outpatient services rather than hospital inpatient services. We proposed to continue applying the timely filing restriction to the billing of all Part B inpatient services, under which claims for Part B services must be filed within 1 year from the date of service. In addition, we addressed several issues related to administrative appeals and beneficiary liability.
In addition to evaluating our policy related to Medicare Part B inpatient payment following denials of Part A hospital inpatient claims on the basis that the inpatient admission was not reasonable and necessary or following a hospital self-audit, we also considered whether we could provide more clarity regarding the relationship between hospital inpatient admission decisions and Medicare payment. In the CY 2013 OPPS/ASC final rule with comment period (77 FR 68426 through 68433), we discussed revising hospital inpatient status criteria as one of several policy clarifications or changes suggested by stakeholders to improve our policies governing when a Medicare beneficiary should be admitted as an inpatient, and how hospitals should be paid by Medicare for the associated costs they incur. Specifically, stakeholders suggested that we redefine “inpatient” using parameters other than the current requirements of medical necessity and a physician order, such as using the beneficiary's length of stay at the hospital.
Currently, a beneficiary's length of stay may be a factor in determining whether he or she should be admitted as an inpatient to the hospital, but it is not the only factor for this determination. Our current manual instructions state that, typically, the decision to admit a beneficiary as an inpatient should be made within 24 to 48 hours of observation care, and that expectation of an overnight stay may be a factor in the admission decision (Section 20.6, Chapter 6 and Section 10, Chapter 1 of the MBPM). We state that physicians should use a 24-hour or overnight period as a benchmark, that is, they should order admission for patients who are expected to need hospital care for 24 hours or overnight, or more, and treat other patients on an outpatient basis. We state that, generally, a beneficiary is considered an inpatient if formally admitted as an inpatient with the expectation that he or she will remain at least overnight, whether or not the beneficiary is later discharged or transferred and is not present overnight. We instruct that in only rare and exceptional cases do reasonable and necessary outpatient observation services in the hospital span more than 48 hours.
Nevertheless, our longstanding policy consistently has been that we do not define or pay under Medicare Part A for inpatient admissions solely on the basis of the length of time the beneficiary actually spends in the hospital. Rather, we rely on the physician to use his or her clinical judgment and evaluation of the patient's needs to make the determination. We have stated in our manual guidance that the inpatient admission decision is a complex medical judgment that should take into consideration many factors, such as the patient's medical history and medical needs, the types of facilities available to inpatients and outpatients, the hospital's bylaws and admission policies, the relative appropriateness of treatment in the inpatient and outpatient settings, patient risk of an adverse event, and other factors described in the MBPM provisions. The physician or other practitioner responsible for a patient's care at the hospital also is responsible for deciding whether the patient should be admitted as an inpatient.
We believe that our existing inpatient admission criteria are valid and appropriately reflect that the decision to admit a patient as a hospital inpatient is a complex medical judgment that can be made only after the physician has considered a number of factors. However, upon evaluating the suggestions of stakeholders who requested that we provide more clarity in the definition of “inpatient” using parameters other than those that we currently use, we recognized that it would be helpful to address what the requirements are for Medicare Part A payment and when a beneficiary should be admitted as a hospital inpatient. Toward that end, in the FY 2014 IPPS/LTCH PPS proposed rule (78 FR 27644 through 27650), we clarified that a beneficiary becomes a hospital inpatient if formally admitted pursuant to the order of a physician (or other qualified practitioner as provided in the proposed regulations) in accordance with the hospital conditions of participation (CoPs), and that, as a condition of Medicare payment under Part A for such an admission, the order must be documented in the medical record. However, the order must be supported by objective medical information for purposes of the Part A payment determinations. During Medicare contractor review of an inpatient admission, documentation in the medical record is evaluated in conjunction with the physician order and the physician certification that is also required for payment of hospital inpatient services under section 1814(a) of the Act and 42 CFR 424.13.
In the FY 2014 IPPS/LTCH PPS proposed rule, we also proposed a new benchmark for purposes of medical review of hospital inpatient admissions, based on how long the beneficiary is expected to remain in the hospital. Under our proposal, beneficiaries who are expected to remain in the hospital to receive medically necessary care surpassing 2-midnights after the initiation of care are generally appropriate for inpatient admission and inpatient hospital payment. As such, Medicare's review contractors would consider all time after the initiation of care at the hospital in applying the benchmark that hospital inpatient admissions are generally reasonable and necessary for beneficiaries who are expected to require more than 1 Medicare utilization day (defined by encounters crossing 2 “midnights”) in the hospital receiving medically necessary services. Reviewers would also adopt a presumption that a medically necessary stay surpassing 2 midnights after being admitted as an inpatient was appropriately provided as an inpatient service. If a hospital is found to be abusing this 2-midnight presumption for nonmedically necessary inpatient hospital admissions and payment (in other words, the hospital is systematically prolonging the provision of care to surpass the 2-midnight timeframe), CMS review contractors would disregard the 2-midnight presumption when conducting review of that hospital. Similarly, we proposed that review contractors would generally determine that hospital services spanning less than 2 midnights should have been provided on an outpatient basis, unless there is clear documentation in the medical record supporting the physician's order and expectation that the beneficiary would require care spanning more than 2 midnights or the beneficiary is receiving a service or procedure designated by CMS as inpatient-only under 42 CFR 419.22(n).
We received approximately 392 timely pieces of correspondence containing public comments on the Part B Inpatient Billing proposed rule, and approximately 192 timely pieces of correspondence containing public comments on the proposals in the FY 2014 IPPS/LTCH PPS proposed rule on hospital inpatient admission guidelines and medical review. We received public comments from hospital and physician associations, individual hospitals and physicians, other health care professionals, case management associations, rehabilitative and long-term care facilities, beneficiaries, consumer and beneficiary advocacy organizations, attorneys, Recovery Audit Contractors (RACs) and other interested parties. The policies addressed in these two proposed rules are interrelated and were designed to work together to reduce the frequency of extended observation care when it may be inappropriately furnished and provide payment to hospitals for the reasonable and necessary services they provide to inpatients. Accordingly, in this final rule we discuss the public comments we received in response to each of the proposed rules, and we provide our final policies for each rule after consideration of the public comments received. First, we address Part B hospital inpatient billing, followed by a discussion of Medicare's hospital inpatient admission guidelines and medical review criteria.
B. Payment of Part B Hospital Inpatient Services
1. Payable Part B Inpatient Services
In our proposed rule on Part B inpatient billing in hospitals (CMS-1455-P, 78 FR 16635), we discussed that in an increasing number of cases, hospitals that have appealed Part A inpatient claims that were denied because the inpatient admission was not reasonable and necessary have received partially favorable decisions from the Medicare Appeals Council or Administrative Law Judges (ALJs). While upholding the Medicare review contractor's determination that the inpatient admission was not reasonable and necessary, the Medicare Appeals Council and ALJ decisions have ordered payment of the services as if they were rendered at an outpatient or “observation level” of care. These decisions effectively require Medicare to issue payment for all Part B services that would have been payable had the beneficiary originally been treated as an outpatient (rather than an inpatient), instead of payment for only the limited set of Part B inpatient services that are designated in the MBPM, Chapter 6, Section 10. Moreover, these decisions have required such payment regardless of whether the subsequent hospital claim for payment under Part B is submitted within the otherwise applicable time limit for filing Part B claims. These Medicare Appeals Council and ALJ decisions providing for payment of all reasonable and necessary Part B services under the circumstances described previously are contrary to our longstanding policies that permit billing for only a limited list of Part B inpatient services and require that the services be billed within the usual timely filing restrictions (we refer readers to Section 10, Chapter 6 of the MBPM; 63 FR 47560; 65 FR 18444; 66 FR 44698 through 44699; 66 FR 59891 through 59893, and 59915; and 75 FR 73449, 73627). While decisions issued by the Medicare Appeals Council and ALJs do not establish Medicare payment policy, we are bound to effectuate each individual decision. The increasing number of these types of decisions has created numerous operational difficulties.
After reviewing the public comments we received in response to the CY 2013 OPPS/ASC proposed rule, considering the most efficient way to effectuate the Medicare Appeals Council and ALJ decisions referenced earlier in this section, and further assessing our Part B inpatient payment policy, we concurrently issued the proposed rule CMS-1455-P and CMS Ruling 1455-R (78 FR 16614, hereinafter referred to as the Ruling). The Ruling established a standard process for effectuating these Medicare Appeals Council and ALJ decisions and handling claims and appeals while CMS considers how to best address this issue going forward. The Ruling also addressed the scope of administrative review in these and other, similar cases. Until the proposed rule could be finalized, CMS, through the Ruling, acquiesced in the approach taken in the aforementioned Medicare Appeals Council and ALJ decisions on the issue of subsequent Part B billing following the denial of a Part A hospital inpatient claim on the basis that the inpatient admission was not reasonable and necessary. The Ruling was intended as an interim measure until we finalize the policies in this final rule to address the issues raised by these decisions going forward.
Specifically, the Ruling provides that when a Part A claim for a hospital inpatient admission is denied by a Medicare review contractor because the inpatient admission was determined not reasonable and necessary, the hospital may submit a subsequent Part B inpatient claim for more services than just those listed in Section 10, Chapter 6 of the MBPM, to the extent the services furnished were reasonable and necessary. The hospital may submit a Part B inpatient claim for payment for the Part B services that would have been payable to the hospital had the beneficiary originally been treated as an outpatient rather than admitted as an inpatient, except when those services specifically require an outpatient status. The Ruling only applies to denials of claims for inpatient admissions that were not reasonable and necessary; it does not apply to any other circumstances in which there is no payment under Part A, such as when a beneficiary exhausts Part A benefits for hospital services or is not entitled to Part A. Under the Ruling, Part B inpatient and Part B outpatient claims that are filed later than 1-calendar year after the date of service will not be rejected as untimely by Medicare's claims processing system as long as the corresponding denied Part A inpatient claim was filed timely in accordance with 42 CFR 424.44, consistent with the directives of the Medicare Appeals Council and ALJ decisions to which we are acquiescing. The Ruling also provided that the Part A to Part B (A/B) Rebilling Demonstration would be discontinued, and we communicated to hospitals and contractors the details regarding termination of the A/B Rebilling Demonstration and implementation of Part B billing under the Ruling.
The Ruling was effective on its date of issuance and applies to Part A hospital inpatient claims that were denied by a Medicare review contractor because the inpatient admission was determined not reasonable and necessary, as long as the denial was made: (1) While the Ruling is in effect; (2) prior to the effective date of the Ruling, but for which the timeframe to file an appeal has not expired; or (3) prior to the effective date of the Ruling, but for which an appeal is pending. The Ruling does not apply to Part A hospital inpatient claim denials for which the timeframe to appeal expired, and it does not apply to inpatient admissions determined by the hospital to be not reasonable and necessary (for example, through utilization review or other self-audit). The policy announced in the Ruling superseded any other statements of policy on the issue of Part B inpatient billing following the denial by a Medicare review contractor of a Part A inpatient hospital claim because the inpatient admission was not reasonable and necessary (although hospital outpatient services would have been reasonable and necessary). We stated that the Ruling remains in effect until the effective date of the regulations that finalize proposed rule CMS-1455-P. The proposed rule CMS-1455-P proposed revisions to our Part B payment policy that would apply prospectively from the effective date of the final regulations and would differ in some respects from the provisions of the Ruling, the purpose of which is to effectuate the Medicare Appeals Council and ALJ decisions. In section XI.B.7. of the preamble of this final rule, we discuss how the Ruling will apply in relation to the effective date of this final rule.
In the Part B Inpatient Billing proposed rule (78 FR 16636), we stated that, after reviewing the statutory and regulatory basis of our existing Part B inpatient payment policy, we believed that, under section 1832 of the Act, Medicare should pay for all Part B services that would have been reasonable and necessary (except for services that specifically require an outpatient status) if the hospital had treated the beneficiary as a hospital outpatient rather than treating the beneficiary as an inpatient, when Part A payment cannot be made for a hospital inpatient claim because the inpatient admission is determined not reasonable and necessary under section 1862(a)(1)(A) of the Act. Therefore, we proposed to revise our existing policy to allow payment for additional Part B inpatient services than Medicare currently allows when CMS, a Medicare review contractor, or a hospital determines after discharge that payment cannot be made under Medicare Part A because a hospital inpatient admission was not reasonable and necessary, provided the statutorily required timeframe for submitting claims is not expired, as discussed in section XI.B.8. of the preamble of this final rule. We stated that the hospital would recode the reasonable and necessary services that were furnished as Medicare Part B services, and bill them on a Part B inpatient claim (78 FR 16636). We stated specifically in the proposed rule that the proposed policy would not apply to any other circumstances in which there is no payment under Part A, such as when a beneficiary exhausts Part A benefits for hospital services or is not entitled to Part A (78 FR 16636).
Specifically, we proposed to revise our Part B inpatient payment policy to allow payment of all hospital services that were furnished and would have been reasonable and necessary if the beneficiary had been treated as a hospital outpatient, rather than admitted to the hospital as an inpatient, except for those services specifically requiring an outpatient status. We proposed to exclude from Part B inpatient payment all services that by statute, Medicare definition, or standard Healthcare Common Procedure Coding System (HCPCS) code definition are defined as outpatient services, including outpatient diabetes self-management training services (DSMT) defined in section 1861(qq) of the Act; outpatient physical therapy services; outpatient speech-language pathology services; and outpatient occupational therapy services (PT/SLP/OT or “therapy” services) defined in section 1833(a)(8) of the Act; hospital outpatient visits (including emergency department visits); and observation services (HCPCS codes G0378 (Hospital observation service, per hour) and G0379 (Direct referral for hospital observation care)) (78 FR 16636). We reasoned that these services are, by definition, provided to hospital outpatients and not inpatients. Hospitals could only submit claims for Part B inpatient services that were furnished to inpatients in accordance with their Medicare and HCPCS code definitions, and in accordance with Medicare coverage and payment rules (78 FR 16636).
We stated in the proposed rule (78 FR 16637) that the proposals in the proposed rule would not change the existing 3-day payment window policy, which provides that if there is no Part A coverage for the inpatient stay, services provided to the beneficiary prior to the point of admission in the 3 calendar day (or 1 calendar day for a non-IPPS hospital) payment window prior to the hospital inpatient admission may be separately billed to Part B as the outpatient services that they were (42 CFR 412.2(c)(5), 412.405, 412.540, 412.604(f), and 413.40(c)(2); MCPM, Chapter 3 Section 40.3, and Chapter 4 Section 10.12). We stated that hospitals could only submit claims for Part B outpatient services that are reasonable and necessary and submitted in accordance with Medicare coverage and payment rules. In accordance with section 1833(e) of the Act, hospitals must furnish information as may be necessary in order to determine the amounts due for the services billed on a Part B outpatient claim for services provided in the 3-day (1-day for non-IPPS hospitals) payment window prior to the inpatient admission (78 FR 16637 through 16638). We discuss our proposed policy for payment of Part B outpatient services furnished in this payment window prior to the inpatient admission in section XI.B.2. of the preamble of this final rule.
Comment: One commenter recommended that, under section 1861(s)(2)(B) of the Act, CMS expand the scope of Part B inpatient payment for circumstances other than reasonable and necessary inpatient claim denials that are currently listed in Chapter 6, Section 10, of the MBPM, for which payment of only ancillary Part B services is available. The commenter noted that these include circumstances in which: (1) Some days of an otherwise covered inpatient stay are denied because those days were not medically necessary; (2) no Part A prospective payment is made at all for the hospital stay because of patient exhaustion of benefit days before admission; and (3) the patient was not otherwise eligible for or entitled to coverage under Part A. The commenter argued that Medicare should pay for the Part B inpatient services under the benefit category described by section 1861(s)(2)(B) of the Act (hospital services incident to physicians' services provided to outpatients) for all hospital inpatients, regardless of the reason for which Part A payment is not made for all or part of their inpatient stay.
The commenter believed that to not cover the expanded scope of payable services for beneficiaries with denied days within approved admissions, exhausted hospital benefits, and entitlement only to Part B is arbitrary and punitive to beneficiaries and the secondary payers, including Medicaid, that are liable for payment for these services. The commenter also believed it will cause stakeholders confusion that CMS did not propose any regulation text providing payment of only a limited set of Part B inpatient services in these other circumstances listed in the MBPM.
Response: We appreciate the commenter's feedback. We note that we stated in the proposed rule that our proposed policy would only apply to denials of claims for inpatient admissions that are not reasonable and necessary, and would not apply to any other circumstances in which there is no payment under Part A, such as when a beneficiary exhausts Part A benefits for hospital services or is not entitled to Part A at all. The proposed rule was intended to address the policy for billing reasonable and necessary Part B services when Part A coverage is not available because the inpatient admission was not reasonable and necessary, which is different from scenarios in which a beneficiary has exhausted or is not entitled to Part A benefits.
Comment: Many commenters objected to the proposed exclusion of outpatient therapy services from payment as Part B inpatient services when a Part A hospital inpatient claim is denied because the inpatient admission was not reasonable and necessary. Some commenters believed that these inpatient therapy services should be paid under section 1833(a)(8)(B) of the Act. Other commenters noted that CMS proposed to exclude inpatient therapy services from payment because they are defined as strictly outpatient services. These commenters described a number of clinical circumstances in which therapy services are commonly and appropriately furnished to hospital inpatients, and argued that Medicare should therefore pay for them when furnished to a hospital inpatient as well as to an outpatient. Several commenters noted that therapy services are currently listed as payable Part B inpatient services for reasonable and necessary hospital inpatient claim denials as well as exhausted Part A benefits days and other circumstances in Chapter 6, Section 10 of the MBPM. These commenters requested a clearer explanation regarding why we proposed to exclude therapy services from Part B inpatient payment.
In addition, several commenters recommended that if Medicare finalizes payment of Part B inpatient therapy services for the reasonable and necessary hospital inpatient claim denials, they should be excluded from the annual, per beneficiary limitations on incurred therapy expenses under Part B, commonly referred to as “therapy caps,” applied by section 1833(g) of the Act.
Response: We appreciate the commenters' concerns and the information they provided about the circumstances in which therapy services are provided to hospital inpatients. We understand that physical therapy services, speech-language pathology services, and occupational therapy services are payable under Part B in certain circumstances when they are provided to hospital inpatients. Section 1861(p) of the Act contemplates that these services could be provided to hospital inpatients when it defines the term “outpatient physical therapy services” as including services that are furnished to an outpatient or those “furnished to an individual as an inpatient of a hospital or extended care facility.” Sections 1861(g) and 1861(ll) of the Act adopt this definition for outpatient occupational therapy services and outpatient speech-language pathology services, respectively. In addition, as commenters noted, therapy services have long been on the list of payable Part B inpatient services that may be billed following the reasonable and necessary denial of a hospital inpatient admission for payment under Part A. Accordingly, we agree with commenters and believe Medicare should continue paying for these Part B inpatient therapy services furnished to hospital inpatients whose admissions are determined not reasonable and necessary for payment under Medicare Part A when these services are billed on Part B inpatient claims. We note that therapy services can also be paid as Part B outpatient services if they were provided in the 3-day (1-day for non-IPPS hospitals) payment window prior to the inpatient admission (we refer readers to section XI.B.2. of the preamble of this final rule) and are billed on a Part B outpatient claim.
In addition, while we agree with commenters that we should pay for these therapy services, we do not believe they should be excluded from the annual limitations on per beneficiary incurred expenses, commonly referred to as the “therapy caps,” as the commenters suggested. Rather, we believe we also must apply the therapy caps and all other Part B coverage and payment rules to hospital inpatient therapy services paid under Part B. Accordingly, if billed to Medicare Part B, therapy services furnished to hospital inpatients whose admissions are determined not reasonable and necessary for payment under Medicare Part A will be subject to the Part B therapy caps under section 1833(g) of the Act, the therapy caps exceptions process, the manual medical review process, and all other requirements for payment and coverage of therapy services under Part B (for example, functional status reporting requirements). The therapy caps under section 1833(g) of the Act apply to all therapy services described under section 1861(p) of the Act, which includes inpatient therapy services furnished to a hospital inpatient whose inpatient admission is determined not reasonable and necessary. As such, it is appropriate to apply the therapy caps to these services. This approach is also consistent with the requirement that Part B inpatient services must be furnished in accordance with Medicare's coverage and payment rules under Part B in order for Part B payment to be made. Applying the therapy caps is consistent with our current payment policy for Part B inpatient therapy services that are paid under Chapter 6, Section 10 of the MPBM, for example when a beneficiary exhausts his or her benefits under Part A, which are subject to the Part B therapy caps and related policies, including all other requirements for payment and coverage of therapy services under Part B (for example, Functional Reporting requirements).
In the CY 2014 MPFS proposed rule (78 FR 43332 through 43334), we proposed to subject therapy services that are furnished by a CAH to the therapy caps and related policies, the exceptions process, and the manual medical review process beginning on January 1, 2014. If we finalize this proposal to apply the therapy caps to therapy services furnished by CAHs, we will subject therapy services furnished to a CAH inpatient during a stay that is denied for Part A payment as not reasonable and necessary and that are subsequently billed as Part B inpatient services to the therapy caps, as we do for all other hospitals. The CY 2014 MPFS final rule is expected to be released on or around November 1, 2013.
Comment: Several commenters recommended that IRFs and LTCHs be eligible to bill Part B inpatient services following a reasonable and necessary Part A inpatient claim denial. They also believed that inpatient therapy services should be payable under Part B to IRFs and LTCHs when their Part A claims are denied because inpatient admission was not reasonable and necessary. The commenters reasoned that these facilities should be paid for Part B inpatient therapy because they furnish a large volume of therapy services (according to commenters, therapy and room and board represent almost the entire volume of IRF services).
Response: We did not propose to exclude IRFs, LTCHs or other hospitals from payment of the proposed Part B inpatient services. As we discussed above, in our final policy we are providing for payment of inpatient therapy services furnished in IRFs, LTCHs and other hospitals under Part B when Part A payment cannot be made because the inpatient admission is determined not reasonable and necessary, and the beneficiary should have been treated as a hospital outpatient rather than an inpatient.
Comment: Many commenters objected to the proposed exclusion from Part B inpatient payment of observation services, hospital outpatient visits, and other services that are defined strictly as outpatient services or require an outpatient status. These commenters presented various arguments expressing the belief that observation services should be paid because they are fundamentally the same as or can serve as a substitute for inpatient care. Several commenters stated that some contractors have made it clear that observation status can serve as a substitute for inpatient admission in many cases, despite CMS' policy that inpatient admission and observation are not substitutes and that, for some patients, inpatient admission may be necessary even for care of short duration. Several other commenters stated that the administrative appeal decisions that have ordered payment at an outpatient or “observation level” of care support payment of observation services in all cases. They believed that the appeal decisions ordered payment for all services, including observation services, under Part B as a substitute for inpatient care, because the care was provided and met the requirements of observation billing. These commenters stated that the law requires payment of all reasonable and necessary services on an outpatient basis, including observation services, and that CMS' proposed exclusion of observation is unsupported by law and contrary to agency precedent.
Some commenters stated that the inpatient admission order should be considered to suffice for observation as well as for inpatient services. They noted that, in most cases, an order for inpatient services does exist, inpatient and observation patients occupy the same routine beds, the same types of tests are administered, and the same level of nursing care is provided. Several commenters were concerned that excluding services such as observation services will not provide adequate payment for the nursing care provided.
Some commenters recommended that CMS create new codes for billing the services that require an outpatient status so that they can be billed to Part B for inpatients. Commenters stated that many services can be provided on either an inpatient or an outpatient basis, and there is no reason that observation could not be treated in the same manner, even if doing so requires a change in the definition of the service that does not restrict it to outpatient billing.
However, other commenters recognized a difference between outpatient or observation services, and inpatient services. They stated that observation is an outpatient service and does not belong on an inpatient claim, that room and board should not be “converted” to observation charges, and that observation is an action requiring an order and for which (in these cases) there was no order. In the public comments to the proposed rule on inpatient admission guidelines (section XI.C. of the preamble of this final rule), many commenters stated that there was a marked difference between observation or outpatient services and inpatient services, even when furnished in the same bed in the emergency department. The commenters stated that at the time of inpatient admission, in many cases the patient remains in the emergency or other outpatient area of the hospital but an entirely new team comes to that area to provide inpatient services once they are ordered.
Response: We do not believe that observation services and inpatient services are the same services. As we discussed above, the purpose of outpatient observation services is to determine whether or not an inpatient admission is needed. Once a patient has been admitted for inpatient services, observation services are no longer medically necessary. Therefore, observation services would not be furnished to a hospital inpatient such that they would need to be billed for the time the beneficiary spent as an inpatient as Part B inpatient services following a Part A claim denial.
As we stated in the proposed rule, according to our longstanding policy, hospitals may only submit claims for Part B outpatient and Part B inpatient services that are reasonable and necessary in accordance with Medicare coverage and payment rules. This is not new guidance. We have long provided that, “in accordance with the general Medicare requirements for services furnished to beneficiaries and billed to Medicare, even in Condition Code 44 situations, hospitals may not report observation services using HCPCS code G0378 (Hospital observation service, per hour) for observation services furnished during a hospital encounter prior to a physician's order for observation services. Medicare does not permit retroactive orders or the inference of physician orders” (MCPM Chapter 1, Section 50.3.2). We agree with the commenters that observation services must be ordered by a physician, as must all hospital outpatient services. In this section of the MBPM, we stated in particular that the clock time begins at the time that observation services are initiated in accordance with a physician's order As we discuss in section XI.B.2. of the preamble of this final rule, hospitals can (and we proposed that they could continue to) bill Medicare for observation services that were ordered and furnished as outpatient services in the 3-day (1-day for non-IPPS hospitals) payment window prior to the inpatient admission, provided there was a valid order and all other payment rules were met. However, we have long excluded billing and payment of observation services for the time a beneficiary spends as a hospital inpatient, even when condition code 44 permits a patient change to outpatient during the hospital stay (much less when the patient status remains inpatient).
Similarly, outpatient DSMT services are payable when furnished to an outpatient in the 3-day (1-day for non-IPPS hospitals) payment window and billed on a Part B outpatient (13x) claim, but would not be payable if furnished to inpatients and billed on a Part B inpatient (12x) claim. Outpatient DSMT services are defined as services “provided in an outpatient setting” in section 1861(qq) of the Act, and therefore should not be furnished to hospital inpatients. The regulation at 42 CFR 414.63(e)(2) stipulates that outpatient DSMT services can be paid only if the beneficiary “[i]s not receiving services as an inpatient in a hospital, SNF, hospice, or nursing home.”
Outpatient visits such as emergency department visits also would not be furnished to a hospital inpatient such that they would need to be billed to Part B following a Part A claim denial for the time the beneficiary spent as an inpatient. Outpatient visits may be furnished in the 3-day (1-day for non-IPPS hospitals) payment window prior to the inpatient admission, in which case they may be billed as the outpatient services that they were on the Part B outpatient claim, in accordance with current policy.
Therefore, we are finalizing our proposal to exclude observation services, outpatient DSMT, and hospital outpatient visits from payment as Part B inpatient services when the inpatient admission is determined not reasonable and necessary for Part A payment and the hospital bills Part B. However, we emphasize that we do not believe these services should be furnished to inpatients and, therefore, would not need to be billed on a Part B inpatient claim. To the extent these services are furnished to outpatients in the 3-day (1-day for non-IPPS hospitals) payment window preceding inpatient admission, they may be billed on a Part B outpatient claim following the denial of the inpatient admission as not reasonable and necessary, as long as all other applicable Medicare coverage and payment rules are met. These hospital outpatient services could be billed on a Part B outpatient (13x) claim, but would not be payable if furnished to inpatients and billed on a Part B inpatient (12x) claim.
Comment: One commenter asked how to bill Part B for certain services with differences in coding requirements for Part A and Part B claims. In particular, the commenter stated that, for Part A claims, a hospital may not need to record the start and stop time of infusions and injections, but would have to submit that information when billing under Part B.
Response: The start and stop times for an infusion are expected parts of the medical record, regardless of the patient's status. The hospital may only bill Part B for the duration of services that are supported in the medical record. If additional services requiring coding guidance are brought to our attention, we will provide instructions in the subregulatory guidance that we will be issuing for this final rule.
Comment: Several commenters requested that CMS clearly define and list the services and/or revenue codes that will be payable as Part B inpatient services. Several commenters asked what additional services may be excluded from Part B inpatient payment because they require an outpatient status.
Response: At this time, approximately 15,000 HCPCS codes and approximately 500 revenue codes are payable under Part B, and hospitals choose the appropriate revenue codes under which they bill services to Part B. Given that the vast majority of Part B services will be finalized as payable Part B inpatient services, we believe it is most administratively feasible to list the few services that are excluded from payment rather than list all procedures or revenue codes that are payable. In our final policy, the only services we are excluding from payment when furnished to hospital inpatients and billed on a Part B inpatient claim following a reasonable and necessary Part A inpatient claim denial are observation services, outpatient DSMT, and hospital outpatient visits, including emergency department visits. We note that, to the extent these services are furnished to outpatients in the 3-day (1-day for non-IPPS hospitals) payment window preceding inpatient admission, they may be billed on a Part B outpatient claim following the denial of the inpatient Part A claim as not reasonable and necessary, if all other applicable Medicare coverage and payment rules are met. We also note that if, in our continued experience, we find that other services require an outpatient status or do not meet Part B coverage or payment definitions, we will propose to exclude these services from Part B inpatient payment in future rulemaking. However, at this time, we are not aware of any services other than those listed above that should be excluded.
After consideration of the public comments we received, we are finalizing our proposal to exclude observation services, outpatient DSMT, and hospital outpatient visits from Part B inpatient payment. These services should only be furnished to hospital outpatients, and therefore, we do not believe hospitals will need to bill these services on Part B inpatient claims. If these services are furnished to a hospital outpatient during the 3-day (1-day for non-IPPS hospitals) payment window preceding a hospital inpatient admission that is later denied for Part A payment, as long as Part B coverage and payment rules are met, the services may be billed on a Part B outpatient claim if the Part B coverage and payment rules are met. We are not finalizing our proposed policy to exclude therapy services from Part B inpatient payment following Part A hospital inpatient reasonable and necessary claim denials. Accordingly, hospitals may continue to bill for therapy services on a Part B inpatient claim when these services are furnished to inpatients, and the hospital's Part A claim is denied because the inpatient admission was not reasonable and necessary and the beneficiary should have been treated as a hospital outpatient rather than a hospital inpatient.
We proposed that we would implement this provision in proposed new 42 CFR 414.5, entitled “Hospital inpatient services paid under Medicare Part B when a Part A hospital inpatient claim is denied because the inpatient admission was not reasonable and necessary, but hospital outpatient services would have been reasonable and necessary in treating the beneficiary.” The claims for Part B inpatient and Part B outpatient services would have to be submitted within the timely filing period (we discuss the time limits for filing claims in section XI.B.8. of the preamble of this final rule). To ensure the accuracy and appropriateness of payment under Part A, we proposed that this policy would apply if a Medicare Part A claim for inpatient hospital services is denied because the inpatient admission was not reasonable and necessary, or if a hospital determines under Medicare's utilization review requirements in section 1861(e)(6)(1) and 1861(k) of the Act and 42 CFR 482.30 (42 CFR 485.641 for CAHs) after discharge that the hospital inpatient admission was not reasonable and necessary, and that the beneficiary should have received hospital outpatient rather than hospital inpatient services (hereinafter referred to as the hospital “self-audit” for purposes of this final rule). In this circumstance, we proposed to continue requiring the hospital to submit a “no pay/provider liable” Part A claim indicating that the provider is liable under section 1879 of the Act for the cost of Part A services (we refer readers to section 40.2.2(E), Chapter 3, of the MCPM). Submission of this Part A claim indicates that the provider is assuming financial liability for the denied items or services on the Part A claim consistent with section 1879 of the Act (and acknowledging that the beneficiary is not financially liable under section 1879 of the Act) for the cost of the Part A items and services. Submitting the provider-liable Part A claim also cancels any claim that may have already been submitted by the hospital for payment under Part A. The hospital could then submit an inpatient claim for payment under Part B for all services that would have been reasonable and necessary if the beneficiary had been treated as a hospital outpatient rather than admitted as a hospital inpatient, except for those services specifically requiring an outpatient status. This claim would have to be submitted within the timely filing period. We stated that we believed providing for additional payment under Part B when a hospital determines itself that an inpatient admission was not reasonable and necessary but hospital outpatient services would have been reasonable and necessary would reduce improper payments under Part A, and would reduce the administrative costs of appeals for both hospitals and the Medicare program.
Comment: Several of the commenters asked whether hospitals could bill Part B inpatient services following a hospital self-audit that occurs prior to discharge.
Response: We did not propose any changes to our policies governing patient status changes and inpatient admission reviews prior to hospital discharge. Under Medicare's “Condition Code 44” policy, if a hospital's utilization review committee determines prior to discharge that a beneficiary should have been treated as a hospital outpatient rather than an inpatient and if certain conditions are met, the beneficiary's status may be changed to outpatient and the entire hospital encounter may be billed as an outpatient stay on a Part B outpatient claim (MCPM, Chapter 1, Section 50.3). The change in patient status from inpatient to outpatient must be made prior to discharge or release, while the beneficiary is still a patient of the hospital; the hospital could not have submitted a claim to Medicare for the inpatient admission; the practitioner responsible for the care of the patient and the utilization review committee must both concur with the decision; and the concurrence of the practitioner responsible for the care of the patient and the utilization review committee must be documented in the patient's medical record.
Comment: Some commenters were supportive of the proposal to allow Part B inpatient billing pursuant to a hospital self-audit, as it would promote real time self-monitoring and filing of Part B claims within the timely filing limit. Some commenters supported the proposal because it would allow additional Part B payment when the inpatient admission error is discovered after discharge, in comparison to the current restriction under the Condition Code 44 rules where full Part B payment is only made if the medical necessity determination and change in patient status to outpatient is made prior to discharge or release.
However, some commenters asked CMS to clarify whether it was proposing a self-audit process that would have to conform to the utilization review rules under the CoPs, notably physician concurrence, beneficiary notification, and other aspects related to continuation of an inpatient stay. These commenters stated that hospitals conduct internal reviews other than utilization review, and asked if the inpatient stay could be rebilled if the error is discovered as part of another type of review. Some of the commenters stated that beneficiaries do not need to be notified of the hospital's determination that the inpatient admission was not reasonable and necessary (as required under the CoPs) because if the hospital bills Part B and the beneficiary liability under Part A is less than under Part B, the beneficiary's liability can be waived. One commenter asked CMS to confirm that it was proposing a process that would conform to the CoP rules because the commenter did not believe the CoPs allowed self-audit to be conducted after discharge.
Response: We thank the commenters for their support. We agree with the commenters that applying the Part B inpatient billing process in cases of self-audit will promote self-monitoring, proper payment, and increase Part B billing closer to the date of service, resulting in less confusion for the beneficiary and a greater number of Part B claims filed within the timely filing limits. We also agree that a significant benefit of the final rule to hospitals is the ability to receive full Part B payment if the determination is made after discharge that the beneficiary should have been treated as a hospital outpatient instead of admitted as a hospital inpatient. Currently there are no requirements in the CoPs or interpretive guidance indicating that review of admissions must be performed prior to discharge.
We did not propose and are not finalizing a policy that would allow hospitals to bill Part B following an inpatient reasonable and necessary self-audit determination that does not conform to the requirements for utilization review under the CoPs. We do not agree with the commenters that beneficiaries need not be notified of a hospital's determination that the inpatient admission was not reasonable and necessary. Part B billing pursuant to such a determination may result in an increase in financial liability for some beneficiaries which hospitals may not be able to “waive” or forego attempting to collect (we refer readers to sections XI.B.5 and B.6. of the preamble of this final rule). We believe that the CoP rules for beneficiary notification and physician involvement in hospital utilization review decisions are important for maintaining beneficiary rights, consistent with 42 CFR 482.13. We received many public comments from beneficiaries, beneficiary advocacy organizations, and law firms representing beneficiaries, recommending that we strengthen beneficiary notification and appeal rights for Part B inpatient billing (addressed in sections XI.B.5. and B.6. of the preamble of this final rule). In addition, we received several public comments from physician associations expressing concern that hospitals often change a patient's status from inpatient to outpatient without the physician's knowledge. We reiterate that hospitals must follow our policies requiring physician involvement and concurrence in hospital decisions regarding patient status and the medical necessity of hospital inpatient admissions under the Condition Code 44 rules and the CoPs. The Interpretive Guidelines for hospital utilization review under the CoPs are provided on the CMS Web site at: http://www.cms.gov/Regulations-and-Guidance/Guidance/Manuals/downloads/som107ap_a_hospitals.pdf#page312.
Comment: Some commenters asked whether the “no pay/provider-liable” Part A claim and the Part B claims could be submitted simultaneously and whether a formal Medicare Part A denial is a prerequisite to Part B inpatient billing.
Response: The “no pay/provider liable” claim must be present in the claims system in order for the subsequent Part B claim(s) to process. In order to pay the Part B services, CMS has to verify that a valid Part A denial exists in claims history. If both the “no pay/provider-liable” Part A claim and the Part B claim(s) are submitted simultaneously, the Part A and Part B claims would overlap as duplicates in the processing system. A decision must be made regarding the Part A claim denial before a subsequent claim can be submitted. In accordance with our current claims processing rules for payment of Part B hospital services following hospital Part A inpatient reasonable and necessary claim denials, once the Part A claim denial is posted in the claims history, the Part B claim(s) can be submitted.
Comment: One commenter stated that hospital billing to Part B based on self-audit should be rare, and any hospital that uses this process on a consistent basis should be audited. In addition, the commenter stated that because utilization reviews should be timely, the Part B claims resulting from these reviews should be within the timely filing period.
Response: As we stated for the Condition Code 44 policy (MCPM, Chapter 1, Section 50.3.1), changes in patient status from inpatient to outpatient should be few because hospitals should have case management and other staff available at all times to assist the physician in making the appropriate initial admission decision. Use of Condition Code 44 or Part B inpatient billing pursuant to hospital self-audit is not intended to serve as a substitute for adequate staffing of utilization management personnel or for continued education of physicians and hospital staff about each hospital's existing policies and admission protocols. As education and staffing efforts continue to progress, inappropriate admission decisions, and the need for hospitals to correct inappropriate admissions or report Condition Code 44, should become increasingly rare. In section XI.C. of the preamble of this final rule, we finalize changes in our hospital inpatient admission guidelines and medical review criteria to help clarify on the front end when hospitals and physicians should admit beneficiaries as inpatients, with the goal of reducing inappropriate hospital admissions, hospital inpatient claim denials, and Part B billing following Part A hospital inpatient claim denials or hospital self-audit.
We are finalizing our proposal that payment of Part B inpatient services may be made if a hospital determines under § 482.30(d) or § 485.641 after a beneficiary is discharged that the beneficiary's inpatient admission was not reasonable and necessary, and the beneficiary should have been treated as a hospital outpatient rather than admitted as an inpatient, provided the beneficiary is enrolled in Medicare Part B and that the hospital submits the Part B inpatient claim by the deadline for timely filing (discussed later in this section).
a. Part B Inpatient Services Paid Under the Hospital OPPS
We proposed that we would pay for Part B inpatient services that are paid under the OPPS (except those requiring an outpatient status) under proposed new § 414.5(a)(1), “If a Medicare Part A claim for inpatient hospital services is denied because the inpatient admission was not reasonable and necessary, or if a hospital determines under § 482.30(d) or § 485.641 after a beneficiary is discharged that the beneficiary's inpatient admission was not reasonable and necessary, the hospital may be paid for the following Part B inpatient services that would have been reasonable and necessary if the beneficiary had been treated as a hospital outpatient rather than admitted as an inpatient, provided the beneficiary is enrolled in Medicare Part B: (1) Services described in § 419.21(a) that do not require an outpatient status” (78 FR 16636). We proposed to exclude payment of services under the OPPS such as observation services and hospital outpatient visits (including emergency department visits) that, by definition, require an outpatient status.
b. Services Excluded From Payment Under the OPPS
For the proposed Part B inpatient services furnished by the hospital that are not paid under the OPPS, but rather under some other Part B payment methodology, we proposed that when the inpatient admission is determined not reasonable and necessary, Part B inpatient payment would be made under the respective Part B fee schedules or prospectively determined rates for which payment is made for these services when provided to hospital outpatients (78 FR 16637; 65 FR 18442 and 18443). As provided in 42 CFR 419.22, the services for which payment is made under other payment methodologies are as follows:
- Outpatient therapy services described in section 1833(a)(8) of the Act.
- Ambulance services, as described in section 1861(v)(1)(U) of the Act, or, if applicable, the fee schedule established under section 1834(l) of the Act;
- Except as provided in 42 CFR 419.2(b)(11), prosthetic devices, prosthetics, prosthetic supplies, and orthotic devices;
- Except as provided in 42 CFR 419.2(b)(10), durable medical equipment supplied by the hospital for the patient to take home;
- Clinical diagnostic laboratory services;
- Effective December 8, 2003, screening mammography services and effective January 1, 2005, diagnostic mammography services; and
- Effective January 1, 2011, annual wellness visit providing personalized prevention plan services as defined in 42 CFR 410.15.
We proposed to provide payment of these OPPS-excluded services in 42 CFR 414.5(a)(2) through (a)(7) as follows:
- Ambulance services, as described in section 1861(v)(1)(U) of the Act, or, if applicable, the fee schedule established under section 1834(l) of Act.
- Except as provided in § 419.2(b)(11), prosthetic devices, prosthetics, prosthetic supplies, and orthotic devices.
- Except as provided in § 419.2(b)(10), durable medical equipment supplied by the hospital for the patient to take home.
- Clinical diagnostic laboratory services.
- Effective December 8, 2003, screening mammography services and effective January 1, 2005, diagnostic mammography services.
- Effective January 1, 2011, annual wellness visits providing personalized prevention plan services as defined in § 410.15 of this chapter.
In our review of the current regulations governing payment of Part B inpatient services, we noted an oversight in 42 CFR 419.22 that outpatient DSMT services, which are described in section 1861(qq) of the Act and 42 CFR 414.63 and are paid under the MPFS, were never excluded from OPPS payment along with all other physician services. Because the statute defines these services as outpatient services, § 414.63(e)(2) stipulates that outpatient DSMT services can be paid only if the beneficiary “[i]s not receiving services as an inpatient in a hospital, SNF, hospice, or nursing home.” Therefore, under our proposal, these services would not be payable Part B inpatient services, although they would be payable Part B outpatient services if furnished in the 3-day (1-day for on-IPPS hospitals) payment window prior to the inpatient admission. However, based on our review of the regulations, we proposed a technical correction to clarify that outpatient DSMT services are excluded from OPPS payment. We proposed that this correction would appear in § 419.22(u). In addition, we noted a typographical error in paragraph (j), which should cross reference § 419.2(b)(11) rather than § 419.22(b)(11). We proposed a technical correction to delete the erroneous “§ 419.22(b)(11)”' and replace with “§ 419.2(b)(11)”'. Also we noted that § 419.22(h) excludes “outpatient”' therapy services from the OPPS. Section 1833(t)(1)(B)(iv) of the Act specifically states that “the term `covered OPD services' . . . (iv) does not include any therapy services described in subsection (a)(8)”' and section 1833(a)(8) describes outpatient therapy services furnished by a hospital to a hospital outpatient or a hospital inpatient who is entitled to benefits under Part A but has either exhausted or is not so entitled to such benefits. In order to more clearly follow the statutory language defining covered OPD services, we proposed to replace the words “outpatient therapy”' with “therapy”' in § 419.22(h) so that it reads, “Therapy services described in section 1833(a)(8) of the Act.”
We did not receive any public comments on the fee schedules or prospectively determined rates under which the proposed Part B inpatient services would be paid. After consideration of the public comments we received, we are finalizing new § 414.5(a) with the addition of paragraph (a)(2) to provide for payment of physical therapy, speech-language pathology, and occupational therapy services. We are revising § 419.22(h) by removing the phrase “Outpatient therapy” and adding in its place the phrase “Physical therapy services, speech-language pathology services and occupational therapy services described in section 1833(a)(8) for which payment is made under the fee schedule described in section 1834(k) of the Act” to be consistent with the exclusion language in section 1833(t)(1)(B)(iv) of the Act.
In the proposed rule, based on our review of the regulations, we noted that outpatient DSMT was not excluded from OPPS payment as are other services paid under the MPFS. We proposed a correction to exclude them under 42 CFR 419.22, which lists hospital services excluded from payment under the OPPS. We did not receive any public comments on our proposed correction. Therefore, we are finalizing the addition of new paragraph (u) to § 419.22 as proposed, to read: “The following services are not paid for under the hospital outpatient prospective payment system . . . (u) Outpatient diabetes self-management training.”
We are finalizing our proposed technical correction of a typographical error in paragraph (j) of § 419.22, which should cross-reference § 419.2(b)(11), rather than § 419.22(b)(11).
In our review of the regulations, we had further noted that the headings of § 419.21 and § 419.22 describe the “hospital outpatient” services that are subject to (in § 419.21) or excluded from payment under (in § 419.22) the OPPS. To more appropriately describe the services that are payable under these regulations under the OPPS, we proposed to amend the titles of these sections by removing the term “outpatient.” We did not receive any public comments on this proposal. Therefore, we are finalizing amendments to revise the title of § 419.21 to read, “Hospital services subject to the outpatient prospective payment system” and to revise the title of § 419.22 to read, “Hospital services excluded from payment under the hospital outpatient prospective payment system.”
2. Payment of Part B Outpatient Services in the 3-Day Payment Window
In the Part B Inpatient Billing proposed rule (78 FR 16637 through 16638), we explained that the proposals in the proposed rule would not change the 3-day payment window policy, which requires payment for certain outpatient services provided to a beneficiary on the date of an inpatient admission or during the 3 calendar days (or 1 calendar day for a hospital that is not paid under the IPPS) prior to the date of an inpatient admission to be bundled (that is, included) with the payment for the beneficiary's inpatient admission, if those outpatient services are provided by the admitting hospital or an entity that is wholly owned or wholly operated by the admitting hospital (42 CFR 412.2(c)(5), 412.405, 412.540, 412.604(f), and 413.40(c)(2); MCPM Section 40.3, Chapter 3 and Section 10.12, Chapter 4). The current policy applies to all diagnostic outpatient services and nondiagnostic (that is, therapeutic) services that are related to the inpatient stay. As stated in the MCPM, Section 10.12, Chapter 4, in the event that there is no Part A coverage for the inpatient stay, reasonable and necessary services provided to the beneficiary prior to the point of admission may be separately billed to Part B as the outpatient services that they were. We proposed that this policy would continue to apply where Part A payment is not available because the hospital inpatient admission is determined not reasonable and necessary. The Part B outpatient claims for the outpatient services provided in the 3-day (or 1-day for a non-IPPS hospital) payment window would be subject to the usual timely filing restrictions and not be considered adjustment claims.
We explained that hospitals may only submit claims for Part B outpatient services that are reasonable and necessary in accordance with Medicare coverage and payment rules. In accordance with section 1833(e) of the Act, hospitals must furnish information as may be necessary in order to determine the amounts due for the services billed on a Part B outpatient claim for services rendered in the 3-day (or 1-day for non-IPPS hospitals) payment window prior to the inpatient admission.
Comment: Many commenters seemed to misunderstand the proposal to exclude certain services from payment as Part B inpatient services, and believed CMS was also proposing to exclude these services from payment as Part B outpatient services in the 3-day (1-day for non-IPPS hospitals) payment window. Several commenters asked us to clarify why the proposed regulation text only addressed payment of Part B inpatient services, and did not specify payment of Part B outpatient services furnished in the 3-day (1-day for non-IPPS hospitals) payment window prior to the inpatient admission. Other commenters believed CMS was proposing to allow payment of all rebilled services as Part B outpatient services by changing the beneficiary's status for the entire hospital stay to outpatient.
Response: For outpatient services provided to a beneficiary on the date of an inpatient admission or during the 3-calendar day (or 1-calendar day for a non-IPPS hospital) payment window prior to the date of an inpatient admission, we proposed the same payment policy and claims process that we provide for under current policy (MCPM, Chapter 4, Section 50.3; MCPM Chapter 4, Section 10.12 and Chapter 3, Section 40.3), that we used in the A/B Rebilling Demonstration, and that we required under the Ruling (78 FR 16614 through 16617). As we stated in the Ruling (78 FR 16617), “the beneficiary's patient status remains inpatient as of the time of inpatient admission and is not changed to outpatient, because the beneficiary was formally admitted as an inpatient and there is no provision to change a beneficiary's status after she/he is discharged from the hospital. The beneficiary is considered an outpatient for services billed on the Part B outpatient claim, and is considered an inpatient for services billed on the Part B inpatient claim.” Under existing policy, all reasonable and necessary outpatient services furnished in the 3-day (or 1-day for non-IPPS hospitals) payment window, including those requiring an outpatient status, may be billed on the 13x (Part B outpatient) type of bill (TOB). Services furnished after the time of the inpatient admission must be billed on the 12x (Part B inpatient) TOB. Billing the Part B services according to the patient's status supports proper payment and clarifies the patient's status for determining skilled nursing facility coverage, and Medicare inpatient days for IPPS payments (we refer readers to section XI.B.11. of the preamble of this final rule). As explained above, those services that require an outpatient status and that cannot be billed on a 12x claim—observation services, outpatient hospital visits, and outpatient DSMT—are payable if they were furnished to an outpatient during the 3-day (1-day for non-IPPS hospitals) payment window preceding the inpatient admission and are billed on a Part B outpatient (13x) claim.
Our proposed regulation text did not specify payment of Part B hospital outpatient services following a Part A hospital inpatient claim denial for medical necessity of the admission, because these Part B services are already payable under other relevant Part B regulations for payment of outpatient services in accordance with Chapter 4, Section 10.12 of the MCPM. However, given the significant confusion among the commenters about this issue, we are incorporating this manual provision into our final regulation text, providing payment of Part B outpatient services provided in the 3-day (1-day for non-IPPS hospitals) payment window prior to the inpatient admission. Specifically, we are adding new paragraph (b) under § 414.5 stating that, “If a Medicare Part A claim for inpatient hospital services is denied because the inpatient admission was not reasonable and necessary, or if a hospital determines under § 482.30(d) of this chapter or § 485.641 of this chapter after a beneficiary is discharged that the beneficiary's inpatient admission was not reasonable and necessary, the hospital may be paid for hospital outpatient services described in § 412.2(c)(5), § 412.405, § 412.540, § 412.604(f), or § 413.40(c)(2) of this chapter furnished to the beneficiary prior to the point of inpatient admission (that is, the inpatient admission order).” In addition, we are deleting the term “inpatient” from the phrase “hospital inpatient services” in the proposed title of § 414.5, to indicate that this section of the regulations addresses payment of both hospital outpatient and hospital inpatient services. The final title reads, “Hospital services paid under Medicare Part B when a Part A hospital inpatient claim is denied because the inpatient admission was not reasonable and necessary, but hospital outpatient services would have been reasonable and necessary in treating the beneficiary.”
Comment: Several commenters disagreed with the proposal to require hospitals to bill two claims for payment of Part B inpatient and Part B outpatient services. Some commenters recommended that CMS allow all Part B services to be billed on the 13x TOB because they believed the MACs will fail to apply the rules correctly for the 12x TOB because they will be unable to distinguish the reason there was no Part A coverage (exhausted Part A benefits versus denial of inpatient admission for lack of medical necessity) and, therefore, the amount of allowable Part B payment. Some commenters suggested that CMS create a condition code that would distinguish the various reasons for Part B inpatient billing.
Other commenters expressed the opinion that requiring both the 12x TOB and 13x TOB would be burdensome either because the accounting systems available to most hospitals do not have a means of easily separating charges furnished within a 24-hour period (presumably when the beneficiary has both outpatient and inpatient charges on the day of admission), or because splitting charges generally between the outpatient services in the 3-day payment window and the inpatient services provided during the inpatient stay is not standard operating procedure and would require hospitals to reprogram their billing systems. Other commenters believed that CMS will need to provide guidance on recoding services with differences in coding requirements for Part A and Part B claims. Some commenters stated that CMS should use information supplemented to the Part A claim to issue Part B payment, rather than requiring the submission of any Part B claims. The commenters suggested that supplemental payers and beneficiaries will have a greater number of claims to process if Medicare requires two Part B claims. Some commenters recommended either including all charges on the 12x TOB using the claims procedures that they believe CMS employed in the A/B Rebilling Demonstration, or creating a new bill type that would identify inpatient reasonable and necessary denials and allow all Part B services to remain on the same claim.
Response: In the A/B Rebilling Demonstration, CMS used the claims process that is required under existing policy and that was proposed in the proposed rule (that is, requiring a Part B inpatient claim for services furnished after the time of inpatient admission, and a Part B outpatient claim for services furnished in the 3-day (1-day for non-IPPS hospitals) payment window prior to the inpatient admission (78 FR 16636 through 16638). In this process, because the beneficiary is an outpatient prior to the time of inpatient admission, and the services furnished during that time period are outpatient services, they must be billed on a 13x Part B outpatient TOB. Because the beneficiary remains an inpatient from the time of inpatient admission, and the services billed after the time of admission are inpatient services, CMS requires that these services be billed on a Part B inpatient 12x TOB and does not allow outpatient services such as observation to be billed on this claim.
As we stated in the proposed rule, in accordance with section 1833(e) of the Act, hospitals must furnish information as may be necessary in order to determine the amounts due for the services billed on a Part B outpatient or a Part B inpatient claim (78 FR 16636 and 16638). Because the inpatient services are bundled for payment rather than itemized on the original Part A claim, only the hospital can distinguish which services among those that were furnished would have been reasonable necessary if the hospital had treated the beneficiary on an outpatient basis. Only the hospital can provide this information to Medicare by itemizing the reasonable and necessary services on the subsequent Part B claim(s). In addition, Part B outpatient claims will not be required in situations other than when the beneficiary received outpatient services prior to being admitted as an inpatient.
The alternative to separating the services provided before and after the inpatient admission on two claims would involve the creation of a complex system of modifiers to specify timing relative to the order for the services on a single claim. This would be considerably more burdensome than creating two claims. For example, requiring a separate outpatient claim will enable hospitals to distinguish the outpatient services they furnished in the 3-day (1-day for non-IPPS hospitals) payment window from the inpatient services furnished, allowing payment of services that are defined as strictly outpatient services in the 3-day payment window.
We are not sure what informational format the commenter was referring to in the suggestion to allow for supplementation of the Part A claim. It seems that a “supplementation” process would require all Part B line item detail in addition to header information to allow the supplemental file to link to the original Part A claim. Although this would be administratively confusing because a Part B inpatient claim is a replacement for a Part A claim, not a supplement, the more operationally significant consideration is that the effort of creating a new Part B claim is no different (and may in fact be less) than the effort involved in creating a supplement but with the added necessity of linking a supplement to the primary Part A claim data.
We are finalizing our proposed policies on the 3-day (1-day for non-IPPS hospitals) payment window and the required Part B claims. However, we also are evaluating the Medicare claims system to ensure that it distinguishes among the reasons that Part A coverage was not available and provides the appropriate payment. We will issue additional guidance in the future with claims specifications for billing Part B inpatient services under this final rule, such as distinguishing the reason for the Part A claim denial.
3. Applicability: Types of Hospitals
We proposed that all hospitals billing Part A services would be eligible to bill the proposed Part B inpatient services, including short-term acute care hospitals paid under the IPPS, hospitals paid under the OPPS, LTCHs, IPFs, IRFs, CAHs, children's hospitals, cancer hospitals, and Maryland waiver hospitals. We proposed that hospitals paid under the OPPS would continue billing the OPPS for Part B inpatient services. We proposed that hospitals that are excluded from payment under the OPPS in 42 CFR 419.20(b) would be eligible to bill Part B inpatient services under their non-OPPS payment methodologies.
Comment: One commenter asked whether Maryland waiver hospitals would be eligible for the proposed Part B inpatient billing policies. Another commenter asked CMS to clarify whether the reference to section 1861(e) of the Act (78 FR 16632) was intended to exclude IPFs from our proposed policies.
Response: Under section 1814(b) of the Act, hospitals in the State of Maryland are subject to a waiver from the Medicare payment methodologies under which they would otherwise be paid. Under the demonstration that forms the basis of the statutory framework of the Maryland hospital Medicare payment system, only the hospitals' payment methodology was waived. All other Medicare requirements generally apply; therefore, from a billing perspective, we believe Maryland waiver hospitals should be treated the same as nonwaiver hospitals for purposes of Part B inpatient billing.
Our reference to section 1861(e) of the Act was intended to specify that CAHs were included in the proposed policies, not that IPFs or other non-IPPS hospitals would be excluded. We see no reason to exclude any non-IPPS hospitals from Part B inpatient billing in the circumstances addressed in this final rule, and we are applying the final rule policies to all hospitals and CAHs.
In the CY 2002 OPPS proposed rule (66 FR 44698 through 44699) and final rule (66 FR 59891 through 59893), we recognized that certain hospitals do not submit claims for outpatient services under Medicare Part B, either because they do not have outpatient departments or because they have outpatient departments but submit no claims to Medicare Part B (for example, state psychiatric hospitals). When the OPPS was implemented, the only claims these hospitals would ever have submitted for Part B payment would have been for the ancillary services designated as “Part B Only” services. These hospitals were concerned about the administrative burden and prohibitive costs they would incur if they were to change their billing systems to accommodate OPPS requirements solely to receive payment for Part B Only (Part B inpatient) services. Under our policy of limited (ancillary) Part B inpatient billing following a reasonable and necessary Part A claim denial, the cost to these hospitals of implementing claims systems to bill Part B inpatient services to the OPPS would have been greater than the payments they could have received for the services. In response to this concern, we revised 42 CFR 419.22 by adding paragraph (r), which provides that services defined in 42 CFR 419.21(b) that are furnished to inpatients of hospitals that do not submit claims for outpatient services under Medicare Part B are excluded from payment under the OPPS. We provided an exception under which, rather than billing Part B inpatient services under the OPPS, hospitals would bill these services under the hospital's pre-OPPS payment methodology, for example at reasonable cost or the per diem payment rate, unless the services were subject to a payment methodology that was established prior to the OPPS. We solicited public comments from these hospitals regarding the types of Part B inpatient services they anticipated billing Medicare under our proposal for payment of additional Part B services (78 FR 16638). If, under our proposed policies, the Part B inpatient services payable to these hospitals would largely be limited to the ancillary services they currently bill Medicare, these hospitals would continue billing Part B inpatient services under the current exception. However, we stated that if we received public comments indicating that hospitals subject to the exception in 42 CFR 419.22(r) would be eligible and seek payment for additional Part B inpatient services under this proposed rule, we would consider finalizing a policy to require these hospitals to bill the OPPS because, unlike under existing policy, their eligible payments would likely outweigh the cost of implementing billing systems specific to the OPPS. To reflect such a policy, we stated that we would delete paragraph (r) of § 419.22(r) and redesignate paragraphs (s) and (t) as paragraphs (r) and (s), respectively.
We did not receive any public comments regarding Part B inpatient billing by hospitals subject to the existing exception in § 419.22(r). Therefore, we are not finalizing a policy in the final rule to require these hospitals to bill the OPPS for Part B inpatient services that are typically paid under the OPPS. We intend to monitor the volume of Part B claims submitted for payment by these hospitals, and may propose in future rulemaking to require them to begin billing the OPPS based on the Part B inpatient services they bill.
5. Beneficiary Liability Under Section 1879 of the Act
As discussed in the Part B Inpatient Billing proposed rule (78 FR 16639), prior to the issuance of CMS Ruling CMS 1455-R (as described in section XI.B.1. of the preamble of this final rule), our policy previously allowed for billing of only a limited set of Part B inpatient services rather than all Part B services following the reasonable and necessary denial of a Part A inpatient claim. Under the policy being adopted in this final rule, we recognize that allowing hospitals to bill for additional Part B inpatient services could create a unique liability issue for Medicare beneficiaries that did not previously exist.
When a Part A inpatient admission is denied as not reasonable and necessary under section 1862(a)(1)(A) of the Act, or a hospital submits a “provider liable/no-pay” claim (following a self-audit as described in section XI.B.3. of the preamble of this rule) indicating that the hospital has determined that an inpatient admission is not reasonable and necessary, a determination of financial liability for the noncovered inpatient admission is made in accordance with section 1879 of the Act. The Medicare contractor determines whether the hospital and the beneficiary knew, or could have reasonably been expected to know, that the services were not covered. If neither the hospital nor the beneficiary knew, or could reasonably have been expected to know, that the services were not covered, then Medicare makes payment for the denied services. However, because hospitals are expected to have knowledge of our coverage and payment rules, hospitals are often determined liable under section 1879 of the Act for the cost of the noncovered items and services furnished. In addition, unless the beneficiary had knowledge of noncoverage in advance of the provision of services (typically through a Hospital-Issued Notice of Noncoverage (HINN)), the beneficiary will not be financially liable for the denied Part A services in accordance with section 1879 of the Act.
Following a denial of a Part A inpatient admission as not reasonable and necessary and a determination that the beneficiary was not financially liable in accordance with section 1879 of the Act, the hospital is required to refund any amounts paid by the beneficiary (such as deductible and copayment amounts) for the services billed under Part A (42 CFR 411.402). The beneficiary would have no out-of-pocket cost in this scenario. However, as we explained in the proposed rule, if the hospital subsequently submits a timely Part B claim after the Part A claim is denied, the financial protections afforded under section 1879 of the Act to limit liability for the denied Part A claim cannot also be applied to limit liability for the covered services filed on the Part B claim. The beneficiary (who may previously have had no out-of-pocket costs for the denied Part A claim) is responsible for applicable deductible and copayment amounts for Medicare covered services, and for the cost of items or services never covered (or always excluded from coverage) under Part B of the program. If, however, a hospital does not bill under Part B in a timely manner, in accordance with section 1866(a)(1)(A)(i) of the Act, the hospital may not charge the beneficiary for the costs related to the Part B items and services furnished, if the beneficiary would otherwise be entitled to have Part B payment made on his or her behalf. Finally, in instances where the beneficiary is not enrolled in Medicare Part B, we encouraged hospitals and beneficiaries to recognize the importance of billing supplemental insurers and pursuing an appeal of the Part A inpatient claim denial, as appropriate.
As we stated in the proposed rule, we do not believe that the existing beneficiary liability notices used in the Medicare fee-for-service program (the HINN and Advance Beneficiary Notice of Noncoverage (ABN)) are applicable or relevant for the Part B inpatient billing process described in the proposed rule to alert beneficiaries to the possible change in deductible and cost-sharing if a Part A inpatient claim is denied and a Part B claim is subsequently submitted. These notices must be given prior to the provision of an item or service that is expected to be denied, and cannot be issued retroactively (that is, after the receipt of the post-payment Part A inpatient claim denial). Instead, we proposed to conduct an educational campaign and issue materials that address various aspects of this final rule, including raising beneficiary awareness that certain denied Part A inpatient hospital services may be covered under Part B of the program.
Comment: Many commenters recommended that beneficiaries should be held harmless for the Part B cost-sharing and that patients should not be charged for provider error in admitting the patient inappropriately. Other commenters suggested that beneficiaries should be responsible for cost-sharing on the Part A claim but not responsible for anything beyond that amount if a Part B claim is submitted, similar to how the cost-sharing was handled under the A/B rebilling demonstration project.
Response: We agree that beneficiaries should not be charged for unexpected costs of a service denied as not reasonable and necessary. The limitation on liability provision in section 1879 of the Act (“Limitation on Liability of Beneficiary Where Medicare Claims Are Disallowed”) protects beneficiaries from financial liability for certain denials and requires that providers refund any amounts collected for denied services, including coinsurance and deductible amounts, where the provider is determined to be liable for the denied services (42 CFR 411.402). However, in the case of a provider furnishing covered services that are payable by Medicare, beneficiaries are responsible for the applicable coinsurance and deductible (sections 1833(b) and 1833(t)(8) of the Act). We do not have authority to waive this statutory requirement in order to hold beneficiaries harmless from their cost-sharing obligations for covered Part B services. The commenters who suggested this approach are referring to the A/B rebilling demonstration project that ended March 13, 2013. Under the demonstration project, which was conducted prior to the issuance of the proposed rule and CMS Ruling 1455-R, hospitals were prohibited from collecting from beneficiaries coinsurance and deductible amounts related to covered Part B services billed to the program if these cost-sharing amounts under Part B exceeded the amount of the Part A inpatient deductible. We were able to waive the statutory requirements regarding beneficiary responsibility for coinsurance and deductibles and hold beneficiaries harmless from any additional Part B cost-sharing under the authority granted in section 402(b) of the Social Security Amendments of 1967 (42 U.S.C 1395b-1) but this waiver authority applies only to experiments and demonstration projects conducted under section 402(a) of that statute. We do not have similar authority to change or waive such requirements under our general rulemaking authority. Therefore, we cannot adopt the commenters' recommendations to hold beneficiaries harmless for the financial responsibility related to Part B coinsurance and deductible for covered claims.
Comment: Several commenters suggested that CMS permit the hospital to retain amounts collected for the inpatient deductible related to the Part A claim and offset any amount that may need to be collected under Part B for the applicable coinsurance and deductible. The commenters stated that hospitals would then refund amounts where the amount to be collected related to the Part B claim(s) was less than the amount to be refunded for the Part A claim.
Response: If a Part A claim for an inpatient stay is denied as not reasonable and necessary and the hospital, but not the beneficiary, is determined to be financially liable for the cost of the denied Part A services pursuant to section 1879 of the Act, the hospital is prohibited from collecting any amounts for the denied Part A services from the beneficiary and must refund any amounts previously collected. Failure to refund the amounts incorrectly collected may subject the hospital to an indemnification action pursuant to section 1879(b) of the Act and 42 CFR 411.402. We will issue subregulatory guidance about how this refund should occur when there is both a Part A refund owed to and a Part B liability owed from the beneficiary.
Comment: Several commenters opined that the proposal to conduct an education campaign to alert beneficiaries to the potential changes in cost-sharing if a claim for a Part A inpatient admission is denied and subsequently rebilled under Part B was inadequate. These commenters recommended that CMS consider requiring hospitals to issue an additional standardized notice or a Frequently Asked Questions (FAQ) sheet regarding Part B inpatient billing to all inpatients prior to admission or after discharge, or adding information on Part B inpatient billing to the existing Important Message from Medicare (IM).
Response: In the proposed rule, we explained that we intend to conduct an educational campaign to ensure that beneficiaries are aware of the on-going review of inpatient claims and the potential financial liability resulting from a Part A claim denial with subsequent Part B billing. We support the commenters' intent to inform beneficiaries. However, we believe that providing all beneficiaries with an additional notice or FAQ sheet on admission would likely create undue confusion and concern for beneficiaries. Beneficiaries already receive many notices and papers on hospital admission, and it is unlikely that a beneficiary's admission will be subject to the Part B billing procedures described in this rule. We believe that the commenters' recommended approach to provide all inpatients with a standard notice regarding post-discharge claims processing issues is excessive and unwarranted. In addition, delivery of this information on admission would violate our general approach to notice delivery, which is to provide information at a time when it is applicable to the situation and needed by the beneficiary. The commenters' recommended timing of notice delivery, in most cases, would be well in advance of when a beneficiary might need the information and would negatively impact its utility.
In addition, we believe that adding information to the IM on Part B inpatient billing or rebilling is not a feasible option. The IM, an information collection approved by the Office of Management and Budget (OMB), is used to inform and advise beneficiaries regarding discharge appeal rights and the steps to take if they believe that their discharge is premature, in accordance with section 1866(a)(1)(M) of the Act. It would be inappropriate to include information about claims processing policies on this notice and would likely be confusing to beneficiaries because the decision to submit a Part B inpatient claim is not a discharge. While there is existing statutory and regulatory authority to enforce hospital compliance with the existing IM notice requirements, we are unaware of existing authority that would enforce compliance or penalize noncompliance with either revisions to the IM or any separate notice requirement for hospitals to notify the beneficiary before submitting a Part B inpatient claim.
Our longstanding educational strategies promote informed beneficiaries, and we believe that educating beneficiaries before entering the hospital and providing relevant information when it is needed is the best approach. By providing knowledge of hospital billing considerations in advance of their stay, beneficiaries with concerns about the appropriateness of a Part A inpatient hospitalization can discuss these issues with their physicians before or on admission. Information on Part B inpatient billing will be added to the annual Medicare & You publication and the existing publication, Are You a Hospital Inpatient or Outpatient? If You Have Medicare—Ask! (CMS Product No. 11435). We also will review other existing CMS publications and include information where appropriate. In addition, for those beneficiaries specifically affected by a Part A hospital inpatient claim denial that may be subject to Part B billing or a Part B claim submission for hospital inpatient services subsequent to a Part A claim denial, contractors will include new messages on the Medicare Summary Notice (MSN) to inform them of the action. These newly created MSN messages explain that the hospital may submit the claim under Part B and that different cost-sharing may apply. In this manner, we will incorporate the commenters' suggestion on the timing of post-discharge delivery of information regarding billing under Part B for inpatient hospital services, consistent with our approach to delivering notices at a time when the information is most relevant.
For these reasons, we are not adopting the commenters' recommendations to require delivery of an additional standardized notice or a Frequently Asked Questions (FAQ) sheet to inpatients prior to admission or after discharge, or to amend the existing Important Message from Medicare. However, we will continue to monitor the effectiveness of our efforts to inform and educate beneficiaries and may consider other options such as targeted beneficiary notice in future rulemaking.
Comment: One commenter stated that the proposed rule subverts longstanding demand billing policy established subsequent to the settlement agreement in Sarrassat v. Sullivan (1989 WL 208444 (N.D.Cal.)). The commenter objected to CMS' proposal requiring hospitals to submit a “no-pay” Part A claim with a Part B claim for inpatient and/or outpatient services when hospitals self-audit and determine that the claim(s) should be submitted under Part B. The commenter explained that beneficiaries subject to the Sarrassat settlement agreement have the right to request a demand bill for a Part A coverage determination.
Response: We appreciate the comments submitted on this issue. However, the terms of the settlement agreement in Sarrassat applied to patients in SNFs, not hospitals. Nevertheless, we believe our proposed policy in cases of hospital self-audits requiring submission of a “no-pay” Part A claim with the hospital's Part B claim(s) does not undermine demand billing policies. With demand billing, beneficiaries have the right to request claim submission and receive an official Medicare claim decision even when a provider believes that items and services furnished will not be covered. This right is not affected by the provisions of the proposed rule. In the case of a self-audit by the hospital, if the hospital determines the admission is covered under Part B rather than Part A, it will submit a Part B claim along with a “no-pay” Part A claim, and the contractor will make initial determinations on those claims. The beneficiary retains the right to an official Medicare decision on payment for the claim submitted by the hospital. Should the beneficiary dispute the initial determination by the contractor that the services are properly payable under Part B, the beneficiary may file an appeal of the Part B claim under the existing procedures in 42 CFR Part 405, Subpart I (76 FR 16640) and assert such concerns.
For these reasons, we are not adopting the commenters' recommendations and are finalizing the provisions of the proposed rule requiring the submission of a “no-pay” Part A claim with a Part B claim for inpatient and/or outpatient services when hospitals self-audit and determine that the claim(s) should be submitted as under Part B without modification.
6. Applicable Beneficiary Liability: Hospital Services
In the Part B Inpatient Billing proposed rule (78 FR 16639), we stated that increasing the number of billable Part B inpatient services could affect beneficiary liability. In accordance with statute, beneficiary cost-sharing under Part A is different (and, in some cases, may be less) than under Part B. The CY 2013 Medicare Part A inpatient deductible and coinsurance amounts, which are set in accordance with statute, were recently announced in a notice published in the Federal Register on November 21, 2012 (77 FR 69848 through 69850). Under Part A, a beneficiary pays a one-time deductible for all hospital inpatient services provided during the first 60 days in the hospital of the benefit period for a year; therefore, an inpatient deductible does not necessarily apply to all hospitalizations. The Medicare Part A coinsurance only applies after the 60th day in the hospital. When the Part A claim is denied because the inpatient admission is determined to be not reasonable and necessary, the beneficiary is entitled to refunds of any amounts he or she paid to the hospital for the Part A claim if the hospital, but not the beneficiary, is held financially responsible for denied services under section 1879 of the Act (42 CFR 411.402.) However, under our proposed policy, beneficiaries would continue to be liable for their usual Part B financial liability.
We stated in the proposed rule that beneficiaries would be liable for Part B copayments for each hospital Part B outpatient or Part B inpatient service and for the full cost of drugs that are usually self-administered, which section 1861(s)(2)(B) of the Act does not include. We noted that self-administered drugs are typically covered under Medicare Part D, and beneficiaries who have Part D coverage may submit a claim to their Part D plan for reimbursement of these costs. If a beneficiary must receive the self-administered drug from a hospital, rather than a community pharmacy, he or she would likely be subject to higher out-of-pocket costs due to the hospital pharmacy's status as a non-network pharmacy. Hospital billing systems, Part D reimbursement rates, and drug utilization review requirements make it difficult for hospitals to participate as a Part D network provider for these drugs. Therefore, if coverage is available, consistent with 42 CFR 423.124(b), beneficiaries would be responsible for the difference between the Part D plan's allowance and the hospitals' charges, and the difference may be significant.
Therefore, under our proposed Part B payment policy, some beneficiaries who are entitled to coverage under both Part A and Part B may have a greater financial liability for hospital services compared to current policy, as they would be liable for additional Part B services billed when the inpatient admission is determined not reasonable and necessary. Accordingly, we solicited public comments on whether we should consider additional policies to mitigate or prevent this potential additional liability for beneficiaries.
Comment: Most commenters asserted that changing beneficiary liability for hospital services after discharge, especially up to several years later, is inappropriate and unfair. Many commenters stated that while the proposed rule helps hospitals financially, it would financially harm low-income and other beneficiaries, and beneficiary advocates recommended that the proposal not be finalized for this reason. Hospitals believed it would be administratively burdensome and harmful to patient relations to bill beneficiaries for changes in liability after their discharge and without advance notice. Beneficiary advocates focused on beneficiaries' right to informed consent, involvement in their plan of care, and advance knowledge of liabilities, similar to the public comments we received in response to the CY 2013 OPPS/ASC final rule with comment period (77 FR 68432). To address these issues, the commenters recommended the following:
- Changes in cost-sharing should be waived as in the A-B rebilling demonstration, or Medicare should pay 100 percent of approved charges. In return, the hospital would agree not to charge the beneficiary for the cost of self-administered drugs.
- Alternatively, beneficiaries could be held harmless for any additional cost-sharing above their cost-sharing for the Part A denied services.
- Hospitals should have discretion in beneficiary billing policies, so long as the policies are applied consistently across all payers and patients.
One commenter requested that CMS clarify that hospitals must bill beneficiaries for Part B cost-sharing. Several commenters expressed concerns about being able to bill beneficiaries for Part B cost-sharing many years after the services were provided. The commenters stated that, in some cases, beneficiaries may have moved or may have died, and collecting the coinsurance/deductible from the beneficiary would prove difficult or impossible.
Response: We understand and appreciate the commenters' concerns. However, CMS does not have authority to limit beneficiary liability for Part B covered services. As we discussed in section XI.B.5. of the preamble of this final rule, beneficiary liability is governed under section 1879 of the Act. Under this section, the beneficiary is typically not liable for costs associated with a Part A inpatient service denied as not reasonable and necessary, and CMS has authority to indemnify, if necessary, the beneficiary for any cost, including the deductible and coinsurance, paid to the hospital (and to then treat this indemnification as an overpayment to the hospital). However, CMS does not have authority under section 1879 or any other section of the Act to adjust costs to the beneficiary associated with a properly filed Part B inpatient claim. Similarly, CMS does not have authority under the statute to “waive” cost sharing liability or liability for the cost of drugs that are usually self-administered as we had under the A/B Rebilling Demonstration, nor does CMS have authority to “make up” for the beneficiary's liability by paying 100 percent of the Part B charges or allowed amounts to hospitals.
For beneficiaries enrolled in Part B, we understand that the issue of whether hospitals are required to bill the beneficiaries for their Part B liabilities is governed by the beneficiary inducement and anti-kickback laws and, therefore, falls under the jurisdiction of the Office of the Inspector General (OIG). We refer the commenters to the OIG regarding whether hospitals are required to bill these beneficiaries for their Part B liabilities.
For beneficiaries not enrolled in Part B, hospitals should bill Part B to ensure the claim enters the coordination of benefits cross-over process in the event the beneficiary has coverage under a supplemental or secondary insurance plan (we refer readers to section XI.B.10. of the preamble of this final rule).
Comment: A few commenters noted that beneficiary liability amounts under Part B that hospitals are unable to recover will become bad debt under Medicare's payment rules.
Response: We agree that if a hospital is unable to recover beneficiary liability payments for covered Part B services, those amounts may become hospital Medicare bad debt. The hospital may claim uncollected copayments for covered Part B inpatient services as bad debt in accordance with the provisions of 42 CFR 413.89.
7. Applicable Beneficiary Liability: Skilled Nursing Facility Services
As discussed in section XI.A. of the preamble of this final rule, the increased use of hospital observation services has a number of implications in terms of a beneficiary's financial liability, one of which involves the ability to qualify for Part A coverage of posthospital SNF care. SNF coverage is affected because a hospital's observation services are considered outpatient rather than inpatient services, and section 1861(i) of the Act requires a qualifying 3-day inpatient hospital stay for Part A SNF coverage. The importance of a beneficiary's status as a hospital “inpatient” in terms of qualifying for posthospital SNF coverage has also generated concerns about the need to clarify any potential implications that the inpatient rebilling policy may have in this area. The following discussion presents a summary of the comments that we received on this topic, and our responses.
Comment: Several commenters expressed concern about the financial liability to patients or SNFs in cases where a patient had a 3-day qualifying inpatient stay and transferred to the SNF for Part A services, but the qualifying inpatient stay was subsequently denied and determined to be not medically necessary. Commenters suggested that there has been little direction from CMS regarding the financial liability to the beneficiary or the SNF if the qualifying Part A inpatient stay was determined to be not medically necessary.
Response: The Part B inpatient billing policy finalized in this rule would not change CMS' longstanding policy regarding the financial liability of the beneficiary or the SNF in situations where the inpatient hospital stay is subsequently denied after SNF admission.
Under this policy, the 3-day inpatient hospital stay which qualifies a beneficiary for “posthospital” SNF benefits need not actually be Medicare-covered, as long as it is medically necessary. In this particular context, section 20.1 of the Medicare Benefit Policy Manual, Chapter 8 (available online at http://www.cms.gov/Regulations-and-Guidance/Guidance/Manuals/Downloads/bp102c08.pdf), includes the following in its discussion of the SNF benefit's qualifying inpatient hospital stay requirement:
“. . . the qualifying hospital stay must have been medically necessary. Medical necessity will generally be presumed to exist. When the facts that come to the intermediary's attention during the course of its normal claims review process indicate that the hospitalization may not have been medically necessary, it will fully develop the case, checking with the attending physician and the hospital, as appropriate. The intermediary will rule the stay unnecessary only when hospitalization for 3 days represents a substantial departure from normal medical practice” (emphasis added).
The “substantial departure from normal medical practice” language was developed specifically to target those rare situations where the 3-day stay is clearly unnecessary by any reasonable standard. For example, the MAC could determine that a hospital stay was medically unnecessary for purposes of qualifying for post-hospital SNF coverage in situations where the care is so clearly unnecessary that it appears that the patient was admitted to the hospital solely for the purpose of attempting to qualify the beneficiary inappropriately for “posthospital” SNF benefits. Thus, a beneficiary's SNF coverage is not necessarily invalidated by a retroactive denial of the qualifying hospital stay, as long as the care provided during that hospital stay can still meet the relatively broad definition of medical necessity described above. Accordingly, the denial of the hospital stay itself would affect coverage of the related SNF stay only in those instances where it is further determined that “hospitalization for 3 days represents a substantial departure from normal medical practice.” As discussed above, for purposes of qualifying for SNF coverage, an inpatient hospital stay that is retroactively denied after SNF admission could still meet the relatively broad definition of medical necessity set forth in the manual provision cited above.
In addition, the status of the beneficiaries themselves does not change from inpatient to outpatient under the Part B inpatient billing policy. Therefore, even if the admission itself is determined to be not medically necessary under this policy, the beneficiary would still be considered a hospital inpatient for the duration of the stay—which, if it occurs for the appropriate duration, would comprise a “qualifying” hospital stay for SNF benefit purposes so long as the care provided during the stay meets the broad definition of medical necessity described above. This is consistent with the applicable statutory language in section 1861(i) of the Act which, in defining “post-hospital” SNF services, requires the beneficiary to be a hospital “inpatient for not less than 3 consecutive days”, and the implementing regulations at 42 CFR 409.30(a)(1), which require “medically necessary inpatient hospital . . . care”.
Comment: Commenters expressed concern that the proposed rule was not sufficient to reduce the trend toward more and longer observation stays and that increasing observation stays would continue to harm beneficiaries and prevent access to Medicare covered post-acute services. Commenters suggested that the best way to provide beneficiaries access to needed post-hospital skilled nursing facility care is for CMS to count all days in observation toward the 3-day inpatient hospital stay requirement for Medicare covered post-hospital SNF care. Commenters suggested either modifying or eliminating the 3-day requirement itself, or adjusting the definition of “inpatient” to include beneficiaries receiving observation services. Regarding the latter, one commenter cited the previous solicitation of public comment in the SNF PPS proposed rule for FY 2006 on the feasibility of making such an adjustment in the inpatient definition (70 FR 29099) as evidence that we have the authority to make this kind of modification administratively. While acknowledging that we ultimately declined to adopt this approach in the FY 2006 SNF PPS final rule (70 FR 45050), the commenter noted CMS' expressed intention to continue to review this issue, and urged CMS to consider once again the feasibility of taking such an action now.
Response: While we appreciate commenters' concerns regarding the trend toward more and longer observation stays and the impact of this on coverage of post-hospital SNF care, we believe that the policies finalized in this final rule regarding Part B inpatient billing and medical review of inpatient hospital admissions adequately address this issue. As reflected in the proposed rule, we share the concerns of commenters regarding the increases in the length of time that Medicare beneficiaries spend receiving observation services, and the proposed rule was intended to address those concerns. In the Part B Inpatient Billing proposed rule, and again in the IPPS proposed rule, we acknowledged concerns that hospitals appear to be responding to the financial risk of admitting Medicare beneficiaries for inpatient stays that might later be denied upon contractor review by electing to treat beneficiaries as outpatients receiving observation services, rather than admitting them as inpatients. As one step to address these concerns, we proposed revisions to Part B inpatient billing policy in the Part B Inpatient Billing proposed rule. To further address these concerns, in the FY 2014 IPPS/LTCH PPS proposed rule, we aimed to provide greater clarity regarding inpatient admission decisions and Medicare payment by, among other things, addressing medical review criteria for Medicare payment of inpatient admissions under Medicare Part A. We believe that the policies reflected in the proposed rules and adopted in this final rule appropriately address the concerns expressed by stakeholders by lowering the risk associated with inpatient stays and denials of inpatient stays.
The commenters suggested other approaches to addressing the effect of extended observation stays on SNF coverage (that is, eliminating the SNF benefit's qualifying 3-day hospital stay requirement, counting days spent in observation specifically toward meeting that requirement, or adjusting the definition of inpatient itself to include beneficiaries receiving observation services). We have previously discussed similar suggestions in the FY 2006 SNF PPS proposed rule (70 FR 29098-29100) and final rule (70 FR 45050-45051), and we continue to have the same concerns with those approaches as we expressed in the FY 2006 proposed and final rules. Moreover, as discussed above, we believe that the policies finalized in this FY 2014 IPPS final rule regarding Part B inpatient billing and medical review of inpatient hospital admissions appropriately address the issue of extended observation stays.
8. Time Limits for Filing Claims
Sections 1814(a)(1), 1835(a), and 1842(b)(3)(B) of the Act establish time limits for filing Medicare Part A and B claims. The regulations at 42 CFR 424.44 implement those sections of the Act and require that all claims for services furnished on or after January 1, 2010, be filed within 1-calendar year after the date of service unless an exception applies. In the November 29, 2010 final rule with comment period titled, “Medicare Program; Payment Policies under the Physician Fee Schedule and Other Revisions to Part B for CY 2011” (75 FR 73627) in which § 424.44 was modified, commenters requested that we create an exception to the time limits for filing claims so that hospitals are permitted to file inpatient Part B only claims for any inpatient cases that are retrospectively reviewed by a Medicare Recovery Audit Contractor (RAC) or other review entity and determined not to be medically necessary in an inpatient setting. Commenters requested that an exception be created at § 424.44(b) to allow for the billing of Part B inpatient and Part B outpatient claims when there is no coverage under Part A for a hospital stay. We stated in the Part B Inpatient Billing proposed rule (78 FR 16639 through 16640) that for the reasons discussed in the November 29, 2010 final rule, we declined to create such an exception and we continued to believe that was the correct decision.
Under CMS Ruling 1455-R (78 FR 16614), we adopted (although we did not endorse) the views of the Medicare Appeals Council and many ALJs that subsequent Part B rebilling is allowed after the timely filing period has expired. The Ruling states that subsequent Part B inpatient and Part B outpatient claims that are filed later than 1-calendar year after the date of service are not to be rejected as untimely by Medicare's claims processing system as long as the original corresponding Part A inpatient claim was filed timely in accordance with 42 CFR 424.44. We stated that the Ruling would remain in effect until the effective date of final regulations that result from the proposed rule. At that time, we stated that this final rule would supersede the Ruling's treatment of claims that providers file later than 1-calendar year after the date of service.
Accordingly, in the Part B Inpatient Billing proposed rule (78 FR 16639), we proposed a new § 414.5(b) that would require that claims for billed Part B inpatient services be rejected as untimely when those Part B claims are filed later than 1-calendar year after the date of service. Our proposal would treat these Part B claims as new claims subject to the timely filing requirements, instead of as adjustment claims. We stated that this is consistent with longstanding Medicare policy because an adjustment claim supplements information on a claim that was previously submitted without changing the fundamental nature of that original claim. In these Part B claim situations, however, the fundamental nature of the originally filed claim is changed completely (from a Part A claim to a Part B claim).
Therefore, in order to remove any ambiguity, we stated that if the rule was finalized as proposed, billed Part B inpatient claims would be rejected as untimely when those Part B claims are filed later than 1-calendar year after the date of service. Moreover, because it is the responsibility of providers to correctly submit claims to Medicare by coding services appropriately, we stated that it is important to note that the exception located at § 424.44(b)(1), which extends the time for filing a claim if failure to meet the deadline was caused by error or misrepresentation of an employee, contractor, or agent of HHS (commonly referred to as the “administrative error” exception) would not apply in situations where a provider bills the originally submitted Part A claim incorrectly. Finally, we reminded providers that, in accordance with 42 CFR 405.926(n), determinations that a provider failed to submit a claim timely are not appealable.
Over 300 commenters on the Part B Inpatient Billing proposed rule objected to the proposal that claims for billed Part B inpatient services would be rejected as untimely when those Part B claims are filed later than 1-calendar year after the date of service. One commenter supported the proposal.
Comment: A majority of the commenters proposed that CMS waive, remove, eliminate, or not apply the 1-calendar year time limit to file claims to billed Part B services. Commenters stated that it was both unlawful and fundamentally unfair to apply the 1-calendar year time limit to file claims to billed Part B services in situations when a Medicare contractor denies a Part A claim on the ground that although the medical care was reasonable and necessary, the inpatient admission was not. Commenters stated that applying the 1-calendar year time limit to file claims to billed Part B services was particularly troubling because RACs may audit claims for services with dates of service within the prior 3 years, and claims typically reviewed by the RAC are more than 1 year old. In addition, commenters stated that there is no time limit by which a RAC must complete its review of claims requested for review. Commenters contended that the 1-calendar year time limit to file Part B services could easily expire before the RAC review of the Part A inpatient claim is completed or before it has even begun. Commenters believed the proposed rule's time limit to file claims leaves few, if any, of a hospital's denied Part A claims eligible for billing. Therefore, commenters proposed that CMS waive, remove, eliminate, or not apply the 1-calendar year time limit to claims for medically necessary Part B inpatient services that were furnished by hospitals.
Response: Although we agree that RACs may audit claims with dates of service within the prior 3 years, we disagree with the commenters that there is no time limit by which a RAC must complete its review of claims requested for review. Medicare requires RACs to complete their complex reviews of claims within 60 days from receipt of the medical record documentation.
We also disagree that it is unlawful and fundamentally unfair to apply the 1-calendar year time limit to file claims to billed Part B services in situations when a Medicare contractor denies a Part A claim on the ground that although the medical care was reasonable and necessary, the inpatient admission was not. Sections 1835(a) and 1842(b)(3)(B) of the Act require that all Part B claims for services be filed within 1-calendar year after the date of service.
Although we have the ability to create exceptions to the 1-calendar year time limit to file claims, the existing exceptions at § 424.44(b)(1)-(4) were created because providers, suppliers, and beneficiaries, through no fault of their own, would be disadvantaged by strict application of the 1-calendar year timely filing requirements. Hospitals in this type of billing situation (unlike in the situations addressed by the existing exceptions) have the ability to avoid being disadvantaged by the 1-calendar year time limit to file claims and by any subsequent RAC audit if they bill correctly by following Medicare's guidelines for hospital inpatient admissions.
Furthermore, we disagree that it is unlawful and fundamentally unfair to apply the 1-calendar year time limit to file claims for Part B services, because hospitals are responsible for determining whether the submission of a Part A or Part B claim is appropriate within the applicable timeframe. In order to assist hospitals in making those claim determinations and to make the billing process as fair as possible for hospitals, we revised the hospital inpatient admissions guidelines and external medical review criteria for those admissions. In section XI.C. of the preamble of this final rule, we clarify those guidelines and believe this guidance provides additional clarity. The guidance and review criteria should reduce the volume of this type of Part A claim denial and the need for hospitals to rebill under Part B. Therefore, because hospitals are responsible for correctly submitting claims to Medicare by coding services in accordance with the hospital inpatient admission guidelines and because sections 1835(a) and 1842(b)(3)(B) of the Act require that all Part B claims for services be filed within 1-calendar year after the date of service, we were not persuaded to modify the rule based on these comments.
Comment: A number of commenters proposed that the time limit to file claims requirements should be equal to, comparable to, or aligned with, the RAC review timeframes. Commenters stated that it was unreasonable that RACs have an audit review period of 3 years from the date of service, and hospitals only have 1 calendar year from the date of service to bill medically necessary Part B services that were furnished. Commenters stated that it is impossible for a hospital to file a Part B claim within 1 calendar year of the date of service when the Part A claim denial occurs after the timely filing period expired.
Response: We disagree with the commenters that it is unreasonable that Medicare does not align the RAC audit review time periods with the 1-calendar year time limit to file claims. Sections 1835(a) and 1842(b)(3)(B) of the Act require that all Part B claims for services be filed within 1-calendar year after the date of service. In addition, section 1893(h)(4)(B) of the Act indicates that recovery and audit activities (with respect to Medicare payments) may be conducted retrospectively for a period of not more than 4 fiscal years prior to the current fiscal year. Medicare has instructed RACs not to attempt to identify any overpayment or underpayment more than 3 years past the date of the initial determination made on the claim. Although we have the ability to create exceptions to the 1-calendar year time limit to file claims, the existing exceptions at § 424.44(b)(1) through (b)(4) were created because providers, suppliers, and beneficiaries through no fault of their own would be disadvantaged by strict application of the 1-calendar year timely filing requirements. Hospitals in this type of billing situation (unlike in the situations addressed by the existing exceptions) have the ability to avoid being disadvantaged by the 1-calendar year time limit to file claims and by any subsequent RAC audit if they bill correctly by following Medicare's guidelines for hospital inpatient admissions.
In order to assist hospitals in making those claim determinations and to make the billing process as fair as possible for hospitals, we revised the hospital inpatient admissions guidelines and external medical review criteria for those admissions. In section XI.C. of the preamble of this final rule, we clarify those guidelines and believe this guidance provides additional clarity. The guidance and review criteria should reduce the volume of this type of Part A claim denial and the need for hospitals to rebill under Part B. Therefore, we are not reducing the 4-fiscal year timeframe further or creating a new exception to the 1-calendar year time limit to file claims for this type of billing situation, and are not modifying the rule based on these comments.
Comment: Several commenters stated that finalizing the proposed rule with a 1-calendar year time limit to file claims will not lessen the steady stream of hospital appeals. The commenters stated that hospitals will continue to fully appeal to all levels any Part A claim denials because of hospitals' inability to meet the 1-calendar year time limit to file Part B claims.
Response: We believe the revised guidelines for hospital inpatient admissions and external medical review criteria for those admissions published in section XI.C. of the preamble of this final rule are clear and should reduce the volume of Part A claim denials and appeals. We expect these guidelines to reduce the volume of Part A claim denials and subsequent appeals because these guidelines provide additional clarification regarding the circumstances under which a beneficiary should be admitted as an inpatient and of the criteria that will be used during the medical review process. Although we believe our previous guidelines were clear, we believe the revised guidelines will promote greater shared or mutual understanding between hospitals, physicians, and Medicare's medical review contractors. That is, the likelihood that hospitals or physicians will have a different understanding than Medicare's medical review contractors of what constitutes an appropriate inpatient stay will be significantly reduced as a result of the guidelines published in section XI.C. of the preamble of in this final rule. As a result, we anticipate a significant reduction in the volume of Part A claim denials and appeals. Therefore, we are not modifying our proposal based on these comments.
Comment: A number of commenters proposed that CMS permanently adopt the interim time limit to file claims policy in the CMS 1455-R Ruling. The commenters believed that hospitals should have 180 days from the date of receipt of the final or binding unfavorable appeal decision (or subsequent dismissal notice) of the denied Part A claim to submit a Part B claim.
Response: In the CMS 1455-R Ruling, we stated that until final regulations could be issued, we were temporarily adopting, but not endorsing, the views of the Medicare Appeals Council and many ALJs that subsequent Part B billing is supported by concepts of adjustment billing. However, as we indicated in the proposed rule, consistent with longstanding Medicare policy, an adjustment claim supplements information on a previously submitted claim without changing the fundamental nature of the original claim. The concept of adjustment billing employed by the Medicare Appeals Council and many ALJs, and supported by the commenters, is inconsistent with longstanding Medicare policy because, in these situations, the nature of the original claim is fundamentally changed from a Part A claim to a Part B claim. When this type of Part A claim denial occurs and a hospital subsequently submits a Part B claim for the denied services, the hospital is submitting a new Part B claim (it is not adjusting the original Part A claim). Because hospitals are responsible for determining whether submission of a Part A or Part B claim is appropriate within the applicable timeframe, permanently adopting the concept of adjustment billing used in the CMS 1455-R Ruling would allow hospitals to avoid the responsibility of correctly submitting claims to Medicare. Therefore, we were not persuaded to modify the rule based on these comments.
However, because the Medicare Appeals Council and many ALJs did not consider our longstanding policy (that Part A claims cannot be adjusted into Part B claims) to be clear and because many commenters considered our timely filing proposal in the proposed rule to be unfair, we will permit hospitals to follow the Part B billing timeframes established in the Ruling after the effective date of this rule, provided (1) the Part A claim denial was one to which the Ruling originally applied; or (2) the Part A inpatient claims has a date of admission before October 1, 2013, and is denied after September 30, 2013 on the grounds that although the medical care was reasonable and necessary, the inpatient admission was not. We believe our decision is fair to all relevant stakeholders.
Comment: A number of commenters proposed that hospitals should be able to obtain full Part B payment for billed medically necessary Part B services through an adjustment claim process. The commenters stated that, under existing Medicare procedures, hospitals can make changes to a filed claim using an adjustment bill process, and those adjustment bills are not subject to the time limit to file claims restrictions. In addition, the commenters stated that ALJs and the Departmental Appeals Board (DAB) agreed that the principles of administrative finality supersede timely filing rules in this context and these principles permit an adjustment to be made to the Part A claim. The commenters stated that the services for which hospitals are seeking reimbursement are the same services which were originally submitted for payment. The commenters stated that hospitals are willing to provide the information necessary to obtain full Part B payment through an adjustment process, and this process can be designed by Medicare to fit the needs of this particular situation. Therefore, the commenters proposed that hospitals should be permitted to obtain full Part B payment for billed medically necessary Part B services through an adjustment claim process.
Response: As we stated in the proposed rule, consistent with longstanding Medicare policy, an adjustment claim supplements information on a previously submitted claim without changing the fundamental nature of the original claim. However, under the concept of adjustment billing advocated by the commenters, the nature of the original claim is fundamentally changed when the claim is changed from a Part A claim to a Part B claim because Part A and Part B have different legal structures, regulations, payment methodologies, claims processing systems, and coding structures. In addition, because hospitals are responsible for determining whether submission of a Part A or Part B claim is appropriate within the applicable timeframe, permanently adopting the concept of adjustment billing so that hospitals can change claims from Part A claims to Part B claims would allow hospitals to avoid their responsibility to correctly submit claims to Medicare. Therefore, because Part A claims cannot be adjusted into Part B claims and hospitals are responsible for determining whether submission of a Part A or Part B claim is appropriate within the applicable timeframe, we were not persuaded to modify the rule based on these comments.
Comment: A few commenters proposed that CMS use the existing authority under the Affordable Care Act to create an exception to the time limits for filing claims so that hospitals and physicians are permitted to file Part B claims when Part A claims are retrospectively reviewed by RACs and determined not to be reasonable and necessary in an inpatient setting. The commenters proposed, for example, that hospitals be permitted to file claims for Part B services no later than 30 days after the date of the final appeal decision, or be permitted to file Part B claims 180 days after the date the contractor communicates its decision that the Part A inpatient admission was denied, or that Medicare should reset the timely filing period to allow the submission of Part B claims following an appeal of a denied claim that was reviewed by a RAC or ALJ determination.
Response: Although we have the ability to create exceptions to the 1-calendar year time limit to file claims, the existing exceptions at § 424.44(b)(1) through (b)(4) were created because providers, suppliers, and beneficiaries, through no fault of their own, would be disadvantaged by strict application of the 1-calendar year timely filing requirements. Hospitals in this type of billing situation (unlike in the situations addressed by the existing exceptions) have the ability to avoid being disadvantaged by the 1-calendar year time limit to file claims and by RAC audits if they bill correctly by following Medicare's guidelines for hospital inpatient admissions. Furthermore, hospitals are responsible for determining whether submission of a Part A or Part B claim is appropriate within the applicable timeframe. Therefore, we are not modifying the rule based on these comments.
Comment: Many commenters proposed that CMS change the time limit to file a Part B claim from 1-calendar year after the date of service to 1 year or 120 days from the date of denial of the Part A claim, or if the hospital appeals, 120 or 180 days after the unfavorable decision. The commenters stated that this proposal matches the current redetermination and reconsideration filing timeframes and allows hospitals to bill and be paid for medically necessary care that was incorrectly billed under Part A.
Response: Sections 1835(a) and 1842(b)(3)(B) of the Act require that all Part B claims for services be filed within 1 calendar year after the date of service. Because the law requires Part B claims be filed within 1-calendar year after the date of service, we do not have the legal authority to change that timeframe to the date of denial of the Part A claim or from the date of a final or binding appeal decision as proposed by the commenters.
Although we have the ability to create exceptions to the 1-calendar year time limit to file claims, the existing exceptions at § 424.44(b)(1) through (b)(4) were created because providers, suppliers, and beneficiaries, through no fault of their own, would be disadvantaged by strict application of the 1-calendar year timely filing requirements. Hospitals in this type of billing situation (unlike in the situations addressed by the existing exceptions) have the ability to avoid being disadvantaged by the 1-calendar year time limit to file claims and by RAC audits if they bill correctly by following Medicare's guidelines for hospital inpatient admissions. Therefore, we are not modifying the rule based on these comments.
Comment: Several commenters proposed that the time limit to file claims be based on the date of any decision point in the review or appeal process of the Part A claim. The commenters proposed, for example, that a 120 or 180 day time limit to file a Part B claim could start on the date the Part A claim is denied, or a 1 year time limit to file a Part B claim could start on the date the final appeal was adjudicated. Commenters stated that because Recovery Auditors (formerly known as RACs) and other contractors have a longer recovery and audit review period, contractors have an incentive to review older claims so there is no possibility to bill the Part B claims within the timely filing period.
Response: We agree that the law permits Recovery Auditors to identify any overpayment or underpayment more than 1-calendar year past the date of the initial determination made on the claim. Pursuant to section 1893(h)(4)(B) of the Act, Recovery Auditors have the authority to conduct recovery and audit activities (with respect to Medicare payments) retrospectively for a period of not more than 4 fiscal years prior to the current fiscal year. Medicare, though, has instructed Recovery Auditors not to attempt to identify any overpayment or underpayment more than 3 years past the date of the initial determination made on the claim, and Recovery Auditors currently select claims with the highest probability of error within the 3-year span.
We acknowledge provider concern and are also releasing revised admission guidance and medical review criteria. This provides physicians with a clear benchmark for determining the appropriateness of an inpatient admission. We note that a significant number of the claims submitted improperly, and subsequently reviewed and recouped, are for elective or minor surgical procedures. We expect the majority of such improper payments to be resolved with the implementation of the 2-midnight instruction. In addition, review contractors are instructed in the final rule that inpatient hospital claims with lengths of stay greater than 2 midnights after the formal admission following the order will be presumed generally appropriate for Part A payment and will not be the focus of medical review efforts absent evidence of systematic gaming, abuse, or delays in the provision of care in an attempt to qualify for the 2-midnight presumption.
Moreover, sections 1835(a) and 1842(b)(3)(B) of the Act require that all Part B claims for services be filed within 1-calendar year after the date of service. Because the law requires Part B claims be filed within 1-calendar year after the date of service, we do not have the legal authority to change that timeframe to the date of any decision point in the review or appeal process of the Part A claim.
Although we have the ability to create exceptions to the 1-calendar year time limit to file claims, the existing exceptions at § 424.44(b)(1)-(4) were created because providers, suppliers, and beneficiaries, through no fault of their own, would be disadvantaged by strict application of the 1-calendar year timely filing requirements. Hospitals in this type of billing situation (unlike in the situations addressed by the existing exceptions) have the ability to avoid being disadvantaged by the 1-calendar year time limit to file claims and by Recovery Auditor audits if they bill correctly by following Medicare's guidelines for hospital inpatient admissions. Therefore, we are not modifying the rule based on these comments.
Comment: A few commenters stated that hospitals have the option to proceed through a 5-stage appeal process and that if the full period of time is taken for each level of appeal, the appeals process for the denied Part A claim can take more than 2 years. Therefore, the commenters proposed that the time limit to file claims not apply to the billed Part B claim if the Part A claim was filed timely and the Part A claim appeal process was initiated timely.
Response: Hospitals are responsible for determining whether submission of a Part A or Part B claim is appropriate within the applicable timeframe. In order to assist hospitals in making those claim determinations and to make the billing process as fair as possible for hospitals, we revised the hospital inpatient admissions guidelines and external medical review criteria for those admissions. We clarify in section XI.C. of the preamble of this final rule those guidelines and believe this guidance provides additional clarity.
Although we have the ability to create exceptions to the 1-calendar year time limit to file claims, the existing exceptions at § 424.44(b)(1) through (b)(4) were created because providers, suppliers, and beneficiaries, through no fault of their own, would be disadvantaged by strict application of the 1-calendar year timely filing requirements. Hospitals in this type of billing situation (unlike in the situations addressed by the existing exceptions) have the ability to avoid being disadvantaged by the 1-calendar year time limit to file claims and by RAC audits if they bill correctly by following Medicare's guidelines for hospital inpatient admissions.
Comment: Commenters stated that because Medicare allowed rebilling under the RAC demonstration program and the Part A to B demonstration program and because ALJ rulings indicate that Medicare's contractors have the authority to address the overall claim at the time of reopening, Medicare has acknowledged that rebilling post denial or post appeal is feasible. Several commenters proposed that CMS consider the denied Part A claim as a reopened claim and that the only time constraint should be based on the appeal timeline or be 1 year from the date of reopening.
Response: We temporarily permitted billing of claims to Medicare Part B beyond 1-calendar year after the date of service in the RAC demonstration program and the Part A to B demonstration program because those programs were limited in scope and experimental in nature. Those programs were used to gather information regarding the feasibility and potential usefulness of such billing practices. They are not precedent setting Medicare billing programs. Longstanding Medicare policy prohibits such billing because hospitals are responsible for determining whether submission of a Part A or Part B claim is appropriate within the applicable timeframe.
In addition, Part A claims cannot be reopened and “adjusted” into Part B claims because the Medicare claims processing systems changes that would be required in order to implement those types of adjustments (from Part A to Part B) are impossible for Medicare's systems maintainers to implement and sustain. If a Part A claim was reopened and subsequently rebilled or “adjusted” so that the Part B services are billed on that reopened claim, the nature of the original claim fundamentally changes from a Part A claim to a Part B claim. Besides being contrary to longstanding Medicare policy, it is impossible for Medicare to establish and sustain a claim processing system that changes Part A claims into Part B claims because Parts A and B have different legal structures, regulations, payment methodologies, and coding structures. Therefore, we were not persuaded to modify the rule based on these comments.
Comment: Several commenters proposed that the time limit to file claims not apply to rebilled Part B claims based on the concept of equitable tolling. The commenters stated that courts have determined that the concept of equitable tolling applies when a party has been induced or even tricked into allowing a filing deadline to pass. The commenters stated hospitals file tens of thousands of claims each year, and it would be impossible for a hospital to determine which of these claims, even though originally paid by a Medicare contractor, will be singled out later by a RAC (up to 3 years after the date of service) and denied. The commenters believed hospitals are essentially being induced into missing the timely filing deadline for the Part B claims and, therefore, the commenters believed equitable tolling should apply to allow hospitals to bill the Part B claims.
Response: The existing exceptions at § 424.44(b)(1) through (b)(4) were created because providers, suppliers, and beneficiaries, through no fault of their own, would be disadvantaged by strict application of the 1-calendar year time limit to file claims. Hospitals in this type of billing situation (unlike in the situations addressed by the existing exceptions) have the ability to avoid being disadvantaged by the 1-calendar year time limit to file claims and by RAC audits if they bill correctly by following Medicare's guidelines for hospital inpatient admissions.
We disagree that hospitals are being induced or tricked into missing the 1-calendar year time limit to file Part B claims because hospitals are responsible for determining whether the submission of a Part A or Part B claim is appropriate within the applicable timeframe. Hospitals make Part A or Part B claim determinations by themselves; we do not make those determinations for hospitals nor do we induce or trick hospitals into filing Part A claims. We assist hospitals in making claim determinations and make the billing process as fair as possible by providing hospitals with clear hospital inpatient admission guidelines and external medical review criteria for those admissions.
Although we believe our previous guidelines were clear, we believe the revised guidelines presented in section XI.C. of the preamble of this final rule will promote greater shared or mutual understanding between hospitals, physicians, and Medicare's medical review contractors. That is, the likelihood that hospitals or physicians will have a different understanding than Medicare's medical review contractors of what constitutes an appropriate inpatient stay will be significantly reduced as a result of these revised guidelines. As a result, we anticipate a significant reduction in the volume of Part A claim denials and appeals. Therefore, we are not modifying the rule based on these comments.
Comment: Several commenters stated that many Medicare contractors are not able to properly acknowledge receipt of a hospital's Part A claim appeal withdrawal and are not ready to accept Part B claims pursuant to the interim policy in Ruling CMS-1455-R. The commenters proposed that the time limits to file claims not be applied to any Part A claim appeal a hospital withdraws prior to implementation of this final rule. The commenters believed that all claims with a date of service prior to the effective date of the final rule should be governed by the policies in Ruling CMS-1455-R, regardless of whether any administrative proceedings concerning such claims take place after the effective date of the final rule. Another commenter asked whether a hospital that withdraws a Part A claim appeal while the interim policy in the Ruling is in effect, but the Medicare contractor does not respond until after the effective date of the final rule, will be able to bill under Part B for that claim. Another commenter asked whether a hospital that withdraws a Part A claim appeal and the Medicare contractor responds while the interim policy in the Ruling is still in effect, have to bill the Part B claim prior to the effective date of the final rule. Another commenter asked whether a Part A claim that is denied while the interim policy in the Ruling is in effect and the hospital decides to bill under Part B for that claim has to be filed before the effective date of the final rule. Another commenter asked whether a hospital can withdraw an appeal of the Part A claim after the effective date of the final rule if the Part A claim was denied while the interim policy in the Ruling was in effect. Another commenter asked whether a Part B claim that was submitted while the interim policy in the Ruling was in effect, but was not adjudicated by the Medicare contractor before the effective date of this final rule, will be processed in accordance with the interim policy of the Ruling.
Response: Because the Medicare Appeals Council and many ALJs did not consider our longstanding policy (that Part A claims cannot be adjusted into Part B claims) to be clear and because many commenters considered our timely filing proposal in the proposed rule to be unfair, we will permit hospitals to follow the Part B billing timeframes established in the Ruling after the effective date of this rule, provided (1) the Part A claim denial was one to which the Ruling originally applied; or (2) the Part A inpatient claims has a date of admission before October 1, 2013, and is denied after September 30, 2013 on the grounds that although the medical care was reasonable and necessary, the inpatient admission was not. We believe that this decision addresses the commenters' concerns and that our decision is fair to all relevant stakeholders.
Comment: Two commenters proposed that the 1-calendar year time limit to file claims should apply in situations where the provider's self-audit results in submitting a Part B claim after a Part A claim was initially submitted.
Response: As stated above, hospitals are responsible for determining whether submission of a Part A or Part B claim is appropriate within the applicable timeframe, and hospitals may self-audit and correct this type of Part A billing error. If a hospital self-audits and discovers that it mistakenly filed (and received payment for) a Part A claim, the hospital must return that Part A payment (including refunding any Part A cost sharing amounts collected from the beneficiary or from a third party on behalf of the beneficiary) and may file (and receive payment for) the Part B claim as long as that Part B claim is filed within 1-calendar year after the date of service. It is unnecessary to modify the rule based on these comments because the comments are consistent with the proposed rule.
Comment: One commenter stated that CMS should coordinate the time limit to file claims with Medigap plans timely filing requirements.
Response: Section 1882(c)(3)(A) of the Act obligates a Medigap plan to make a payment determination on the basis of the information contained in Medicare's electronic notice to the Medigap plan. We believe this requirement overrides any timely filing requirement that a Medigap plan may have and obligates the Medigap plan to make payment when a beneficiary incurs a new cost-sharing obligation (for example, when a hospital submits a new Part B claim that is processed and paid by Medicare). Therefore, we are not modifying the final rule based on this comment.
Comment: One commenter proposed that claims for Part B inpatient services be rejected as untimely when those Part B claims are filed later than 1 calendar year after the date of service, the date of Part A claim denial, or the date of the binding unfavorable decision on appeal of a Part A denied claim, whichever is longer.
Response: Sections 1835(a) and 1842(b)(3)(B) of the Act require that all Part B claims for services be filed within 1-calendar year after the date of service. Because the Act requires Part B claims be filed within 1-calendar year after the date of service, we do not have the legal authority to change that timeframe to the various timeframes suggested by the commenter.
Although we have the ability to create exceptions to the 1-calendar year time limit to file claims, the existing exceptions at § 424.44(b)(1) through (b)(4) were created because providers, suppliers, and beneficiaries, through no fault of their own, would be disadvantaged by strict application of the 1-calendar year timely filing requirements. Hospitals in this type of billing situation (unlike in the situations addressed by the existing exceptions) have the ability to avoid being disadvantaged by the 1-calendar year time limit to file claims and by RAC audits if they bill correctly by following Medicare's guidelines for hospital inpatient admissions. Therefore, we are not modifying the rule based on this comment.
Comment: One commenter supported the proposed rule.
Response: We appreciate the commenter's support.
In summary, although we have the ability to create exceptions to the 1-calendar year time limit to file claims, the existing exceptions at § 424.44(b)(1)-(4) were created because providers, suppliers, and beneficiaries, through no fault of their own, would be disadvantaged by strict application of the 1-calendar year timely filing requirements. Hospitals in this type of billing situation (unlike in the situations addressed by the existing exceptions) have the ability to avoid being disadvantaged by the 1-calendar year time limit to file claims and by RAC audits if they bill correctly by following Medicare's guidelines for hospital inpatient admissions.
In order to assist hospitals in making those claim determinations and to make the billing process as fair as possible for hospitals, we revised the hospital inpatient admissions guidelines and external medical review criteria for those admissions. In section XI.C. of the preamble of this final rule, we clarify those guidelines and believe this guidance provides additional clarity. The guidance and review criteria should reduce the volume of this type of Part A claim denial and the need for hospitals to rebill under Part B. Therefore, we are not reducing the 4-fiscal year recovery and audit timeframe further or creating a new exception to the 1-calendar year time limit to file claims for this type of billing situation, and are not modifying the rule.
We are finalizing the regulatory text of new § 414.5(c) as proposed. (This text was proposed as § 414.5(b) but has been redesignated as § 414.5(c) in this final rule.) However, we are modifying what we stated in the preamble of the proposed rule regarding the applicability of the CMS-1455-R Ruling and this final rule to certain situations. Specifically, hospitals are permitted to follow the Part B billing timeframes established in the CMS-1455-R Ruling regarding appeals and the submission of Part B claims after the effective date of the final rule, provided (1) the Part A inpatient claim denial was one to which the Ruling originally applied; or (2) the Part A inpatient claim has a date of admission before October 1, 2013 (the effective date of this final rule), and is denied after September 30, 2013, on the grounds that the medical care was reasonable and necessary, but the inpatient admission was not. Therefore, we are finalizing new § 414.5(c), but we will continue to apply the Ruling to the situations described above.
9. Appeals Procedures
As explained in the Part B Inpatient Billing proposed rule (78 FR 16640), and in CMS Ruling 1455-R, issued concurrently with the proposed rule (78 FR 16614), if a hospital is dissatisfied with an initial or revised determination by a Medicare contractor to deny a Part A claim for an inpatient admission as not reasonable and necessary, the hospital may either submit Part B inpatient or outpatient claims (consistent with this proposed rule) or file a request for appeal of the denied Part A claim in accordance with the procedures in 42 CFR Part 405, Subpart I. In order to prevent duplicate billing and payment, a hospital may not have simultaneous requests for payment for the same services provided to a single beneficiary on the same dates of service (IOM Pub. 100-4, Chapter 1, section 120). This includes requests for payment under both Medicare Part A and Part B. Thus, we explained that if a hospital chooses to submit a Part B claim for payment following the denial of an inpatient admission on a Part A claim, the hospital cannot also maintain its request for payment for the same services on the Part A claim (including an appeal of the Part A claim). In this situation, before the hospital submits a Part B claim, it must ensure that there is no pending appeal request on the Part A claim. (A pending appeal means an appeal for which there is no final or binding decision or dismissal.) We proposed that if the hospital has filed a Part A appeal, the appeal must be withdrawn, or the decision must be final or binding, before the Part B claim can be processed. If a hospital submits a Part B claim for payment without withdrawing its appeal request, the Part B claim would be denied as a duplicate. In addition, once a Part B claim is filed, there would be no further appeal rights available with respect to the Part A claim. However, the hospital and beneficiary would have appeal rights with respect to an initial determination made on the Part B claim under existing policies set forth at 42 CFR Part 405, Subpart I.
We also proposed that if a beneficiary files an appeal of a Part A inpatient admission denial, a hospital cannot utilize the Part B billing process proposed in this rule to extinguish a beneficiary's appeal rights. Therefore, the hospital's submission of a Part B claim would not affect a beneficiary's pending appeal or right to appeal the Part A claim. If a beneficiary has a pending Part A appeal for an inpatient admission denial, any claims rebilled under Part B by the hospital would be denied as duplicates by the Medicare contractor. As we explained in the Part B Inpatient Billing proposed rule (78 FR 16640), in order for the Part B claim(s) to be processed, the Part A appeal must be final or binding, or dismissed following a request for withdrawal. For example, if a beneficiary receives an unfavorable reconsideration on a Part A inpatient claim and does not file a timely request for hearing before an administrative law judge (ALJ), the reconsideration decision becomes binding. At that point, the hospital could submit a Part B claim, provided it either is a claim controlled by the provisions of CMS Ruling 1455-R, or it is a claim that has been filed within 12 months from the date of service (proposed 42 CFR 414.5(b) and 42 CFR 424.44).
We also explained in the proposed rule that beneficiaries who are not enrolled in Medicare Part B may be liable for the cost of items and services associated with a hospital stay when billed under the Part B billing process proposed in the proposed rule. We believe that some beneficiaries who are not enrolled in Medicare Part B may have other health insurance that might pay for some or all of the Part B items and services. If a beneficiary is not enrolled in Medicare Part B, we encouraged hospitals to submit a Part B claim to Medicare before billing the beneficiary so that, when appropriate, the beneficiary's supplemental insurer receives the claim.
In the proposed rule and in CMS Ruling 1455-R, we explained the scope of review of an appeals adjudicator in the context of our proposed Part B billing policy. As noted in CMS Ruling 1455-R, a large number of recent appeal decisions for Part A inpatient admission claim denials by Medicare review contractors affirmed the Part A inpatient admission denial, but ordered that payment be issued as if services were provided at the outpatient or “observation” level of care under Medicare Part B. These decisions ordered payment under Part B (or consideration of payment for services furnished that the contractor determined to be covered and payable under Part B) even though a Part B claim had not been submitted for payment. We also explained that hospitals are solely responsible for submitting claims for items and services provided to beneficiaries and determining whether submission of a Part A or Part B claim is appropriate. Once a hospital submits a claim, the Medicare contractor makes an initial determination and determines any payable amount (42 CFR 405.904(a)(2)). Under existing Medicare policy, if such a determination is appealed, an appeals adjudicator's scope of review is limited to the claim(s) that are before them on appeal, and such adjudicators may not order payment for items or services that have not yet been billed or have not yet received an initial determination. (We refer readers to sections 1869(a)(3)(B)(i), 1869(b)(1)(A), and 1869(c)(3)(B)(i) of the Act and 42 CFR 405.920, 405.940, 405.948, 405.954, 405.960, 405.968, 405.974, 405.1000, 405.1032, 405.1100, 405.1112, and 405.1128 of the regulations.) For example, if a hospital submits an appeal of a determination that a Part A inpatient admission was not reasonable and necessary, the only issue before the adjudicator is the propriety of the Part A claim, not an issue involving any potential Part B claim the hospital has not yet filed. In making a decision on that Part A claim, an appeals adjudicator may not develop information, or make a finding, with respect to a Part B claim that does not exist.
Thus, under the billing processes described in the proposed rule, if a hospital appeals a Part A inpatient admission denial and receives a decision indicating that payment may not be made under Part A, appeals adjudicators may not order payment for items and services not yet billed under Part B. Rather, payment for items and services that may be covered under Part B may only be made in response to a Part B claim submitted by the hospital that is timely filed, as proposed under proposed 42 CFR 414.5(b) and 42 CFR 424.44.
Comment: Many commenters expressed concerns about CMS' clarification of the scope of review of an appeals adjudicator during appeals of Part A inpatient admission claim denials in the context of Part B billing, and requested that CMS remove the restriction. Many commenters characterized the clarification of the scope of review as a change or restriction on an adjudicator's existing scope of review and commented that CMS does not have the authority to limit the scope of review. One commenter suggested that CMS conduct a comprehensive assessment of the impact of reducing adjudicator authority, specifically the ALJ, and publish such an assessment for comment before making any changes. Other commenters expressed concerns about the scope of review, asserting that it is only at the ALJ level where a fair and comprehensive review of the RAC's denial takes place, that ALJs and other adjudicators should be able to order equitable remedies, and that favorable decisions issued by ALJs are accorded little or no precedential value by RACs because RACs deny substantially similar claims without regard to previous ALJ decisions.
Response: As explained in the proposed rule and in CMS Ruling 1455-R, a large number of recent appeal decisions for Part A inpatient admission claim denials by Medicare review contractors have affirmed the Part A inpatient admission denial, but ordered that payment be issued as if services were provided at the outpatient or “observation” level of care under Medicare Part B. In these cases, appeals adjudicators made decisions with respect to payment, and in some cases, coverage, regarding services that are paid under Medicare Part B, even though a Part B claim had not been submitted by the provider. As we explained, hospitals are solely responsible for submitting claims for items and services provided to beneficiaries and determining whether submission of a Part A or Part B claim is appropriate. Following the submission of a claim by a hospital, the Medicare contractor makes an initial determination regarding coverage and determines any payable amount (42 CFR 405.904(a)(2)), and if that determination is appealed, appeals adjudicators make findings with respect to the contractor's initial determination on the specific claim submitted by the hospital.
We disagree with the commenters who characterized our explanation of the scope of review during appeals of Part A inpatient admission claim denials in the context of Part B billing as a restriction of an adjudicator's existing scope of review. As explained in the proposed rule and in CMS Ruling 1455-R, existing Medicare policy provides that an appeals adjudicator's scope of review is limited to the initial determination(s) made on the claim(s) that are before them on appeal (sections 1869(a)(3)(B)(i), 1869(b)(1)(A), and 1869(c)(3)(B)(i) of the Act; 42 CFR 405.920, 405.940, 405.948, 405.954, 405.960, 405.968, 405.974, 405.1000, 405.1032, 405.1100, 405.1112, and 405.1128 of the regulations). This policy has been in place since 2005 with the publication of the interim final rule with comment period, “Medicare Program: Changes to the Medicare Claims Appeals Procedures” (70 FR 11420). [195] Adjudicators may not order payment for items or services that have not yet been billed or have not yet received an initial determination. As evidenced by the numerous decisions which reached issues of coverage and/or payment for services under Part B when no Part B claim was filed, we believe it is necessary to clarify that such findings are premature and, consistent with longstanding policy, can only be made following submission of a Part B claim by a hospital.
As we explained in the proposed rule, it is the responsibility of the hospital to determine whether a Part A or Part B claim should be submitted for the items and services furnished to the patient (78 FR 16640). Based on the claim submitted to the Medicare contractor, the contractor issues an initial determination with respect to coverage and payment for the items and/or services on the claim. That initial determination may then be appealed with adjudicators making findings with respect to the contractor's initial determination on the claim. As noted previously, this is an explanation of a longstanding policy merely applied to the context of our Part B inpatient billing policy, and is not a new restriction on the scope of review. Therefore, we do not believe it is necessary to undertake an impact assessment on this aspect of the proposed rule.
We believe each level of the appeals process provides appellants with a fair, independent, and comprehensive review of the issues raised in the appeal. Contractor personnel who were involved in the initial determination are precluded from making decisions related to the redetermination (42 CFR 405.948). At the reconsideration level, CMS contracts with organizations that are independent of claims processing contractors. At both levels of appeal (the redetermination and reconsideration), appellants are able to submit evidence and arguments to support their position that the initial determination was incorrect and contractors consider that information in issuing their respective decisions. In addition, when the medical necessity of items or services is at issue during the reconsideration, the Qualified Independent Contractor (QIC) utilizes a panel of physicians or health care professionals to review the facts and circumstances in the case. We believe these processes demonstrate that all levels in the appeals process, including those that precede the ALJ level, offer appellants a fair, independent, and comprehensive review of the issues related to the claim(s) submitted.
We also disagree with commenters that suggested ALJs and other appeals adjudicators should be able to order equitable remedies in their decisions. Appeals adjudicators in the administrative process have decisional independence in their decision-making. However, appeals adjudicators do not issue decisions that include equitable remedies in the context of Medicare claims appeals. Adjudicators review the contractor's initial determination(s) on the claim for items and services furnished to a beneficiary, and issue a decision with respect to that initial determination. For example, a QIC reviews initial determinations, and its decision must either reverse or affirm (in whole or in part) the initial determination including the redetermination that is before them (section 1869(c)(3)(B)(i) of the Act; 42 CFR 405.974(a)). ALJs issue decisions that include findings of fact, conclusions of law and reasons for the decision based on the evidence offered at the hearing or otherwise admitted into the hearing record (42 CFR 405.1046(a)). Furthermore, QICs and ALJs and the Medicare Appeals Council are bound by Medicare laws, regulations, CMS Rulings, and national coverage determinations and give substantial deference to CMS program guidance and local coverage determinations to the extent such policies are applicable in the appeal (42 CFR 405.968(b), 405.1060(b)(1) and (c), 405.1062, and 405.1063). Neither the Medicare statute nor the Secretary's implementing regulations grant ALJs or other adjudicators the authority to order equitable remedies. The Secretary exercises her authority to administer this administrative review scheme—which includes ALJs and other adjudicators—by proceeding through notice-and-comment rulemaking. The scope of review in the appeals process, the limitations on decisions, and the authorities that bind adjudicators are set forth in regulation, and beyond that there is no residual authority of ALJs or other adjudicators to grant relief (equitable or otherwise) in excess of that which is authorized by the Medicare statute and regulations. Given the scope of review in the appeals process, the limitations on decisions set forth in the regulations, and the authorities that bind adjudicators, we do not believe adjudicators are authorized to order equitable remedies as suggested by the commenters.
Finally, in the final rule, “Medicare Program: Changes to the Medicare Claims Appeals Procedures” (74 FR 65296, 65327), we declined to afford precedential weight to ALJ or Medicare Appeals Council decisions. We explained that coverage and liability determinations on Medicare claims are largely unique to the specific set of facts in a given case, and requiring precedential authority or deference to certain decisions would prove extremely difficult. Similarly, as noted in the public comments received on the Part B Inpatient Billing proposed rule, the decision to admit a patient as an inpatient involves unique, complex issues that require clinical judgment of the treating physician. For these reasons, we continue to believe it would be inappropriate to afford precedential weight or require deference to appeals decisions on inpatient admissions even in situations where the admissions involve a similar set of facts or issues.
Accordingly, we are not adopting the commenters' recommendations with respect to expanding an appeals adjudicator's scope of review.
Comment: One commenter objected to CMS' clarification regarding the scope of review, suggesting that it is based on an unnecessary distinction made between Part A and Part B claims review, processing, and appeals. The commenter suggested that changes in the structure of Medicare contracts and the appeals process support the notion that adjudicators should be able to determine whether services are payable under Title XVIII as a whole rather than as Part A and Part B services.
Response: Although contracting reform consolidated contractors so that a single contractor processes both Part A and Part B claims, and appeals process revisions created a uniform appeals process for Part A and Part B claims, the distinction between Part A and Part B coverage and payment schemes is still relevant and necessary. This is illustrated by the separate entitlement, eligibility, enrollment, benefits, and programs that continue to exist under Title XVIII, as well as the separate claims requirements and systems necessary to process such claims, and distinct trust funds that provide funding for the different parts of the program. In addition, our contracting scheme for QICs allocates second level appeals workload along benefit lines, acknowledging the differences in the benefits and the clinical expertise required for processing appeals under the different parts of the Medicare program. More importantly, however, appeal rights as established in section 1869 of the Act flow from the initial determination made by a contractor in response to the submission of a valid claim. (We refer readers to sections 1869(a)(3)(B)(i), 1869(b)(1)(A), and 1869(c)(3)(B)(i) of the Act.) Consistent with the statutory requirements and our longstanding policy, contractors will continue to make initial determinations for items and services under Part A in response to submission of a Part A claim, and initial determinations for items and services under Part B in response to submission of a Part B claim.
For these reasons, we are not adopting the commenters' recommendations to expand an appeals adjudicator's scope of review.
Comment: Several commenters requested that hospitals be permitted to seek and receive Part B payments by filing claims while also pursuing an appeal of the Part A claim.
Response: We appreciate the suggestions made by the commenters, requesting the opportunity to submit Part B claims while pursuing appeals of the Part A denials. We proposed that hospitals must choose between seeking payment under Part B by submitting a Part B claim for the items and services furnished to the beneficiary, or by pursuing an appeal of the Part A claim that was denied. We explained that the two actions cannot be pursued simultaneously, as this would result in the hospital inappropriately seeking duplicate payment for items or services furnished to the beneficiary. Allowing hospitals to appeal the denied claim and submit Part B claims simultaneously would also result in additional administrative burden and cost to the program, and would impose an additional administrative burden on hospitals and beneficiaries. For example, if the hospital submits a Part B claim under the process described in this rule, and receives payment for that claim while simultaneously pursuing its appeal of the Part A denial, in situations where the hospital is successful in challenging the denial of the Part A claim, several additional administrative actions would be required of Medicare, the hospital, and the beneficiary. In order to prevent duplicate payment, the Medicare contractor would be required to initiate an overpayment action to recover any payments made on the Part B claim before effectuating the Part A appeal decision. In addition, hospitals would be required to refund any cost-sharing amounts collected from beneficiaries for the Part B claim, and would need to collect the Part A cost-sharing that was previously refunded following the initial Part A denial. We believe the administrative burden and the prohibition of making duplicate payment necessitate that we prohibit hospitals from submitting Part B claims while an appeal of the Part A claim denial is in progress. We acknowledge the financial impact that may result from collection of overpayments for denied claims. However, providers may request relief from recovery while a reconsideration or redetermination is pending under the limitation of recoupment provisions in 42 CFR 405.379. In addition, if recovery is in process, providers experiencing financial difficulties may work with contractors to establish an extended repayment schedule.
For these reasons, we are not adopting the commenters' recommendations to allow providers to simultaneously submit Part B claims and pursue appeals of the Part A denials, and are finalizing the provisions of the proposed rule without modification.
Comment: One commenter questioned whether a hospital would receive payment on a Part A claim if the claim was denied and the beneficiary successfully appealed that Part A claim denial.
Response: If a beneficiary appealed a Part A claim denial and the denial was reversed on appeal, the decision would be effectuated and the provider would receive payment on the Part A claim.
10. Coordination of Benefits With Supplemental Insurers
Currently, CMS automatically transfers or “crosses over” Medicare adjudicated professional and institutional claims to a variety of entities for coordination of benefits (COB) purposes. We collectively term these entities “supplemental insurers” for ease of reference. These entities include private insurers that offer “Medicare supplemental” (or Medigap) policies, as defined in section 1882(g)(1) of the Act. Other entities, such as employer-sponsored retiree plans, multiemployer welfare trusts, TRICARE For Life, the Federal Employees Health Benefits Plan (FEHBP), and State Medicaid agencies, also provide secondary or, in some cases, tertiary coverage for beneficiaries after their Medicare coverage.
As mentioned in the Part B Inpatient Billing proposed rule (78 FR 16639), most supplemental insurers sign national agreements with Medicare to facilitate our claims crossover process, more formally known as the “Coordination of Benefits Agreement” (or COBA) process. Through these national agreements, supplemental insurers indicate which types of Medicare claims they wish to receive via the COBA process and which types they wish to exclude. Within the context of this rule, hospitals will want to be aware that, in addition to inpatient hospital claims, the majority of supplemental insurers currently also accept hospital inpatient Part B claims (12x type of bill claims) and outpatient hospital claims (including 13x type of bill claims) through the COBA process. Most supplemental insurers elect not to receive fully denied Medicare claims via that process. However, several employer-sponsored retiree plans currently do accept fully denied claims via the COBA process, provided Medicare beneficiaries have some payment liability remaining on those claims.
Comment: Several commenters who addressed supplemental insurers and the Medicare claims crossover process were concerned about the importance of ensuring that CMS provides early and continuous communications with supplemental payers to ensure that benefits are coordinated correctly.
Response: As mentioned in the Part B Inpatient Billing proposed rule, we will communicate with all supplemental insurers to ensure they know what additional services beyond those termed “ancillary” will now be included under the TOB 12x designation. We also will ensure that supplemental insurers become aware of how they can identify any new cost-sharing elements within these claims when crossed over to them. Our principle communications method is an email broadcast ListServ, known as “COBVA,” to which all supplemental insurers subscribe. We also will update the COBA Implementation User Guide, which is available on the COBA Web site at: http://www.cms.gov/Medicare/Coordination-of-Benefits-and-Recovery/COBA-Trading-Partners/Coordination-of-Benefits-Agreements/Coordination-of-Benefits-Agreement-page.html, to include this information. In addition, where possible, we will provide supplemental insurers with a few mock claim examples to illustrate how the changes arising from this rule will be reflected in their crossover claims.
Comment: One commenter indicated that the current Medicare crossover process was insufficient to ensure that providers do not face substantial administrative burden and increased bad debt by having to bill their patients' supplemental insurance plans or programs for balances owed following Medicare's payment determination.
Response: We understand that the COBA crossover process does not always relieve providers from having to file claims with their patients' supplemental insurers. The Medicare crossover process is voluntary and, therefore, not every insurer nationwide participates. However, as noted above, we know that the majority of supplemental insurers accept institutional claims (including Part A inpatient and Part B outpatient facility claims) via the COBA crossover process. In addition, some supplemental insurers agree to accept fully denied claims if the beneficiary may be held liable for any portion of the denied claims by the provider.
Comment: Within the context of Medicare denying a Part A inpatient hospital claim as not being reasonable and medically necessary, several commenters questioned whether hospitals would be required to submit a hospital Part B claim to Medicare prior to billing a Medigap, employer-sponsored, or other supplemental insurers or whether filing those claims with those entities would be the responsibility of Medicare beneficiaries.
Response: Medigap insurers will not make payment unless there has been a formal Medicare determination on a claim. Our understanding is that other coverage is likely to require this as well. To avoid denial decisions from supplemental insurers, hospitals should first bill their Part B claim to their designated A/B MAC. To the greatest extent possible, hospitals should avoid imposing a filing burden on their patients, Medicare beneficiaries.
Comment: One commenter questioned whether Medicare will cross over to Part B for beneficiaries who do not have Part B coverage.
Response: The commenter appears to be referring to a situation where a Medicare beneficiary is not enrolled in Medicare Part B but has an employer-sponsored retiree policy that provides him or her with medical coverage. If the employer plan agrees to accept the fully denied hospital outpatient claim as a claim for benefits through the COBA crossover process, Medicare has the capability to send the claim.
Comment: One commenter questioned whether supplemental insurers will be able to distinguish between Part A inpatient crossover claims denied due to a post-payment review indicating that the inpatient stay was not medically necessary and other Part A inpatient crossover claims that are denied due to benefits exhaustion.
Response: We believe that supplemental insurers will be able to differentiate between these denial situations as evidenced on the crossover claims they receive on the basis of the Claim Adjustment Reason Codes (CARCs) and Claim Adjustment Segment (CAS) Group Codes used on the affected claims.
Comment: Several commenters questioned whether hospitals would be required to provide refunds to supplemental insurers for any amounts the insurers paid for Part A inpatient hospital admissions that were later determined not to be reasonable and necessary, while other commenters indicated that hospitals would need better guidance from CMS to know if they would need to refund payments to supplemental insurers in this situation.
Response: Following a denial of a claim for a Part A inpatient admission as not reasonable and necessary, and a determination that the hospital, and not the beneficiary, is financially liable for the denied claim, in accordance with section 1879 of the Act, the hospital is required to refund any amounts paid by or on behalf of the beneficiary (such as deductible and copayment amounts) for the services billed under Part A (42 CFR 411.402). If this refund is not made, the Medicare program indemnifies the beneficiary or authorized representative for any amounts paid, including deductible and coinsurance, by, or on behalf of, the beneficiary. Any indemnification payments made by Medicare are considered an overpayment to the hospital. Accordingly, in order to avoid incurring an overpayment, hospitals should refund any cost-sharing amount to a supplemental insurer.
The following comments and responses specifically address standardized Medicare Supplemental Health Insurance Policies (Medigap Policies) as defined in section 1882(g)(1) of the Act.
Comment: A few commenters expressed concern that Medicare supplement insurance carriers may be subject to an increased liability to cover additional Part B costs in the form of increased copayments and cost-sharing for insulin and oral and topical drugs and that the additional cost incurred by the carriers could lead to greater financial liability for beneficiaries in the form of increased premiums for beneficiaries.
Response: Oversight of premium rates and increases for standardized Medicare Supplemental Insurance Policies is not within CMS' purview. That authority rests with the Commissioner of each State's department of insurance. However, we note that, as discussed above, the carriers will be entitled to a refund of payments made with respect to Part A.
Comment: A few commenters recommended that CMS mandate that all supplemental plans be liable for the Part B copayment and deductible on these rebilled claims for their members, regardless of their internal policies on timely filing.
Response: It is unnecessary to mandate copayment and deductible liability for standardized Medicare Supplement Policies because section 1882(c)(3)(A) of the Act already requires Medicare Supplemental Health Insurance Carriers to “accept a notice under section 1842(h)(3)(B) of the Act as a claim form for benefits under such policy in lieu of any claim form otherwise required and agree to make a payment determination on the basis of the information contained in such notice.” In addition, section 6(A) of the NAIC Model Regulation for Medicare Supplement Insurance states that “no policy or certificate may be advertised, solicited, or issued for delivery in this state as a Medicare supplement policy if the policy or certificate contains limitations or exclusions on coverage that are more restrictive than those of Medicare” (74 FR 18813).
11. Public Comments on Other Issues
We received public comments on several other issues related to, but not directly addressed, by the proposed policies and related discussions contained in the Part B Inpatient Billing proposed rule.
a. Application to Disproportionate Share Hospital (DSH) Payments, Indirect Medical Education (IME), Graduate Medical Education (GME) Payments, and Other IPPS Adjustments
Comment: Three commenters stated that it was unclear whether the patient days for the Part B inpatient stays remain in the Medicare DSH calculations and in the denominator of the Medicare GME calculations. Specifically, the commenters noted that both the Medicare DSH calculation and the direct GME calculation use the hospital's count of Part A inpatient days and total inpatient days, and that because these Part B inpatient days would be reflected in the denominator but excluded from the numerator, it would be harmful to hospitals. Another commenter pointed out that Medicare payment for DSH is calculated in part using Medicare inpatient and total inpatient days reported by hospitals on the Medicare cost report. This commenter was not clear if the Medicare days related to the “no pay/provider” liable Part A claims would be included or excluded from the DSH calculations. The commenter requested that CMS clarify its policy in this regard and permit hospitals to either include or exclude Medicare inpatient days from both the numerator and denominator of these calculations. A third commenter was concerned about unintended consequences for the Medicare DSH adjustment.
Response: We appreciate the commenters' request for clarification. The Medicare DSH payment adjustment is calculated as the sum of two fractions, the SSI ratio and the Medicaid fraction. As defined at section 1886(d)(5)(F)(vi)(I) of the Act and at 42 CFR 412.106(b)(2), the SSI ratio is the number of patient days furnished to patients who were entitled to both Medicare Part A (including Medicare Advantage (Part C)) and SSI divided by the total number of days associated with discharges of patients who were entitled to Medicare Part A (including Medicare Advantage (Part C)). As defined at section 1886(d)(5)(F)(vi)(II) of the Act and at 42 CFR 412.106(b)(4), the Medicaid fraction is the number of patient days for which patients were eligible for Medicaid but not entitled to Medicare Part A, divided by the total number of patient days.
We note that in the CMS Ruling 1455-R, we stated, “For the Part B claims billed under this Ruling the beneficiary's patient status remains inpatient as of the time of inpatient admission and is not changed to outpatient . . .” (78 FR 16617). We note that even though the inpatient claim was rebilled under Part B after being denied payment under Part A due to lack of medical necessity, the beneficiary for whom that claim was made was entitled to benefits under Part A during the inpatient stay. Therefore, as long as the patient status for a stay remains inpatient, under current policy and practice, the days associated with the inpatient stay rebilled under Part B are included in the numerator (when the beneficiary was also entitled to SSI) and the denominator for the SSI ratio and are reflected in the denominator of the Medicaid fraction of the DSH calculation.
As we noted in the FY 2011 IPPS/LTCH PPS final rule, there are three databases used to generate the SSI ratios: the SSI eligibility data file, the Medicare Enrollment Database, and the Medicare Provider Analysis and Review file (MedPAR). In that rule, we described the process by which we determine if patient days are for Medicare beneficiaries entitled to SSI, and we noted that hospitals submit claims to Medicare for inpatient services provided to Medicare beneficiaries and these claims are eventually accumulated in the MedPAR database. This database allows us to calculate the number of Medicare inpatient hospital days (that is, the denominator of the SSI ratio), a subset of which are Medicare SSI days (that is, the numerator of the SSI ratio) (75 FR 50277 through 50285). Currently, the MedPAR file includes all inpatient hospital claims, including those that were denied on the basis of medical necessity. In 2004, following notice-and-comment rulemaking, we amended our regulations to provide that all patient days for individual Medicare Part A beneficiaries, whether or not Medicare actually paid for those days, are included in the Medicare-SSI fraction (69 FR 49098 through 49099 and 42 CFR 412.106(b)(2)). Thus, MedPAR utilizes length of stay to generate the SSI day count, rather than using “covered days” (that is, days for which Medicare Part A makes a payment). Each record contained in the MedPAR file represents a beneficiary stay in an inpatient hospital (where discharged), and it may include one claim, or it may include multiple claims. Because such claims remain in the MedPAR, and MedPAR is used to calculate the numerator and denominator of the SSI ratio, inpatient claims that are rebilled under Part B will remain included in the determination of the SSI ratio. This practice is consistent with 42 CFR 412.106(b)(2)(i), which states that, for the purpose of the DSH SSI calculation, “CMS determines the number of patient days that . . . are furnished to patients who during that month were entitled to . . . Medicare Part A.” We note that these patients remain entitled to benefits under Part A for the months at issue, even though no payment may be made for a claim because the inpatient status was not reasonable and necessary for these particular claims. This is also consistent with 42 CFR 412.106(a)(1)(ii) which states that “the number of patient days in a hospital includes only those days attributable to units or wards of the hospital providing acute care services generally payable under the [inpatient] prospective payment system,” and IPPS-level acute care services are generally being provided in the units or wards those patients were staying, despite the fact that no IPPS payment may ultimately be made for those particular claims.
In addition, we note that currently on Worksheet S-3, Part I, column 8 of the Medicare cost report (CMS Form 2552-10), hospitals are required to report the number of inpatient days for all classes of patients and this is used to determine the total days for the Medicaid fraction. The total inpatient days from Worksheet S-3, Part I, column 8, are derived from the hospital's census and, therefore, include inpatient days denied under Part A and rebilled under Part B.
Therefore, we are clarifying, as requested by the commenters, that patient days for inpatient claims rebilled under Part B will continue to be included in the numerator (where the beneficiary was also entitled to SSI) and denominator of the SSI ratio and denominator of the Medicaid fraction for purposes of Medicare DSH calculations. Even though the inpatient claim was rebilled under Part B after being denied payment under Part A due to lack of medical necessity, the beneficiary for whom that claim was made was entitled to benefits under Part A during the inpatient stay.
Direct GME payments are calculated using three variables: the hospital's per resident amount (PRA); the number of FTE residents a hospital is training subject to its FTE cap and the 3-year rolling average; and the hospital's Medicare patient load. “Medicare patient load”' is defined at 42 CFR 413.75(b) as “with respect to a hospital's cost reporting period, the total number of hospital inpatient days during the cost reporting period that are attributable to patients for whom payment is made under Medicare Part A divided by total hospital inpatient days. In calculating inpatient days, inpatient days in any distinct part of the hospital furnishing a hospital level of care are included and nursery days are excluded.”
With regard to the calculation of Medicare patient load used to calculate direct GME payments, we agree that, under current policy, Part B inpatient days are reflected in the denominator but are excluded from the numerator. Currently, the numerator is derived from Worksheet S-3, Part I, column 6, in which Medicare paid Part A days are reported, based on the Medicare paid Part A days accumulated in the hospital's Provider Statistical Reimbursement Report (PS). That is, once a claim in denied, for whatever reason (such as lack of medical necessity or if a beneficiary exhausts Part A benefits), the days associated with that claim are not reflected in the numerator (Worksheet S-3, Part I, column 6) of the Medicare patient load. This is consistent with the definition of “Medicare patient load” at 42 CFR 413.75(b), which states that the ratio is based on “. . . the total number of hospital inpatient days during the cost reporting period that are attributable to patients for whom payment is made under Medicare Part A divided by total hospital inpatient days” (emphasis added). However, similar to the denominator used in the Medicaid fraction for DSH, the denominator of the Medicare patient load ratio is currently calculated from Worksheet S-3, Part I, column 8 of the Medicare cost report. The total inpatient days from Worksheet S-3, Part I, column 8, are derived from the hospital's census and, therefore, include inpatient days denied under Part A and rebilled under Part B. Therefore, we are clarifying that inpatient days for inpatient claims denied under Part A and rebilled under Part B are excluded from the numerator of direct GME Medicare patient load but are included in the denominator. Accordingly, by continuing with current practices, we recognize that depending on the volume of claims that are denied for medical necessity that a hospital chooses to re-bill under Part B, teaching hospitals could experience a decline in their direct GME Medicare patient load calculation and experience reduced direct GME payments.
Comment: One commenter stated that the proposal to allow patients to maintain inpatient status while rebilling under Part B “has effects on hospitals beyond payment for the services rendered.”
Response: We agree with the commenter and have endeavored to provide clarification as requested specifically by other commenters on these effects. We note that other inpatient hospital policies rely on either the number of inpatient days or a ratio of Medicare inpatient days to total inpatient days to determine eligibility or payment. One example of another policy possibly affected by rebilling under Part B is in section V.E.2. of the preamble of this final rule, in connection with our policy to include labor and delivery inpatient days of maternity patients admitted as inpatients for direct GME Medicare utilization and other Medicare purposes. The example we provided is with regard to a hospital's eligibility for SCH status. A hospital can be classified as an SCH if it is located more than 35 miles from other like hospitals or is located in a rural area (as defined at 42 CFR 412.64) and meets one of the conditions listed in the regulations at 42 CFR 412.92(a). In determining whether a nearby hospital is a like hospital, CMS compares the total inpatient days of the SCH applicant hospital with the total inpatient days of the nearby hospital. If the total inpatient days of the nearby hospital are greater than 8 percent of the total inpatient days reported by the SCH applicant hospital, the nearby hospital is considered a like hospital for purposes of evaluating the applicant hospital's eligibility for SCH status. Therefore, including these days as inpatient days may impact the count of inpatient days for both the SCH applicant hospital and the nearby hospital and may affect the applicant hospital's eligibility for SCH status.
Comment: One commenter noted that the relative weights should be revised on a timely basis to reflect the elimination of short-stay cases. The commenter believed that nonshort-stay inpatient cases are underpaid insofar as the short-stay cases have been included in the calculation of the relative weights. Another commenter requested that CMS consider establishing a different payment methodology, such as a different outlier payment, to address these cases.
Response: We agree that the relative weights should reflect any movement of cases between the inpatient setting and the outpatient setting on a timely basis in accordance with the methodologies set forth in the Addendum to this final rule and note that, for each Federal fiscal year, we use the most recent complete year of claims data for charges and cost report data for CCRs to develop relative weights. We disagree as a general premise that the nonshort-stay inpatient cases are underpaid insofar as the short-stay cases are included because the MS-DRG system is a system of averages. The relative weights are intended to reflect relative resource use, and while some short-stay cases may have relatively lower resource use in a given MS-DRG, others may have higher resource use in that MS-DRG. Furthermore, relative weights reflect all of the cases that are included in a particular MS-DRG and MS-DRG classifications are established and updated in accordance with the process set forth in section II. of the preamble of this final rule. This process takes into consideration clinical coherence and resource use. We refer readers to the FY 2013 IPPS/LTCH PPS final rule for further information on the criteria for determining whether a subgroup of cases warrants creation of a CC or an MCC subgroup within a base MS-DRG (77 FR 53305) and point out that they do not include length of stay.
However, we understand the viewpoint that the types and numbers of patients that hospitals admit as inpatient cases could change in the future in unforeseen ways as a result of this rulemaking. If we see a pattern of increasing volume of short-stay cases, we may further consider whether payment policy changes are necessary to reflect their potentially lower resource usage.
Comment: One commenter believed that hospitals should not be subject to “documentation and coding rate reductions” in the future as denied short-stay cases migrate from an inpatient setting to an outpatient setting. The commenter stated that “arithmetic alone will force the average inpatient case mix index to increase and hospitals should not be penalized.”
Response: We separately discuss the finalization of our proposal to make an adjustment to the standardized amount, hospital-specific payment amounts, and Puerto Rico-specific standardized amount in order to offset the additional estimated IPPS expenditures associated with the inpatient admission guidelines and medical review criteria finalized and discussed in greater detail in section XI.C. of the preamble of this final rule. We believe the commenter may be erroneously associating the relationship between the recalibration of the relative weights and its effect on aggregate IPPS payments with the adjustment to offset the additional estimated IPPS expenditures associated with this policy. As discussed in section II.H. of the preamble of this final rule, we normalized the recalibrated MS-DRG relative weights by an adjustment factor so that the average case relative weight after recalibration is equal to the average case relative weight prior to recalibration. However, as we discuss in section II.A.4.a. of the Addendum to this final rule, equating the average case relative weight after recalibration to the average case weight before recalibration does not necessarily achieve budget neutrality with respect to aggregate payments to hospitals because payments to hospitals are affected by factors other than average case relative weight. Accordingly, to the extent that in any given year short-stay cases shift to outpatient or outpatient cases shift to inpatient, the relative weights are recalibrated and budget neutrality is applied so that aggregate expenditures do not increase or decrease as a result of these shifts in cases. Therefore, the relative weights will ensure that the relativity of the cases that result from the change in utilization due to the final policy is appropriate in a budget neutral fashion. However, it will not offset the change in utilization, which the final adjustment to offset these additional estimated expenditures is intended to do.
b. Application to Beneficiary Utilization Days Under Medicare Part A
Comment: Commenters asked CMS to clarify whether the inpatient days billed by the hospital would count towards beneficiaries' limit on utilization of inpatient days for the Part A benefit period, described in section 1812(a) of the Act.
Response: Under section 1812 of the Act, Medicare Part A will pay for up to 150 days per inpatient hospital stay. If a Part A claim is denied because the hospital inpatient admission was not reasonable and necessary, Medicare Part A will not pay for the claim. In these circumstances—where Medicare Part A is not making payment for particular inpatient claims—we do not believe it would be appropriate to charge the beneficiary's utilization under Part A. Therefore, we are not deducting the days associated with the inpatient hospital stays billed under Part B from a beneficiary's 150 utilization days for inpatient hospital services paid under Part A when no Part A payment is made for that inpatient hospital stay. We note that when the inpatient hospital stay is paid under Part B, the hospital stay remains inpatient from the time of admission and may continue to count towards qualification for skilled nursing facility coverage, and the beneficiary is liable for the Part B inpatient charges.
c. Applicability to the Medicare Advantage (MA) Program
Comment: Several commenters asked whether the proposed Part B billing policies would apply to Medicare Advantage (MA) hospitals or plans. They noted that the proposed rule only contemplates Medicare Part A claims denials as eligible for the proposed Part B inpatient billing. However, one commenter stated that the Affordable Care Act required that RAC reviews be expanded to Part C and Part D, to encompass the MA program. The commenter believed that the ability to submit “adjusted” claims after a contractor denial or self-audit denial should apply to MA just as it does for Medicare Part A, because the RACs will be denying Part C inpatient stays as not reasonable and necessary.
Response: The proposed and final rules do not apply in the MA context, with one exception. In the MA program, hospitals are paid by MA organizations, which typically would prior authorize coverage of any non-emergency hospitalization. Also, to the extent the MA organization makes payment for a stay that does not meet Medicare coverage standards, it does not necessarily follow that the stay would not otherwise be covered under the MA plan, and even if it is not covered, and an attempt were made to recover payments, the payments would go to the MA organization, not the Medicare Trust Funds. Therefore, RACs and MACs do not perform review for such potential errors. If an MA organization does have a payment dispute with a hospital, however, it would be free to apply the same principles applied in the final rule regarding payment of Part B services to a hospital where a stay is not covered under Part A. However, as in the Medicare fee-for-service program, appeals adjudicators in the MA program are limited in their scope of review and may only review the submitted claim. In the context of a Part C out-of-network provider that billed inpatient services, review is limited to whether the MA plan was obligated to pay for the billed inpatient services. Similar to the Part A context, the provider has not billed for outpatient services, and therefore, there is no appealable organization determination on those services.
MA organizations and their stakeholders may also refer questions to their Part C account managers and other Part C staff at CMS. It would be helpful to CMS to understand more about any particular circumstances in which Part C hospitals and MA organizations believe the provisions of the final rule on Part B hospital inpatient billing following Part A reasonable and necessary inpatient denials might apply.
Comment: One commenter asked whether hospitals must bill beneficiaries enrolled in MA plans for the Part B liabilities associated with rebilling, just as non-MA plans must bill beneficiaries. The commenter believed beneficiaries should be held harmless if an MA nonparticipating hospital bills Part B, particularly a non-participating MA hospital.
Response: As we stated in section XI.B.6. of the preamble of this final rule, we believe that the issue of whether or not the hospital has an obligation to bill the beneficiary is governed by the beneficiary inducement and anti-kickback laws that fall under the purview of the OIG. Therefore, we refer the commenters (and other stakeholders) to the OIG for guidance on this matter.
12. Regulatory Impact Analysis: Final Part B Inpatient Payment Policy
a. Statement of Need
Our final policy on payment of Part B inpatient services is needed to address Medicare payment policy when a Part A hospital inpatient claim is denied because the inpatient admission was not reasonable and necessary, but hospital outpatient services would have been reasonable and necessary to treat the beneficiary.
b. Overall Impact
We have examined the impacts of our final policy as required by Executive Order 12866 on Regulatory Planning and Review (September 30, 1993), Executive Order 13563 on Improving Regulation and Regulatory Review (January 18, 2011), the Regulatory Flexibility Act (RFA) (September 19, 1980, 96), section 1102(b) of the Social Security Act, section 202 of the Unfunded Mandates Reform Act of 1995 (UMRA) (March 22, 1995, Pub. L. 104-4), Executive Order 13132 on Federalism (August 4, 1999), and the Contract with America Advancement Act of 1996 (Pub. L. 104-121) (5 U.S.C. 804(2)).
Executive Orders 12866 and 13563 direct agencies to assess all costs and benefits of available regulatory alternatives and, if regulation is necessary, to select regulatory approaches that maximize net benefits (including potential economic, environmental, public health and safety effects, distributive impacts, and equity). Executive Order 13563 emphasizes the importance of quantifying both costs and benefits, of reducing costs, of harmonizing rules, and of promoting flexibility. Our final rule policy on Part B inpatient payment has been designated as an “economically” significant rule under section 3(f)(1) of Executive Order 12866 and a major rule under the Contract with America Advancement Act of 1996 (Pub. L. 104-121). Accordingly, the final rule policy has been reviewed by the Office of Management and Budget. We have prepared a regulatory impact analysis that, to the best of our ability, presents the costs and benefits of our final policy.
The RFA requires agencies to analyze options for regulatory relief of small entities, if a rule has a significant impact on a substantial number of small entities. For purposes of the RFA, we estimate that most hospitals are small entities as that term is used in the RFA. For purposes of the RFA, most hospitals are considered small businesses according to the Small Business Administration's size standards with total revenues of $34.5 million or less in any single year. We estimate that this final rule policy may have a significant impact on approximately 2,004 hospitals with voluntary ownership. For details, see the Small Business Administration's “Table of Small Business Size Standards” at http://www.sba.gov/content/table-small-business-size-standards.
In addition, section 1102(b) of the Act requires us to prepare a regulatory impact analysis if a rule may have a significant impact on the operations of a substantial number of small rural hospitals. This analysis must conform to the provisions of section 604 of the RFA. For purposes of section 1102(b) of the Act, we define a small rural hospital as a hospital that is located outside of a metropolitan statistical area and has 100 or fewer beds. We estimate that this final rule may have a significant impact on approximately 694 small rural hospitals.
Section 202 of the Unfunded Mandates Reform Act of 1995 also requires that agencies assess anticipated costs and benefits before issuing any rule whose mandates require spending in any 1 year of $100 million in 1995 dollars, updated annually for inflation. In 2013, that threshold level is currently approximately $141 million. Our final policy on Part B inpatient payment does mandate requirements for the private sector.
Executive Order 13132 establishes certain requirements that an agency must meet when it promulgates a final rule that imposes substantial direct costs on state and local governments, preempts state law, or otherwise has federalism implications. We have examined the provisions of our final rule policy in accordance with Executive Order 13132, federalism, and have determined that it will not have a substantial direct effect on State, local or tribal governments, preempt State law, or otherwise have a federalism implication, with the exception of Medicaid expenditures discussed below. As reflected in Table 1 of this final rule, we estimate that Medicare expenditures will increase for services furnished in governmental hospitals (including State and local governmental hospitals). The analyses we have provided in this section of the final rule demonstrate that this final rule is consistent with the regulatory philosophy and principles identified in Executive Order 12866, the RFA, and section 1102(b) of the Act.
c. Estimated Impacts of the Final Part B Inpatient Payment Policy
(1) Estimated Impact on Medicare Program Expenditures
In this section, we provide the estimated impact of our final policy to provide payment for additional Part B inpatient services on Medicare benefit expenditures over the next 5 years. Column (3) of Table 1 shows the estimated impacts of this final policy, relative to an estimated increase in baseline expenditures that will result from the effectuation of recent decisions by the Medicare Appeals Council and ALJs on Medicare Part A to Part B “rebilling” (in this section referred to as the “appeal decisions”).
In Part B Inpatient Billing proposed rule (78 FR 16635), we discussed that in an increasing number of cases, hospitals that have appealed Part A inpatient reasonable and necessary claim denials to ALJs and the Medicare Appeals Council have received decisions upholding the Medicare review contractor's determination that the inpatient admission was not reasonable and necessary, but ordering payment of the services as if they were provided at an outpatient or “observation level” of care. These decisions effectively require Medicare to issue payment for all Part B services that would have been payable had the beneficiary originally been treated as a hospital outpatient, instead of limiting payment to only the set of Part B inpatient services heretofore designated in the Medicare Benefit Policy Manual. Further, the appeal decisions have required payment regardless of whether the subsequent hospital Part B claim is submitted within the otherwise applicable time limit for filing claims. These appeal decisions were contrary to CMS' longstanding policies permitting payment for only a limited list of Part B inpatient services, and requiring that the services be billed within the usual timely filing restrictions. While these appeal decisions do not establish Medicare payment policy, CMS' contractors are bound to effectuate each individual decision. In the Part B Inpatient Billing proposed rule, we estimated the impacts of CMS' instructions to contractors for effectuating the appeal decisions that have been issued.
To resolve the discrepancy between Medicare's historical policy and the decisions made by the Medicare Appeals Council and ALJs, we issued CMS Ruling 1455-R (78 FR 16614) concurrent with the Part B Inpatient Billing proposed rule. In the Ruling, we provided an interim Part B payment policy until we could establish a final policy through notice and comment rulemaking. The Ruling established a standard process for effectuation of the appeal decisions through payment of additional Part B inpatient (rather than Part B outpatient or “observation level”) services than Medicare previously allowed in order to address the approach taken by the appeal decisions. Under the Ruling, in acquiescence to the appeal decisions, we did not apply the timely filing limitations in 42 CFR 424.44 to the subsequent claims for Part B services, but rather afforded the hospital 180 days from the date of receipt of a final or binding appeal decision, or 180 days from the date of receipt of the Part A initial determination or revised determination if there is no pending appeal, to file its Part B claim(s). Under the Ruling, hospitals are not required to appeal the Part A claim denial prior to billing Part B. Therefore, in the Part B Inpatient Billing proposed rule, we estimated the added cost for the Ruling in addition to the cost of effectuating the appeal decisions.
The key differences between the Part B inpatient payment policy of the Ruling and our final policy in this final rule are: (1) the final policy applies the timely filing restriction that applied prior to the Ruling to Part B inpatient claims rebilled after the Part A reasonable and necessary claim denial (that is, the Part B inpatient claims will only be paid if they are billed within 12 months of the date of service, which, as described previously, is not the case for the subsequent Part B inpatient claims billed under the Ruling); and (2) the final policy applies when hospitals determine through self-audit that an inpatient admission is not reasonable and necessary, discussed in section XI.B. of the preamble of this final rule (also subject to timely filing). As we stated in the proposed rule, our proposal to apply the timely filing restriction in accordance with our policy prior to the Ruling resulted in estimated savings to the Medicare program.
Comment: Several stakeholders asked whether hospitals that had Part A claim denials subject to the Ruling are allowed to submit Part B claims for those services consistent with the requirements of the Ruling after the effective date of the final rule. In other words, the commenters asked whether hospitals that had Part A claim denials subject to the Ruling were allowed (after the effective date of the final rule) to submit Part B claims for those services 180 days from withdrawal or adjudication of an appeal upholding the Part A reasonable and necessary denial.
Response: The Ruling permits Part B inpatient payment as described previously for Part A hospital inpatient claims that were denied by a Medicare review contractor because the inpatient admission was determined not reasonable and necessary, as long as the denial was made: (1) While the Ruling is in effect; (2) prior to the effective date of the Ruling, but for which the timeframe to file an appeal has not expired; or (3) prior to the effective date of the Ruling, but for which an appeal is pending. Because hospitals are responsible for correctly submitting claims to Medicare by coding services in accordance with the hospital inpatient admission instructions, we are finalizing our timely filing policy as proposed. However, we are modifying what we stated in the proposed rule (78 FR 16640) regarding the applicability of the Ruling and this final rule. We state in this final rule that the timely filing requirement in § 414.5(c) will not supersede the Ruling's treatment of Part A claim denials to which the Ruling originally applied. Hospitals are permitted to follow the provisions in the Ruling regarding appeals and submission of Part B claims after the effective date of this final rule, provided (i) the Part A inpatient claim denial was one to which the Ruling originally applied, or (ii) the Part A inpatient claim has a date of admission before October 1, 2013 (the effective date of this final rule), and is denied after September 30, 2013, on the grounds that though inpatient services were not reasonable and necessary, hospital outpatient services would have been reasonable and necessary.
Table 1 below shows the estimated impact of our final Part B inpatient payment policies. The amounts are shown in millions for CYs 2013 through 2017. We estimate the cost of the appeal decisions in Column (1), the Ruling CMS-1455-R (applied as described above) in Column (2), our final Part B inpatient payment policy in Column (3), and the estimated total impact in Column (4). The estimates for each column assume that the policy in the preceding column is already in place. Specifically, the estimated cost for the Ruling is relative to a baseline that includes the effect of the appeal decisions. Similarly, the estimated costs of our final Part B inpatient payment policy are in relation to a baseline that includes both the appeal decisions and the Ruling in place.
We assumed short-stay inpatient utilization will increase by 1 percent as a result of the appeal decisions because hospitals are able to rebill after an appeal. (There are currently no controls in place to monitor hospitals for changes in their inpatient growth trend and/or error rate.) In addition, we assumed short-stay inpatient utilization will increase by an additional 3 percent under the Ruling because hospitals can rebill under Part B without the expense of an appeal. Due to the timely filing restrictions and lower Part B payment rate for rebilling, we estimate that there will be no increase in any inpatient utilization resulting from the final policy to restrict inpatient Part B billing to the timely filing requirement of 12 months from the date of service, relative to circumstances prior to the appeal decisions. The 12-month timely filing restriction imposed by this final rule will greatly limit the circumstances in which a hospital can rebill and thereby substantially reduce the number of Part B inpatient claims rebilled by hospitals, largely offsetting the higher costs arising from the appeal decisions and the Ruling.
| Calendar year | Appeal decisions | CMS ruling 1455-R | Part B inpatient billing with 12-month timely filing restriction | Total impact |
|---|---|---|---|---|
| [Current year dollars (in millions)] | ||||
| (1) | (2) | (3) | (4) | |
| 2013 | $290 | $560 | $0 | $850 |
| 2014 | 410 | 770 | −1,060 | 120 |
| 2015 | 410 | 780 | −1,080 | 120 |
| 2016 | 430 | 830 | −1,160 | 100 |
| 2017 | 460 | 870 | −1,260 | 70 |
We note that the actual costs or savings will depend substantially on possible changes in behavior by hospitals, and such behavioral changes cannot be anticipated with certainty. The estimates are especially sensitive to the assumed utilization changes in inpatient and outpatient utilization. While we believe that these assumptions are reasonable, relatively small changes will have a disproportionate effect on the estimated net costs.
(2) Estimated Impact on Beneficiaries
In our regulatory impact analysis for the Part B Inpatient Billing proposed rule (78 FR 16643), we estimated an aggregate increase in beneficiary out-of-pocket expenses for Parts A and B services.
Comment: As we discussed in section XI.B.6. of the preamble of this final rule, many public comments expressed concern regarding the estimated impact on beneficiary financial liability of our proposed Part B inpatient payment policies. Many commenters stated that the proposed policies would financially harm low-income and other beneficiaries. One commenter recommended that CMS analyze the impact of the proposed policies on Medicaid to the extent that there may be additional Medicaid expenditures on behalf of dually eligible beneficiaries for Part B copayments. Similarly, given that many beneficiaries have secondary or supplemental insurance, the commenter recommended that the impact analysis address the extent to which these insurers will incur additional costs for Part B copayments and for drugs that are usually self-administered. The commenter also recommended that CMS include in its impact analysis an estimate of the cost of noncovered drugs that are usually self-administered, using the noncovered drug charges reported on Part B hospital claims in revenue codes 250 to 257 and 630 to 633.
Response: We addressed the public comments regarding beneficiary liability for Part B inpatient services in detail in section XI.B.6. of the preamble of this final rule. In Table 2 below, we provide an estimate of the impact on beneficiary out-of-pocket costs for Part A and Part B services, resulting from the appeal decisions, the Ruling, and our final Part B inpatient payment policy. These changes are mainly the result of the changes in beneficiary cost-sharing when inpatient services are paid under Part B rather than under Part A. The amounts are shown in millions for CYs 2013 through 2017.
We considered using the noncovered pharmacy revenue center charges to estimate the cost of drugs that are usually self-administered and, therefore, not covered under Part B. We did not use the noncovered pharmacy revenue center charges because these charges include drugs that are not covered for other reasons (for example, investigational drugs, and drugs that are non-covered by local coverage decisions). In addition, there is no requirement that hospitals must report outpatient services that are not covered by Medicare and billed directly to the patient. We do not believe that we can draw reasonable cost estimates for self-administered drugs from the available Part B claims data.
We provide an estimate below of the impact on Medicaid expenditures. Because of the variability in employer-sponsored or other supplemental insurance policies, we did not estimate impacts on these insurers.
| Calendar year | Part A | Part B | Total |
|---|---|---|---|
| [Current year dollars (in millions)] | |||
| Note: Totals do not necessarily equal the sums of rounded components. | |||
| Appeal Decisions | |||
| 2013 | $20 | $20 | $40 |
| 2014 | 30 | 30 | 60 |
| 2015 | 30 | 30 | 60 |
| 2016 | 30 | 30 | 60 |
| 2017 | 30 | 30 | 60 |
| CMS Ruling 1455-R | |||
| 2013 | 50 | −40 | 10 |
| 2014 | 80 | −60 | 20 |
| 2015 | 80 | −60 | 20 |
| 2016 | 80 | −60 | 20 |
| 2017 | 90 | −70 | 20 |
| Final Part B Inpatient Billing With 12-Month Timely Filing Restriction Policy | |||
| 2013 | 0 | 0 | 0 |
| 2014 | −100 | 40 | −60 |
| 2015 | −100 | 40 | −60 |
| 2016 | −110 | 50 | −60 |
| 2017 | −110 | 50 | −60 |
| Total | |||
| 2013 | 70 | −20 | 50 |
| 2014 | 0 | 20 | 20 |
| 2015 | 0 | 20 | 20 |
| 2016 | 0 | 20 | 20 |
| 2017 | 0 | 20 | 20 |
(3) Effects on the Medicaid Program
The impact to Medicaid expenditures is due to the change in beneficiary cost-sharing when cases shift between inpatient and outpatient (shown in Table 2 above), and approximately 15 to 20 percent of Medicare beneficiaries are dually eligible for Medicaid. As such, our best estimate of the impact on Medicaid, given limited information, is that approximately 15 to 20 percent of the change in beneficiary cost-sharing represents the impact on Medicaid. For the final rule policy on Part B inpatient payment, the estimated impact is roughly up to $10 million in 2013 and up to $4 million in subsequent years.
(4) Effects on Other Providers
Our final policy will not affect providers other than hospitals.
d. Alternatives Considered
Under our final policy, all hospitals and CAHs are eligible to bill Part B inpatient services when a Part A claim is denied because the inpatient admission was not reasonable and necessary but hospital outpatient services would have been reasonable and necessary. We solicited public comments regarding a potential policy to require that hospitals currently not billing the OPPS for Part B inpatient services under 42 CFR 419.22(r) (those with no outpatient departments, or that have outpatient departments but submit no claims to Medicare Part B) to now bill the OPPS for Part B services that are payable under the OPPS. We did not finalize this policy because we did not receive any public comments on this issue indicating that these hospitals' likely payments under the final Part B inpatient policy will continue to outweigh their costs of implementing billing systems specific to the OPPS. We intend to monitor the volume of Part B claims submitted for payment by these hospitals, and may propose in future rulemaking to require them to begin billing the OPPS based on the Part B inpatient services they bill.
e. Accounting Statement and Table
Whenever a rule is considered a significant rule under Executive Order 12866, we are required to develop an Accounting Statement. This statement must state that we have prepared an accounting statement showing the classification of the expenditures associated with our final rule provisions. The accounting statement table for the final Part B inpatient payment policy is presented in section IV.C. of the Appendix to this final rule.
f. Conclusion
The analysis provided in this section of this final rule provides a Regulatory Impact Analysis for our Part B inpatient payment final policies. In accordance with the provisions of Executive Order 12866, this rule was reviewed by the Office of Management and Budget.
13. Collection of Information Requirements
Under the Paperwork Reduction Act of 1995, we are required to provide 60-day notice in the Federal Register and solicit public comment before a collection of information requirement is submitted to the Office of Management and Budget (OMB) for review and approval. In order to fairly evaluate whether an information collection should be approved by OMB, section 3506(c)(2)(A) of the Paperwork Reduction Act of 1995 requires that we solicit comment on the following issues:
- The need for the information collection and its usefulness in carrying out the proper functions of our agency.
- The accuracy of our estimate of the information collection burden.
- The quality, utility, and clarity of the information to be collected.
- Recommendations to minimize the information collection burden on the affected public, including automated collection techniques.
We solicited public comment on each of these issues for applicable sections of the Part B Inpatient Billing proposed rule that contained information collection requirements (ICRs) as follows:
With regard to the proposed payment of Medicare Part B inpatient services discussed in section II.B. of the Part B Inpatient Billing proposed rule (and in section XI.B. of the preamble of this final rule), the medical recordkeeping requirement associated with the services billed on Part B inpatient claims during the inpatient stay is exempt from the PRA in accordance with 5 CFR 1320.3(b)(2). The same holds for recordkeeping associated with the services billed on a Part B outpatient claim for services provided in the 3-day payment window prior to the inpatient admission. We believe that the time, effort, and financial resources necessary to comply with the aforementioned recordkeeping requirements would be incurred by persons in the normal course of their activities and, therefore, considered to be usual and customary business practices.
With regard to the appeals of proposed payment of Medicare Part B inpatient services, the appeals information collection activity discussed in section II.H. of the Part B Inpatient Billing proposed rule (and in section XI.B.9. of the preamble of this final rule) is exempt from the requirements of the Paperwork Reduction Act because it is associated with an administrative action (5 CFR 1320.4(a)(2) and (c)).
We did not receive any public comments on these medical recordkeeping requirements or appeals information collection activity.
The finalized aforementioned provisions do not impose any new or revised reporting or recordkeeping requirements and would not impose any new or revised burden estimates.
C. Admission and Medical Review Criteria for Hospital Inpatient Services Under Medicare Part A
1. Background
As we discussed in section XI.A. of the preamble of this final rule, in response to concerns about the provision of observation services for increasingly long periods of time albeit in a small percentage of cases, and in response to stakeholders' concerns about the clarity and appropriateness of Medicare's hospital inpatient admission and medical review guidelines, we proposed several clarifications and changes in policy in the FY 2014 IPPS/LTCH PPS proposed rule (78 FR 27644 through 27650). In this section of this final rule, we discuss the public comments we received in response to our proposals and provide our final policies after consideration of the public comments we received.
2. Requirements for Physician Orders
a. Statutory Basis, Relationship to Physician Certification, and Timing
In the FY 2014 IPPS/LTCH PPS proposed rule (78 FR 27646 through 27647), we clarified that a beneficiary becomes a hospital inpatient if formally admitted as such pursuant to a physician order for hospital inpatient admission. While the requirement for a physician order for hospital inpatient admission has long been clear in the hospital CoPs, we proposed to state explicitly in our payment regulations that admission pursuant to this order is the means whereby a beneficiary becomes a hospital inpatient and, therefore, is required for payment of hospital inpatient services under Medicare Part A. We stated that a beneficiary becomes a hospital inpatient when admitted as such after a physician (or other qualified practitioner as provided in the regulations) orders inpatient admission in accordance with the CoPs, and that Medicare pays under Part A for such an admission if the order is documented in the medical record. We stated that the order must be supported by objective medical information for purposes of the Part A payment determinations.
Accordingly, we proposed new 42 CFR 412.3(a), which states, “For purposes of payment under Medicare Part A, an individual is considered an inpatient of a hospital, including a critical access hospital, if formally admitted as an inpatient pursuant to an order for inpatient admission by a physician or other qualified practitioner in accordance with this section and §§ 482.24(c), 482.12(c), and 485.638(a)(4)(iii) of this chapter for a critical access hospital.” We stated that this physician order must be present in the medical record and be supported by the physician admission and progress notes, in order for the hospital to be paid for hospital inpatient services under Medicare Part A (78 FR 27647).
In addition, in the proposed rule, we discussed the statutory requirement for certification of hospital inpatient services for payment under Medicare Part A. The certification requirement for inpatient services other than psychiatric inpatient services is found in section 1814(a)(3) of the Act, which provides that Medicare Part A payment will only be made for such services “which are furnished over a period of time, [if] a physician certifies that such services are required to be given on an inpatient basis.” The regulation implementing this requirement is found at 42 CFR 424.13(a).
The requirement for certification and recertification of inpatient psychiatric services as a condition of payment are found in section 1814(a)(2) of the Act and 42 CFR 424.14. We did not propose to exclude any hospitals from our proposed clarification of the requirement for the physician order and physician certification for Part A payment of hospital inpatient services.
Comment: One commenter asked CMS to clarify what is meant by physician “certification.” Some commenters believed that CMS did not articulate a statutory authority for requiring the physician order as a condition of Part A payment. The commenters stated that the proposed rule implied that the physician order requirement flows from section 1814(a)(3) of the Act, which sets forth conditions and limitation on payment, one of which is a requirement for a physician certification that inpatient hospital services furnished over a period of time are required on an inpatient basis for such individual's medical treatment. Other commenters assumed that, in the proposed rule, CMS was equating the physician order with the physician certification that is required for payment under section 1814(a)(3) of the Act, stating that in the Social Security Amendments of 1967 to this section of the Act, Congress found that admission “orders” are not required for Medicare payment because hospital admissions are almost always medically necessary.
These commenters objected to the proposal to clarify that inclusion of the inpatient admission order in the medical record is a condition of payment. The commenters acknowledged that the hospital CoPs already require as a health and safety measure that the inpatient admission decision be made upon the “recommendation” of a physician. However, they believed it would be duplicative to also require an order as a condition of payment, and were concerned that the requirement would become the basis for hospital liability under the False Claims Act. One commenter stated that CMS' proposal crossed the line in dictating the practice of medicine. Some commenters believed that CMS proposed a new requirement that is not supported in the statute and is contrary to longstanding practice under the Medicare program. These commenters argued that the statutory reference to services furnished “over a period of time” as well as the regulation's lack of any specific deadline for physician certifications in nonoutlier cases indicate that no certification is required for short-stay cases.
In support of their argument, the commenters cited the legislative history of section 1814(a)(3) of the Act, which they interpret to apply only to certain long-term stays. They noted that, in the Social Security Amendments of 1967, Congress amended the statutory language from requiring physician certification of hospital inpatient services to requiring physician certification only for “inpatient hospital services . . . which are furnished over a period of time.” Moreover, the commenters cited congressional reports [196] explaining this statutory change by stating that it “eliminate[d] the requirement for hospital insurance payments that there be a physician's certification of medical necessity with respect to admissions to hospitals which are neither psychiatric nor tuberculosis institutions” and that such a certification is required “only in cases of hospital stays of extended duration.” The commenters suggested that the House report also explains the reason for the change, stating that “admissions to general hospitals are almost always medically necessary and the requirement for a physician's certification of this fact results in largely unnecessary paperwork” (H.R. Rep. No. 90-544, at 38 (1967)). Based upon all of the above factors, the commenters argued that, since 1967, the agency has not had authority to require a physician order as a condition of payment for hospital inpatient stays other than extended stays.
Response: We do not agree that these arguments mandate the conclusion that the physician certification requirement only applies to long-stay cases. The statute does not define “over a period of time,” and further provides that “such certification shall be furnished only in such cases, and with such frequency, and accompanied by such supporting material . . . as may be provided by regulations.” By this language, Congress explicitly delegated authority to the agency to elucidate this provision of the statute by regulation. Accordingly, CMS is authorized to interpret the statutory phrase “over a period of time” so long as its interpretation is not arbitrary, capricious, or manifestly contrary to statute (Chevron U.S.A. Inc. v. Natural Resources Defense Council, 467 U.S. 837 (1984)).
Section 424.13 of the regulations does not contain any length-of-time restrictions on the applicability of the certification requirement. Instead, § 424.13(a) provides that Medicare Part A payment will only be made for inpatient hospital services (other than inpatient psychiatric services) if a physician certifies or recertifies “the need for continued hospitalization of the patient for medical treatment or medically required inpatient diagnostic study.” Therefore, in its implementing regulations, CMS interpreted the statute's requirement of a physician certification for inpatient hospitals services furnished “over a period of time” to apply to all inpatient admissions. While this is not the only possible interpretation of the statute, we believe that it is a permissible interpretation.
We recently reiterated our requirement of a physician order for all inpatient admissions in the preamble to the CY 2012 Medicare Physician Fee Schedule final rule. In a discussion regarding whether services furnished to a patient who is at the hospital overnight, but for less than 24 hours, should be billed as outpatient or inpatient services, CMS stated that “[u]nless a treating physician has written an order to admit the patient as an inpatient, the patient is considered for Medicare purposes to be a hospital outpatient, not an inpatient” (76 FR 73106). In addition, the CoPs illustrate that CMS' policy requires a physician order in order to justify inpatient hospitalization (including inpatient psychiatric hospitalizations). Under 42 CFR 482.12(c)(2), a hospital's governing body must ensure that “[p]atients are admitted to the hospital only on the recommendation of a licensed practitioner permitted by the State to admit patients to a hospital.” In addition, § 482.24(c) requires that a patient's medical record “contain information to justify admission and continued hospitalization.”
We also have indicated our current policy and its applicability to all types of hospitals in our subregulatory guidance. In the MBPM, Chapter 1, Section 10, we define an inpatient as “a person who has been admitted to a hospital for bed occupancy for purposes of receiving inpatient services.” This section further explains that “[g]enerally, a patient is considered an inpatient if formally admitted as inpatient with an expectation that he or she will remain at least overnight and occupy a bed even though it later develops that the patient can be discharged or transferred to another hospital and not actually use a hospital bed overnight.” In addition, Section 10 provides that “[t]he physician or other practitioner responsible for a patient's care at the hospital is also responsible for deciding whether the patient should be admitted as an inpatient.”
CMS' policy is also reflected in the Medicare Claims Processing Manual (MCPM) (Pub. 100-04), Chapter 3, Section 40.2.2(K), which discusses the circumstance where a patient is admitted to an inpatient hospital, but dies or is discharged before being assigned to a room. Certainly, this circumstance would not qualify as a long stay, but CMS still requires a physician order to justify the admission, stating that “[a] patient of an acute care hospital is considered an inpatient upon issuance of written doctor's orders to that effect.” Finally, Chapter 4 of the Medicare General Information, Eligibility, and Entitlement Manual also addresses the certification requirement. Section 10 of Chapter 4 provides that “[p]ayments may be made for covered hospital services only if a physician certifies and recertifies to the medical necessity for the services at designated intervals of the hospital inpatient stay.” As members of the hospital community have noted in the past, this section also states that “[f]or patients admitted to a general hospital . . . a physician certification is not required at the time of admission.” However, this merely means that the certification need not be contemporaneous with the admission, rather than indicating that no certification is required.
Therefore, our longstanding policy, as reflected in our regulations and other guidance, has been that a physician order is required for all inpatient hospital admissions, regardless of the length of stay. We believe that this policy is a legally supportable interpretation of section 1814(a) of the Act. In order to clarify this policy going forward, we are finalizing § 412.3(a) to include the proposed language as well as the provision we described in the proposed rule (78 FR 27647) that the order must be present in the medical record and supported by the physician admission and progress notes. We are adding this preamble language from the proposed rule to the regulation text to improve clarity and provide consistency with our policy on medical review of inpatient admissions (section XI.C.3. of the preamble of this proposed rule) that, while the physician order and the physician certification are required for all inpatient hospital admissions in order for payment to be made under Part A, the physician order and the physician certification are not considered by CMS to be conclusive evidence that an inpatient hospital admission or service was medically necessary. Rather, the physician order and physician certification are considered along with other documentation in the medical record.
As finalized, § 412.3(a) reads: “For purposes of payment under Medicare Part A, an individual is considered an inpatient of a hospital, including a critical access hospital, if formally admitted as an inpatient pursuant to an order for inpatient admission by a physician or other qualified practitioner in accordance with this section and §§ 482.24(c), 482.12(c), and 485.638(a)(4)(iii) of this chapter for a critical access hospital. This physician order must be present in the medical record and be supported by the physician admission and progress notes, in order for the hospital to be paid for hospital inpatient services under Medicare Part A. In addition to these physician orders, inpatient rehabilitation facilities also must adhere to the admission requirements specified in § 412.622 of this chapter.” (We discuss the application of these final policies to IRFs in section XI.C.2.c. of the preamble of this final rule.)
To provide further clarity and to more closely mirror the authorizing statutory language, we are deleting the word “continued” and adding the word “inpatient” before the phrase “medical treatment” in § 424.13(a)(2), to reflect that the content of the certification of inpatient services (other than inpatient psychiatric services) includes the reason for inpatient hospital services. The amended paragraph reads, “(a) Content of certification and recertification. Certification begins with the order for inpatient admission. Medicare Part A pays for inpatient hospital services (other than inpatient psychiatric facility services) only if a physician certifies and recertifies the following:
(1) That the services were provided in accordance with § 412.3 of this chapter
(2) The reasons for either—
(i) Hospitalization of the patient for inpatient medical treatment or medically required inpatient diagnostic study; or
(ii) Special or unusual services for cost outlier cases (under the prospective payment system set forth in subpart F of Part 412 of this chapter).”
We believe this language better reflects the statutory content of the certification required by section 1814(a)(3) of the Act “[t]hat such services are required to be given on an inpatient basis for such individual's medical treatment, or that inpatient diagnostic study is medically required and such services are necessary for such purpose.”
We note that the particular elements of the certification, for example, the order for inpatient services and documentation of the reason for continued hospitalization (diagnosis) should be documented within the medical record. Therefore, we are not finalizing any new documentation requirements. The existing provisions in § 424.11 continue to apply, for example paragraphs (b) and (c) which provide that no specific procedures or forms are required for certification and recertification statements. The provider may adopt any method that permits verification. The certification and recertification statements may be entered on forms, notes, or records that the appropriate individual signs, or on a special separate form. Except as provided for delayed certifications, there must be a separate signed statement for each certification or recertification. The succeeding sections of Part 424, subpart B set forth specific information required for different types of services. If that information is contained in other provider records, such as physicians' progress notes, it need not be repeated. It will suffice for the statement to indicate where the information is to be found.
To clarify the relationship between the physician order and the physician certification, we are adding new 42 CFR 412.3(c) which states that “The physician order also constitutes a required component of the physician certification of the medical necessity of hospital inpatient services under Part 424 of this chapter.” Similarly, we are revising paragraph (a) of § 424.13 to include in the content of the certification for inpatient hospital services (other than inpatient psychiatric services): “(1) [t]hat the services were provided in accordance with § 412.3 of this chapter [the order].” We are adding parallel provisions in 42 CFR 424.14(b) and 424.15(a) to include in the content of the physician certification for payment of inpatient psychiatric services and inpatient CAH services, respectively, that the services were provided in accordance with § 412.3. We discuss additional rules for certification that apply to inpatient services furnished in IRFs in section XI.C.2.c. of the preamble of this final rule.
To further clarify the relationship between the physician order and the physician certification, and our requirement that, like the order, the certification applies to all hospital inpatient admissions (not just extended stays), we are adding new provisions to the regulations regarding timing of the certification. In § 424.13, we are providing that the certification must be signed and documented in the medical record prior to the hospital discharge (except for recertifications of extended stays, which are required earlier). We are redesignating existing paragraphs (b) through (g) of § 424.13 as paragraphs (c) through (h), respectively, in order to add a new paragraph (b). We are requiring under new § 424.13(b) that, for inpatient services other than inpatient psychiatric services: “For all hospital inpatient admissions, the certification must be completed, signed, and documented in the medical record prior to discharge. For outlier cases under subpart F of Part 412 of this chapter that are not subject to the PPS, the certification must be signed and documented in the medical record and as specified in paragraphs (e) through (h) of this section.”
For inpatient psychiatric services, we are adding the phrase “and must be completed and documented in the medical record prior to discharge” at the end of § 424.14(d)(1) so that the paragraph reads, “Certification is required at the time of admission or as soon thereafter as is reasonable and practicable, and must be completed and documented in the medical record prior to discharge.” We will continue to provide under paragraph (d)(2) of § 424.14 that the first recertification is required as of the 12th day of hospitalization. Subsequent recertifications are required at intervals established by the utilization review committee (on a case-by-case basis if it so chooses), but no less frequently than every 30 days.
Like other components or elements of the physician certification, the physician order reflects affirmation by the ordering practitioner that hospital inpatient services are medically necessary. However, the order serves the unique purpose of initiating the inpatient admission and documenting the physician's (or other qualified practitioner as provided in the regulations) intent to admit the patient, which impacts its required timing. Therefore we are specifying in new paragraph (d) of § 412.3 that “The physician order must be furnished at or before the time of the inpatient admission” (unlike the rest of the certification which may be completed prior to discharge, except for the outlier extended stays described in § 424.13(e) through (g)). Similarly, we are providing in the regulations on the certification that the certification begins with the order for inpatient admission. We are adding this as the new first sentence in §§ 424.13(a), 424.14(a), and 424.15(b) for CAHs. Also, we are including a conforming amendment in new paragraph (d)(5) of § 424.11 that, for hospital or CAH hospital inpatient services, a delayed certification may not extend past discharge. The existing delayed certification provisions in existing § 424.11(d)(3) and (d)(4) will continue to apply, but only for certification of the outlier extended stay cases described in § 424.13(e) through (g).
To clarify that the rules for timing of certification and recertification for “cases not subject to the PPS” in redesignated paragraphs (e) through (h) of § 424.13 apply only to IPPS outlier cases, we are adding the word “outlier” prior to the phrase “subject to the PPS” in paragraphs (e), (f), (g), and (h).
We are finalizing two conforming amendments in the regulation text governing physician certification. In § 424.11(e)(2), we are removing the reference “§ 424.13(c)” and adding in its place “§ 424.13(d)” as redesignated. Similarly, we are amending § 424.16(a) by removing the reference “§ 424.13(e)” and adding it its place “subpart B of this Part”.
Comment: Several commenters asked what Medicare's payment rules would be regarding verbal inpatient admission orders. For example, the commenters asked whether the hospital could submit a Part A claim based upon a verbal order that is not documented in the medical record at the time the claim is submitted. In addition, the commenters asked how CMS defines “prompt” authentication of orders, or address verbal order “read-back” processes.
Response: Because the physician order is required as a condition of payment, if the order is not documented in the medical record, the hospital should not submit a claim for Part A payment. A verbal order is a temporary administrative convenience for the physician and hospital staff but it is not a substitute for a properly documented and authenticated order for inpatient admission. A verbal order must be properly countersigned by the practitioner who gave the verbal order. We intend to further discuss and develop our requirements regarding verbal orders for inpatient admission in our subregulatory guidance. The CoPs regarding verbal orders were carefully developed over a period time, and we believe we should take additional time to consider and potentially coordinate the CoP and payment rules.
Comment: Some commenters believed that, while the order should be documented in the medical record as a best practice, documentation of the order should not be required if it is unintentionally omitted. They believed that the order is a technicality that should not serve as a condition of payment. The commenters stated that if the order to admit is missing, yet the physician intent and physician recommendation to admit to inpatient can clearly be derived from the medical record, for example if a medically necessary inpatient-only service was furnished, the contractor should consider these rather than requiring the physician order as a technical requirement for medical necessity and payment.
Response: The admission order is evidence of the decision by the physician (or other practitioner who can order inpatient services) to admit the beneficiary to inpatient status. In very rare circumstances, the order to admit may be missing or defective (that is, illegible or incomplete), yet the intent, decision, and recommendation of the physician (or other practitioner who can order inpatient services) to admit the beneficiary as an inpatient can clearly be derived from the medical record. In these rare situations, we have provided contractors with discretion to determine that this information constructively satisfies the requirement that the hospital inpatient admission order be present in the medical record. However, in order for the documentation to provide acceptable evidence to support the hospital inpatient admission, thus satisfying the requirement for the physician order, there can be no uncertainty regarding the intent, decision, and recommendation by the physician (or other practitioner who can order inpatient services) to admit the beneficiary as an inpatient, and no reasonable possibility that the care could have been adequately provided in an outpatient setting. This narrow and limited alternative method of satisfying the requirement for documentation of the inpatient admission order in the medical record should be extremely rare, and may only be applied at the discretion of the medical review contractor. Even in those circumstances, all requirements for the other components of the physician certification must be met.
Comment: Several commenters asked CMS to clarify whether, when a beneficiary would become an inpatient under the proposed policies, inpatient status would be conferred retroactive to the beginning of the hospital stay. One commenter recommended that the patient become inpatient after the physician writes the order and the patient starts receiving care based on those orders, whether or not it is in a bed on an inpatient nursing unit, a holding bed in the emergency department or another location, or whether the patient is sent to imaging or the operating room first. One commenter questioned what CMS meant by the term “outpatient status.” Another commenter questioned CMS' current definition of “inpatient,” stating it is not defined in the Act. The commenter stated that, at the time of the law's passage, the meaning of “inpatient” was obvious and universal. The commenter stated that a patient that stays in a hospital is an inpatient, whereas a patient that goes home after treatment, or after a limited recovery period such as a few hours, is an outpatient.
Response: As explained in the proposed rule, in response to concerns and suggestions of stakeholders, we aimed to provide more clarity regarding hospital inpatient admissions and Medicare payment. Toward those ends, in the FY 2014 IPPS/LTCH PPS proposed rule, we addressed medical review criteria and proposed to codify in regulation our longstanding policy (as reflected in manual provisions) that a patient becomes an inpatient when formally admitted as such pursuant to a physician order. CMS' definition of “inpatient” has been upheld in litigation. Landers v. Leavitt, 545 F.3d 98 (2 [d] Cir. 2008). We did not propose policy changes regarding the definition of “inpatient” or inpatient status. In contrast to a hospital inpatient, we have defined a hospital outpatient in the MBPM, Chapter 6, Section 20, as “a person who has not been admitted by the hospital as an inpatient but is registered on the hospital records as an outpatient and receives services (rather than supplies alone) from the hospital or CAH.”
This final rule provides that a beneficiary is considered a hospital inpatient following formal admission “pursuant to” the hospital inpatient admission order. We included the phrase “pursuant to” in recognition that, in most cases, the beneficiary is formally admitted and becomes a hospital inpatient concurrent with the physician order to admit to inpatient. However, in cases such as elective surgeries where the inpatient admission order is written as far as several weeks in advance, the beneficiary is not considered an inpatient until the time of formal admission at the hospital for the inpatient services. In this example, the beneficiary is admitted and becomes an inpatient pursuant to the physician's order and could not be admitted without it, although there may be a time lag between when the order to admit is written and the time of formal admission. The physician order cannot be effective retroactively. In this final rule, we are not changing our definition of a “hospital inpatient.” Inpatient status only applies prospectively, starting from the time the patient is formally admitted pursuant to a physician order for inpatient admission, in accordance with our current policy.
Comment: Several commenters expressed the opinion that physicians should not have to divide their attention between providing patient care and understanding Medicare's admission rules, which the commenters viewed as mere billing distinctions. Some commenters believed that CMS should allow physicians to delegate the determination of patient status to the hospital or its utilization review committee, while the physician focuses on ordering and providing the necessary clinical care. Further, some commenters stated that this is their current practice. Some commenters commented that their current processes provide for admission “to case management” or “to utilization review” rather than specifying inpatient admission.
Response: As we discussed above, many public comments from physicians indicated that they believed the physician should be involved in the determination of patient status, and we agree. To reinforce this policy and reduce confusion among hospitals, beneficiaries, and physicians on the differences between outpatient observation and inpatient services, we are providing in this final rule that the order for inpatient admission must specify admission “to or as an inpatient.” In previous discussions, stakeholders have indicated that often physician orders only specify admission to a certain location in the hospital (for example, “Admit to Tower 7”) or do not clarify whether the physician's intent is to “admit” the beneficiary for outpatient observation services or for hospital inpatient services. Therefore, we are providing that, for payment of hospital inpatient services under Medicare Part A, the order must specify the admitting practitioner's recommendation to admit “to inpatient,” “as an inpatient,” “for inpatient services,” or similar language specifying his or her recommendation for inpatient care. In addition, as discussed in the proposed rule (78 FR 27646), we remind hospitals that patients are admitted to the hospital only on the recommendation of a physician or licensed practitioner permitted by the State to admit patients to a hospital, provided that the practitioner, either a physician or other licensed practitioner, has been granted such privileges by the hospital to do so. Hospitals and physicians routinely must work together to comply with billing, coding, and admission rules not just for Medicare, but also for Medicaid and private payers.
b. Authorization to Sign the Physician Order
We proposed new regulation provisions in 42 CFR 412.3(b) which state that, as a condition of payment, the order must be furnished by a qualified and licensed practitioner who has admitting privileges at the hospital as permitted by State law, and who is responsible for the inpatient care of the patient at the hospital. The practitioner could not delegate the decision (order) to another individual who is not responsible for the care of that patient, is not authorized by the State to admit patients, or has not been granted admitting privileges applicable to that patient by the hospital's medical staff.
Comment: Commenters in the physician and Medicare contractor medical review communities generally supported the proposal to require the inpatient admission order, and to provide that it could not be delegated to another individual who does not possess the authority to order inpatient admission in his or her own right. In addition, some commenters representing hospitals did not object to this requirement because it is already standard practice. However, the commenters described a number of situations in which the ordering practitioner would appropriately not be the individual who takes responsibility for the inpatient care of the beneficiary, or for the entirety of the inpatient care. According to the commenters, these included emergency department physicians, hospitalists and other types of physicians in group practices who care for patients in the hospital, and residents working under the supervision of attending physicians. The commenters requested that if CMS finalizes a requirement for the inpatient order as a condition of Part A payment, CMS should allow it to be issued by any physician in the hospital who is knowledgeable about the beneficiary's condition and has admitting privileges at the hospital.
Response: We agree with the commenters that it would be appropriate to allow practitioners who may not be responsible for the inpatient hospital care of the beneficiary but are otherwise qualified to admit patients at that hospital and are knowledgeable about the case to order the inpatient admission. Therefore, we are deleting the proposed language in paragraph (b) of § 412.3 that would have required the order to be issued by a practitioner who is responsible for the inpatient care of the patient at the hospital. We are replacing this language with new language to specify that, although the ordering practitioner need not be responsible for the patient's inpatient care, he or she must be knowledgeable about the patient's hospital course, medical plan of care, and current condition.
We are finalizing all of the other proposed qualifications in paragraph (b) of § 412.3 for the ordering practitioner. The final language reads, “(b) The order must be furnished by a qualified and licensed practitioner who has admitting privileges at the hospital as permitted by State law, and who is knowledgeable about the patient's hospital course, medical plan of care, and current condition. The practitioner may not delegate the decision (order) to another individual who is not authorized by the State to admit patients, or has not been granted admitting privileges applicable to that patient by the hospital's medical staff.” We discuss the application of these final policies to IRFs in section XI.C.2.c . of the preamble of this final rule.
c. Applicability to Inpatient Rehabilitation Facilities (IRFs)
We note that IRFs that are excluded from the IPPS and paid under the IRF prospective payment system (IRF PPS) specified in 42 CFR 412.1(a)(3) have certain requirements in 42 CFR 412.622(a)(3), (a)(4), and (a)(5) that govern an inpatient admission to an IRF. These requirements specify the admission criteria that must be documented in the medical record for an IRF admission of a Medicare Part A fee-for-service beneficiary to be considered reasonable and necessary under section 1862(a)(1) of the Act. For example, the documentation requirements contained in these regulations specify that a comprehensive preadmission screening must be conducted and must serve as the basis for the initial determination of whether or not the patient meets the requirements for admission to an IRF. A rehabilitation physician, defined as a licensed physician with specialized training and experience in rehabilitation, must document that he or she has reviewed and concurs with the preadmission screening prior to the admission. However, we note that Chapter 1, Section 110.1.4 of the MBPM also specifies that, at the time each Medicare Part A fee-for-service patient is admitted to an IRF, a physician must generate admission orders for the patient's care.
Therefore, although the required physician orders discussed in section XI.C.2.a. of the preamble of this final rule apply to all inpatient hospital admissions, including inpatient admissions to an IRF, they do not determine the timing of an IRF admission, nor are they used to determine whether the IRF admission was reasonable and necessary. These determinations are governed by the requirements in §§ 412.622(a)(3), (4), and (5) of the regulations. To clarify this, we have included a provision under new § 412.3 in this final rule that the IRF requirements at § 412.622 also must be met in order for the IRF to be paid for hospital inpatient services under Medicare Part A. However, due to the aforementioned inherent differences in the operation of and beneficiary admission to IRFs, such providers are excluded from the 2-midnight admission guidelines and medical review instruction, as provided under XI.C.3. of the preamble of this final rule.
3. Inpatient Admission Guidelines
CMS is authorized under section 1893 of the Act to implement the Medicare Integrity Program to conduct medical review of claims and ensure appropriateness of Medicare payment. Medicare review contractors, such as Medicare Administrative Contractors (MACs), Recovery Auditors (formerly known as the Recovery Audit Contractors, or RACs), the Comprehensive Error Rate Testing (CERT) Contractor, and other review contractors are hired by CMS to review claims on a pre-payment or post- payment basis to determine whether a claim should be paid or denied or whether a payment was properly made under Medicare payment rules. Following documentation reviews, many claim denials are made or improper payments identified because either—
- The claim was incorrectly coded (for example, the provider did not appropriately assign the individual or grouper inpatient and/or outpatient coding for the care documented); or
- The services were not medically necessary (that is, the review indicates that the services billed were not reasonable and necessary based upon Medicare payment policies or that the documentation was insufficient to support the medical necessity of the services billed).
CMS developed the CERT program to calculate the annual Medicare FFS program improper payment rate. The CERT program considers any claim that was paid when it should have been denied or paid at another amount (including both overpayments and underpayments) to be an improper payment. Hospital claim errors are identified more frequently for shorter lengths of stay. In 2012, the CERT contractor found that Medicare Part A inpatient hospital admissions for 1-day stays or less had an improper payment rate of 36.1 percent. The improper payment rate decreased significantly for 2-day or 3-day stays, which had improper payment rates of 13.2 percent and 13.1 percent, respectively. The improper payment rate further decreased to 8 percent for those beneficiaries who were treated as hospital inpatients for 4 days.
Hospital claim errors are identified more frequently for shorter lengths of stay. The majority of improper payments under Medicare Part A for short-stay inpatient hospital claims have been due to inappropriate patient status (that is, the services furnished were reasonable and necessary, but should have been furnished on a hospital outpatient, rather than hospital inpatient, basis). Inpatient hospital short-stay claim errors are frequently related to minor surgical procedures or diagnostic tests. In such situations, the beneficiary is typically admitted as a hospital inpatient after the procedure is completed, monitored overnight as an inpatient, and discharged from the hospital in the morning. Medicare review contractors typically find that while the underlying services provided were reasonable and necessary, the inpatient hospitalization following the procedure was not (that is, the services following the procedure should have been provided on an outpatient basis).
In the FY 2014 IPPS/LTCH PPS proposed rule (78 FR 27644 through 27650), we sought to clarify our longstanding policy on how Medicare review contractors review inpatient hospital admissions for payment under Medicare Part A. We also issued proposed guidance to physicians and hospitals regarding when a hospital inpatient admission should be ordered for Medicare beneficiaries. In this final rule we discuss the public comments we received in response to our proposals relating to admission guidance and medical review and provide our final policies after considerations of those public comments.
a. Correct Coding Reviews
We did not propose any changes to coding review strategies for hospital claims. Reviewers will continue to ensure that the correct codes were applied and are supported by the medical record documentation.
b. Complete and Accurate Documentation
When conducting complex medical review, we proposed that Medicare review contractors would continue to employ clinicians to review practitioner documented procedures and ensure that they are supported by the submitted medical record documentation. Such has been the case for complex medical review as historically performed, and will continue to be the case per this final rule instruction.
c. Medical Necessity Reviews
(1) Physician Order and Certification
In the proposed rule (78 FR 27647), we proposed to codify in 42 CFR 412.46(b) the longstanding requirement that medical documentation must support the physician's order and certification, as prescribed by CMS Ruling 93-1. Under the proposed new paragraph (b) titled “Physician's order and certification regarding medical necessity,” CMS reiterated that “No presumptive weight shall be assigned to the physician's order under § 412.3 or the physician's certification under Subpart B of Part 424 of this chapter in determining the medical necessity of inpatient hospital services under section 1862(a)(1) of the Act. A physician's order and certification will be evaluated in the context of the evidence in the medical record.” We also stated that current requirements for practitioner documentation of services ordered and furnished would remain unchanged. That is, while the physician order and the physician certification are required for all inpatient hospital admissions in order for payment to be made under Part A, the physician order and the physician certification are not considered by CMS to be conclusive evidence that an inpatient hospital admission or service was medically necessary. Rather, the physician order and physician certification are considered along with other documentation in the medical record.
Comment: Some commenters disagreed with the proposal for reviewing the physician order and certification in accord with the documentation in the medical record. Rather, the commenters suggested that an assumption of medical necessity for the inpatient stay would more appropriately stem from the physician order to admit to inpatient, particularly due its requirement for admission purposes.
Response: Satisfying the requirements regarding the physician order and certification alone does not guarantee Medicare payment. Rather, in order for payment to be provided under Medicare Part A, the care must also be “reasonable and necessary,” as specified under section 1862(a)(1) of the Act. In addition, section 1869(a) of the Act provides that determinations regarding entitlement to benefits are under the authority of the Secretary. As stated in our proposed rule, the instruction for reviewers to account for all documentation in the medical record, in addition to the actual order for inpatient admission, is consistent with statutory instruction and our prior policy as outlined in Medicare Ruling 93-1, and is being codified for transparency and consistency.
Comment: Commenters requested that CMS define what constitutes “objective medical information,” which is required to support the order for a hospital inpatient admission.
Response: We appreciate the commenters' suggestions that additional documentation guidelines would be helpful. We will consider them as we develop implementation instructions and manual revisions.
(2) Inpatient Hospital Admission Guidelines
In the FY 2014 IPPS/LTCH PPS proposed rule (78 FR 27648), we indicated that longstanding Medicare policy has recognized that there are certain situations in which a hospital inpatient admission is rarely appropriate. We have stated in the MBPM that when a beneficiary receives a minor surgical procedure or other treatment in the hospital that is expected to keep him or her in the hospital for only a few hours (less than 24), the services should be provided as outpatient hospital services, regardless of the hour the beneficiary comes to the hospital, whether he or she uses a bed, and whether he or she remains in the hospital past midnight (Section 10, Chapter 1 of the MBPM). In applying this benchmark, we have been clear that this instruction does not override the clinical judgment of the physician to keep the beneficiary at the hospital, to order specific services, or to determine appropriate levels of nursing care or physical locations within the hospital. Rather, this instruction provided a benchmark to ensure that all beneficiaries received consistent application of their Part A benefit to whatever clinical services were medically necessary.
Due to persistently large improper payment rates in short-stay hospital inpatient claims, and in response to requests to provide additional guidance regarding the proper billing of those services, we proposed to modify and clarify our general rule and provide at § 412.3(c)(1) that, in addition to services designated by CMS as inpatient only (which are appropriate for inpatient admission without regard to duration of care), surgical procedures, diagnostic tests, and other treatments would be generally appropriate for inpatient admission and inpatient hospital payment under Medicare Part A when the physician expects the beneficiary to require a stay that crosses at least 2 midnights and admits the beneficiary to the hospital based upon that expectation. Conversely, when a beneficiary enters a hospital for a surgical procedure not specified by Medicare as inpatient only under § 419.22(n), a diagnostic test, or any other treatment, and the physician expects to keep the beneficiary in the hospital for only a limited period of time that does not cross 2 midnights, the services would be generally inappropriate for payment under Medicare Part A. This would be the case regardless of the hour that the beneficiary came to the hospital or whether the beneficiary used a bed.
In the proposed rule, we provided inpatient hospital admission guidance specifying that a physician or other qualified practitioner (herein we will refer to the physician, with the understanding that this can also pertain to another qualified practitioner) should order admission if he or she expects that the beneficiary's length of stay will exceed a 2-midnight benchmark or if the beneficiary requires a procedure specified as inpatient-only under § 419.22. We proposed that the starting point for this 2-midnight instruction would be when the beneficiary is moved from any outpatient area to a bed in the hospital in which additional hospital services would be provided. We also sought public comment regarding alternative methods of calculating the start time for the 2-midnight instruction.
In the proposed rule, we stated that the judgment of the physician and the physician's order for inpatient admission should be based on the expectation of care surpassing 2 midnights, with both the expectation of time and the determination of the underlying need for medical care at the hospital supported by complex medical factors such as history and comorbidities, the severity of signs and symptoms, current medical needs, and the risk of an adverse event. We also indicated that, in accordance with current policy, factors that may result in an inconvenience to a beneficiary or family would not justify an inpatient hospital admission. The factors that lead a physician to admit a particular beneficiary based on the physician's clinical expectation are significant clinical considerations and must be clearly and completely documented in the medical record. Because of the relationship that develops between a physician and his or her patient, the physician is in a unique position to incorporate complete medical evidence in a beneficiary's medical records, and has ample opportunity to explain in detail why the expectation of the need for care spanning at least 2 midnights was appropriate in the context of that beneficiary's acute condition. We stated in the proposed rule that a reasonable expectation of a stay crossing 2 midnights, which is based on complex medical factors and is documented in the medical record, will provide the justification needed to support medical necessity of the inpatient admission, regardless of the actual duration of the hospital stay and whether it ultimately crosses 2 midnights. As such, we acknowledged in the proposed rule that there may be an unforeseen circumstance that results in a shorter beneficiary stay than the physician's expectation of surpassing 2 midnights. We stated that we would expect that the majority of such inpatient hospital admissions would occur when an inpatient hospital admission is appropriately ordered, but a beneficiary's transfer or death interrupts the beneficiary's hospital stay that would have otherwise spanned at least 2 midnights. Therefore, we provided in proposed § 412.3(c)(2), that “If an unforeseen circumstance, such as beneficiary death or transfer, results in a shorter beneficiary stay than the physician's expectation of at least 2 midnights, the patient may be considered to be appropriately treated on an inpatient basis, and the hospital inpatient payment may be made under Medicare Part A.” We indicated that documentation in the medical record of such a circumstance would be required for purposes of supporting whether the inpatient hospital admission was reasonable and necessary for Medicare Part A payment. In addition, we explained that the physician must certify that inpatient hospital services were medically necessary in accordance with section 1814(a) of the Act and 42 CFR Part 424, Subpart B.
Comment: Commenters pointed to CMS' guidance that time should not be the leading factor in the decision to admit a beneficiary and that the decision should rely on the physician's clinical judgment and evaluation of the beneficiary's needs based on the severity of illness, the intensity or complexity of care, and the predictability of high-risk adverse outcomes. The commenters stated that there are many beneficiaries who stay in a hospital for less than 2 midnights but still require an inpatient level of care.
Response: In our existing guidance, we stated that the decision to admit a patient as an inpatient is a complex medical decision based on many factors, including the risk of an adverse event during the period considered for hospitalization, and an assessment of the services that the beneficiary will need during the hospital stay. The crux of the medical decision is the choice to keep the beneficiary at the hospital in order to receive services or reduce risk, or discharge the beneficiary home because they may be safely treated through intermittent outpatient visits or some other care. Our previous guidance also provided for a 24-hour benchmark, instructing physicians that, in general, beneficiaries who need to stay at the hospital less than 24 hours should be treated as outpatients, while those requiring care greater than 24 hours may usually be treated as inpatients. Our proposed 2-midnight benchmark, which we now finalize, simply modifies our previous guidance to specify that the relevant 24 hours are those encompassed by 2 midnights. While the complex medical decision is based upon an assessment of the need for continuing treatment at the hospital, the 2-midnight benchmark clarifies when beneficiaries determined to need such continuing treatment are generally appropriate for inpatient admission or outpatient care in the hospital.
Contrary to the commenters' suggestion, we do not refer to “level of care” in guidance regarding hospital inpatient admission decisions. Rather, we have consistently provided physicians with the aforementioned time-based admission framework to effectuate appropriate inpatient hospital admission decisions. This is supported by recent findings by the Office of Inspector General (OIG) (OIG, Hospitals' Use of Observation Stays and Short Inpatient Stays for Medicare Beneficiaries, OEI-02-12-00040, July 2013). The OIG found that the reasons for short inpatient stays and for outpatient observation stays were often the same. They further noted that the relative use of short inpatient stays versus outpatient observation stays varied widely between hospitals, consistent with medical review findings that identical beneficiaries may receive identical services as either inpatients or outpatients in different hospitals. We believe that this supports our proposed continuation of our existing policy that there are no prohibitions against a patient receiving any individual service as either an inpatient or an outpatient, except for those services designated by the Outpatient Prospective Payment System (OPPS) Inpatient-Only list as inpatient-only services. We further believe that this supports our proposed policy that the physician is expected to continue to use his or her complex clinical judgment in determining whether a beneficiary needs to stay at the hospital, what services and level of nursing care (for example, low-level, monitored, or one-on-one) the beneficiary will need, and what location (unit) is most appropriate. This does not require that the physician memorize complex billing or utilization guidelines; rather, the physician should generally order an inpatient admission when he or she has determined either that the beneficiary requires care at the hospital that is expected to transcend at least 2 midnights or that it will involve a procedure designated by the OPPS Inpatient-Only list as an inpatient-only procedure.
Comment: Commenters asserted that making a time-based prediction is difficult for the physician. They stated that making such a determination is contradictory to medical professionals' training, which is centered on the assessment of patients and the development of treatment plans, as opposed to focusing on the utilization review process. The commenters also stated that predicting length of stay is difficult because individual patients respond differently to care provided. Commenters suggested that a physician often does not have enough information about a patient at the onset of treatment to make an informed decision regarding anticipated length of stay. For example, a hospitalist admitting a beneficiary through the emergency department likely will not be familiar with the patient and may not have access to extensive medical history documentation on which to make a decision. Commenters suggested that beneficiaries with unknown or uncertain diagnoses should be kept under observation status until their diagnosis and course of treatment become clear. At that point, the commenters added, the hospital would be in the best position to determine the length of treatment, make the decision to admit to inpatient status, or discharge the patient home.
Response: It has been longstanding Medicare policy to require physicians to admit a beneficiary as a hospital inpatient based on their expected length of stay. However, we recognized when we published our definition of observation services that long-term predictions are inherently more difficult than short-term predictions. Therefore, we revised our guidance to indicate that, when it was difficult to make a reasonable prediction, the physician should not admit the beneficiary but should place the beneficiary in observation as an outpatient. As new information becomes available, the physician must then reassess the beneficiary to determine if discharge is possible or if it is evident that an inpatient stay is required. We believe that this principle still applies and have reiterated this in the final rule. For those hospital stays in which the physician cannot reliably predict the beneficiary to require a hospital stay greater than 2 midnights, the physician should continue to treat the beneficiary as an outpatient and then admit as an inpatient if and when additional information suggests a longer stay or the passing of the second midnight is anticipated.
Comment: Commenters pointed out that although the proposal is framed as a presumption, the proposed rule, would, in effect, inappropriately establish a per se rule that inpatient admissions that are not expected to last at least 2 midnights are not medically reasonable and necessary (unless the beneficiary is receiving an inpatient-only service or procedure). The commenters stated that the proposed rule offers no legal or medical support for the idea that a 1-day stay that is expected to be a 1-day stay is not medically reasonable and necessary as an inpatient admission. Other commenters requested that CMS clarify that no per se rule would be created that inpatient payment is always inappropriate following procedures not on the inpatient-only list.
Response: The proposed rule did not create a per se standard; rather, consistent with historical instruction, the proposed rule continues the use of a benchmark to ensure a uniform understanding of the circumstances under which an inpatient admission should be ordered or when the care should be provided on an outpatient basis. This common standard is not a per se rule but a necessary reference to ensure similar beneficiary cost-sharing and hospital reimbursement for similar care. The 2-midnight benchmark, rather, provides that hospital stays expected to last less than 2 midnights are generally inappropriate for inpatient hospital admission and Part A payment absent rare and unusual circumstance to be further detailed in sub-regulatory instruction. In applying this benchmark, we have been clear that this instruction does not override the clinical judgment of the physician to keep the beneficiary at the hospital, to order specific services, or to determine appropriate levels of nursing care or physical locations within the hospital. Rather, this instruction provides a benchmark to ensure that all beneficiaries received consistent application of their Part A benefit to whatever clinical services were medically necessary.
Comment: Commenters urged CMS to consider situations that result in a shorter beneficiary stay than the physician's expectation of care transcending 2 midnights. The commenters stated that in the proposed rule, CMS indicated that it would expect that the majority of such cases to be due to beneficiary death or transfer. Commenters expressed concern that these exceptions are too restrictive and urged CMS to recognize other exceptions, such as when a beneficiary leaves against medical advice (AMA) before reaching the 2-midnight benchmark, when the beneficiary improves more rapidly than expected, or when the beneficiary requires care in the intensive care unit (ICU). One commenter inquired whether a beneficiary who receives intensive services and expires prior to crossing 2 midnights would automatically be classified as appropriately outpatient.
Response: We appreciate industry feedback, and believe the rule, as finalized, provides for sufficient flexibility because of its basis in the physician's expectation of a 2-midnight stay. Such would include situations in which the beneficiary improves more rapidly than the physician's reasonable, documented expectation. Such unexpected improvement may be provided and billed as inpatient care, as the regulation is framed upon a reasonable and supportable expectation, not the actual length of care, in defining when hospital care is appropriate for inpatient payment. We do not believe beneficiaries treated in an intensive care unit should be an exception to this standard, as our 2-midnight benchmark policy is not contingent on the level of care required or the placement of the beneficiary within the hospital. In addition, while we did not specify the situation in which a beneficiary leaves AMA as an exception under the proposed rule, we acknowledge that an AMA departure is usually an unexpected event and that an inpatient admission could still be appropriate provided that the medical record demonstrates a reasonable expectation of a 2-midnight stay when the admission order is written. As we develop our manual guidance to implement this proposed rule, we will identify those unusual situations in which we expect that the 2 midnight benchmark does not apply.
Comment: Commenters voiced concerns that the use of observation would increase under the proposed policy, regardless of CMS' intent to reduce the incidence of long observation stays. Some commenters believed that if the physician would have to predict a greater than 2 midnight stay, only the sickest individuals and those receiving procedures on the inpatient-only list would be admitted as inpatients, while many more beneficiaries would be placed in observation so as to avoid an inaccurate length of stay determination and subsequent short-stay audits. Other commenters believed that because an increase in observation stays will happen, many hospital stays that would generally be appropriate for an inpatient admission under CMS' current 24-hour guidance would now be generally inappropriate for Part A payment unless the 2-midnight benchmark is met. Commenters voiced concern that the increase in observation will lead to a strain in outpatient beds and resources, leading the hospitals to use inpatient beds for beneficiaries in outpatient status who need more intense monitoring than is currently available in outpatient areas without a proportionate increase in outpatient reimbursement from Medicare. Commenters also urged CMS to recalibrate its outpatient payment so that hospitals will be adequately compensated for handling the increase in observation cases, particularly for those stays requiring complex monitoring and intervention. The commenters believed that as beneficiaries have the potential for greater cost-sharing for an observation stay than an inpatient stay, this may lead to greater financial liability for beneficiaries.
Response: While previous guidance provided a 24-hour benchmark to be used in making inpatient admission decisions, we now specify that the 24 hours relevant to inpatient admission decisions are those encapsulated by 2 midnights. As we provide in this final rule, we expect that the decision to admit the beneficiary should be based on the cumulative time spent at the hospital beginning with the initial outpatient service. In other words, if the physician makes the decision to admit after the beneficiary arrived at the hospital and began receiving services, he or she should consider the time already spent receiving those services in estimating the beneficiary's total expected length of stay. For example, if the beneficiary has already passed 1 midnight as an outpatient observation patient or in routine recovery following outpatient surgery, the physician should consider the 2 midnight benchmark met if he or she expects the beneficiary to require an additional midnight in the hospital. This means that the decision to admit becomes easier as the time approaches the second midnight, and beneficiaries in medically necessary hospitalizations should not pass a second midnight prior to the admission order being written. The potential increase in very short (less than 2 midnights) observation stays should be balanced by a significant decrease in long (2 midnights or more) observation stays. Because we expect that this revision should virtually eliminate the use of extended observation, we also anticipate it will concurrently limit beneficiary cost-sharing for outpatient services. We are not expecting any change in the utilization of specific beds or facilities, as the expectation of the duration of needed care is independent of the beneficiary's location at the hospital.
Comment: One commenter inquired about the appropriate use of Condition Code 44 in a situation when the physician expected a stay that met the 2-midnight standard but the beneficiary experienced an unanticipated recovery.
Response: We refer commenters to the instruction provided at section XI.B. of the preamble of this rule, in which we expanded on Condition Code 44 requirements and application. Under this section, we state that providers may continue to change patient status to outpatient during the hospital stay upon meeting the Condition Code 44 requirements. However, we note that Condition Code 44 is not to be used for unexpected events because, as described above, those situations can remain appropriately inpatient. Thus, a beneficiary who experiences an unexpected recovery during a medically necessary stay should not be converted to an outpatient but should remain an inpatient if the 2-midnight expectation was reasonable at the time the inpatient order was written, but unexpectedly the stay did not fully transpire. In contrast, Condition Code 44 is specifically for the situation when the utilization review or management committee determines that the physician has not appropriately admitted a patient and the physician concurs that the status should be converted to outpatient prior to beneficiary discharge.
Comment: Commenters indicated that inpatient-only procedures that require a 1-day length of stay would be affected by this proposed policy and may not be adequately reimbursed under Medicare Part B. The commenters requested that CMS specify that all services on the inpatient-only list should automatically be deemed to meet inpatient service criteria, even if the beneficiary is in the hospital for less than 2 midnights. Conversely, another commenter suggested that excluding inpatient-only procedures, which may or may not require 2-midnight stays, contradicts a time-based policy.
Response: In the proposed rule, we stated that procedures on the OPPS inpatient-only list are always appropriately inpatient, regardless of the actual time expected at the hospital, so long as the procedure is medically necessary and performed pursuant to a physician order and formal admission. Procedures designated as inpatient-only are deemed statutorily appropriate for inpatient payment at § 419.22(n). As such, we believe that inpatient-only procedures are appropriate for exclusion from the 2-midnight benchmark. Under this final rule, inpatient-only procedures currently performed as inpatient 1-day procedures will continue to be provided as inpatient 1-day procedures, and therefore this rule will not result in any change in status or reimbursement.
Comment: Commenters recommended that CMS remove the 2-midnight guidance for certain procedures, allowing physicians to continue admitting as inpatient high risk, complex beneficiaries who are to undergo a surgery with added complexity, regardless of the expected length of stay. The commenters stated that many Medicare beneficiaries have multiple comorbidities, and the execution of seemingly simple procedures may require more pre-, intra-, and post-operative services than would be necessary for younger or healthier patients, even when there is no expectation that the beneficiary will require a stay of at least 2 midnights. Commenters added that the provision of such services may exceed the level of care typically associated with observation care. Other commenters suggested that CMS explicitly preclude from further review any services that are not typically available in an outpatient setting, such as telemetry.
Response: We agree with commenters that factors such as the procedures being performed and the health status of the beneficiary are important considerations in the decision to keep the beneficiary in the hospital. However, as we note above, the beneficiary's required “level of care” is not part of the guidance regarding hospital inpatient admission decisions. Rather, we provide physicians with a 2-midnight admission framework to effectuate appropriate inpatient hospital admission decisions. More specifically, we have stipulated that factors such as the procedures being performed and the beneficiary's condition and comorbidities apply when the physician formulates his or her expectation regarding the need for hospital care, while the decision of whether to admit a beneficiary as an inpatient or keep as an outpatient is based upon the physician's expectation of the beneficiary's required length of stay. In this rule, we have not identified any circumstances where the 2-midnight benchmark restricts the physician to a specific pattern of care, as we have specified that the 2-midnight benchmark, like the previous 24-hour benchmark, does not prevent the physician from providing any service at any hospital regardless of the expected duration of the service. Rather, this policy provides guidance on when the hospitalized beneficiary is appropriate for coverage under Part A benefits as an inpatient, and when the hospitalized beneficiary should receive that treatment as a registered outpatient subject to Part B benefits. On the other hand, we also specify that certain procedures may have intrinsic risks, recovery impacts or complexities that would cause them to be appropriate for inpatient coverage under Part A regardless of the expected length of hospital time a specific physician expects a particular patient to require. We believe that the OPPS Inpatient-Only List identifies those procedures and we have proposed that this is a specific exception to the generally applicable 2 midnight benchmark. We may also specify other potential exceptions to the generally applicable benchmark as we revise our manuals to implement this proposed rule.
Comment: Commenters recommended that the risk of an adverse event as being a determinant in the inpatient admission decision should be removed, qualified as “high” or “unreasonable,” or narrowly defined to only include risks during the beneficiary's course of treatment that can be addressed or managed by the hospital. The commenters pointed to past trends of inconsistency in the use of risk as a factor in the inpatient admission decision by hospitals and appeal entities. Commenters suggested that, at most, the beneficiary's risk of morbidity or mortality should be a factor considered when making the decision of whether the keep the beneficiary in the hospital or send the beneficiary home, not when determining the appropriate patient status as inpatient or outpatient.
Response: We believe that, due to the nature of the Medicare population, coexisting or concurrent medical conditions are a frequent occurrence. As a result, admission decisions centered around risk must relate to current disease processes or presenting symptoms, and not merely be part of the beneficiary's benign or latent past medical history. We note that “risk” in common usage describes an unacceptable probability of an adverse outcome, as in “risky behavior.” We reiterate our stance that the decision to hospitalize a beneficiary is a complex medical decision made by the physician in consideration of various risk factors, including the beneficiary's age, disease processes, comorbidities, and the potential impact of sending the beneficiary home. It is up to the physician to make the complex medical decision of whether the beneficiary's risk of morbidity or mortality dictates the need to remain at the hospital because the risk of an adverse event would otherwise be unacceptable under reasonable standards of care, or when the beneficiary may be discharged home. If the resultant length of stay for medically necessary hospitalization is expected to surpass 2 midnights, the physician should admit the patient as an inpatient.
Comment: Commenters pointed out that the complexity of caring for the elderly beneficiary and the limited access to resources in the community continues to be challenging. While a beneficiary may not meet the screening criteria for an inpatient admission, the beneficiary's complex needs and lack of access to medical therapies outside the hospital require the admitting physician to make a judgment as to whether such patients are in greater danger of serious illness or death if they are discharged than if they are admitted, and may result in the hospital being unable to release a beneficiary into the community. Conversely, a commenter wanted to remind CMS that convenience factors or nonmedically necessary care violate the Social Security Act, which excludes custodial care from Medicare coverage.
Response: While we will not dictate the hospital or physician admission decision, we also note that Medicare is statutorily prohibited under section 1862(a)(1)(A) of the Act from paying for services that are not reasonable and necessary. Therefore, we have identified so-called “social admissions” and admissions to avoid inconvenience as inappropriate from Medicare payment per the aforementioned statutory exclusion. This is consistent with current manual instructions. We will look for opportunities to offer additional guidance addressing these types of medical necessity decisions as we update our policy manuals.
Comment: Commenters requested that CMS provide clarification for how hospitals receiving beneficiaries from another hospital should make the admission decision under the proposed policy.
Response: We recognize that, in addition to the occurrence of unexpected transfers out of a hospital, there are a number of possible scenarios involving transfers into a hospital that that may impact the length of stay determination under this policy. We noted in the proposed rule that an unexpected transfer out of the sending hospital is one reason why an inpatient stay that lasts less than 2 midnights may still be appropriately inpatient. Due to the complexity of the possible transfer scenarios, we believe that explicit guidance should be reserved for manual instruction. Drafting these instructions will be one of the highest priorities as we develop our implementation instructions.
Comment: Commenters pointed out that, under this proposal, the distinction between inpatient and outpatient may come down to small time discrepancies. For example, a beneficiary whose hospital stay begins shortly before midnight and lasts just over 48 hours will be considered an inpatient because the stay will cross 2 midnights, while a beneficiary whose hospital stay begins shortly after midnight and lasts just under 48 hours will be considered an outpatient because the stay will only cross 1 midnight.
Response: The application of 2 midnights was proposed for the purpose of providing both consistency and clarity. We have expected and continue to expect that physicians will make the decision to keep a beneficiary in the hospital when clinically warranted and will order all appropriate treatments and care in the appropriate location based on the beneficiary's individual medical needs. We also expect that physicians will apply the revised benchmark as they have previously applied the existing benchmark, providing any medically necessary services in an inpatient status whenever the benchmark is met and in all other instances providing identical services to patients staying at the hospital in a day or overnight outpatient status. While we have historically referenced a 24-hour benchmark, we now specify that the 24 hours relevant to inpatient admission decisions are those encapsulated by 2 midnights. This distinction is consistent with our application of Medicare utilization days, which are based on the number of midnights crossed. Medicare charges beneficiaries for utilization days and pays hospitals for utilization days when it applies per diem adjustments, such as the transfer adjustment. A beneficiary who is admitted just before midnight and discharged 36 hours later is currently charged 2 utilization days, while a beneficiary admitted just after midnight is charged 1 day. In addition, the use of 2 midnights is an easy concept for beneficiaries to understand in assessing the appropriateness of their assigned status, associated coverage, and impacts.
Comment: Commenters provided alternate proposals for guiding inpatient admissions and medical review. Some commenters suggested that physicians are not apprised of admission criteria, but rather the medical treatment necessary for the beneficiary, and suggested that case management be permitted to make inpatient admission determinations, which could be concurred or nonconcurred to by the treating physician. Conversely, other commenters believed the physician was most apprised of the patient condition and, therefore, the need for inpatient admission or care spanning 2 midnights. As such, some commenters believed the physician order should trigger a presumption of appropriate payment for medical review purposes. One commenter suggested good faith protections for facilities in strict adherence to their hospital comprised utilization review plan. Another commenter disagreed with the need for any change to the current medical review policy.
Response: In the proposed rule, we focused on clarifying and modifying the distinction between hospitalization as an outpatient and hospitalization as an inpatient. While the proposed approach arose out of significant consideration for provider impact, ease in implementation and operationalization, we will assess commenter feedback falling within the scope of CMS' policy in implementing changes to our manual provisions.
Comment: Commenters requested further guidance to clarify what criteria support a reasonable and necessary inpatient admission. The commenters' suggested sources of such guidance included evidence-based guidelines offered through the Agency for Healthcare Research and Quality (AHRQ) National Guidelines Clearinghouse and the various medical specialty societies and commercial hospital screening guidelines. Some commenters also suggested that inpatient admissions be deemed reasonable and necessary based on the use of such sources. Another commenter indicated that a time-based policy contradicts CMS instructions contained in the Program Integrity Manual pertaining to the use of screening tools as part of the review of inpatient hospital claims. Regardless of the criteria chosen, commenters iterated that CMS and its contractors must update existing inpatient admission guidance and policies to ensure consistency in application by all Medicare review contractors. Commenters also inquired whether providers would have the opportunity to comment on any additional guidance that will be created to implement this rule.
Response: Medicare review contractors must abide by CMS policies in conducting payment determinations, but are permitted to take into account evidence-based guidelines or commercial utilization tools that may aid such a decision. We also acknowledge that this type of information may be appropriately considered by the physician as part of the complex medical judgment that guides his or her decision to keep a beneficiary in the hospital and formulation of the expected length of stay. As we update our manuals and take additional steps to implement this rule, we anticipate using our usual processes to develop and release subregulatory guidance such as manual instructions and educational materials, which may include open door forums, regional meetings, correspondence and other ongoing interactions with stakeholders; and that our contractors will continue to involve local entities as they implement these rules.
Comment: Several commenters indicated that CMS should delay enforcement of the revised admissions criteria until a time after October 1, 2013, due to the significant system changes and educational efforts that will be required. Some commenters indicated that CMS should use this delay in order to conduct further research and collaborate with providers, while others suggested that CMS conduct a thorough analysis of current payment policy and planned payment reforms that could affect inpatient admission decisions, including those with implications for patient safety, quality, and beneficiary cost-sharing, before finalizing its guidance. Other commenters suggested that claim reviews for inpatient stays of greater than 2 midnights should continue without evidence of gaming for a period of time following implementation of the new policy to ensure that hospitals are properly billing under the revised criteria. The commenters stated that after that time has passed, reviews of inpatient stays longer than 2 midnights would be based on evidence of overutilization.
Response: We proposed only a change in the inpatient admissions benchmark from an hourly expectation (24 hours) to a daily (2-midnights) expectation. We do not believe that delays in implementation are necessary or desirable, and we expect, through collaboration with stakeholders, to develop additional guidance and instruction as part of that implementation.
Comment: Commenters questioned the applicability of the proposed rule to differing types of hospital facilities. Commenters specifically requested clarity regarding application of the rule to IRFs and IPFs. Commenters further asserted that this distinction may conflict with State laws requiring inpatient admissions post 24 hours, and such States should be granted exception.
Response: In the proposed rule, our reference to section 1861(e) of the Act was intended to specify that CAHs were included in the proposed policies, not that we were proposing that IPFs or other non-IPPS hospitals should be excluded. Having considered the public comments to the proposed rule, we believe that all hospitals, LTCHs, and CAHs, with the exception of IRFs, would appropriately be included in our final policies regarding the 2-midnight admission guidance and medical review criteria for determining the general appropriateness of inpatient admission and Part A payment. Due to the inherent differences in the operation of and beneficiary admissions to IRFs, such providers must be excluded from the aforementioned admission guidelines and medical review instruction. We disagree with the commenters' assertion that the 2-midnight admission and medical review policies conflict with existing state laws regarding observation. The 2-midnight benchmark does not prohibit physicians from ordering inpatient admission in accordance with state law; rather, this policy indicates when Medicare payment will be deemed appropriate. To the extent that State law requires admission in situations where Medicare payment would not be appropriate, providers should work with their States to resolve those discrepancies.
Comment: Commenters indicated that the proposed policy, which clarifies when a beneficiary becomes an inpatient, promotes the integrity and accuracy of the 340B program. They stated that the 340B program creates an incentive for hospitals to keep beneficiaries in observation status for the purpose of obtaining the deeply discounted 340B acquisition price that would otherwise by unavailable. Thus, they added, the 340B spread creates a financial incentive for 340B hospitals to keep beneficiaries in outpatient/observation status for the sole purpose of administering drugs.
Response: We appreciate the observation of the commenters and concur that this policy promotes consistent application of an inpatient status to all stakeholders.
(3) Medical Review of Inpatient Hospital Admissions Under Part A
Under this revised policy, services designated by the OPPS Inpatient-Only list as inpatient-only, would continue to be appropriate for inpatient hospital admission and payment under Medicare Part A. In addition, surgical procedures, diagnostic tests, and other treatments would be generally deemed appropriate for inpatient hospital admission and payment under Medicare Part A when the physician expects the patient to require a stay that crosses at least 2 midnights and admits the patient to the hospital based upon that expectation. We proposed, and are now finalizing, two distinct, though related, medical review policies, a 2-midnight presumption and a 2-midnight benchmark. Under the 2-midnight presumption, inpatient hospital claims with lengths of stay greater than 2 midnights after the formal admission following the order will be presumed generally appropriate for Part A payment and will not be the focus of medical review efforts absent evidence of systematic gaming, abuse or delays in the provision of care in an attempt to qualify for the 2-midnight presumption (that is, inpatient hospital admissions where medically necessary treatment was not provided on a continuous basis throughout the hospital stay and the services could have been furnished in a shorter timeframe). Beneficiaries should not be held in the hospital absent medically necessary care for the purpose of meeting the 2-midnight benchmark. Review contractors will also continue to assess claims in which the beneficiary span of care after admission crosses 2 midnights:
- To ensure the services provided were medically necessary;
- To ensure that the stay at the hospital was medically necessary;
- To validate provider coding and documentation as reflective of the medical evidence;
- When the CERT Contractor is directed to do so under the Improper Payments Elimination and Recovery Improvement Act of 2012 (Pub. L. 112-248); or
- If directed by CMS or other authoritative governmental entity (including but not limited to the HHS Office of Inspector General and Government Accountability Office).
Conversely, under this revised policy, CMS' medical review efforts will focus on inpatient hospital admissions with lengths of stay crossing only 1 midnight or less after admission (that is, only 1 Medicare utilization day, as defined in 42 CFR 409.61 and implemented in the MBPM, Chapter 3, Section 20.1). As previously described, such claims have traditionally demonstrated the largest proportion of inpatient hospital improper payments under Medicare Part A. If the physician admits the beneficiary as an inpatient but the beneficiary is in the hospital for less than 2 midnights after the order is written, CMS and its medical review contractors will not presume that the inpatient hospital status was reasonable and necessary for payment purposes, but may instead evaluate the claim pursuant to the 2-midnight benchmark. Medicare review contractors will (a) evaluate the physician order for inpatient admission to the hospital, along with the other required elements of the physician certification, (b) the medical documentation supporting the expectation that care would span at least 2 midnights, and (c) the medical documentation supporting a decision that it was reasonable and necessary to keep the patient at the hospital to receive such care, in order to determine whether payment under Part A is appropriate.
In their review of the medical record, Medicare review contractors will consider complex medical factors that support a reasonable expectation of the needed duration of the stay relative to the 2-midnight benchmark. Both the decision to keep the beneficiary at the hospital and the expectation of needed duration of the stay are based on such complex medical factors as beneficiary medical history and comorbidities, the severity of signs and symptoms, current medical needs, and the risk (probability) of an adverse event occurring during the time period for which hospitalization is considered. In other words, if it was reasonable for the physician to expect the beneficiary to require a stay lasting 2 midnights, and that expectation is documented in the medical record, inpatient admission is generally appropriate, and payment may be made under Medicare Part A; this is regardless of whether the anticipated length of stay did not transpire due to unforeseen circumstances such as beneficiary death or transfer (so long as the physician's order and certification requirements also are met). As discussed above, an inpatient admission is appropriate and Part A payment may also be made in the case of services on Medicare's inpatient-only list, regardless of the expected length of stay.
Comment: Some commenters shared concerns regarding the proposed method of calculating the length of stay for purposes of the 2-midnight benchmark, beginning when the beneficiary is moved from any outpatient area to a bed in the hospital in which the additional hospital services will be provided. Commenters noted that hospital capacity issues can lead to situations in which a beneficiary is boarded in the emergency department until a bed becomes available, which can be hours after the admission order is written. In other instances, the commenters added, an inpatient admission may be planned after a surgical procedure and the beneficiary becomes an inpatient when he or she reports to the operating room for preoperative assessment and preparation. Commenters pointed out that if the clock does not start until beneficiary movement to another area of the hospital occurs, the beneficiary may not meet the 2-midnight benchmark although he or she was receiving treatment in the hospital for greater than 2 midnights. Commenters provided various alternate suggestions for when the clock should start. Many commenters suggested that CMS start the clock the earliest of: (1) When the physician writes an order for admission or observation; (2) when the beneficiary is treated in the emergency department; or (3) when the beneficiary is placed in a bed for observation. Other commenters suggested that the clock should begin when the beneficiary meets inpatient admission criteria or when the nursing intake notes specify the time the beneficiary is admitted to the floor and is put in a bed. Regardless of the decision CMS made on this point, commenters requested that clarification be provided on when the inpatient order should be written and how the time should be counted for medical review purposes.
Response: We agree with the concerns noted by commenters, and are revising the proposed rule accordingly. In this final rule, we specify that the ordering physician may consider time the beneficiary spent receiving outpatient services (including observation services, treatments in the emergency department, and procedures provided in the operating room or other treatment area) for purposes of determining whether the 2-midnight benchmark is expected to be met and therefore inpatient admission is generally appropriate. For beneficiaries who do not arrive through the emergency department or are directly receiving inpatient services (for example, inpatient admission order written prior to admission for an elective admission or transfer from another hospital), the starting point for medical review purposes will be from the time the patient starts receiving any services after arrival at the hospital. We emphasize that the time the beneficiary spent as an outpatient before the inpatient admission order is written will not be considered inpatient time, but may be considered by physicians in determining whether a patient should be admitted as an inpatient, and during the medical review process for the limited purpose of determining whether the 2-midnight benchmark was met and therefore payment is generally appropriate under Part A. Claims in which a medically necessary inpatient stay spans at least 2 midnights after the beneficiary is formally admitted as an inpatient will be presumed appropriate for inpatient admission and inpatient hospital payment and will generally not be subject to medical review of the inpatient admission, absent evidence of systematic gaming, abuse, or delays in the provision of care in an attempt to qualify for the 2-midnight presumption.
Comment: Commenters requested clarification regarding the distinction between inpatient time and outpatient time for purposes of meeting the 2-midnight benchmark, specifically for those beneficiaries who are first treated in observation status and then later as hospital inpatients pursuant to a physician's order. Commenters recommended that CMS consider observation care to count toward the 2-midnight rule when complications arise that lead to previously unanticipated extended care in accord with requirements for skilled nursing facility eligibility.
Response: As noted above, we will allow the physician to consider time spent in the hospital as an outpatient in making their inpatient admission decision. This is consistent with CMS existing instructions and medical review guidance, which allow physicians and Medicare review contractors to account for the beneficiary's medical history and physical condition prior to the inpatient admission decision. Therefore, if upon beneficiary presentation, the physician is unable to make an evaluation and corresponding expected length of stay determination, the physician may first monitor the beneficiary in observation or continue to perform diagnostics in the outpatient arena. If the beneficiary's medical needs and condition after 1 midnight in outpatient status dictate the need for an additional midnight within the hospital receiving medically necessary care, the physician may consider the care in the outpatient setting when making his or her admission decision. Medicare review contractors would similarly apply the 2-midnight benchmark to all time spent within the hospital receiving medically necessary services in their claim evaluation.
We reiterate that the physician order, the remaining elements of the physician certification, and formal inpatient admission remain the mandated means of inpatient admission. While outpatient time may be accounted for in application of the 2-midnight benchmark, it may not be retroactively included as inpatient care for skilled nursing care eligibility or other benefit purposes. Inpatient status begins with the admission based on a physician order.
Comment: Commenters expressed concern about the additional scrutiny that 1-day inpatient hospital stays would undergo under this policy. Commenters also were particularly interested in how the review contractors would review inpatient stays that lasted less than 2 midnights, including whether current review criteria would continue to be utilized for such reviews. The commenters requested that CMS define situations in which a hospital stay lasting less than 2 midnights would properly qualify as inpatient.
Response: If the physician admits the beneficiary as an inpatient but the beneficiary is in the hospital for less than 2 midnights after the admission begins, CMS and the Medicare review contractors will not presume that the inpatient hospital admission was reasonable and necessary for payment purposes, but will apply the 2-midnight benchmark in conducting medical review. In making their determination of whether the inpatient admission is appropriate, Medicare review contractors will evaluate: (a) The physician order for inpatient admission to the hospital, along with the other required elements of the physician certification; (b) the medical documentation supporting that the order was based on an expectation of need for care spanning at least 2 midnights; and (c) the medical documentation supporting a decision that it was reasonable and necessary to keep the patient at the hospital to receive such care. In their review of the medical record, Medicare review contractors will consider complex medical factors that support a reasonable expectation of the needed duration of the stay relative to the 2-midnight benchmark. These include such factors as beneficiary medical history and comorbidities, the severity of signs and symptoms, current medical needs, and the risk of an adverse event.
Comment: Commenters asserted that the proposed rule penalizes efficiency, as those hospitals that are able to treat beneficiaries in less than 2 midnights will be able to admit fewer beneficiaries than those less efficient hospitals who do not have the same resources. Other commenters expressed concern that the new proposed policy would encourage hospitals to hold beneficiaries in the hospital solely for the purpose of meeting the 2-midnight presumption and avoid audits of their claims. The commenters stated that consequences of such practices on the beneficiaries could include prolonged exposure to additional medical risks and would also lead to increased costs to the Medicare program, due to medically unnecessary time in the hospital. Conversely, some commenters indicated that they did not believe that hospitals would not hold patients for longer than necessary to meet inpatient requirements.
Response: We have noted that the decision to admit is based on an expectation of medically necessary care transcending 2 midnights resulting from the practitioner's consideration of the beneficiary's condition and medical needs. We will monitor all hospitals for intentional or unwarranted delays in the provision of care, which may result in increased inpatient admissions secondary to the 2 midnight instruction. We are also cognizant of concerns related to unnecessarily elongated hospital admissions, and will be monitoring for such patterns of systemic delays indicative of fraud or abuse. If a hospital is unnecessarily holding beneficiaries to qualify for the 2-midnight presumption, CMS and/or its contractors may conduct review on any of its inpatient claims, including those which surpassed 2 midnights after admission.
Comment: One commenter stated that while it is reasonable that a medically necessary hospital stay crossing 2 midnights may be appropriately billed as inpatient, there should be no presumption that such a 2-midnight stay was itself medically necessary simply because a patient was in the hospital 2 consecutive nights. The commenter stated that the proposed rule includes a requirement that review will only be permitted when the error rate is sufficient to warrant auditing activity; however, the audit that would establish this error would itself be precluded under CMS' presumption. The commenter stated that, alternatively, data analysis of the claims should remain the foundation for selection of claims for medical record review to determine whether the documentation supports the claim as billed. The commenter believed that a presumption of medical necessity based on the time a beneficiary stays in the hospital places the Medicare trust fund and taxpayers at risk.
Response: We note that it was not our intent to suggest that a 2-midnight stay was presumptive evidence that the stay at the hospital was necessary; rather, only that if the stay was necessary, it was appropriately provided as an inpatient stay. We have discussed in response to other comments that, in accordance with our statutory obligations, some medical review is always necessary to ensure that services provided are reasonable and necessary, and that we will continue to review these longer stays for the purposes of monitoring, determining correct coding, and evaluating the medical necessity for the beneficiary to remain at the hospital, irrespective of the inpatient or outpatient “status” to which the beneficiary was assigned. In addition, claims that evidence that a hospital is effectuating systematic abuse of the 2-midnight presumption, such as unexplained delays in the provision of care or aberrancies in billing, may be subject to medical review despite surpassing 2 midnights after admission.
Comment: Commenters requested that CMS provide guidance on what would constitute “abuse” or “gaming” for this review purpose. Some commenters were concerned that enabling Medicare review contractors to make these determinations would unravel the presumption if the contractors had incentives to identify erroneous claims. Other commenters believed that Medicare contractors, who have expertise in utilization review and Medicare data, should be tasked with identifying providers that are gaming or abusing the system for purposes of meeting the 2-midnight presumption. Comments also suggested that CMS examine hospitals' utilization review process rather than rely on claim outputs. Commenters also urged CMS to be clear that audits will occur only if a pattern is detected.
Response: In the proposed rule, we stated that patient status reviews for inpatient admissions with lengths of stay greater than 2 midnights after admission would typically be conducted if we suspect that a provider is using the 2-midnight presumption to effectuate systematic abuse or gaming. We have elaborated on our review plans above and summarize by stating that while we have a statutory obligation to ensure that all services are medically necessary and correctly paid, we believe that these changes in our benchmarks and the additional guidance accompanying them will allow us to reduce the administrative burden of reviews. We will do this by reviewing stays spanning at least 2 midnights after admission for the purpose of monitoring and responding to patterns of incorrect DRG assignments, inappropriate or systemic delays, and lack of medical necessity for the stay at the hospital, but not for the purpose of routinely denying payment for such inpatient admissions on the basis that the services should have been provided on an outpatient basis. We expect to shift our attention to the smaller anticipated volume of 0 and 1 day short stays and then, to the extent that facilities correctly apply the proposed benchmark, away from short stays to other areas with persistently high improper payment rates.
Comment: Commenters voiced concerns that while CMS proposed that those inpatient hospital admissions meeting the 2-midnight benchmark would be generally appropriate for Part A payment, there is no guarantee that the Medicare contractors would follow this guidance. Some commenters expressed apprehension that the time-based policy would not result in fewer reviews, as the policy stated that contractors could review whether the physician's expectation was reasonable, while others thought the doors would be opened to more hospital claim audits focusing on the need for the beneficiary to stay in the hospital for greater than 2 midnights. Commenters also sought assurance from CMS that reviews would be conducted based on the information the physician had available at the time he or she developed the expectation of a 2-midnight stay and wrote the order pursuant to that expectation.
Response: We acknowledge that it is very important that clear and consistent instructions are provided to facilities, physicians, and Medicare review contractors. We intend to quickly develop implementation instructions, manual guidance, and additional education to ensure that all entities receive initial and ongoing guidance in order to promote consistent application of these changes and repeatable and reproducible decisions on individual cases. We intend to ensure that our instructions to providers and reviewers alike emphasize that the decision to admit should be based on and evaluated in respect to the information available to the admitting practitioner at the time of the admission.
After consideration of the public comments we received, we are including in this final rule several revisions and clarifications to the proposed policy. First, we are finalizing at § 412.3(e)(1) the 2-midnight benchmark as proposed at § 412.3(c)(1), that services designated by the OPPS Inpatient-Only list as inpatient-only would continue to be appropriate for inpatient hospital admission and payment under Medicare Part A. In addition, surgical procedures, diagnostic tests, and other treatments would be generally deemed appropriate for inpatient hospital admission and payment under Medicare Part A when the physician expects the patient to require a stay that crosses at least 2 midnights and admits the patient to the hospital based upon that expectation. We proposed at § 412.3(c)(2), and are finalizing at § 412.3(e)(2), that if an unforeseen circumstance, such as beneficiary death or transfer, results in a shorter beneficiary stay than the physician's expectation of at least 2 midnights, the patient may still be considered to be appropriately treated on an inpatient basis, and the hospital inpatient payment may be made under Medicare Part A. We proposed, and are now finalizing, two distinct, although related, medical review policies, a 2-midnight benchmark and a 2-midnight presumption. The 2-midnight benchmark represents guidance to admitting practitioners and reviewers to identify when an inpatient admission is generally appropriate for Medicare coverage and payment, while the 2-midnight presumption directs medical reviewers to select claims for review under a presumption that the occurrence of 2 midnights after admission appropriately signifies an inpatient status for a medically necessary claim. The starting point for the 2-midnight benchmark will be when the beneficiary begins receiving hospital care on either an inpatient basis or outpatient basis. That is, for purposes of determining whether the 2-midnight benchmark will be met and, therefore, whether inpatient admission is generally appropriate, the physician ordering the admission should account for time the beneficiary spent receiving outpatient services such as observation services, treatments in the emergency department, and procedures provided in the operating room or other treatment area. From the medical review perspective, while the time the beneficiary spent as an outpatient before the admission order is written will not be considered inpatient time, it may be considered during the medical review process for purposes of determining whether the 2-midnight benchmark was met and, therefore, whether payment is generally appropriate under Part A. For beneficiaries who do not arrive through the emergency department or are directly receiving inpatient services (for example, inpatient admission order written prior to admission for an elective admission or transfer from another hospital), the starting point for medical review purposes will be when the beneficiary starts receiving services following arrival at the hospital. We proposed that both the decision to keep the patient at the hospital and the expectation of needed duration of the stay would be based on such factors as beneficiary medical history and comorbidities, the severity of signs and symptoms, current medical needs, and the risk of an adverse event. In this final rule, we now are clarifying that risk (or probability) of an adverse event relates to occurrences during the time period for which hospitalization is considered.
We are finalizing that inpatient hospital claims with lengths of stay greater than 2 midnights after the formal admission following the order will be presumed generally appropriate for Part A payment and will not be the focus of medical review efforts absent evidence of systematic gaming, abuse, or delays in the provision of care in an attempt to qualify for the 2-midnight presumption. We also are clarifying in this final rule how we will instruct contractors to review inpatient stays spanning less than 2 midnights after admission. Such claims would not be subject to the presumption that services were appropriately provided during an inpatient stay rather than an outpatient stay because the total inpatient time did not exceed 2 midnights. However, upon medical review, the time spent as an outpatient will be counted toward meeting the 2-midnight benchmark that the physician is expected to apply to determine the appropriateness of the decision to admit. In other words, even though the inpatient admission was for only 1 Medicare utilization day, medical reviewers will consider the fact that the beneficiary was in the hospital for greater than 2 midnights following the onset of care when making the determination of whether the inpatient stay was reasonable and necessary. For those admissions in which the basis for the physician expectation of care surpassing 2 midnights is reasonable and well-documented, reviewers may apply the 2-midnight benchmark to incorporate all time receiving care in the hospital. We will continue to use our existing monitoring and audit authority, such as the CERT program, to ensure that our review efforts focus on those subsets of claims with the highest error rates and reduce the administrative burden for those subsets that have demonstrated compliance with our clarified and modified guidance.
4. Impacts of Changes in Admission and Medical Review Criteria
In the FY 2014 IPPS/LTCH PPS proposed rule (78 FR 27649 through 27650), we discussed our actuaries' estimate that our proposed 2-midnight policy (referred to in this final rule as the 2-midnight benchmark and the 2-midnight presumption) would increase IPPS expenditures by approximately $220 million. These additional expenditures result from an expected net increase in hospital inpatient encounters due to some encounters spanning more than 2 midnights moving to the IPPS from the OPPS, and some encounters of less than 2 midnights moving from the IPPS to the OPPS. Specifically, our actuaries examined FY 2009 through FY 2011 Medicare claims data for extended hospital outpatient encounters and shorter stay hospital inpatient encounters and estimated that approximately 400,000 encounters would shift from outpatient to inpatient and approximately 360,000 encounters would shift from inpatient to outpatient, causing a net shift of 40,000 encounters. These estimated shifts of 400,000 encounters from outpatient to inpatient and 360,000 encounters from inpatient to outpatient represent a significant portion of the approximately 11 million encounters paid under the IPPS. The net shift of 40,000 encounters represents an increase of approximately 1.2 percent in the number of shorter stay hospital inpatient encounters paid under the IPPS. Because shorter stay hospital inpatient encounters currently represent approximately 17 percent of the IPPS expenditures, our actuaries estimated that 17 percent of IPPS expenditures would increase by 1.2 percent under our proposed policy. These additional expenditures are partially offset by reduced expenditures from the shift of shorter stay hospital inpatient encounters to hospital outpatient encounters. Our actuaries estimated that, on average, the per encounter payments for these hospital outpatient encounters would be approximately 30 percent of the per encounter payments for the hospital inpatient encounters. In light of the widespread impact of the proposed 2-midnight policy on the IPPS and the systemic nature of the issue of inpatient status and improper payments under Medicare Part A for short-stay inpatient hospital claims, we stated our belief that it is appropriate to use our exceptions and adjustments authority under section 1886(d)(5)(I)(i) of the Act to propose to offset the estimated $220 million in additional IPPS expenditures associated with the proposed policy. This special exceptions and adjustment authority authorizes us to provide “for such other exceptions and adjustments to [IPPS] payment amounts . . . as the Secretary deems appropriate.’ ” We proposed to reduce the standardized amount, the hospital-specific rates, and the Puerto Rico-specific standardized amount by 0.2 percent.
Comment: Commenters generally did not support the proposed -0.2 percent payment adjustment. Comments included the following assertions: CMS actuaries' estimated increase in IPPS expenditures of $220 million was unsupported and insufficiently explained to allow for meaningful comment; CMS did not provide sufficient rationale for the use of our exceptions and adjustments authority under section 1886(d)(5)(I)(i) of the Act; CMS should not be adjusting the IPPS payment rates for expected shifts in utilization between inpatient and outpatient; CMS did not take into account the impact of the Part B Inpatient Billing proposed rule in developing its estimates; CMS should provide parallel treatment regarding the financial impact of both the medical review policy in the FY 2014 IPPS/LTCH PPS proposed rule and the policies in the Part B Inpatient Billing proposed rule and offset and restore the $4.8 billion dollar reduction to hospital payments over 5 years contained in the Part B Inpatient Billing proposed rule; and CMS' proposed policy was a coverage decision and CMS should not adjust IPPS rates for coverage decisions.
Response: We disagree with commenters who indicated that our actuaries' estimated increase in IPPS expenditures of $220 million was unsupported and insufficiently explained to allow for meaningful comment. In the FY 2014 IPPS/LTCH PPS proposed rule (78 FR 27649), we specifically discussed the methodology used and the components of the estimate. Our actuaries examined FY 2009 to FY 2011 claims data. Based on this examination, we stated the number of encounters our actuaries estimated would shift from inpatient to outpatient (360,000) and the number of encounters they estimated would shift from outpatient to inpatient (400,000). We described the methodology we used to translate this net shift of 40,000 encounters into our $220 million estimate, including an estimate of the increase these 40,000 encounters represent in shorter stay hospital inpatient encounters (1.2 percent), the share that expenditures for shorter stay hospital inpatient encounters represent of IPPS expenditures (17 percent), and our estimate of the payment difference between OPPS and IPPS for these encounters (OPPS payment for these encounters was estimated to be 30 percent of the IPPS payment for these encounters). In addition to the opportunity to comment on the estimate, any component of the estimate, or the methodology, commenters had an opportunity to provide alternative estimates for us to consider.
In determining the estimate of the number of encounters that would shift from outpatient to inpatient, our actuaries examined outpatient claims for observation or a major procedure. Claims not containing observation or a major procedure were excluded. The number of claims spanning 2 or more midnights based on the dates of service that were expected to become inpatient was approximately 400,000. This estimate did not include any assumption about outpatient encounters shorter than 2 midnights potentially becoming inpatient encounters.
In determining the estimate of the number of encounters that would shift from inpatient to outpatient, our actuaries examined inpatient claims containing a surgical MS-DRG. Claims containing medical MS-DRGs were excluded. The number of claims spanning less than 2 midnights based on the length of stay that were expected to become outpatient, after excluding encounters that resulted in death or transfers, was approximately 360,000.
The estimates of the shifts in encounters as described above were primarily based on FY 2011 Medicare inpatient and outpatient claims data. However, our actuaries also examined FY 2009 and FY 2010 Medicare inpatient and outpatient claims data and found the results for the earlier years were consistent with the FY 2011 results.
While there is a certain degree of uncertainty surrounding any cost estimate, our actuaries have determined that the methodology, data, and assumptions used are reasonable for the purpose of estimating the overall impact of our proposed policy. We note that the assumptions used for purposes of reasonably estimating the overall impact in FY 2014 should not be construed as absolute statements about every individual encounter. For example, we fully expect that not every single surgical MS-DRG encounter spanning less than 2 midnights will shift to outpatient and that not every single outpatient observation stay or major surgical encounter spanning more than 2 midnights will shift to inpatient.
We also disagree with commenters who indicated that we did not provide sufficient rationale for the use of our exceptions and adjustments authority under section 1886(d)(5)(I)(i) of the Act. We discussed that the issue of patient status has a substantial impact on improper payments under Medicare Part A for short-stay inpatient hospital claims, citing the fact that the majority of improper payments under Medicare Part A for short-stay inpatient hospital claims have been due to inappropriate patient status. In 2012, for example, the CERT contractor found that inpatient hospital admissions for 1-day stays or less had a Part A improper payment rate of 36.1 percent. The improper payment rate decreased significantly for 2-day or 3-day stays, which had improper payment rates of 13.2 percent and 13.1 percent, respectively. We stated that we believed the magnitude of these national figures demonstrates that issues surrounding the appropriate determination of a beneficiary's patient status are not isolated to a few hospitals. We also noted that the RAs had recovered more than $1.6 billion in improper payments because of inappropriate beneficiary patient status. While we agree with commenters that our exceptions and adjustments authority should not be routinely used in the IPPS system, we believe that the systemic and widespread nature of this issue justifies an overall adjustment to the IPPS rates and such an adjustment is authorized under section 1886(d)(5)(I)(i) of the Act.
For similar reasons, while we generally agree with commenters that it is not necessary to routinely estimate utilization shifts to ensure appropriate IPPS payments, this is a unique situation. Policy clarifications such as this do not usually result in utilization shifts of sufficient magnitude and breadth to significantly impact the IPPS. In this situation, we believe it would be inappropriate to ignore such a utilization shift in the development of the IPPS payment rates.
With respect to the comments that we did not take into account the impact of the Part B Inpatient Billing proposed rule in developing our estimates, we note that our actuaries did take those impacts into account in developing our proposed adjustment. Our estimate of the net shift in FY 2014 encounters between inpatient and outpatient would have been substantially higher in the absence of the policies discussed in the Part B Inpatient Billing proposed rule, in particular the discussion of timely filing. Specifically, in the absence of the timely filing requirement, there would be fewer inpatient encounters estimated to become outpatient encounters, which would have resulted in a larger cost than our estimated $220 million.
With respect to the comment that CMS should provide parallel treatment regarding the financial impact of the medical review policy in the FY 2014 IPPS/LTCH PPS proposed rule and the interrelated Part B Inpatient Billing proposed rule by offsetting and restoring the estimated $4.8 billion dollar reduction to hospital payments contained in that rule, we note that, although we estimated a decrease in expenditures as a result of our proposed Part B inpatient billing policy, this decrease in expenditures is offset by the costs of the significant number of related administrative appeal decisions as well as CMS Ruling 1455-R, which allows hospitals to seek payment of Part B inpatient services on claims filed outside the timely filing period. As discussed in greater detail in the Regulatory Impact Analysis in the Part B Inpatient Billing proposed rule (78 FR 16643), the combined impact of the appeals decisions, CMS Ruling 1455-R, and Part B inpatient billing policy, to which the 12-month timely filing requirement applies, is an estimated cost to the Medicare program of $1.03 billion over the CY 2013 to CY 2017 time period. We estimate in the Regulatory Impact Analysis of the final Part B inpatient payment policy in this final rule that the combined impact of the appeals decisions, CMS Ruling 1455-R, and the Part B inpatient billing policy will cost the Medicare program $1.260 billion over the CY 2013 to CY 2017 time period.
Finally, we disagree with those comments asserting that the modification and clarification of our current instructions regarding the circumstances under which Medicare will generally pay for a hospital inpatient admission in order to improve hospitals' ability to make appropriate admission decisions are actually coverage decisions in the context of this adjustment. As we clearly stated in the FY 2014 IPPS/LTCH PPS proposed rule (78 FR 27648), we will continue to review individual claims to ensure the hospital services furnished to beneficiaries are “reasonable and necessary for the diagnosis or treatment of illness or injury or to improve the functioning of a malformed body member,” as required by section 1862(a)(1) of the Act. Any hospital service determined to be not reasonable or necessary may not be paid under Medicare Part A or Part B. In the context of this adjustment, these are not new hospital services.
Our actuaries continue to estimate there will be approximately $220 million in additional expenditures resulting from our 2-midnight benchmark and 2-midnight presumption medical review policies. This net increase in hospital inpatient encounters is due to some encounters spanning more than 2 midnights moving to the IPPS from the OPPS, and some encounters of less than 2 midnights moving from the IPPS to the OPPS. Therefore, after consideration of the comments we received, and for the reasons described above, we are finalizing a reduction to the standardized amount, the hospital-specific rates, and the Puerto Rico-specific standardized amount of −0.2 percent to offset the additional $220 million in expenditures.
XII. MedPAC Recommendations Back to Top
Under section 1886(e)(4)(B) of the Act, the Secretary must consider MedPAC's recommendations regarding hospital inpatient payments. Under section 1886(e)(5) of the Act, the Secretary must publish in the annual proposed and final IPPS rules the Secretary's recommendations regarding MedPAC's recommendations. We have reviewed MedPAC's March 2013 “Report to the Congress: Medicare Payment Policy” and have given the recommendations in the report consideration in conjunction with the policies set forth in this final rule. MedPAC recommendations for the IPPS for FY 2014 are addressed in Appendix B to this final rule.
For further information relating specifically to the MedPAC reports or to obtain a copy of the reports, contact MedPAC at (202) 653-7226, or visit MedPAC's Web site at: http://www.medpac.gov.
XIII. Other Required Information Back to Top
A. Requests for Data From the Public
In order to respond promptly to public requests for data related to the prospective payment system, we have established a process under which commenters can gain access to raw data on an expedited basis. Generally, the data are now available on compact disc (CD) format. However, many of the files are available on the Internet at: http://www.cms.hhs.gov/Medicare/Medicare-Fee-for-Service-Payment/AcuteInpatientPPS/index.html. We listed the data files and the cost for each file, if applicable, in the FY 2014 IPPS/LTCH PPS proposed rule (78 FR 27746 through 27748).
Commenters interested in discussing any data used in constructing the proposed rule or this final rule should contact should contact Nisha Bhat at (410) 786-5320.
B. Collection of Information Requirements
1. Statutory Requirement for Solicitation of Comments
Under the Paperwork Reduction Act of 1995, we are required to provide 60-day notice in the Federal Register and solicit public comment before a collection of information requirement is submitted to the Office of Management and Budget (OMB) for review and approval. In order to fairly evaluate whether an information collection should be approved by OMB, section 3506(c)(2)(A) of the Paperwork Reduction Act of 1995 requires that we solicit comment on the following issues:
- The need for the information collection and its usefulness in carrying out the proper functions of our agency.
- The accuracy of our estimate of the information collection burden.
- The quality, utility, and clarity of the information to be collected.
- Recommendations to minimize the information collection burden on the affected public, including automated collection techniques.
In the FY 2014 IPPS/LTCH PPS proposed rule (78 FR 27748 through 27755), we solicited public comment on each of these issues for the following sections of this document that contain information collection requirements (ICRs). We discuss and respond to any public comments we received in the relevant sections.
2. ICRs for Add-On Payments for New Services and Technologies
Section II.I.1. of the preamble of the proposed rule and this final rule discusses add-on payments for new services and technologies. Specifically, this section states that applicants for add-on payments for new medical services or technologies for FY 2015 must submit a formal request. A formal request includes a full description of the clinical applications of the medical service or technology and the results of any clinical evaluations demonstrating that the new medical service or technology represents a substantial clinical improvement. In addition, the request must contain a significant sample of the data to demonstrate that the medical service or technology meets the high-cost threshold.
We believe the burden associated with this requirement is exempt from the PRA under 5 CFR 1320.3(c), which defines the agency collection of information subject to the requirements of the PRA as information collection imposed on 10 or more persons within any 12-month period. This information collection does not impact 10 or more entities in a 12-month period. In FYs 2008, 2009, 2010, 2011, 2012, 2013, and FY 2014, we received 1, 4, 5, 3, 3, 5, and 5 applications, respectively.
We did not receive any public comments regarding this information collection.
3. ICRs for the Occupational Mix Adjustment to the FY 2014 Index (Hospital Wage Index Occupational Mix Survey)
Section III.F. of the preamble of the proposed rule (78 FR 27554 through 27555) and this final rule discusses the occupational mix adjustment to the proposed and final FY 2014 wage index, respectively. While the preamble of these rules does not contain any new ICRs, we note that there is an OMB approved information collection request associated with the hospital wage index.
Section 304(c) of Public Law 106-554 amended section 1886(d)(3)(E) of the Act to require CMS to collect data at least once every 3 years on the occupational mix of employees for each short-term, acute care hospital participating in the Medicare program in order to construct an occupational mix adjustment to the wage index. We collect the data via the occupational mix survey.
The burden associated with this information collection requirement is the time and effort required to collect and submit the data in the Hospital Wage Index Occupational Mix Survey to CMS. The aforementioned burden is subject to the PRA; it is currently approved under OCN 0938-0907.
4. Hospital Applications for Geographic Reclassifications by the MGCRB
Section III.H.2. of the preamble of the proposed rule (78 FR 27557 through 27558) and this final rule discusses proposed and final revisions, respectively, to the wage index based on hospital redesignations. As stated in that section, under section 1886(d)(10) of the Act, the MGCRB has the authority to accept short-term IPPS hospital applications requesting geographic reclassification for wage index or standardized payment amounts and to issue decisions on these requests by hospitals for geographic reclassification for purposes of payment under the IPPS.
The burden associated with this application process is the time and effort necessary for an IPPS hospital to complete and submit an application for reclassification to the MGCRB. While this requirement is subject to the PRA, the associated burden was previously approved under OCN 0938-0573. However, the information collection expired on December 31, 2011. We are currently seeking to reinstate the information collection and, as required by the PRA, will announce public notice and comment periods in the Federal Register separate from this rulemaking.
5. ICRs for Application for GME Resident Slots
The information collection requirements associated with the preservation of resident cap positions from closed hospitals, addressed under section V.J.3. of this preamble, are not subject to the Paperwork Reduction Act, as stated in section 5506 of the Affordable Care Act.
6. ICRs for the Hospital Inpatient Quality Reporting (IQR) Program
The Hospital IQR Program (formerly referred to as the Reporting Hospital Quality Data for Annual Payment (RHQDAPU) Program) was originally established to implement section 501(b) of the MMA, Public Law 108-173. This program expanded our voluntary Hospital Quality Initiative. The Hospital IQR Program originally consisted of a “starter set” of 10 quality measures. The collection of information associated with the original starter set of quality measures was previously approved under OMB control number 0938-0918. All of the information collection requirements previously approved under OMB control number 0938-0918 have been combined with the information collection request previously approved under OMB control number 0938-1022. We will no longer be using the OMB control number 0938-0918.
We added additional quality measures to the Hospital IQR Program and submitted the information collection request to OMB for approval. This expansion of the Hospital IQR measures was part of our implementation of section 5001(a) of the DRA. Section 1886(b)(3)(B)(viii)(III) of the Act, added by section 5001(a) of the DRA, requires that the Secretary expand the “starter set”' of 10 quality measures that were established by the Secretary as of November 1, 2003, to include measures “that the Secretary determines to be appropriate for the measurement of the quality of care furnished by hospitals in inpatient settings.” The burden associated with these reporting requirements was previously approved under OMB control number 0938-1022.
In the FY 2013 IPPS/LTCH PPS final rule (77 FR 53666), we stated that, for the FY 2016 payment determinations and subsequent years updates, we are seeking OMB approval for a revised information collection request using the same OMB control number (0938-1022). In the revised request we will add the 5 claims-based measures that are finalized in this final rule: (1) 30-day risk standardized COPD Readmission; (2) 30-day risk standardized COPD Mortality; (3) 30-day risk standardized Stroke Readmission; (4) 30-day risk standardized Stroke Mortality; and (5) AMI payment per Episode of Care. We are also finalizing the removal of six chart-abstracted measures: (1) PN 3b: Blood Culture Performed in the Emergency Department Prior to First Antibiotic Received in the Hospital; (2) HF 1: Discharge Instructions; and (3) AMI-2: Aspirin Prescribed at Discharge; (4) AMI-10: Statin Prescribed at Discharge; (5) HF-3: ACEI or ARB for LVSD; and (6) SCIP-Inf-10: Surgery Patients with Perioperative Temperature Management as well as one structural measure, Systematic Clinical Database Registry for Stroke Care. We are suspending collection of IMM 1: Immunization for Pneumonia.
Because claims-based measures can be calculated based on data that are already reported to the Medicare program for payment purposes, we believe no additional information collection will be required from the hospitals. However, we do believe there will be a reduction in the burden associated with the removal of six chart-abstracted measures, suspension of one chart-abstracted measures, and removal of one structural measure. We estimate a reduction in burden associated with data collection for chart-abstracted measures and associated forms. For the FY 2015 payment determination, we estimated that the burden for chart abstracted measures and associated forms for each hospital is 1,900 hours annually. For the FY 2016 payment determination, we estimate the burden to be 1,775 hours annually per hospital. We estimate the total burden for chart abstraction and structural measures for the approximately 3,300 Hospital IQR Program-participating hospitals to be 5.86 million hours.
To support the validation of two additional HAI measures, we also are finalizing our proposal to add two new HAI Validation Templates for a total of four Validation Templates to be completed by hospitals selected for annual validation. To add these new Templates without increasing burden for the FY 2016 payment determination and subsequent years, we are finalizing our proposal to randomly assign one-half of the hospitals to submit templates for CLABSI and CAUTI validation and one-half of the hospitals to submit templates for MRSA and CDI validation. We believe this approach will limit hospital burden because, of the 600 potential, total hospitals selected for annual validation, only up to 300 hospitals would be required to submit for MRSA and CDI validation and up to 300 hospitals would be required to submit for CLABSI and CAUTI validation. We estimate completion of the CLABSI and CAUTI validation templates will take approximately 20 hours each quarter. We estimate completion of the MRSA and CDI validation templates will take approximately 16 hours each quarter. As finalized for the FY 2016 payment determination, HAI validation will include 3 quarters of data. Therefore, we estimate the total burden for HAI validation to be 60 hours for hospitals validated for CLABSI and CAUTI and 48 hours for hospitals validated for MRSA and CDI. We estimate the total burden for validation templates for the 600 Hospital IQR participating hospitals selected for validation to be 32,000 hours.
Utilizing the estimates above, we estimate an overall reduction in burden from the FY 2015 estimate of 6.3 million hours annually to 5.9 million hours annually for the FY 2016 payment determination year. This burden estimate includes both newly added measures and measure sets and those for which we are requesting renewal. It excludes the burden associated with the NHSN and HCAHPS measures, both of which are submitted under separate OMB numbers.
Previously, we required hospitals to provide 12 patient charts per quarter per hospital for HAI validation and 15 patient charts per quarter per hospital for validation of clinical process of care measures, for a total of 27 charts per quarter per hospital and 108 charts per year per hospital. For the FY 2016 payment determination and subsequent years, we are finalizing our proposal to reduce this requirement by 12 charts per hospital per year.
In addition, we are finalizing our proposal that the requirement to submit patient charts for validation of Hospital IQR Program data may be met by employing either of the following options each quarter: (1) A hospital may submit paper medical records, which is the form in which we have historically requested them; or (2) a hospital may securely transmit electronic versions of medical information for the FY 2016 payment determination and subsequent years. The intent of this electronic option is to offer an additional mode through which hospitals may meet the requirement to submit patient charts. To support this electronic option, which has the potential to reduce burden, cost, and environmental impact, we also are finalizing our proposal for the FY 2016 payment determination and subsequent years to reimburse hospitals for submission of electronic versions of medical information.
We are finalizing a reimbursement rate of $3.00 per chart for validation for the FY 2016 payment determination. In formulating this number we took into account the following considerations:
- Cost estimates are for retrieval of records and not for the maintenance of electronic health records systems, which are supported by CMS by other means.
- The activities associated with submitting an electronic version of a patient medical record include downloading, verifying, and copying records, which must be done for every record separately, and packaging and encrypting CDs or DVDs which must be done only once per DVD or CD sent.
- We assume that an average patient record will be 412 pages in length, that the average capacity of a DVD of 45,000 pages, and that all 27 records submitted in a quarter will fit on one DVD most of the time.
- Based on time and motion studies conducted by our contractor, we estimate that for records of average lengths, the minimum labor time is between 1 and 2 minutes per record.
- To acknowledge that some records may be so large that they require their own DVD, and that some systems may be slower than others, we also estimated a maximum labor of about 12 minutes per record.
- Averaging these two estimates, we achieve an average of less than 7 minutes of labor per record.
- The labor performed can be accomplished by a combination of staff equivalent to a GS-5 administrative secretary and a GS-5 information technologist, earning within the middle range for this grade, which in 2013 was $38,616 per year. Assuming, 2,080 hours in a work year, we achieve an hourly rate of $18.57 per hour.
- Applying OMB Circular A-76, we assumed overhead of 36.25 percent, for a fully burdened labor rate of $25.30 per hour.
- The labor cost associated with each record is $2.95.
- Supply costs are limited to DVDs and packaging. DVDs cost $20 per 100, or 20 cents per DVD. A protective shipping container also costs 20 cents each.
- If a hospital submits all records on the same DVD, supply costs will equal approximately 1.4 cents per DVD. If a hospital submits one DVD per record, supply costs will equal approximately 40 cents per record. Averaging these costs results in 21 cents per record.
- Adding supplies to labor yields a total cost of $3.16 per record.
- Rounding to the nearest whole dollar yields $3.00 per record.
For the FY 2016 payment determination, we also are encouraging hospitals to voluntarily submit up to 16 measures electronically for the Hospital IQR Program in a manner that would permit eligible hospitals to align Hospital IQR Program requirements with some requirements under the Medicare EHR Incentive Program. We estimate that the total burden associated with the electronic quality measure reporting option will be similar to the burden outlined for hospitals in the EHR Incentive Program Stage 2 final rule (77 FR 53968 through 54162). As established in that final rule, beginning in FY 2014, hospitals that are beyond their first year of meaningful use must electronically report a total of 16 clinical quality measures covering at least three domains using CEHRT that has been certified to the 2014 Edition certification criteria.
By allowing hospitals to submit data that could be used to satisfy the requirements for both programs, each hospital that participates in the proposed voluntary electronic quality measure reporting option and electronically reports on the maximum of 16 electronic clinical quality measures could realize a reduction in burden for the Hospital IQR Program of approximately 800 hours. This estimate assumes an annual collection burden for chart-abstracted Stroke, VTE and PC-01 to be a combined 816 hours annually per hospital over 4 quarters and an estimated 2.66 hours to submit those measures electronically for one quarter. Since the ED measures are a subset of the global measure set that also includes the Immunization measures, which will continue to be collected via chart abstraction, we do not believe there will be a significant reduction in burden for electronic submission of the ED-1 and ED-2 measures.
In accordance with the estimates in the Medicare EHR Incentive Program Stage 2 final rule, we believe it will take a hospital approximately 2 hours and 40 minutes to select, prepare, and electronically submit a maximum of 16 electronic clinical quality measures using CEHRT. In addition, in accordance with the Medicare EHR Incentive Program Stage 2 final rule, we believe an individual with commensurate skills will submit electronic clinical quality measures on behalf of the hospital at a rate of approximately $59.00 per hour. Therefore, we believe it will cost a hospital approximately $156.94 ($59.00 × 2.66 hours) to report 16 electronic clinical quality measures in CY 2014 (77 FR 54133). Additional information about the chart abstraction burden is detailed in section XIII.B.6. of the preamble to the proposed rule and this final rule.
7. ICRs for PPS-Exempt Cancer Hospital Quality Reporting (PCHQR) Program
As discussed in section IX.B. of the preamble of the proposed rule and this final rule, section 1866(k) of the Act requires, for purposes of FY 2014 and each subsequent fiscal year, that a hospital described in section 1886(d)(1)(B)(v) of the Act (a PPS-exempt cancer hospital, or a PCH) submit data in accordance with section 1866(k)(2) of the Act with respect to such fiscal year. In the FY 2013 IPPS/LTCH PPS final rule, we implemented the PCHQR Program to comply with the statutory mandate and in an effort to improve the quality of care for inpatient cancer patients. It is our aim and goal to encourage PCHs to furnish high quality care in a manner that is effective and meaningful, while remaining mindful of the reporting burden created by the implementation of this new program. Therefore, we intend to reduce and avoid duplicative reporting efforts, whenever possible, by leveraging existing infrastructure.
In the FY 2013 IPPS/LTCH PPS final rule, for the FY 2014 program year, we adopted five NQF-endorsed quality measures, two of which were developed by the CDC and three of which were developed by the American College of Surgeons' Commission on Cancer (ACoS/CoC) and discussed the information collection requirements for these measures.
| Topic | Quality measures |
|---|---|
| Cancer-Specific Treatments | Adjuvant Chemotherapy is considered or administered within 4 months (120 days) of surgery to patients under the age of 80 with AJCC Stage III (lymph node positive) colon cancer (NQF #0223). |
| Combination Chemotherapy is considered or administered within 4 months (120 days) of diagnosis for women under 70 with AJCC T1c, or Stage II or III hormone receptor negative Breast Cancer (NQF #0559). | |
| Adjuvant Hormonal Therapy (NQF #0220). | |
| Healthcare Acquired Infections (HAIs) | National Healthcare Safety Network (NHSN) Central Line-Associated Bloodstream Infection (CLABSI) Outcome Measure (NQF #0139). |
| National Healthcare Safety Network (NHSN) Catheter-Associated Urinary Tract Infection (CAUTI) Outcome Measure (NQF #0138). |
In this final rule, we are finalizing our program policy that PCHs submit data on 1 additional measure beginning with FY 2015 and 12 additional measures beginning with FY 2016 (as listed below), for a total of 18 measures (5 previously adopted plus 13 new measures). As indicated in the preamble to this rule, we have decided not to finalize our proposal to adopt the Multiple Myeloma-Treatment with Bisphosphonates (NQF# 0380) measure. The tables below sets forth the new measures finalized in this final rule for the FY 2015 and FY 2016 programs and subsequent years.
| Measure domain | NQF Endorsement number | Measure name |
|---|---|---|
| New Measure for the FY 2015 Program and Subsequent Years | ||
| Patient Safety | 0753 | Harmonized Procedure Specific Surgical Site Infection (SSI) Outcome Measure. |
| New Measures for the FY 2016 Program and Subsequent Years | ||
| Surgical Care Improvement Project (SCIP) | 0218 | Surgery Patients Who Received Appropriate VTE Prophylaxis within 24 Hrs Prior to Surgery to 24 Hrs After Surgery End Time. |
| 0284 | Surgery Patients on Beta Blocker Therapy Prior to Admission Who Received a Beta Blocker during the Perioperative Period. | |
| 0453 | Urinary Catheter Removed on Post-Operative Day 1 or Post-Operative Day 2 with Day Surgery Being Day Zero. | |
| 0527 | Prophylactic Antibiotic Received Within 1 Hr Prior to Surgical Incision. | |
| 0528 | Prophylactic Antibiotic Selection for Surgical Patients. | |
| 0529 | Prophylactic Antibiotic Discontinued Within 24 Hrs After Surgery End Time. | |
| Clinical Process/OncologyCare | 0382 | Oncology-Radiation Dose Limits to Normal Tissues. |
| 0383 | Oncology: Plan of Care for Pain. | |
| 0384 | Oncology: Pain Intensity. | |
| 0390 | Prostate Cancer-Adjuvant Hormonal Therapy for High-Risk Patients. | |
| 0389 | Prostate Cancer-Avoidance of Overuse Measure-Bone Scan for Staging Low-Risk Patients. | |
| Patient Engagement/Patient Experience of Care | 0166 | HCAHPS Patient Experience of Care Survey. |
We believe that requiring PCHs to submit data on these additional measures will not prove burdensome. PCHs have familiarity with and experience reporting quality data to CMS during the initial year of the PCHQR program. Therefore, we believe that because a majority of PCHs have demonstrated the ability to report these measures, the reporting requirements we are finalizing will not significantly impact PCHs.
The anticipated burden on these PCHs consists of the following: training of appropriate staff members on how to use the NHSN for the reporting of the SSI measure, CMS (QualityNet) for the reporting of the SCIP measures, and the CMS Web Measures Tool for the reporting of the clinical process/oncology care measures; the time required for collection and aggregation of data; and the time required for reporting of the data by the PCH's representative; and the time required to participate in administering the HCAHPS Survey and collecting HCAHPS data. We have taken into account all these elements in our burden calculation.
We estimate that 11 PCHs will submit data on approximately 63,468 cancer cases annually. It will require, on average, 9 hours for a PCH to abstract the information from medical records and submit such information for each case. The time required to administer the HCAHPS Survey is likely to be lower than the time for chart abstraction. However, the same method was used to ensure a high-end estimate so that facilities will not experience a higher burden than estimated. In addition, sampling was not considered for this reason. Therefore, this burden represents the “worst-case scenario” of what would be required of each facility. Based on these assumptions, we estimate that the annual hourly burden on each PCH for the collection, submission, and training of personnel for submitting all quality measure data would be approximately 51,930 hours.
We received the following comments on our burden analysis.
Comment: Some commenters expressed concern with the inequality of program implementation requirements imposed on PCHs under the PCHQR Program as compared with the requirements imposed on subsection (d) hospitals under the Hospital IQR Program. For example, one commenter suggested that it would take less than one FTE to implement the Hospital IQR Program measures for FY 2014, but PCHs would need to hire 26 to 28 FTEs to implement the PCHQR Program requirements for FY 2015 and FY 2016.
Response: We note that the burden calculations for the Hospital IQR Program that we performed for purposes of the FY 2014 IPPS/LTCH proposed and final rule include only the new measures adopted for a given payment year (for example, the burden for FY 2016 and FY 2017 is calculated by using only those measures finalized for each respective year), whereas the burden calculations for the PCHQR Program that we performed for purposes of the FY 2014 IPPS/LTCH proposed and final rule include all measures we have adopted since the program's inception beginning with FY 2014 program year. Therefore, we believe that the difference in our calculation methodology, as opposed to the actual burden, accounts for the commenters' observations. In addition, since we lack PCH-specific data, we have calculated the burden to PCHs on a worst case scenario basis and made our calculations by assuming PCHs would report on all measures for all cases. We are reasonably certain that the burden imposed on PCHs will not actually be as great as what we have calculated for the following reasons: (1) About 27 percent of the PCHs are currently voluntarily administering the HCAHPS Survey, which means that for some PCHs there will be no additional burden to report on this measure for all cases; (2) our experience with the Hospital IQR Program indicates that only a very small fraction of cases are SCIP cases, which means that PCHs will not have to report on these measures for all cases; (3) the sampling methodology for the SCIP measures requires that PCHs use only 10 percent of the patient population size, [197] which means that PCHs' reporting burden for the SCIP measures will be reduced by approximately 90 percent because of sampling method applied; (4) our experience with the Hospital IQR Program indicates that only a very small fraction of cases are HAI cases, which means that PCHs will not have to report on these measures for all cases; and (5) with the exception of the pain-related measures (Oncology: Plan of Care for Pain and Oncology: Pain Intensity Quantified) the other three oncology measures are specific to subsets of cancer patient populations, [198] which means that PCHs will not have to report on these measures for all cases.
Despite these factors, however, perhaps over-conservatively, we calculated the burden by assuming that PCHs would submit measure data on all cases. For the reasons cited above, we believe that the estimated burden we provided is an extreme, worst-case scenario calculation. We chose to calculate the burden using this methodology because we thought it more prudent to over-rather than under-estimate. The Hospital IQR Program is a well-established program with several years' worth of data on which we can draw to provide burden estimations and infer, as we did above, how the number of cases may play out. Although we can draw similarities between the Hospital IQR Program's SCIP and HAI cases as a percentage of the overall patient population, we chose not to use concrete numbers from the Hospital IQR Program given the differences between the patient populations in the PCHQR and Hospital IQR Programs. As the PCHQR Program matures and we gather more PCH-specific data, we will provide more precise burden calculations that are closer to the real burden that PCHs will face.
Comment: Some commenters opposed the burden estimates because we did not propose to allow sampling with respect to the collection of data on the clinical process/oncology care and SCIP measures.
Response: We thank commenters for their comments. We note that in this final rule, we are finalizing a policy that allows PCHs to use sampling methodologies to report the SCIP and the clinical process/oncology care measures. We believe that these sampling methodologies will decrease the PCHs' reporting burden because PCHs will not have to perform chart-abstraction on all cases. For the SCIP measures, we will allow PCHs to use the same sampling methodology that we currently allow subsection (d) hospitals to use to report the SCIP measures under the Hospital IQR Program (outlined in the specification manual https://www.qualitynet.org/dcs/ContentServer?c=Page&pagename=QnetPublic%2FPage%2FQnetTier2&cid=1138115987129). For the clinical process/oncology care measures, we will allow PCHs to use the sampling methodologies we allow for the reporting of these measures under the PQRS Program, and this sampling methodology can be found in the PQRS manual at http://www.cms.gov/Medicare/Quality-Initiatives-Patient-Assessment-Instruments/PQRS/MeasuresCodes.html.
Comment: One commenter recommended that CMS consider the relative value and associated burden of reporting measures. In particular, the commenter recommended that CMS consider the appropriateness of cancer-specific measures, particularly outcome measures.
Response: We thank the commenter for these comments and will consider other measures (that is, outcome measures) relevant to the PCH settings in future years. As we indicated earlier in the preamble, we believe that the measures we have selected will help improve the quality of care for PCH patients. Our measures address critical components of PCH quality care, including oncology, prostate cancer care, surgical processes of care that should be followed in PCHs, and patient experience of PCH care. We believe that the value added by requiring PCHs to submit data on these measures far outweighs the burden.
Comment: One commenter recommended we consider implementing a sampling protocol, similar to the Hospital IQR Program, to minimize burden.
Response: As we explain above, we are allowing PCHs to use sampling methodologies for the SCIP and the clinical process/oncology care measures.
8. ICRs for the Hospital Value-Based Purchasing (VBP) Program
In section V.H. of the preamble of the proposed rule and this final rule, we discuss requirements for the Hospital VBP Program. Specifically, in this final rule, we are adopting three new measures for the FY 2016 Hospital VBP Program, including IMM-2: Influenza Immunization, CAUTI, and the Surgical Site Infection (SSI) measure. We also are adopting CLABSI, a measure that we finalized for FY 2015 but did not readopt at that time for the FY 2016 Hospital VBP Program.
In addition, we are adopting the three 30-day mortality measures for the FYs 2017 through 2019 programs and the AHRQ PSI composite measure for the Hospital VBP Program for FYs 2017 and 2018.
All of these additional measures are required for the Hospital IQR Program; therefore, their inclusion in the Hospital VBP Program does not result in any additional burden because the Hospital VBP Program uses data that are required for the Hospital IQR Program.
9. ICRs for the Long-Term Care Hospital Quality Reporting (LTCHQR) Program
In section IX.C. of the preamble of this final rule, we discuss the requirements for the LTCHQR Program, established by section 1886(m)(5) of the Act, which was added to the Act by section 3004 of the Affordable Care Act.
In the FY 2013 IPPS/LTCH PPS final rule, we finalized the adoption of five quality measures for use in the LTCHQR Program for the FY 2016 payment determination and subsequent years. These measures are: (1) NHSN Catheter-Associated Urinary Tract Infection (CAUTI) Outcome Measure (NQF #0138); (2) NHSN Central Line-Associated Blood Stream Infection (CLABSI) Outcome Measure (NQF #0139); (3) Application of Percent of Residents with Pressure Ulcers that are New or Worsened (Short Stay) (NQF #0678); (4) Percent of Residents or Patients Who Were Assessed and Appropriately Given the Seasonal Influenza Vaccine (Short-Stay) (NQF #0680); and (5) Influenza Vaccination Coverage Among Healthcare Personnel (NQF #0431).
In the FY 2013 IPPS/LTCH PPS final rule (77 FR 53630 through 53631), we finalized that for Influenza Vaccination Coverage Among Healthcare Personnel (NQF #0431), LTCHs should begin to submit data from January 1, 2014 through December 31, 2014 (CY 2014) for the FY 2016 payment determination. However, there is unique seasonality in the timing of influenza activity each year. To account for this, we are finalizing our proposal that, for the LTCHQR Program, this measure (NQF #0431) will have a reporting period that aligns with the influenza vaccination season. The influenza vaccination season is defined by the CDC as October 1 (or when the vaccine becomes available) through March 31 of the following year. This change would allow LTCHs to collect data on Healthcare Personnel influenza vaccination for the entirety of the 2014-2015 influenza season for the FY 2016 payment determination based on the period of October 1 (or when the vaccine becomes available) through March 31. This change would allow LTCHs to collect data on this measure using the same period for future influenza seasons for each of the subsequent years.
While LTCHs can enter information in NHSN at any point during the influenza season for NQF #0431, data submission is only required once per year, unlike the other measures finalized for the LTCHQR Program that utilize CDC's NHSN (CAUTI measure NQF #0138 and CLABSI measure NQF #0139). LTCHs can choose to submit Healthcare Personnel influenza vaccination data on an incremental basis (for example, on a monthly basis), or just once a year. The final deadlines associated with submitting data, approximately 45 days after the end of the data collection timeframe for the FY 2016 payment determination, remain consistent across measures. Thus, the deadline for submission of data for NQF # 0431 would be approximately 45 days after March 31, or May 15.
In the FY 2013 IPPS/LTCH PPS final rule (77 FR 53624 through 53627), we finalized that for NQF #0680, Percentage of Residents or Patients Who Were Assessed and Appropriately Give the Seasonal Influenza Vaccine (Short-Stay), LTCHs should begin to collect and submit data on January 1, 2014 through December 31, 2014 (CY 2014) for the FY 2016 payment determination. This measure, stewarded by CMS, will be collected using items included in the LTCH Continuity Assessment Record and Evaluation (CARE) Data Set (Version 2.01) approved by the Office of Management and Budget (OMB) on June 10, 2013 under the Paperwork Reduction Act. [199] The OMB control number is 0938-1163. Later in 2013, we will release the final technical data submission specifications and updated LTCHQR Program Manual with guidance on the completion of the LTCH CARE Data Set (Version 2.01) containing items related to NQF #0680.
In order to better align this measure (NQF #0680) with the influenza season (as described earlier for NQF #0431), in light of public comments and to allow time and opportunity for LTCHs and vendors to participate in CMS-sponsored training activities pertaining to the implementation of the LTCH CARE Data Set (Version 2.01), as well as time to plan for and incorporate changes into their data collection and entry systems, we are finalizing the data collection period for this measure to October 1, 2014 through April 30, 2015. This change accounts for the unique seasonality of the influenza season, as defined by the CDC as October 1 (or when the vaccine becomes available) through March 31 of the following year. At this point, our data reporting and submission infrastructure for the LTCH CARE Data Set requires LTCHs to submit data on patient admissions and discharges (or death) separately. As a result, allowing reporting through April will allow us to capture the influenza vaccination status of LTCH patients admitted in March and discharged in April.
We are changing the timeline for data submission for NQF #0680 to admissions and discharges in an LTCH from October 1, 2014 through April 30, 2015, for the FY 2016 payment determination. We are revising and finalizing our timeline for data collection and submission for the FY 2017 payment determination to October 1, 2015 through April 30, 2016. Thereafter, data for October 1 through April 30 will be used for subsequent years.
In the FY 2012 IPPS/LTCH PPS final rule (76 FR 51748 through 51750), we adopted an application of NQF #0678 Percent of Residents with Pressure Ulcers That are New or Worsened (Short-Stay) for the FY 2014 payment determination, and retained this application of the measure in the FY 2013 IPPS/LTCH PPS final rule (77 FR 53615 through 53619) for the FY 2015 payment determination and subsequent years. We refer readers to the FY 2012 IPPS/LTCH PPS final rule (76 FR 51748 through 51750) for a discussion of the rationale, data collection methods, and submission methods finalized for this measure for the FY 2014 payment determination and subsequent years, and for references to the description and specifications of this measure.
At the time we completed our work on the FY 2013 IPPS/LTCH PPS final rule, we were only able to adopt an application of the endorsed measure in our final version of the FY 2013 rule. NQF #0678 was subsequently ratified by the NQF Board of Directors for expansion to the LTCH setting on August 1, 2012. [200] [201] Because NQF #0678 has received endorsement for the LTCH setting, we are now finalizing our proposal to adopt the updated measure NQF #0678 Percent of Residents or Patients with Pressure Ulcers that are New or Worsened (Short-Stay) for the FY 2015 payment determination and subsequent years. This measure will continue to be collected using items included in the LTCH CARE Data Set (Version 1.01) for CY 2013 and for the first quarter of CY 2014. Further, starting April 1, 2014, this measure is proposed to be collected using items included in the LTCH CARE Data Set (LCDS) (Version 2.01). While LTCHs will be using a new version [202] of the LCDS to continue reporting this measure, the data items used to collect data for this measure will remain the same.
The changes we described to the reporting periods for two measures (NQF #0431 and NQF #0680) and the updated NQF-endorsed pressure ulcer measure (NQF #0678) are not for new measures. We do not believe that these changes will result in any additional reporting burden on LTCHs.
In section IX.C.8.b. of the preamble of this final rule, we are finalizing our proposal to add three additional measures for use in the LTCHQR Program for the FY 2017 payment determination and subsequent years. These measures are: (1) National Healthcare Safety Network (NHSN) Facility-Wide Inpatient Hospital-Onset Methicillin-Resistant Staphylococcus Aureus (MRSA) Bacteremia Outcome Measure (NQF #1716); (2) National Healthcare Safety Network (NHSN) Facility-Wide Inpatient Hospital-onset Clostridium Difficile Infection (CDI) Outcome Measure (NQF #1717); and (3) All-Cause Unplanned Readmission Measure for 30-Days Post Discharge from Long-Term Care Hospitals.
For the FY 2017 payment determination, in addition to the CAUTI, CLABSI, and Influenza Vaccination Coverage Among Healthcare Personnel measures, we are finalizing our proposal that LTCHs would report quality data related to the MRSA and CDI measures to the CDC's NHSN data submission system (http://www.cdc.gov/nhsn/). The NHSN is a secure, Internet-based healthcare associated infection tracking system that is maintained and managed by CDC.
There are currently approximately 440 LTCHs in the United States paid under the CMS LTCH PPS and, according to the CDC, as of May 15, 2013, over 413 of these LTCHs already submit CAUTI and CLABSI data to the CDC's NHSN. We believe that any burden increase related to complying with the LTCHQR Program requirements for submission of the MRSA and CDI measures will be minimal for those LTCHs that are already familiar with the NHSN submission process, for several reasons. First, these LTCHs have already completed initial setup and have become familiar with reporting data in the NHSN system due to the requirement to report CAUTI and CLABSI measures beginning on October 1, 2012 for the FY 2014 payment determination, and are continuing to report for CY 2013 for the FY 2015 payment determination. Second, due to their participation in a wide range of mandatory reporting and quality improvement programs, as of January 2013, there are approximately 42 LTCHs reporting MRSA measure data and approximately 46 LTCHs reporting CDI measure data into the NHSN. Third, there has been no change in the registration and training requirements for LTCHs that are already acquainted with the NHSN. Therefore, we believe that most LTCHs should be very comfortable using the NHSN for continuing with the reporting of data for CAUTI and CLABSI measures for CY 2014 for the FY 2016 payment determination and for submission of the finalized MRSA and CDI measures for CY 2015 for the FY 2017 payment determination. Further, we believe that by the time data collection and reporting for NQF #0431 begin for the FY 2016 payment determination (October 1, 2014 or when vaccine becomes available for the 2014-2015 influenza vaccination season), a vast majority of LTCHs should be very comfortable using the NHSN.
The most significant burden associated with these quality measures is the time and effort associated with collecting and submitting the data on the CAUTI, CLABSI, Influenza Vaccination Coverage among Healthcare Personnel, MRSA, and CDI measures for LTCHs that are not currently reporting any measures data into the CDC's NHSN system.
There are currently approximately 440 LTCHs in the United States paid under the CMS LTCH PPS. We estimate that each LTCH will execute approximately 12 NHSN submissions (6 CAUTI events and 6 CLABSI events) per month (144 events per LTCH annually). This equates to a total of approximately 63,360 submissions of HAI data to NHSN from all LTCHs per year. We estimate that each NHSN assessment will take approximately 25 minutes to complete. This time estimate consists of 10 minutes of clinical time (for example, nursing time) needed to collect the clinical data and 15 minutes of clerical time necessary to enter the data into the NHSN database. Based on this estimate, we expect each LTCH will expend 300 minutes (5 hours) per month and 60 hours per year reporting to NHSN.
Therefore, the total estimated annual hourly burden on all LTCHs for reporting CAUTI and CLABSI events to NHSN is 26,400 hours. The estimated cost per submission is estimated at $12.07. These costs are estimated using an hourly wage for a registered nurse of $41.59 and a medical billing clerk/data entry person of $15.59 (U.S. Bureau of Labor Statistics data) (please note that we have corrected the hourly rate of a medical billing clerk/data entry person from $20.57, which was in our proposed rule, to a correct hourly rate of $15.59). Therefore, we estimate that the annual cost per each LTCH will be $1,559 and the total yearly cost to all LTCHs for the submission of CAUTI and CLABSI data to NHSN will be $686,136. [203] While these requirements are subject to the Paperwork Reduction Act, we believe the associated burden hours are accounted for in the information collection request currently approved under OMB control number 0920-0666.
We estimate that each LTCH will execute only one NHSN submission per year (total number of vaccinations) as required by the CDC for the NHSN-reported Influenza Vaccination Coverage among Healthcare Personnel measure (NQF #0431). This equates to a total of approximately 440 submissions of vaccination data to NHSN from all LTCHs per year. We estimate that each NHSN submission will take approximately 15 minutes to complete. This time estimate consists of 15 minutes of clerical time necessary to enter the data into the NHSN database. Based on this estimate, we expect each LTCH will expend 15 minutes per year reporting to NHSN. Therefore, the total estimated annual burden on all LTCHs in the United States for reporting this measure to NHSN is 110 hours. The estimated cost per submission is estimated at $3.90. The cost is estimated using an hourly wage for a medical billing clerk/data entry person of $15.59 (U.S. Bureau of Labor and Statistics data). We estimate the annual cost per each LTCH will be $3.90 and the total yearly cost to all LTCHs for the submission of the Influenza Coverage among Healthcare Personnel measure (NQF #0431) will be $1,716.
Similar to the submission of CAUTI and CLABSI data, we estimate that each LTCH will execute approximately 12 NHSN submissions (6 MRSA events and 6 C. Difficile events) per month (144 events per LTCH annually). This equates to a total of approximately 63,648 submissions of HAI data to NHSN from all LTCHs per year. We estimate that each NHSN assessment will take approximately 25 minutes to complete. This time estimate consists of 10 minutes of clinical time (for example, nursing time) needed to collect the clinical data and 15 minutes of clerical time necessary to enter the data into the NHSN. Based on this estimate, we expect each LTCH will expend 300 minutes (5 hours) per month and 60 hours per year reporting to NHSN.
The total estimated annual hourly burden on all LTCHs in the United States for reporting MRSA and CDI data to NHSN is 26,400 hours. The estimated cost per submission is estimated at $12.07. These costs are estimated using an hourly wage for a registered nurse of $41.59 and a medical billing clerk/data entry person of $15.59 (U.S. Bureau of Labor Statistics data). Therefore, we estimate that the annual cost per each LTCH will be $1,739 and the total yearly cost to all LTCHs for the submission of MRSA and CDI data to NHSN will be $686,136. [204]
We estimate that the total annual cost to all LTCHs for submission of NHSN data will be $1,373,988 or $3,123 per LTCH annually.
We are finalizing our proposal to adopt the updated measure NQF #0678 Percent of Residents or Patients with Pressure Ulcers that are New or Worsened (Short-Stay) for the FY 2015 payment determination and subsequent years. This change would not alter the data collection, data submission, or burden finalized in the FY 2013 IPPS/LTCH PPS final rule and PRA package for LTCH CARE Data Set (Version 1.01) [205] since there have been no changes to the data elements, data submission system (QIES ASAP) and technical submission specifications for the LTCH CARE Data Set used for this measure for CY 2013 and for the first quarter of CY 2014. The only difference between the previously finalized measure and the measure finalized in this final rule is the change in name and NQF-endorsed expansion of this measure to the LTCH (and IRF) patient populations in addition to Skilled Nursing Facility/Nursing Home Short-Stay residents. Therefore, the burden on LTCHs for reporting of data for NQF #0678 remains unchanged. [206]
In order to allow time and opportunity for LTCHs and vendors to participate in CMS-sponsored training activities pertaining to the implementation of the LTCH CARE Data Set (Version 2.01), as well as time to plan for and incorporate changes into their data collection and entry systems, we are finalizing our proposal to revise the previously finalized start date for Percent of Residents or Patients Who Were Assessed and Appropriately Given the Seasonal Influenza Vaccine (Short-Stay) (NQF #0680) of January 1, 2014 to April 1, 2014. For CY 2014, data collection will continue through December 31, 2014. We are finalizing our proposal that data for admissions and discharges for an LTCH during April 1, 2014 through December 31, 2014 will be used for the FY 2016 payment determination. Three items are included on the LTCH CARE Data Set Version 2.01 for this measure. For purposes unrelated to the measures we are finalizing in this rule, we have also removed several items from the administrative, functional status, and skin conditions sections of the LTCH CARE Data Set Version 1.01 to create the LTCH CARE Data Set Version 2.01, [207] so we anticipate that increase in burden due to the addition of items for NQF #0680 will be minimal. Later in 2013, we will release the final data submission specifications and updated LTCHQR Program Manual for the LTCH CARE Data Set (Version 2.01) containing items related to NQF #0680.
As previously mentioned, there are currently approximately 440 LTCHs paid under the CMS LTCH PPS. We estimate that the total number of LTCH discharges per year is 202,050 [208] (134,700 Medicare beneficiaries and 67,350 non-Medicare beneficiaries). Therefore, the total number of discharges estimated for each LTCH is 457 annually and 38 monthly. We estimate that the total number of assessment records submitted using the LTCH CARE Data Sets (LCDS) by all LTCHs per year is 404,100 which equates to a total of 914 total LCDS submissions for each LTCH on an annual basis. The average number of LCDS submitted by each LTCH on a monthly basis is 76.
We estimate that the total time required to complete an LCDS per patient to be approximately 32 minutes, [209] which includes 11 minutes for the admission assessment, 11 minutes for the discharge assessment and 10 minutes for data entry. Therefore, each LTCH will spend approximately 1,216 minutes per month, or approximately 20.27 hours per month submitting the LCDS. We expect each LTCH to spend approximately 243 hours per year engaged in data collection and submission of the LCDS. Therefore, the total estimated burden to all LTCHs for reporting the LCDS is 106,920 hours per year. [210]
We estimate that the total annual cost to each LTCH will be approximately $6,751 to submit the LCDS. That estimate is based on the hourly wage for a registered nurse to complete the LCDS at $41.59 per hour and for an administrative assistant to transmit the LCDS at $15.59. [211] As previously stated, we estimate a total of 457 annual discharges (914 LCDS submissions) for each LTCH on an annual basis and that it will take 22 minutes total (11 minutes each) to complete the admissions and discharge assessments per patient. That is, 10,054 minutes of time, or 167.57 hours, that a registered nurse in each LTCH will spend completing the LCDS annually. For a registered nurse to spend 167.57 hours per year completing the LCSDs at a rate of $41.59 per hour, the associated cost for each LTCH will be approximately $6,969 and, for approximately 440 LTCHs, a total of $3,066,360 nursing wages per year.
Similarly, we previously estimated that it will take approximately 10 minutes per patient for data entry by an administrative assistant, resulting in approximately 4,570 minutes that each LTCH will spend transmitting the LCDS per year, or 76 administrative hours per year. At an hourly rate of $15.59, that equates to approximately $1,154 for each LTCH and $507,954 for all LTCHs per year. Therefore, we estimate that the total annualized cost to each LTCH will be approximately $6,751 and $2,971,250 to all LTCHs.
We believe the associated burden hours are accounted for in the information collection request approved on June 10, 2013 under OMB control number 0938-1163.
We also are finalizing our proposal to add the All-Cause Unplanned Readmission Measure for 30 days Post Discharge from Long-Term Care Hospitals measure which we do not believe would increase LTCH burden because it is a Medicare FFS claims-based measure and does not require reporting of data other than submission of Medicare FFS claims data (LTCHs submit these data to CMS for payment purposes).
In section IX.C.8.c. of the preamble of this final rule, we are finalizing our proposal to add one additional quality measure (application of the Percent of Residents Experiencing One or More Falls with Major Injury (Long Stay) (NQF #0674)) for use in the LTCHQR Program for the FY 2018 payment determination and subsequent years. We are finalizing our proposal that LTCHs report data for an application of the Percent of Residents Experiencing One or More Falls with Major Injury (Long Stay) (NQF #0674) measure beginning January 1, 2016. It is our intent to foster alignment between measures by expanding preexisting data collection and submission methods to reduce the administrative burden related to data collection and submission. This measure will be collected using the LTCH CARE Data Set. The items used for this measure will be based on the two items from the Minimum Data Set (MDS) 3.0, version 1.13.0 (1/17/13): items J1800 (Any Falls Since Admission/Entry or Reentry or Prior Assessment) and J1900A., B. and C. (Number of Falls (A. with no injury, B. with injury (except major), C. with Major injury)) since Admission/Entry or Reentry or Prior Assessment), available at: http://www.cms.gov/Medicare/Quality-Initiatives-Patient-Assessment-Instruments/NursingHomeQualityInits/NHQIMDS30TechnicalInformation.html. The calculation of the application of the measure will be based on item J1900C, Number of Falls with major injury, since admission/entry or reentry or prior assessment. The specifications and data elements for NQF #0674 are available in the MDS 3.0 Quality Measures User's Manual Version 6.0 available on our Web site at: http://www.cms.gov/Medicare/Quality-Initiatives-Patient-Assessment-Instruments/NursingHomeQualityInits/MDS30RAIManual.html.
We believe that the initial registration for use of the LTCH CARE Data Set, along with any necessary training, occurred for most LTCHs prior to the reporting of the Pressure Ulcer measure, which began on October 1, 2012. Therefore, we believe the burden will be minimal related to the addition of this quality measure into the LTCH CARE Data Set.
Therefore, we do not expect the addition of the Application of NQF #0674 Percent of Residents Experiencing One or More Falls with Major Injury (Long Stay) measure to increase the burden substantially. Further, LTCHs will have been reporting data for the LTCHQR Program using the LTCH CARE Data Set for more than 2 years by the time the data collection begins for this measure.
At this time, we have not completed the revision of the information collection instrument (LTCH CARE Data Set) that LTCHs would be required to submit to report the finalized measure (NQF #0674) for the FY 2018 payment determination and subsequent years. Because the forms are still under development, we cannot make a complete burden estimate at this time for the inclusion of the Application of Percent of Residents Experiencing One or More Falls with Major Injury (Long Stay) measure in the LTCH CARE Data Set. Once the forms are available, we will prepare and submit the required information collection request, which will fully set forth the anticipated burden to LTCHs as a result of the new data items that must be added to the LTCH CARE Data Set.
Comment: One commenter noted that the CARE Tool 2.0 must be significantly enhanced to accommodate collection of data on the proposed quality measures.
Response: In the FY 2012 IPPS/LTCH PPS final rule (76 FR 51753 through 51756), we finalized use of the LTCH CARE Data Set for collection of data on an application of NQF #0678, Percent of Residents or Patients With Pressure Ulcers That Are New or Worsened (Short-Stay). In the FY2013 IPPS/LTCH PPS final rule (77 FR 53624 through 53627), we finalized use of the LTCH CARE Data Set to collect data for NQF #0680, Percentage of Residents or Patients Who Were Assessed and Appropriately Given the Seasonal Influenza Vaccine (Short-Stay). To accommodate the collection of data on NQF #0680, we revised the LTCH CARE Data Set (Version 1.01) to include additional items. The revised LTCH CARE Data Set (Version 2.01) was approved by the Office of Management and Budget on June 10, 2013 (OMB Control Number 0938-1163).
To accommodate the collection of data on NQF #0674, the LTCH CARE Data Set (Version 2.01) will be revised to include items from other, standardized and clinically established data sets, including but not limited to the MDS 3.0 and CARE tool. With each revision, we will solicit public comment on the proposed LTCH CARE Data Set through the PRA approval process, which provides for the publication of two PRA notices in the Federal Register. The first notice is followed by a 60-day comment period. The second notice is followed by a 30-day comment period.
Comment: As noted in section IX.C.2. of the preamble of this final rule, several commenters expressed concern regarding the pace with which items are being added to the LTCH CARE Data Set, and one noted that this may require LTCHs to shift resources from prevention activities to reporting activities. One commenter, in expressing concern with the amount of time provided for adopting the proposed MRSA and CDI measures, suggested that CMS look carefully at the growing burden that the LTCHQR Program is generating, suggesting that CMS significantly underestimates the burden of these measures, particularly for smaller LTCHs with lower average daily census.
Response: By building upon preexisting resources for data collection and submission, we intend to foster alignment of LTCHQR Program measures and measures in other quality reporting programs. This should help to reduce the administrative burden related to data collection and submission. We anticipate that the initial setup and acclimation to the data collection by the LTCH CARE Data Set will have already occurred with the adoption of the Pressure Ulcer measure for the LTCHQR Program for the FY 2014 payment determination as well as the Patient Influenza Vaccination measure for the LTCHQR Program for the FY2015 payment determination. Therefore, we believe the transition to reporting one additional measure via the LTCH CARE Data Set may be less burdensome.
With respect to the burden placed on LTCHs by quality measure reporting, a burden estimate is required by NQF and carefully considered during their endorsement process. We recognize that the LTCHQR Program carries a certain level of burden, but also feel that this level of burden is justified in light of the benefits to patients in terms of patient safety, as well as by the health care system in terms of efficiency and cost. We also took into account the impact of data collection and submission on LTCH staff by adopting a policy of phased quality measure implementation and reporting. We have gradually introduced new measures and designed collection and submission requirements that are meant to provide sufficient time for all Medicare-certified LTCHs to adjust to and comply with LTCHQR Program requirements.
Comment: Several commenters expressed concern over the burden estimate included in the PRA package for the LTCH CARE Data Set (Version 2.01), which represents (approximately) a 300 percent increase over the burden estimate for the LTCH CARE Data Set (Version 1.01).
Response: On May 15, 2013, the LTCHQR Program completed the submission timeframe for the first quarter of measure reporting. As a result, we have become more familiar with the burden of this program and have now received feedback from LTCHs about the time burden associated with the completion of the LTCH CARE Data Set. We also have considered feedback from LTCHs in the form of public comments to the FY 2014 IPPS/LTCH PPS proposed rule, questions during Open Door forums, and LTCH helpdesk inquiries. LTCHs have stated that we had underestimated the amount of time that is required of the LTCH staff to complete the LTCH CARE Data Set on each LTCH patient.
In response to the feedback received, we have significantly revised our burden estimates. For example, in our previous PRA package burden estimate we estimated burden based solely on LTCH yearly discharges of Medicare beneficiaries. The revised burden estimate includes yearly LTCH discharges of both Medicare and non-Medicare patients, because we require data submission on all payers, and not solely on Medicare patients. In addition, the original burden calculation only took into account one assessment per patient (admission), while the revised estimate includes two assessment records per patient (admission and discharge).
While the burden calculation for this PRA submission has increased significantly compared to our original calculation, we believe that the calculation now more accurately reflects the burden associated with implementing collection of the quality measures. We provided the public with an opportunity to comment on the burden estimate and the LTCH CARE Data Set Version 2.01 as part of the PRA package. The PRA package for the LTCH CARE Data Set (Version 2.01) has been approved by the Office of Management and Budget. For a complete discussion on the current LTCH CARE Data Set Version 2.01 burden estimate, we refer readers to the PRA package approved by OMB on June 10, 2013. [212]
Comment: Several commenters believed that the amount of information that LTCHs are being required to collect exceeds the minimum amount of reporting necessary to accomplish the quality improvement purpose. The commenters believed that several measures require the disclosure of identifiable information that is not reasonably related to the LTCHQR Program.
Response: LTCHs will only be required to complete a subset of the data elements that comprise the LTCH CARE Data Set. For the purposes of this discussion, we have separated the items which make up the LTCH CARE Data Set into three categories and have deemed them to be either required or voluntary. These elements are: (1) A limited set of administrative items that are necessary in order to identify each LTCH and properly attribute patients to it for purposes of calculating the measure rate; (2) the data elements necessary to populate the measures being collected, consistent with the NQF-endorsed specifications for that measure; (3) the data elements necessary to enable us to validate that the measure's data elements were accurately reported. All other data elements on the LTCH CARE Data Set can be completed on a voluntary basis, but will have no impact on the measure rate calculations or on our determination of whether the LTCH has met the reporting requirements under the LTCHQR Program. We will post on the CMS Web site a detailed matrix that identifies which data elements will be required and which will be voluntary. This matrix will also be incorporated into the final LTCHQR Program Manual, which will be posted on CMS LTCHQR Program Web site and available for download at: http://www.cms.gov/Medicare/Quality-Initiatives-Patient-Assessment-Instruments/LTCH-Quality-Reporting/index.html.
Comment: Several commenters questioned the requirement for LTCHs to collect data on all patients, not just Medicare patients, and argue that the improvement in the quality of care provided to Medicare patients does not require collection of data on non-Medicare patients. The commenters propose that if CMS chooses to continue collection of data on non-Medicare patients, this data should be de-identified.
Response: With respect to the inclusion of non-Medicare beneficiaries in the LTCHQR Program, we believe delivery of high-quality care to all patients in the LTCH setting is imperative. Collecting such quality data on all patients in the LTCH setting supports our goal to ensure high quality care for Medicare beneficiaries. It provides us with the data to inform the public with the most robust and accurate reflection of quality of care and patient outcomes in the LTCH setting. Therefore, for non-claims-based measures, in order to facilitate and ensure that high-quality care is delivered to Medicare beneficiaries in the LTCH setting, we require that quality data be collected on all LTCH patients, regardless of payer. Since its implementation date (October 1, 2012), our policy for the LTCHQR Program requires data collection and submission requirements on all patients, regardless of payer and we did not propose any changes to this policy in the FY 2014 proposed rule. We appreciate the suggestion that data on non-Medicare patients be de-identified, and we will consider this view for future rulemaking and program development.
Comment: One commenter encouraged CMS to invest in enhanced information systems for LTCHs, to enable less burdensome data collection.
Response: We are continually working to address policy and funding issues related to safer care, better outcomes, and the efficient use of resources.
10. ICRs for the Inpatient Psychiatric Facilities Quality Reporting (IPFQR) Program
In section VIII.F. of the preamble of the FY 2013 IPPS/LTCH PPS final rule, we discussed the implementation of the Inpatient Psychiatric Facilities Quality Reporting (IPFQR) Program pursuant to the Secretary's authority under section 1886(s)(4) of the Act. We previously adopted six measures for the FY 2014 IPFQR Program payment determination and subsequent years. In section IX.D. of the preamble of this final rule, we are finalizing our policies that, for the FY 2016 payment determination and subsequent years, IPFs must submit aggregate data on one additional measure (SUB-1: Alcohol Use Screening), for a total of seven measures. We note that, at this time, we have decided not to finalize SUB-4. Also, although we proposed to use chart-abstraction, we are finalizing claims-based data collection for the Follow-Up After Hospitalization for Mental Illness (FUH) measure, which reduces the burden on IPFs. In addition, we are finalizing a request for voluntary information.
To reduce the burden on IPFs, we are not making changes to the administrative, reporting or submission requirements for the existing six measures previously finalized in last year's final rule (77 FR 53654 through 53657). However, there will be new reporting and submission requirements associated with the new SUB-1 measure and the request for voluntary information for the FY 2016 payment determination and subsequent years.
We believe that the new measures will help improve the quality of care provided by IPFs as we work to make quality data more transparent to the public. As required by the Act, we will share the information collected under the IPFQR Program with the public. These data will be displayed on the CMS Web site.
We have estimated the burden associated with IPFs complying with the requirements of the IPFQR Program. Because claims-based measures can be calculated based on data that are already reported to the Medicare program for payment purposes, we believe no additional information collection will be required from the IPFs for the new FUH measure. In our burden estimate calculation, we have included the time that would be spent for: (1) The submission of voluntary information; (2) chart abstraction; and (3) training personnel on the collection of chart-abstracted data, aggregation of the data, and for protocols to submit the aggregate-level data through QualityNet. We estimate that the annual hourly burden on each IPF for the collection, submission, and training of personnel for submitting all quality measures, including 30 minutes needed for the voluntary submission, is approximately 761 hours in a year for each IPF. Therefore, the average hourly burden on each IPF is approximately 63 hours per month. At this time, we have no way to estimate how many IPFs will participate in the program. Therefore, we cannot estimate the aggregate impact.
List of Subjects Back to Top
42 CFR Part 412
42 CFR Part 413
42 CFR Part 414
42 CFR Part 419
42 CFR Part 424
42 CFR Part 482
- Grant program—health
- Hospitals
- Medicaid
- Medicare
- Reporting and recordkeeping requirements
42 CFR Part 485
- Grant programs—health
- Health facilities
- Medicaid
- Medicare
- Reporting and recordkeeping requirements
42 CFR Part 489
For the reasons stated in the preamble of this final rule, the Centers for Medicare & Medicaid Services is amending 42 CFR Chapter IV as follows:
PART 412—PROSPECTIVE PAYMENT SYSTEMS FOR INPATIENT HOSPITAL SERVICES Back to Top
1.The authority citation for Part 412 continues to read as follows:
2.A new § 412.3 is added to read as follows:
§ 412.3 Admissions.
(a) For purposes of payment under Medicare Part A, an individual is considered an inpatient of a hospital, including a critical access hospital, if formally admitted as an inpatient pursuant to an order for inpatient admission by a physician or other qualified practitioner in accordance with this section and §§ 482.24(c), 482.12(c), and 485.638(a)(4)(iii) of this chapter for a critical access hospital. This physician order must be present in the medical record and be supported by the physician admission and progress notes, in order for the hospital to be paid for hospital inpatient services under Medicare Part A. In addition to these physician orders, inpatient rehabilitation facilities also must adhere to the admission requirements specified in § 412.622 of this chapter.
(b) The order must be furnished by a qualified and licensed practitioner who has admitting privileges at the hospital as permitted by State law, and who is knowledgeable about the patient's hospital course, medical plan of care, and current condition. The practitioner may not delegate the decision (order) to another individual who is not authorized by the State to admit patients, or has not been granted admitting privileges applicable to that patient by the hospital's medical staff.
(c) The physician order also constitutes a required component of physician certification of the medical necessity of hospital inpatient services under subpart B of Part 424 of this chapter.
(d) The physician order must be furnished at or before the time of the inpatient admission.
(e)(1) Except as specified in paragraph (e)(2) of this section, when a patient enters a hospital for a surgical procedure not specified by Medicare as inpatient only under § 419.22(n) of this chapter, a diagnostic test, or any other treatment, and the physician expects to keep the patient in the hospital for only a limited period of time that does not cross 2 midnights, the services are generally inappropriate for inpatient admission and inpatient payment under Medicare Part A, regardless of the hour that the patient came to the hospital or whether the patient used a bed. Surgical procedures, diagnostic tests, and other treatment are generally appropriate for inpatient admission and inpatient hospital payment under Medicare Part A when the physician expects the patient to require a stay that crosses at least 2 midnights. The expectation of the physician should be based on such complex medical factors as patient history and comorbidities, the severity of signs and symptoms, current medical needs, and the risk of an adverse event. The factors that lead to a particular clinical expectation must be documented in the medical record in order to be granted consideration.
(2) If an unforeseen circumstance, such as a beneficiary's death or transfer, results in a shorter beneficiary stay than the physician's expectation of at least 2 midnights, the patient may be considered to be appropriately treated on an inpatient basis, and hospital inpatient payment may be made under Medicare Part A.
3.Section 412.46 is revised to read as follows:
§ 412.46 Medical review requirements.
(a) Physician acknowledgement. (1) Basis. Because payment under the prospective payment system is based in part on each patient's principal and secondary diagnoses and major procedures performed, as evidenced by the physician's entries in the patient's medical record, physicians must complete an acknowledgement statement to this effect.
(2) Content of physician acknowledgement statement. When a claim is submitted, the hospital must have on file a signed and dated acknowledgement from the attending physician that the physician has received the following notice:
Notice to Physicians: Medicare payment to hospitals is based in part on each patient's principal and secondary diagnoses and the major procedures performed on the patient, as attested to by the patient's attending physician by virtue of his or her signature in the medical record. Anyone who misrepresents, falsifies, or conceals essential information required for payment of Federal funds, may be subject to fine, imprisonment, or civil penalty under applicable Federal laws.
(3) Completion of acknowledgement. The acknowledgement must be completed by the physician at the time that the physician is granted admitting privileges at the hospital, or before or at the time the physician admits his or her first patient. Existing acknowledgements signed by physicians already on staff remain in effect as long as the physician has admitting privileges at the hospital.
(b) Physician's order and certification regarding medical necessity. No presumptive weight shall be assigned to the physician's order under § 412.3 or the physician's certification under Subpart B of Part 424 of the chapter in determining the medical necessity of inpatient hospital services under section 1862(a)(1) of the Act. A physician's order or certification will be evaluated in the context of the evidence in the medical record.
4.Section 412.64 is amended—
a. Adding a new paragraph (d)(1)(v).
b. In the introductory text of paragraph (h)(4), removing the date “October 1, 2013” and adding in its place the date “October 1, 2014”.
c. In paragraph (h)(4)(vi), removing the date “October 1, 2013” and adding in its place the date “October 1, 2014”.
The addition reads as follows:
§ 412.64 Federal rates for inpatient operating costs for Federal fiscal year 2005 and subsequent fiscal years.
* * * * *
(d) * * *
(1) * * *
(v) For fiscal year 2014, the percentage increase in the market basket index less a multifactor productivity adjustment (as determined by CMS) and less 0.3 percentage point for prospective payment hospitals (as defined in § 413.40(a) of this chapter) for hospitals in all areas.
* * * * *
§ 412.101 [Amended]
5.Section 412.101 is amended by—
a. In paragraph (b)(2)(i), removing the term “FY 2013” and adding in its place the term “FY 2014.”
b. In paragraph (b)(2)(ii), removing the phrase “For FY 2011 and FY 2012,” and adding in its place the phrase “For FY 2011, FY 2012, and FY 2013,”.
c. In paragraph (c)(1), removing the term “FY 2013” and adding in its place the term “FY 2014.”
d. In paragraph (c)(2) introductory text, removing the phrase “For FY 2011 and FY 2012,” and adding in its place the phrase “For FY 2011, FY 2012, and FY 2013,”.
e. In paragraph (d), removing the term “FY 2013” and adding in its place the term “FY 2014.”
6.Section 412.106 is amended by adding new paragraphs (f), (g), and (h) to read as follows:
§ 412.106 Special treatment: Hospitals that serve a disproportionate share of low-income patients.
* * * * *
(f) Empirically justified Medicare DSH payments. Effective for discharges on or after October 1, 2013, the amounts otherwise payable to a hospital under paragraph (d) of this section are reduced by 75 percent.
(g) Additional payment for uncompensated care. (1) Payment rules. Hospitals that qualify for payments under this section for fiscal year 2014 and each subsequent year, will receive an additional amount equal to the product of the following three factors:
(i) Factor 1. For FY 2014 and each subsequent fiscal year, a factor equal to the difference between:
(A) The most recently available estimates, as calculated by CMS' Office of the Actuary, of the aggregate amount of payments that would be made to such hospitals under paragraphs (a) through (e) of this section if paragraph (f) of this section did not apply for the fiscal year; and
(B) The most recently available estimates, as calculated by CMS' Office of the Actuary, of the aggregate amount of payments that are made to such hospitals pursuant to paragraph (f) of this section for the fiscal year.
(ii) Factor 2. For each of fiscal years 2014, 2015, 2016, and 2017, a factor equal to 1 minus the percent change in the percent of individuals under the age of 65 who are uninsured (and subtracting from the factor 0.1 percentage point for fiscal year 2014 and 0.2 percentage point for each of fiscal years 2015, 2016, and 2017), as determined by comparing:
(A) 18 percent, the percent of such individuals who are uninsured in 2013, based on the March 20, 2010 estimate of the “Insured Share of the Nonelderly Population Including All Residents” by the Congressional Budget Office; and
(B) The percent of such individuals who are uninsured in the applicable fiscal year, based on the most recent estimate of the “Insured Share of the Nonelderly Population Including All Residents” by the Congressional Budget Office available at the time of development of the annual final rule for the hospital inpatient prospective payment system.
(iii) Factor 3. A factor equal to the percent, for each inpatient prospective payment system hospital, that represents the quotient of:
(A) The amount of uncompensated care for such hospital as estimated by CMS.
(B) The aggregate amount of uncompensated care as estimated by CMS for all hospitals that are estimated to receive a payment under this section.
(C) For fiscal year 2014, CMS will base its estimates of the amount of hospital uncompensated care on the most recent available data on utilization for Medicaid and Medicare SSI patients, as determined by CMS in accordance with paragraphs (b)(2)(i) and (b)(4) of this section.
(iv) The final values for each of the three factors are determined for each fiscal year at the time of development of the annual final rule for the hospital inpatient prospective payment system, and these values are used for both interim and final payment determinations.
(2) Preclusion of administrative and judicial review. There is no administrative or judicial review under sections 1869 or 1878 of the Act, or otherwise, of the following:
(i) Any estimate of the Secretary for the purpose of determining the factors in paragraph (g)(1) of this section; and
(ii) Any period selected by the Secretary for such purposes.
(h) Manner and timing of payments. (1) Interim payments are made during the payment year to each hospital that is estimated to be eligible for payments under this section at the time of the annual final rule for the hospital inpatient prospective payment system, subject to the final determination of eligibility at the time of cost report settlement for each hospital.
(2) Final payment determinations are made at the time of cost report settlement, based on the final determination of each hospital's eligibility for payment under this section.
§ 412.108 [Amended]
7.Section 412.108 is amended by—
a. In paragraph (a)(1) introductory text, removing the phrase “before October 1, 2012” and adding in its place the phrase “before October 1, 2013”.
b. In paragraph (c)(2)(iii) introductory text, removing the phrase “before October 1, 2012” and adding in its place the phrase “before October 1, 2013”.
8.Section 412.140 is amended by—
a. Revising the section heading.
b. Revising paragraph (a)(3) introductory text.
c. Revising paragraph (b).
d. Adding a new paragraph (f).
The revisions and addition read as follows:
§ 412.140 Participation, data submission, and validation requirements under the Hospital Inpatient Quality Reporting (IQR) Program.
(a) * * *
(3) Submit a completed Notice of Participation Form to CMS if the hospital is participating in the program for the first time, has previously withdrawn from the program and would like to participate again, or has received a new CMS Certification Number (CCN).
* * * * *
(b) Withdrawal from the Hospital IQR Program. CMS will accept Hospital IQR Program withdrawal forms from hospitals on or before—
(1) Prior to the FY 2016 payment determination, August 15 of the fiscal year preceding the fiscal year for which a Hospital IQR determination will be made.
(2) Beginning with the FY 2016 payment determination, May 15 of the fiscal year preceding the fiscal year for which a Hospital IQR payment determination will be made.
* * * * *
(f) Patient experience of care data (HCAHPS survey). HCAHPS is the Hospital Consumer Assessment of Healthcare Providers and Systems survey that measures patient experience of care after a recent hospital stay.
(1) Approved HCAHPS survey vendors and self-administering hospitals must fully comply with all HCAHPS oversight activities, including allowing CMS and its HCAHPS Project Team to perform site visits at the hospitals' and survey vendors' company locations.
(2) CMS approves an application for an entity to administer the HCAHPS survey as an approved HCAHPS survey vendor on behalf of one or more hospitals when an applicant has met the Minimum Survey Requirements and Rules of Participation that can be found on the official HCAHPS On-Line Web site, and agree to comply with the current survey administration protocols that can be found on the official HCAHPS On-Line Web site. An entity must be an approved HCAHPS survey vendor in order to administer and submit HCAHPS data to CMS on behalf of one or more hospitals.
9.Section 412.150 is amended by adding a new paragraph (c) to read as follows:
§ 412.150 Basis and scope of subpart.
* * * * *
(c) Section 1886(p) of the Act requires the Secretary to establish an adjustment to hospital payments for hospital-acquired conditions, or a Hospital- Acquired Condition Reduction Program, under which payments to applicable hospitals are adjusted to provide an incentive to reduce hospital-acquired conditions, effective for discharges beginning on October 1, 2014. The rules for determining the payment adjustment under the Hospital-Acquired Condition Reduction Program are specified in §§ 412.170 and 412.172.
10.Section 412.152 is amended by revising the definition of “Base operating DRG payment amount” to read as follows:
§ 412.152 Definitions for the Hospital Readmissions Reduction Program.
* * * * *
Base operating DRG payment amount is the wage-adjusted DRG operating payment plus any applicable new technology add-on payments under subpart F of this part. This amount is determined without regard to any payment adjustments under the Hospital Value-Based Purchasing Program, as specified under § 412.162. This amount does not include any additional payments for indirect medical education under § 412.105, the treatment of a disproportionate share of low-income patients under § 412.106, outliers under subpart F of this part, and a low volume of discharges under § 412.101. With respect to a sole community hospital that receives payments under § 412.92(d) or a Medicare-dependent, small rural hospital that receives payments under § 412.108(c) for FY 2013, this amount also does not include the difference between the hospital-specific payment rate and the Federal payment rate determined under subpart D of this part. With respect to a hospital that is paid under section 1814(b)(3) of the Act, this amount is an amount equal to the wage adjusted DRG payment amount plus new technology payments that would be paid to such hospitals, absent the provisions of section 1814(b)(3) of the Act.
* * * * *
11.Section 412.154 is amended by revising paragraph (d)(2) to read as follows:
§ 412.154 Payment adjustments under the Hospital Readmissions Reduction Program.
* * * * *
(d) * * *
(2)(i) Maryland's annual report to the Secretary and request for exemption from the Hospital Readmissions Reduction Program must be resubmitted and reconsidered annually.
(ii) Beginning with the FY 2015 program year—
(A) The State must submit a preliminary report to CMS no later than January 15 of each year for the Secretary to consider, through the annual proposed rule, its exemption from the Hospital Readmissions Reduction Program for the upcoming Federal fiscal year.
(B) The State must submit a final report to CMS no later than June 1 of each year for the Secretary to consider, through the annual final rule, its exemption from the Hospital Readmissions Reduction Program in the upcoming Federal fiscal year.
(C) The reports required under paragraphs (d)(2)(ii)(A) and (d)(2)(ii)(B) of this section must include information as specified by CMS.
* * * * *
12.Section 412.160 is amended by revising the definitions of “Achievement threshold” and “Benchmark” to read as follows:
§ 412.160 Definitions for the Hospital Value-Based Purchasing (VBP) Program.
* * * * *
Achievement threshold (or achievement performance standard) means the median (50th percentile) of hospital performance on a measure during a baseline period with respect to a fiscal year, for Hospital VBP Program measures other than the Medicare Spending per Beneficiary measure, and the median (50th percentile) of hospital performance on a measure during the performance period with respect to a fiscal year, for the Medicare Spending per Beneficiary measure.
* * * * *
Benchmark means the arithmetic mean of the top decile of hospital performance on a measure during the baseline period with respect to a fiscal year, for Hospital VBP Program measures other than the Medicare Spending per Beneficiary measure, and the arithmetic mean of the top decile of hospital performance on a measure during the performance period with respect to a fiscal year, for the Medicare Spending per Beneficiary measure.
* * * * *
13.An undesignated center heading and new §§ 412.170 and 412.172 are added under Subpart I to read as follows:
Payment Adjustments Under the Hospital-Acquired Condition Reduction Program Back to Top
§§ 412.170 Definitions for the Hospital-Acquired Condition Reduction Program.
As used in this section and § 412.172, the following definitions apply:
Applicable hospital is a hospital described in section 1886(d)(1)(B) of the Act (including a hospital in Maryland that is paid under the waiver under section 1814(b)(3) of the Act and that, absent the waiver specified by section 1814(b)(3) of the Act, would have been paid under the hospital inpatient prospective payment system) as long as the hospital meets the criteria specified under § 412.172(e).
Applicable period is, with respect to a fiscal year, the 2-year period (specified by the Secretary) from which data are collected in order to calculate the total hospital-acquired condition score under the Hospital-Acquired Condition Reduction Program.
Hospital-acquired condition is a condition as described in section 1886(d)(4)(D)(iv) of the Act and any other condition determined appropriate by the Secretary that an individual acquires during a stay in an applicable hospital, as determined by the Secretary.
§ 412.172 Payment adjustments under the Hospital-Acquired Condition Reduction Program.
(a) Scope. This section sets forth the requirements for determining the payment adjustments under the Hospital-Acquired Condition Reduction Program for hospitals that meet the criteria described under paragraph (e) of this section.
(b) Payment adjustment. With respect to all discharges from an applicable hospital occurring during FY 2015 or a subsequent year, the amount of payment under this section, or section 1814(b)(3) of the Act as applicable, for such discharges during the fiscal year will be equal to 99 percent of the amount of payment that would otherwise apply to these discharges under this section or section 1814(b)(3) of the Act (determined after the application of the payment adjustment under the Hospital Readmissions Reduction Program under § 412.154 and the adjustment made under the Hospital Value-Based Purchasing Program under § 412.162 and section 1814(l)(4) of the Act but without regard to section 1886(p) of the Act).
(c) Hospitals paid under section 1814(b)(3) of the Act (certain Maryland hospitals). CMS will determine whether to exempt Maryland hospitals that are paid under section 1814(b)(3) of the Act and not under the hospital inpatient prospective payment system from the application of the payment adjustments under this section. The State must submit an annual report to CMS that describes how a similar program to reduce hospital-acquired conditions in that State achieves or surpasses the measured results in terms of health outcomes and cost savings for the Hospital-Acquired Conditions Reduction Program as applied to hospitals described in section 1886(d)(1)(B) of the Act.
(1) CMS will establish criteria for evaluation of Maryland's annual report to determine whether the State will be exempted from the application of the payment adjustments under this section for a given fiscal year.
(2) Maryland's annual report and request for exemption from the Hospital-Acquired Condition Reduction Program must be resubmitted and reconsidered annually.
(d) Risk adjustment. In carrying out the provisions of paragraph (e) of this section, CMS will establish and apply an appropriate risk-adjustment methodology.
(e) Criteria for applicable hospitals. (1) General. With respect to a subsection (d) hospital, CMS will identify the top quartile of all subsection (d) hospitals with respect to hospital-acquired conditions as measured during the applicable period.
(2) Use of total hospital-acquired condition scores. CMS will use total hospital-acquired condition scores to identify applicable hospitals. CMS will identify the 25 percent of hospitals with the highest total scores.
(3) Methodology for calculating total hospital-acquired condition scores. CMS will calculate the total hospital-acquired condition scores by weighing the selected measures according to the established methodology.
(f) Reporting of hospital-specific information. CMS will make information available to the public regarding hospital-acquired condition rates of all hospitals under the Hospital-Acquired Condition Reduction Program.
(1) CMS will provide each hospital with confidential hospital-specific reports and discharge level information used in the calculation of its total hospital-acquired condition score.
(2) Hospitals will have a period of 30 days after the receipt of the information provided under paragraph (f)(1) of this section to review and submit corrections for the hospital-acquired condition domain score for each condition that is used to calculate the total score for the fiscal year.
(3) The administrative claims data used to calculate a hospital's total hospital-acquired condition score for a condition for a fiscal year are not subject to review and correction under paragraph (f)(2) of this section.
(4) CMS will post the total hospital-acquired condition score, the domain score, and the score on each measure for each hospital on the Hospital Compare Web site.
(g) Limitations on review. There is no administrative or judicial review under § 412.170 and this section for the following:
(1) The criteria describing applicable hospitals.
(2) The applicable period.
(3) The specification of hospital-acquired conditions.
(4) The provision of reports to hospitals and the information made available to the public.
14.Section 412.523 is amended by—
a. Revising the introductory text of paragraph (c)(3).
b. Adding paragraph (c)(3)(x).
c. Redesignating paragraph (c)(4) as paragraph (c)(5).
d. Adding a new paragraph (c)(4).
The additions read as follows:
§ 412.523 Methodology for calculating the Federal prospective payment rates.
* * * * *
(c) * * *
(3) Computation of the standard Federal rate. Subject to the provisions of paragraph (c)(4) of this section, the standard Federal rate is computed as follows:
* * * * *
(x) For long-term care hospital prospective payment system fiscal year beginning October 1, 2013, and ending September 30, 2014. The standard Federal rate for the long-term care hospital prospective payment system beginning October 1, 2013, and ending September 30, 2014, is the standard Federal rate for the previous long-term care hospital prospective payment system fiscal year updated by 1.7 percent, and further adjusted, as appropriate, as described in paragraph (d) of this section.
(4) For fiscal year 2014 and subsequent fiscal years—
(i) In the case of a long-term care hospital that does not submit quality reporting data to CMS in the form and manner and at a time specified by the Secretary, the annual update to the standard Federal rate specified in paragraph (c)(3) of this section is further reduced by 2.0 percentage points.
(ii) Any reduction of the annual update to the standard Federal rate under paragraph (c)(4)(i) of this section will apply only to the fiscal year involved and will not be taken into account in computing the annual update to the standard Federal rate for a subsequent fiscal year.
* * * * *
PART 413—PRINCIPLES OF REASONABLE COST REIMBURSEMENT; PAYMENT FOR END-STAGE RENAL DISEASE SERVICES; OPTIONAL PROSPECTIVELY DETERMINED PAYMENT RATES FOR SKILLED NURSING FACILITIES Back to Top
15.The authority for Part 413 continues to read as follows:
16.In § 413.78, amend paragraphs (g)(2) introductory text, (g)(2)(ii), (g)(2)(iii), (g)(3)(i), and (3)(ii) (two places), by removing the term “nonhospital” and adding “nonprovider” in its place.
PART 414—PAYMENT FOR PART B MEDICAL AND OTHER HEALTH SERVICES Back to Top
17.The authority for Part 414 continues to read as follows:
18.Subpart A is amended by adding § 414.5 to read as follows:
§ 414.5 Hospital services paid under Medicare Part B when a Part A hospital inpatient claim is denied because the inpatient admission was not reasonable and necessary, but hospital outpatient services would have been reasonable and necessary in treating the beneficiary.
(a) If a Medicare Part A claim for inpatient hospital services is denied because the inpatient admission was not reasonable and necessary, or if a hospital determines under § 482.30(d) of this chapter or § 485.641 of this chapter after a beneficiary is discharged that the beneficiary's inpatient admission was not reasonable and necessary, the hospital may be paid for any of the following Part B inpatient services that would have been reasonable and necessary if the beneficiary had been treated as a hospital outpatient rather than admitted as an inpatient, provided the beneficiary is enrolled in Medicare Part B:
(1) Services described in § 419.21(a) of this chapter that do not require an outpatient status.
(2) Physical therapy services, speech-language pathology services, and occupational therapy services.
(3) Ambulance services, as described in section 1861(v)(1)(U) of the Act, or, if applicable, the fee schedule established under section 1834(l) of Act.
(4) Except as provided in § 419.2(b)(11) of this chapter, prosthetic devices, prosthetics, prosthetic supplies, and orthotic devices.
(5) Except as provided in § 419.2(b)(10) of this chapter, durable medical equipment supplied by the hospital for the patient to take home.
(6) Clinical diagnostic laboratory services.
(7)(i) Effective December 8, 2003, screening mammography services; and
(ii) Effective January 1, 2005, diagnostic mammography services.
(8) Effective January 1, 2011, annual wellness visit providing personalized prevention plan services as defined in § 410.15 of this chapter.
(b) If a Medicare Part A claim for inpatient hospital services is denied because the inpatient admission was not reasonable and necessary, or if a hospital determines under § 482.30(d) of this chapter or § 485.641 of this chapter after a beneficiary is discharged that the beneficiary's inpatient admission was not reasonable and necessary, the hospital may be paid for hospital outpatient services described in § 412.2(c)(5), § 412.405, § 412.540, or § 412.604(f) of this chapter or § 413.40(c)(2) of this chapter that are furnished to the beneficiary prior to the point of inpatient admission (that is, the inpatient admission order).
(c) The claims for the Part B services filed under the circumstances described in this section must be filed in accordance with the time limits for filing claims specified in § 424.44(a) of this chapter.
PART 419—PROSPECTIVE PAYMENT SYSTEM FOR HOSPITAL OUTPATIENT DEPARTMENT SERVICES Back to Top
19.The authority citation for Part 419 continues to read as follows:
20.Section 419.21 is amended by revising the section heading to read as follows:
§ 419.21 Hospital services subject to the outpatient prospective payment system.
* * * * *
21.Section 419.22 is amended by—
a. Revising the section heading.
b. Revising paragraph (h).
c. In paragraph (j), removing the cross-reference “§ 419.22(b)(11)” and adding in its place “§ 419.2(b)(11)”.
d. Adding paragraph (u).
The revisions and addition read as follows:
§ 419.22 Hospital services excluded from payment under the hospital outpatient prospective payment system.
* * * * *
(h) Physical therapy services, speech-language pathology services, and occupational therapy services described in section 1833(a)(8) of the Act for which payment is made under the fee schedule described in section 1834(k) of the Act.
* * * * *
(u) Outpatient diabetes self-management training.
PART 424—CONDITIONS FOR MEDICARE PAYMENT Back to Top
22.The authority citation for Part 424 continues to read as follows:
23.Section 424.11 is amended by—
a. Revising paragraph (d).
b. In paragraph (e)(2), removing the cross-reference “§ 424.13(c)” and adding in its place “§ 424.13(d)”.
The revision reads as follows:
§ 424.11 General procedures.
* * * * *
(d) Timeliness. (1) The succeeding sections of this subpart also specify the timeframes for certification and for initial and subsequent recertifications.
(2) A hospital or SNF may provide for obtaining a certification or recertification earlier than required by these regulations or vary the timeframe (within the prescribed outer limits) for different diagnostic or clinical categories.
(3) Delayed certification and recertification statements are acceptable when there is a legitimate reason for delay. (For instance, the patient was unaware of his or her entitlement when he or she was treated.) Delayed certification and recertification statements must include an explanation of the reasons for the delay.
(4) A delayed certification may be included with one or more recertifications on a single signed statement.
(5) For all inpatient hospital or critical access hospital inpatient services, including inpatient psychiatric facility services, a delayed certification may not extend past discharge.
* * * * *
24.Section 424.13 is revised to read as follows:
§ 424.13 Requirements for inpatient services of hospitals other than inpatient psychiatric facilities.
(a) Content of certification and recertification. Certification begins with the order for inpatient admission. Medicare Part A pays for inpatient hospital services (other than inpatient psychiatric facility services) only if a physician certifies and recertifies the following:
(1) That the services were provided in accordance with § 412.3 of this chapter.
(2) The reasons for either—
(i) Hospitalization of the patient for inpatient medical treatment or medically required inpatient diagnostic study; or
(ii) Special or unusual services for cost outlier cases (under the prospective payment system set forth in subpart F of Part 412 of this chapter).
(3) The estimated time the patient will need to remain in the hospital.
(4) The plans for posthospital care, if appropriate.
(b) Timing of certification. For all hospital inpatient admissions, the certification must be completed, signed, and documented in the medical record prior to discharge. For outlier cases under subpart F of Part 412 of this chapter that are not subject to the PPS, the certification must be signed and documented in the medical record and as specified in paragraphs (e) through (h) of this section.
(c) Certification of need for hospitalization when a SNF bed is not available. (1) The physician may certify or recertify need for continued hospitalization if he or she finds that the patient could receive proper treatment in a SNF but no bed is available in a participating SNF.
(2) If this is the basis for the physician's certification or recertification, the required statement must so indicate; and the certifying physician is expected to continue efforts to place the patient in a participating SNF as soon as a bed becomes available.
(d) Signatures.—(1) Basic rule. Except as specified in paragraph (d)(2) of this section, certifications and recertifications must be signed by the physician responsible for the case, or by another physician who has knowledge of the case and who is authorized to do so by the responsible physician or by the hospital's medical staff.
(2) Exception. If the intermediary requests certification of the need to admit a patient in connection with dental procedures, because his or her underlying medical condition and clinical status or the severity of the dental procedures require hospitalization, that certification may be signed by the dentist caring for the patient.
(e) Timing of certifications and recertifications: Outlier cases not subject to the prospective payment system (PPS).
(1) For outlier cases that are not subject to the PPS, certification is required no later than as of the 12th day of hospitalization. A hospital may, at its option, provide for the certification to be made earlier, or it may vary the timing of the certification within the 12-day period by diagnostic or clinical categories.
(2) The first recertification is required no later than as of the 18th day of hospitalization.
(3) Subsequent recertifications are required at intervals established by the UR committee (on a case-by-case basis if it so chooses), but no less frequently than every 30 days.
(f) Timing of certification and recertification: Outlier cases subject to PPS. For outlier cases subject to the PPS, certification is required as follows:
(1) For day outlier cases, certification is required no later than 1 day after the hospital reasonably assumes that the case meets the outlier criteria, established in accordance with § 412.80(a)(1)(i) of this chapter, or no later than 20 days into the hospital stay, whichever is earlier. The first and subsequent recertifications are required at intervals established by the UR committee (on a case-by-case basis if it so chooses) but not less frequently than every 30 days.
(2) For cost outlier cases, certification is required no later than the date on which the hospital requests cost outlier payment or 20 days into the hospital stay, whichever is earlier. If possible, certification must be made before the hospital incurs costs for which it will seek cost outlier payment. In cost outlier cases, the first and subsequent recertifications are required at intervals established by the UR committee (on a case-by-case basis if it so chooses).
(g) Recertification requirement fulfilled by utilization review. (1) At the hospital's option, extended stay review by its UR committee may take the place of the second and subsequent recertifications required for outlier cases not subject to PPS and for PPS day-outlier cases.
(2) A utilization review that is used to fulfill the recertification requirement is considered timely if performed no later than the seventh day after the day the recertification would have been required. The next recertification would need to be made no later than the 30th day following such review; if review by the UR committee took the place of this recertification, the review could be performed as late as the seventh day following the 30th day.
(h) Description of procedures. The hospital must have available on file a written description that specifies the time schedule for certifications and recertifications, and indicates whether utilization review of long-stay cases fulfills the requirement for second and subsequent recertifications of all outlier cases not subject to PPS and of PPS day outlier cases.
25.Section 424.14 is amended by revising paragraphs (a), (b), (d)(1), and (e) to read as follows:
§ 424.14 Requirements for inpatient services of inpatient psychiatric facilities.
(a) Requirements for certification and recertification: General considerations. Certification begins with the order for inpatient admission. The content requirements differ from those for other hospitals because the care furnished in inpatient psychiatric facilities is often purely custodial and thus not covered under Medicare. The purpose of the statements, therefore, is to help ensure that Medicare pays only for services of the type appropriate for Medicare coverage. Accordingly, Medicare Part A pays for inpatient services in an inpatient psychiatric facility only if a physician certifies and recertifies the need for services consistent with the requirements of this section, as appropriate.
(b) Content of certification. The physician must certify—
(1) That inpatient psychiatric services were required for treatment that could reasonably be expected to improve the patient's condition, or for diagnostic study.
(2) That the inpatient psychiatric services were provided in accordance with § 412.3 of this chapter.
* * * * *
(d) * * *
(1) Certification is required at the time of admission or as soon thereafter as is reasonable and practicable, and must be completed and documented in the medical record prior to discharge.
* * * * *
(e) Other requirements. Inpatient psychiatric facilities must also meet the requirements set forth in § 424.13(c), (d), (g), and (h).
26.Section 424.15 is revised to read as follows:
§ 424.15 Requirements for inpatient CAH services.
(a) Medicare Part A pays for inpatient CAH services only if a physician certifies that the individual may reasonably be expected to be discharged or transferred to a hospital within 96 hours after admission to the CAH, and that the services are provided in accordance with § 412.3 of this chapter.
(b) Certification begins with the order for inpatient admission. The certification must be completed, signed, and documented in the medical record prior to discharge.
§ 424.16 [Amended]
27.In § 424.16, paragraph (a) is amended by removing the reference “§ 424.13(e)” and adding it its place “subpart B of this Part”.
PART 482—CONDITIONS OF PARTICIPATION FOR HOSPITALS Back to Top
28.The authority citation for Part 482 continues to read as follows:
29.Section 482.23 is amended by revising paragraph (c)(3) to read as follows:
§ 482.23 Condition of participation: Nursing services.
* * * * *
(c) * * *
(3) With the exception of influenza and pneumococcal vaccines, which may be administered per physician-approved hospital policy after an assessment of contraindications, orders for drugs and biologicals must be documented and signed by a practitioner who is authorized to write orders in accordance with State law and hospital policy, and who is responsible for the care of the patient as specified under § 482.12(c).
* * * * *
PART 485—CONDITIONS OF PARTICIPATION: SPECIALIZED PROVIDERS Back to Top
30.The authority citation for Part 485 continues to read as follows:
31.Section 485.620 is amended by revising paragraph (a) to read as follows:
§ 485.620 Condition of participation: Number of beds and length of stay.
(a) Standard: Number of beds. Except as permitted for CAHs having distinct part units under § 485.647, the CAH maintains no more than 25 inpatient beds. Inpatient beds may be used for either inpatient or swing-bed services.
* * * * *
32.Section 485.635 is amended by revising paragraphs (a)(3)(vii), (b)(1), and (c)(1) to read as follows:
§ 485.635 Condition of participation: Provision of services.
(a) * * *
(3) * * *
(vii) Procedures that ensure that the nutritional needs of inpatients are met in accordance with recognized dietary practices and the orders of the practitioner responsible for the care of the patients, and that the requirement of § 483.25(i) of this chapter is met with respect to inpatients receiving posthospital SNF care.
* * * * *
(b) * * *
(1) General: (i) The CAH provides those diagnostic and therapeutic services and supplies that are commonly furnished in a physician's office or at another entry point into the health care delivery system, such as a low intensity hospital outpatient department or emergency department. These CAH services include medical history, physical examination, specimen collection, assessment of health status, and treatment for a variety of medical conditions.
(ii) The CAH furnishes acute care inpatient services.
* * * * *
(c) * * *
(1) The CAH has agreements or arrangements (as appropriate) with one or more providers or suppliers participating under Medicare to furnish other services to its patients, including—
(i) Services of doctors of medicine or osteopathy;
(ii) Additional or specialized diagnostic and clinical laboratory services that are not available at the CAH; and
(iii) Food and other services to meet inpatients' nutritional needs to the extent these services are not provided directly by the CAH.
* * * * *
PART 489—PROVIDER AGREEMENTS AND SUPPLIER APPROVAL Back to Top
33.The authority citation for Part 489 continues to read as follows:
34.The paragraph heading of § 489.24(f) is revised to read as follows:
§ 489.24 Special responsibilities of Medicare hospitals in emergency cases.
* * * * *
(f) Recipient hospital responsibilities.* * *
* * * * *
(Catalog of Federal Domestic Assistance Program No. 93.773, Medicare—Hospital Insurance; Program No. 93.774, Medicare—Supplementary Medical Insurance Program; and Program No. 93.778, Medical Assistance)
Dated: July 29, 2013.
Marilyn Tavenner,
Administrator, Centers for Medicare & Medicaid Services.
Dated: July 30, 2013.
Kathleen Sebelius,
Secretary, Department of Health and Human Services.
Note:
The following Addendum and Appendixes will not appear in the Code of Federal Regulations.
Addendum—Schedule of Standardized Amounts, Update Factors, and Rate-of-Increase Percentages Effective With Cost Reporting Periods Beginning On or After October 1, 2013 and Payment Rates for LTCHs Effective for Discharges Occurring On or After October 1, 2013
I. Summary and Background Back to Top
In this Addendum, we are setting forth a description of the methods and data we used to determine the prospective payment rates for Medicare hospital inpatient operating costs and Medicare hospital inpatient capital-related costs for FY 2014 for acute care hospitals. We also are setting forth the rate-of-increase percentages for updating the target amounts for certain hospitals excluded from the IPPS for FY 2014. We note that, because certain hospitals excluded from the IPPS are paid on a reasonable cost basis subject to a rate-of-increase ceiling (and not by the IPPS), these hospitals are not affected by the figures for the standardized amounts, offsets, and budget neutrality factors. Therefore, in this final rule, we are establishing the rate-of-increase percentages for updating the target amounts for certain hospitals excluded from the IPPS that are effective for cost reporting periods beginning on or after October 1, 2013.
In addition, we are setting forth a description of the methods and data we used to determine the standard Federal rate that will be applicable to Medicare LTCHs for FY 2014.
In general, except for SCHs and hospitals located in Puerto Rico, for FY 2014, each hospital's payment per discharge under the IPPS is based on 100 percent of the Federal national rate, also known as the national adjusted standardized amount. This amount reflects the national average hospital cost per case from a base year, updated for inflation.
SCHs are paid based on whichever of the following rates yields the greatest aggregate payment: The Federal national rate (including, as finalized in section V.E.3. of the preamble to this final rule, uncompensated care payments under section 1886(r)(2) of the Act); the updated hospital-specific rate based on FY 1982 costs per discharge; the updated hospital-specific rate based on FY 1987 costs per discharge; the updated hospital-specific rate based on FY 1996 costs per discharge; or the updated hospital-specific rate based on FY 2006 costs per discharge.
We note that section 606 of the American Taxpayer Relief Act of 2012 (ATRA) extended the MDH program from the end of FY 2012 (that is, for discharges occurring before October 1, 2012) to the end of FY 2013 (that is, for discharges occurring before October 1, 2013). Under prior law, the MDH program was to be in effect through the end of FY 2012 only. Absent additional legislation further extending the MDH program, the MDH program will expire for discharges beginning in FY 2014. Therefore, due to the expiration of the MDH program beginning with FY 2014, we are not including hospitals that are currently MDHs (until October 1, 2013) in our update of the hospital-specific rates for FY 2014.
For hospitals located in Puerto Rico, the payment per discharge is based on the sum of 25 percent of an updated Puerto Rico-specific rate based on average costs per case of Puerto Rico hospitals for the base year and 75 percent of the Federal national rate. (We refer readers to section II.D.2. of this Addendum for a complete description.)
As discussed below in section II. of this Addendum, we are making changes in the determination of the prospective payment rates for Medicare inpatient operating costs for acute care hospitals for FY 2014. In section III. of this Addendum, we discuss our policy changes for determining the prospective payment rates for Medicare inpatient capital-related costs for FY 2014. In section IV. of this Addendum, we are setting forth our changes for determining the rate-of-increase limits for certain hospitals excluded from the IPPS for FY 2014. In section V. of this Addendum, we discuss policy changes for determining the standard Federal rate for LTCHs paid under the LTCH PPS for FY 2014. The tables to which we refer in the preamble of this final rule are listed in section VI. of this Addendum and are available via the Internet.
II. Changes to Prospective Payment Rates for Hospital Inpatient Operating Costs for Acute Care Hospitals for FY 2014 Back to Top
The basic methodology for determining prospective payment rates for hospital inpatient operating costs for acute care hospitals for FY 2005 and subsequent fiscal years is set forth under § 412.64. The basic methodology for determining the prospective payment rates for hospital inpatient operating costs for hospitals located in Puerto Rico for FY 2005 and subsequent fiscal years is set forth under §§ 412.211 and 412.212. Below we discuss the factors we are using for determining the prospective payment rates for FY 2014.
In summary, the standardized amounts set forth in Tables 1A, 1B, and 1C that are listed and published in section VI. of this Addendum (and available via the Internet) reflect—
- Equalization of the standardized amounts for urban and other areas at the level computed for large urban hospitals during FY 2004 and onward, as provided for under section 1886(d)(3)(A)(iv)(II) of the Act.
- The labor-related share that is applied to the standardized amounts and Puerto Rico-specific standardized amounts to give the hospital the highest payment, as provided for under sections 1886(d)(3)(E) and 1886(d)(9)(C)(iv) of the Act.
- An update of 1.7 percent for all areas (that is, the FY 2014 estimate of the market basket rate-of-increase of 2.5 percent less an adjustment of 0.5 percentage point for MFP and less 0.3 percentage point), as required by section 1886(b)(3)(B)(i) of the Act, as amended by sections 3401(a) and 10319(a) of the Affordable Care Act. For hospitals that fail to submit data, in a form and manner, and at the time, specified by the Secretary relating to the quality of inpatient care furnished by the hospital, pursuant to section 1886(b)(3)(B)(viii) of the Act, the update is −0.3 percent (that is, the FY 2014 estimate of the market basket rate-of-increase of 2.5 percent, less 2.0 percentage points for failure to submit data under the Hospital IQR Program, less an adjustment of 0.5 percentage point for MFP, and less 0.3 percentage point).
- An update of 1.7 percent to the Puerto Rico-specific standardized amount (that is, the FY 2014 estimate of the market basket rate-of-increase of 2.5 percent less an adjustment of 0.5 percentage point for MFP and less 0.3 percentage point), in accordance with section 1886(d)(9)(C)(i) of the Act, as amended by section 401(c) of Public Law 108-173, which sets the update to the Puerto Rico-specific standardized amount equal to the applicable percentage increase set forth under section 1886(b)(3)(B)(i) of the Act.
- An adjustment to the standardized amount to ensure budget neutrality for DRG recalibration and reclassification, as provided for under section 1886(d)(4)(C)(iii) of the Act.
- An adjustment to ensure the wage index changes are budget neutral, as provided for under section 1886(d)(3)(E)(i) of the Act. We note that section 1886(d)(3)(E)(i) of the Act requires that when we compute such budget neutrality, we assume that the provisions of section 1886(d)(3)(E)(ii) of the Act (requiring a 62 percent labor-related share in certain circumstances) had not been enacted.
- An adjustment to ensure the effects of geographic reclassification are budget neutral, as provided for under section 1886(d)(8)(D) of the Act, by removing the FY 2013 budget neutrality factor and applying a revised factor.
- An adjustment to ensure the effects of the rural community hospital demonstration program required under section 410A of Public Law 108-173, as amended by sections 3123 and 10313 of Public Law 111-148, which extended the demonstration program for an additional 5 years, are budget neutral as required under section 410A(c)(2) of Public Law 108-173.
- An adjustment to remove the FY 2013 outlier offset and apply an offset for FY 2014, as provided for under section 1886(d)(3)(B) of the Act.
- As discussed below and in section II.D. of the preamble of this final rule, a recoupment to meet the requirements of section 631 of ATRA to adjust the standardized amount to offset the estimated amount of the increase in aggregate payments as a result of not completing the prospective adjustment authorized under section 7(b)(1)(A) of Public Law 110-90 until FY 2013.
- As discussed below and in section XI.C. of the preamble of this final rule, an adjustment to offset the cost of the policy on admission and medical review criteria for hospital inpatient services under Medicare Part A.
Beginning in FY 2008, we applied the budget neutrality adjustment for the rural floor to the hospital wage indices rather than the standardized amount. As we did for FY 2013, for FY 2014, consistent with current law, we are continuing to apply the rural floor budget neutrality adjustment to hospital wage indices rather than the standardized amount. Also, consistent with section 3141 of the Affordable Care Act, instead of applying a State level rural floor budget neutrality adjustment to the wage index, we are applying a uniform, national budget neutrality adjustment to the proposed FY 2014 wage index for the rural floor. We note that, in section III.G.2.b. of the preamble to this final rule, we are extending the imputed floor policy (both the original methodology and alternative methodology) for one additional year, through September 30, 2014.
Therefore, for this final rule, we are continuing to include the imputed floor (calculated under the original and alternative methodologies) in calculating the uniform, national rural floor budget neutrality adjustment, which will be reflected in the FY 2014 wage index.
A. Calculation of the Adjusted Standardized Amount
1. Standardization of Base-Year Costs or Target Amounts
In general, the national standardized amount is based on per discharge averages of adjusted hospital costs from a base period (section 1886(d)(2)(A) of the Act), updated and otherwise adjusted in accordance with the provisions of section 1886(d) of the Act. For Puerto Rico hospitals, the Puerto Rico-specific standardized amount is based on per discharge averages of adjusted target amounts from a base period (section 1886(d)(9)(B)(i) of the Act), updated and otherwise adjusted in accordance with the provisions of section 1886(d)(9) of the Act. The September 1, 1983 interim final rule (48 FR 39763) contained a detailed explanation of how base-year cost data (from cost reporting periods ending during FY 1981) were established for urban and rural hospitals in the initial development of standardized amounts for the IPPS. The September 1, 1987 final rule (52 FR 33043 and 33066) contains a detailed explanation of how the target amounts were determined and how they are used in computing the Puerto Rico rates.
Sections 1886(d)(2)(B) and 1886(d)(2)(C) of the Act require us to update base-year per discharge costs for FY 1984 and then standardize the cost data in order to remove the effects of certain sources of cost variations among hospitals. These effects include case-mix, differences in area wage levels, cost-of-living adjustments for Alaska and Hawaii, IME costs, and costs to hospitals serving a disproportionate share of low-income patients.
In accordance with section 1886(d)(3)(E) of the Act, the Secretary estimates, from time-to-time, the proportion of hospitals' costs that are attributable to wages and wage-related costs. In general, the standardized amount is divided into labor-related and nonlabor-related amounts; only the proportion considered to be the labor-related amount is adjusted by the wage index. Section 1886(d)(3)(E) of the Act requires that 62 percent of the standardized amount be adjusted by the wage index, unless doing so would result in lower payments to a hospital than would otherwise be made. (Section 1886(d)(9)(C)(iv)(II) of the Act extends this provision to the labor-related share for hospitals located in Puerto Rico.)
For FY 2014, we are rebasing and revising the national and Puerto Rico-specific labor-related and nonlabor-related shares from the percentages established for FY 2013. Specifically, under section 1886(d)(3)(E) of the Act, the Secretary estimates from time to time the proportion of payments that are labor-related: “The Secretary shall adjust the proportion, (as estimated by the Secretary from time to time) of hospitals' costs which are attributable to wages and wage-related costs, of the DRG prospective payment rates. . . .” We refer to the proportion of hospitals' costs that are attributable to wages and wage-related costs as the “labor-related share.” For FY 2014, as discussed in section IV.B.4. of the preamble of this final rule, we are establishing a labor-related share of 69.6 percent for the national standardized amounts and 63.2 percent for the Puerto Rico-specific standardized amount. Consistent with section 1886(d)(3)(E) of the Act, we are applying the wage index to a labor-related share of 62 percent for all IPPS hospitals whose wage index values are less than or equal to 1.0000. For all IPPS hospitals whose wage indices are greater than 1.0000, we are applying the wage index to a labor-related share of 69.6 percent of the national standardized amount. For FY 2014, all Puerto Rico hospitals have a wage index less than 1.0 because the average hourly rate of every hospital in Puerto Rico divided by the national average hourly rate (the sum of all salaries and hours for all hospitals in the 50 United States and Puerto Rico) results in a wage index below 1.0000. Therefore, the national labor-related share will be 62 percent because the wage index for all Puerto Rico hospitals is less than 1.0.
When we divide the average hourly rate of every hospital in Puerto Rico by the Puerto Rico-Specific national average hourly rate (the sum of all salaries and hours for all hospitals only in Puerto Rico), we determine a Puerto Rico Specific wage index above or below 1.0000, depending on the hospital. For hospitals located in Puerto Rico, we are applying a labor-related share of 63.2 percent if its Puerto Rico-specific wage index is greater than 1.0000. For hospitals located in Puerto Rico whose Puerto-Rico specific wage index values are less than or equal to 1.0000, we are applying a labor share of 62 percent.
The standardized amounts for operating costs appear in Tables 1A, 1B, and 1C that are listed and published in section VI. of the Addendum to this final rule and are available via the Internet.
2. Computing the Average Standardized Amount
Section 1886(d)(3)(A)(iv)(II) of the Act requires that, beginning with FY 2004 and thereafter, an equal standardized amount be computed for all hospitals at the level computed for large urban hospitals during FY 2003, updated by the applicable percentage update. Section 1886(d)(9)(A)(ii)(II) of the Act equalizes the Puerto Rico-specific urban and rural area rates. Accordingly, we are calculating the FY 2014 national standardized amount and Puerto Rico-specific rate irrespective of whether a hospital is located in an urban or rural location.
3. Updating the Average Standardized Amount
Section 1886(b)(3)(B) of the Act specifies the applicable percentage increase used to update the standardized amount for payment for inpatient hospital operating costs. We note that, in compliance with section 404 of the MMA, in this final rule, we are replacing the FY 2006-based IPPS operating and capital market baskets with the revised and rebased FY 2010-based IPPS operating and capital market baskets for FY 2014. As discussed in section V.A. of the preamble of this final rule, in accordance with section 1886(b)(3)(B) of the Act, as amended by section 3401(a) of the Affordable Care Act, we are reducing the FY 2014 applicable percentage increase (which is based on IHS Global Insight, Inc.'s (IGI's) second quarter 2013 forecast of the FY 2010-based IPPS market basket) by the MFP adjustment (the 10-year moving average of MFP for the period ending FY 2014) of 0.5 percent, which is calculated based on IGI's second quarter 2013 forecast.
In addition, in accordance with section 1886(b)(3)(B)(i) of the Act, as amended by sections 3401(a) and 10319(a) of the Affordable Care Act, we are further updating the standardized amount for FY 2014 by the estimated market basket percentage increase less 0.3 percentage point for hospitals in all areas. Sections 1886(b)(3)(B)(xi) and (xii) of Act, as added and amended by sections 3401(a) and 10319(a) of the Affordable Care Act, further state that these adjustments may result in the applicable percentage increase being less than zero. The percentage increase in the market basket reflects the average change in the price of goods and services comprising routine, ancillary, and special care unit hospital inpatient services. Based on IGI's 2013 second quarter forecast of the hospital market basket increase (as discussed in Appendix B of this final rule), the most recent forecast of the hospital market basket increase for FY 2014 is 2.5 percent. Therefore, for FY 2014, the update to the average standardized amount is 1.7 percent for hospitals in all areas (that is, the FY 2014 estimate of the market basket rate-of-increase of 2.5 percent less an adjustment of 0.5 percentage point for MFP and less 0.3 percentage point). For hospitals that do not submit quality data pursuant to section 1886(b)(3)(B)(viii) of the Act, the estimated update to the operating standardized amount is -0.3 percent (that is, the FY 2014 estimate of the market basket rate-of-increase of 2.5 percent, less 2.0 percentage points for failure to submit data under the Hospital IQR Program, less an adjustment of 0.5 percentage point for MFP, and less 0.3 percentage point). The standardized amounts in Tables 1A through 1C that are published in section VI. of this Addendum and that are available via the Internet reflect these differential amounts.
Section 401(c) of Public Law 108-173 amended section 1886(d)(9)(C)(i) of the Act and states that, for discharges occurring in a fiscal year (beginning with FY 2004), the Secretary shall compute an average standardized amount for hospitals located in any area of Puerto Rico that is equal to the average standardized amount computed under subclause (I) for FY 2003 for hospitals in a large urban area (or, beginning with FY 2005, for all hospitals in the previous fiscal year) increased by the applicable percentage increase under subsection (b)(3)(B) for the fiscal year involved. Therefore, the update to the Puerto Rico-specific operating standardized amount is subject to the applicable percentage increase set forth under section 1886(b)(3)(B)(i) of the Act, as amended by sections 3401(a) and 10319(a) of the Affordable Care Act (that is, the same update factor as for all other hospitals subject to the IPPS). Accordingly, we are establishing an applicable percentage increase to the Puerto Rico-specific standardized amount of 1.7 percent.
Although the update factors for FY 2014 are set by law, we are required by section 1886(e)(4) of the Act to recommend, taking into account MedPAC's recommendations, appropriate update factors for FY 2014 for both IPPS hospitals and hospitals and hospital units excluded from the IPPS. Section 1886(e)(5)(A) of the Act requires that we publish our proposed recommendations in the Federal Register for public comment. Our recommendation on the update factors is set forth in Appendix B of this final rule.
4. Other Adjustments to the Average Standardized Amount
As in the past, we are adjusting the FY 2014 standardized amount to remove the effects of the FY 2013 geographic reclassifications and outlier payments before applying the FY 2014 updates. We then apply budget neutrality offsets for outliers and geographic reclassifications to the standardized amount based on FY 2014 payment policies.
We do not remove the prior year's budget neutrality adjustments for reclassification and recalibration of the DRG relative weights and for updated wage data because, in accordance with sections 1886(d)(4)(C)(iii) and 1886(d)(3)(E) of the Act, estimated aggregate payments after updates in the DRG relative weights and wage index should equal estimated aggregate payments prior to the changes. If we removed the prior year's adjustment, we would not satisfy these conditions.
Budget neutrality is determined by comparing aggregate IPPS payments before and after making changes that are required to be budget neutral (for example, changes to MS-DRG classifications, recalibration of the MS-DRG relative weights, updates to the wage index, and different geographic reclassifications). We include outlier payments in the simulations because they may be affected by changes in these parameters.
In order to appropriately estimate aggregate payments in our modeling, we make several inclusions and exclusions so that the appropriate universe of claims and charges are included. We discuss IME Medicare Advantage payment amounts, fee-for-service only claims, and charges for anti-hemophilic blood factor and organ acquisition below.
First, consistent with our methodology established in the FY 2011 IPPS/LTCH PPS final rule (75 FR 50422 through 50433), because IME Medicare Advantage payments are made to IPPS hospitals under section 1886(d) of the Act, we believe these payments must be part of these budget neutrality calculations. However, we note that it is not necessary to include Medicare Advantage IME payments in the outlier threshold calculation or the outlier offset to the standardized amount because the statute requires that outlier payments be not less than 5 percent nor more than 6 percent of total “operating DRG payments,” which does not include IME and DSH payments. We refer readers to the FY 2011 IPPS/LTCH PPS final rule for a complete discussion on our methodology of identifying and adding the total Medicare Advantage IME payment amount to the budget neutrality adjustments.
Second, consistent with the methodology in the FY 2012 IPPS/LTCH PPS final rule, in order to ensure that we capture only fee-for-service claims, we are only including claims with a “Claim Type” of 60 (which is a field on the MedPAR file that indicates a claim is a fee-for-service claim).
Third, consistent with our methodology established in the FY 2011 IPPS/LTCH PPS final rule (75 FR 50422 through 50423), we examined the MedPAR file and removed pharmacy charges for anti-hemophilic blood factor (which are paid separately under the IPPS) with an indicator of “3” for blood clotting with a revenue code of “0636” from the covered charge field for the budget neutrality adjustments. We also removed organ acquisition charges from the covered charge field for the budget neutrality adjustments because organ acquisition is a pass-through payment not paid under the IPPS.
The Bundled Payments for Care Improvement (BPCI) initiative, developed under the authority of section 3021 of the Affordable Care Act (codified at section 1115A of the Act), is comprised of four broadly defined models of care, which link payments for multiple services beneficiaries receive during an episode of care. Under the BPCI initiative, organizations enter into payment arrangements that include financial and performance accountability for episodes of care. On January 31, 2013, CMS announced the health care organizations selected to participate in the BPCI initiative. For additional information on the BPCI initiative, we refer readers to the CMS Center for Medicare and Medicaid Innovation's Web site at: http://innovation.cms.gov/initiatives/Bundled-Payments/index.html.
In the FY 2013 IPPS/LTCH PPS final rule (77 FR 53341 through 53343), for FY 2013 and subsequent fiscal years, we finalized a methodology to treat hospitals that participate in the BPCI initiative the same as prior fiscal years for the IPPS payment modeling and rate setting process (which includes recalibration of the MS-DRG relative weights, ratesetting, calculation of the budget neutrality factors, and the impact analysis) without regard to a hospital's participation within these bundled payment models (that is, as if they are not participating in those models under the BPCI initiative). Therefore, for FY 2014, we are continuing to include all applicable data from subsection (d) hospitals participating in BPCI Models 1, 2, and 4 in our IPPS payment modeling and ratesetting calculations. We refer the reader to the FY 2013 IPPS/LTCH PPS final rule for a complete discussion on our final policy for the treatment of hospitals in the BPCI initiative in our ratesetting process.
The Affordable Care Act established the Hospital Readmissions Reduction Program and the Hospital VBP Program which adjust payments to certain IPPS hospitals beginning with discharges on or after October 1, 2012. Because the adjustments made under these programs affect the estimation of aggregate IPPS payments, in this final rule, consistent with our methodology established in the FY 2013 IPPS/LTCH PPS final rule (77 FR 53687 through 53688), we believe it is appropriate to include adjustments for these programs within our budget neutrality calculations. We discuss the treatment of these two programs in the context of budget neutrality adjustments below.
Section 1886(q) of the Act establishes the “Hospital Readmissions Reduction Program” effective for discharges from an “applicable hospital” beginning on or after October 1, 2012, under which payments to those hospitals under section 1886(d) of the Act are reduced to account for certain excess readmissions. Under the Hospital Readmissions Reduction Program, for discharges beginning on October 1, 2012 discharges from an “applicable hospital” are paid at an amount equal to the product of the “base operating DRG payment amount” and an “adjustment factor” that accounts for excess readmissions for the hospital for the fiscal year plus any applicable add-on payments. We refer readers to section V.G. of the preamble of this final rule for full details of our implementation of the Hospital Readmissions Reduction Program. We also note that the Hospital Readmissions Reduction Program provided for under section 1886(q) of the Act is not budget neutral.
Section 1886(o) of the Act requires the Secretary to establish a Hospital VBP Program under which, for discharges beginning on October 1, 2012, value-based incentive payments are made in a fiscal year to eligible subsection (d) hospitals that meet performance standards established for a performance period for that fiscal year. As specified under section 1886(o)(7)(B)(i) of the Act, these value-based incentive payments are funded by a reduction applied to each eligible hospital's base-operating DRG payment amount, for each discharge occurring in the fiscal year. As required by section 1886(o)(7)(A) of the Act, the total amount of allocated funds available for value-based incentive payments with respect to a fiscal year is equal to the total amount of base-operating DRG payment reductions, as estimated by the Secretary. In a given fiscal year, hospitals may earn a value-based incentive payment amount for a fiscal year that is greater than, equal to, or less than the reduction amount, based on their performance on quality measures under the Hospital VBP Program. Thus, the Hospital VBP Program is estimated to have no net effect on overall payments. We refer readers to section V.H. of the preamble of this final rule for full details regarding the Hospital VBP Program.
Both the hospital readmissions payment adjustment (reduction) and the hospital VBP payment adjustment (redistribution) are applied on a claim-by-claim basis by adjusting, as applicable, the base-operating DRG payment amount for individual subsection (d) hospitals, which affects the overall sum of aggregate payments on each side of the comparison within the budget neutrality calculations. For example, when we calculate the budget neutrality factor for MS-DRG reclassification and recalibration of the relative weights, we compare aggregate payments estimated using the prior year's GROUPER and relative weights to estimated payments using the new GROUPER and relative weights. (We refer readers to section II.4.a. of this Addendum for full details.) Other factors, such as the DSH and IME payment adjustments, are the same on both sides of the comparison because we are only seeking to ensure that aggregate payments do not increase or decrease as a result of the changes of MS-DRG reclassification and recalibration.
In order to properly determine aggregate payments on each side of the comparison, for FY 2014 and subsequent years, we are continuing to apply the hospital readmissions payment adjustment and the hospital VBP payment adjustment on each side of the comparison consistent with the methodology we adopted in the FY 2013 IPPS/LTCH PPS final rule (77 FR 53687 through 53688). That is, we are applying the readmissions payment adjustment factor and the hospital VBP payment adjustment factor on both sides of our comparison of aggregate payments when determining all budget neutrality factors described in section II.A.4. of this Addendum.
For the purpose of calculating the FY 2014 readmissions payment adjustment factors, we are using excess readmission ratios and aggregate payments for excess readmissions based on admissions from the prior fiscal year's applicable period because hospitals have had the opportunity to review and correct these data before the data were made public under the policy we adopted regarding the reporting of hospital-specific readmission rates, consistent with section 1886(q)(6) of the Act. For this final rule, we are calculating the readmissions payment adjustment factors using excess readmission ratios and aggregate payments for excess readmissions based on admissions from the finalized applicable period for FY 2014 as hospitals have had the opportunity to review and correct these data under our policy regarding the reporting of hospital-specific readmission rates consistent with section 1886(q)(6) of the Act. We discuss our policy regarding the reporting of hospital-specific readmission rates for FY 2014 in section V.G.3.f. of the preamble of this final rule. (For additional information on our general policy for the reporting of hospital-specific readmission rates, consistent with section 1886(q)(6) of the Act, we refer readers to the FY 2013 IPPS/LTCH PPS final rule (77 FR 53399 through 53400).)
In addition, for this final rule, for the purpose of modeling aggregate payments when determining all budget neutrality factors, we are using proxy hospital VBP payment adjustment factors for FY 2014 that are based on data from a historical period because hospitals have not yet had an opportunity to review and submit corrections for their data from the FY 2014 performance period. (For additional information on our policy regarding the review and correction of hospital-specific measure rates under the Hospital VBP Program, consistent with section 1886(o)(10)(A)(ii) of the Act, we refer readers to the FY 2013 IPPS/LTCH PPS final rule (77 FR 53578 through 53581), the CY 2012 OPPS/ASC final rule with comment period (76 FR 74544 through 74547), and the Hospital Inpatient VBP final rule (76 FR 26534 through 26536).)
The Affordable Care Act also establishes a new section 1886(r) of the Act that modifies the methodology for computing the Medicare DSH payment adjustment beginning in FY 2014. Beginning in FY 2014, IPPS hospitals receiving DSH payment adjustments will receive an empirically justified Medicare DSH payment of 25 percent of the amount they previously would have received under the current statutory formula under section 1886(d)(5)(F) of the Act for the Medicare DSH payment adjustment. In accordance with section 1886(r)(2) of the Act, the remaining amount, equal to an estimate of 75 percent of what otherwise would have been paid as Medicare DSH payments, reduced to reflect changes in the percentage of individuals under age 65 who are uninsured, will be available to make additional payments to Medicare DSH hospitals based on their share of the total amount of uncompensated care reported by Medicare DSH hospitals for a given time period. In order to properly determine aggregate payments on each side of the comparison for budget neutrality, prior to FY2014, we included estimated Medicare DSH payments on both sides of our comparison of aggregate payments when determining all budget neutrality factors described in section II.A.4. of this Addendum.
To do this for FY 2014 and subsequent years, we are including estimated empirically justified Medicare DSH payments that will be paid in accordance with section 1886(r)(1) of the Act and are also including estimates of the additional uncompensated care payments made to hospitals receiving Medicare DSH as described by section 1886(r)(2) of the Act. That is, we are considering estimated empirically justified Medicare DSH payments at 25 percent of what would otherwise be paid and also the estimated additional uncompensated care payments for hospitals receiving Medicare DSH on both sides of our comparison of aggregate payments when determining all budget neutrality factors described in section II.A.4. of this Addendum.
We note that, when calculating total payments for budget neutrality, to determine total payments for SCHs we model total hospital-specific rate payments and total federal rate payments and then include whichever one of the total payments are greater. As discussed in section V.E.3.f. of the preamble to this final rule and below, we are finalizing a methodology under which we will take into consideration uncompensated care payments in the comparison of payments under the Federal rate and the hospital-specific rate for SCHs. Therefore, we included estimated uncompensated care payments in this comparison.
a. Recalibration of MS-DRG Relative Weights and Updated Wage Index—Budget Neutrality Adjustment
Section 1886(d)(4)(C)(iii) of the Act specifies that, beginning in FY 1991, the annual DRG reclassification and recalibration of the relative weights must be made in a manner that ensures that aggregate payments to hospitals are not affected. As discussed in section II.H. of the preamble of this final rule, we normalized the recalibrated MS-DRG relative weights by an adjustment factor so that the average case relative weight after recalibration is equal to the average case relative weight prior to recalibration. However, equating the average case relative weight after recalibration to the average case relative weight before recalibration does not necessarily achieve budget neutrality with respect to aggregate payments to hospitals because payments to hospitals are affected by factors other than average case relative weight. Therefore, as we have done in past years, we are making a budget neutrality adjustment to ensure that the requirement of section 1886(d)(4)(C)(iii) of the Act is met.
Section 1886(d)(3)(E)(i) of the Act requires us to update the hospital wage index on an annual basis beginning October 1, 1993. This provision also requires us to make any updates or adjustments to the wage index in a manner that ensures that aggregate payments to hospitals are not affected by the change in the wage index. Section 1886(d)(3)(E)(i) of the Act requires that we implement the wage index adjustment in a budget neutral manner. However, section 1886(d)(3)(E)(ii) of the Act sets the labor-related share at 62 percent for hospitals with a wage index less than or equal to 1.0, and section 1886(d)(3)(E)(i) of the Act provides that the Secretary shall calculate the budget neutrality adjustment for the adjustments or updates made under that provision as if section 1886(d)(3)(E)(ii) of the Act had not been enacted. In other words, this section of the statute requires that we implement the updates to the wage index in a budget neutral manner, but that our budget neutrality adjustment should not take into account the requirement that we set the labor-related share for hospitals with wage indices less than or equal to 1.0 at the more advantageous level of 62 percent. Therefore, for purposes of this budget neutrality adjustment, section 1886(d)(3)(E)(i) of the Act prohibits us from taking into account the fact that hospitals with a wage index less than or equal to 1.0 are paid using a labor-related share of 62 percent. Consistent with current policy, for FY 2014, we are adjusting 100 percent of the wage index factor for occupational mix. We describe the occupational mix adjustment in section III.F. of the preamble of this final rule.
For FY 2014, to comply with the requirement that MS-DRG reclassification and recalibration of the relative weights be budget neutral for the Puerto Rico standardized amount and the hospital-specific rates, we used FY 2012 discharge data to simulate payments and compared aggregate payments using the FY 2013 labor-related share percentages, the FY 2013 relative weights, and the FY 2013 pre-reclassified wage data and applied the FY 2014 hospital readmissions payment adjustments and estimated FY 2014 hospital VBP payment adjustments to aggregate payments using the FY 2013 labor-related share percentages, the FY 2014 relative weights, and the FY 2013 pre-reclassified wage data and applied the same hospital readmissions payment adjustments and estimated hospital VBP payment adjustments. Based on this comparison, we computed a budget neutrality adjustment factor equal to 0.997989. As discussed in section IV. of this Addendum, we also are applying the MS-DRG reclassification and recalibration budget neutrality factor of 0.997989 to the hospital-specific rates that are effective for cost reporting periods beginning on or after October 1, 2013.
In order to meet the statutory requirements that we do not take into account the labor-related share of 62 percent when computing wage index budget neutrality, it was necessary to use a three-step process to comply with the requirements that MS-DRG reclassification and recalibration of the relative weights and the updated wage index and labor-related share have no effect on aggregate payments for IPPS hospitals. We first determined a MS-DRG reclassification and recalibration budget neutrality factor of 0.997989 (by using the same methodology described above to determine the MS-DRG reclassification and recalibration budget neutrality factor for the Puerto Rico standardized amount and hospital-specific rates). Secondly, to compute a budget neutrality factor for wage index and labor-related share changes, we used FY 2012 discharge data to simulate payments and compared aggregate payments using the FY 2014 relative weights and the FY 2013 pre-reclassified wage indices, applied the FY 2013 labor-related share of 68.8 percent to all hospitals (regardless of whether the hospital's wage index was above or below 1.0) and applied the FY 2014 hospital readmissions payment adjustment and the FY 2014 estimated hospital VBP payment adjustment when estimating aggregate payments using the FY 2014 relative weights and the FY 2014 pre-reclassified wage indices, applied the labor-related share for FY 2014 of 69.6 percent to all hospitals (regardless of whether the hospital's wage index was above or below 1.0), and applied the same FY 2014 hospital readmissions payment adjustments and estimated FY 2014 hospital VBP payment adjustments. In addition, we applied the MS-DRG reclassification and recalibration budget neutrality factor (derived in the first step) to the rates that were used to simulate payments for this comparison of aggregate payments from FY 2013 to FY 2014. By applying this methodology, we determined a budget neutrality factor of 0.999947 for changes to the wage index. Finally, we multiplied the MS-DRG reclassification and recalibration budget neutrality factor of 0.997989 (derived in the first step) by the budget neutrality factor of 0.999947 for changes to the wage index (derived in the second step) to determine the MS-DRG reclassification and recalibration and updated wage index budget neutrality factor of 0.997936.
b. Reclassified Hospitals—Budget Neutrality Adjustment
Section 1886(d)(8)(B) of the Act provides that certain rural hospitals are deemed urban. In addition, section 1886(d)(10) of the Act provides for the reclassification of hospitals based on determinations by the MGCRB. Under section 1886(d)(10) of the Act, a hospital may be reclassified for purposes of the wage index.
Under section 1886(d)(8)(D) of the Act, the Secretary is required to adjust the standardized amount to ensure that aggregate payments under the IPPS after implementation of the provisions of sections 1886(d)(8)(B) and (C) and 1886(d)(10) of the Act are equal to the aggregate prospective payments that would have been made absent these provisions. We note that the wage index adjustments provided for under section 1886(d)(13) of the Act are not budget neutral. Section 1886(d)(13)(H) of the Act provides that any increase in a wage index under section 1886(d)(13) shall not be taken into account in “applying any budget neutrality adjustment with respect to such index” under section 1886(d)(8)(D) of the Act. To calculate the budget neutrality factor for FY 2014, we used FY 2012 discharge data to simulate payments and compared total IPPS payments with FY 2014 relative weights, FY 2014 labor-related share percentages, and FY 2014 wage data prior to any reclassifications under sections 1886(d)(8)(B) and (C) and 1886(d)(10) of the Act and applied the FY 2014 hospital readmissions payment adjustments and the estimated FY 2014 hospital VBP payment adjustments to total IPPS payments with FY 2014 relative weights, FY 2014 labor-related share percentages, and FY 2014 wage data after such reclassifications and applied the same hospital readmissions payment adjustments and the estimated hospital VBP payment adjustments. Based on these simulations, we calculated an adjustment factor of 0.990718 to ensure that the effects of these provisions are budget neutral, consistent with the statute.
The FY 2014 budget neutrality adjustment factor was applied to the standardized amount after removing the effects of the FY 2013 budget neutrality adjustment factor. We note that the FY 2014 budget neutrality adjustment reflects FY 2014 wage index reclassifications approved by the MGCRB or the Administrator.
c. Rural Floor Budget Neutrality Adjustment
As noted above, as discussed in section III.G. 2.b. of the preamble of this final rule, in the FY 2012 IPPS/LTCH PPS final rule, we extended the imputed floor calculated under the original methodology through FY 2013 (76 FR 51594). In the FY 2013 IPPS/LTCH PPS final rule, we established an alternative methodology for calculating the imputed floor and established a policy that the minimum wage index value for an all-urban state would be the higher of the value determined under the original methodology or the value computed using the alternative methodology (77 FR 53368 through 53369). We make an adjustment to the wage index to ensure that aggregate payments to hospitals after implementation of the rural floor under section 4410 of the BBA (Pub.L. 105-33) and the imputed floor under § 412.64(h)(4) of the regulations are not affected. In addition, we note in section III.G.2.b. of the preamble of this final rule, we are extending the imputed floor using the higher of the value determined under the original methodology or the alternative methodology for FY 2014. Consistent with the methodology for treating the imputed floor, similar to the methodology we used in the FY 2013 IPPS/LTCH PPS final rule (77 FR 53368 through 53369), we included this alternative methodology for computing the imputed floor index in the calculation of the uniform, national rural floor budget neutrality adjustment for FY 2014. Also, consistent with section 3141 of the Affordable Care Act and as discussed in section III.G. of the preamble of this final rule, the budget neutrality adjustment for the rural and imputed floors is a national adjustment to the wage index.
Since FY 2012, there has been one hospital in rural Puerto Rico. Therefore, similar to our calculation in the FY 2012 IPPS/LTCH PPS final rule (76 FR 51593 and 51788) and the FY 2013 IPPS/LTCH PPS final rule (77 FR 53689), for FY 2014, we are calculating a national rural Puerto Rico wage index (used to adjust the labor-related share of the national standardized amount for hospitals located in Puerto Rico which receive 75 percent of the national standardized amount) and a rural Puerto Rico-specific wage index (which is used to adjust the labor-related share of the Puerto Rico-specific standardized amount for hospitals located in Puerto Rico that receive 25 percent of the Puerto Rico-specific standardized amount). Because this rural Puerto Rico hospital still has no established wage data, our calculation is based on the policy adopted in the FY 2008 IPPS final rule with comment period (72 FR 47323). A complete discussion regarding the computation of the rural Puerto Rico wage index can be found in the FY 2012 IPPS/LTCH PPS final rule (76 FR 51594).
To calculate the national rural floor and imputed floor budget neutrality adjustment factor and the Puerto Rico-specific rural floor budget neutrality adjustment factor, we used FY 2012 discharge data and FY 2014 post-reclassified national and Puerto Rico-specific wage indices to simulate IPPS payments. First, we compared the national and Puerto Rico-specific simulated payments without the national rural floor and imputed floor and Puerto Rico-specific rural floor applied to the national and Puerto Rico-specific simulated payments with the national rural floor and imputed floor and Puerto Rico-specific rural floor applied to determine the national rural budget neutrality adjustment factor of 0.990150 and the Puerto Rico-specific budget neutrality adjustment factor of 0.990897. The national adjustment was applied to the national wage indices to produce a national rural floor budget neutral wage index and the Puerto Rico-specific adjustment was applied to the Puerto Rico-specific wage indices to produce a Puerto Rico-specific rural floor budget neutral wage index.
Comment: Many commenters opposed the continued application of a nationwide rural floor budget neutrality adjustment. One commenter noted that, under the current rural floor policy, all hospitals in Massachusetts are eligible for the rural floor due to one rural hospital that results in an approximate 4.4 percent increase in payments for Massachusetts hospitals, which creates a disparity for other hospitals around the country. The commenter also noted that, under the rural floor policy, hospitals in Connecticut will receive an increase of approximately 4.9 percent in payments due to the rural floor. The commenters believed that a nationwide rural floor budget neutrality adjustment initiates a policy that unfairly skews Medicare payments, thus reducing payments to thousands of hospitals while benefiting less than 5 percent of hospitals. The commenter requested that CMS reverse this “misguided and harmful policy.” Another commenter noted that a change to the nationwide rural floor budget neutrality adjustment would require legislative action but urged CMS to “contemplate any and all other options within its authority to mitigate the impact of the policy or counter one state's attempt to manipulate the Medicare payment system.” Another commenter stated that hospitals nationwide are struggling with reduced payments and impending cuts and believed that “scarce funding should reward value and efficiency in health care and not be diverted based on artful manipulation of obscure payment formulas.”
Response: We thank the commenters for their comments and share the concerns of the commenters. Section 3141 of the Affordable Care Act (Pub. L. 111-148) requires that a national budget neutrality adjustment be applied in implementing the rural floor so CMS cannot change this policy. The commenter did not suggest any alternatives to contemplate to mitigate the impact of this policy and CMS does not believe that it currently has the authority to implement alternatives to mitigate the impact. Therefore, barring a legislative change by Congress, we are unable to change the rural floor budget neutrality adjustment from a national to statewide adjustment.
Comment: One commenter stated that “CMS should consider implementing a policy for both IPPS and OPPS that would result in only hospitals in rural areas being included in the statewide rural floor wage index used for urban hospitals in areas with wage indexes that are lower than the statewide rural wage index.” The commenter believed that such a policy would prevent urban hospitals from reclassifying to rural status simply to improve the rural wage index which might be used as a floor for urban hospitals in lower wage areas of a State. The commenter added that it believed that CMS has the regulatory authority to make such a policy change without the need for legislation.
Response: We thank the commenter for its comments. As the commenter requested, we will consider the commenter's suggestion in future rulemaking.
d. Case-Mix Budget Neutrality Adjustment
Below we summarize the recoupment adjustment to the FY 2014 payment rates, as required by section 631 of ATRA, to account for the increase in aggregate payments as a result of not completing the prospective adjustment authorized under section 7(b)(1)(A) of Public Law 110-90 until FY 2013. We refer readers to section II.D. of the preamble of this final rule for a complete discussion regarding our policies finalized in this final rule and previously finalized policies (including our historical adjustments to the payment rates) relating to the effect of changes in documentation and coding that do not reflect real changes in case-mix. We note that section II.D. of the preamble of this final rule also includes a discussion on documentation and coding effects that occurred through FY 2010, including the request for public comments in the FY 2014 IPPS/LTCH PPS proposed rule as to whether any portion of the proposed −0.8 percent recoupment adjustment discussed below should be reduced and instead applied as a prospective adjustment for the cumulative MS-DRG documentation and coding effect through FY 2010.
(1) Recoupment or Repayment Adjustment Authorized by Section 631 of the American Taxpayer Relief Act of 2012 (ATRA) to the National Standardized Amount
Section 631 of the ATRA amended section 7(b)(1)(B) of Public Law 110-90 to require the Secretary to make a recoupment adjustment totaling $11 billion by FY 2017. Our actuaries estimate that if CMS were to fully account for the $11 billion recoupment required by section 631 of ATRA in FY 2014, a onetime −9.3 percent adjustment to the standardized amount would be necessary. It is often our practice to delay or phase-in rate adjustments over more than 1 year, in order to moderate the effect on rates in any 1 year. Therefore, consistent with the policies that we have adopted in many similar cases, we are applying a −0.8 percent adjustment to the standardized amount in FY 2014. We note that, as section 631 of the ATRA instructs CMS to make a recoupment adjustment only to the standardized amount, this adjustment will not apply to the Puerto Rico-specific rate.
e. Adjustment to Offset the Cost of the Policy on Admission and Medical Review Criteria for Hospital Inpatient Services Under Medicare Part A
As discussed previously in section XI.C. of the preamble of this final rule, we are finalizing, as proposed, our proposal to revise our Part B inpatient billing policy to allow payment of all hospital services that were furnished and would have been reasonable and necessary if the beneficiary had been treated as an outpatient, rather than admitted to the hospital as an inpatient, except for those services specifically requiring an outpatient status. This policy will apply when CMS or a Medicare review contractor determines that the hospital admission was not reasonable and necessary or when a hospital determines after a beneficiary has been discharged that the beneficiary should have received hospital outpatient services rather than hospital inpatient services. We are also finalizing our policy to continue applying the timely filing restriction to the billing of all Part B inpatient services, under which claims for Part B services must be filed within 1 year from the date of service. As we discuss in section XI.C. of the preamble of this final rule, in addition to evaluating our policy related to Part B inpatient billing following denials of Part A inpatient claims on the basis that the inpatient admission was not reasonable and necessary or following self-audit, we also believe that it is important to provide more clarity regarding the relationship between inpatient admission decisions and Medicare payment. Toward that end, in section XI.C. of the preamble of this final rule, we are clarifying that a beneficiary becomes a hospital inpatient when formally admitted following the physician order for hospital inpatient admission, and will also clarify when we believe that hospital inpatient admissions are reasonable and necessary based on how long beneficiaries have spent, or are reasonably expected to spend, in the hospital as inpatients. Under our final policy, Medicare's external review contractors will presume that hospital inpatient admissions are reasonable and necessary for beneficiaries who require more than one Medicare utilization day (defined by encounters crossing 2 “midnights”) in the hospital receiving medically necessary services. Similarly, we will presume that generally services spanning less than 2 midnights should have been provided on an outpatient basis, unless there is clear physician documentation in the medical record supporting the physician's order and expectation that the beneficiary required an inpatient level of care. (For a complete discussion on our inpatient admission guidelines, including our time-based presumption of medical necessity for hospital inpatient services based on the beneficiary's length of stay as part of our medical review criteria for payment of hospital inpatient services under Medicare Part A, we refer readers to section XI.C. of this final rule.)
Our actuaries project a net increase in IPPS expenditures as a result of the policy that medical review of inpatient admissions will include a presumption that hospital inpatient admissions are reasonable and necessary for beneficiaries who require more than 1 Medicare utilization day (defined by encounters crossing 2 “midnights”) in the hospital receiving medically necessary services after inpatient admission, discussed in section XI.C. of the preamble of this final rule (as summarized above). These additional expenditures result from an expected net increase in hospital inpatient encounters due to some encounters spanning more than 2 midnights moving to the IPPS from the OPPS, and some encounters of less than 2 midnights moving from the IPPS to the OPPS. In making this projection, the actuaries analyzed Medicare claims data for extended hospital outpatient encounters and shorter stay hospital inpatient encounters, and estimated the number of encounters that are expected to shift from outpatient to inpatient and vice versa (that is, the number that are expected to shift from inpatient to outpatient). In section XI.C.4. of the preamble of this final rule, we discuss that our actuaries estimate that this projected net increase in inpatient encounters will increase IPPS expenditures by approximately $220 million. In light of the widespread impact on the IPPS of the policy and the systemic nature of the issue, we believe that it is appropriate to use our exceptions and adjustments authority under section 1886(d)(5)(I)(i) of the Act to offset the estimated $220 million in additional IPPS expenditures associated with this policy by reducing the national standardized amount, the Puerto Rico-specific standardized amount, and hospital-specific rates by 0.2 percent (or a 0.998 adjustment). We refer readers to section XI.C. of the preamble of this final rule for a complete discussion on this adjustment to offset the estimated cost of the time-based presumption of medical necessity for hospital inpatient services based on the beneficiary's length of stay as part of our medical review criteria for hospital inpatient services under Medicare Part A.
f. Rural Community Hospital Demonstration Program Adjustment
As discussed in section V.K. of the preamble of this final rule, section 410A of Public Law 108-173 originally required the Secretary to establish a demonstration program that modifies reimbursement for inpatient services for up to 15 small rural hospitals. Section 410A(c)(2) of Public Law 108-173 requires that “[i]n conducting the demonstration program under this section, the Secretary shall ensure that the aggregate payments made by the Secretary do not exceed the amount which the Secretary would have paid if the demonstration program under this section was not implemented.”
Sections 3123 and 10313 of the Affordable Care Act extended the demonstration program for an additional 5-year period, and allowed up to 30 hospitals to participate in 20 States with low population densities determined by the Secretary. (In determining which States to include in the expansion, the Secretary is required to use the same criteria and data that the Secretary used to determine the States for purposes of the initial 5-year period.) In the FY 2013 IPPS/LTCH PPS final rule (77 FR 53449 through 53453), in order to achieve budget neutrality, we adjusted the national IPPS rates by an amount sufficient to account for the added costs of this demonstration program as described in section IV.K. of that final rule. In other words, we applied budget neutrality across the payment system as a whole rather than merely across the participants of this demonstration program, consistent with past practice. We stated that we believe that the language of the statutory budget neutrality requirement permits the agency to implement the budget neutrality provision in this manner. The statutory language requires that “aggregate payments made by the Secretary do not exceed the amount which the Secretary would have paid if the demonstration . . . was not implemented,” but does not identify the range across which aggregate payments must be held equal.
For FY 2014, we are adjusting the national IPPS payment rates according to the same methodology that we used for FY 2013, as set forth in section V.K. of the preamble of this final rule, to account for the estimated additional costs of the demonstration program for FY 2014. For this final rule, the estimated amount of this adjustment to the national IPPS payment rates for FY 2014 is $46,549,861. We note that we proposed that if updated data became available prior to the publication of the FY 2014 IPPS/LTCH PPS final rule, we would use that data, to the extent appropriate, to estimate the costs of the demonstration program in FY 2014. Therefore, the estimated budget neutrality offset amount changed in this final rule to reflect the updated data.
In addition, we proposed that if settled cost reports for all of the demonstration hospitals that participated in the applicable fiscal year (2007, 2008, 2009 or 2010) were made available prior to the FY 2014 IPPS/LTCH PPS final rule, we would incorporate into the FY 2014 budget neutrality offset amount any additional amounts by which the final settled costs of the demonstration in any of these years (as described previously) exceeded the budget neutrality offset amount applicable to such year as finalized in the respective year's IPPS final rule. Because finalized cost reports for FY 2007 have become available since the publication of the proposed rule, we are including in the budget neutrality offset amount for FY 2014 the amount by which the final settled costs of the demonstration program for FY 2007 (as shown in the finalized cost reports for hospitals that participated in the demonstration program in FY 2007) exceeded the budget neutrality offset amount that was finalized in the FY 2007 IPPS final rule. This amount is $6,039,880.
Therefore, the total amount that will be applied to the FY 2014 national IPPS rates as an offset to account for the additional costs of the demonstration program is the sum of these two amounts—$52,589,741. Accordingly, using the most recent data available to account for the estimated costs of the demonstration program, for FY 2014, we computed a factor of 0.999415 for the rural community hospital demonstration program budget neutrality adjustment that will be applied to the IPPS standard Federal payment rate. We anticipate that finalized cost reports for FYs 2008, 2009, 2010, and 2011 will be available prior to the FY 2015 IPPS/LTCH PPS proposed rule.
g. Outlier Payments
Section 1886(d)(5)(A) of the Act provides for payments in addition to the basic prospective payments for “outlier” cases involving extraordinarily high costs. To qualify for outlier payments, a case must have costs greater than the sum of the prospective payment rate for the DRG, any IME and DSH payments, any new technology add-on payments, and the “outlier threshold” or “fixed-loss” amount (a dollar amount by which the costs of a case must exceed payments in order to qualify for an outlier payment). We refer to the sum of the prospective payment rate for the DRG, any IME and DSH payments, any new technology add-on payments, and the outlier threshold as the outlier “fixed-loss cost threshold.” To determine whether the costs of a case exceed the fixed-loss cost threshold, a hospital's CCR is applied to the total covered charges for the case to convert the charges to estimated costs. Payments for eligible cases are then made based on a marginal cost factor, which is a percentage of the estimated costs above the fixed-loss cost threshold. The marginal cost factor for FY 2014 is 80 percent, the same marginal cost factor we have used since FY 1995 (59 FR 45367).
In accordance with section 1886(d)(5)(A)(iv) of the Act, outlier payments for any year are projected to be not less than 5 percent nor more than 6 percent of total operating DRG payments (which does not include IME and DSH payments) plus outlier payments. When setting the outlier threshold, we compute the 5.1 percent target by dividing the total operating outlier payments by the total operating DRG payments plus outlier payments. We do not include any other payments such as IME and DSH within the outlier target amount. Therefore, it is not necessary to include Medicare Advantage IME payments in the outlier threshold calculation. Section 1886(d)(3)(B) of the Act requires the Secretary to reduce the average standardized amount by a factor to account for the estimated proportion of total DRG payments made to outlier cases. Similarly, section 1886(d)(9)(B)(iv) of the Act requires the Secretary to reduce the average standardized amount applicable to hospitals located in Puerto Rico to account for the estimated proportion of total DRG payments made to outlier cases. More information on outlier payments may be found on the CMS Web site at: http://www.cms.gov/Medicare/Medicare-Fee-for-Service-Payment/AcuteInpatientPPS/outlier.html.
(1) FY 2014 Outlier Fixed-Loss Cost Threshold
In the FY 2014 IPPS/LTCH PPS proposed rule, we stated that in the FY 2013 IPPS/LTCH PPS final rule (77 FR 53691 through 53696), we received comments from the public concerning our methodology for calculating the outlier threshold. Specifically, many commenters expressed concern that CMS is still not reaching the 5.1 percent target for outlier payments and believed there is still room for improvement. The commenters made various suggestions to improve the current methodology used to calculate the outlier threshold. In that final rule we responded that we appreciate the commenters providing multiple alternative methodologies to adjust the CCRs used in our outlier fixed-loss cost threshold. Due to the many options the commenters presented, we stated that the most prudent approach was to study the merits of each methodology and, if appropriate, make a proposal in the FY 2014 IPPS/LTCH PPS proposed rule if we believed that making a change to our current methodology would improve our methodology for projecting the outlier fixed-loss cost threshold. Since publication of the FY 2013 IPPS/LTCH PPS final rule, we have studied the merits of the commenters' suggestions to improve the outlier threshold methodology. In the proposed rule, we proposed the following outlier threshold methodology for FY 2014 with revisions from the prior fiscal year.
As we have done in the past, to calculate the proposed FY 2014 outlier threshold, we simulated payments by applying proposed FY 2014 payment rates and policies using cases from the FY 2012 MedPAR file. Therefore, in order to determine the proposed FY 2014 outlier threshold, we inflated the charges on the MedPAR claims by 2 years, from FY 2012 to FY 2014. Since FY 2005, we have used the same methodology to inflate charges. For FY 2014 and subsequent years, we proposed to further refine our current methodology which uses more recent data that reflect the rate-of-change in hospital charges under the new outlier policy. In the FY 2005 IPPS final rule (69 FR 49277), to compute the 1-year average annualized rate-of-change in charges per case, we stated that we were taking the unprecedented step of comparing the average charge per case from the most recent 6 month period of charge data available to the average charge per case from the same 6 month period from the prior year rather than using a full year of charge data. At that time, we noted that we adopted this methodology to calculate the outlier threshold for FY 2005 as a result of the special circumstances surrounding the revisions to the outlier payment methodology; specifically the exceptionally high rate of hospital charge inflation that was reflected in the data for FYs 2001, 2002, and 2003. We also noted that we would continue to consider other methodologies for determining charge inflation when calculating the outlier threshold in the future. We refer the reader to the FY 2005 IPPS final rule for a complete discussion on this methodology.
For FY 2014, if we had proposed to continue to use our current methodology that we adopted in FY 2005, we would have computed the 1-year average annualized rate-of-change in charges per case by comparing the last quarter of FY 2011 in combination with the first quarter of FY 2012 (July 1, 2011, through December 31, 2011) to the last quarter of FY 2012 in combination with the first quarter of FY 2013 (July 1, 2012, through December 31, 2012). This rate-of-change was 4.7 percent (1.046908) or 9.6 percent (1.096016) over 2 years. After 9 years of using the same methodology, the special circumstances of the exceptionally high rate of hospital charge inflation that was reflected in the data for FYs 2001, 2002, and 2003 may not be as applicable. We believe the policies that we implemented in the FY 2003 Outlier final rule (outlier reconciliation and no longer assigning the statewide average CCR for those hospitals that fall below a CCR floor) have helped control inflation of hospital charges.
Therefore, instead of comparing periods of the most recent 6 months of charge data, we proposed to adopt a new methodology to compare periods of 1-year of the most recent charge data in order to inflate charges. We stated that we believe a methodology that is based on 1-year of charge data will provide a more stable measure to project the average charge per case since a 6 month measure inherently uses fewer claims than a 1-year measure, which makes it more susceptible to fluctuations in the average charge per case as a result of any significant charge increases or decreases by hospitals. Under this new proposed methodology, to compute the 1-year average annualized rate-of-change in charges per case for FY 2014, we proposed to compare the second quarter of FY 2011 through the first quarter of FY 2012 (January 1, 2011, through December 31, 2011) to the second quarter of FY 2012 through the first quarter of FY 2013 (January 1, 2012, through December 31, 2012). This rate-of-change was 4.8 percent (1.048458) or 9.9 percent (1.099264) over 2 years.
Comment: Many commenters supported the use of the most recent 1-year period of charge data instead of the most recent 6 months of charge data to inflate charges.
Response: We appreciate the commenters' support and are finalizing, as proposed, the policy to use the most recent 1-year period of charge data for the reasons stated above. We refer readers to the discussion below for complete details concerning our final outlier threshold methodology.
As we have done in the past, we proposed to establish the proposed FY 2014 outlier threshold using hospital CCRs from the December 2012 update to the Provider-Specific File (PSF)—the most recent available data at the time of the proposed rule. For FY 2014, we also proposed to continue to apply an adjustment factor to the CCRs to account for cost and charge inflation (as explained below). In the FY 2007 IPPS final rule (71 FR 48150), we worked with the Office of Actuary to develop the current methodology used to adjust the CCRs. We have used this same methodology to adjust the CCRs from FY 2007 through FY 2013.
Over the years, many commenters have stated that our current methodology is unnecessary complicated. In addition, as mentioned above, in the FY 2013 IPPS/LTCH PPS final rule, commenters made various suggestions to improve the current methodology used to calculate the outlier threshold and we stated that we would study the merits of each methodology and, if appropriate, make a proposal in the FY 2014 IPPS/LTCH PPS proposed rule if we believe making a change to our current methodology would improve our projection of the outlier fixed-loss cost threshold. In that same final rule, some commenters suggested the use of historical CCR data from the PSF to compute a rate-of-change in CCRs. Under this approach, the commenters compared the national average case-weighted operating and capital CCR from the most recent update of the PSF to the national average case-weighted operating and capital CCR from the same period of the prior year. The commenters stated that although this adjustment would be based on 1 year's data, the commenters believed that the use of historical data to adjust the CCRs is consistent with CMS' estimation of charge inflation.
After reviewing the commenters' suggestion, we agree that the use of historical data to adjust the CCRs is simpler and is consistent with CMS' estimation of charge inflation.
Therefore, for FY 2014, we proposed to adjust the CCRs from the December 2012 update of the PSF by comparing the percentage change in the national average case-weighted operating CCR and capital CCR from the December 2011 update of the PSF to the national average case-weighted operating CCR and capital CCR from the December 2012 update of the PSF. We note that we used total transfer-adjusted cases from FY 2012 to determine the national average case-weighted CCRs for both sides of the comparison. We stated that we believe it is appropriate to use the same case count on both sides of the comparison as this will produce the true percentage change in the average case-weighted operating and capital CCR from one year to the next without any effect from a change in case count on different sides of the comparison.
Using the proposed methodology above, we calculated a December 2011 operating national average case-weighted CCR of 0.303178 and a December 2012 operating national average case-weighted CCR of 0.295049. We then calculated the percentage change between the two national operating case-weighted CCRs by subtracting the December 2011 operating national average case-weighted CCR from the December 2012 operating national average case-weighted CCR and then dividing by the December 2011 national operating average case-weighted CCR. This resulted in a national operating CCR adjustment factor of 0.973187.
We used the same methodology proposed above to also adjust the capital CCRs. Specifically, we calculated a December 2011 capital national average case-weighted CCR of 0.025994 and a December 2012 capital national average case-weighted CCR of 0.0249373. We then calculated the percentage change between the two national capital case-weighted CCRs by subtracting the December 2011 capital national average case-weighted CCR from the December 2012 capital national average case-weighted CCR and then dividing by the December 2011 capital national average case-weighted CCR. This resulted in a national capital CCR adjustment factor of 0.959337.
Consistent with our methodology in the past and as stated in the FY 2009 IPPS final rule (73 FR 48763), we stated that we continue to believe it is appropriate to apply only a 1-year adjustment factor to the CCRs. On average, it takes approximately 9 months for a fiscal intermediary or MAC to tentatively settle a cost report from the fiscal year end of a hospital's cost reporting period. The average “age” of hospitals' CCRs from the time the fiscal intermediary or the MAC inserts the CCR in the PSF until the beginning of FY 2009 is approximately 1 year. Therefore, as stated above, we believe a 1-year adjustment factor to the CCRs is appropriate.
Comment: One commenter matched the CCRs from the proposed rule impact file to the December 2012 PSF and found that 221 providers did not match. The commenter noted that it calculated a weighted mean deviation of −4.7 percent, which is greater than the historical average deviation from the years 2008 through 2013 which ranged from −0.3 percent to 3.4 percent. The commenter concluded that the −4.7 percent weighted mean deviation demonstrates that CMS used significantly outdated CCRs to make projections for the FY 2014 fixed-loss threshold. The commenter recommended that this error be rectified in the final rule, which will result in a substantially reduced threshold for the final rule. In addition, the commenter recommended that CMS use the most recently updated PSF file for the final rule.
Response: With regard to the commenter's finding 221 providers with CCRs from the proposed rule impact file that did not match the December 2012 PSF, we note that we apply the following edits to providers' CCRs in the PSF. We believe these edits are appropriate in order to accurately model the outlier threshold. We first search for Indian Health providers and those providers assigned the statewide average CCR from the current fiscal year. We then replace these CCRs with the statewide average CCR for the upcoming fiscal year. We also assign the statewide average CCR (for the upcoming fiscal year) to those providers that have no value in the CCR field in the PSF. We believe that the edits above are the reason why the commenter found 221 providers that had CCRs in the impact file that did not match the CCRs in the December 2012 PSF. With regard to the comment concerning the weighted mean deviation, we believe this measure can fluctuate depending on the pool of providers whose PSF CCR is replaced with the statewide average CCR for the upcoming fiscal year. We believe we have accurately calculated and applied these statewide average CCRs and will continue to monitor any large variances (to the weighted mean deviation) in the future. With regard to using the most recently updated PSF file for the final rule, we respond to a similar comment below.
Comment: Many commenters supported the proposed revised methodology to adjust hospital CCRs used in the calculation of the outlier fixed-loss cost threshold.
Response: We appreciate the commenters' support and are finalizing, as proposed, to use the methodology above to adjust hospital CCRs in the calculation of the outlier fixed-loss cost threshold.
As stated above, for FY 2014, we applied the proposed FY 2014 rates and policies using cases from the FY 2012 MedPAR files in calculating the proposed outlier threshold.
As discussed in section III.B.3. of the preamble to the FY 2011 IPPS/LTCH PPS final rule (75 FR 50160 and 50161) and in section III.G.3. of the preamble of this final rule, in accordance with section 10324(a) of the Affordable Care Act, beginning in FY 2011, we created a wage index floor of 1.00 for all hospitals located in States determined to be frontier States. We noted that the frontier State floor adjustments will be calculated and applied after rural and imputed floor budget neutrality adjustments are calculated for all labor market areas, in order to ensure that no hospital in a frontier State will receive a wage index lesser than 1.00 due to the rural and imputed floor adjustment. In accordance with section 10324(a) of the Affordable Care Act, the frontier State adjustment will not be subject to budget neutrality, and will only be extended to hospitals geographically located within a frontier State. However, for purposes of estimating the proposed outlier threshold for FY 2014, it was necessary to apply this provision by adjusting the wage index of those eligible hospitals in a frontier State when calculating the outlier threshold that results in outlier payments being 5.1 percent of total payments for FY 2014. If we did not take into account this provision, our estimate of total FY 2014 payments would be too low, and, as a result, our proposed outlier threshold would be too high, such that estimated outlier payments would be less than our projected 5.1 percent of total payments.
As we did in establishing the FY 2009 outlier threshold (73 FR 57891), in our projection of FY 2014 outlier payments, we proposed not to make any adjustments for the possibility that hospitals' CCRs and outlier payments may be reconciled upon cost report settlement. We stated that we continue to believe that, due to the policy implemented in the June 9, 2003 Outlier final rule (68 FR 34494), CCRs will no longer fluctuate significantly and, therefore, few hospitals will actually have these ratios reconciled upon cost report settlement. In addition, it is difficult to predict the specific hospitals that will have CCRs and outlier payments reconciled in any given year. We also noted that reconciliation occurs because hospitals' actual CCRs for the cost reporting period are different than the interim CCRs used to calculate outlier payments when a bill is processed. Our simulations assume that CCRs accurately measure hospital costs based on information available to us at the time we set the outlier threshold. For these reasons, we proposed not to make any assumptions about the effects of reconciliation on the outlier threshold calculation.
Comment: One commenter was concerned that CMS did not consider outlier reconciliation in the development of the outlier threshold. The commenter stated that CMS did not provide any objective data concerning the number of hospitals that have been subject to outlier reconciliation and the amounts recovered. The commenter further stated that, in February 2003, the Secretary signed an emergency interim final regulation that would have corrected the outlier threshold and included outlier reconciliation payments (in the calculation of the outlier threshold) but that rule was not issued because of objections from the Office of Management and Budget. The commenter asserted that if it was possible to account for outlier reconciliation payments at the initial implementation of the outlier reconciliation policy in the calculation of the threshold, it should be possible to do so 10 years later. The commenter also searched cost reports from the HCRIS database for the years 2003 through 2009 (Form CMS-2552-96) and, based on these data, provided its estimate of the annual amounts recovered by CMS through reconciliation which totaled $85,797,699. The commenter believed that these data can be used to provide a baseline and trend information to assess whether outlier reconciliation is a significant factor to be considered in the development of the outlier threshold. The commenter noted that it was unable to extract outlier reconciliation payment information from cost reports filed under Form CMS-2552-10; the commenter was puzzled as to why this data was not being captured. The commenter also requested that CMS disclose in the final rule and future rulemaking the amount CMS has recovered through reconciliation by year.
Response: We received a similar comment in response to the policies presented in last year's rule, and we appreciate the commenter, again, informing us of its concern regarding our policy of not including outlier reconciliation within the development of the outlier fixed-loss cost threshold. The commenter provided data from HCRIS that demonstrated total outlier reconciliation payments from 2003-2009 was $85,797,699, which equates to approximately $12,256,814 annually. We do not believe that this relatively small annual amount would have an impact on the outlier threshold because total outlier payments are approximately $4.3 billion. Further, with regard to the interim final rule referenced by the commenter that would have adjusted the outlier threshold by accounting for payment changes due to outlier reconciliation, that rule was never finalized or implemented. As stated in prior final rules, we continue to believe that, due to the policy implemented in the June 9, 2003 outlier final rule (68 FR 34494), CCRs will no longer fluctuate significantly and, therefore, few hospitals will actually have these ratios reconciled upon cost report settlement as demonstrated by the total outlier payments provided by the commenter. In addition, it is difficult to predict the specific hospitals that will have CCRs and outlier payments reconciled in any given year. We also note that reconciliation occurs because hospitals' actual CCRs for the cost reporting period are different than the interim CCRs used to calculate outlier payments when a bill is processed. Our simulations assume that CCRs accurately measure hospital costs based on information available to us at the time we set the outlier threshold. For these reasons, we proposed and are again finalizing our policy not to make any assumptions about the effects of reconciliation on the outlier threshold calculation.
Also, outlier reconciliation is a function of the cost report and Medicare contractors record the outlier reconciliation amount on each provider's cost report (and are not required to report these data to CMS outside of the cost report settlement process). Therefore, the outlier reconciliation data that the commenter is requesting should be publicly available through the cost report. With regard to the commenter not being able to retrieve outlier reconciliation payments for cost reports filed under Form CMS-2552-10, we will follow up with our information system team to ensure this information is readily available to the public. Since the effective date of Change Request 7192 on April 1, 2011, we have approved the reconciliation of outlier payments for some hospitals. Other hospitals that were flagged for outlier reconciliation are still under review for approval. In addition, some hospitals flagged for outlier reconciliation may experience a delay in reconciling their outlier payments due to circumstances that prevent the Medicare contractor from finalizing the hospital's cost report (such as other payments that may need to be reconciled aside from outlier payments).
As described in sections V.G. and V.H., respectively, of the preamble of this final rule, sections 1886(q) and 1886(o) of the Act establish the Hospital Readmissions Reduction Program and the Hospital VBP Program, respectively. We do not believe it is appropriate to include the hospital VBP payment adjustments and the hospital readmissions payment adjustments in the outlier threshold calculation or the outlier offset to the standardized amount. Specifically, consistent with our definition of the base operating DRG payment amount for the Hospital Readmissions Reduction Program under § 412.152 and the Hospital VBP Program under § 412.160, outlier payments under section 1886(d)(5)(A) of the Act are not affected by these payment adjustments. Therefore, outlier payments would continue to be calculated based on the unadjusted base DRG payment amount (as opposed to using the base-operating DRG payment amount adjusted by the hospital readmissions payment adjustment and the hospital VBP payment adjustment). Consequently, we proposed to exclude the hospital VBP payment adjustments and the hospital readmissions payment adjustments from the calculation of the outlier fixed-loss cost threshold.
Using this proposed methodology, we proposed an outlier fixed-loss cost threshold for FY 2014 equal to the prospective payment rate for the DRG, plus any IME and DSH payments, and any add-on payments for new technology, plus $24,140.
In the proposed rule, we noted that the proposed FY 2014 threshold was higher than the FY 2013 final outlier threshold of $21,821. We stated that we believe that the decrease in DSH payments due to the implementation of section 1886(r)(1) of the Act contributed to a higher proposed fixed-loss outlier threshold for FY 2014. We noted that the additional payments based on uncompensated care made to hospitals receiving Medicare DSH under section 1886(r)(2) of the Act were not taken into consideration when determining outlier payments because we did not propose to make this payment on a per discharge basis. However, when computing a claim by claim outlier threshold, we calculate DSH payments under section 1886(d)(5)(F) of the Act with the reduction required under section 1886(r)(1) (the original DSH amount multiplied by 0.25). Therefore, we stated that we believe that, decreasing DSH payments decreases total payments in typical cases, which are used to compute the claim by claim outlier threshold thus leading to an increase in outlier payments. This requires that we raise the outlier threshold to decrease the amount of outlier dollars expended in order to reach the 5.1 percent target.
Comment: Many commenters opposed CMS' proposal not to include payments under section 1886(r)(2) of the Act (from here on referred to as uncompensated care payments) in the calculation of the fixed-loss outlier threshold.
One commenter stated that by ignoring uncompensated care payments in the calculation of outlier determinations (the outlier fixed loss cost threshold and payments), CMS is assuming there will be a 75-percent cut to DSH payments while, under section 1886(r)(2) of the Act, approximately 88 percent of the amount cut will be paid back to hospitals. Therefore, the commenter believed the outlier fixed-loss cost threshold is overstated and requested that the threshold be adjusted to reflect these additional payments.
Another commenter stated that CMS did not calculate the threshold with regard to a 100 percent DSH adjustment rather than a 25 percent DSH adjustment because CMS proposed that some of the DSH payment will not be made on a claim by claim basis. The commenter explained that if CMS agrees to include uncompensated care payments on the claim, CMS should make outlier determinations that include those payments. The commenter also provided several reasons why outlier determinations should include uncompensated care payments regardless of whether uncompensated care payments are included on the claim. Firstly, the commenter stated that allowing the mechanics of DSH payments to affect outlier determinations is unfair to non-DSH hospitals. The commenter explained that, by reducing the amount of DSH payments included in the outlier calculation, non-DSH hospitals would see their claim by claim outlier thresholds rise, resulting in fewer cases that would qualify for outlier payments; this would result in a reduction in payments to these non-DSH hospitals solely because Congress changed the DSH payment methodology (in order to better target payments under that subsection to hospitals with high rates of uncompensated care) and CMS proposed to alter the mechanics for making DSH payments to DSH hospitals by including only the empirically justified DSH payments on the claim. Other commenters had similar concerns. The commenter also noted that there is no indication in section 3133 of the Affordable Care Act or section 1886(d)(5)(A) of the Act that Congress intended such a result. The commenter asserted that whether CMS chooses to make the additional uncompensated care payments through the claims processing system or some other mechanism, it should not create fundamental payment changes in other components of the PPS system, absent some evidence that Congress intended such an impact.
Secondly, the commenter cited sections 1886(d)(5)(A) and 1886(r) of the Act and stated that it is the commenter's view that these sections compel all amounts attributable to DSH to be part of outlier determinations whether or not such amounts are paid on a per claim basis. The commenter explained that section 1886(d)(5)(A) of the Act provides that “a subsection (d) hospital may request additional payments in any case where charges, adjusted to cost, . . . exceed the sum of the applicable DRG prospective payment rate plus any amounts payable under subparagraphs (B) and (F) plus a fixed dollar amount determined by the Secretary.” The commenter noted that subparagraph (F)(i) was amended by section 3133 of the Affordable Care Act to provide that payments under the subparagraph are “[s]ubject to to subsection (r).” Additionally, the commenter stated that within subsection (r), subparagraph (d)(5)(F) is referenced both with regard to “Empirically Justified DSH payments” in subparagraph (r)(1) and the “Additional Payment” under subparagraph (r)(2). The commenter concluded that it seems logical that both such payments, which are part of the overall DSH payment adjustment, would have to be considered in the aggregate for purposes of outlier determinations.
The commenter suggested three different methodologies to account for changes to Medicare DSH payments in outlier determinations. The first was to multiply the empirically justified Medicare DSH payment by 4, which resulted in a fixed-loss cost threshold of $20,950. The commenter believed that this approach is very simple and is similar to the second approach. The second approach assigns the uncompensated care payments to hospitals and discharges based on the operating cost for each case, which results in a fixed-loss cost threshold of $20,939. The final method allocates the uncompensated care payments to all cases equally, which results in a fixed-loss cost threshold of $22,028. The commenter stated that it expressed no specific preferences regarding the methods described above, but noted that the consensus of its members was that the final methodology is more reflective of how uncompensated care payments should occur through the claims processing system.
Response: As discussed in section V.E.3.f. of the preamble of this final rule, for FY 2014, we are finalizing a process to distribute interim uncompensated care payments on a per-discharge basis through our claims processing system, with a reconciliation of the hospital's total uncompensated care payment at cost report settlement. The estimated per-discharge uncompensated care amount is based on the amount we have finalized to distribute for a fiscal year divided by the average number of discharges, or claims, in the most recently available 3 full-years in the fiscal year Medicare claims dataset. For FY 2014 payments, we will use the average number of claims from the most recent 3 years of MedPAR claims data, FY 2010, FY 2011 and FY 2012, as this is the most recently available data on hospital utilization. As discussed in section V.E.3.f. of the preamble of this final rule, we believe that distributing uncompensated care payments on a per-discharge basis would allow these payments to be taken into consideration for the comparison of payments under the Federal rate and the hospital-specific rate for SCHs. We refer readers to section V.E.3. of the preamble of this final rule for a complete discussion of the Medicare DSH payment adjustment and the new uncompensated care payments.
Consistent with the policy above to make uncompensated care payments on a per-discharge basis through our claims processing system, we agree that uncompensated care payments should be considered in outlier determinations. We also agree that to the extent section 1886(r) of the Act modifies the existing DSH payment methodology under section 1886(d)(5)(F), the new uncompensated care payment under section 1886(r)(2), like the empirically justified Medicare DSH payment under section 1886(r)(1), may be considered an amount payable under section 1886(d)(5)(F) of the Act such that it would be reasonable to include the payment in the outlier determination under section 1886(d)(5)(A). We also agree with the commenter's third suggested methodology to allocate an estimated per-discharge uncompensated care payment amount to all cases for the hospitals eligible to receive the uncompensated care payment amount in the calculation of the outlier fixed-loss cost threshold methodology. We believe this method to be superior to the other two methods suggested because we believe it most closely approximates the inclusion of all of the uncompensated care payments in determining the fixed-loss threshold. We believe that the commenter's first suggested methodology of multiplying the empirically justified Medicare DSH payment by 4 results in the inclusion of a higher amount of uncompensated care payments in the determination of the fixed-loss threshold than will actually be paid. This approach fails to account for the statutory requirement that total uncompensated care payments are not equal to 75 percent of the amount that would otherwise be paid as DSH payment adjustments but rather the amount is reduced by Factor 2 in order to reflect changes in the rate of uninsurance as a result of the implementation of the Affordable Care Act. Similarly, we believe that the commenter's second methodology of assigning uncompensated care payments based on the operating costs of a case could also lead to a different amount of uncompensated care payments being included in the determination of the fixed-loss threshold than is actually paid. Uncompensated care payments are calculated independently of operating costs and assigning these payments on such a basis would not necessarily allocate them appropriately. We believe that allocating an eligible hospital's estimated uncompensated care payment to all cases equally in the calculation of the outlier fixed-loss cost threshold would best approximate the amount we would pay in uncompensated care payments during the year because, when we make claim payments to a hospital eligible for such payments, we will make estimated per-discharge uncompensated care payments to all cases equally. Furthermore, we believe that using the estimated per-claim uncompensated care payment amount to determine outlier estimates provides predictability as to the amount of uncompensated care payments included in the calculation of outlier payments. To determine outlier payments in the claims processing system, beginning with discharges on or after October 1, 2013, we will include estimated uncompensated care payments in the claim-by-claim outlier threshold calculation used to make outlier payments. Below we discuss our computation of the final outlier fixed loss cost threshold for FY 2014 and how we include uncompensated care payments.
Comment: One commenter recommended that CMS maintain the outlier threshold at $21,821, which is the threshold that CMS finalized for FY 2013. The commenter explained that CMS has a history of projecting inaccurately the percentage of inpatient PPS payments that would qualify for outlier payments and an increase to the fixed-loss outlier threshold would result in a lesser number of cases that would qualify for outlier payments. Another commenter had the same concerns and believed the outlier threshold was simply too high. An additional commenter noted that, for some hospitals, DSH payments (at 75 percent of DSH) represent 5 to 7 percent of total Medicare payments. The commenter was unclear how a 5 to 7 percent decrease in Medicare payments necessitates a 10-percent increase in the fixed-loss outlier threshold from the prior fiscal year. The commenter recommended that CMS review and reconsider raising the threshold by 10 percent; the commenter also believed a more reasonable increase to the fixed loss outlier threshold is in the 5-percent range. Another commenter recommended a small increase to the fixed-loss threshold in light of the concerns above.
One commenter noted that CMS is proposing to increase the outlier threshold by 10 percent for FY 2014. The commenter noted that, in order for hospitals to maintain this payment stream, hospitals are incentivized to increase charges by 10 percent. As a result, the commenter requested that CMS reevaluate and lower the final fixed-loss outlier threshold so hospitals can keep charge inflation as neutral as possible.
Response: As noted above, section 1886(d)(5)(A)(iv) of the Act requires outlier payments to be not less than 5 percent nor more than 6 percent of total estimated or projected payments. Therefore, we cannot adopt the commenters' suggestion to maintain the FY 2013 outlier fixed-loss cost threshold for FY 2014 because setting a threshold that is based on the current fiscal year for the coming fiscal year is inconsistent with the statute. When we calculate the threshold, we use the latest data that is available at the time of the proposed and final rule. Also, for FY 2014, as discussed above, we refined the calculation of the outlier fixed-loss cost threshold in order that outlier payments will meet the 5.1 percent target. We cannot put a cap on the increase or decrease of the outlier threshold nor can we arbitrarily lower the threshold as the commenters requested, as this would also be inconsistent with the statute.
Comment: One commenter was concerned that, with each rulemaking, the final outlier threshold established by CMS is always significantly lower than the threshold set forth in the proposed rule. The commenter speculated that this may occur due to the use of updated CCRs and other data in calculating the final rule threshold. As a result, the commenter emphasized the need for CMS to use the most recent data available when calculating the outlier threshold. The commenter stated that, with regard to the current rulemaking, CMS used data from the December 2012 PSF in the proposed rule, when the March 2013 PSF was available at the time the proposed rule was issued. Using the March 2013 PSF, the commenter calculated an outlier threshold of $23,542 (compared to the threshold in the proposed rule of $24,140, which used the December 2012 PSF).
Response: CMS' historical policy is to use the best available data when setting the payment rates and factors in both the proposed and final rules. Sometimes there are variables that change between the proposed and final rule due to the availability of more recent data, such as the charge inflation factor and the CCR adjustment factors that can cause fluctuations in the threshold amount. Other factors such as changes to the wage indexes and market basket increase can also cause the outlier fixed-loss cost threshold to fluctuate between the proposed rule and the final rule each year. We use the latest data that is available at the time of the proposed and final rule, such as the most recent update of MedPAR claims data and CCRs from the most recent update of the PSF. With regard to the commenter noting the availability of the March 2013 PSF at the time the proposed rule was issued, this file was not available when we calculated the proposed outlier fixed-loss cost threshold as part of the development of the proposed rule. Therefore, for the proposed rule, we used the latest update available, which was the December 2012 PSF. If we were to wait for the March 2013 PSF to become available, this would cause further delay of publication of the proposed rule which could possibly cause CMS to miss the statutory requirement of issuing the final rule 60 days prior to the upcoming fiscal year.
Comment: Many commenters appreciated CMS' efforts to refine the calculation of the outlier threshold. The commenters recommended that CMS continue to monitor the new fixed-loss outlier threshold methodology to determine if it has, in fact, improved accuracy.
Response: We appreciate the commenters for their support and agree with the commenters to monitor the new methodology to determine if it has, in fact, improved accuracy.
Below we discuss our methodology to calculate the final outlier fixed-loss cost threshold for FY 2014. As discussed above, we are finalizing our proposal to refine the methodology by using the most recent one year period of charge data instead of the most recent 6 months of charge data to inflate charges. We also are revising our methodology to adjust hospital CCRs in the calculation of the outlier fixed-loss cost threshold. Finally, we agree with the commenters that the new uncompensated care payments under section 1886(r)(2) of the Act should be included in the calculation of the outlier fixed-loss cost threshold.
As we have done in the past, to calculate the final FY 2014 outlier threshold, we simulated payments by applying FY 2014 payment rates and policies using cases from the FY 2012 MedPAR file. Therefore, in order to determine the final FY 2014 outlier threshold, we inflated the charges on the MedPAR claims by 2 years, from FY 2012 to FY 2014. We note that when we calculate the outlier fixed-loss cost threshold, for SCHs, we model total hospital-specific rate payments and total federal rate payments and then exclude from the outlier threshold calculation those SCHs whose hospital-specific rate payments are greater than their Federal rate payments, as these hospitals will not receive outlier payments. As discussed above, we are finalizing a policy to take into consideration uncompensated care payments in the comparison of payments under the Federal rate and the hospital-specific rate for SCHs. Therefore, we included estimated uncompensated care payments in this comparison (and then excluded from the outlier threshold calculation those SCHs whose hospital-specific rate payments were greater than their Federal rate payments). For FY 2014 and subsequent years, as discussed above, we are finalizing our proposal to refine our current methodology which uses more recent data that reflect the rate-of-change in hospital charges under the new outlier policy. As discussed above, instead of comparing periods of the most recent 6 months of charge data, we are finalizing our proposal to adopt a new methodology to inflate charges that use periods of 1-year of the most recent charge data. We believe a methodology that is based on 1-year of charge data will provide a more stable measure to project the average charge per case because a 6-month measure inherently uses fewer claims than a 1-year measure, which makes it more susceptible to fluctuations in the average charge per case as a result of any significant charge increases or decreases by hospitals. Under this new methodology, to compute the 1-year average annualized rate-of-change in charges per case for FY 2014, we compare the third quarter of FY 2011 through the second quarter of FY 2012 (April 1, 2011, through March 31, 2011) to the third quarter of FY 2012 through the second quarter of FY 2013 (April 1, 2012, through March 31, 2013). This rate-of-change was 4.7 percent (1.047329) or 9.7 percent (1.096898) over 2 years.
As we have done in the past, we are establishing the final FY 2014 outlier threshold using hospital CCRs from the March 2013 update to the Provider-Specific File (PSF)—the most recent available data at the time of this final rule. For FY 2014, we are also continuing to apply an adjustment factor to the CCRs to account for cost and charge inflation (as explained below). Instead of using our prior methodology that was developed with the Office of Actuary to adjust the CCRs, for FY 2014 and subsequent years, we are finalizing as proposed to adjust the CCRs from the March 2013 update of the PSF by comparing the percentage change in the national average case-weighted operating CCR and capital CCR from the March 2013 update of the PSF to the national average case-weighted operating CCR and capital CCR from the March 2012 update of the PSF. We note that we used total transfer-adjusted cases from FY 2012 to determine the national average case-weighted CCRs for both sides of the comparison. As stated in the proposed rule, we believe it is appropriate to use the same case count on both sides of the comparison as this will produce the true percentage change in the average case-weighted operating and capital CCR from one year to the next without any effect from a change in case count on different sides of the comparison.
Using the methodology adopted above, we calculated a March 2012 operating national average case-weighted CCR of 0.302317 and a March 2013 operating national average case-weighted CCR of 0.292106. We then calculate the percentage change between the two national operating case-weighted CCRs by subtracting the March 2012 operating national average case-weighted CCR from the March 2013 operating national average case-weighted CCR and then dividing by the March 2012 national operating average case-weighted CCR. This resulted in a national operating CCR adjustment factor of 0.966224.
We used the same methodology above to also adjust the capital CCRs. Specifically, we calculated a March 2012 capital national average case-weighted CCR of 0.025993 and a March 2013 capital national average case-weighted CCR of 0.025013. We then calculated the percentage change between the two national capital case-weighted CCRs by subtracting the March 2012 capital national average case-weighted CCR from the March 2013 capital national average case-weighted CCR and then dividing by the March 2012 capital national average case-weighted CCR. This resulted in a national capital CCR adjustment factor of 0.964524.
Consistent with our methodology in the past and as stated in the FY 2009 IPPS final rule (73 FR 48763), we continue to believe it is appropriate to apply only a 1-year adjustment factor to the CCRs. On average, it takes approximately 9 months for a fiscal intermediary or MAC to tentatively settle a cost report from the fiscal year end of a hospital's cost reporting period. The average “age” of hospitals' CCRs from the time the fiscal intermediary or the MAC inserts the CCR in the PSF until the beginning of FY 2009 is approximately 1 year. Therefore, as stated above, we believe a 1-year adjustment factor to the CCRs is appropriate.
As stated above, for FY 2014, we applied the final FY 2014 rates and policies using cases from the FY 2012 MedPAR files in calculating the final outlier threshold.
As noted above, for purposes of estimating the final outlier threshold for FY 2014, it was necessary to apply the frontier State adjustment by adjusting the wage index of those eligible hospitals in a frontier State when calculating the outlier threshold that results in outlier payments being 5.1 percent of total payments for FY 2014. If we did not take into account this provision, our estimate of total FY 2014 payments would be too low, and, as a result, our final outlier threshold would be too high, such that estimated outlier payments would be less than our projected 5.1 percent of total payments.
As discussed above, in our projection of FY 2014 outlier payments, we did not make any adjustments for the possibility that hospitals' CCRs and outlier payments may be reconciled upon cost report settlement. Also, as stated above, we do not believe it is appropriate to include the hospital VBP payment adjustments and the hospital readmissions payment adjustments in the outlier threshold calculation or the outlier offset to the standardized amount. Consequently, we excluded the hospital VBP payment adjustments and the hospital readmissions payment adjustments from the calculation of the outlier fixed-loss cost threshold.
As discussed above, we included estimated uncompensated care payments in the computation of the final outlier fixed-loss cost threshold. Specifically, we used the estimated per-discharge uncompensated care payments to hospitals eligible for the uncompensated care payment for all cases in the calculation of the outlier fixed-loss cost threshold methodology.
Using this methodology, we calculated a final outlier fixed-loss cost threshold for FY 2014 equal to the prospective payment rate for the MS-DRG, plus any IME, empirically justified Medicare DSH payments, estimated uncompensated care payment, and any add-on payments for new technology, plus $21,748.
We note that the final FY 2014 threshold is lower than the FY 2014 proposed outlier threshold of $24,140. We believe that taking into consideration uncompensated care payments in the calculation of the outlier threshold contributed to a lower final fixed-loss outlier threshold for FY 2014.
(2) Other Changes Concerning Outliers
As stated in the FY 1994 IPPS final rule (58 FR 46348), we establish an outlier threshold that is applicable to both hospital inpatient operating costs and hospital inpatient capital-related costs. When we modeled the combined operating and capital outlier payments, we found that using a common threshold resulted in a lower percentage of outlier payments for capital-related costs than for operating costs. We project that the thresholds for FY 2014 will result in outlier payments that will equal 5.1 percent of operating DRG payments and 6.07 percent of capital payments based on the Federal rate.
In accordance with section 1886(d)(3)(B) of the Act, we are reducing the FY 2014 standardized amount by the same percentage to account for the projected proportion of payments paid as outliers.
The outlier adjustment factors that will be applied to the standardized amount based on the FY 2014 outlier threshold are as follows:
| Operating standardized amounts | Capital federal rate | |
|---|---|---|
| National | 0.948995 | 0.939255 |
| Puerto Rico | 0.943455 | 0.932305 |
We are applying the outlier adjustment factors to the FY 2014 rates after removing the effects of the FY 2013 outlier adjustment factors on the standardized amount.
To determine whether a case qualifies for outlier payments, we apply hospital-specific CCRs to the total covered charges for the case. Estimated operating and capital costs for the case are calculated separately by applying separate operating and capital CCRs. These costs are then combined and compared with the outlier fixed-loss cost threshold.
Under our current policy at § 412.84, we calculate operating and capital CCR ceilings and assign a statewide average CCR for hospitals whose CCRs exceed 3.0 standard deviations from the mean of the log distribution of CCRs for all hospitals. Based on this calculation, for hospitals for which the fiscal intermediary or MAC computes operating CCRs greater than 1.186 or capital CCRs greater than 0.173, or hospitals for which the fiscal intermediary or MAC is unable to calculate a CCR (as described under § 412.84(i)(3) of our regulations), statewide average CCRs are used to determine whether a hospital qualifies for outlier payments. Table 8A listed in section VI. of this Addendum (and available only via the Internet) contains the statewide average operating CCRs for urban hospitals and for rural hospitals for which the fiscal intermediary or MAC is unable to compute a hospital-specific CCR within the above range. Effective for discharges occurring on or after October 1, 2013, these statewide average ratios will replace the ratios posted on our Web site at http://www.cms.gov/Medicare/Medicare-Fee-for-Service-Payment/AcuteInpatientPPS/FY-2013-IPPS-Final-Rule-Home-Page-Items/FY2013-Final-Rule-Tables.html. Table 8B listed in section VI. of this Addendum (and available via the Internet) contains the comparable statewide average capital CCRs. Again, the CCRs in Tables 8A and 8B will be used during FY 2014 when hospital-specific CCRs based on the latest settled cost report are either not available or are outside the range noted above. Table 8C listed in section VI. of this Addendum (and available via the Internet) contains the statewide average total CCRs used under the LTCH PPS as discussed in section V. of this Addendum.
We finally note that we published a manual update (Change Request 3966) to our outlier policy on October 12, 2005, which updated Chapter 3, Section 20.1.2 of the Medicare Claims Processing Manual. The manual update covered an array of topics, including CCRs, reconciliation, and the time value of money. We encourage hospitals that are assigned the statewide average operating and/or capital CCRs to work with their fiscal intermediary or MAC on a possible alternative operating and/or capital CCR as explained in Change Request 3966. Use of an alternative CCR developed by the hospital in conjunction with the fiscal intermediary or MAC can avoid possible overpayments or underpayments at cost report settlement, thus ensuring better accuracy when making outlier payments and negating the need for outlier reconciliation. We also note that a hospital may request an alternative operating or capital CCR ratio at any time as long as the guidelines of Change Request 3966 are followed. In addition, as mentioned above, we published an additional manual update (Change Request 7192) to our outlier policy on December 3, 2010, which also updated Chapter 3, Section 20.1.2 of the Medicare Claims Processing Manual. The manual update outlines the outlier reconciliation process for hospitals and Medicare contractors. To download and view the manual instructions on outlier reconciliation, we refer readers to the CMS Web site: http://www.cms.hhs.gov/manuals/downloads/clm104c03.pdf.
(3) FY 2012 and FY 2013 Outlier Payments
In the FY 2013 IPPS final rule (77 FR 53697 through 53698), we stated that, based on available data, we estimated that actual FY 2012 outlier payments would be approximately 5.0 percent of actual total MS-DRG payments. This estimate was computed based on simulations using the FY 2011 MedPAR file (discharge data for FY 2011 claims). That is, the estimate of actual outlier payments did not reflect actual FY 2012 claims, but instead reflected the application of FY 2012 payment rates and policies to available FY 2011 claims.
Our current estimate, using available FY 2012 claims data, is that actual outlier payments for FY 2012 were approximately 4.87 percent of actual total MS-DRG payments. Thus, the data indicate that, for FY 2012, the percentage of actual outlier payments relative to actual total payments is lower than we projected for FY 2012. Consistent with the policy and statutory interpretation we have maintained since the inception of the IPPS, we do not make retroactive adjustments to outlier payments to ensure that total outlier payments for FY 2012 are equal to 5.1 percent of total MS-DRG payments.
We currently estimate that, using the latest CCRs from the March 2013 update of the PSF, actual outlier payments for FY 2013 will be approximately 4.77 percent of actual total MS-DRG payments, approximately 0.33 percentage point lower than the 5.1 percent we projected when setting the outlier policies for FY 2013. This estimate of 4.77 percent is based on simulations using the FY 2012 MedPAR file (discharge data for FY 2012 claims).
Comment: One commenter believed it is critical for CMS to accurately calculate prior year actual outlier payment estimates. The commenter was concerned with CMS' estimate of FY 2012 outlier payments at 5.47 percent. The commenter attempted to validate CMS analysis and determined that the FY 2012 outlier payout was 4.86 percent. The commenter stated that the starting point for any assessment of the need to change methods to develop the outlier threshold will be informed by how successful prior methods were in actually meeting the target through actual payments.
Response: We thank the commenter for bringing this issue to our attention. In the proposed rule, we inadvertently used CCRs from FY 2011 in our estimate of the FY 2012 outlier payments. For this final rule, we corrected this error and determined an estimated FY 2012 outlier payment that is nearly identical to the commenters. We believe the refinements made to the calculation of the FY 2014 outlier threshold will help ensure that outlier payments meet the 5.1 percent target.
5. FY 2014 Standardized Amount
The adjusted standardized amount is divided into labor-related and nonlabor-related portions. Tables 1A and 1B listed and published in section VI. of this Addendum (and available via the Internet) contain the national standardized amounts that we are applying to all hospitals, except hospitals located in Puerto Rico, for FY 2014. The Puerto Rico-specific amounts are shown in Table 1C listed and published in section VI. of this Addendum (and available via the Internet). The amounts shown in Tables 1A and 1B differ only in that the labor-related share applied to the standardized amounts in Table 1A is the labor-related share of 69.6 percent, and Table 1B is 62 percent. In accordance with sections 1886(d)(3)(E) and 1886(d)(9)(C)(iv) of the Act, we are applying a labor-related share of 62 percent, unless application of that percentage would result in lower payments to a hospital than would otherwise be made. In effect, the statutory provision means that we will apply a labor-related share of 62 percent for all hospitals whose wage indices are less than or equal to 1.0000.
In addition, Tables 1A and 1B include the standardized amounts reflecting the applicable percentage increase of 1.7 percent for FY 2014, and an update of −0.3 percent for hospitals that fail to submit quality data consistent with section 1886(b)(3)(B)(viii) of the Act.
Under section 1886(d)(9)(A)(ii) of the Act, the Federal portion of the Puerto Rico payment rate is based on the discharge-weighted average of the national large urban standardized amount (this amount is set forth in Table 1A). The labor-related and nonlabor-related portions of the national average standardized amounts for Puerto Rico hospitals for FY 2014 are set forth in Table 1C listed and published in section VI. of this Addendum (and available via the Internet). This table also includes the Puerto Rico standardized amounts. The labor-related share applied to the Puerto Rico-specific standardized amount is the labor-related share of 63.2 percent, or 62 percent, depending on which provides higher payments to the hospital. (Section 1886(d)(9)(C)(iv) of the Act, as amended by section 403(b) of Public Law 108-173, provides that the labor-related share for hospitals located in Puerto Rico be 62 percent, unless the application of that percentage would result in lower payments to the hospital.)
The following table illustrates the changes from the FY 2013 national standardized amount. The second column shows the changes from the FY 2013 standardized amounts for hospitals that satisfy the quality data submission requirement and, therefore, receive the full update of 1.7 percent. The third column shows the changes for hospitals receiving the reduced update of −0.3 percent. The first row of the table shows the updated (through FY 2013) average standardized amount after restoring the FY 2013 offsets for outlier payments, demonstration budget neutrality, the geographic reclassification budget neutrality, and the retrospective documentation and coding adjustment under section 7(b)(1)(B) of Public Law 110-90. The MS-DRG reclassification and recalibration wage index budget neutrality factors are cumulative. Therefore, those FY 2013 factors are not removed from this table.
| Full update (1.7 percent); wage index is greater than 1.0000; labor/non-labor share percentage (69.6/30.4) | Full update (1.7 percent); wage index is less than or equal to 1.0000; labor/non-labor share percentage (62/38) | Reduced update (−0.3 percent); wage index is greater than 1.0000; labor/non- labor share percentage (69.6/30.4) | Reduced update (−0.3 percent); wage index is less than or equal to 1.0000; labor/non- labor share percentage (62/38) | |
|---|---|---|---|---|
| FY 2013 Base Rate after removing: | ||||
| 1. FY 2013 Geographic Reclassification Budget Neutrality (0.991276) | ||||
| 2. FY 2013 Rural Community Hospital Demonstration Program Budget Neutrality (0.999677) | ||||
| 3. Cumulative FY 2008, FY 2009, FY 2012, FY 2013 Documentation and Coding Adjustment as Required under Sections 7(b)(1)(A) and 7(b)(1)(B) of Public Law 110-90 (0.9478) | Labor: $4,176.63 Nonlabor: $1,824.27 | Labor: $3,720.56 Nonlabor: $2,280.34 | Labor: $4,176.63 Nonlabor: $1,824.27 | Labor: $3,720.56 Nonlabor: $2,280.34 |
| 4. FY 2013 Operating Outlier Offset (0.948999) | ||||
| FY 2014 Update Factor | 1.017 | 1.017 | 0.997 | 0.997 |
| FY 2014 MS-DRG Recalibration and Wage Index Budget Neutrality Factor | 0.997936 | 0.997936 | 0.997936 | 0.997936 |
| FY 2014 Reclassification Budget Neutrality Factor | 0.990718 | 0.990718 | 0.990718 | 0.990718 |
| FY 2014 Rural Community Demonstration Program Budget Neutrality Factor | 0.999415 | 0.999415 | 0.999415 | 0.999415 |
| FY 2014 Operating Outlier Factor | 0.948995 | 0.948995 | 0.948995 | 0.948995 |
| Adjustment to Offset the Cost of the Policy on Admission and Medical Review Criteria for Hospital Inpatient Services under Medicare Part A | 0.998 | 0.998 | 0.998 | 0.998 |
| Cumulative Factor: FY 2008, FY 2009, FY 2012, and FY 2013 Documentation and Coding Adjustment as Required under Sections 7(b)(1)(A) and 7(b)(1)(B) of Public Law 110-90 and Documentation and Coding Recoupment Adjustment as required under Section 631 of the American Taxpayer Relief Act of 2012 | 0.9403 | 0.9403 | 0.9403 | 0.9403 |
| Final National Standardized Amount for FY 2014 | Labor: $3,737.71 Nonlabor: $1,632.57 | Labor: $3,329.57 Nonlabor: $2,040.71 | Labor: $3,664.21 Nonlabor: $1,600.46 | Labor: $3,264.10 Nonlabor: $2,000.57 |
The following table illustrates the changes from the FY 2013 Puerto Rico-specific payment rate for hospitals located in Puerto Rico. The second column shows the changes from the FY 2013 Puerto Rico specific payment rate for hospitals with a Puerto Rico-specific wage index greater than 1.0000. The third column shows the changes from the FY 2013 Puerto Rico specific payment rate for hospitals with a Puerto Rico-specific wage index less than 1.0000. The first row of the table shows the updated (through FY 2013) Puerto Rico-specific payment rate after restoring the FY 2013 offsets for Puerto Rico-specific outlier payments, rural community hospital demonstration program budget neutrality, and the geographic reclassification budget neutrality. The MS-DRG recalibration budget neutrality factor is cumulative and is not removed from this table.
| Update (1.7 percent); wage index is greater than 1.0000; labor/non-labor share percentage (63.2/36.8) | Update (1.7 percent); wage index is less than or equal to 1.0000; labor/non-labor share percentage (62/38) | |
|---|---|---|
| FY 2013 Puerto Rico Base Rate, after removing: | ||
| 1. FY 2013 Geographic Reclassification Budget Neutrality (0.991276) | ||
| 2. FY 2013 Rural Community Hospital Demonstration Program Budget Neutrality (0.999677) | ||
| 3. FY 2013 Puerto Rico Operating Outlier Offset (0.944760) | Labor: $1,700.33 Nonlabor: $990.07 | Labor: $1,668.05 Nonlabor: $1,022.35 |
| FY 2014 Update Factor | 1.017 | 1.017 |
| FY 2014 MS-DRG Recalibration Budget Neutrality Factor | 0.997989 | 0.997989 |
| FY 2014 Reclassification Budget Neutrality Factor | 0.990718 | 0.990718 |
| FY 2014 Rural Community Hospital Demonstration Program Budget Neutrality Factor | 0.999415 | 0.999415 |
| FY 2014 Puerto Rico Operating Outlier Factor | 0.943455 | 0.943455 |
| Adjustment to Offset the Cost of the Policy on Admission and Medical Review Criteria for Hospital Inpatient Services under Medicare Part A | 0.998 | 0.998 |
| Final Puerto Rico-Specific Payment Rate for FY 2014 | Labor: $1,608.90 Nonlabor: $936.82 | Labor: $1,578.35 Nonlabor: $967.37 |
B. Adjustments for Area Wage Levels and Cost-of-Living
Tables 1A through 1C, as published in section VI. of this Addendum (and available via the Internet), contain the labor-related and nonlabor-related shares that we used to calculate the prospective payment rates for hospitals located in the 50 States, the District of Columbia, and Puerto Rico for FY 2014. This section addresses two types of adjustments to the standardized amounts that are made in determining the prospective payment rates as described in this Addendum.
1. Adjustment for Area Wage Levels
Sections 1886(d)(3)(E) and 1886(d)(9)(C)(iv) of the Act require that we make an adjustment to the labor-related portion of the national and Puerto Rico prospective payment rates, respectively, to account for area differences in hospital wage levels. This adjustment is made by multiplying the labor-related portion of the adjusted standardized amounts by the appropriate wage index for the area in which the hospital is located. In section III. of the preamble of this final rule, we discuss the data and methodology for the FY 2014 wage index.
2. Adjustment for Cost-of-Living in Alaska and Hawaii
Section 1886(d)(5)(H) of the Act provides discretionary authority to the Secretary to make “such adjustments . . . as the Secretary deems appropriate to take into account the unique circumstances of hospitals located in Alaska and Hawaii.” Higher labor-related costs for these two States are taken into account in the adjustment for area wages described above. To account for higher nonlabor-related costs for these two States, we multiply the nonlabor-related portion of the standardized amount for hospitals located in Alaska and Hawaii by an adjustment factor. For FY 2011 and in prior fiscal years, we used the most recent cost-of-living adjustment (COLA) factors obtained from the U.S. Office of Personnel Management (OPM) Web site at: http://www.opm.gov/oca/cola/rates/asp to update this nonlabor portion.
In the FY 2013 IPPS/LTCH PPS proposed and final rules (77 FR 28145 through 28146 and 77 FR 53700 through 53701, respectively), we explained that statutory changes transitioned the Alaska and Hawaii COLAs to locality pay. We further explained that, beginning in FY 2012, as OPM transitioned away from COLAs, we continued to use the same “frozen” COLA factors that were used to adjust payments in FY 2011 (based on OPM's 2009 COLA factors) to adjust the nonlabor-related portion of the standardized amount for hospitals located in Alaska and Hawaii while we explored alternatives for updating the COLA factors in the future. In the FY 2013 IPPS/LTCH PPS final rule, for FY 2013, we continued to use the same COLA factors used to adjust payments in FY 2012 (which are based on OPM's 2009 COLA factors). We also established a methodology to update the COLA factors for Alaska and Hawaii that were published by OPM every 4 years (at the same time as the update to the labor-related share of the IPPS market basket), beginning in FY 2014. We refer readers to the FY 2013 IPPS/LTCH PPS proposed and final rules for additional background and a detailed description of this methodology (77 FR 28145 through 28146 and 77 FR 53700 through 53701, respectively).
For FY 2014, we proposed to update the COLA factors published by OPM for 2009 (as these are the last COLA factors OPM published prior to transitioning from COLAs to locality pay) using the methodology that we finalized in the FY 2013 IPPS/LTCH PPS final rule. Under our proposal, we proposed COLA factors for FY 2014 for the three specified urban areas of Alaska (Anchorage, Fairbanks and Juneau) of 1.23; for the City and County of Honolulu, the County of Kauai, the County of Maui, the County of Kalawao, and “All other” areas of Alaska of 1.25; and for the County of Hawaii of 1.19. For additional details on our proposal, we refer readers to the FY 2014 IPPS/LTCH PPS proposed rule (77 FR 27770 through 27771). We did not receive any public comments on our proposed COLA factors for FY 2014 and, therefore, are adopting them as final in this final rule without modification. The development of the COLA factors for FY 2014 is described below.
For FY 2014, we are updating the COLA factors for Alaska and Hawaii published by OPM for 2009 (as these are the last COLA factors OPM published prior to transitioning from COLAs to locality pay) using the methodology that we finalized in the FY 2013 IPPS/LTCH PPS final rule. Specifically, under our methodology, we are using a comparison of the growth in the Consumer Price Indices (CPIs) in Anchorage and Honolulu relative to the growth in the overall CPI as published by the Bureau of Labor Statistics (BLS) to update the COLA adjustment factors for all areas in Alaska and Hawaii, respectively. As discussed in the FY 2013 IPPS/LTCH PPS proposed rule (77 FR 28145 through 28146), because BLS publishes CPI data for only Anchorage, Alaska and Honolulu, Hawaii, our methodology for updating the COLA factors uses a comparison of the growth in the CPIs for those cities relative to the growth in the overall CPI to update the COLA adjustment factors for all areas in Alaska and Hawaii, respectively. We believe that the relative price differences between these cities and the United States (as measured by the CPIs mentioned above) are generally appropriate proxies for the relative price differences between the “other areas” of Alaska and Hawaii and the United States.
The CPIs for “All Items” that BLS publishes for Anchorage, Alaska, Honolulu, Hawaii, and for the average U.S. city are based on a different mix of commodities and services than is reflected in the nonlabor-related share of the IPPS market basket. As such, under the methodology we established to update the COLA factors, we calculated a “reweighted CPI” using the CPI for commodities and the CPI for services for each of the geographic areas to mirror the composition of the IPPS market basket nonlabor-related share. The current composition of BLS' CPI for “All Items” for all of the respective areas is approximately 40 percent commodities and 60 percent services. However, the nonlabor-related share of the IPPS market basket is comprised of approximately 60 percent commodities and 40 percent services. Therefore, under the methodology we established in the FY 2013 IPPS/LTCH PPS final rule, we have created reweighted indexes for Anchorage, Alaska, Honolulu, Hawaii, and the average U.S. city using the respective CPI commodities index and CPI services index and applying the approximate 60/40 weights from the IPPS market basket. We believe that this methodology is appropriate because we would continue to make a COLA adjustment for hospitals located in Alaska and Hawaii by multiplying the nonlabor-related portion of the standardized amount by a COLA factor.
Under the COLA factor update methodology we established in the FY 2013 IPPS/LTCH PPS final rule, we further exercised our discretionary authority to adjust payments made to hospitals located in Alaska and Hawaii by incorporating a 25-percent cap on the CPI-updated COLA factors used to adjust the nonlabor-related portion of the standardized amounts, which is consistent with a statutorily mandated 25-percent cap that was applied to OPM's published COLA factors. We believe that this is appropriate because our CPI-updated COLA factors for FY 2014 use the 2009 OPM COLA factors as a basis. In addition, we are continuing to establish COLA factors that are rounded to 2 decimal places, which is consistent with the number of decimal places in the 2009 OPM COLA factors that are used as the basis for calculating the FY 2014 COLA factors. This policy also will maintain consistency with the rounding used for the 25-percent cap on the COLA factors (that is, a COLA factor of no more than 1.25).
Applying this methodology, we are establishing the COLA factors for FY 2014 that will adjust the nonlabor-related portion of the standardized amount for hospitals located in Alaska and Hawaii as shown in the table below.
| Area | Cost of living adjustment factor |
|---|---|
| Alaska: | |
| City of Anchorage and 80-kilometer (50-mile) radius by road | 1.23 |
| City of Fairbanks and 80-kilometer (50-mile) radius by road | 1.23 |
| City of Juneau and 80-kilometer (50-mile) radius by road | 1.23 |
| Rest of Alaska | 1.25 |
| Hawaii: | |
| City and County of Honolulu | 1.25 |
| County of Hawaii | 1.19 |
| County of Kauai | 1.25 |
| County of Maui and County of Kalawao | 1.25 |
Each of the COLA factors was calculated using data through 2012 as these are the latest historical CPI data published by the BLS. The reweighted CPI for Honolulu, Hawaii grew faster than the reweighted CPI for the average U.S. city over the time period from 2009 to 2012, with a growth rate of 8.9 percent and 8.3 percent, respectively. As a result, for FY 2014, we calculated COLA factors for the City and County of Honolulu, the County of Kauai, the County of Maui, and the County of Kalawao to be 1.26 compared to the FY 2013 COLA factor of 1.25. However, as stated above, our COLA factor update methodology caps COLA factors at 1.25. In addition, the COLA factor calculated for the County of Hawaii for FY 2014 is 1.19 compared to the FY 2013 COLA factor of 1.18.
The reweighted CPI for Anchorage, Alaska grew slower than the reweighted CPI for the average U.S. city over the time period from 2009 to 2012, with a growth rate of 8.0 percent and 8.3 percent, respectively. However, applying this slower relative growth rate to the FY 2009 COLA factors for each of the Alaska areas results in no change to the COLA factors for the Alaska areas for FY 2014 (1.25 for “All other” areas of Alaska and 1.23 for the three specified urban areas of Alaska (Anchorage, Fairbanks and Juneau)) as compared to the FY 2013 COLA factors.
C. Calculation of the Prospective Payment Rates
General Formula for Calculation of the Prospective Payment Rates for FY 2014
In general, the operating prospective payment rate for all hospitals paid under the IPPS located outside of Puerto Rico, except SCHs, for FY 2014 equals the Federal rate (which includes uncompensated care payments). (As noted above, due to the expiration of the MDH program, beginning with FY 2014, we are not including MDHs in our discussion of the update of the hospital-specific rates for FY 2014.)
SCHs are paid based on whichever of the following rates yields the greatest aggregate payment: The Federal national rate (which, as finalized in section V.E.3. of the preamble of this final rule, includes uncompensated care payments); the updated hospital-specific rate based on FY 1982 costs per discharge; the updated hospital-specific rate based on FY 1987 costs per discharge; the updated hospital-specific rate based on FY 1996 costs per discharge; or the updated hospital-specific rate based on FY 2006 costs per discharge to determine the rate that yields the greatest aggregate payment.
The prospective payment rate for SCHs for FY 2014 equals the higher of the applicable Federal rate, or the hospital-specific rate as described below. The prospective payment rate for hospitals located in Puerto Rico for FY 2014 equals 25 percent of the Puerto Rico-specific payment rate plus 75 percent of the applicable national rate.
1. Federal Rate
The Federal rate is determined as follows:
Step 1—Select the applicable average standardized amount depending on whether the hospital submitted qualifying quality data (full update for hospitals submitting quality data; update including a −2.0 percent adjustment for hospitals that did not submit these data).
Step 2—Multiply the labor-related portion of the standardized amount by the applicable wage index for the geographic area in which the hospital is located or the area to which the hospital is reclassified.
Step 3—For hospitals in Alaska and Hawaii, multiply the nonlabor-related portion of the standardized amount by the applicable cost-of-living adjustment factor.
Step 4—Add the amount from Step 2 and the nonlabor-related portion of the standardized amount (adjusted, if applicable, under Step 3).
Step 5—Multiply the final amount from Step 4 by the relative weight corresponding to the applicable MS-DRG (Table 5 listed in section VI. of this Addendum and available via the Internet).
The Federal rate as determined in Step 5 may then be further adjusted if the hospital qualifies for either the IME or DSH adjustment. In addition, for hospitals that qualify for a low-volume payment adjustment under section 1886(d)(12) of the Act and 42 CFR 412.101(b), the payment in Step 5 would be increased by the formula described in section V.C. of the preamble of this final rule. The base-operating DRG payment amount may be further adjusted by the hospital readmissions payment adjustment and the hospital VBP payment adjustment as described under sections 1886(q) and 1886(o) of the Act, respectively. Finally, we add the uncompensated care payment to the total claim payment amount. We note that, as finalized above, we take uncompensated care payments into consideration when calculating outlier payments.
2. Hospital-Specific Rate (Applicable Only to SCHs)
a. Calculation of Hospital-Specific Rate
Section 1886(b)(3)(C) of the Act provides that SCHs are paid based on whichever of the following rates yields the greatest aggregate payment: The Federal rate (which, as finalized in section V.E.3. of the preamble of this final rule, includes uncompensated care payments); the updated hospital-specific rate based on FY 1982 costs per discharge; the updated hospital-specific rate based on FY 1987 costs per discharge; the updated hospital-specific rate based on FY 1996 costs per discharge; or the updated hospital-specific rate based on FY 2006 costs per discharge to determine the rate that yields the greatest aggregate payment. For a more detailed discussion of the calculation of the hospital-specific rates, we refer readers to the FY 1984 IPPS interim final rule (48 FR 39772); the April 20, 1990 final rule with comment period (55 FR 15150); the FY 1991 IPPS final rule (55 FR 35994); and the FY 2001 IPPS final rule (65 FR 47082). We also refer readers to section V.E. of the preamble of this final rule for a complete discussion on DSH and uncompensated care payments.
b. Updating the FY 1982, FY 1987, FY 1996 and FY 2006 Hospital-Specific Rate for FY 2013
Section 1886(b)(3)(B)(iv) of the Act provides that the applicable percentage increase applicable to the hospital-specific rates for SCHs equals the applicable percentage increase set forth in section 1886(b)(3)(B)(i) of the Act (that is, the same update factor as for all other hospitals subject to the IPPS). Because the Act sets the update factor for SCHs equal to the update factor for all other IPPS hospitals, the update to the hospital-specific rates for SCHs is subject to the amendments to section 1886(b)(3)(B) of the Act made by sections 3401(a) and 10319(a) of the Affordable Care Act. Accordingly, the applicable percentage increase to the hospital-specific rates applicable to SCHs is 1.7 percent (that is, the FY 2014 estimate of the market basket rate-of-increase of 2.5 percent less an adjustment of 0.5 percentage point for MFP and less 0.3 percentage point) for hospitals that submit quality data or −0.3 percent (that is, the FY 2014 estimate of the market basket rate-of-increase of 2.5 percent, less 2.0 percentage points for failure to submit data under the Hospital IQR Program, less an adjustment of 0.5 percentage point for MFP, and less 0.3 percentage point) for hospitals that fail to submit quality data. For a complete discussion of the applicable percentage increase applicable to the hospital-specific rates for SCHs, we refer readers to section V.A. of the preamble of this final rule.
In addition, because SCHs use the same MS-DRGs as other hospitals when they are paid based in whole or in part on the hospital-specific rate, the hospital-specific rate is adjusted by a budget neutrality factor to ensure that changes to the MS-DRG classifications and the recalibration of the MS-DRG relative weights are made in a manner so that aggregate IPPS payments are unaffected. Therefore, a SCH's hospital-specific rate is adjusted by the MS-DRG reclassification and recalibration budget neutrality factor of 0.997989, as discussed in section III. of this Addendum. The resulting rate is used in determining the payment rate an SCH will receive for its discharges beginning on or after October 1, 2013. We note that, in this final rule, for FY 2014, we are not making a documentation and coding adjustment to the hospital-specific rate. We refer readers to section II.D. of the preamble of this final rule for a complete discussion regarding our finalized policies and previously finalized policies (including our historical adjustments to the payment rates) relating to the effect of changes in documentation and coding that do not reflect real changes in case-mix. We note that section II.D. of the preamble of this final rule also includes a discussion on documentation and coding effects that occurred through FY 2010, including the request for public comments in the FY 2014 IPPS/LTCH PPS proposed rule as to whether any portion of the −0.8 percent recoupment adjustment discussed in section II.D.6. of the preamble of this final rule should be reduced and instead applied as a prospective adjustment for the cumulative MS-DRG documentation and coding effect through FY 2010.
c. Adjustment to Offset the Cost of the Admission and Medical Review Criteria for Hospital Inpatient Services Under Medicare Part A Policy and Clarification
As discussed previously, in section XI.C. of the preamble of this final rule, our actuaries project additional IPPS expenditures will result from our policy that medical review of inpatient admissions will include a presumption that hospital inpatient admissions are reasonable and necessary for beneficiaries who require more than 1 Medicare utilization day (defined by encounters crossing 2 “midnights”) in the hospital receiving medically necessary services after inpatient admission (which is presented in section XI.C. of the preamble of this final rule). We believe that it is appropriate to use our exceptions and adjustments authority under section 1886(d)(5)(I)(i) of the Act to apply reductions of 0.2 percent (or a 0.998 adjustment) to the IPPS rates, including the FY 2014 hospital-specific rate for SCHs, to offset our estimate of the increase in IPPS payments. We refer readers to section XI.C. of the preamble of this final rule for a complete discussion of our policy on admission and medical review criteria for hospital inpatient services under Medicare Part A.
3. General Formula for Calculation of Prospective Payment Rates for Hospitals Located in Puerto Rico Beginning on or After October 1, 2013, and Before October 1, 2014
Section 1886(d)(9)(E)(iv) of the Act provides that, effective for discharges occurring on or after October 1, 2004, hospitals located in Puerto Rico are paid based on a blend of 75 percent of the national prospective payment rate and 25 percent of the Puerto Rico-specific rate.
a. Puerto Rico-Specific Rate
The Puerto Rico-specific prospective payment rate is determined as follows:
Step 1—Select the applicable average standardized amount considering the applicable wage index (obtained from Table 1C published in section VI. of this Addendum and available via the Internet).
Step 2—Multiply the labor-related portion of the standardized amount by the applicable Puerto Rico-specific wage index.
Step 3—Add the amount from Step 2 and the nonlabor-related portion of the standardized amount.
Step 4—Multiply the amount from Step 3 by the applicable MS-DRG relative weight (obtained from Table 5 listed in section VI. of this Addendum and available via the Internet).
Step 5—Multiply the result in Step 4 by 25 percent.
b. National Prospective Payment Rate
The national prospective payment rate is determined as follows:
Step 1—Select the applicable average standardized amount.
Step 2—Multiply the labor-related portion of the standardized amount by the applicable wage index for the geographic area in which the hospital is located or the area to which the hospital is reclassified.
Step 3—Add the amount from Step 2 and the nonlabor-related portion of the national average standardized amount.
Step 4—Multiply the amount from Step 3 by the applicable MS-DRG relative weight (obtained from Table 5 listed in section VI. of this Addendum and available via the Internet).
Step 5—Multiply the result in Step 4 by 75 percent.
The sum of the Puerto Rico-specific rate and the national prospective payment rate computed above equals the prospective payment for a given discharge for a hospital located in Puerto Rico. This rate is then further adjusted if the hospital qualifies for either the IME or DSH adjustment.
Finally, we add the uncompensated care payment to the total claim payment amount. We note that, as finalized above, we take uncompensated care payments into consideration when calculating outlier payments.
c. Adjustment to Offset the Cost of the Admission and Medical Review Criteria for Hospital Inpatient Services Under Medicare Part A Policy and Clarification
As discussed previously, in section XI.C. of the preamble of this final rule, our actuaries project additional IPPS expenditures will result from our policy that medical review of inpatient admissions will include a presumption that hospital inpatient admissions are reasonable and necessary for beneficiaries who require more than 1 Medicare utilization day (defined by encounters crossing 2 “midnights”) in the hospital receiving medically necessary services after inpatient admission (which is presented in section XI.C. of the preamble of this final rule). We believe that it is appropriate to use our exceptions and adjustments authority under section 1886(d)(5)(I)(i) of the Act to apply reductions of 0.2 percent (or a 0.998 adjustment) to the IPPS rates, including the FY 2014 national standardized amount and the Puerto Rico standardized amount, to offset our estimate of the increase in IPPS payments. We refer readers to section XI.C. of the preamble of this final rule for a complete discussion of our policy on admission and medical review criteria for hospital inpatient services under Medicare Part A.
III. Changes to Payment Rates for Acute Care Hospital Inpatient Capital-Related Costs for FY 2014 Back to Top
The PPS for acute care hospital inpatient capital-related costs was implemented for cost reporting periods beginning on or after October 1, 1991. Effective with that cost reporting period, over a 10-year transition period (which extended through FY 2001) the payment methodology for Medicare acute care hospital inpatient capital-related costs changed from a reasonable cost-based methodology to a prospective methodology (based fully on the Federal rate).
The basic methodology for determining Federal capital prospective rates is set forth in the regulations at 42 CFR 412.308 through 412.352. Below we discuss the factors that we used to determine the capital Federal rate for FY 2014, which is effective for discharges occurring on or after October 1, 2013.
The 10-year transition period ended with hospital cost reporting periods beginning on or after October 1, 2001 (FY 2002). Therefore, for cost reporting periods beginning in FY 2002, all hospitals (except “new” hospitals under § 412.304(c)(2)) are paid based on the capital Federal rate. For FY 1992, we computed the standard Federal payment rate for capital-related costs under the IPPS by updating the FY 1989 Medicare inpatient capital cost per case by an actuarial estimate of the increase in Medicare inpatient capital costs per case. Each year after FY 1992, we update the capital standard Federal rate, as provided at § 412.308(c)(1), to account for capital input price increases and other factors. The regulations at § 412.308(c)(2) also provide that the capital Federal rate be adjusted annually by a factor equal to the estimated proportion of outlier payments under the capital Federal rate to total capital payments under the capital Federal rate. In addition, § 412.308(c)(3) requires that the capital Federal rate be reduced by an adjustment factor equal to the estimated proportion of payments for exceptions under § 412.348. (We note that, as discussed in the FY 2013 IPPS/LTCH PPS final rule (77 FR 53705), there is generally no longer a need for an exceptions payment adjustment factor.) However, in limited circumstances, an additional payment exception for extraordinary circumstances is provided for under § 412.348(f) for qualifying hospitals. Therefore, in accordance with § 412.308(c)(3), an exceptions payment adjustment factor may need to be applied if such payments are made. Section 412.308(c)(4)(ii) requires that the capital standard Federal rate be adjusted so that the effects of the annual DRG reclassification and the recalibration of DRG weights and changes in the geographic adjustment factor (GAF) are budget neutral.
Section 412.374 provides for blended payments to hospitals located in Puerto Rico under the IPPS for acute care hospital inpatient capital-related costs. Accordingly, under the capital PPS, we compute a separate payment rate specific to hospitals located in Puerto Rico using the same methodology used to compute the national Federal rate for capital-related costs. In accordance with section 1886(d)(9)(A) of the Act, under the IPPS for acute care hospital operating costs, hospitals located in Puerto Rico are paid for operating costs under a special payment formula. Effective October 1, 2004, in accordance with section 504 of Public Law 108-173, the methodology for operating payments made to hospitals located in Puerto Rico under the IPPS was revised to make payments based on a blend of 25 percent of the applicable standardized amount specific to Puerto Rico hospitals and 75 percent of the applicable national average standardized amount. In conjunction with this change to the operating blend percentage, effective with discharges occurring on or after October 1, 2004, we also revised the methodology for computing capital payments made to hospitals located in Puerto Rico to be based on a blend of 25 percent of the Puerto Rico capital rate and 75 percent of the national capital Federal rate (69 FR 49185).
A. Determination of the Federal Hospital Inpatient Capital-Related Prospective Payment Rate Update
In the discussion that follows, we explain the factors that we used to determine the capital Federal rate for FY 2014. In particular, we explain why the FY 2014 capital Federal rate increases approximately 0.9 percent, compared to the FY 2013 capital Federal rate. As discussed in the impact analysis in Appendix A to this final rule, we estimate that capital payments per discharge will increase 1.6 percent during that same period. Because capital payments constitute about 10 percent of hospital payments, a percent change in the capital Federal rate yields only about a 0.1 percent change in actual payments to hospitals.
1. Projected Capital Standard Federal Rate Update
a. Description of the Update Framework
Under § 412.308(c)(1), the capital standard Federal rate is updated on the basis of an analytical framework that takes into account changes in a capital input price index (CIPI) and several other policy adjustment factors. Specifically, we adjust the projected CIPI rate-of-increase as appropriate each year for case-mix index-related changes, for intensity, and for errors in previous CIPI forecasts. The update factor for FY 2014 under that framework is 0.9 percent based on the best data available at this time. The update factor under that framework is based on a projected 1.2 percent increase in the revised and rebased FY 2010-based CIPI (discussed in more detail in section IV.D. of the preamble of this final rule), a 0.0 percentage point adjustment for intensity, a 0.0 percentage point adjustment for case-mix, a 0.0 percentage point adjustment for the FY 2012 DRG reclassification and recalibration, and a forecast error correction of −0.3 percentage point. As discussed below in section III.C. of this Addendum, we continue to believe that the CIPI is the most appropriate input price index for capital costs to measure capital price changes in a given year. We also explain the basis for the FY 2014 CIPI projection in that same section of this Addendum. Below we describe the policy adjustments that we are applying in the update framework for FY 2014.
The case-mix index is the measure of the average DRG weight for cases paid under the IPPS. Because the DRG weight determines the prospective payment for each case, any percentage increase in the case-mix index corresponds to an equal percentage increase in hospital payments.
The case-mix index can change for any of several reasons:
- The average resource use of Medicare patients changes (“real” case-mix change);
- Changes in hospital documentation and coding of patient records result in higher-weighted DRG assignments (“coding effects”); and
- The annual DRG reclassification and recalibration changes may not be budget neutral (“reclassification effect”).
We define real case-mix change as actual changes in the mix (and resource requirements) of Medicare patients as opposed to changes in documentation and coding behavior that result in assignment of cases to higher-weighted DRGs, but do not reflect higher resource requirements. The capital update framework includes the same case-mix index adjustment used in the former operating IPPS update framework (as discussed in the May 18, 2004 IPPS proposed rule for FY 2005 (69 FR 28816)). (We no longer use an update framework to make a recommendation for updating the operating IPPS standardized amounts as discussed in section II. of Appendix B to the FY 2006 IPPS final rule (70 FR 47707).)
For FY 2014, we are projecting a 0.5 percent total increase in the case-mix index. We estimated that the real case-mix increase will also equal 0.5 percent for FY 2014. The net adjustment for change in case-mix is the difference between the projected real increase in case-mix and the projected total increase in case-mix. Therefore, as we proposed, the net adjustment for case-mix change in FY 2014 is 0.0 percentage point.
The capital update framework also contains an adjustment for the effects of DRG reclassification and recalibration. This adjustment is intended to remove the effect on total payments of prior year's changes to the DRG classifications and relative weights, in order to retain budget neutrality for all case-mix index-related changes other than those due to patient severity of illness. Due to the lag time in the availability of data, there is a 2-year lag in data used to determine the adjustment for the effects of DRG reclassification and recalibration. For example, we have data available to evaluate the effects of the FY 2012 DRG reclassification and recalibration as part of our update for FY 2014. We estimate that FY 2012 DRG reclassification and recalibration resulted in no change in the case-mix when compared with the case-mix index that would have resulted if we had not made the reclassification and recalibration changes to the DRGs. Therefore, as we proposed, we are making a 0.0 percentage point adjustment for reclassification and recalibration in the update framework for FY 2014.
The capital update framework also contains an adjustment for forecast error. The input price index forecast is based on historical trends and relationships ascertainable at the time the update factor is established for the upcoming year. In any given year, there may be unanticipated price fluctuations that may result in differences between the actual increase in prices and the forecast used in calculating the update factors. In setting a prospective payment rate under the framework, we make an adjustment for forecast error only if our estimate of the change in the capital input price index for any year is off by 0.25 percentage point or more. There is a 2-year lag between the forecast and the availability of data to develop a measurement of the forecast error. A forecast error of −0.3 percentage point was calculated for the FY 2014 update. That is, current historical data indicate that the forecasted FY 2012 rate-of-increase of the FY 2006-based CIPI (1.5 percent) used in calculating the FY 2012 update factor slightly overstated the actual realized FY 2012 price increases of the FY 2006-based CIPI (1.2 percent) by 0.3 percentage point because the prices associated with both the depreciation and interest cost categories grew more slowly than anticipated. Historically, when forecast error of the CIPI is greater than 0.25 percentage point in absolute terms, it is reflected in the update recommended under this framework. Therefore, as we proposed, we are making a −0.3 percentage point adjustment for forecast error in the update for FY 2014.
Under the capital IPPS update framework, we also make an adjustment for changes in intensity. Historically, we calculated this adjustment using the same methodology and data that were used in the past under the framework for operating IPPS. The intensity factor for the operating update framework reflected how hospital services are utilized to produce the final product, that is, the discharge. This component accounts for changes in the use of quality-enhancing services, for changes within DRG severity, and for expected modification of practice patterns to remove noncost-effective services. Our intensity measure is based on a 5-year average.
We calculate case-mix constant intensity as the change in total cost per discharge, adjusted for price level changes (the CIPI for hospital and related services) and changes in real case-mix. Without reliable estimates of the proportions of the overall annual intensity increases that are due, respectively, to ineffective practice patterns and the combination of quality-enhancing new technologies and complexity within the DRG system, we assume that one-half of the annual increase is due to each of these factors. The capital update framework thus provides an add-on to the input price index rate of increase of one-half of the estimated annual increase in intensity, to allow for increases within DRG severity and the adoption of quality-enhancing technology.
In this final rule, we are continuing to use a Medicare-specific intensity measure that is based on a 5-year adjusted average of cost per discharge for FY 2014 (we refer readers to the FY 2011 IPPS/LTCH PPS final rule (75 FR 50436) for a full description of our Medicare-specific intensity measure). Specifically, for FY 2014, we are using an intensity measure that is based on an average of cost per discharge data from the 5-year period beginning with FY 2006 and extending through FY 2011. Based on these data, we estimated that case-mix constant intensity declined during FYs 2006 through 2011. In the past, when we found intensity to be declining, we believed a zero (rather than a negative) intensity adjustment was appropriate. Consistent with this approach, because we estimate that intensity declined during that 5-year period, we believe it is appropriate to continue to apply a zero intensity adjustment for FY 2014. Therefore, as we proposed, we are making a 0.0 percentage point adjustment for intensity in the update for FY 2014.
Above, we described the basis of the components used to develop the 0.9 percent capital update factor under the capital update framework for FY 2014 as shown in the table below.
| *The capital input price index is based on the revised and rebased FY 2010-based CIPI discussed in section IV.D. of the preamble of this final rule. | |
| Capital Input Price Index* | 1.2 |
| Intensity | 0.0 |
| Case-Mix Adjustment Factors: | |
| Real Across DRG Change | −0.5 |
| Projected Case-Mix Change | 0.5 |
| Subtotal | 1.2 |
| Effect of FY 2012 Reclassification and Recalibration | 0.0 |
| Forecast Error Correction | −0.3 |
| Total Update | 0.9 |
b. Comparison of CMS and MedPAC Update Recommendation
In its March 2013 Report to Congress, MedPAC did not make a specific update recommendation for capital IPPS payments for FY 2014. (We refer readers to MedPAC's Report to the Congress: Medicare Payment Policy, March 2013, Chapter 3.)
2. Outlier Payment Adjustment Factor
Section 412.312(c) establishes a unified outlier payment methodology for inpatient operating and inpatient capital-related costs. A single set of thresholds is used to identify outlier cases for both inpatient operating and inpatient capital-related payments. Section 412.308(c)(2) provides that the standard Federal rate for inpatient capital-related costs be reduced by an adjustment factor equal to the estimated proportion of capital-related outlier payments to total inpatient capital-related PPS payments. The outlier thresholds are set so that operating outlier payments are projected to be 5.1 percent of total operating IPPS DRG payments.
For FY 2013, we estimated that outlier payments for capital will equal 6.38 percent of inpatient capital-related payments based on the capital Federal rate in FY 2013. Based on the thresholds as set forth in section II.A. of this Addendum, we estimate that outlier payments for capital-related costs would equal 6.07 percent for inpatient capital-related payments based on the capital Federal rate in FY 2014. Therefore, we are applying an outlier adjustment factor of 0.9393 in determining the capital Federal rate for FY 2014. Thus, we estimate that the percentage of capital outlier payments to total capital Federal rate payments for FY 2014 will be slightly lower than the percentage for FY 2013.
The outlier reduction factors are not built permanently into the capital rates; that is, they are not applied cumulatively in determining the capital Federal rate. The FY 2014 outlier adjustment of 0.9393 is a 0.33 percent change from the FY 2013 outlier adjustment of 0.9362. Therefore, the net change in the outlier adjustment to the capital Federal rate for FY 2014 is 1.0033 (0.9393/0.9362). Thus, the outlier adjustment will increase the FY 2014 capital Federal rate by 0.33 percent compared to the FY 2013 outlier adjustment.
3. Budget Neutrality Adjustment Factor for Changes in DRG Classifications and Weights and the GAF
Section 412.308(c)(4)(ii) requires that the capital Federal rate be adjusted so that aggregate payments for the fiscal year based on the capital Federal rate after any changes resulting from the annual DRG reclassification and recalibration and changes in the GAF are projected to equal aggregate payments that would have been made on the basis of the capital Federal rate without such changes. Because we implemented a separate GAF for Puerto Rico, we apply separate budget neutrality adjustments for the national GAF and the Puerto Rico GAF. We apply the same budget neutrality factor for DRG reclassifications and recalibration nationally and for Puerto Rico. Separate adjustments were unnecessary for FY 1998 and earlier because the GAF for Puerto Rico was implemented in FY 1998.
To determine the factors for FY 2014, we compared (separately for the national capital rate and the Puerto Rico capital rate) estimated aggregate capital Federal rate payments based on the FY 2013 MS-DRG classifications and relative weights and the FY 2013 GAF to estimated aggregate capital Federal rate payments based on the FY 2013 MS-DRG classifications and relative weights and the FY 2014 GAFs. To achieve budget neutrality for the changes in the national GAFs, based on calculations using updated data, we are applying an incremental budget neutrality adjustment factor of 0.9997 for FY 2014 to the previous cumulative FY 2013 adjustment factor of 0.9904, yielding an adjustment factor of 0.9900 through FY 2014. For the Puerto Rico GAFs, we are applying an incremental budget neutrality adjustment factor of 0.9990 for FY 2014 to the previous cumulative FY 2013 adjustment factor of 1.0095, yielding a cumulative adjustment factor of 1.0084 through FY 2014.
We then compared estimated aggregate capital Federal rate payments based on the FY 2013 MS-DRG relative weights and the FY 2014 GAFs to estimated aggregate capital Federal rate payments based on the cumulative effects of the FY 2014 MS-DRG classifications and relative weights and the FY 2014 GAFs. The incremental adjustment factor for DRG classifications and changes in relative weights is 0.9990 both nationally and for Puerto Rico. The cumulative adjustment factors for MS-DRG classifications and changes in relative weights and for changes in the GAFs through FY 2014 are 0.9881 nationally and 1.0076 for Puerto Rico. (We note that all the values are calculated with unrounded numbers.) The GAF/DRG budget neutrality adjustment factors are built permanently into the capital rates; that is, they are applied cumulatively in determining the capital Federal rate. This follows the requirement under § 412.308(c)(4)(ii) that estimated aggregate payments each year be no more or less than they would have been in the absence of the annual DRG reclassification and recalibration and changes in the GAFs.
The methodology used to determine the recalibration and geographic adjustment factor (GAF/DRG) budget neutrality adjustment is similar to the methodology used in establishing budget neutrality adjustments under the IPPS for operating costs. One difference is that, under the operating IPPS, the budget neutrality adjustments for the effect of geographic reclassifications are determined separately from the effects of other changes in the hospital wage index and the MS-DRG relative weights. Under the capital IPPS, there is a single GAF/DRG budget neutrality adjustment factor (the national capital rate and the Puerto Rico capital rate are determined separately) for changes in the GAF (including geographic reclassification) and the MS-DRG relative weights. In addition, there is no adjustment for the effects that geographic reclassification has on the other payment parameters, such as the payments for DSH or IME.
The cumulative adjustment factor accounts for the MS-DRG reclassifications and recalibration and for changes in the GAFs. It also incorporates the effects on the GAFs of FY 2014 geographic reclassification decisions made by the MGCRB compared to FY 2013 decisions. However, it does not account for changes in payments due to changes in the DSH and IME adjustment factors.
4. Capital Federal Rate for FY 2014
For FY 2013, we established a capital Federal rate of $425.49 (77 FR 53706). We are establishing an update of 0.9 percent in determining the FY 2014 capital Federal rate for all hospitals. In addition, as discussed in greater detail in section IV.C. of the preamble of this final rule, we are making a reduction of 0.2 percent to the capital IPPS rates, to offset the estimated additional IPPS expenditures that are projected to result from our policy on admission and medical review criteria for hospital inpatient services under Medicare Part A.
As a result of the 0.9 percent update, the budget neutrality factors, and the 0.2 percent reduction to offset the estimated additional IPPS expenditures projected to result from our policy on admission and medical review criteria for hospital inpatient services discussed above, we are establishing a national capital Federal rate of $429.31 for FY 2014. The national capital Federal rate for FY 2014 was calculated as follows:
- The FY 2014 update factor is 1.009, that is, the update is 0.9 percent.
- The FY 2014 budget neutrality adjustment factor that is applied to the capital Federal rate for changes in the MS-DRG classifications and relative weights and changes in the GAFs is 0.9987.
- The FY 2014 outlier adjustment factor is 0.9393.
- An adjustment factor of 0.9980 (that is, a reduction of 0.2 percent) to offset the estimated additional IPPS expenditures that are projected to result from our policy on admission and medical review criteria for hospital inpatient services under Medicare Part A.
(We note that, as discussed in section VI.D. of the preamble of this final rule, we are not making an additional MS-DRG documentation and coding adjustment to the capital IPPS Federal rates for FY 2014.)
Because the capital Federal rate has already been adjusted for differences in case-mix, wages, cost-of-living, indirect medical education costs, and payments to hospitals serving a disproportionate share of low-income patients, we are not making additional adjustments in the capital Federal rate for these factors, other than the budget neutrality factor for changes in the MS-DRG classifications and relative weights and for changes in the GAFs. (As noted previously in this section, there is no need for an exceptions payment adjustment budget neutrality factor in determining the FY 2014 capital Federal rate.)
We are providing the following chart that shows how each of the factors and adjustments for FY 2014 affects the computation of the FY 2014 national capital Federal rate in comparison to the FY 2013 national capital Federal rate. The FY 2014 update factor has the effect of increasing the capital Federal rate by 0.9 percent compared to the FY 2013 capital Federal rate. The GAF/DRG budget neutrality adjustment factor has the effect of decreasing the capital Federal rate by 0.13 percent. The FY 2014 outlier adjustment factor has the effect of increasing the capital Federal rate by 0.33 percent compared to the FY 2013 capital Federal rate. The adjustment to account for the estimated additional IPPS expenditures that are projected to result from our policy on admission and medical review criteria for hospital inpatient services under Medicare Part A has the effect of decreasing the capital Federal rate by 0.2 percent compared to the FY 2013 capital Federal rate. The combined effect of all the changes will increase the national capital Federal rate by 1.90 percent compared to the FY 2013 national capital Federal rate.
| FY 2013 | FY 2014 | Change | Percent change | |
|---|---|---|---|---|
| 1The update factor and the GAF/DRG budget neutrality adjustment factors are built permanently into the capital Federal rates. Thus, for example, the incremental change from FY 2013 to FY 2014 resulting from the application of the 0.9987 GAF/DRG budget neutrality adjustment factor for FY 2014 is a net change of 0.9987 (or −0.13 percent). | ||||
| 2The outlier reduction factor is not built permanently into the capital Federal rate; that is, the factor is not applied cumulatively in determining the capital Federal rate. Thus, for example, the net change resulting from the application of the FY 2014 outlier adjustment factor is 0.9393/0.9362, or 1.0033 (or 0.33 percent). | ||||
| 3The adjustment to account for the estimated additional IPPS expenditures that are projected to result from our policy on admission and medical review criteria for hospital inpatient services under Medicare Part A (discussed in section VI.C. of the preamble of this final rule). | ||||
| Update Factor1 | 1.0120 | 1.0090 | 1.0090 | 0.90 |
| GAF/DRG Adjustment Factor1 | 0.9998 | 0.9987 | 0.9987 | −0.13 |
| Outlier Adjustment Factor2 | 0.9362 | 0.9393 | 1.0033 | 0.33 |
| Adjustment for admission and medical review criteria3 | N/A | 0.9980 | 0.9980 | −0.20 |
| Capital Federal Rate | $425.49 | $429.31 | 1.0190 | 1.90 |
In this final rule, we also are providing the following chart that shows how the final FY 2014 capital Federal rate differs from the proposed FY 2014 capital Federal rate as presented in the FY 2014 IPPS/LTCH PPS proposed rule.
| Proposed | Final | Change | Percent change | |
|---|---|---|---|---|
| Update Factor | 1.0090 | 1.0090 | 1.0000 | 0.00 |
| GAF/DRG Adjustment Factor | 0.9988 | 0.9987 | 0.9999 | −0.01 |
| Outlier Adjustment Factor | 0.9451 | 0.9393 | 0.9938 | −0.62 |
| Adjustment for admission and medical review criteria | 0.9980 | 0.9980 | 1.0000 | 0.00 |
| Capital Federal Rate | $432.03 | $429.31 | 0.9937 | −0.63 |
6. Special Capital Rate for Puerto Rico Hospitals
Section 412.374 provides for the use of a blended payment system for payments made to hospitals located in Puerto Rico under the PPS for acute care hospital inpatient capital-related costs. Accordingly, under the capital PPS, we compute a separate payment rate specific to hospitals located in Puerto Rico using the same methodology used to compute the national Federal rate for capital-related costs. Under the broad authority of section 1886(g) of the Act, beginning with discharges occurring on or after October 1, 2004, capital payments made to hospitals located in Puerto Rico are based on a blend of 25 percent of the Puerto Rico capital rate and 75 percent of the capital Federal rate. The Puerto Rico capital rate is derived from the costs of Puerto Rico hospitals only, while the capital Federal rate is derived from the costs of all acute care hospitals participating in the IPPS (including Puerto Rico).
To adjust hospitals' capital payments for geographic variations in capital costs, we apply a GAF to both portions of the blended capital rate. The GAF is calculated using the operating IPPS wage index, and varies depending on the labor market area or rural area in which the hospital is located. We use the Puerto Rico wage index to determine the GAF for the Puerto Rico part of the capital-blended rate and the national wage index to determine the GAF for the national part of the blended capital rate.
Because we implemented a separate GAF for Puerto Rico in FY 1998, we also apply separate budget neutrality adjustment factors for the national GAF and for the Puerto Rico GAF. However, we apply the same budget neutrality adjustment factor for MS-DRG reclassifications and recalibration nationally and for Puerto Rico. The budget neutrality adjustment factors for the national GAF and for the Puerto Rico GAF, and the budget neutrality factor for MS-DRG reclassifications and recalibration (which is the same nationally and for Puerto Rico) is discussed above in section III.A.3. of this Addendum.
In computing the payment for a particular Puerto Rico hospital, the Puerto Rico portion of the capital rate (25 percent) is multiplied by the Puerto Rico-specific GAF for the labor market area in which the hospital is located, and the national portion of the capital rate (75 percent) is multiplied by the national GAF for the labor market area in which the hospital is located (which is computed from national data for all hospitals in the United States and Puerto Rico).
For FY 2013, the special capital rate for hospitals located in Puerto Rico was $207.25 (77 FR 53707). With the changes we are making to the other factors used to determine the capital Federal rate (including the adjustment to account for the estimated additional IPPS expenditures that are projected to result from our policy on admission and medical review criteria for hospital inpatient services under Medicare Part A (discussed in section IX.C. of the preamble of this final rule)), the FY 2014 special capital rate for hospitals in Puerto Rico is $209.82.
B. Calculation of the Inpatient Capital-Related Prospective Payments for FY 2014
For purposes of calculating payments for each discharge during FY 2014, the capital Federal rate is adjusted as follows: (Standard Federal Rate) × (DRG weight) × (GAF) × (COLA for hospitals located in Alaska and Hawaii) × (1 + DSH Adjustment Factor + IME Adjustment Factor, if applicable). The result is the adjusted capital Federal rate.
Hospitals also may receive outlier payments for those cases that qualify under the thresholds established for each fiscal year. Section 412.312(c) provides for a single set of thresholds to identify outlier cases for both inpatient operating and inpatient capital-related payments. The outlier thresholds for FY 2014 are in section II.A. of this Addendum. For FY 2014, a case would qualify as a cost outlier if the cost for the case plus the (operating) IME and DSH payments (including both the empirically justified Medicare DSH payment and the estimated uncompensated care payment, as discussed in section II.A.4.g.(1) of this Addendum) is greater than the prospective payment rate for the MS-DRG plus the fixed-loss amount of $21,748.
Currently, as provided under § 412.304(c)(2), we pay a new hospital 85 percent of its reasonable costs during the first 2 years of operation unless it elects to receive payment based on 100 percent of the capital Federal rate. Effective with the third year of operation, we pay the hospital based on 100 percent of the capital Federal rate (that is, the same methodology used to pay all other hospitals subject to the capital PPS).
C. Capital Input Price Index
1. Background
Like the operating input price index, the capital input price index (CIPI) is a fixed-weight price index that measures the price changes associated with capital costs during a given year. The CIPI differs from the operating input price index in one important aspect—the CIPI reflects the vintage nature of capital, which is the acquisition and use of capital over time. Capital expenses in any given year are determined by the stock of capital in that year (that is, capital that remains on hand from all current and prior capital acquisitions). An index measuring capital price changes needs to reflect this vintage nature of capital. Therefore, the CIPI was developed to capture the vintage nature of capital by using a weighted-average of past capital purchase prices up to and including the current year.
We periodically update the base year for the operating and capital input price indexes to reflect the changing composition of inputs for operating and capital expenses. As we proposed, in this final rule, we are rebasing and revising the CIPI to a FY 2010 base year to reflect the more current structure of capital costs in hospitals. A complete discussion of this rebasing is provided in section IV.D. of the preamble of this final rule. The CIPI was last rebased to FY 2006 in the FY 2010 IPPS/RY 2010 LTCH PPS final rule (74 FR 44021).
2. Forecast of the CIPI for FY 2014
Based on the latest forecast by IHS Global Insight, Inc. (second quarter of 2013), we are forecasting the FY 2010-based CIPI to increase 1.2 percent in FY 2014. This reflects a projected 1.9 percent increase in vintage-weighted depreciation prices (building and fixed equipment, and movable equipment), and a projected 2.8 percent increase in other capital expense prices in FY 2014, partially offset by a projected 2.3 percent decline in vintage-weighted interest expenses in FY 2014. The weighted average of these three factors produces the forecasted 1.2 percent increase for the FY 2010-based CIPI as a whole in FY 2014.
IV. Changes to Payment Rates for Excluded Hospitals: Rate-of-Increase Percentages for FY 2014 Back to Top
Historically, certain hospitals and hospital units excluded from the prospective payment system received payment for inpatient hospital services they furnished on the basis of reasonable costs, subject to a rate-of-increase ceiling. An annual per discharge limit (the target amount as defined in § 413.40(a)) was set for each hospital or hospital unit based on the hospital's own cost experience in its base year, and updated annually by a rate-of-increase percentage. The updated target amount for that period was multiplied by the Medicare discharges during that period and applied as an aggregate upper limit (the ceiling as defined in § 413.40(a)) on total inpatient operating costs for a hospital's cost reporting period. Prior to October 1, 1997, these payment provisions applied consistently to certain categories of excluded providers, which included rehabilitation hospitals and units (now referred to as IRFs), psychiatric hospitals and units (now referred to as IPFs), LTCHs, children's hospitals, and cancer hospitals.
Payments for services furnished in children's hospitals and cancer hospitals that are excluded from the IPPS continue to be subject to the rate-of-increase ceiling based on the hospital's own historical cost experience. (We note that, in accordance with § 403.752(a), RNHCIs are also subject to the rate-of-increase limits established under § 413.40 of the regulations.)
In the FY 2014 IPPS/LTCH PPS proposed rule (78 FR 27777), we proposed that the FY 2014 rate-of-increase percentage for updating the target amounts for the 11 cancer hospitals, children's hospitals, and RNHCIs would be the estimated percentage increase in the FY 2014 IPPS operating market basket, in accordance with applicable regulations at § 413.40. As described in section IV. of the preamble of the proposed rule, we proposed to revise and rebase the IPPS operating market basket to a FY 2010 base year. Therefore, we proposed to use the percentage increase in the FY 2010-based IPPS operating market basket to update the target amounts for children's hospitals, 11 cancer hospitals, and RNHCIs for FY 2014 and subsequent fiscal years. Accordingly, we proposed that the FY 2014 rate-of-increase percentage to be applied to the target amount for these cancer hospitals, children's hospitals, and RNHCIs would be the FY 2014 percentage increase in the FY 2010-based IPPS operating market basket. Based on IHS Global Insight, Inc.'s 2013 first quarter forecast, we estimated that the FY 2010-based IPPS operating market basket update for FY 2014 was 2.5 percent (that is, the estimate of the market basket rate-of-increase). However, we proposed that if more recent data became available for the final rule, we would use them to calculate the IPPS operating market basket update for FY 2014. Therefore, based on IHS Global Insight, Inc.'s 2013 second quarter forecast, with historical data through the 2013 first quarter, we estimate that the final FY 2010-based IPPS operating market basket update for FY 2014 is 2.5 percent (that is, the estimate of the market basket rate-of-increase). For cancer and children's hospitals and RNHCIs, the final FY 2014 rate-of-increase percentage that will be applied to the FY 2013 target amounts in order to determine the final FY 2014 target amount is 2.5 percent.
IRFs, IPFs, and LTCHs were previously paid under the reasonable cost methodology. However, the statute was amended to provide for the implementation of prospective payment systems for IRFs, IPFs, and LTCHs. In general, the prospective payment systems for IRFs, IPFs, and LTCHs provide transitioning periods of varying lengths of time during which a portion of the prospective payment was based on cost-based reimbursement rules under 42 CFR Part 413 (certain providers do not receive a transition period or may elect to bypass the transition as applicable under 42 CFR Part 412, Subparts N, O, and P.) We note that all of the various transitioning periods provided for under the IRF PPS, the IPF PPS, and the LTCH PPS have ended.
The IRF PPS, the IPF PPS, and the LTCH PPS are updated annually. We refer readers to section VIII. of the preamble of this final rule and section V. of the Addendum to this final rule for the update changes to the Federal payment rates for LTCHs under the LTCH PPS for FY 2014. The annual updates for the IRF PPS and the IPF PPS are issued by the agency in separate Federal Register documents.
V. Updates to the Payment Rates for the LTCH PPS for FY 2014 Back to Top
A. LTCH PPS Standard Federal Rate for FY 2014
1. Background
In section VIII. of the preamble of this final rule, we discuss our updates to the payment rates, factors, and specific policies under the LTCH PPS for FY 2014.
Under § 412.523(c)(3)(ii) of the regulations, for LTCH PPS rate years beginning RY 2004 through RY 2006, we updated the standard Federal rate annually by a factor to adjust for the most recent estimate of the increases in prices of an appropriate market basket of goods and services for LTCHs. We established this policy of annually updating the standard Federal rate because, at that time, we believed that was the most appropriate method for updating the LTCH PPS standard Federal rate for years after the initial implementation of the LTCH PPS in FY 2003. Therefore, under § 412.523(c)(3)(ii), for RYs 2004 through 2006, the annual update to the LTCH PPS standard Federal rate was equal to the previous rate year's Federal rate updated by the most recent estimate of increases in the appropriate market basket of goods and services included in covered inpatient LTCH services.
In determining the annual update to the standard Federal rate for RY 2007, based on our ongoing monitoring activity, we believed that, rather than solely using the most recent estimate of the LTCH PPS market basket update as the basis of the annual update factor, it was appropriate to adjust the standard Federal rate to account for the effect of documentation and coding in a prior period that was unrelated to patients' severity of illness (71 FR 27818). Accordingly, we established under § 412.523(c)(3)(iii) that the annual update to the standard Federal rate for RY 2007 was zero percent based on the most recent estimate of the LTCH PPS market basket at that time, offset by an adjustment to account for changes in case-mix in prior periods due to the effect of documentation and coding that were unrelated to patients' severity of illness. For RY 2008 through FY 2011, we also made an adjustment for the effect of documentation and coding that was unrelated to patients' severity of illness in establishing the annual update to the standard Federal rate as set forth in the regulations at §§ 412.523(c)(3)(iv) through (c)(3)(vii). For FYs 2012 and 2013, we updated the standard Federal rate by the most recent estimate of the LTCH PPS market basket at that time, including additional statutory adjustments required by section 1886(m)(3)(A) of the Act as set forth in the regulations at §§ 412.523(c)(3)(viii) through (c)(3)(ix).
Section 1886(m)(3)(A) of the Act, as added by section 3401(c) of the Affordable Care Act, specifies that, for rate year 2010 and each subsequent rate year, any annual update to the standard Federal rate shall be reduced:
- For rate year 2010 through 2019, by the other adjustment specified in section 1886(m)(3)(A)(ii) and (m)(4) of the Act; and
- For rate year 2012 and each subsequent year, by the productivity adjustment described in section 1886(b)(3)(B)(xi)(II) of the Act (which we refer to as “the multifactor productivity (MFP) adjustment”) as discussed in section VIII.C.2.b. of the preamble of this proposed rule.
Section 1886(m)(3)(B) of the Act provides that the application of paragraph (3) of section 1886(m) of the Act may result in the annual update being less than zero for a rate year, and may result in payment rates for a rate year being less than such payment rates for the preceding rate year. (As noted in section VIII.C.2.b. of the preamble of this final rule, the annual update to the LTCH PPS occurs on October 1 and we have adopted the term “fiscal year” (FY) rather than “rate year” (RY) under the LTCH PPS beginning October 1, 2010. Therefore, for purposes of clarity, when discussing the annual update for the LTCH PPS, including the provisions of the Affordable Care Act, we use the term “fiscal year” rather than “rate year” for 2011 and subsequent years.)
For FY 2013, consistent with our historical practice, we established an update to the LTCH PPS standard Federal rate based on the full estimated LTCH PPS market basket increase of 2.6 percent and the 0.8 percentage point reductions required by sections 1886(m)(3)(A)(i) and 1886(m)(3)(A)(ii) with 1886(m)(4)(C) of the Act. Accordingly, at § 412.523(c)(3)(ix) of the regulations, we established an annual update of 1.8 percent to the standard Federal rate for FY 2013 (77 FR 53708 through 53711 and 53481).
For FY 2014, as discussed in greater detail in section VIII.C.2.e. of the preamble of this final rule, we are establishing an annual update to the LTCH PPS standard Federal rate based on the full estimated increase in the LTCH PPS market basket, less the MFP adjustment consistent with section 1886(m)(3)(A)(i) of the Act, and less the 0.3 percentage point required by sections 1886(m)(3)(A)(ii) and (m)(4)(D) of the Act. In addition, as discussed in greater detail in section VIII.C.2.c., beginning in FY 2014, the annual update is further reduced by 2.0 percentage points for LTCHs that fail to submit quality reporting data in accordance with the LTCHQR Program under section 1886(m)(5) of the Act.
Specifically, in this final rule, based on the best available data, we are establishing an annual update to the standard Federal rate of 1.7 percent provided the LTCH submits quality reporting data for FY 2014 in accordance with the LTCHQR Program under section 1886(m)(5) of the Act, which is based on the full estimated increase in the LTCH PPS market basket of 2.5 percent, less the MFP adjustment of 0.5 percentage point consistent with section 1886(m)(3)(A)(i) of the Act, and less the 0.3 percentage point required by sections 1886(m)(3)(A)(ii) and (m)(4)(D) of the Act. As discussed in greater detail in section VIII.C.2.c., for LTCHs that fail to submit quality reporting data for FY 2014 in accordance with the LTCHQR Program, the annual update is further reduced by 2.0 percentage points as required by section 1886(m)(5) of the Act. Accordingly, we are establishing an annual update to the LTCH PPS standard Federal rate of −0.3 percent for LTCHs that fail to submit quality reporting data for FY 2014. This is calculated based on the full estimated increase in the LTCH PPS market basket of 2.5 percent, less a MFP adjustment of 0.5 percentage point, less an additional adjustment of 0.3 percentage point required by the statute, and less 2.0 percentage points for failure to submit quality reporting data as required by section 1886(m)(5) of the Act.
2. Development of the FY 2014 LTCH PPS Standard Federal Rate
We continue to believe that the annual update to the LTCH PPS standard Federal rate should be based on the most recent estimate of the increase in the LTCH PPS market basket, including any statutory adjustments. Consistent with our historical practice, for FY 2014, we applied the annual update to the LTCH PPS standard Federal rate from the previous year. In determining the standard Federal rate for FY 2014, we also are making certain regulatory adjustments. Specifically, we are applying an adjustment factor under the second year of the 3-year phase-in of the one-time prospective adjustment to the standard Federal rate under § 412.523(d)(3), as discussed in greater detail in section VIII.C.3. of the preamble of this final rule. In addition, in determining the FY 2014 standard Federal rate, we are applying a budget neutrality adjustment factor for the changes related to the area wage adjustment (that is, changes to the wage data and labor-related share) in accordance with § 412.523(d)(4).
In the FY 2013 IPPS/LTCH PPS final rule (77 FR 53708 through 53710 and 53481), we established an annual update to the LTCH PPS standard Federal rate of 1.8 percent for FY 2013 based on the full estimated LTCH PPS market basket increase of 2.6 percent, less the MFP adjustment of 0.7 percentage point consistent with section 1886(m)(3)(A)(i) of the Act and less the 0.1 percentage point required by sections 1886(m)(3)(A)(ii) and (m)(4)(C) of the Act. Accordingly, at § 412.523(c)(3)(ix), we established an annual update to the standard Federal rate for FY 2013 of 1.8 percent. That is, we applied an update factor of 1.018 to the FY 2012 Federal rate of $40,222.05 to determine the FY 2013 standard Federal rate. Effective December 29, 2012, we also adjusted the standard Federal rate for FY 2013 by the one-time prospective adjustment factor for FY 2013 of 0.98734 under § 412.523(d)(3)(ii) (this adjustment was not applied to payments for discharges occurring before December 29, 2012, consistent with the statute). Furthermore, for FY 2013, we applied an area wage level budget neutrality factor of 0.999265 to the standard Federal rate to ensure that any changes to the area wage level adjustment (that is, the annual update of the wage index values and labor-related share) would not result in any change (increase or decrease) in estimated aggregate LTCH PPS payments. Consequently, we established a standard Federal rate for FY 2013 of $40,397.96 (calculated as $40,222.05 × 1.018 × 0.98734 × 0.999265). Furthermore, consistent with the statute, the one-time prospective adjustment factor of 0.98734 applied to the standard Federal rate for FY 2013 is not applied to payments for discharges occurring before December 29, 2012. Therefore, payment for discharges occurring on or after October 1, 2012, and on or before December 28, 2012, does not reflect that adjustment and instead are paid based on a standard Federal rate of $40,915.95 (calculated as $40,397.96 divided by 0.98734).
In the FY 2014 IPPS/LTCH PPS proposed rule (78 FR 27778), we proposed to establish an annual update to the LTCH PPS standard Federal rate of 1.8 percent (that is, an update factor of 1.018) for FY 2014, based on the full estimated increase in the LTCH PPS market basket of 2.5 percent, less the MFP adjustment of 0.4 percentage point, consistent with section 1886(m)(3)(A)(i) of the Act, and less the 0.3 percentage point required by sections 1886(m)(3)(A)(ii) and (m)(4)(D) of the Act, provided the LTCH submits quality data in accordance with the LTCHQR Program under section 1886(m)(5) of the Act. Therefore, under § 412.523(c)(3)(x), we proposed to apply a factor of 1.018 to the FY 2013 standard Federal rate of $40,397.96 to determine the FY 2014 standard Federal rate. These factors were based on IGI's first quarter 2013 forecast, which were the best available data at that time. Consistent with our historical practice of using the best available data, we also proposed that if more recent data became available to determine the market basket estimate or the MFP adjustment, we would use such data for the final rule, if appropriate (78 FR 27666). For LTCHs that fail to submit quality reporting data for FY 2014 under the LTCHQR Program, under § 412.523(c)(3)(x) in conjunction with § 412.523(c)(4), we proposed to reduce the annual update to the LTCH PPS standard Federal rate by an additional 2.0 percentage points consistent with section 1886(m)(5) of the Act. Therefore, we proposed to establish an annual update to the LTCH PPS standard Federal rate of −0.2 percent (that is, 1.8 percent minus 2.0 percentage points = −0.2 percent or an update factor of 0.9980) for FY 2014 for LTCHs that fail to submit quality reporting data for FY 2014 under the LTCHQR Program. We also proposed that the standard Federal rate for FY 2014 would be further adjusted by an adjustment factor of 0.98734 for FY 2014 under the second year of the 3-year phase-in of the one-time prospective adjustment at § 412.523(d)(3)(ii). In addition, for FY 2014, we proposed to apply an area wage level budget neutrality factor of 1.000433 to the standard Federal rate to ensure that any changes to the area wage level adjustment (that is, the annual update of the wage index values and labor-related share) will not result in any change (increase or decrease) in estimated aggregate LTCH PPS payments. Accordingly, we proposed to establish a standard Federal rate of $40,622.06 (calculated as $40,397.96 × 1.018 × 0.98734 × 1.000433) for discharges occurring in FY 2014, provided the LTCH submits quality reporting data for FY 2014 in accordance with the LTCHQR Program under section 1886(m)(5) of the Act. For LTCHs that fail to submit quality reporting data for FY 2014 in accordance with the LTCHQR Program under section 1886(m)(5) of the Act, we proposed to establish a standard Federal of $39,823.99 (calculated as $40,397.96 × 0.998 × 0.98734 × 1.000433) for discharges occurring in FY 2014.
In this final rule, we are establishing an annual update to the LTCH PPS standard Federal rate of 1.7 percent (that is, an update factor of 1.017) for FY 2014, based on the full estimated increase in the LTCH PPS market basket of 2.5 percent, less the MFP adjustment of 0.5 percentage point, consistent with section 1886(m)(3)(A)(i) of the Act, and less the 0.3 percentage point required by sections 1886(m)(3)(A)(ii) and (m)(4)(D) of the Act, provided the LTCH submits quality data in accordance with the LTCHQR Program under section 1886(m)(5) of the Act. Therefore, under § 412.523(c)(3)(x), we are applying a factor of 1.017 to the FY 2013 standard Federal rate of $40,397.96 (as established in the FY 2013 IPPS/LTCH PPS final rule (77 FR 53710)) to determine the FY 2014 standard Federal rate. For LTCHs that fail to submit quality reporting data for FY 2014 under the LTCHQR Program, under § 412.523(c)(3)(x) in conjunction with § 412.523(c)(4), we are reducing the annual update to the LTCH PPS standard Federal rate by an additional 2.0 percentage points consistent with section 1886(m)(5) of the Act. Therefore, we are establishing an annual update to the LTCH PPS standard Federal rate of −0.3 percent (that is, 1.7 percent minus 2.0 percentage points = −0.3 percent or an update factor of 0.9970) for FY 2014 for LTCHs that fail to submit quality reporting data for FY 2014 under the LTCHQR Program. We also are establishing that the standard Federal rate for FY 2014 is further adjusted by an adjustment factor of 0.98734 for FY 2014 under the second year of the 3-year phase-in of the one-time prospective adjustment at § 412.523(d)(3)(ii). In addition, for FY 2014, we are applying an area wage level budget neutrality factor of 1.0010531 to the standard Federal rate to ensure that any changes to the area wage level adjustment (that is, the annual update of the wage index values and labor-related share) will not result in any change (increase or decrease) in estimated aggregate LTCH PPS payments. Accordingly, we are establishing a standard Federal rate for FY 2014 of $40,607.31 (calculated as $40,397.96 × 1.017 × 0.98734 × 1.0010531) for discharges occurring on or after October 1, 2013, and on or before September 30, 2014, provided the LTCH submits quality reporting data for FY 2014 in accordance with the LTCHQR Program under section 1886(m)(5) of the Act. For LTCHs that fail to submit quality reporting data for FY 2014 in accordance with the LTCHQR Program under section 1886(m)(5) of the Act, we are establishing a standard Federal rate for FY 2014 of $39,808.74 (calculated as $40,397.96 × 0.997 × 0.98734 × 1.0010531) for discharges occurring on or after October 1, 2013, and on or before September 30, 2014.
B. Adjustment for Area Wage Levels Under the LTCH PPS for FY 2014
1. Background
Under the authority of section 123 of the BBRA as amended by section 307(b) of the BIPA, we established an adjustment to the LTCH PPS standard Federal rate to account for differences in LTCH area wage levels at § 412.525(c). The labor-related share of the LTCH PPS standard Federal rate is adjusted to account for geographic differences in area wage levels by applying the applicable LTCH PPS wage index. The applicable LTCH PPS wage index is computed using wage data from inpatient acute care hospitals without regard to reclassification under section 1886(d)(8) or section 1886(d)(10) of the Act.
When we implemented the LTCH PPS, we established a 5-year transition to the full area wage index level adjustment. The area wage level adjustment was completely phased-in for cost reporting periods beginning in FY 2007. Therefore, for cost reporting periods beginning on or after October 1, 2006, the applicable LTCH wage index values are the full LTCH PPS wage index values calculated based on acute care hospital inpatient wage index data without taking into account geographic reclassification under section 1886(d)(8) and section 1886(d)(10) of the Act. For additional information on the phase-in of the area wage level adjustment under the LTCH PPS, we refer readers to the August 30, 2002 LTCH PPS final rule (67 FR 56015 through 56019) and the RY 2008 LTCH PPS final rule (72 FR 26891).
2. Geographic Classifications/Labor Market Area Definitions
As discussed in the August 30, 2002 LTCH PPS final rule, which implemented the LTCH PPS (67 FR 56015 through 56019), in establishing an adjustment for area wage levels, the labor-related portion of an LTCH's Federal prospective payment is adjusted by using an appropriate wage index based on the labor market area in which the LTCH is located. Specifically, the application of the LTCH PPS area wage level adjustment at existing § 412.525(c) is made on the basis of the location of the LTCH in either an urban area or a rural area as defined in § 412.503. Currently under the LTCH PPS at § 412.503, an “urban area” is defined as a Metropolitan Statistical Area (which would include a metropolitan division, where applicable) as defined by the Executive OMB and a “rural area” is defined as any area outside of an urban area.
In the RY 2006 LTCH PPS final rule (70 FR 24184 through 24185), in regulations at § 412.525(c), we revised the labor market area definitions used under the LTCH PPS effective for discharges occurring on or after July 1, 2005, based on the Executive OMB's CBSA designations, which are based on 2000 Census data. We made this revision because we believe that the CBSA-based labor market area definitions will ensure that the LTCH PPS wage index adjustment most appropriately accounts for and reflects the relative hospital wage levels in the geographic area of the hospital as compared to the national average hospital wage level. We note that these are the same CBSA-based designations implemented for acute care hospitals under the IPPS at § 412.64(b) (69 FR 49026 through 49034). (For further discussion of the CBSA-based labor market area (geographic classification) definitions currently used under the LTCH PPS, we refer readers to the RY 2006 LTCH PPS final rule (70 FR 24182 through 24191).) We have generally updated the LTCH PPS CBSA-based labor market area definitions annually since they were adopted for RY 2006 when updates from OMB were available (73 FR 26812 through 26814, 74 FR 44023 through 44204, and 75 FR 50444 through 50445).
In OMB Bulletin No. 10-2, issued on December 1, 2009, OMB announced that the CBSA changes in that bulletin would be the final update prior to the 2010 Census of Population and Housing. We adopted those changes under the LTCH PPS in the FY 2011 IPPS/LTCH PPS final rule (75 FR 50444 through 50445), effective beginning October 1, 2010, and adopted their continued use for FY 2012 and FY 2013 (76 FR 51808 and 77 FR 53710, respectively). In the FY 2013 IPPS/LTCH PPS final rule, we explained that in 2013 OMB planned to announce new area delineations based on its 2010 standards and the 2010 Census data and, therefore, for the FY 2013 LTCH area wage level adjustment, we would continue to use the same labor market areas that we adopted for FY 2012 (77 FR 53710). In fact, on February 28, 2013, OMB issued OMB Bulletin No. 13-01, announcing revisions to the delineation of Metropolitan Statistical Areas, Micropolitian Statistical Areas, and Combined Statistical Areas, and guidance on uses of the delineation of these areas. A copy of this bulletin may be obtained at http://www.whitehouse.gov/sites/default/files/omb/bulletins/2013/b-13-01.pdf. According to OMB, this bulletin provides the delineations of all Metropolitan Statistical Areas, Metropolitan Divisions, Micropolitan Statistical Areas, Combined Statistical Areas, and New England City and Town Areas in the United States and Puerto Rico based on the standards published in the Federal Register on June 28, 2010 (75 FR 37246 through 37252) and Census Bureau data.
In order to implement these changes for the LTCH PPS (as in the case of the IPPS, as discussed in section III.B. of the preamble of this final rule), it is necessary to identify the new area designations for each county and hospital in the country. While the revisions OMB published on February 28, 2013, are not as sweeping as the changes OMB announced in 2003, the February 28, 2013 bulletin does contain a number of significant changes. For example, there are new CBSAs, urban counties that have become rural, rural counties that have become urban, and existing CBSAs that have been split apart.
Because the update was not issued until February 28, 2013, and the changes made by the update and their ramifications must be extensively reviewed and verified, we were unable to undertake such a lengthy process before publication of the FY 2014 proposed rule. As we explained in the FY 2014 IPPS/LTCH PPS proposed rule (77 FR 27779), by the time the update was issued, that proposed rule was in the advanced stages of development. We had already developed the FY 2014 proposed LTCH PPS wage indexes based on the previous OMB definitions that are currently used under the LTCH PPS. We noted that CMS was faced with a similar situation 10 years ago, when OMB announced changes resulting from the 2000 Census in June 2003. At that time, CMS proposed and implemented the changes under the IPPS for FY 2005, followed by the adoption under the LTCH PPS in RY 2006 (as noted previously). Similarly, to allow for sufficient time to assess the new changes and their ramifications, consistent with the approach proposed under the IPPS (discussed in section III.B. of the preamble of this proposed rule), we intend to propose the adoption of the newest CBSA designations and the corresponding changes to the wage index based on those CBSA changes under the LTCH PPS for FY 2015 through notice and comment rulemaking. Therefore, for FY 2014, we proposed to continue to use the same labor market areas that were used under the LTCH PPS for FY 2013 (77 FR 53710) as we assess the new changes to the CBSA designations and their effect on LTCH PPS payments.
We did not receive any public comments specifically on our proposal to continue to use the same labor market areas that were used under the LTCH PPS for FY 2013 with the intention of proposing the adoption of the newest CBSA designations under the LTCH PPS for FY 2015 through notice and comment rulemaking. Accordingly, we are adopting this proposal as final without modification. We note that we received several public comments in support of this proposed approach under the IPPS, which we discuss in section III.B. of the preamble of this final rule.
For FY 2014, therefore, we are using the same labor market areas that are being used under the LTCH PPS for FY 2013 (77 FR 53710) as we assess the new changes to the CBSA designations and their effect on LTCH PPS payments. This is consistent with the approach being taken under the IPPS, and as noted previously, the LTCH PPS currently uses the same CBSA-based designations implemented for acute care hospitals under the IPPS. We refer readers to the RY 2006 LTCH PPS final rule (70 FR 24182 through 24191) for further information on the CBSA-based labor market area definitions currently used under the LTCH PPS. In addition, we refer readers to the FY 2005 IPPS final rule (69 FR 49026 through 49032) for those interested in learning about the issues that may need to be addressed in developing a proposal to implement the latest OMB update to the CBSA designations for FY 2015, and some of the policy decisions that may need to be taken into consideration in the development of such a proposal.
3. LTCH PPS Labor-Related Share
Under the adjustment for differences in area wage levels at § 412.525(c), the labor-related share of an LTCH's PPS Federal prospective payment is adjusted by the applicable wage index for the labor market area in which the LTCH is located. The LTCH PPS labor-related share currently represents the sum of the labor-related portion of operating costs (Wages and Salaries, Employee Benefits, Professional Fees: Labor-Related, Administrative and Business Support Services, and All-Other: Labor-Related Services) and a labor-related portion of capital costs using the applicable LTCH PPS market basket. (Additional background information on the historical development of the labor-related share under the LTCH PPS and the development of the RPL market basket can be found in the RY 2007 LTCH PPS final rule (71 FR 27810 through 27817 and 27829 through 27830) and the FY 2012 IPPS/LTCH PPS final rule (76 FR 51766 through 51769 and 51808).)
For FY 2013, we revised and rebased the market basket used under the LTCH PPS by adopting the newly created FY 2009-based LTCH-specific market basket. In addition, we determined the labor-related share for FY 2013 as the sum of the FY 2013 relative importance of each labor-related cost category of the FY 2009-based LTCH-specific market basket. Specifically, we determined the LTCH PPS labor-related share for FY 2013 based on the relative importance of the labor-related share of operating costs (Wages and Salaries, Employee Benefits, Professional Fees: Labor-Related, Administrative and Business Support Services, and All Other: Labor-Related Services) and the labor-related share of capital costs of the LTCH-specific market basket based on FY 2009 data, as we believed these were the best data available to reflect the cost structure of LTCHs. In the FY 2013 IPPS/LTCH PPS final rule (77 FR 53477 through 53479 and 53710 through 53711), we established a labor-related share under the LTCH PPS for FY 2013 of 63.096 percent based on IGI's second quarter 2012 forecast of the FY 2009-based LTCH-specific market basket for FY 2013, as these were the most recent available data at that time that reflected the cost structure of LTCHs. (For additional details on the development of the LTCH PPS labor-related share for FY 2013, we refer readers to section VII.C.3.f. of the preamble of the FY 2013 IPPS/LTCH PPS final rule.)
Consistent with our historical practice, in the FY 2014 IPPS/LTCH PPS proposed rule (77 FR 27779 through 27780), we proposed to determine the LTCH PPS labor-related share for FY 2014 based on the proposed FY 2014 relative importance of each labor-related cost category, which would reflect the different rates of price change for these cost categories between the base year (FY 2009) and FY 2014. Specifically, based on IGI's first quarter 2013 forecast of the FY 2009-based LTCH-specific market basket, we proposed a labor-related share under the LTCH PPS for FY 2014 of 62.717 percent. In addition, we proposed that if more recent data become available, we would use those data in determining the labor-related share under the LTCH PPS for FY 2014 in the final rule.
Comment: Several commenters requested that CMS explain why the FY 2014 LTCH PPS proposed labor-related share (62.717 percent) is significantly different than the FY 2014 IPPS proposed labor-related share (69.6 percent) and the FY 2014 IRF PPS proposed labor-related share (69.658 percent). Furthermore, the commenters stated that if the primary difference is the use of separate market baskets, CMS should explain whether this was considered at the time the LTCH-specific market basket was adopted for the LTCH PPS.
Response: As the commenters suggested, the labor-related share for LTCHs is lower than the labor-related shares for IPPS hospitals and IRFs because of differences in the base year cost weights of the specific market baskets that are used for each PPS. The market basket cost weights that are used to derive the LTCH labor-related share are based on FY 2009 Medicare cost report data from LTCHs. The IPPS proposed labor-related share is derived using the proposed FY 2010-based IPPS market basket cost weights (based on Medicare cost report data from IPPS hospitals) and the IRF proposed labor-related share is derived using the FY 2008-based RPL market basket cost weights (based on Medicare cost report data from IRFs, IPFs, and LTCHs).
When we finalized the use of the LTCH-specific market basket in the FY 2013 IPPS/LTCH final rule (77 FR 53478 through 53479), we stated that the principal factors contributing to the difference in the labor-related shares between the FY 2009-based LTCH-specific market basket and the FY 2008-based RPL market basket were the base year cost weight differences found in two specific categories: Wages and Salaries, and Benefits. We stated that the lower share of costs attributable to wages and salaries, and benefits found in the FY 2009-based LTCH-specific market basket was a direct result of incorporating cost data exclusively from LTCHs, as opposed to incorporating cost report data from freestanding IRFs, freestanding IPFs, and LTCHs combined (as is the case in the RPL market basket). Similarly, the IPPS labor-related share is based primarily on IPPS Medicare cost report data and would reflect the cost structure of IPPS hospitals. We continue to believe, as stated in the FY 2013 IPPS/LTCH PPS final rule, that a labor-related share for LTCHs that is based on Medicare cost report data obtained exclusively from the universe of LTCH providers appropriately reflects the national average cost structures of LTCHs, and appropriately identifies the labor-related share for use under the LTCH PPS.
Comment: Several commenters stated that CMS should consider whether the methodology for adjusting the LTCH labor-related share should be modified now that the LTCH PPS no longer uses the RPL market basket.
Response: We believe that the methodology for determining the labor-related share is technically appropriate as it estimates the proportion of LTCH costs that are labor-intensive and vary with, or are influenced by, the local labor market. The methodology for determining the proposed LTCH labor-related share for FY 2014 is the same general method as used to derive the FY 2014 IRF PPS proposed labor-related share, as well as the labor-related shares for other Medicare prospective payment systems such as the IPF PPS and the SNF PPS. That is, the labor-related share is equal to the sum of the relative importance of each labor-related cost category in the LTCH market basket. We calculate the labor-related relative importance for FY 2014 in four steps. First, we compute the FY 2014 price index level for the total market basket and each cost category of the market basket. Second, we calculate a ratio for each cost category by dividing the FY 2014 price index level for that cost category by the total market basket price index level. Third, we determine the FY 2014 relative importance for each cost category by multiplying this ratio by the base year (FY 2009) weight. Finally, we add the FY 2014 relative importance for each of the labor related cost categories. The purpose of the relative importance is to capture the different rates of price change for each of the market basket cost categories between the base year (FY 2009 for LTCHs) and FY 2014. Therefore, to the extent an individual price proxy for a specific cost category is projected to grow faster from FY 2009 to FY 2014 relative to the proxies for other cost categories, the relative importance for that category in FY 2014 will be higher than the base year cost weight in FY 2009.
After consideration of the public comments we received, consistent with our historical practice, as we proposed, we are determining the LTCH PPS labor-related share for FY 2014 based on the FY 2014 relative importance of each labor-related cost category, and reflects the different rates of price change for these cost categories between the base year (FY 2009) and FY 2014. For this final rule, we are determining the LTCH PPS labor-related share for FY 2014 based on IGI's second quarter 2013 forecast of the FY 2009-based LTCH-specific market basket as this is currently the best available data.
The table below shows the FY 2014 labor-related share relative importance using IGI's second quarter 2013 forecast of the FY 2009-based LTCH-specific market basket. The sum of the relative importance for FY 2014 for operating costs (Wages and Salaries, Employee Benefits, Professional Fees: Labor-related, Administrative and Business Support Services, and All Other: Labor-related Services) is 58.317 percent. We are establishing that the portion of capital-related costs that is influenced by the local labor market continues to be estimated to be 46 percent. Because the relative importance for capital-related costs is 9.174 percent of the FY 2009-based LTCH-specific market basket in FY 2014, we are taking 46 percent of 9.174 percent to determine the labor-related share of capital-related costs for FY 2014, which results in 4.220 percent (0.46 × 9.174). We then add that 4.220 percent for the capital-related cost amount to the 58.317 percent for the operating cost amount to determine the total labor-related share for FY 2014. Therefore, under the broad authority conferred upon the Secretary by section 123 of the BBRA, as amended by section 307(b) of BIPA, to determine appropriate adjustments under the LTCH PPS, we are establishing a labor-related share under the LTCH PPS in FY 2014 of 62.537 percent. This labor-related share is determined using the same methodology as employed in calculating all previous LTCH labor-related shares.
| FY 2014 Labor-related share relative importance | |
|---|---|
| Wages and Salaries | 45.012 |
| Employee Benefits | 8.094 |
| Professional Fees: Labor-Related | 2.207 |
| Administrative and Business Support Services | 0.499 |
| All Other: Labor-Related Services | 2.505 |
| Subtotal | 58.317 |
| Labor-Related Portion of Capital Costs (46%) | 4.220 |
| Total Labor-Related Share | 62.537 |
4. LTCH PPS Wage Index for FY 2014
Historically, under the LTCH PPS, we have established LTCH PPS wage index values calculated from acute care IPPS hospital wage data without taking into account geographic reclassification under sections 1886(d)(8) and 1886(d)(10) of the Act (67 FR 56019). The area wage level adjustment established under the LTCH PPS is based on an LTCH's actual location without regard to the urban or rural designation of any related or affiliated provider.
In the FY 2013 LTCH PPS final rule (77 FR 53711 through 53712), we calculated the FY 2013 LTCH PPS wage index values using the same data used for the FY 2013 acute care hospital IPPS (that is, data from cost reporting periods beginning during FY 2009), without taking into account geographic reclassification under sections 1886(d)(8) and 1886(d)(10) of the Act, as these were the most recent complete data available at that time. In that same final rule, we indicated that we computed the FY 2013 LTCH PPS wage index values consistent with the urban and rural geographic classifications (labor market areas) and consistent with the pre-reclassified IPPS wage index policy (that is, our historical policy of not taking into account IPPS geographic reclassifications in determining payments under the LTCH PPS). As with the IPPS wage index, wage data for multicampus hospitals with campuses located in different labor market areas (CBSAs) are apportioned to each CBSA where the campus (or campuses) are located. We also continued to use our existing policy for determining wage index values in areas where there are no IPPS wage data.
Consistent with our historical methodology, to determine the applicable wage index values under the LTCH PPS for FY 2014, under the broad authority conferred upon the Secretary by section 123 of the BBRA, as amended by section 307(b) of the BIPA, to determine appropriate adjustments under the LTCH PPS, as we proposed, we are using wage data collected from cost reports submitted by IPPS hospitals for cost reporting periods beginning during FY 2010, without taking into account geographic reclassification under sections 1886(d)(8) and 1886(d)(10) of the Act. We are using FY 2010 data because these data are the most recent complete data available. These are the same data used to compute the FY 2014 acute care hospital inpatient wage index, as discussed in section III. of the preamble of this final rule. (For our rationale for using IPPS hospital wage data as a proxy for determining the wage index values used under the LTCH PPS, we refer readers to the FY 2010 IPPS/RY 2010 LTCH PPS final rule (74 FR 44024 through 44025).)
As we proposed, the FY 2014 LTCH PPS wage index values were computed consistent with the urban and rural geographic classifications (labor market areas) discussed above in section V.B.2. of the Addendum to this final rule and consistent with the pre-reclassified IPPS wage index policy (that is, our historical policy of not taking into account IPPS geographic reclassifications under sections 1886(d)(8) and 1886(d)(10) of the Act in determining payments under the LTCH PPS). As with the IPPS wage index, wage data for multicampus hospitals with campuses located in different labor market areas (CBSAs) are apportioned to each CBSA where the campus or campuses are located (as discussed in section III.G. of the preamble of this final rule). Furthermore, in determining the FY 2014 LTCH PPS wage index values in this final rule, as we proposed, we are continuing to use our existing policy for determining wage index values in areas where there are no IPPS wage data. We established a methodology for determining LTCH PPS wage index values for areas that have no IPPS wage data in the RY 2009 LTCH PPS final rule, and we are continuing to use this methodology for FY 2014. (We refer readers to the RY 2009 LTCH PPS final rule (73 FR 26817 through 26818) for an explanation of and rationale for our policy for determining LTCH PPS wage index values for areas that have no IPPS wage data.)
There are currently no LTCHs located in labor areas without IPPS hospital wage data (or IPPS hospitals) for FY 2014. However, we calculated LTCH PPS wage index values for such an area using our established methodology in the event that, in the future, an LTCH should open in one of those areas. Under our existing methodology, the LTCH PPS wage index value for urban CBSAs with no IPPS wage data is determined by using an average of all of the urban areas within the State, and the LTCH PPS wage index value for rural areas with no IPPS wage data is determined by using the unweighted average of the wage indices from all of the CBSAs that are contiguous to the rural counties of the State.
Based on the FY 2010 IPPS wage data that we used to determine the FY 2014 LTCH PPS wage index values in this final rule, there are no IPPS wage data for the urban area Hinesville-Fort Stewart, GA (CBSA 25980). Consistent with the methodology discussed above and as we proposed, we calculated the FY 2014 wage index value for CBSA 25980 as the average of the wage index values for all of the other urban areas within the State of Georgia (that is, CBSAs 10500, 12020, 12060, 12260, 15260, 16860, 17980, 19140, 23580, 31420, 40660, 42340, 46660 and 47580), as shown in Table 12A, which is listed in section VI. of the Addendum to this final rule and available via the Internet on the CMS Web site). We note that, as IPPS wage data are dynamic, it is possible that urban areas without IPPS wage data will vary in the future.
Based on FY 2010 IPPS wage data that we are using to determine the FY 2014 LTCH PPS wage index values in this final rule, there are no rural areas without IPPS hospital wage data. Therefore, it was not necessary to use our established methodology to calculate an LTCH PPS wage index value for rural areas with no IPPS wage data for FY 2014. We note that, as IPPS wage data are dynamic, it is possible that rural areas without IPPS wage data will vary in the future.
The FY 2014 LTCH wage index values that will be applicable for LTCH discharges occurring on or after October 1, 2013, through September 30, 2014, are presented in Table 12A (for urban areas) and Table 12B (for rural areas), which are listed in section VI. of the Addendum of this final rule and available via the Internet on the CMS Web site.
5. Budget Neutrality Adjustment for Changes to the Area Wage Level Adjustment
Historically, the LTCH PPS wage index and labor-related share are updated annually based on the latest available data. Under § 412.525(c)(2), any changes to the wage index values or labor-related share are made in a budget neutral manner such that estimated aggregate LTCH PPS payments are unaffected; that is, will be neither greater than nor less than estimated aggregate LTCH PPS payments without such changes to the area wage level adjustment. Under this policy, we determine an area wage level adjustment budget neutrality factor that will be applied to the standard Federal rate to ensure that any changes to the area wage level adjustment are budget neutral such that any changes to the wage index values or labor-related share will not result in any change (increase or decrease) in estimated aggregate LTCH PPS payments. Accordingly, under § 412.523(d)(4), we apply an area wage level adjustment budget neutrality factor in determining the standard Federal rate, and we also established a methodology for calculating an area wage level adjustment budget neutrality factor. (For additional information on the establishment of our budget neutrality policy for changes to the area wage level adjustment, we refer readers to the FY 2012 IPPS/LTCH PPS final rule (76 FR 51771 through 51773 and 51809).)
For FY 2014, in accordance with § 412.523(d)(4), as we proposed, we are applying an area wage level adjustment budget neutrality factor to adjust the standard Federal rate to account for the estimated effect of the proposed adjustments or updates to the area wage level adjustment under § 412.525(c)(1) on estimated aggregate LTCH PPS payments using the methodology we established in the FY 2012 IPPS/LTCH PPS final rule (76 FR 51773). Specifically, we determined an area wage level adjustment budget neutrality factor that is applied to the standard Federal rate under § 412.523(d)(4) for FY 2014 using the following methodology:
Step 1—We simulated estimated aggregate LTCH PPS payments using the FY 2013 wage index values (as established in Tables 12A and 12B listed in the Addendum to the FY 2013 IPPS/LTCH PPS final rule and available via the Internet on the CMS Web site) and the FY 2013 labor-related share of 63.096 percent (as established in the FY 2013 IPPS/LTCH PPS final rule (77 FR 53477 through 53479 and 53710 through 53711).
Step 2—We simulated estimated aggregate LTCH PPS payments using the FY 2014 wage index values (as shown in Tables 12A and 12B listed in the Addendum to this final rule and available via the Internet on the CMS Web site) and the FY 2014 labor-related share of 62.537 percent (based on the latest available data as discussed previously in section V.B.3. of this Addendum).
Step 3—We calculated the ratio of these estimated total LTCH PPS payments by dividing the estimated total LTCH PPS payments using the FY 2013 area wage level adjustments (calculated in Step 1) by the estimated total LTCH PPS payments using the FY 2014 area wage level adjustments (calculated in Step 2) to determine the area wage level adjustment budget neutrality factor for FY 2014.
Step 4—We then applied the FY 2014 area wage level adjustment budget neutrality factor from Step 3 to determine the FY 2014 LTCH PPS standard Federal rate after the application of the FY 2014 annual update (discussed in section V.A.2. of the Addendum to this final rule). For this final rule, using the steps in the methodology described above, we determined a FY 2014 area wage level adjustment budget neutrality factor of 1.0010531. Accordingly, in section V.A.2. of the Addendum to this final rule, to determine the FY 2014 LTCH PPS standard Federal rate, we are applying an area wage level adjustment budget neutrality factor of 1.0010531, in accordance with § 412.523(d)(4). The FY 2014 LTCH PPS standard Federal rate shown in Table 1E of the Addendum to this final rule reflects this adjustment factor.
C. LTCH PPS Cost-of-Living Adjustment for LTCHs Located in Alaska and Hawaii
Under § 412.525(b), a cost-of-living adjustment (COLA) is provided for LTCHs located in Alaska and Hawaii to account for the higher costs incurred in those States. Specifically, we apply a COLA to payments to LTCHs located in Alaska and Hawaii by multiplying the nonlabor-related portion of the standard Federal payment rate by the applicable COLA factors established annually by CMS. Higher labor-related costs for LTCHs located in Alaska and Hawaii are taken into account in the adjustment for area wage levels described above.
As discussed in the FY 2013 IPPS/LTCH PPS final rule (77 FR 53481 through 53482 and 53712 through 53713), historically, we used the most recent updated COLA factors obtained from the U.S. Office of Personnel Management (OPM) Web site at http://www.opm.gov/oca/cola/rates.asp to adjust the LTCH PPS payments for LTCHs located in Alaska and Hawaii. Statutory changes have transitioned the Alaska and Hawaii COLAs to locality pay (phased in over a 3-year period beginning in January 2010, with COLA rates being frozen as of October 28, 2009, and then proportionately reduced to reflect the phase-in of locality pay). We explained that we did not believe it was appropriate to use either the 2010 or 2011 reduced COLA factors to adjust the nonlabor-related portion of the standard Federal rate for LTCHs located in Alaska and Hawaii for Medicare payment purposes. In addition, we believe that it was appropriate to use “frozen” COLA factors to adjust payments, while we explored alternatives for updating the COLA factors in the future.
In the FY 2013 IPPS/LTCH PPS final rule (77 FR 53712 through 53713), we continued to use the same “frozen” COLA factors used in FY 2012 to adjust the nonlabor-related portion of the standard Federal rate for LTCHs located in Alaska and Hawaii in FY 2013 under § 412.525(b). In that same final rule, we also established a methodology to update the COLA factors for Alaska and Hawaii, every 4 years (at the same time as the update to the labor-related share of the IPPS market basket), beginning in FY 2014. The methodology we established to update the COLA factors is based on a comparison of the growth in the CPIs for Anchorage, Alaska and Honolulu, Hawaii relative to the growth in the CPI for the average U.S. city as published by the Bureau of Labor Statistics (BLS). As also explained in that same final rule, we believe that using these updated COLA factors will appropriately adjust the nonlabor-related portion of the standard Federal rate for LTCHs located in Alaska and Hawaii. (For additional details on the methodology we established in the FY 2013 IPPS/LTCH PPS final rule to update the COLA factors for Alaska and Hawaii beginning in FY 2014, we refer readers to section VII.D.3. of the preamble of that final rule (77 FR 53481 through 53482).)
For FY 2014, we proposed to update the COLA factors published for Alaska and Hawaii by OPM for 2009 (as these are the last COLA factors OPM published prior to transitioning from COLAs to locality pay) using the methodology that we finalized in the FY 2013 IPPS/LTCH PPS final rule. Under our proposal, we proposed COLA factors for FY 2014 for the three specified urban areas of Alaska (Anchorage, Fairbanks and Juneau) of 1.23; for the City and County of Honolulu, the County of Kauai, the County of Maui, the County of Kalawao, and “All other” areas of Alaska of 1.25; and for the County of Hawaii of 1.19. For additional details on our proposal, we refer readers to the FY 2014 IPPS/LTCH PPS proposed rule (77 FR 27781 through 27782). We did not receive any public comments on our proposed COLA factors for FY 2014, and are adopting them as final in this final rule without modification. The development of the FY 2014 COLA factors for Alaska and Hawaii is described below.
In this final rule, for FY 2014, under the broad authority conferred upon the Secretary by section 123 of the BBRA, as amended by section 307(b) of the BIPA, to determine appropriate adjustments under the LTCH PPS, we are updating the COLA factors published by OPM for 2009 (as these are the last COLA factors OPM published prior to transitioning from COLAs to locality pay) using the methodology that we finalized in the FY 2013 IPPS/LTCH PPS final rule for purposes of making a COLA for LTCHs located in Alaska and Hawaii under § 412.525(b). Specifically, the methodology uses a comparison of the growth in the CPIs for Anchorage, Alaska and Honolulu, Hawaii relative to the growth in the CPI for the average U.S. city as published by the BLS. As discussed in that same final rule (77 FR 53481 through 53482), because BLS publishes CPI data for only Anchorage, Alaska and Honolulu, Hawaii, our methodology uses a comparison of the growth in the Consumer Price Indices (CPIs) for those cities relative to the growth in the overall CPI to update the COLA factors for all areas located in Alaska and Hawaii, respectively. We believe that the relative price differences between these cities and the United States (as measured by the CPIs mentioned above) are generally appropriate and necessary proxies for the relative price differences between the “other areas” of Alaska and Hawaii and the United States.
The “CPI for All Items” that BLS publishes for Anchorage, Honolulu, and for the average U.S. city are based on a different mix of commodities and services than is reflected in the nonlabor-related share of the IPPS market basket. We note that the mix of commodities and services for the nonlabor-related share based on the LTCH market basket is similar to that of the nonlabor-related share of the IPPS market basket. As such, under the methodology we established to update the COLA factors, we calculated a “reweighted CPI” using the CPI for commodities and the CPI for services for each of the geographic areas to mirror the composition of the IPPS market basket nonlabor-related share.
The current composition of BLS' CPI for All Items for all of the respective areas is approximately 40 percent commodities and 60 percent services. However, the nonlabor-related share of the IPPS market basket is comprised of approximately 60 percent commodities and 40 percent services. Therefore, under the methodology we established in the FY 2013 IPPS/LTCH PPS final rule we have created reweighted indexes for Anchorage, Alaska and Honolulu, Hawaii, and the average U.S. city using the respective CPI commodities index and CPI services index and applying the approximate 60/40 weights from the proposed IPPS market basket. We believe that this method of reweighting is appropriate because we would continue to make a COLA for LTCHs located in Alaska and Hawaii by multiplying the nonlabor-related portion of the LTCH PPS standard Federal rate by a COLA factor.
Under the COLA factor update methodology we established in the FY 2013 IPPS/LTCH PPS final rule, we further exercised our discretionary authority to adjust payments made to LTCHs located in Alaska and Hawaii by incorporating a 25-percent cap on the CPI-updated COLA factors used to adjust the nonlabor-related portion of the LTCH PPS standard Federal rate, which is consistent with a statutorily mandated 25-percent cap that was applied to OPM's published COLA factors. We believe that this is appropriate because our CPI-updated COLA factors for FY 2014 uses the 2009 OPM COLA factors as a basis. In addition, we are continuing to establish COLA factors that are rounded to 2 decimal places, which is consistent with the number of decimal places in the 2009 OPM COLA factors that are used as the basis for calculating the FY 2014 COLA factors. This policy will also maintain consistency with the rounding used for the 25-percent cap on the COLA factors (that is, a COLA factor of no more than 1.25).
Applying this methodology, we are establishing the COLA factors for FY 2014 that will adjust the nonlabor-related portion of the standard Federal rate for LTCHs located in Alaska and Hawaii as shown in the table below.
| Alaska: | |
| City of Anchorage and 80-kilometer (50-mile) radius by road | 1.23 |
| City of Fairbanks and 80-kilometer (50-mile) radius by road | 1.23 |
| City of Juneau and 80-kilometer (50-mile) radius by road | 1.23 |
| All other areas of Alaska | 1.25 |
| Hawaii: | |
| City and County of Honolulu | 1.25 |
| County of Hawaii | 1.19 |
| County of Kauai | 1.25 |
| County of Maui and County of Kalawao | 1.25 |
Each of the COLA factors was calculated using data through 2012, as these are the latest historical CPI data published by the BLS. The reweighted CPI for Honolulu, Hawaii grew faster than the reweighted CPI for the average U.S. city over the time period from 2009 to 2012, with a growth rate of 8.9 percent and 8.3 percent, respectively. As a result, for FY 2014, we calculated COLA factors for the City and County of Honolulu, the County of Kauai, the County of Maui, and the County of Kalawao to be 1.26 compared to the FY 2013 COLA factor of 1.25. However, as stated above, our COLA factor update methodology caps the COLA factors at 1.25. In addition, the COLA factor calculated for the County of Hawaii for FY 2014 is 1.19 compared to the FY 2013 COLA factor of 1.18.
The reweighted CPI for Anchorage, Alaska grew slower than the reweighted CPI for the average U.S. city over the time period from 2009 to 2012, with a growth rate of 8.0 percent and 8.3 percent, respectively. However, applying this slower relative growth rate to the FY 2009 COLA factors for each of the Alaska areas results in no change to the COLA factors for the Alaska areas for FY 2014 (1.25 for “All other areas of Alaska” and 1.23 for the three specified urban areas of Alaska (Anchorage, Fairbanks, and Juneau) as compared to the FY 2013 COLA factors.
D. Adjustment for LTCH PPS High-Cost Outlier (HCO) Cases
1. Background
Under the broad authority conferred upon the Secretary by section 123 of the BBRA as amended by section 307(b) of the BIPA, in the regulations at § 412.525(a), we established an adjustment for additional payments for outlier cases that have extraordinarily high costs relative to the costs of most discharges. We refer to these cases as high cost outliers (HCOs). Providing additional payments for outliers strongly improves the accuracy of the LTCH PPS in determining resource costs at the patient and hospital level. These additional payments reduce the financial losses that would otherwise be incurred when treating patients who require more costly care and, therefore, reduce the incentives to underserve these patients. We set the outlier threshold before the beginning of the applicable rate year so that total estimated outlier payments are projected to equal 8 percent of total estimated payments under the LTCH PPS.
Under § 412.525(a) in the regulations (in conjunction with § 412.503), we make outlier payments for any discharges if the estimated cost of a case exceeds the adjusted LTCH PPS payment for the MS-LTC-DRG plus a fixed-loss amount. Specifically, in accordance with § 412.525(a)(3) (in conjunction with § 412.503), we make an additional payment for an HCO case that is equal to 80 percent of the difference between the estimated cost of the patient case and the outlier threshold, which is the sum of the adjusted Federal prospective payment for the MS-LTC-DRG and the fixed-loss amount. The fixed-loss amount is the amount used to limit the loss that a hospital will incur under the outlier policy for a case with unusually high costs. This results in Medicare and the LTCH sharing financial risk in the treatment of extraordinarily costly cases. Under the LTCH PPS HCO policy, the LTCH's loss is limited to the fixed-loss amount and a fixed percentage of costs above the outlier threshold (adjusted MS-LTC-DRG payment plus the fixed-loss amount). The fixed percentage of costs is called the marginal cost factor. We calculate the estimated cost of a case by multiplying the Medicare allowable covered charge by the hospital's overall hospital cost-to-charge ratio (CCR).
Under the LTCH PPS HCO policy at § 412.525(a), we determine a fixed-loss amount, that is, the maximum loss that an LTCH can incur under the LTCH PPS for a case with unusually high costs before the LTCH will receive any additional payments. We calculate the fixed-loss amount by estimating aggregate payments with and without an outlier policy. The fixed-loss amount results in estimated total outlier payments being projected to be equal to 8 percent of projected total LTCH PPS payments. Currently, MedPAR claims data and CCRs based on data from the most recent Provider-Specific File (PSF) (or from the applicable statewide average CCR if an LTCH's CCR data are faulty or unavailable) are used to establish a fixed-loss threshold amount under the LTCH PPS.
2. Determining LTCH CCRs Under the LTCH PPS
a. Background
The following is a discussion of CCRs that are used in determining payments for HCO and SSO cases under the LTCH PPS, at § 412.525(a) and § 412.529, respectively. Although this section is specific to HCO cases, because CCRs and the policies and methodologies pertaining to them are used in determining payments for both HCO and SSO cases (to determine the estimated cost of the case at § 412.529(d)(2)), we are discussing the determination of CCRs under the LTCH PPS for both of these types of cases simultaneously.
In determining both HCO payments (at § 412.525(a)) and SSO payments (at § 412.529), we calculate the estimated cost of the case by multiplying the LTCH's overall CCR by the Medicare allowable charges for the case. In general, we use the LTCH's overall CCR, which is computed based on either the most recently settled cost report or the most recent tentatively settled cost report, whichever is from the latest cost reporting period, in accordance with § 412.525(a)(4)(iv)(B) and § 412.529(f)(4)(ii) for HCOs and SSOs, respectively. (We note that, in some instances, we use an alternative CCR, such as the statewide average CCR in accordance with the regulations at § 412.525(a)(4)(iv)(C) and § 412.529(f)(4)(iii), or a CCR that is specified by CMS or that is requested by the hospital under the provisions of the regulations at § 412.525(a)(4)(iv)(A) and § 412.529(f)(4)(i).) Under the LTCH PPS, a single prospective payment per discharge is made for both inpatient operating and capital-related costs. Therefore, we compute a single “overall” or “total” LTCH-specific CCR based on the sum of LTCH operating and capital costs (as described in Section 150.24, Chapter 3, of the Medicare Claims Processing Manual (Pub. 100-4)) as compared to total charges. Specifically, an LTCH's CCR is calculated by dividing an LTCH's total Medicare costs (that is, the sum of its operating and capital inpatient routine and ancillary costs) by its total Medicare charges (that is, the sum of its operating and capital inpatient routine and ancillary charges).
b. LTCH Total CCR Ceiling
Generally, an LTCH is assigned the applicable statewide average CCR if, among other things, an LTCH's CCR is found to be in excess of the applicable maximum CCR threshold (that is, the LTCH CCR ceiling). This is because CCRs above this threshold are most likely due to faulty data reporting or entry, and CCRs based on erroneous data should not be used to identify and make payments for outlier cases. Therefore, under our established policy, generally, if an LTCH's calculated CCR is above the applicable ceiling, the applicable LTCH PPS statewide average CCR is assigned to the LTCH instead of the CCR computed from its most recent (settled or tentatively settled) cost report data.
In the proposed rule, using our established methodology for determining the LTCH total CCR ceiling (described above), based on IPPS total CCR data from the December 2012 update of the PSF, we proposed to establish a total CCR ceiling of 1.254 under the LTCH PPS for FY 2014 in accordance with § 412.525(a)(4)(iv)(C)(2) for HCOs and § 412.529(f)(4)(iii)(B) for SSOs. Consistent with our historical policy of using the best available data, we also proposed that if more recent data became available, we would use such data to establish a total CCR ceiling for FY 2014 in the final rule. We did not receive any public comments on our proposals related to determining the LTCH total CCR ceiling for FY 2014, and are adopting them as final, without modification, in this final rule.
In accordance with § 412.525(a)(4)(iv)(C)(2) for HCOs and § 412.529(f)(4)(iii)(B) for SSOs, in this final rule, using our established methodology for determining the LTCH total CCR ceiling (described above), based on IPPS total CCR data from the March 2013 update of the PSF, we are establishing a total CCR ceiling of 1.305 under the LTCH PPS that will be effective for discharges occurring on or after October 1, 2013 through September 30, 2014.
c. LTCH Statewide Average CCRs
Our general methodology established for determining the statewide average CCRs used under the LTCH PPS is similar to our established methodology for determining the LTCH total CCR ceiling (described above) because it is based on “total” IPPS CCR data. Under the LTCH PPS HCO policy at § 412.525(a)(4)(iv)(C) and the SSO policy at § 412.529(f)(4)(iii), the fiscal intermediary or MAC may use a statewide average CCR, which is established annually by CMS, if it is unable to determine an accurate CCR for an LTCH in one of the following circumstances: (1) new LTCHs that have not yet submitted their first Medicare cost report (for this purpose, consistent with current policy, a new LTCH is defined as an entity that has not accepted assignment of an existing hospital's provider agreement in accordance with § 489.18); (2) LTCHs whose CCR is in excess of the LTCH CCR ceiling; and (3) other LTCHs for whom data with which to calculate a CCR are not available (for example, missing or faulty data). (Other sources of data that the fiscal intermediary or MAC may consider in determining an LTCH's CCR include data from a different cost reporting period for the LTCH, data from the cost reporting period preceding the period in which the hospital began to be paid as an LTCH (that is, the period of at least 6 months that it was paid as a short-term, acute care hospital), or data from other comparable LTCHs, such as LTCHs in the same chain or in the same region.)
In the proposed rule, using our established methodology for determining the LTCH statewide average CCRs, based on the most recent complete IPPS total CCR data from the December 2012 update of the PSF, we proposed LTCH PPS statewide average total CCRs for urban and rural hospitals that would be effective for FY 2014 in Table 8C listed in section VI. of the Addendum to that proposed rule and available via the Internet. We did not receive any public comments on our proposals related to determining the LTCH PPS statewide average CCRs for FY 2014, and are adopting them as final, without modification, in this final rule.
Consistent with our historical practice of using the best available data, in this final rule, using our established methodology for determining the LTCH statewide average CCRs, based on the most recent complete IPPS “total CCR” data from the March 2013 update of the PSF, we are establishing LTCH PPS statewide average total CCRs for urban and rural hospitals that will be effective for discharges occurring on or after October 1, 2013 through September 20, 2014, in Table 8C listed in section VI. of the Addendum to this final rule (and available via the Internet). All areas in the District of Columbia, New Jersey, and Rhode Island are classified as urban. Therefore, there are no rural statewide average total CCRs listed for those jurisdictions in Table 8C. This policy is consistent with the policy that we established when we revised our methodology for determining the applicable LTCH statewide average CCRs in the FY 2007 IPPS final rule (71 FR 48119 through 48121) and is the same as the policy applied under the IPPS. In addition, although Connecticut has areas that are designated as rural, there are no short-term, acute care IPPS hospitals or LTCHs located in those areas as of March 2013. Therefore, consistent with our existing methodology, we are using the national average total CCR for rural IPPS hospitals for rural Connecticut in Table 8C listed in section VI. of the Addendum to this final rule (and available via the Internet).
In addition, consistent with our existing methodology, in determining the urban and rural statewide average total CCRs for Maryland LTCHs paid under the LTCH PPS, we are continuing to use, as a proxy, the national average total CCR for urban IPPS hospitals and the national average total CCR for rural IPPS hospitals, respectively. We are using this proxy because we believe that the CCR data in the PSF for Maryland hospitals may not be entirely accurate (as discussed in greater detail in the FY 2007 IPPS final rule (71 FR 48120)).
d. Reconciliation of LTCH HCO and SSO Payments
We note that under the LTCH PPS HCO policy at § 412.525(a)(4)(iv)(D) and the LTCH PPS SSO policy at § 412.529(f)(4)(iv), the payments for HCO and SSO cases, respectively, are subject to reconciliation. Specifically, any reconciliation of outlier payments is based on the CCR that is calculated based on a ratio of cost-to-charge data computed from the relevant cost report determined at the time the cost report coinciding with the discharge is settled. For additional information, we refer readers to sections 150.26 through 150.28 of the Medicare Claims Processing Manual (Pub. 100-4) as added by Change Request 7192 (Transmittal 2111; December 3, 2010) and the RY 2009 LTCH PPS final rule (73 FR 26820 through 26821).
3. Establishment of the LTCH PPS Fixed-Loss Amount for FY 2014
When we implemented the LTCH PPS, as discussed in the August 30, 2002 LTCH PPS final rule (67 FR 56022 through 56026), under the broad authority of section 123 of the BBRA as amended by section 307(b) of BIPA, we established a fixed-loss amount so that total estimated outlier payments are projected to equal 8 percent of total estimated payments under the LTCH PPS. To determine the fixed-loss amount, we estimate outlier payments and total LTCH PPS payments for each case using claims data from the MedPAR files. Specifically, to determine the outlier payment for each case, we estimate the cost of the case by multiplying the Medicare covered charges from the claim by the LTCH's CCR. Under § 412.525(a)(3) (in conjunction with § 412.503), if the estimated cost of the case exceeds the outlier threshold, we make an outlier payment equal to 80 percent of the difference between the estimated cost of the case and the outlier threshold (that is, the sum of the adjusted Federal prospective payment for the MS-LTC-DRG and the fixed-loss amount).
In the FY 2013 IPPS/LTCH PPS final rule (77 FR 53715), we presented our policies regarding the methodology and data we used to establish the fixed-loss amount of $15,408 for FY 2013. In the FY 2014 IPPS/LTCH PPS proposed rule (78 FR 27784), we proposed to continue to use our existing methodology to calculate the fixed-loss amount for FY 2014 (based on the data and the rates and policies presented in that proposed rule) in order to maintain estimated HCO payments at the projected 8 percent of total estimated LTCH PPS payments. Consistent with our historical practice of using the best data available, in determining the fixed-loss amount for FY 2014, we proposed to use the most recent available LTCH claims data and CCR data, that is, LTCH claims data from the December 2012 update of the FY 2012 MedPAR file and CCRs from the December 2012 update of the PSF, as these data were the most recent complete LTCH data available at that time.
Comment: One commenter noted that the year-to year-establishment of the LTCH PPS high-cost outlier fixed-loss threshold amounts has generally resulted in high-cost outlier payments that are estimated to be less than the 8.0 percent of total LTCH PPS payments required under the regulations. The commenter pointed out that in the proposed rule, CMS stated that the high-cost outlier fixed-loss threshold amount established for FY 2013 is projected to “fall short” of the 8.0 percent of total LTCH PPS payment target. Because the commenter believed that CMS' current methodology for establishing the annual high-cost outlier fixed-loss threshold amount is not adequate and requires correction, the commenter requested that CMS provide for both “retrospective and prospective corrective actions” for high-cost outlier payments in FY 2014, stating that in analogous situations (such as documentation and coding) where CMS has determined its past payment rates were inaccurate, it has instituted corrective payment adjustments in future years payment rates. Specifically, the commenter recommended that CMS implement a positive adjustment in FY 2014 to retroactively account for the cumulative year-to-year underpayment of the 8.0 percent high-cost outlier target. The commenter also recommended that, in the absence of demonstrating that it is able to improve the accuracy of the establishment of high-cost outlier fixed-loss threshold amounts, CMS should prospectively revise (that is, decrease) the fixed-loss threshold amount for FY 2014 and subsequent years to correct for its “average error rate” in past years. The commenter did not provide any specific recommendations for how these “retrospective and prospective corrective” adjustments should be determined. In addition, the commenter did not provide its own analysis of the estimated level of high-cost outlier payments under the LTCH PPS.
Response: The commenter correctly pointed out that we currently project that high-cost outlier payments will be approximately 7.0 percent of the estimated total LTCH PPS payments in FY 2013. We wish to clarify that this estimate of FY 2013 LTCH PPS payments is only a projected estimate and it is based on payment simulations using FY 2013 claims data, adjusted for estimates of inflation, as these are currently the most recent available claims data. Precise figures on actual outlier payments for a given fiscal year cannot be determined until well after that fiscal year ends. As a result, we do not believe that we currently have sufficient data to make a meaningful adjustment to the outlier threshold at this time. However, in light of the concerns raised by the commenter, we intend to analyze estimated actual FY 2013 high-cost outlier payments once sufficient data are available. Because we proposed to continue to use our existing methodology to calculate the fixed-loss amount for FY 2014 and the commenter did not provide any specific adjustments to our existing methodology, we are not making any changes to our existing methodology to calculate the fixed-loss amount for FY 2014 in this final rule. However, we intend to explore potential adjustments to improve the accuracy of our methodology for the annual establishment of the fixed-loss amount that could be proposed and adopted in the future through notice-and-comment rulemaking.
We are not adopting the commenter's suggestion to make “retrospective and prospective corrective actions” for high-cost outlier payments in FY 2014 to account for the cumulative year-to-year high-cost outlier underpayment, or to correct for the “average error rate” in the fixed-loss amounts in past years. As we have articulated on numerous occasions (primarily in the IPPS context, which has a similar high-cost outlier policy as there is under the LTCH PPS), we believe that an important goal of any PPS is predictability and, therefore, we believe that the fixed-loss outlier threshold should be projected based on the best available historical data and should not include retrospective or prospective “corrective” adjustments. A retrospective or prospective “corrective” adjustment to the fixed-loss outlier threshold would affect all hospitals subject to the LTCH PPS, thereby undercutting the predictability of the system as a whole (68 FR 34502). In addition, the payment simulations that we use to determine the outlier threshold factor in all payments and policies would affect actual payments for the fiscal year at hand in order to ensure accuracy when determining outlier payments that are projected to be 8.0 percent of total LTCH PPS payments. Including a “corrective adjustment factor” that is not relative to the current fiscal year does not lend greater accuracy to the estimate of payments that are projected to be 8.0 percent of total LTCH PPS payments (70 FR 47495). We also note that our high-cost outlier policies under a PPS are intended to reimburse hospitals for treating extraordinarily costly cases and outlier payments are intended to approximate the marginal cost of providing care above the outlier fixed-loss cost threshold. Any adjustment to the outlier threshold or Federal rate in a given year to account for “overpayments” or “underpayments” of high-cost outliers in other years would result in us making outlier payments that were not directly related to the actual cost of furnishing care in extraordinarily costly cases (70 FR 47495). Consistent with our historical high-cost outlier policies and the goals of a prospective payment system, for the reasons discussed above, we do not believe that it is appropriate to make retroactive adjustments to high-cost outlier payments to ensure that total outlier payments in a past year are equal to the estimated “target,” and we are not adopting the commenters suggestion to make “retrospective and prospective corrective” adjustments in determining high-cost outlier payments in FY 2014.
Therefore, in this final rule, for FY 2014, in general, we are continuing to use our existing methodology to calculate a fixed-loss amount for FY 2014 using the best available data that will maintain estimated HCO payments at the projected 8 percent of total estimated LTCH PPS payments (based on the rates and policies presented in this final rule). Specifically, for this final rule, we are using LTCH claims data from the March 2013 update of the FY 2012 MedPAR file and CCRs from the March 2013 update of the PSF to determine a fixed-loss amount that will result in estimated outlier payments projected to be equal to 8 percent of total estimated payments in FY 2014 because these data are the most recent complete LTCH data available at this time. (For additional detail on the rationale for setting the HCO payment “target” at 8 percent of total estimated LTCH PPS payments, we refer readers to the FY 2003 LTCH PPS final rule (67 FR 56022 through 56024).) Using our existing methodology, we are establishing a fixed-loss amount of $13,314 for FY 2014.
Under the broad authority of section 123(a)(1) of the BBRA and section 307(b)(1) of BIPA, we are establishing a fixed-loss amount of $13,314 for FY 2014. Therefore, we are making an additional payment for an HCO case that is equal to 80 percent of the difference between the estimated cost of the case and the outlier threshold (the sum of the adjusted Federal LTCH payment for the MS-LTC-DRG and the fixed-loss amount of $13,314). We also note that the fixed-loss amount of $13,314 for FY 2014 is lower than the FY 2013 fixed-loss amount of $15,408, and the proposed FY 2014 fixed-loss amount of $14,139. The decrease from the proposed FY 2014 fixed-loss amount ($14,139) to the final FY 2014 fixed-loss amount ($13,314) is primarily due to updated CCRs for many LTCHs between the December 2012 update of the PSF (used to determine the proposed FY 2014 fixed-loss amount) and the March 2013 update of the PSF (used to determine the final FY 2014 fixed-loss amount). Specifically, we found that over 30 percent of LTCHs had a CCR update between the December 2012 update of the PSF and the March 2013 update of the PSF, which results in an overall decrease in the average LTCH CCR of approximately 0.7 percent from the CCRs we used to determine the proposed FY 2014 fixed-loss outlier threshold. CCRs from the March 2013 update of the PSF reflect much more recent hospital-specific data, including CCRs from LTCHs' most recent tentatively settled cost report. In many cases, for part of FY 2014, MACs will determine actual outlier payment amounts using the same CCRs that are in the March 2013 update of the PSF.
Because the estimated cost of the case used in determining HCO payments is calculated by multiplying the LTCH's CCR by the Medicare allowable charges for the case, an overall decrease in the average CCRs generally results in lower estimated costs and, therefore, lower outlier payments. As a result, based on our payment simulations using the most recent available data at this time, the decrease in the fixed-loss amount for FY 2014 is necessary to maintain the existing requirement that estimated outlier payments would equal 8 percent of estimated total LTCH PPS payments. (As noted above, for further information on the existing 8 percent HCO “target” requirement, we refer readers to the August 30, 2002 LTCH PPS final rule (67 FR 56022 through 56024).) Maintaining the fixed-loss amount at the current level will result in HCO payments that are less than the current regulatory 8-percent requirement because a higher fixed-loss amount would result in fewer cases qualifying as outlier cases. In addition, maintaining the higher fixed-loss amount will result in a decrease in the amount of the additional payment for an HCO case because the maximum loss that an LTCH must incur before receiving an HCO payment (that is, the fixed-loss amount) would be larger. For these reasons, we believe that lowering the fixed-loss amount is appropriate and necessary to maintain that estimated outlier payments would equal 8 percent of estimated total LTCH PPS payments as required under § 412.525(a).
4. Application of Outlier Policy to SSO Cases
As we discussed in the August 30, 2002 final rule (67 FR 56026), under some rare circumstances, an LTCH discharge could qualify as an SSO case (as defined in the regulations at § 412.529 in conjunction with § 412.503) and also as an HCO case. In this scenario, a patient could be hospitalized for less than five-sixths of the geometric average length of stay for the specific MS-LTC-DRG, and yet incur extraordinarily high treatment costs. If the estimated costs exceeded the HCO threshold (that is, the SSO payment plus the fixed-loss amount), the discharge is eligible for payment as an HCO. Therefore, for an SSO case in FY 2014, the HCO payment will be 80 percent of the difference between the estimated cost of the case and the outlier threshold (the sum of the fixed-loss amount of $13,314 and the amount paid under the SSO policy as specified in § 412.529).
E. Computing the Adjusted LTCH PPS Federal Prospective Payments for FY 2014
Section 412.525 sets forth the adjustments to the LTCH PPS standard Federal rate. Under § 412.525(c), the standard Federal rate is adjusted to account for differences in area wages by multiplying the labor-related share of the standard Federal rate by the applicable LTCH PPS wage index (FY 2014 values are shown in Tables 12A and 12B listed in section VI. of the Addendum of this final rule and are available via the Internet). The standard Federal rate is also adjusted to account for the higher costs of LTCHs located in Alaska and Hawaii by the applicable COLA factors (the proposed FY 2014 factors are shown in the chart in section V.C. of this Addendum) in accordance with § 412.525(b). In this final rule, we are establishing a standard Federal rate for FY 2014 of $40,607.31 (provided the LTCH submits quality reporting data for FY 2014 in accordance with the LTCHQR Program under section 1886(m)(5) of the Act), as discussed above in section V.A.2. of the Addendum to this final rule. We illustrate the methodology to adjust the LTCH PPS Federal standard rate for FY 2014 in the following example:
Example: Back to Top
During FY 2014, a Medicare patient is in an LTCH located in Chicago, Illinois (CBSA 16974) and discharged on January 1, 2014. The FY 2014 LTCH PPS wage index value for CBSA 16974 is 1.0418 (obtained from Table 12A listed in section VI. of the Addendum of this final rule and available via the Internet on the CMS Web site). The Medicare patient is classified into MS-LTC-DRG 28 (Spinal Procedures with MCC), which has a relative weight for FY 2014 of 1.6227 (obtained from Table 11 listed in section VI. of the Addendum of this final rule and available via the Internet on the CMS Web site). The LTCH submitted quality reporting data for FY 2014 in accordance with the LTCHQR Program under section 1886(m)(5) of the Act.
To calculate the LTCH's total adjusted Federal prospective payment for this Medicare patient in FY 2014, we computed the wage-adjusted Federal prospective payment amount by multiplying the unadjusted FY 2014 standard Federal rate ($40,607.31, for LTCHs that submit quality reporting data for FY 2014 in accordance with the LTCHQR Program under section 1886(m)(5) of the Act) by the labor-related share (62.537 percent) and the wage index value (1.0418). This wage-adjusted amount was then added to the nonlabor-related portion of the unadjusted standard Federal rate (37.463 percent; adjusted for cost of living, if applicable) to determine the adjusted Federal rate, which was then multiplied by the MS-LTC-DRG relative weight (1.6227) to calculate the total adjusted Federal LTCH PPS prospective payment for FY 2014 ($67,615.96). The table below illustrates the components of the calculations in this example.
| Unadjusted Standard Federal Prospective Payment Rate (provided the LTCH submits quality data in accordance with the LTCHQR Program under section 1886(m)(5) of the Act) | $40,607.31 |
| Labor-Related Share | × 0.62537 |
| Labor-Related Portion of the Federal Rate | = $25,394.59 |
| Wage Index (CBSA 16974) | × 1.0418 |
| Wage-Adjusted Labor Share of Federal Rate | = $26,456.08 |
| Nonlabor-Related Portion of the Federal Rate ($40,607.31 × 0.37463) | + $15,212.72 |
| Adjusted Federal Rate Amount | = $41,668.80 |
| MS-LTC-DRG 28 Relative Weight | × 1.6227 |
| Total Adjusted Federal Prospective Payment | = $67,615.96 |
VI. Tables Referenced in this Final Rule and Available Only through the Internet on the CMS Web site Back to Top
This section lists the tables referred to throughout the preamble of this final rule and in this Addendum. In the past, a majority of these tables were published in the Federal Register as part of the annual proposed and final rules. However, similar to FYs 2012 and 2013, for the FY 2014 rulemaking cycle, the IPPS and LTCH tables will not be published as part of the annual IPPS/LTCH PPS proposed and final rulemakings and will be available only through the Internet. Specifically, IPPS Tables 2, 3A, 3B, 4A, 4B, 4C, 4D, 4E, 4F, 4J, 5, 6B, 6G, 6H, 6I, 6J, 6K, 7A, 7B, 8A, 8B, 9A, 9C, 10, 15, and 16A and LTCH PPS Tables 8C, 11, 12A, 12B, 13A, and 13B will be available only through the Internet. IPPS Tables 1A, 1B, 1C, and 1D, and LTCH PPS Table 1E, displayed at the end of this section, will continue to be published in the Federal Register as part of the annual proposed and final rules. As discussed in section II.G.9. and 11. of the preamble of this final rule, Tables 6A and 6C through 6F will not be issued with this FY 2014 final rule because there are no new, revised, or deleted ICD-9-CM diagnosis codes and no revised or deleted procedures codes. As discussed in section V.C. of the preamble of this final rule, effective FY 2014 and forward, the low-volume hospital definition and payment adjustment methodology under section 1886(d)(12) of the Act returns to the pre-Affordable Care Act definition and payment adjustment methodology (we refer readers to section V.C. for complete details on the low-volume hospital payment adjustment). Therefore, we are no longer including a table (previously Table 14) in this final rule that lists the low-volume payment adjustments.
Readers who experience any problems accessing any of the tables that are posted on the CMS Web sites identified below should contact Michael Treitel at (410) 786-4552.
The following IPPS tables for this FY 2014 final rule are available only through the Internet on the CMS Web site at: http://www.cms.gov/Medicare/Medicare-Fee-for-Service-Payment/AcuteInpatientPPS/index.html. Click on the link on the left side of the screen titled, “FY 2014 IPPS Final Rule Home Page” or “Acute Inpatient—Files for Download”.
Table 2.—Acute Care Hospitals Case-Mix Indexes for Discharges Occurring in Federal Fiscal Year 2012; Hospital Wage Indexes for Federal Fiscal Year 2014; Hospital Average Hourly Wages for Federal Fiscal Years 2012 (2008 Wage Data), 2013 (2009 Wage Data), and 2014 (2010 Wage Data); and 3-Year Average of Hospital Average Hourly Wages
Table 3A.—FY 2014 and 3-Year* Average Hourly Wage for Acute Care Hospitals in Urban Areas by CBSA
Table 3B.—FY 2014 and 3-Year* Average Hourly Wage for Acute Care Hospitals in Rural Areas by CBSA
Table 4A.—Wage Index and Capital Geographic Adjustment Factor (GAF) for Acute Care Hospitals in Urban Areas by CBSA and by State—FY 2014
Table 4B.—Wage Index and Capital Geographic Adjustment Factor (GAF) for Acute Care Hospitals in Rural Areas by CBSA and by State—FY 2014
Table 4C.—Wage Index and Capital Geographic Adjustment Factor (GAF) for Acute Care Hospitals That Are Reclassified by CBSA and by State—FY 2014
Table 4D.—States Designated as Frontier, with Acute Care Hospitals Receiving at a Minimum the Frontier State Floor Wage Index; Urban Areas with Acute Care Hospitals Receiving the Statewide Rural Floor or Imputed Floor Wage Index—FY 2014
Table 4E.—Urban CBSAs and Constituent Counties for Acute Care Hospitals—FY 2014
Table 4F.—Puerto Rico Wage Index and Capital Geographic Adjustment Factor (GAF) for Acute Care Hospitals by CBSA—FY 2014
Table 4J.—Out-Migration Adjustment for Acute Care Hospitals—FY 2014
Table 5.—List of Medicare Severity Diagnosis-Related Groups (MS-DRGs), Relative Weighting Factors, and Geometric and Arithmetic Mean Length of Stay—FY 2014
Table 6B.—New Procedure Codes—FY 2014
Table 6G.—Additions to the CC Exclusions List—FY 2014
Table 6H.—Deletions from the CC Exclusions List—FY 2014
Table 6I.—Major CC List—FY 2014
Table 6J.—Complete CC List—FY 2014
Table 6K.—Complete List of CC Exclusions—FY 2014
Table 7A.—Medicare Prospective Payment System Selected Percentile Lengths of Stay: FY 2012 MedPAR Update—March 2013 GROUPER V30.0 MS-DRGs
Table 7B.—Medicare Prospective Payment System Selected Percentile Lengths of Stay: FY 2012 MedPAR Update—March 2013 GROUPER V31.0 MS-DRGs
Table 8A.—FY 2014 Statewide Average Operating Cost-to-Charge Ratios (CCRs) for Acute Care Hospitals (Urban and Rural)
Table 8B.—FY 2014 Statewide Average Capital Cost-to-Charge Ratios (CCRs) for Acute Care Hospitals
Table 9A.—Hospital Reclassifications and Redesignations—FY 2014
Table 9C.—Hospitals Redesignated as Rural under Section 1886(d)(8)(E) of the Act—FY 2014
Table 10.—New Technology Add-On Payment Thresholds [1,2] for Applications for FY 2015
Table 15.—FY 2014 Readmissions Adjustment Factors
Table 16A.—Updated Proxy Hospital Inpatient Value-Based Purchasing (VBP) Program Adjustment Factors for FY 2014
The following LTCH PPS tables for this FY 2014 final rule are available only through the Internet on the CMS Web site at http://www.cms.gov/Medicare/Medicare-Fee-for-Service-Payment/LongTermCareHospitalPPS/index.html under the list item for Regulation Number CMS-1599-F.
Table 8C.—FY 2014 Statewide Average Total Cost-to-Charge Ratios (CCRs) for LTCHs (Urban and Rural)
Table 11.—MS-LTC-DRGs, Relative Weights, Geometric Average Length of Stay, Short-Stay Outlier (SSO) Threshold, and “IPPS Comparable Threshold” for Discharges Occurring from October 1, 2013 through September 30, 2014 under the LTCH PPS
Table 12A.—LTCH PPS Wage Index for Urban Areas for Discharges Occurring from October 1, 2013 through September 30, 2014
Table 12B.—LTCH PPS Wage Index for Rural Areas for Discharges Occurring from October 1, 2013 through September 30, 2014
Table 13A.—Composition of Low-Volume Quintiles for MS-LTC-DRGs—FY 2014
Table 13B.—No-Volume MS-LTC-DRG Crosswalk for FY 2014
| Full Update (1.7 Percent) | Reduced Update (−0.3 Percent) | ||
|---|---|---|---|
| Labor-related | Nonlabor-related | Labor-related | Nonlabor-related |
| $3,737.71 | $1,632.57 | $3,664.21 | $1,600.46 |
| Full Update (1.7 Percent) | Reduced Update (−0.3 Percent) | ||
|---|---|---|---|
| Labor-related | Nonlabor-related | Labor-related | Nonlabor-related |
| $3,329.57 | $2,040.71 | $3,264.10 | $2,000.57 |
| Standardized amount | Rates if wage index is greater than 1 | Rates if wage index is less than or equal to 1 | ||
|---|---|---|---|---|
| Labor | Nonlabor | Labor | Nonlabor | |
| 1For FY 2014, there are no CBSAs in Puerto Rico with a national wage index greater than 1. | ||||
| National1 | Not Applicable | Not Applicable | $3,329.57 | $2,040.71 |
| Puerto Rico | $1,608.90 | $936.82 | 1,578.35 | 967.37 |
| Rate | |
|---|---|
| National | $429.31 |
| Puerto Rico | 209.82 |
| Full update (1.7 percent) | Reduced update*(−0.3 percent) | |
|---|---|---|
| * For LTCHs that fail to submit quality reporting data for FY 2014 in accordance with the LTCH Quality Reporting (LTCHQR) Program, the annual update is reduced by 2.0 percentage points as required by section 1886(m)(5) of the Act. | ||
| Standard Federal Rate | $40,607.31 | $39,808.74 |
Appendix A: Economic Analyses Back to Top
I. Regulatory Impact Analysis Back to Top
A. Introduction
We have examined the impacts of this final rule as required by Executive Order 12866 on Regulatory Planning and Review (September 30, 1993), Executive Order 13563 on Improving Regulation and Regulatory Review (February 2, 2011) the Regulatory Flexibility Act (RFA) (September 19, 1980, 96), section 1102(b) of the Social Security Act, section 202 of the Unfunded Mandates Reform Act of 1995 (March 22, 1995, Pub. L. 104-4), Executive Order 13132 on Federalism (August 4, 1999), and the Congressional Review Act (5 U.S.C. 804(2)).
Executive Orders 12866 and 13563 direct agencies to assess all costs and benefits of available regulatory alternatives and, if regulation is necessary, to select regulatory approaches that maximize net benefits (including potential economic, environmental, public health and safety effects, distributive impacts, and equity). Executive Order 13563 emphasizes the importance of quantifying both costs and benefits, of reducing costs, of harmonizing rules, and of promoting flexibility. A regulatory impact analysis (RIA) must be prepared for major rules with economically significant effects ($100 million or more in any 1 year).
We have determined that this final rule is a major rule as defined in 5 U.S.C. 804(2). We estimate that the changes for FY 2014 acute care hospital operating and capital payments will redistribute amounts in excess of $100 million to acute care hospitals. The applicable percentage increase to the IPPS rates required by the statute, in conjunction with other payment changes in this final rule, will result in an estimated $498 million increase in FY 2014 operating payments (or 0.5 percent change) and an estimated $134 million increase in FY 2014 capital payments (or 1.6 percent change). These changes are relative to payments made in FY 2013. The impact analysis of the capital payments can be found in section I.K. of this Appendix. In addition, as described in section I.L. of this Appendix, LTCHs are expected to experience an increase in payments by $72 million in FY 2014 relative to FY 2013.
Our operating impact estimate includes the −0.8 percent documentation and coding adjustment applied to the IPPS standardized amount, which represents part of the recoupment required under section 631 of the ATRA. It includes the -0.2 percent adjustment applied to the IPPS standardized amount, the hospital-specific rate, and the Puerto Rico-specific rate to offset the cost of the policy on admission and medical review criteria for hospital inpatient services under Medicare Part A. In addition, our operating payment impact estimate includes the 1.7 percent hospital update to the standardized amount (which includes the estimated 2.5 percent market basket update less 0.5 percentage point for the multifactor productivity adjustment and less 0.3 percentage point required under the Affordable Care Act). The estimates of IPPS operating payments to acute care hospitals do not reflect any changes in hospital admissions or real case-mix intensity, which will also affect overall payment changes.
The analysis in this Appendix, in conjunction with the remainder of this document, demonstrates that this rule is consistent with the regulatory philosophy and principles identified in Executive Orders 12866 and 13563, the RFA, and section 1102(b) of the Act. This final rule will affect payments to a substantial number of small rural hospitals, as well as other classes of hospitals, and the effects on some hospitals may be significant.
B. Need
This final rule is necessary in order to make payment and policy changes under the Medicare IPPS for Medicare acute care hospital inpatient services for operating and capital-related costs as well as for certain hospitals and hospital units excluded from the IPPS. This final rule also is necessary to make payment and policy changes for Medicare hospitals under the LTCH PPS payment system.
C. Objectives of the IPPS
The primary objective of the IPPS is to create incentives for hospitals to operate efficiently and minimize unnecessary costs while at the same time ensuring that payments are sufficient to adequately compensate hospitals for their legitimate costs in delivering necessary care to Medicare beneficiaries. In addition, we share national goals of preserving the Medicare Hospital Insurance Trust Fund.
We believe that the changes in this final rule will further each of these goals while maintaining the financial viability of the hospital industry and ensuring access to high quality health care for Medicare beneficiaries. We expect that these changes will ensure that the outcomes of the prospective payment systems are reasonable and equitable while avoiding or minimizing unintended adverse consequences.
D. Limitations of Our Analysis
The following quantitative analysis presents the projected effects of our policy changes, as well as statutory changes effective for FY 2014, on various hospital groups. We estimate the effects of individual policy changes by estimating payments per case while holding all other payment policies constant. We use the best data available, but, generally, we do not attempt to make adjustments for future changes in such variables as admissions, lengths of stay, or case-mix.
E. Hospitals Included in and Excluded From the IPPS
The prospective payment systems for hospital inpatient operating and capital-related costs of acute care hospitals encompass most general short-term, acute care hospitals that participate in the Medicare program. There were 31 Indian Health Service hospitals in our database, which we excluded from the analysis due to the special characteristics of the prospective payment methodology for these hospitals. Among other short-term, acute care hospitals, 45 such hospitals in Maryland remain excluded from the IPPS pursuant to the waiver under section 1814(b)(3) of the Act.
As of March 2013, there were 3,407 IPPS acute care hospitals included in our analysis. This represents approximately 55 percent of all Medicare-participating hospitals. The majority of this impact analysis focuses on this set of hospitals. There also are approximately 1,328 CAHs. These small, limited service hospitals are paid on the basis of reasonable costs rather than under the IPPS. IPPS-excluded hospitals and units include IPFs, IRFs, LTCHs, RNHCIs, children's hospitals, and 11 cancer hospitals, which are paid under separate payment systems. Changes in the prospective payment systems for IPFs and IRFs are made through separate rulemaking. Payment impacts for these IPPS-excluded hospitals and units are not included in this final rule. The impact of the update and policy changes to the LTCH PPS for FY 2014 is discussed in section I.L. of this Appendix.
F. Effects on Hospitals and Hospital Units Excluded From the IPPS
As of March 2013, there were 97 children's hospitals, 11 cancer hospitals, and 18 RNHCIs being paid on a reasonable cost basis subject to the rate-of-increase ceiling under § 413.40. (In accordance with § 403.752(a) of the regulation, RNHCIs are paid under § 413.40.) Among the remaining providers, 234 rehabilitation hospitals and 898 rehabilitation units, and 437 LTCHs, are paid the Federal prospective per discharge rate under the IRF PPS and the LTCH PPS, respectively, and 472 psychiatric hospitals and 1,155 psychiatric units are paid the Federal per diem amount under the IPF PPS. As stated above, IRFs and IPFs are not affected by the rate updates discussed in this final rule. The impacts of the changes on LTCHs are discussed in section I.L. of this Appendix.
For children's hospitals, the 11 cancer hospitals, and RNHCIs, the update of the rate-of-increase limit (or target amount) is the estimated FY 2014 percentage increase in the IPPS operating market basket, consistent with section 1886(b)(3)(B)(ii) of the Act, and §§ 403.752(a) and 413.40 of the regulations. As discussed in section IV. of the preamble of this final rule, we are rebasing the IPPS operating market basket to a FY 2010 base year. Therefore, we are using the percentage increase in the FY 2010-based IPPS operating market basket to update the target amounts for FY 2014 and subsequent years for children's hospitals, the 11 cancer hospitals, and RNHCIs that are paid based on reasonable costs subject to the rate-of-increase limits. Consistent with current law, based on IHS Global Insight, Inc.'s 2013 second quarter forecast of the FY 2010-based market basket increase, we are estimating that the FY 2014 update based on the IPPS operating market basket is 2.5 percent (that is, the current estimate of the market basket rate-of-increase). However, the Affordable Care Act requires an adjustment for multifactor productivity (currently estimated to be 0.5 percentage point for FY 2014) and a 0.3 percentage point reduction to the market basket update resulting in a 1.7 percent applicable percentage increase for IPPS hospitals subject to a reduction of 2.0 percentage points if the hospital fails to submit quality data under rules established by the Secretary in accordance with section 1886(b)(3)(B)(viii) of the Act. Children's hospitals, the 11 cancer hospitals, and RNCHIs that continue to be paid based on reasonable costs subject to rate-of-increase limits under § 413.40 of the regulations are not subject to the reductions in the applicable percentage increase required under the Affordable Care Act. Therefore, for RNHCIs, children's hospitals, and the 11 cancer hospitals paid under § 413.40 of the regulations, the update is the percentage increase in the FY 2014 IPPS operating market basket, estimated at 2.5 percent, without the reductions required under the Affordable Care Act.
The impact of the update in the rate-of-increase limit on those excluded hospitals depends on the cumulative cost increases experienced by each excluded hospital since its applicable base period. For excluded hospitals that have maintained their cost increases at a level below the rate-of-increase limits since their base period, the major effect is on the level of incentive payments these excluded hospitals receive. Conversely, for excluded hospitals with cost increases above the cumulative update in their rate-of-increase limits, the major effect is the amount of excess costs that will not be paid.
We note that, under § 413.40(d)(3), an excluded hospital that continues to be paid under the TEFRA system and whose costs exceed 110 percent of its rate-of-increase limit receives its rate-of-increase limit plus the lesser of: (1) 50 percent of its reasonable costs in excess of 110 percent of the limit, or (2) 10 percent of its limit. In addition, under the various provisions set forth in § 413.40, hospitals can obtain payment adjustments for justifiable increases in operating costs that exceed the limit.
G. Quantitative Effects of the Policy Changes Under the IPPS for Operating Costs
1. Basis and Methodology of Estimates
In this final rule, we are announcing policy changes and payment rate updates for the IPPS for FY 2014 for operating costs of acute care hospitals. The FY 2014 updates to the capital payments to acute care hospitals are discussed in section I.K. of this Appendix.
Based on the overall percentage change in payments per case estimated using our payment simulation model, we estimate that total FY 2014 operating payments will increase by 0.5 percent compared to FY 2013. In addition to the applicable percentage increase, this amount reflects the FY 2014 recoupment adjustment for documentation and coding described in section II.D. of the preamble of this final rule and the adjustment to offset the cost of the policy on admission and medical review criteria for hospital inpatient services under Medicare Part A: A −0.8 percent recoupment adjustment to the IPPS national standardized amounts for the documentation and coding adjustment and a −0.2 percent adjustment to the IPPS national standardized amount, the Puerto Rico-specific rate and the hospital-specific rate for the policy on admission and medical review criteria. The impacts do not reflect changes in the number of hospital admissions or real case-mix intensity, which will also affect overall payment changes.
We have prepared separate impact analyses of the changes to each system. This section deals with the changes to the operating inpatient prospective payment system for acute care hospitals. Our payment simulation model relies on the most recent available data to enable us to estimate the impacts on payments per case of certain changes in this final rule. However, there are other changes for which we do not have data available that will allow us to estimate the payment impacts using this model. For those changes, we have attempted to predict the payment impacts based upon our experience and other more limited data.
The data used in developing the quantitative analyses of changes in payments per case presented below are taken from the FY 2012 MedPAR file and the most current Provider-Specific File (PSF) that is used for payment purposes. Although the analyses of the changes to the operating PPS do not incorporate cost data, data from the most recently available hospital cost reports were used to categorize hospitals. Our analysis has several qualifications. First, in this analysis, we do not make adjustments for future changes in such variables as admissions, lengths of stay, or underlying growth in real case-mix. Second, due to the interdependent nature of the IPPS payment components, it is very difficult to precisely quantify the impact associated with each change. Third, we use various data sources to categorize hospitals in the tables. In some cases, particularly the number of beds, there is a fair degree of variation in the data from the different sources. We have attempted to construct these variables with the best available source overall. However, for individual hospitals, some miscategorizations are possible.
Using cases from the FY 2012 MedPAR file, we simulated payments under the operating IPPS given various combinations of payment parameters. As described above, Indian Health Service hospitals and hospitals in Maryland were excluded from the simulations. The impact of payments under the capital IPPS, or the impact of payments for costs other than inpatient operating costs, are not analyzed in this section. Estimated payment impacts of the capital IPPS for FY 2014 are discussed in section I.K. of this Appendix.
We discuss the following changes below:
- The effects of the application of the documentation and coding adjustment, the adjustment to offset the costs of the policy on admission and medical review criteria and the applicable percentage increase (including the market basket update, the multifactor productivity adjustment and the applicable percentage reduction in accordance with the Affordable Care Act) to the standardized amount and hospital-specific rates.
- The effects of the changes to the relative weights and MS-DRG grouper, including the methodology to calculate the MS-DRG cost based relative weights using 19 departmental CCRs instead of the current 15 departmental CCRs.
- The effects of the changes in hospitals' wage index values reflecting updated wage data from hospitals' cost reporting periods beginning during FY 2010, compared to the FY 2009 wage data and the changes in the labor related share from 68.8 percent for FY 2013 to 69.6 percent for FY 2014 for hospitals with a wage index greater than 1.0.
- The effects of the recalibration of the MS-DRG relative weights as required by section 1886(d)(4)(C) of the Act, including the wage and recalibration budget neutrality factors.
- The effects of the geographic reclassifications by the MGCRB as of publication of this final rule that will be effective for FY 2014.
- The effects of the rural floor and imputed floor with the application of the national budget neutrality factor applied to the wage index.
- The effects of the frontier State wage index adjustment under the statutory provision that requires that hospitals located in States that qualify as frontier States cannot have a wage index less than 1.0. This provision is not budget neutral.
- The effects of the implementation of section 1886(d)(13) of the Act, as added by section 505 of Public Law 108-173, which provides for an increase in a hospital's wage index if the hospital qualifies by meeting a threshold percentage of residents of the county where the hospital is located who commute to work at hospitals in counties with higher wage indexes.
- The effects of the policies for implementation of the Hospital Readmissions Reduction Program under section 1886(q) of the Act, as added by section 3025 of the Affordable Care Act, that adjusts hospital's base operating DRG amount by an adjustment factor to account for a hospital's excess readmissions.
- The effects of the expiration of the special payment status for MDHs under section 606 of the ATRA under which MDHs that currently receive the higher of payments made under the Federal standardized amount or the payments made under the Federal standardized amount plus 75 percent of the difference between the Federal standardized amount and the hospital-specific rate will be paid based on the Federal standardized amount starting in FY 2014.
- The effects of the implementation of section 3133 of the Affordable Care Act that reduces Medicare DSH payments to 25 percent of what hospitals had been previously paid under section 1886(d)(5)(F) of the Act and establishes an additional payment to be made to hospitals that receive DSH payments for their relative share of the total amount of uncompensated care.
- The total estimated change in payments based on the FY 2014 policies relative to payments based on FY 2013 policies that include the applicable percentage increase of 1.7 percent (or 2.5 percent market basket update with a reduction of 0.5 percentage point for the multifactor productivity adjustment, and a 0.3 percentage point reduction, as required under the Affordable Care Act).
To illustrate the impact of the FY 2014 changes, our analysis begins with a FY 2013 baseline simulation model using: the FY 2014 applicable percentage increase of 1.7 percent and the documentation and coding recoupment adjustment of 0.8 percent to the Federal standardized amount and the adjustment 0.2 percent to the Federal standardized amount, the hospital-specific rate, and the Puerto Rico-specific rate for the policy on admission and medical review criteria; the FY 2013 MS-DRG GROUPER (Version 30.0); the most current CBSA designations for hospitals based on OMB's MSA definitions; the FY 2013 wage index; and no MGCRB reclassifications. Outlier payments are set at 5.1 percent of total operating MS-DRG and outlier payments for modeling purposes.
Section 1886(b)(3)(B)(viii) of the Act, as added by section 5001(a) of Public Law 109-171, as amended by section 4102(b)(1)(A) of the ARRA (Pub. L. 111-5) and by section 3401(a)(2) of the Affordable Care Act (Pub. L. 111-148), provides that, for FY 2007 and each subsequent year, the update factor will include a reduction of 2.0 percentage points for any subsection (d) hospital that does not submit data on measures in a form and manner and at a time specified by the Secretary. (Beginning in FY 2015, the reduction is one-quarter of such applicable percentage increase determined without regard to section 1886(b)(3)(B)(ix), (xi), or (xii) of the Act.) At the time that this impact was prepared, 46 hospitals did not receive the full market basket rate-of-increase for FY 2013 because they failed the quality data submission process or did not choose to participate. For purposes of the simulations shown below, we modeled the payment changes for FY 2014 using a reduced update for these 46 hospitals. However, we do not have enough information at this time to determine which hospitals will not receive the full update factor for FY 2014.
Each policy change, statutory or otherwise, is then added incrementally to this baseline, finally arriving at an FY 2014 model incorporating all of the changes. This simulation allows us to isolate the effects of each change.
Our final comparison illustrates the percent change in payments per case from FY 2013 to FY 2014. Three factors not discussed separately have significant impacts here. The first factor is the update to the standardized amount. In accordance with section 1886(b)(3)(B)(i) of the Act, we are updating the standardized amounts for FY 2014 using an applicable percentage increase of 1.7 percent. This includes our forecasted IPPS operating hospital market basket increase of 2.5 percent with a reduction of 0.5 percentage point for the multifactor productivity adjustment and a 0.3 percentage point reduction as required under the Affordable Care Act. (Hospitals that fail to comply with the quality data submission requirements would receive an update of −0.3 percent (this update includes the 2.0 percentage point reduction for failure to submit these data)). Under section 1886(b)(3)(B)(iv) of the Act, the updates to the hospital-specific amounts for SCHs also are equal to the applicable percentage increase, or 1.7 percent. In addition, we are updating the Puerto Rico-specific amount by an applicable percentage increase of 1.7 percent.
A second significant factor that affects the changes in hospitals' payments per case from FY 2013 to FY 2014 is the change in hospitals' geographic reclassification status from one year to the next. That is, payments may be reduced for hospitals reclassified in FY 2013 that are no longer reclassified in FY 2014. Conversely, payments may increase for hospitals not reclassified in FY 2013 that are reclassified in FY 2014.
A third significant factor is that we currently estimate that actual outlier payments during FY 2013 will be 4.8 percent of total MS-DRG payments. When the FY 2013 final rule was published, we projected FY 2013 outlier payments would be 5.1 percent of total MS-DRG plus outlier payments; the average standardized amounts were offset correspondingly. The effects of the lower than expected outlier payments during FY 2013 (as discussed in the Addendum to this final rule) are reflected in the analyses below comparing our current estimates of FY 2013 payments per case to estimated FY 2014 payments per case (with outlier payments projected to equal 5.1 percent of total MS-DRG payments).
2. Analysis of Table I
Table I displays the results of our analysis of the changes for FY 2014. The table categorizes hospitals by various geographic and special payment consideration groups to illustrate the varying impacts on different types of hospitals. The top row of the table shows the overall impact on the 3,407 acute care hospitals included in the analysis.
The next four rows of Table I contain hospitals categorized according to their geographic location: All urban, which is further divided into large urban and other urban; and rural. There are 2,485 hospitals located in urban areas included in our analysis. Among these, there are 1,370 hospitals located in large urban areas (populations over 1 million), and 1,115 hospitals in other urban areas (populations of 1 million or fewer). In addition, there are 922 hospitals in rural areas. The next two groupings are by bed-size categories, shown separately for urban and rural hospitals. The final groupings by geographic location are by census divisions, also shown separately for urban and rural hospitals.
The second part of Table I shows hospital groups based on hospitals' FY 2014 payment classifications, including any reclassifications under section 1886(d)(10) of the Act. For example, the rows labeled urban, large urban, other urban, and rural show that the numbers of hospitals paid based on these categorizations after consideration of geographic reclassifications (including reclassifications under sections 1886(d)(8)(B) and 1886(d)(8)(E) of the Act that have implications for capital payments) are 2,496; 1,380; 1,116; and 911, respectively.
The next three groupings examine the impacts of the changes on hospitals grouped by whether or not they have GME residency programs (teaching hospitals that receive an IME adjustment) or receive Medicare DSH payments, or some combination of these two adjustments. There are 2,380 nonteaching hospitals in our analysis, 785 teaching hospitals with fewer than 100 residents, and 242 teaching hospitals with 100 or more residents.
In the DSH categories, hospitals are grouped according to their DSH payment status, and whether they are considered urban or rural for DSH purposes. The next category groups together hospitals considered urban or rural, in terms of whether they receive the IME adjustment, the DSH adjustment, both, or neither.
The next five rows examine the impacts of the changes on rural hospitals by special payment groups (SCHs, RRCs, and former MDHs). There were 207 RRCs, 330 SCHs, 187 former MDHs, and 124 hospitals that are both SCHs and RRCs, and 11 hospitals that were former MDHs and RRCs.
The next series of groupings are based on the type of ownership and the hospital's Medicare utilization expressed as a percent of total patient days. These data were taken from the FY 2011 or FY 2010 Medicare cost reports.
The next two groupings concern the geographic reclassification status of hospitals. The first grouping displays all urban hospitals that were reclassified by the MGCRB for FY 2014. The second grouping shows the MGCRB rural reclassifications. The final category shows the impact of the policy changes on the 15 cardiac hospitals.
BILLING CODE 4120-01-P
BILLING CODE 4120-01-C
a. Effects of the Hospital Update, Documentation and Coding Adjustment and Adjustment for the Policy on Admission and Medical Review Criteria (Column 2)
As discussed in section II.D. of the preamble of this final rule, this column includes the hospital update, including the 2.5 percent market basket update, the reduction of 0.5 percentage point for the multifactor productivity adjustment, and the 0.3 percentage point reduction in accordance with the Affordable Care Act. In addition, this column includes the FY 2014 documentation and coding recoupment adjustment of −0.8 percent on the national standardized amount as part of the recoupment required by section 631 of the ATRA. Finally, we are applying a −0.2 percent adjustment to offset the cost of the policy on admission and medical review criteria for hospital inpatient services under Medicare Part A that is applied to the national standardized amount, the hospital-specific rate, and the Puerto Rico specific rate. As a result, we are making a 0.7 percent update to the national standardized amount.
This column also includes the 1.5 percent update to the hospital-specific rates, which includes the 1.7 percent for the hospital update and −0.2 percent adjustment to offset the cost of the policy on admission and medical review criteria for hospital inpatient services under Medicare Part A.
Overall, hospitals will experience a 0.7 percent increase in payments primarily due to the effects of the hospital update and documentation and coding adjustment on the national standardized amount. Hospitals that are paid under the hospital-specific rate, namely SCHs, will experience a 1.5 percent increase in payments; therefore, hospital categories with SCHs paid under the hospital-specific rate will experience increases in payments of more than 0.7 percent.
b. Effects of the Changes to the MS-DRG Reclassifications and Relative Cost-Based Weights With Recalibration Budget Neutrality (Column 3)
Column 3 shows the effects of the changes to the MS-DRGs and relative weights with the application of the recalibration budget neutrality factor to the standardized amounts. Section 1886(d)(4)(C)(i) of the Act requires us annually to make appropriate classification changes in order to reflect changes in treatment patterns, technology, and any other factors that may change the relative use of hospital resources. Consistent with section 1886(d)(4)(C)(iii) of the Act, we are calculating a recalibration budget neutrality factor to account for the changes in MS-DRGs and relative weights to ensure that the overall payment impact is budget neutral.
As discussed in section II.E. of the preamble of this final rule, the FY 2014 MS-DRG relative weights will be 100 percent cost-based and 100 percent MS-DRGs. For FY 2014, the MS-DRGs are calculated using the FY 2012 MedPAR data grouped to the Version 31.0 (FY 2014) MS-DRGs. In addition, for FY 2014, we are moving from 15 departmental CCRs to 19 departmental CCRs to calculate the cost-based relative weights. The four additional CCRs of implantable devices, CT scan, MRI, and cardiac catheterization have generally increased the relative weight values for surgical MS-DRGs and decreased the relative weight values for medical MS-DRGs. The methodology to calculate the relative weights and the reclassification changes to the GROUPER are described in more detail in section II.H. of the preamble of this final rule.
The “All Hospitals” line in Column 3 indicates that changes due to the MS-DRGs and relative weights will result in a 0.0 percent change in payments with the application of the recalibration budget neutrality factor of 0.997989 on to the standardized amount. Hospital categories that generally treat more surgical cases than medical cases will experience increases in their payments due to the changes to the relative weight methodology. Rural hospitals will experience a 0.4 percent decrease in payments because rural hospitals tend to treat fewer surgical cases than medical cases, while teaching hospitals with more than 100 residents will experience an increase in payments by 0.1 percent as those hospitals treat more surgical cases than medical cases.
c. Effects of the Wage Index Changes (Column 4)
Column 4 shows the impact of updated wage data and the change to the labor-related share with the application of the wage budget neutrality factor. Section 1886(d)(3)(E) of the Act requires that, beginning October 1, 1993, we annually update the wage data used to calculate the wage index. In accordance with this requirement, the wage index for acute care hospitals for FY 2014 is based on data submitted for hospital cost reporting periods beginning on or after October 1, 2009 and before October 1, 2010. The estimated impact of the updated wage data and the labor-related share on hospital payments is isolated in Column 4 by holding the other payment parameters constant in this simulation. That is, Column 4 shows the percentage change in payments when going from a model using the FY 2013 wage index, based on FY 2009 wage data, the FY 2013 labor-related share of 68.8 percent and having a 100-percent occupational mix adjustment applied, to a model using the FY 2014 pre-reclassification wage index with the labor-related share of 69.6 percent, also having a 100-percent occupational mix adjustment applied, based on FY 2010 wage data (while holding other payment parameters such as use of the Version 31.0 MS-DRG GROUPER constant). The occupational mix adjustment is based on the 2010 occupational mix survey.
In addition, the column shows the impact of the application of the wage budget neutrality to the national standardized amount. In FY 2010, we began calculating separate wage budget neutrality and recalibration budget neutrality factors, in accordance with section 1886(d)(3)(E) of the Act, which specifies that budget neutrality to account for wage changes or updates made under that subparagraph must be made without regard to the 62 percent labor-related share guaranteed under section 1886(d)(3)(E)(ii) of the Act. Therefore, for FY 2014, we are calculating the wage budget neutrality factor to ensure that payments under updated wage data and the labor-related share of 69.6 percent are budget neutral without regard to the lower labor-related share of 62 percent applied to hospitals with a wage index less than or equal to 1.0. In other words, the wage budget neutrality is calculated under the assumption that all hospitals receive the higher labor-related share of the standardized amount. The wage budget neutrality factor is 0.999947, and the overall payment change is zero percent.
Column 4 shows the impacts of updating the wage data using FY 2010 cost reports. Overall, the new wage data and the labor-related share, combined with the wage budget neutrality adjustment, will lead to a 0.0 percent change for all hospitals as shown in Column 4.
In looking at the wage data itself, the national average hourly wage increased 2.4 percent compared to FY 2013. Therefore, the only manner in which to maintain or exceed the previous year's wage index was to match or exceed the national 2.4 percent increase in average hourly wage. Of the 3,395 hospitals with wage data for both FYs 2013 and 2014, 1,575, or 46.4 percent, will experience an average hourly wage increase of 2.4 percent or more.
The following chart compares the shifts in wage index values for hospitals due to changes in the average hourly wage data for FY 2014 relative to FY 2013. Among urban hospitals, none will experience an increase or decrease of more than 5 percent. Among rural hospitals, none will experience an increase or decrease of more than 5 percent. However, 919 rural hospitals will experience increases or decreases of less than 5 percent, while 2,476 urban hospitals will experience increases or decreases of less than 5 percent. These figures reflect changes in the “pre-reclassified, occupational mix-adjusted wage index,” that is, the wage index before the application of geographic reclassification, the rural and imputed floors, the out-migration adjustment, and other wage index exceptions and adjustments. (We refer readers to sections III.G.2. through III.I. of the preamble of this final rule for a complete discussion of the exceptions and adjustments to the wage index.) We note that the “post-reclassified wage index” or “payment wage index,” the wage index that includes all such exceptions and adjustments (as reflected in Tables 2, 4A, 4B, 4C, and 4F of the Addendum to this final rule, which are available via the Internet on the CMS Web site) is used to adjust the labor-related share of a hospital's standardized amount, either 69.6 percent or 62 percent, depending upon whether a hospital's wage index is greater than 1.0 or less than or equal to 1.0. Therefore, the pre-reclassified wage index figures in the chart below may illustrate a somewhat larger or smaller change than will occur in a hospital's payment wage index and total payment.
The following chart shows the projected impact of changes in the average hourly wage data for urban and rural hospitals.
| Percentage change in area wage index values | Number of hospitals | |
|---|---|---|
| Urban | Rural | |
| Increase more than 10 percent | 0 | 0 |
| Increase more than 5 percent and less than 10 percent | 0 | 0 |
| Increase or decrease less than 5 percent | 2,476 | 919 |
| Decrease more than 5 percent and less than 10 percent | 0 | 0 |
| Decrease more than 10 percent | 0 | 0 |
d. Combined Effects of the MS-DRG and Wage Index Changes (Column 5)
Section 1886(d)(4)(C)(iii) of the Act requires that changes to MS-DRG reclassifications and the relative weights cannot increase or decrease aggregate payments. In addition, section 1886(d)(3)(E) of the Act specifies that any updates or adjustments to the wage index are to be budget neutral. We computed a wage budget neutrality factor of 0.999947 and a recalibration budget neutrality factor of 0.997989 (which is applied to the Puerto Rico-specific standardized amount and the hospital-specific rates). The product of the two budget neutrality factors is the cumulative wage and recalibration budget neutrality factor. The cumulative wage and recalibration budget neutrality adjustment is 0.997936, or approximately −0.21 percent, which is applied to the national standardized amounts. Because the wage budget neutrality and the recalibration budget neutrality are calculated under different methodologies according to the statute, when the two budget neutralities are combined and applied to the standardized amount, the overall payment impact is not necessarily budget neutral. In this final rule, we are estimating that the changes in the MS-DRG relative weights and updated wage data with wage and budget neutrality applied will result in a 0.1 percent change in payments.
e. Effects of MGCRB Reclassifications (Column 6)
Our impact analysis to this point has assumed acute care hospitals are paid on the basis of their actual geographic location (with the exception of ongoing policies that provide that certain hospitals receive payments on other bases than where they are geographically located). The changes in Column 6 reflect the per case payment impact of moving from this baseline to a simulation incorporating the MGCRB decisions for FY 2014 which affect hospitals' wage index area assignments.
By Spring of each year, the MGCRB makes reclassification determinations that will be effective for the next fiscal year, which begins on October 1. The MGCRB may approve a hospital's reclassification request for the purpose of using another area's wage index value. Hospitals may appeal denials of MGCRB decisions to the CMS Administrator. Further, hospitals have 45 days from publication of the IPPS proposed rule in the Federal Register to decide whether to withdraw or terminate an approved geographic reclassification for the following year.
The overall effect of geographic reclassification is required by section 1886(d)(8)(D) of the Act to be budget neutral. Therefore, for purposes of this impact analysis, we are applying an adjustment of 0.990718 to ensure that the effects of the reclassifications under section 1886(d)(10) of the Act are budget neutral (section II.A. of the Addendum to this final rule). Geographic reclassification generally benefits hospitals in rural areas. We estimate that the geographic reclassification will increase payments to rural hospitals by an average of 1.7 percent. By region, all the rural hospital categories, with the exception of one rural Puerto Rico hospital, will experience increases in payments due to MGCRB reclassifications.
Table 9A listed in section VI. of the Addendum to this final rule and available via the Internet on the CMS Web site reflects the reclassifications for FY 2014.
f. Effects of the Rural and Imputed Floor, Including Application of National Budget Neutrality (Column 7)
As discussed in section III.B. of the preamble of the FY 2009 IPPS final rule, the FY 2010 IPPS/RY 2010 LTCH PPS final rule, the FYs 2011, 2012, and 2013 IPPS/LTCH PPS final rules, and this final rule, section 4410 of Public Law 105-33 established the rural floor by requiring that the wage index for a hospital in any urban area cannot be less than the wage index received by rural hospitals in the same State. We apply a uniform budget neutrality adjustment to the wage index. In addition, the imputed floor, which is also included in the calculation of the budget neutrality adjustment to the wage index, was extended in FY 2012 for 2 additional years. In the past, only urban hospitals in New Jersey received the imputed floor. As discussed in the FY 2013 IPPS/LTCH PPS final rule (77 FR 53369), we established an alternative temporary methodology for the imputed floor, which resulted in an imputed floor for Rhode Island for FY 2013. For FY 2014, we are extending the imputed rural floor, as calculated under the original methodology and the alternative methodology.
The Affordable Care Act requires that we apply one rural floor budget neutrality factor to the wage index nationally, and the imputed floor is part of the rural floor budget neutrality factor applied to the wage index nationally. We have calculated a FY 2014 rural floor budget neutrality factor to be applied to the wage index of 0.990150, which will reduce wage indexes by 0.99 percent.
Column 7 shows the projected impact of the rural floor and imputed floor with the national rural floor budget neutrality factor applied to the wage index. The column compares the post-reclassification FY 2014 wage index of providers before the rural floor and imputed floor adjustment and the post-reclassification FY 2014 wage index of providers with the rural floor and imputed floor adjustment. Only urban hospitals can benefit from the rural and imputed floors. Because the provision is budget neutral, all other hospitals (that is, all rural hospitals and those urban hospitals to which the adjustment is not made) will experience a decrease in payments due to the budget neutrality adjustment that is applied nationally to their wage index.
We estimate that 424 hospitals benefit from the rural and imputed floors while the remaining 2,983 IPPS hospitals in our model have their wage index reduced by the rural floor budget neutrality adjustment of 0.990150 (or 0.99 percent). We project that, in aggregate, rural hospitals will experience a 0.3 percent decrease in payments as a result of the application of the rural floor budget neutrality because the rural hospitals do not benefit from the rural floor, but have their wage indexes downwardly adjusted to ensure that the application of the rural floor is budget neutral overall. We project hospitals located in other urban areas (populations of 1 million or fewer) will experience a 0.1 percent increase in payments because those providers benefit from the rural floor. Urban hospitals in the New England region can expect a 4.3 percent increase in payments primarily due to the application of the rural floor in Massachusetts and Connecticut. All 60 urban providers in Massachusetts are expected to receive the rural floor wage index value, including rural floor budget neutrality, of 1.3052 increasing payments, overall, to Massachusetts by an estimated $168 million. During most past years, there have been no IPPS hospitals located in rural areas in Massachusetts. There was one urban IPPS hospital that was reclassified to rural Massachusetts (under section 1886(d)(8)(E) of the Act) which established the Massachusetts rural floor, but the wage index resulting from that hospital's data was not high enough for any urban hospital to benefit from the rural floor policy. However, for the FY 2012 wage index, the rural floor for Massachusetts was established by the conversion of a CAH to an IPPS hospital that is geographically located in rural Massachusetts. The rural floor in Massachusetts continues to be set by the wage index of the hospital in rural Massachusetts that converted from CAH to IPPS status. We estimate that Massachusetts hospitals will receive approximately a 5.5 percent increase in IPPS payments due to the application of the rural floor in FY 2014. In addition, 19 out of 32 hospitals in Connecticut will increase payments to those rural floor hospitals by $70 million (and, overall, increase payments to the State by an estimated $65 million).
Urban Puerto Rico hospitals are expected to experience a 0.0 percent change in payments as a result of the application of a Puerto Rico rural floor with the application of the Puerto Rico rural floor budget neutrality adjustment. Urban Puerto Rico hospitals will receive a rural floor as a result of a one IPPS hospital located in rural Puerto Rico setting the rural floor. We are applying a rural floor budget neutrality factor to the Puerto Rico-specific wage index of 0.990897 or −0.9 percent. The Puerto Rico-specific wage index adjusts the Puerto Rico-specific standardized amount, which represents 25 percent of payments to Puerto Rico hospitals. The increases in payments experienced by the urban Puerto Rico hospitals that benefit from a rural floor are offset by the decreases in payments by the nonrural floor urban Puerto Rico hospitals that have their wage indexes downwardly adjusted by the rural floor budget neutrality adjustment. As a result, overall, urban Puerto Rico hospitals will experience a 0.0 percent change in payments due to the application of the rural floor with rural floor budget neutrality.
There are 25 hospitals out of the 65 hospitals in New Jersey that benefit from the extension of the imputed floor and will receive the imputed floor wage index value, including the rural floor budget neutrality, of 1.1133, which we estimate will increase payments to those imputed floor hospitals by $29 million (the State, overall, will see an increase in payments of approximately $14 million). Four Rhode Island hospitals will benefit from the imputed rural floor calculated under the alternative methodology and receive an additional $3.5 million (the State, overall, will receive an additional $1.7 million).
In response to a public comment addressed in the FY 2012 IPPS/LTCH PPS final rule (76 FR 51593), we are providing the payment impact of the rural floor and imputed floor with budget neutrality at the State level. Column 1 of the table below displays the number of IPPS hospitals located in each State. Column 2 displays the number of hospitals in each State that will receive the rural floor or imputed floor wage index for FY 2014. Column 3 displays the percentage of total payments each State will receive or contribute to fund the rural floor and imputed floor with national budget neutrality. The column compares the post-reclassification FY 2014 wage index of providers before the rural floor and imputed floor adjustment and the post-reclassification FY 2013 wage index of providers with the rural floor and imputed floor adjustment. Column 4 displays the estimated payment amount that each State will gain or lose due to the application of the rural floor and imputed floor with national budget neutrality.
Comment: Commenters expressed appreciation for the detailed impact analyses provided in the FY 2014 IPPS/LTCH PPS proposed rule. One commenter requested CMS to include an impact table of the rural floor for FY 2015 rule, after the new OMB MSA data are incorporated into our analysis.
Response: We appreciate the comments on the analysis in the proposed rule (78 FR 27795 through 27796) and will take this request into consideration for future rulemaking.
Comment: Several commenters requested that, for the final rule, CMS include additional analyses related to the national rural floor budget neutrality. The commenters suggested that those analyses include an updated State-by-State impact table that includes the cumulative impact of the rural floor under the IPPS and OPPS, and shows 2 years of the redistribution and a table that projects the estimated 10-year State-specific effects of continuing the current policy.
Response: We acknowledge the commenters' requests for additional analyses on the rural floor budget neutrality policy. We note that the IPPS and OPPS impacts analyses are conducted on different claims data with a different set of providers and set of modeling assumptions; therefore, we cannot logically combine the IPPS and OPPS payment impacts of the rural floor to present in one State-by-State table. Commenters may request to see the OPPS impacts of the rural floor policy through the public comment period for the CY 2014 OPPS/ASC proposed rule that closes on September 6, 2013. In addition, we are unable to provide a State-by-State impact with 2-year or 10-year projections of the rural floor because the rural floor is based on wage data that are updated annually. Therefore, we believe it would be difficult to accurately portray the rural floor in 10-year projections. We have updated our State-by-State rural floor budget neutrality impact analysis for the FY 2014 IPPS/LTCH PPS final rule.
| State | Number of hospitals | Number of hospitals receiving rural floor or imputed floor | Percent change in payments due to application of rural floor and imputed floor with budget neutrality | Difference (in millions) |
|---|---|---|---|---|
| (1) | (2) | (3) | (4) | |
| Alabama | 93 | 3 | −0.5 | −7.9 |
| Alaska | 6 | 4 | 3.3 | 4.7 |
| Arizona | 57 | 7 | −0.3 | −5.3 |
| Arkansas | 45 | 0 | −0.5 | −5.2 |
| California | 309 | 182 | 1 | 94.1 |
| Colorado | 46 | 6 | 0.1 | 1.3 |
| Connecticut | 32 | 19 | 4.2 | 65.4 |
| Delaware | 6 | 0 | −0.6 | −2.4 |
| Washington, D.C. | 7 | 0 | −0.6 | −2.6 |
| Florida | 168 | 7 | −0.4 | −29.7 |
| Georgia | 107 | 0 | −0.5 | −12.7 |
| Hawaii | 14 | 0 | −0.4 | −1.2 |
| Idaho | 14 | 0 | −0.4 | −1.2 |
| Illinois | 127 | 1 | −0.6 | −27.4 |
| Indiana | 89 | 0 | −0.5 | −12.8 |
| Iowa | 34 | 0 | −0.2 | −2.3 |
| Kansas | 55 | 0 | −0.4 | −3.7 |
| Kentucky | 65 | 1 | −0.5 | −8.3 |
| Louisiana | 99 | 3 | −0.5 | −6.7 |
| Maine | 20 | 0 | −0.5 | −2.4 |
| Massachusetts | 61 | 60 | 5.5 | 167.6 |
| Michigan | 95 | 0 | −0.5 | −22.4 |
| Minnesota | 51 | 0 | −0.5 | −9.4 |
| Mississippi | 65 | 1 | −0.5 | −5.3 |
| Missouri | 77 | 0 | −0.4 | −10.9 |
| Montana | 12 | 4 | −0.1 | −0.4 |
| Nebraska | 23 | 0 | −0.4 | −2.5 |
| Nevada | 24 | 19 | 1.7 | 11.2 |
| New Hampshire | 13 | 9 | 1.9 | 8.6 |
| New Jersey | 64 | 25 | 0.4 | 13.8 |
| New Mexico | 25 | 0 | −0.3 | −1.5 |
| New York | 166 | 0 | −0.6 | −47.7 |
| North Carolina | 87 | 0 | −0.4 | −12.6 |
| North Dakota | 6 | 1 | −0.3 | −0.8 |
| Ohio | 137 | 7 | −0.4 | −16.9 |
| Oklahoma | 86 | 2 | −0.5 | −5.6 |
| Oregon | 33 | 0 | −0.5 | −4.5 |
| Pennsylvania | 157 | 11 | −0.5 | −21.0 |
| Puerto Rico | 52 | 13 | 0 | 0.0 |
| Rhode Island | 11 | 4 | 0.5 | 1.7 |
| South Carolina | 57 | 5 | −0.3 | −5.4 |
| South Dakota | 19 | 0 | −0.3 | −1.0 |
| Tennessee | 97 | 18 | −0.3 | −7.6 |
| Texas | 324 | 3 | −0.5 | −32.2 |
| Utah | 32 | 0 | −0.3 | −1.5 |
| Vermont | 6 | 0 | −0.4 | −0.8 |
| Virginia | 78 | 1 | −0.4 | −10.7 |
| Washington | 49 | 5 | −0.1 | −2.4 |
| West Virginia | 30 | 1 | −0.4 | −3.3 |
| Wisconsin | 66 | 2 | −0.5 | −8.0 |
| Wyoming | 11 | 0 | −0.2 | −0.2 |
g. Effects of the Application of the Frontier State Wage Index (Column 8)
Section 10324(a) of Affordable Care Act requires that we establish a minimum post-reclassified wage-index of 1.00 for all hospitals located in “frontier States.” The term “frontier States” is defined in the statute as States in which at least 50 percent of counties have a population density less than 6 persons per square mile. Based on these criteria, four States (Montana, North Dakota, South Dakota, and Wyoming) are considered frontier States and 46 hospitals located in those States will receive a frontier wage index of 1.0000. Although Nevada is also, by definition, a frontier State and was assigned a frontier floor value of 1.0000 for FY 2012, its FY 2013 rural floor value of 1.0256 was greater and, therefore, was the State's minimum wage index for FY 2013. For FY 2014, its post-reclassification wage index is also above 1.0000, hospitals located in Nevada will not experience a change in payment as a result of this provision. Overall, this provision is not budget neutral and is estimated to increase IPPS operating payments by approximately $60 million or approximately 0.1 percent.
h. Effects of the Wage Index Adjustment for Out-Migration (Column 9)
Section 1886(d)(13) of the Act, as added by section 505 of Public Law 108-173, provides for an increase in the wage index for hospitals located in certain counties that have a relatively high percentage of hospital employees who reside in the county, but work in a different area with a higher wage index. Hospitals located in counties that qualify for the payment adjustment are to receive an increase in the wage index that is equal to a weighted average of the difference between the wage index of the resident county, post-reclassification and the higher wage index work area(s), weighted by the overall percentage of workers who are employed in an area with a higher wage index. There are 250 providers that will receive the out-migration wage adjustment in FY 2014. This out-migration wage adjustment is not budget neutral, and we estimate the impact of these providers receiving the out-migration increase to be approximately $22 million.
i. Effects of the Expiration of MDH Special Payment Status (Column 10)
Column 10 shows our estimate of the changes in payments due to the expiration of MDH status, a nonbudget neutral payment provision. MDH status had previously expired for FY 2013 under section 3124 of the Affordable Care Act, but was extended for an additional year through FY 2013 under section 606 of the ATRA. Hospitals that qualified to be MDHs receive the higher of payments made under the Federal standardized amount or the payments made under the Federal standardized amount plus 75 percent of the difference between the Federal standardized amount and the hospital-specific rate (a hospital-specific cost-based rate). Because this provision was not budget neutral, the expiration of this payment provision results in a 0.2 percent decrease in payments overall. There are currently 198 MDHs and MDH/RRCs, of which 118 are estimated to be paid under the blended payment of the Federal standardized amount and hospital-specific rate for FY 2013. Because those 118 MDHs will no longer receive the blended payment and will be paid only under the Federal standardized amount in FY 2014, it is estimated that those hospitals will experience an overall decrease in payments of approximately $175 million.
j. Effects of the Reductions under the Hospital Readmissions Reduction Program (Column 11)
Column 11 shows our estimates of the effects of the policies for reductions in payments under the Hospital Readmissions Reduction Program, which was established under section 3025 of the Affordable Care Act. The Hospital Readmissions Reduction Program requires a reduction to a hospital's base operating DRG payments to account for excess readmissions, which is based on a hospital's risk-adjusted readmission rate during a 3-year period for three applicable conditions: Acute Myocardial Infarction, Heart Failure, and Pneumonia. This provision is not budget neutral. A hospital's readmission adjustment is the higher of a ratio of the hospital's aggregate payments for excess readmissions to their aggregate payments for all discharges, or a floor, which has been defined in statute as 0.98 (or a 2.0 percent reduction) for FY 2014. A hospital's base operating DRG payment (that is, wage-adjusted DRG payment amount, as discussed in section V.G. of the preamble of this final rule) is the portion of the IPPS payment subject to the readmissions payment adjustment (DSH, IME, outliers and low-volume add-on payments are not subject to the readmissions adjustment). In this final rule, we estimate that 2,225 hospitals will have their base operating DRG payments reduced by their hospital-specific readmissions adjustment, resulting in a 0.2 percent decrease, or approximately $227 million, in payments to hospitals overall for FY 2014 relative to no provision.
Rural west south central hospitals and hospitals with high Medicare utilization of over 65 percent will experience the highest decreases of 0.5 percent. Puerto Rico hospitals show a zero percent change in payments because they are exempt from the provision. Urban non-DSH hospitals and urban DSH hospitals will experience 0.2 percent decrease in payments under the Hospital Readmissions Reduction Program.
k. Effects of the Changes to Medicare DSH Payments (Column 12)
Column 12 shows the effects of the implementation of adjustments to Medicare DSH payments made under section 3133 of the Affordable Care Act. Under section 3133, hospitals that are eligible to receive Medicare DSH payments will receive 25 percent of the amount they previously would have received under the current statutory formula for Medicare DSH payments. The remainder, equal to an estimate of 75 percent of what otherwise would have been paid as Medicare DSH payments, reduced to reflect changes in the percentage of individuals under age 65 who are uninsured and additional statutory adjustments, will become available to make additional payments to each hospital that qualifies for Medicare DSH payments. Each Medicare DSH hospital will receive an additional payment based on its estimated share of the total amount of uncompensated care for all Medicare DSHs. The reduction to Medicare DSH payments is not budget neutral.
We are establishing that the amount to be distributed on the basis of uncompensated care, which is 75 percent of what otherwise would have been paid for Medicare DSH payment adjustments (that is, Factor 1), is adjusted to 94.3 percent of that amount for changes in the percentage of individuals under age 65 who are uninsured and additional statutory adjustments (that is, Factor 1 multiplied by Factor 2). As a result, we project that the reduction of Medicare DSH payments, together with the introduction of the new uncompensated care payment, will reduce payments overall by 0.4 percent as compared to Medicare DSH payments prior to the implementation of section 3133 of the Affordable Care Act. This is less of a reduction to payments than what had been estimated in the FY 2014 IPPS/LTCH PPS proposed rule (78 FR 27797) because we are finalizing that Factor 2, the changes in the percentage of individuals under age 65 who are uninsured and additional statutory adjustments, is based on a fiscal year estimate of uninsurance, as opposed to a calendar year estimate of uninsurance. The Factor 2 that had been proposed in the FY 2014 IPPS/LTCH PPS proposed rule was 88.8 percent, while the Factor 2 that we are finalizing in this final rule is 94.3 percent, which is less of a reduction to the total amount of payments made for uncompensated care as compared to the proposed rule. The uncompensated care payment has redistributive effects based on a disproportionate share hospital's low income insured patient days (sum of Medicaid patient days and Medicare SSI patient days) relative to all disproportionate share hospitals Medicaid patient days and Medicare SSI patient days, and the payment amount is not tied to a hospital's discharges.
Urban and rural hospitals located in the Middle Atlantic will experience larger increases of 0.4 percent and 0.8 percent, respectively. Government hospitals and hospitals with low Medicare utilization (Medicare days are less than 25 percent of total inpatient day) will experience some of the largest increases in payments of 0.9 percent and 3.7 percent respectively.
l. Effects of All FY 2014 Changes (Column 13)
Column 13 shows our estimate of the changes in payments per discharge from FY 2013 and FY 2014, resulting from all changes reflected in this final rule for FY 2014. It includes combined effects of the previous columns in the table.
The average increase in payments under the IPPS for all hospitals is approximately 0.5 percent for FY 2014 relative to FY 2013. As discussed in section II.D. of the preamble of this final rule, this column includes the FY 2014 documentation and coding recoupment adjustment of −0.8 percent on the national standardized amount as part of the recoupment required under section 631 of the ATRA. In addition, this column includes the annual hospital update of 1.7 percent to the national standardized amount. This annual hospital update includes the 2.5 percent market basket update, the reduction of 0.5 percentage point for the multifactor productivity adjustment, and the 0.3 percentage point reduction under section 3401 of the Affordable Care Act. Finally, it includes the −0.2 percent adjustment of the national standardized amount, the hospital-specific payment rate, and the Puerto Rico-specific rate to offset the costs of the policy on admission and medical review criteria for hospital inpatient services under Medicare Part A. As described in Column 2, the annual hospital update, combined with the documentation and coding adjustment and the adjustment to offset the cost of the policy on admission and medical review criteria for hospital inpatient services under Medicare Part A, will result in a 0.7 percent increase in payments in FY 2014 relative to FY 2013. Column 5 shows an increase in payments by 0.1 percent due to the effects of the cumulative DRG and wage budget neutrality. Column 8 describes an estimated 0.1 percent increase in payments due to the frontier State wage index. Column 10 describes the estimated 0.2 percent decrease in payments due to the expiration of the MDH status under section 606 of the ATRA. Column 11 shows the estimated 0.2 percent decrease in payments due to the reductions in payments under the Hospital Readmissions Reduction Program, which reduce a hospital's base operating DRG payments by a readmission adjustment factor based on a hospital's performance on readmissions for specified conditions. Column 12 shows the estimated 0.4 percent decrease in Medicare DSH payments due to the changes made under section 3133 of the Affordable Care Act, which reduces Medicare DSH payments by 75 percent and redistributes the remainder, equal to an estimate of 75 percent of what otherwise would have been paid as Medicare DSH payments, reduced to reflect changes in the percentage of individuals under age 65 who are uninsured, to each hospital that qualifies for Medicare DSH payments as an uncompensated care payment based on the hospital's relative share of the total amount of uncompensated care. The impact of moving from our estimate of FY 2013 outlier payments, 4.8 percent, to the estimate of FY 2014 outlier payments, 5.1 percent, will result in an increase of 0.3 percent in FY 2014 payments relative to FY 2013. There also might be interactive effects among the various factors comprising the payment system that we are not able to isolate. For these reasons, the values in Column 13 may not equal the sum of the estimated percentage changes described above.
Overall payments to hospitals paid under the IPPS are estimated to increase by 0.5 percent for FY 2014. Much of the payment changes among the hospital categories are largely attributed to the reduction in Medicare DSH payment adjustments and the redistribution of a portion of the Medicare DSH payments as an additional payment for a hospital's relative uncompensated care amount. Hospitals in urban areas will experience a 0.7 percent increase in payments per discharge in FY 2014 compared to FY 2013. Hospital payments per discharge in rural areas are estimated to decrease by 1.6 percent in FY 2014 as compared to FY 2013 largely due to the expiration of MDH status and reductions to Medicare DSH payments.
3. Impact Analysis of Table II
Table II presents the projected impact of the changes for FY 2014 for urban and rural hospitals and for the different categories of hospitals shown in Table I. It compares the estimated average payments per discharge for FY 2013 with the average payments per discharge for FY 2014, as calculated under our models. Thus, this table presents, in terms of the average dollar amounts paid per discharge, the combined effects of the changes presented in Table I. The estimated percentage changes shown in the last column of Table II equal the estimated percentage changes in average payments per discharge from Column 13 of Table I.
| Number of hospitals | Average FY 2013 payment per discharge | Average FY 2014 payment per discharge | All FY 2014 changes | |
|---|---|---|---|---|
| [Payments per discharge] | ||||
| (1) | (2) | (3) | (4) | |
| All Hospitals | 3,407 | 10,897 | 10,948 | 0.5 |
| By Geographic Location: | ||||
| Urban hospitals | 2,485 | 11,308 | 11,385 | 0.7 |
| Large urban areas | 1,370 | 11,982 | 12,106 | 1 |
| Other urban areas | 1,115 | 10,487 | 10,508 | 0.2 |
| Rural hospitals | 922 | 8,137 | 8,007 | −1.6 |
| Bed Size (Urban): | ||||
| 0-99 beds | 624 | 8,716 | 8,850 | 1.5 |
| 100-199 beds | 767 | 9,542 | 9,550 | 0.1 |
| 200-299 beds | 462 | 10,251 | 10,299 | 0.5 |
| 300-499 beds | 420 | 11,643 | 11,722 | 0.7 |
| 500 or more beds | 212 | 13,827 | 13,973 | 1.1 |
| Bed Size (Rural): | ||||
| 0-49 beds | 341 | 6,602 | 6,428 | −2.6 |
| 50-99 beds | 326 | 7,598 | 7,345 | −3.3 |
| 100-149 beds | 151 | 7,911 | 7,865 | −0.6 |
| 150-199 beds | 59 | 8,928 | 8,860 | −0.8 |
| 200 or more beds | 45 | 9,866 | 9,811 | −0.6 |
| Urban by Region: | ||||
| New England | 120 | 12,375 | 12,426 | 0.4 |
| Middle Atlantic | 318 | 12,377 | 12,628 | 2 |
| South Atlantic | 375 | 10,301 | 10,356 | 0.5 |
| East North Central | 395 | 10,497 | 10,531 | 0.3 |
| East South Central | 149 | 9,869 | 9,900 | 0.3 |
| West North Central | 166 | 11,109 | 11,150 | 0.4 |
| West South Central | 373 | 10,341 | 10,391 | 0.5 |
| Mountain | 156 | 11,611 | 11,792 | 1.6 |
| Pacific | 382 | 14,438 | 14,363 | −0.5 |
| Puerto Rico | 51 | 5,593 | 7,932 | 41.8 |
| Rural by Region: | ||||
| New England | 23 | 10,933 | 10,653 | −2.6 |
| Middle Atlantic | 69 | 8,694 | 8,597 | −1.1 |
| South Atlantic | 165 | 7,809 | 7,672 | −1.8 |
| East North Central | 119 | 8,333 | 8,218 | −1.4 |
| East South Central | 171 | 7,450 | 7,257 | −2.6 |
| West North Central | 99 | 8,695 | 8,636 | −0.7 |
| West South Central | 181 | 7,058 | 6,894 | −2.3 |
| Mountain | 65 | 9,091 | 9,157 | 0.7 |
| Pacific | 29 | 11,024 | 11,021 | 0.0 |
| Puerto Rico | 1 | 2,799 | 2,918 | 4.2 |
| By Payment Classification: | ||||
| Urban hospitals | 2,496 | 11,295 | 11,374 | 0.7 |
| Large urban areas | 1,380 | 11,971 | 12,094 | 1.0 |
| Other urban areas | 1,116 | 10,461 | 10,485 | 0.2 |
| Rural areas | 911 | 8,296 | 8,165 | −1.6 |
| Teaching Status: | ||||
| Nonteaching | 2,380 | 9,132 | 9,114 | −0.2 |
| Fewer than 100 residents | 785 | 10,686 | 10,743 | 0.5 |
| 100 or more residents | 242 | 15,910 | 16,128 | 1.4 |
| Urban DSH: | ||||
| Non-DSH | 690 | 9,471 | 9,538 | 0.7 |
| 100 or more beds | 1,569 | 11,743 | 11,816 | 0.6 |
| Less than 100 beds | 331 | 8,057 | 8,193 | 1.7 |
| Rural DSH: | ||||
| SCH | 265 | 8,176 | 8,118 | −0.7 |
| RRC | 228 | 9,080 | 8,980 | −1.1 |
| 100 or more beds | 29 | 7,230 | 7,256 | 0.4 |
| Less than 100 beds | 295 | 6,465 | 6,215 | −3.9 |
| Urban teaching and DSH: | ||||
| Both teaching and DSH | 826 | 12,848 | 12,966 | 0.9 |
| Teaching and no DSH | 136 | 10,497 | 10,632 | 1.3 |
| No teaching and DSH | 1,074 | 9,634 | 9,640 | 0.1 |
| No teaching and no DSH | 460 | 9,061 | 9,140 | 0.9 |
| Special Hospital Types: | ||||
| RRC | 207 | 9,375 | 9,281 | −1.0 |
| SCH | 330 | 8,837 | 8,822 | −0.2 |
| Former MDH | 187 | 6,904 | 6,185 | −10.4 |
| SCH and RRC | 124 | 9,958 | 9,993 | 0.3 |
| Former MDH and RRC | 11 | 9,052 | 7,621 | −15.8 |
| Type of Ownership: | ||||
| Voluntary | 1,943 | 11,053 | 11,102 | 0.4 |
| Proprietary | 900 | 9,739 | 9,699 | −0.4 |
| Government | 542 | 11,686 | 11,880 | 1.7 |
| Medicare Utilization as a Percent of Inpatient Days: | ||||
| 0-25 | 450 | 14,649 | 15,395 | 5.1 |
| 25-50 | 2,011 | 11,082 | 11,080 | 0.0 |
| 50-65 | 736 | 8,856 | 8,811 | −0.5 |
| Over 65 | 139 | 7,374 | 7,116 | −3.5 |
| FY 2014 Reclassifications by the Medicare Geographic Classification Review Board: | ||||
| All Reclassified Hospitals | 669 | 10,264 | 10,268 | 0.0 |
| Non-Reclassified Hospitals | 2,738 | 11,075 | 11,139 | 0.6 |
| Urban Hospitals Reclassified | 359 | 11,065 | 11,128 | 0.6 |
| Urban Nonreclassified Hospitals, FY 2014: | 2,084 | 11,375 | 11,459 | 0.7 |
| All Rural Hospitals Reclassified FY 2014: | 310 | 8,639 | 8,523 | −1.4 |
| Rural Nonreclassified Hospitals FY 2014: | 552 | 7,462 | 7,315 | −2.0 |
| All Section 401 Reclassified Hospitals: | 49 | 9,838 | 9,675 | −1.7 |
| Other Reclassified Hospitals (Section 1886(d)(8)(B)) | 61 | 7,826 | 7,579 | −3.2 |
| Specialty Hospitals | ||||
| Cardiac specialty Hospitals | 15 | 11,699 | 11,878 | 1.5 |
H. Effects of Other Policy Changes
1. Effects of Policy on MS-DRGs for Preventable HACs, Including Infections
In section II.F. of the preamble of this final rule, we discuss our implementation of section 1886(d)(4)(D) of the Act, which requires the Secretary to identify conditions that are: (1) High cost, high volume, or both; (2) result in the assignment of a case to an MS-DRG that has a higher payment when present as a secondary diagnosis; and (3) could reasonably have been prevented through application of evidence-based guidelines. For discharges occurring on or after October 1, 2008, hospitals will not receive additional payment for cases in which one of the selected conditions was not present on admission, unless, based on data and clinical judgment, it cannot be determined at the time of admission whether a condition is present. That is, the case will be paid as though the secondary diagnosis were not present. However, the statute also requires the Secretary to continue counting the condition as a secondary diagnosis that results in a higher IPPS payment when doing the budget neutrality calculations for MS-DRG reclassifications and recalibration. Therefore, we will perform our budget neutrality calculations as though the payment provision did not apply, but Medicare will make a lower payment to the hospital for the specific case that includes the secondary diagnosis. Thus, the provision results in cost savings to the Medicare program.
We note that the provision will only apply when one or more of the selected conditions are the only secondary diagnosis or diagnoses present on the claim that will lead to higher payment. Medicare beneficiaries will generally have multiple secondary diagnoses during a hospital stay, such that beneficiaries having one MCC or CC will frequently have additional conditions that also will generate higher payment. Only a small percentage of the cases will have only one secondary diagnosis that would lead to a higher payment. Therefore, if at least one nonselected secondary diagnosis that leads to higher payment is on the claim, the case will continue to be assigned to the higher paying MS-DRG and there will be no Medicare savings from that case. In addition, as discussed in section II.F.3. of the preamble of this final rule, it is possible to have two severity levels where the HAC does not affect the MS-DRG assignment or for an MS-DRG not to have severity levels. In either of these circumstances, the case will continue to be assigned to the higher paying MS-DRG and there will be no Medicare savings from that case.
The HAC payment provision went into effect on October 1, 2008. Our savings estimates for the next 5 fiscal years are shown below:
| Year | Savings (in millions) |
|---|---|
| FY 2014 | $26 |
| FY 2015 | 28 |
| FY 2016 | 30 |
| FY 2017 | 33 |
| FY 2018 | 36 |
In section V.I. of the preamble of this final rule, we are implementing the HAC Reduction Program. We refer readers to section I.H.6. of this Appendix A for a discussion of the impact of this implementation.
2. Effects of Policy Relating to New Medical Service and Technology Add-On Payments
In section II.I. of the preamble to this final rule, we discuss three applications (Kcentra TM, Argus® II Retinal Prosthesis System and the Zilver® PTX® Drug Eluting Peripheral Stent) for add-on payments for new medical services and technologies for FY 2014, as well as the status of the new technology that was approved to receive new technology add-on payments in FY 2013. We note that two of the applications (the NeuroPace Responsive Neurostimulator System (RNS) System and the Abbott Vascular MitraClip® System) discussed in the proposed rule did not receive FDA approval by the July 1 deadline as required by the regulations at 42 CFR 412.87(c). Therefore, we did not review these two applications in this final rule.
As explained in the preamble to this final rule, add-on payments for new medical services and technologies under section 1886(d)(5)(K) of the Act are not required to be budget neutral. As discussed in section II.I.4. of the preamble of this final rule, we are approving all three applications for new technology add-on payments for FY 2014. As we proposed, in this final rule, we also are continuing to make new technology add-on payments in FY 2014 for Voraxaze®, Dificid TM, and the Zenith® F. Graft (because all these technology are still within the 3-year anniversary of the product's entry onto the market). We note that new technology add-on payments per case are limited to the lesser of: (1) 50 percent of the costs of the new technology; or (2) 50 percent of the amount by which the costs of the case exceed the standard MS-DRG payment for the case. Because it is difficult to predict the actual new technology add-on payment for each case, our estimates below are based on the increase in add-on payments for FY 2014 as if every claim that would qualify for a new technology add-on payment would receive the maximum add-on payment. Based on the applicant's estimate from FY 2013, we currently estimate that new technology add-on payments for Voraxaze® will increase overall FY 2014 payments by $6,300,000. Based on the applicant's estimate from FY 2013, we currently estimate that new technology add-on payments for Dificid TM will increase overall FY 2014 payments by $34,839,784. Based on the applicant's estimate from FY 2013, we currently estimate that new technology add-on payments for the Zenith® F. Graft will increase overall FY 2014 payments by $4,085,750. Based on the applicant's estimate for FY 2014, we currently estimate that new technology add-on payments for Kcentra TM will increase overall FY 2014 payments by $5,449,888 (maximum add on payment of $1,587.50 * 3,433 patients). Based on the applicant's estimate for FY 2014, we currently estimate that new technology add-on payments for the Argus® II Retinal Prosthesis System will increase overall FY 2014 payments by $3,601,437 (maximum add on payment of $72,028.75 * 50 patients). Based on the applicant's estimate for FY 2014, we currently estimate that new technology add-on payments for the the Zilver® PTX® Drug Eluting Peripheral Stent will increase overall FY 2014 payments by $20,463,000 (maximum add on payment of $1,705.25 * 12,000 patients).
3. Effects of the Payment Adjustment for Low-Volume Hospitals for FY 2014
In section V.C. of the preamble to this final rule, we discuss the provisions of the ATRA (Pub. L. 112-240) that extended for an additional year, through FY 2013, the temporary changes to the low-volume hospital definition and the methodology for determining the payment adjustment made by the Affordable Care Act for FYs 2011 and 2012. In accordance with section 1886(d)(12) of the Act, beginning with FY 2014, the low-volume hospital definition and payment adjustment methodology revert back to the statutory requirements that were in effect prior to the amendments made by the Affordable Care Act. Therefore, effective for FY 2014 and subsequent years, in order to qualify as a low-volume hospital, a subsection (d) hospital must be more than 25 road miles from another subsection (d) hospital and have less than 200 discharges (that is, less than 200 discharges total, including both Medicare and non-Medicare discharges) during the fiscal year.
Based on FY 2012 claims data (March 2013 update of the MedPAR file), we estimate that approximately 592 hospitals qualify as a low-volume hospital in FY 2013, and with the statutory changes to the low-volume hospital payment adjustment for FY 2014, we estimate only approximately 6 hospitals will continue to qualify as a low-volume hospital in FY 2014. We project that the expiration of the temporary changes to the low-volume hospital definition and the payment adjustment methodology made by the Affordable Care Act and extended by the ATRA will result in a decrease in payments of approximately $266 million in FY 2014 as compared to the payments these hospitals would have otherwise received in FY 2014 in the absence of the statutory changes to the low-volume hospital payment adjustment for FY 2014. This estimate accounts for our projection of the 6 IPPS low-volume hospitals remaining in FY 2014 that will continue to receive a low-volume hospital payment adjustment of an additional 25 percent.
4. Effects of Extension of the MDH Program through FY 2013
In section V.F. of the preamble of this final rule, we briefly discuss the statutory extension of the MDH program through FY 2013 made by section 606 of the ATRA. We refer readers to a March 7, 2013 notice that we published in the Federal Register to announce the extension of the MDH program for FY 2013 in accordance with this ATRA provision, where we also stated the impact on Medicare expenditures of the statutory extension (78 FR 14689).
5. Effects of Changes under the FY 2014 Hospital Value-Based Purchasing (VBP) Program
Section 1886(o)(1)(B) of the Act directs the Secretary to begin making value-based incentive payments under the Hospital VBP Program to hospitals that meet performance standards during the performance period for discharges occurring on or after October 1, 2012. These incentive payments will be funded for FY 2014 through a reduction to the FY 2014 base operating DRG payment for each discharge of 1.25 percent, as required by section 1886(o)(7)(B) of the Act. The applicable percentage for FY 2014 is 1.25 percent, for FY 2015 is 1.5 percent, for FY 2016 is 1.75 percent, and for FY 2017 and subsequent years is 2 percent. We are required to ensure that the total amount available for value-based incentive payments is equal to the total amount of reduced payments for all hospitals for the fiscal year, as estimated by the Secretary.
We finalized numerous policies related to the FY 2014 Hospital VBP Program in the CY 2012 OPPS/ASC final rule with comment period (76 FR 74527 through 74547) and the FY 2013 IPPS/LTCH PPS final rule (77 FR 53567 through 53614), including an additional measure in the Clinical Process of Care domain, minimum numbers of cases and measures for the Outcome domain, performance and baseline periods for FY 2014 measures, performance standards, domain weighting, and requirements for the review and corrections processes. We also refer readers to the Hospital Inpatient VBP Program final rule (76 FR 26495 through 26511) where we finalized three 30-day mortality measures, to be placed in the new Outcome domain for the FY 2014 Hospital VBP Program.
In section V.H. of the preamble of this final rule, we estimate the available pool of funds for value-based incentive payments in the FY 2014 Hospital VBP Program, which, in accordance with section 1886(o)(7)(C)(ii) of the Act, will be 1.25 percent of base operating DRG payments, or a total of approximately $1.1 billion. This estimated available pool for FY 2014 is based on the historical pool of hospitals that were eligible to participate in the FY 2013 Hospital VBP Program and the payment information from the March 2013 update to the FY 2012 MedPAR file.
The estimated impacts of the FY 2014 Hospital VBP Program by hospital characteristic, found in the table below, are based on historical TPSs. We used the FY 2013 Hospital VBP Program TPSs to calculate the proxy adjustment factors used for this impact analysis. These are the most recently available scores that hospitals were given an opportunity to review and correct. The proxy adjustment factors use estimated annual base operating DRG payment amounts derived from the March 2013 update to the FY 2012 MedPAR file. The proxy adjustment factors can be found in Table 16A associated with this final rule (available on the CMS Web site). The impact analysis shows that, for the FY 2014 Hospital VBP Program, the number of hospitals that will receive an increase in base operating DRG payment amount is slightly higher than the number of hospitals that will receive a decrease. Approximately 44 percent of hospitals would have a change in base operating DRG payment amount that is between −0.2 percent and +0.2 percent. Among urban hospitals, those in the West South Central region will have the highest average increase in base operating DRG payment amount, and among rural hospitals, those in the East North Central region will have the highest average increase in base operating DRG payment amount. Both urban and rural hospitals in the Middle Atlantic and Pacific will receive an average decrease in base operating DRG payment amount. As the percent of disproportionate share (DSH) payments increases, we see a decrease in base operating DRG payment amount, while as the Medicare utilization (MCR) percent increases, we see an increase in base operating DRG payment amount. Nonteaching hospitals will have an average positive adjustment to the base operating DRG payment amount, and teaching hospitals will have an average decrease in base operating DRG payment amount. The table, “Impact Analysis of Base Operating DRG Payment Amount Changes Resulting from the FY 2014 Hospital VBP Program” below reflects two changes, as compared to the corresponding table in the proposed rule. First, the table now lists the straight averages of percent change in the base operating DRG payment amount, while the proposed rule displayed case-weighted averages. Second, the variable used to identify teaching hospitals has been updated to the IME adjustment factor for Operating PPS (TCHOP), while the proposed rule used the transfer adjusted cases under Grouper V30, for Medicare Advantage cases submitted by teaching hospitals that receive a Fee-For-Service IME payment (IME_CASETA30).
| Number of hospitals | Average (in percent) | |
|---|---|---|
| BY GEOGRAPHIC LOCATION: | ||
| All Hospitals | 2,984 | 0.023 |
| Large Urban | 1,226 | 0.018 |
| Other Urban | 1,015 | 0.048 |
| Rural Area | 740 | −0.003 |
| Urban hospitals | 2,241 | 0.032 |
| 0-99 beds | 465 | 0.180 |
| 100-199 beds | 717 | −0.001 |
| 200-299 beds | 435 | 0.017 |
| 300-499 beds | 421 | −0.023 |
| 500 or more beds | 203 | −0.050 |
| Rural hospitals | 740 | −0.003 |
| 0-49 beds | 162 | 0.058 |
| 50-99 beds | 324 | −0.042 |
| 100-149 beds | 150 | 0.007 |
| 150-199 beds | 57 | 0.009 |
| 200 or more beds | 47 | 0.003 |
| BY REGION: | ||
| Urban By Region | 2,241 | 0.032 |
| New England | 113 | −0.004 |
| Middle Atlantic | 295 | −0.064 |
| South Atlantic | 356 | 0.072 |
| East North Central | 373 | 0.046 |
| East South Central | 129 | 0.021 |
| West North Central | 155 | 0.104 |
| West South Central | 314 | 0.117 |
| Mountain | 155 | 0.043 |
| Pacific | 351 | −0.040 |
| Rural By Region | 740 | −0.003 |
| New England | 21 | 0.015 |
| Middle Atlantic | 64 | −0.139 |
| South Atlantic | 143 | 0.005 |
| East North Central | 117 | 0.090 |
| East South Central | 114 | 0.014 |
| West North Central | 85 | 0.003 |
| West South Central | 114 | −0.022 |
| Mountain | 54 | −0.044 |
| Pacific | 28 | −0.075 |
| BY MCR PERCENT: | ||
| 0-25 | 288 | 0.016 |
| 25-50 | 1,715 | 0.026 |
| 50-65 | 853 | 0.018 |
| Over 65 | 79 | 0.038 |
| BY DSH PERCENT: | ||
| 0-25 | 1,429 | 0.085 |
| 25-50 | 1,257 | −0.008 |
| 50-65 | 157 | −0.070 |
| Over 65 | 138 | −0.226 |
| BY TEACHING STATUS: | ||
| Teaching | 995 | −0.027 |
| Non-Teaching | 1,986 | 0.048 |
We have provided the updated impact analysis for this FY 2014 IPPS/LTCH PPS final rule; however, actual FY 2014 Hospital VBP Program TPSs will not be reviewed and corrected by hospitals until after the FY 2014 IPPS/LTCH PPS final rule has been published. Therefore, the same historical universe of eligible hospitals and corresponding TPSs from the FY 2013 Hospital VBP Program was used for the updated impact analysis. As noted above, the updated impact analysis for this final rule reflects estimated annual base operating DRG payment amount changes based on the March 2013 update to the FY 2012 MedPAR file.
6. Effects of Implementation of the HAC Reduction Program
In section V.I. of the preamble of this final rule, we are establishing measures, scoring, and a risk adjustment methodology to implement the FY 2015 payment reduction under the HAC Reduction Program. Section 1886(p) of the Act, as added under section 3008(a) of the Affordable Care Act, establishes an adjustment to hospital payments for HACs, or a HAC Reduction program, under which payments to applicable hospitals are adjusted to provide an incentive to reduce HACs, effective for discharges beginning on October 1, 2014 and for subsequent program years.
We note that there is no payment impact for FY 2014. For FY 2015, we are presenting the overall impact of the HAC Reduction Program provision along with other IPPS payment provision impacts in section I.G. of this Appendix A. The tables and analyses that we are presenting below show the distributional effect of the measures and scoring system for this program included in this final rule.
We note that we intend to finalize a Total HAC Score methodology that assigns weights for Domain 1 and Domain 2 at 35 percent and 65 percent, respectively. Based on this methodology, the table below presents data on the proportion of hospitals, by structural characteristic, in the worst performing quartile based on the 35/65 weighting scheme.
The data for this simulation are derived from the AHRQ PSI results based on Medicare fee-for-service (FFS) discharges from July 2009 through June 2011, using the enrollment database “PARA” variable to identify Medicare FFS discharges and version 4.4 of the AHRQ software. The CDC measure results were used based on results posted on the Hospital Compare Web site in December 2012. To analyze the results by hospital characteristic, the hospital characteristics as reported in the American Hospital Association 2010 survey data and the FY 2013 impact file were used. Of the 3,468 hospitals included in this analysis, 3,339 hospitals were included for bed size, teaching status, and ownership; 3,458 hospitals were included for urbanicity; 3,414 hospitals were included in the disproportionate share percentage (DSH); and 3,468 hospitals were included for region. These differences in denominator are due to the source of the hospital characteristic data.
The percentages indicate how many hospitals at each level of a characteristic would be penalized by the scoring approach. For example, in regards to bed size, 18.1 percent of hospitals (or 119 hospitals) with fewer than 50 beds would be subject to a payment adjustment, 26.6 percent of hospitals (or 181 hospitals) with a bed size range of 50-99 would be subject to a payment adjustment, 22.8 percent of hospitals (or 204 hospitals) with a bed size range of 100-199 would be subject to a payment adjustment, 26.0 percent of hospitals (or 133 hospitals) with a bed size range of 200-299 would be subject to a payment adjustment, 26.5 percent of hospitals (or 71 hospitals) with a bed size range of 300-399 would be subject to a payment adjustment, 29.6 percent of hospitals (or 37 hospitals) with a bed size range of 400-499 would be subject to a payment adjustment, and 36.6 percent of hospitals (or 75 hospitals) with a bed size range of 500 plus would be subject to a payment adjustment.
With regard to the teaching status characteristic of hospitals in the worst performing quartile, 48.6 percent of hospitals (or 134 hospitals) that are teaching facilities would be subject to a payment adjustment, and 22.4 percent (or 686 hospitals) that are nonteaching facilities would be subject to a payment adjustment.
With regard to the ownership characteristic of hospitals in the worst performing quartile, 25.2 percent of hospitals (or 511 hospitals) that are non-profit facilities would be subject to a payment adjustment, 26.5 percent of hospitals (or 148 hospitals) that are government facilities would be subject to a payment adjustment, and 21.3 percent (or 161 hospitals) that are for-profit facilities would be subject to a payment adjustment.
With regard to the disproportionate share percentage (DSH) characteristic, 19.4 percent (or 145 hospitals) that are not DSH facilities would be subject to a payment adjustment, 22.6 percent (or 149 hospitals) that are DSH Quartile 1 facilities would be subject to a payment adjustment, 22.6 percent (or 150 hospitals) that are DSH Quartile 2 facilities would be subject to a payment adjustment, 27.8 percent (or 186 hospitals) that are DSH Quartile 3 facilities would be subject to a payment adjustment, and 29.7 percent (or 200 hospitals) that are DSH Quartile 4 facilities would be subject to a payment adjustment.
With regard to regional characteristic of hospitals in the worst performing quartile, 22.4 percent (or 32 hospitals) that are located in the New England region would be subject to a payment adjustment, 26.4 percent (or 103 hospitals) that are located in the Mid-Atlantic region would be subject to a payment adjustment, 24.9 percent (or 131 hospitals) that are located in the East North Central region would be subject to a payment adjustment, 25.8 percent (or 71 hospitals) that are located in the West North Central region would be subject to a payment adjustment, 26.0 percent (or 152 hospitals) that are located in the South Atlantic region would be subject to a payment adjustment, 20.1 percent (or 66 hospitals) that are located in the East South Central region would be subject to a payment adjustment, 21.9 percent (or 124 hospitals) that are located in the West South Central region would be subject to a payment adjustment, 24.2 percent (or 58 hospitals) that are located in the Mountain region would be subject to a payment adjustment, and 25.3 percent (or 105 hospitals) that are located in the Pacific region would be subject to a payment adjustment.
| Hospital characteristics | Simulation with the 35/65 weighting scheme in worst performing quartile | |||
|---|---|---|---|---|
| Characteristic | Number of hospitals | Percent | Number of hospitals | Percent |
| Bed Size: | ||||
| <50 | 656 | 19.6 | 119 | 18.1 |
| 50-99 | 680 | 20.4 | 181 | 26.6 |
| 100-199 | 893 | 26.7 | 204 | 22.8 |
| 200-299 | 512 | 15.3 | 133 | 26.0 |
| 300—399 | 268 | 8.0 | 71 | 26.5 |
| 400—499 | 125 | 3.7 | 37 | 29.6 |
| 500+ | 205 | 6.1 | 75 | 36.6 |
| Teaching Status: | ||||
| Teaching | 276 | 8.3 | 134 | 48.6 |
| NonTeaching | 3,063 | 91.7 | 686 | 22.4 |
| Ownership: | ||||
| Non-Profit | 2,026 | 60.7 | 511 | 25.2 |
| Government | 558 | 16.7 | 148 | 26.5 |
| For-Profit | 755 | 22.6 | 161 | 21.3 |
| Urbanicity: | ||||
| Urban | 2,493 | 72.1 | 639 | 25.6 |
| Rural | 965 | 27.9 | 201 | 20.8 |
| Disproportionate Share Percentage: | ||||
| Non-DSH | 749 | 21.9 | 145 | 19.4 |
| DSH Quartile 1 | 658 | 19.3 | 149 | 22.6 |
| DSH Quartile 2 | 665 | 19.5 | 150 | 22.6 |
| DSH Quartile 3 | 669 | 19.6 | 186 | 27.8 |
| DSH Quartile 4 | 673 | 19.7 | 200 | 29.7 |
| Region: | ||||
| New England | 143 | 4.1 | 32 | 22.4 |
| Mid-Atlantic | 390 | 11.2 | 103 | 26.4 |
| East North Central | 526 | 15.2 | 131 | 24.9 |
| West North Central | 275 | 7.9 | 71 | 25.8 |
| South Atlantic | 584 | 16.8 | 152 | 26.0 |
| East South Central | 329 | 9.5 | 66 | 20.1 |
| West South Central | 566 | 16.3 | 124 | 21.9 |
| Mountain | 240 | 6.9 | 58 | 24.2 |
| Pacific | 415 | 12.0 | 105 | 25.3 |
7. Effects of the Policy Changes Relating to Payments for GME and IME
In section V.J.2. of the preamble of this final rule, we discuss our policy to include labor and delivery days in the Medicare utilization calculation. We are establishing, consistent with the inpatient day counting rules for DSH as clarified in the FY 2010 IPPS/RY 2010 LTCH PPS final rule, that effective for cost reporting periods beginning on or after October 1, 2013, for purposes of applying the Medicare utilization ratio, we will include labor and delivery inpatient days in the numerator (to the extent that there are any labor and delivery inpatient days associated with Medicare beneficiaries), and all labor and delivery inpatient days in the denominator (associated with all inpatients of the hospital). In addition to payments for direct GME, we believe this policy also will affect other Medicare policies where either the number of inpatient days or a ratio of Medicare inpatient days to total inpatient days is used to determine eligibility or payment. However, this policy will not impact Medicare payments calculated on a reasonable cost basis for routine inpatient services, which are apportioned in accordance with 42 CFR 413.53(a)(1). We believe that including labor and delivery days in the Medicare utilization calculation will result in a savings of approximately $19 million for FY 2014. We note that the projected savings of $19 million included in this final rule are somewhat higher than the projected savings of $15 million included in the FY 2014 IPPS/LTCH PPS proposed rule because there were a greater number of teaching hospitals included in the data used for the purpose of determining the impact of this finalized policy.
As discussed in section V.J.3. of the preamble of this final rule, in accordance with section 5506 of the Affordable Care Act which instructs the Secretary to establish a process to increase the FTE resident caps for other hospitals based upon the FTE resident caps in teaching hospitals that closed “on or after a date that is 2 years before the date of enactment” (that is March 23, 2008), we notify the public of the closure of two teaching hospitals and the initiation of another round of the section 5506 application and selection process to redistribute FTE resident slots. We are initiating “Round 6” of section 5506, to redistribute the FTE resident slots of Cooper Green Mercy Hospital in Birmingham, AL, which closed on January 1, 2013, and Sacred Heart Hospital in Chicago, IL, which closed July 20, 2013. We are using this final rule as a vehicle to initiate another round of the section 5506 application and selection process, which is an ongoing provision triggered each time a teaching hospital closes. Therefore, there is no impact for this provision.
In section V.J.4. of the preamble of this final rule, we are establishing that another IPPS or IPPS-excluded hospital may not count the resident(s) training at the CAH for IME and/or direct GME purposes, even if that hospital is paying for the residents' salary and fringe benefits. Specifically, we are establishing that, effective for portions of cost reporting periods occurring on or after October 1, 2013, a hospital may not claim the FTE residents that are training at a CAH for IME and/or direct GME purposes. However, under policies that were applicable prior to October 1, 2013 and that continue to apply on and after October 1, 2013, the CAH may incur the costs of training the FTE residents for the time that the FTE residents rotate to the CAH, and receive payment based on 101 percent of its Medicare reasonable costs under 42 CFR 413.70.
We do not believe that there is any financial impact of this policy, as we are not precluding all Medicare payment for residents training at CAHs. Rather, we are precluding payment to one group of providers (that is, hospitals), but continuing to allow payment to another group (that is, CAHs). Under the previous policy, either a hospital could receive IME and direct GME payment for the time spent by residents training at a CAH if the hospital incurred the cost of that training, or the CAH could receive payment under § 413.70 if the CAH incurred the training cost. Under the policy finalized in this rule, hospitals will no longer be allowed to receive IME and direct GME payment for the costs associated with training residents at a CAH. However, CAHs can continue to receive payment under § 413.70 for the allowable costs associated with training residents at a CAH in approved residency training programs.
In section V.J.5. of the preamble of this final rule, we discuss the provisions of section 711 of the Medicare Modernization Act (Pub. L. 108-173) which amended section of 1886(h)(2)(D)(iv)(I) of the Act to freeze annual CPI-U updates to hospital-specific PRAs for direct GME payment purposes for those PRAs that exceed the ceiling for FYs 2004 through 2013. Therefore, the “freeze” for PRAs that exceed the ceiling expires beginning in FY 2014. That is, for cost reporting periods beginning on or after October 1, 2013, the usual full CPI-U update, as determined under 42 CFR 413.77(c)(1) will apply to all PRAs for direct GME payment purposes. We note that we are not establishing any policies related to this provision in this final rule. We are merely providing notice to the public that a statutory provision will no longer apply in FY 2014.
8. Effects of Implementation of Rural Community Hospital Demonstration Program
In section V.K. of the preamble of this final rule, we discuss our implementation of section 410A of Public Law 108-173, as amended, which requires the Secretary to conduct a demonstration that would modify reimbursement for inpatient services for up to 30 rural community hospitals. Section 410A(c)(2) requires that “[i]n conducting the demonstration program under this section, the Secretary shall ensure that the aggregate payments made by the Secretary do not exceed the amount which the Secretary would have paid if the demonstration program under this section was not implemented.” As discussed in section V.K. of the preamble of this final rule, in the IPPS final rules for each of the previous 9 fiscal years, we have estimated the additional payments made by the program for each of the participating hospitals as a result of the demonstration. In order to achieve budget neutrality, we are adjusting the national IPPS rates by an amount sufficient to account for the added costs of this demonstration. In other words, we are applying budget neutrality across the payment system as a whole rather than across the participants of this demonstration. The language of the statutory budget neutrality requirement permits the agency to implement the budget neutrality provision in this manner. The statutory language requires that “aggregate payments made by the Secretary do not exceed the amount which the Secretary would have paid if the demonstration . . . was not implemented” but does not identify the range across which aggregate payments must be held equal.
We are adjusting the national IPPS rates according to the methodology set forth elsewhere in this final rule. The adjustment to the national IPPS rates to account for estimated demonstration cost for FY 2014 for the 7 “pre-expansion” participating hospitals that are currently participating in the demonstration and the 15 additional hospitals participating as a result of the expansion of the demonstration under the Affordable Care Act is $46,549,861. In addition, in this FY 2014 final rule, because the finalized cost reports for hospitals participating in the demonstration in FY 2007 have become available, we are incorporating into the FY 2014 budget neutrality offset amount the amount by which the final settled costs of the demonstration for FY 2007 exceeded the budget neutrality offset amount applicable to that year as finalized in the respective year's IPPS final rule. The amount is $6,039,880. Therefore, the total adjustment to the national IPPS rates for FY 2014 is the sum of these two amounts, or $52,589,741. We intend to incorporate into the FY 2015 final rule the amounts by which the cost of the demonstration program for hospitals participating in the demonstration for FYs 2008 through 2011 and the amounts that were offset by the budget neutrality adjustment for these years, assuming that these finalized cost reports become available.
9. Effects of the Extended Effective Date for Policy on Hospital Services Furnished under Arrangements
In section V.M. of the preamble of this final rule, we discuss our change in the implementation date of our revised policy, as outlined in the FY 2012 IPPS/LTCH PPS final rule (76 FR 51711) under which we limit the circumstances under which a hospital may furnish services to Medicare beneficiaries “under arrangements.” We are changing the implementation date of the requirement to be effective for services provided on or after January 1, 2015 (instead of effective with cost reporting periods beginning on or after October 1, 2013). Because there are hospitals in the midst of significant building projects that, when completed, will enable the hospital to provide routine services in compliance with the requirements of this revised policy, we believe that it is appropriate to further delay the effective date. We expect that, with the additional time before the revised “under arrangement” policy becomes effective, hospitals will complete the work needed to ensure compliance with the new requirement. Effective for services provided on or after January 1, 2015, all hospitals will need to be in full compliance with the revised policy for services furnished under arrangement. We have determined that the impact of this effective date change would be negligible.
I. Effects of Policy Relating to the Furnishing of Acute Care Inpatient Services by CAHs
In section VII.C. of the preamble of this final rule, we discuss our policy to revise the requirements under the CoPs for CAHs to specify that CAHs must provide acute care inpatient services. We estimate that the costs to CAHs to implement this policy will be minimal.
Comment: One commenter expressed concern about the impact a requirement to furnish acute care inpatient services could have upon operational capacity and necessary workforce needs of many CAHs.
Response: We appreciate this comment, but we believe the evidence strongly suggests that most CAHs will not experience an increase in operational costs, including costs relating to workforce. The vast majority of CAHs, approximately 99 percent, already are providing acute care inpatient services. Therefore, we believe most CAHs will view these revisions to the regulatory text as a clarification confirming their usual and customary business practices.
J. Effects of Changes to the CoPs for Hospitals Relating to the Administration of Pneumococcal Vaccines
In section X. of the preamble of this final rule, we discuss our policy to amend the standard under the CoPs for hospitals relating to the administration of pneumococcal vaccine by nursing staff. We are deleting the term “polysaccharide” vaccine in the standard to allow hospitals to include any type of pneumococcal vaccine as part of its physician-approved policy for administration by nurses without a prior practitioner order.
While we expect this change to have a positive effect on hospitals by providing them with additional regulatory flexibility in this area, it is difficult to estimate this positive effect in terms of actual cost savings for hospitals. We believe that the change will carry the additional benefit of improving patient access to pneumococcal vaccines if hospitals choose to exercise the potential regulatory flexibility and purchase and stock more than one type of pneumococcal vaccine as a result. This benefit will be particularly apparent if there were a shortage of one type of the pneumococcal vaccine in the future. In conclusion, while we cannot estimate any cost savings that will result from this change, we are confident that it will not impose any burden on hospitals.
K. Effects of Changes in the Capital IPPS
1. General Considerations
For the impact analysis presented below, we used data from the March 2013 update of the FY 2012 MedPAR file and the March 2013 update of the Provider-Specific File (PSF) that is used for payment purposes. Although the analyses of the changes to the capital prospective payment system do not incorporate cost data, we used the March 2013 update of the most recently available hospital cost report data (FYs 2010 and 2011) to categorize hospitals. Our analysis has several qualifications. We use the best data available and make assumptions about case-mix and beneficiary enrollment as described below.
Due to the interdependent nature of the IPPS, it is very difficult to precisely quantify the impact associated with each change. In addition, we draw upon various sources for the data used to categorize hospitals in the tables. In some cases (for instance, the number of beds), there is a fair degree of variation in the data from different sources. We have attempted to construct these variables with the best available sources overall. However, it is possible that some individual hospitals are placed in the wrong category.
Using cases from the March 2013 update of the FY 2012 MedPAR file, we simulated payments under the capital IPPS for FY 2013 and FY 2014 for a comparison of total payments per case. Any short-term, acute care hospitals not paid under the general IPPS (for example, Indian Health Service hospitals and hospitals in Maryland) are excluded from the simulations.
The methodology for determining a capital IPPS payment is set forth at § 412.312. The basic methodology for calculating capital IPPS payments in FY 2014 is as follows:
(Standard Federal Rate) × (DRG weight) × (GAF) × (COLA for hospitals located in Alaska and Hawaii) × (1 + DSH Adjustment Factor + IME adjustment factor, if applicable).
In addition to the other adjustments, hospitals may also receive outlier payments for those cases that qualify under the threshold established for each fiscal year. We modeled payments for each hospital by multiplying the capital Federal rate by the GAF and the hospital's case-mix. We then added estimated payments for indirect medical education, disproportionate share, and outliers, if applicable. For purposes of this impact analysis, the model includes the following assumptions:
- We estimate that the Medicare case-mix index will increase by 0.5 percent in both FYs 2013 and 2014.
- We estimate that Medicare discharges will be approximately 12.4 million in FY 2013 and 12.6 million in FY 2014.
- The capital Federal rate was updated beginning in FY 1996 by an analytical framework that considers changes in the prices associated with capital-related costs and adjustments to account for forecast error, changes in the case-mix index, allowable changes in intensity, and other factors. As discussed in section III.A.1.a. of the Addendum to this final rule, the update is 0.90 percent for FY 2014.
- In addition to the FY 2014 update factor, the FY 2014 capital Federal rate was calculated based on a GAF/DRG budget neutrality adjustment factor of 0.9987, an outlier adjustment factor of 0.9393, and an adjustment factor of 0.9980 to offset the estimated additional IPPS expenditures that are projected to result from our policy on admission and medical review criteria for hospital inpatient services under Medicare Part A, as discussed in section VI.C. of the preamble of this final rule.
2. Results
We used the actuarial model described above to estimate the potential impact of our changes for FY 2014 on total capital payments per case, using a universe of 3,407 hospitals. As described above, the individual hospital payment parameters are taken from the best available data, including the March 2013 update of the FY 2012 MedPAR file, the March 2013 update to the PSF, and the most recent cost report data from the March 2013 update of HCRIS. In Table III, we present a comparison of estimated total payments per case for FY 2013 and estimated total payments per case for FY 2014 based on the FY 2014 payment policies. Column 2 shows estimates of payments per case under our model for FY 2013. Column 3 shows estimates of payments per case under our model for FY 2014. Column 4 shows the total percentage change in payments from FY 2013 to FY 2014. The change represented in Column 4 includes the 0.90 percent update to the capital Federal rate and other changes in the adjustments to the capital Federal rate. The comparisons are provided by: (1) Geographic location; (2) region; and (3) payment classification.
The simulation results show that, on average, capital payments per case in FY 2014 are expected to increase as compared to capital payments per case in FY 2013. The capital Federal rate for FY 2014 will increase approximately 0.9 percent as compared to the FY 2013 capital Federal rate. Overall, across all hospitals, the changes to the GAFs are expected to have no net effect on capital payments. However, regionally, the effects of the changes to the GAFs on capital payments are consistent with the projected changes in payments due to changes in the wage index (and policies affecting the wage index) as shown in Table I in section I.G. of this Appendix.
We are estimating a slight increase in outlier payments in FY 2014 as compared to FY 2013. This is primarily because of the decrease to the outlier fixed-loss amount (discussed in section II.A.4.f. of the Addendum to this final rule).
The net impact of these changes is an estimated 1.6 percent change in capital payments per case from FY 2013 to FY 2014 for all hospitals (as shown below in Table III).
The geographic comparison shows that, on average, all hospitals are expected to experience an increase in capital IPPS payments per case in FY 2014 as compared to FY 2013. These expected increases are primarily due to the increase in the capital Federal rate, as well as small projected increases in outlier payments. These increases are somewhat offset in all but a few regions by the projected decrease in payments because of the GAFs. Capital IPPS payments per case for large urban hospitals are estimated to increase 1.7 percent, while capital IPPS payments per case for other urban hospitals are estimated to increase 1.6 percent. Rural hospitals, on average, are expected to experience a 0.9 percent increase in capital payments per case from FY 2013 to FY 2014. The primary factors contributing to the difference in the projected increase in capital IPPS payments per case for urban hospitals as compared to rural hospitals are a decrease in capital payments to rural hospitals due to changes to the GAF and a relatively lower projected increase in capital payments to rural hospitals due to the changes to the MS-DRG relative weights.
The comparisons by region show that the estimated increases in capital payments per case from FY 2013 to FY 2014 in urban areas ranges from a 2.4 percent increase for the Middle Atlantic urban region to a 1.0 percent increase for the Mountain urban region. For rural regions (excluding Puerto Rico), the Pacific rural region is expected to experience the largest increase in capital IPPS payments per case of 2.3 percent, while the East South Central rural region is projected to have a 0.5 percent increase in capital payments per case. Unlike other urban and rural regions where changes in the GAFs contribute to a decrease in capital payments, the changes in the GAFs contribute to the expected increase in capital IPPS payments per case for the Pacific urban and rural regions, as well as the Middle Atlantic and New England urban regions. The influences of the GAFs to increase payments more or less than the average estimated increase are consistent with the changes in the wage index for hospitals located in these areas, as discussed in section I. of this Appendix. In contrast to other rural regions, the larger than average projected increase in payments (5.2 percent) for the Puerto Rico rural region is primarily due to changes in the MS-DRG relative weights.
Hospitals of all types of ownership (that is, voluntary hospitals, government hospitals, and proprietary hospitals) are estimated to experience an increase in capital payments per case from FY 2013 to FY 2014. The increase in capital payments for both government and proprietary hospitals is estimated at 1.4 percent, and voluntary hospitals are estimated to experience a 1.7 percent increase in capital payments per case from FY 2013 to FY 2014.
Section 1886(d)(10) of the Act established the MGCRB. Hospitals may apply for reclassification for purposes of the wage index for FY 2014. Reclassification for wage index purposes also affects the GAFs because that factor is constructed from the hospital wage index. To present the effects of the hospitals being reclassified as of the publication of this final rule for FY 2014, we show the average capital payments per case for reclassified hospitals for FY 2014. Urban reclassified hospitals are expected to experience the largest increase in capital payments of 2.0 percent, whereas urban nonreclassified hospitals are expected to experience an increase of 1.6 percent. The estimated percentage increase for rural reclassified hospitals is 1.5 percent. However, rural nonreclassified hospitals are expected to experience a 0.1 percent decrease in capital payments per case. Other reclassified hospitals (that is, hospitals reclassified under section 1886(d)(8)(B) of the Act) are expected to experience a 1.3 percent increase in capital payments from FY 2013 to FY 2014.
| Number of hospitals | Average FY 2013 payments/case | Average FY 2014 payments/case | Change | |
|---|---|---|---|---|
| [FY 2013 Payments Compared to FY 2014 Payments] | ||||
| By Geographic Location: | ||||
| All hospitals | 3,407 | 815 | 828 | 1.6 |
| Large urban areas (populations over 1 million) | 1,370 | 902 | 917 | 1.7 |
| Other urban areas (populations of 1 million of fewer) | 1,115 | 792 | 805 | 1.6 |
| Rural areas | 922 | 563 | 568 | 0.9 |
| Urban hospitals | 2,485 | 852 | 866 | 1.6 |
| 0-99 beds | 624 | 712 | 716 | 0.6 |
| 100-199 beds | 767 | 737 | 747 | 1.4 |
| 200-299 beds | 462 | 786 | 798 | 1.5 |
| 300-499 beds | 420 | 868 | 883 | 1.7 |
| 500 or more beds | 212 | 1,015 | 1,035 | 2.0 |
| Rural hospitals | 922 | 563 | 568 | 0.9 |
| 0-49 beds | 341 | 457 | 459 | 0.3 |
| 50-99 beds | 326 | 516 | 520 | 0.8 |
| 100-149 beds | 151 | 559 | 564 | 0.7 |
| 150-199 beds | 59 | 627 | 635 | 1.3 |
| 200 or more beds | 45 | 675 | 684 | 1.3 |
| By Region: | ||||
| Urban by Region | 2,485 | 852 | 866 | 1.6 |
| New England | 120 | 928 | 947 | 2.1 |
| Middle Atlantic | 318 | 899 | 920 | 2.4 |
| South Atlantic | 375 | 785 | 795 | 1.2 |
| East North Central | 395 | 815 | 827 | 1.4 |
| East South Central | 149 | 741 | 751 | 1.4 |
| West North Central | 166 | 854 | 865 | 1.3 |
| West South Central | 373 | 786 | 795 | 1.2 |
| Mountain | 156 | 889 | 897 | 1.0 |
| Pacific | 382 | 1,063 | 1,087 | 2.3 |
| Puerto Rico | 51 | 383 | 390 | 1.9 |
| Rural by Region | 922 | 563 | 568 | 0.9 |
| New England | 23 | 762 | 777 | 1.9 |
| Middle Atlantic | 69 | 580 | 586 | 1.1 |
| South Atlantic | 165 | 545 | 549 | 0.6 |
| East North Central | 119 | 584 | 590 | 1.0 |
| East South Central | 171 | 516 | 519 | 0.5 |
| West North Central | 99 | 595 | 603 | 1.2 |
| West South Central | 181 | 502 | 505 | 0.6 |
| Mountain | 65 | 616 | 622 | 1.0 |
| Pacific | 29 | 722 | 738 | 2.3 |
| Puerto Rico | 1 | 198 | 208 | 5.2 |
| By Payment Classification: | ||||
| All hospitals | 3,407 | 815 | 828 | 1.6 |
| Large urban areas (populations over 1 million) | 1,380 | 901 | 916 | 1.7 |
| Other urban areas (populations of 1 million or fewer) | 1,116 | 791 | 804 | 1.6 |
| Rural areas | 911 | 572 | 577 | 0.7 |
| Teaching Status: | ||||
| Non-teaching | 2,380 | 698 | 707 | 1.2 |
| Fewer than 100 Residents | 785 | 802 | 815 | 1.6 |
| 100 or more Residents | 242 | 1,145 | 1,169 | 2.1 |
| Urban DSH: | ||||
| 100 or more beds | 1,569 | 872 | 886 | 1.7 |
| Less than 100 beds | 331 | 619 | 628 | 1.4 |
| Rural DSH: | ||||
| Sole Community (SCH/EACH) | 265 | 531 | 532 | 0.3 |
| Referral Center (RRC/EACH) | 228 | 627 | 633 | 1.0 |
| Other Rural: | ||||
| 100 or more beds | 29 | 525 | 522 | −0.5 |
| Less than 100 beds | 295 | 461 | 463 | 0.3 |
| Urban teaching and DSH: | ||||
| Both teaching and DSH | 826 | 942 | 959 | 1.8 |
| Teaching and no DSH | 136 | 836 | 852 | 1.9 |
| No teaching and DSH | 1,074 | 736 | 746 | 1.4 |
| No teaching and no DSH | 460 | 771 | 779 | 1.1 |
| Rural Hospital Types: | ||||
| Non special status hospitals | 2,371 | 857 | 871 | 1.6 |
| RRC/EACH | 73 | 774 | 794 | 2.6 |
| SCH/EACH | 37 | 752 | 765 | 1.6 |
| SCH, RRC and EACH | 17 | 775 | 802 | 3.5 |
| Hospitals Reclassified by the Medicare Geographic Classification Review Board: | ||||
| FY2014 Reclassifications: | ||||
| All Urban Reclassified | 359 | 833 | 849 | 2.0 |
| All Urban Non-Reclassified | 2,084 | 859 | 872 | 1.6 |
| All Rural Reclassified | 310 | 600 | 609 | 1.5 |
| All Rural Non-Reclassified | 552 | 512 | 512 | −0.1 |
| Other Reclassified Hospitals (Section 1886(d)(8)(B)) | 53 | 554 | 561 | 1.3 |
| Type of Ownership: | ||||
| Voluntary | 1,943 | 829 | 843 | 1.7 |
| Proprietary | 900 | 736 | 746 | 1.4 |
| Government | 542 | 846 | 857 | 1.4 |
| Medicare Utilization as a Percent of Inpatient Days: | ||||
| 0-25 | 450 | 1,020 | 1,040 | 2.0 |
| 25-50 | 2,011 | 831 | 845 | 1.6 |
| 50-65 | 736 | 681 | 690 | 1.3 |
| Over 65 | 139 | 548 | 553 | 0.9 |
L. Effects of Payment Rate Changes and Policy Changes under the LTCH PPS
1. Introduction and General Considerations
In section VIII. of the preamble of this final rule and section V. of the Addendum to this final rule, we set forth the annual update to the payment rates for the LTCH PPS for FY 2014. In the preamble of this final rule, we specify the statutory authority for the provisions that are presented, identify those policies, and present rationales for our decisions as well as alternatives that were considered. In this section of Appendix A to this final rule, we discuss the impact of the changes to the payment rate, factors, and other payment rate policies related to the LTCH PPS that are presented in the preamble of this final rule in terms of their estimated fiscal impact on the Medicare budget and on LTCHs.
Currently, there are 425 LTCHs included in this impacts analysis, which includes data for 81 nonprofit (voluntary ownership control) LTCHs, 326 proprietary LTCHs, and 18 LTCHs that are government-owned and operated. (We note that although there are currently approximately 440 LTCHs, for purposes of this impact analysis, we excluded the data of all inclusive rate providers and the LTCHs that are paid in accordance with demonstration projects, consistent with the development of the FY 2014 MS-LTC-DRG relative weights (discussed in section VIII.B.3.c. of the preamble of this final rule)). In the impact analysis, we used the payment rate, factors, and policies presented in this final rule, including the 1.7 percent annual update for LTCHs that submit quality data in accordance with section 1886(m)(5)(C) of the Act, which is based on the full estimated increase of the LTCH PPS market basket and the reductions required by sections 1886(m)(3) and (m)(4) of the Act, the second year phase of a one-time prospective adjustment factor of 0.98734 (approximately −1.3 percent), the update to the MS-LTC-DRG classifications and relative weights, the update to the wage index values and labor-related share, and the best available claims and CCR data to estimate the change in payments for FY 2014. (As discussed in section VIII.C. of the preamble of this final rule, in accordance with section 1886(m)(5)(C) of the Act, for LTCHs that fail to submit quality data, the annual update to the LTCH PPS standard Federal rate is reduced by 2.0 percentage points beginning in FY 2014.)
The standard Federal rate for FY 2013 is $40,397.96. However, consistent with the statute, the payment for FY 2013 discharges occurring on or before December 28, 2012 does not reflect the one-time prospective adjustment under § 412.523(d)(3) of the regulations, and such discharges are paid based on a standard Federal rate of $40,915.95 (77 FR 53710). For FY 2014, we are establishing a standard Federal rate of $40,607.31, which reflects the 1.7 percent annual update to the standard Federal rate, and the area wage budget neutrality factor of 1.0010531 to ensure that the changes in the wage indexes and labor-related share do not influence aggregate payments, and the second year of the phase-in of the one-time prospective adjustment factor of 0.98734. We note that the factors described above to determine the FY 2014 standard Federal rate are applied to the FY 2013 Federal standard rate set forth under section § 412.523(c)(3)(ix)(A) (that is, $40,397.96).
Based on the best available data for the 425 LTCHs in our database, we estimate that the annual update to the standard Federal rate for FY 2014 (discussed in section V.A.2. of the Addendum to this final rule) and the changes to the area wage adjustment for FY 2014 (discussed in section V.B. of the Addendum to this final rule), in addition to an estimated increase in high cost outlier (HCO) payments will result in an increase in estimated payments from FY 2013 of approximately $72 million. Based on the 425 LTCHs in our database, we estimate that the FY 2014 LTCH PPS payments will be approximately $5.610 billion, as compared to estimated FY 2013 LTCH PPS payments of approximately $5.538 billion. Because the combined distributional effects and estimated changes to the Medicare program payments are over approximately $100 million, this final rule is considered a major economic rule, as defined in this section. We note that the approximate $72 million for the projected increase in estimated aggregate LTCH PPS payments from FY 2013 to FY 2014 does not reflect changes in LTCH admissions or case-mix intensity in estimated LTCH PPS payments, which also will affect overall payment changes. (We note that this impact does not include an estimate effect of the 2.0 percentage points reduction to the annual update to the LTCH PPS standard Federal rate for LTCHs that fail to submit quality data, as required by section 1886(m)(5)(C) of the Act, because we have not determined at this time which, if any, LTCHs failed to submit the requisite quality data for FY 2014 under the LTCH Quality Reporting Program.)
The projected 1.3 percent increase in estimated payments per discharge from FY 2013 to FY 2014 is attributable to several factors, including the 1.7 percent annual update to the standard Federal rate, the one-time prospective adjustment factor for FY 2014 of 0.98734 (approximately −1.3 percent), and projected increases in estimated HCO payments. As Table IV shows, the change attributable solely to the annual update to the standard Federal rate (1.7 percent), including the one-time prospective adjustment factor for FY 2014 under the second year of the phase-in (approximately −1.3 percent), is projected to result in an increase of 0.4 percent in payments per discharge from FY 2013 to FY 2014, on average, for all LTCHs. We note, the estimated change in payments solely attributable to the annual update to the standard Federal rate does not take into account that the one-time prospective adjustment to the standard Federal rate for FY 2013 under § 412.523(d)(3) is not applied to payments for discharges occurring before December 29, 2012, consistent with the statute (and, therefore, are paid based on a relatively higher rate). The change in payments solely attributable to the annual update to the standard Federal rate for FY 2014 will be a smaller increase in payments relative to the pre-December 29, 2012 LTCH payment rates (approximately 0.1 percent instead of 0.4 percent). In addition to the 1.7 percent annual update for FY 2014 and the −1.3 percent one-time prospective adjustment factor for FY 2014, this estimated increase in aggregate LTCH PPS payments of 0.2 percent also includes estimated payments for SSO cases that are paid using special methodologies that are not affected by the annual update to the standard Federal rate. Therefore, for some hospital categories, the projected increase in payments based on the standard Federal rate is less than the 0.4 percent annual update for FY 2014.
Because we are applying an area wage level budget neutrality factor to the standard Federal rate, the annual update to the wage data and labor-related share does not impact the increase in aggregate payments. In addition, we note that the updates to the standard Federal rate to determine the estimated effects described above were applied to the FY 2013 standard Federal rate set forth under section § 412.523(c)(3)(ix)(A) (that is, $40,397.96).
As discussed in section V.B. of the Addendum to this final rule, we are updating the wage index values for FY 2014 based on the most recent available data. In addition, we are decreasing the labor-related share from 63.096 percent to 62.537 percent under the LTCH PPS for FY 2014, based on the most recent available data on the relative importance of the labor-related share of operating and capital costs based on the FY 2009-based LTCH-specific market basket. We also are applying an area wage level budget neutrality factor of 1.0010531, which increases the standard Federal rate by approximately 0.1 percent. Therefore, the changes to the wage data and labor-related share do not result in a change in estimated aggregate LTCH PPS payments.
Table IV below shows the impact of the payment rate and the policy changes on LTCH PPS payments for FY 2014 presented in this final rule by comparing estimated FY 2013 payments to estimated FY 2014 payments. The projected increase in payments per discharge from FY 2013 to FY 2014 is 1.3 percent (shown in Column 8). This projected increase in payments is attributable to the impacts of the change to the standard Federal rate (0.4 percent in Column 6) and the effect of the estimated increase in payments for HCO cases and SSO cases (1.0 percent and 0.2 percent, respectively). That is, estimated total HCO payments are projected to increase from FY 2013 to FY 2014 in order to ensure that the estimated HCO payments will be 8 percent of the total estimated LTCH PPS payments in FY 2014. An analysis of the most recent available LTCH PPS claims data (that is, FY 2012 claims data from the March 2013 update of the MedPAR file) indicates that the FY 2013 HCO threshold of $15,408 (as established in the FY 2013 IPPS/LTCH PPS final rule) may result in HCO payments in FY 2014 that fall below the estimated 8 percent. Specifically, we currently estimate that HCO payments will be approximately 7.0 percent of the estimated total LTCH PPS payments in FY 2013. We estimate that the impact of the increase in HCO payments will result in approximately a 1.0 percent increase in estimated payments from FY 2013 to FY 2014, on average, for all LTCHs. Furthermore, in calculating the estimated increase in payments from FY 2013 to FY 2014 for HCOs, we increased estimated costs by the applicable market basket percentage increase as projected by our actuaries. This increase in estimated costs also results in a projected increase in SSO payments of approximately 0.2 percent relative to last year. The net result of these projected changes in HCO and SSO payments in FY 2014 is an estimated change in aggregate payments of 1.2 percent. We note that estimated payments for all SSO cases comprise approximately 12 percent of the estimated total LTCH PPS payments, and estimated payments for HCO cases comprise approximately 8 percent of the estimated total FY 2014 LTCH PPS payments. Payments for HCO cases are based on 80 percent of the estimated cost of the case above the HCO threshold, while the majority of the payments for SSO cases (approximately 58 percent) are based on the estimated cost of the case.
As we discuss in detail throughout this final rule, based on the most recent available data, we believe that the provisions of this final rule relating to the LTCH PPS will result in an increase in estimated aggregate LTCH PPS payments and that the resulting LTCH PPS payment amounts will result in appropriate Medicare payments.
2. Impact on Rural Hospitals
For purposes of section 1102(b) of the Act, we define a small rural hospital as a hospital that is located outside of an urban area and has fewer than 100 beds. As shown in Table IV, we are projecting a 0.9 percent increase in estimated payments per discharge for FY 2014 as compared to FY 2013 for rural LTCHs that will result from the changes presented in this final rule, as well as the effect of estimated changes to HCO and SSO payments. This estimated impact is based on the data for the 28 rural LTCHs in our database (out of 425 LTCHs) for which complete data were available.
The estimated increase in LTCH PPS payments from FY 2013 to FY 2014 for rural LTCHs (0.9 percent) is less than the national average increase (1.3 percent). The estimated increase in LTCH PPS payments from FY 2013 to FY 2014 for rural LTCHs is primarily due to the increase to the standard Federal rate. However, rural LTCHs are experiencing slightly lower increases than the national average due to decreases in their wage index for FY 2014 compared to FY 2013.
3. Anticipated Effects of LTCH PPS Payment Rate Changes and Policy Changes
a. Budgetary Impact
Section 123(a)(1) of the BBRA requires that the PPS developed for LTCHs “maintain budget neutrality.” We believe that the statute's mandate for budget neutrality applies only to the first year of the implementation of the LTCH PPS (that is, FY 2003). Therefore, in calculating the FY 2003 standard Federal rate under § 412.523(d)(2), we set total estimated payments for FY 2003 under the LTCH PPS so that estimated aggregate payments under the LTCH PPS were estimated to equal the amount that would have been paid if the LTCH PPS had not been implemented.
As discussed above in section I.L.1. of this Appendix, we project an increase in aggregate LTCH PPS payments in FY 2014 relative to FY 2013 of approximately $72 million based on the 425 LTCHs in our database.
b. Expiration of Statutory Delay of Full Implementation of the 25-Percent Threshold Payment Adjustment Policy and 1-Year Extension
As discussed in section VIII.D. of the preamble of this final rule, the statutory delay of the full application of the 25-percent threshold payment adjustment for LTCHs under § 412.534 and § 412.536 expired for cost reporting periods beginning on or after July 1, 2012, or October 1, 2012, as applicable. As explained in section VIII.D. of the preamble of this final rule, we established a 1-year regulatory extension of the statutory moratorium for cost reporting periods beginning on or after October 1, 2012, and before October 1, 2013 (and for discharges occurring on or after October 1, 2012, through the end of the cost reporting period of LTCHs with cost reporting periods beginning on or after July 1, 2012, and before September 30, 2012). We are not extending the regulatory moratorium, therefore, it will expire for certain LTCHs for cost reporting periods beginning on or after October 1, 2013, and as discussed in section VIII.D. of the preamble of this final rule. We currently estimate that the expiration of this moratorium will result in a reduction of approximately $90 million in LTCHs PPS payments in FY 2014. We note that our current estimate of the impact of the expiration of moratorium on the full application of the 25-percent threshold payment adjustment policy is significantly lower than our estimate presented in the FY 2014 IPPS/LTCH PPS proposed rule (78 FR 27498). Based on the best available data at that time, we estimated that the expiration of moratorium on the full application of the 25-percent threshold payment adjustment policy would result in a reduction in payments of approximately $190 million to LTCHs in FY 2014.
Comment: Based on its own analysis of the 25-percent threshold payment adjustment policy, one commenter believed that we may not have appropriately applied all adjustments under the 25-percent threshold payment adjustment policy in our estimate of the impact presented in the FY 2014 IPPS/LTCH PPS proposed rule. As a result, the commenter asserted that the estimated $190 million decrease in payments to LTCHs in FY 2014 was overstated. Specifically, the commenter believed that LTCH discharges that qualify for exclusion from the 25-percent threshold payment adjustment policy because Medicare payments for those patients included a high cost outlier payment to the hospital prior to admission to the LTCH may have been mistakenly included as patients subject to the 25-percent threshold payment adjustment. Therefore, the commenter requested that we review our estimated impact of the 25-percent threshold payment adjustment policy for the final rule.
Response: Upon review of the payment model that was used to estimate the impact of the expiration of the moratorium on the full application of the 25-percent threshold payment adjustment policy for the proposed rule, we determined that the commenter is correct. We did inadvertently treat LTCH discharges for which Medicare made a high cost outlier payment to the hospital for the patient's stay prior to admission to the LTCH as being subject to a payment adjustment under the 25-percent threshold payment adjustment policy, which resulted in an overstatement in the projected decrease in payments to LTCHs that would result from the payment adjustment. We appreciate the commenter bringing this inadvertent error to our attention and have made the necessary correction to the payment model we used to estimate the impact of the expiration of the moratorium on the full application of the 25-percent threshold payment adjustment policy for this final rule. In addition to that correction, we also updated the actuarial assumptions regarding Medicare utilization that were used in the calculation of our projected impact, including a projected decrease in Medicare Part A Fee-For-Service (FFS) enrollment. Incorporating the high cost outlier correction to our payment model along with the updated actuarial assumptions regarding Medicare utilization results in a significant change to our estimated impact of the full application of the 25-percent threshold payment adjustment policy on LTCH PPS payments in FY 2014 from the proposed rule (a $190 million decrease) to this final rule (a $90 million decrease).
c. Impact on Providers
The basic methodology for determining a per discharge LTCH PPS payment is set forth under § 412.515 through § 412.536. In addition to the basic MS-LTC-DRG payment (the standard Federal rate multiplied by the MS-LTC-DRG relative weight), we make adjustments for differences in area wage levels, the COLA for LTCHs located in Alaska and Hawaii, and SSOs. Furthermore, LTCHs may also receive HCO payments for those cases that qualify based on the threshold established each year.
To understand the impact of the changes to the LTCH PPS payments presented in this final rule on different categories of LTCHs for FY 2014, it is necessary to estimate payments per discharge for FY 2013 using the rates, factors (including the FY 2013 GROUPER (Version 30.0), and relative weights and the policies established in the FY 2013 IPPS/LTCH PPS final rule (77 FR 53458 through 53502 and 53708 through 53716). It is also necessary to estimate the payments per discharge that will be made under the LTCH PPS rates, factors, policies, and GROUPER (Version 31.0) for FY 2014 (as discussed in section VIII. of the preamble of this final rule and section V. of the Addendum to this final rule). These estimates of FY 2013 and FY 2014 LTCH PPS payments are based on the best available LTCH claims data and other factors, such as the application of inflation factors to estimate costs for SSO and HCO cases in each year. We also evaluated the change in estimated FY 2013 payments to estimated FY 2014 payments (on a per discharge basis) for each category of LTCHs. We are establishing a standard Federal rate for FY 2014 of $40,607.31 that includes the 1.7 percent annual update, the area wage budget neutrality factor of 1.0010531, and the one-time prospective adjustment to the standard Federal rate for FY 2014 of 0.98734 (approximately −1.3 percent).
Hospital groups were based on characteristics provided in the OSCAR data, FY 2009 through FY 2011 cost report data in HCRIS, and PSF data. Hospital groups included the following:
- Location: large urban/other urban/rural.
- Participation date.
- Ownership control.
- Census region.
- Bed size.
To estimate the impacts of the payment rates and policy changes among the various categories of existing providers, we used LTCH cases from the FY 2012 MedPAR file to estimate payments for FY 2013 and to estimate payments for FY 2014 for 425 LTCHs. We believe that the discharges based on the FY 2012 MedPAR data for the 425 LTCHs in our database, which includes 326 proprietary LTCHs, provide sufficient representation in the MS-LTC-DRGs containing discharges for patients who received LTCH care for the most commonly treated LTCH patients' diagnoses.
d. Calculation of Prospective Payments
For purposes of this impact analysis, to estimate per discharge payments under the LTCH PPS, we simulated payments on a case-by-case basis using LTCH claims from the FY 2012 MedPAR files. For modeling estimated LTCH PPS payments for FY 2013, we used the FY 2013 standard Federal rate (that is, $40,915.95 used to make payments for LTCH discharges occurring on or after October 1, 2012 through December 28, 2012, and $40,397.96 for discharges occurring on or after December 29, 2012 through September 30, 2013).
For modeling estimated LTCH PPS payments for FY 2014, we used the FY 2014 standard Federal rate of $40,607.31, which includes the one-time prospective adjustment of 0.98734 for FY 2014 for the second year of the 3-year phase-in. The FY 2014 standard Federal rate of $40,607.31 includes the application of an area wage level budget neutrality factor of 1.0010531 (as discussed in section V.B.5. of the Addendum to this final rule). Furthermore, in modeling estimated LTCH PPS payments for both FY 2013 and FY 2014 in this impact analysis, we applied the FY 2013 and the FY 2014 adjustments for area wage levels and the COLA for LTCHs located in Alaska and Hawaii. Specifically, we adjusted for differences in area wage levels in determining estimated FY 2013 payments using the current LTCH PPS labor-related share of 63.096 percent (77 FR 53711) and the wage index values established in the Tables 12A and 12B listed in the Addendum to the FY 2013 IPPS/LTCH PPS final rule (which are available via the Internet (77 FR 53717)). We also applied the FY 2013 COLA factors shown in the table in section V.C. of the Addendum to that final rule (77 FR 53713) to adjust the FY 2013 nonlabor-related share (36.904 percent) for LTCHs located in Alaska and Hawaii. Similarly, we adjusted for differences in area wage levels in determining the estimated FY 2014 payments using the FY 2014 LTCH PPS labor-related share of 62.537 percent and the FY 2014 wage index values presented in Tables 12A and 12B listed in section VI. of the Addendum to this final rule (and available via the Internet). We also applied the FY 2014 COLA factors shown in the table in section V.C. of the Addendum to this final rule to the FY 2014 nonlabor-related share (37.463 percent) for LTCHs located in Alaska and Hawaii.
As discussed above, our impact analysis reflects an estimated change in payments for SSO cases, as well as an estimated increase in payments for HCO cases (as described in section V.D. of the Addendum to this final rule). In modeling payments for SSO and HCO cases in FY 2014, we applied an inflation factor of 4.9 percent (determined by OACT) to estimate the costs of each case using the charges reported on the claims in the FY 2012 MedPAR files and the best available CCRs from the March 2013 update of the PSF. Furthermore, in modeling estimated LTCH PPS payments for FY 2014 in this impact analysis, we used the FY 2014 fixed-loss amount of $13,314 (as discussed in section V.D. of the Addendum to this final rule).
These impacts reflect the estimated “losses” or “gains” among the various classifications of LTCHs from FY 2013 to FY 2014 based on the payment rates and policy changes presented in this final rule. Table IV illustrates the estimated aggregate impact of the LTCH PPS among various classifications of LTCHs.
- The first column, LTCH Classification, identifies the type of LTCH.
- The second column lists the number of LTCHs of each classification type.
- The third column identifies the number of LTCH cases.
- The fourth column shows the estimated payment per discharge for FY 2013 (as described above).
- The fifth column shows the estimated payment per discharge for FY 2014 (as described above).
- The sixth column shows the percentage change in estimated payments per discharge from FY 2013 to FY 2014 due to the annual update to the standard Federal rate (as discussed in section V.A.2. of the Addendum to this final rule), including the second year of the phase-in of the one-time prospective adjustment factor for FY 2014. (As noted previously, the estimate payment changes shown in this column do not take into account that the one-time prospective adjustment to the standard Federal rate for FY 2013 under § 412.523(d)(3) is not applied to payments for discharges occurring before December 29, 2012, consistent with the statute.)
- The seventh column shows the percentage change in estimated payments per discharge from FY 2013 to FY 2014 for changes to the area wage level adjustment (that is, the wage indexes and labor-related share), including the application of an area wage level budget neutrality factor, (as discussed in section V.B. of the Addendum to this final rule.
- The eighth column shows the percentage change in estimated payments per discharge from FY 2013 (Column 4) to FY 2014 (Column 5) for all changes (and includes the effect of estimated changes to HCO and SSO payments).
| LTCH Classification | Number of LTCHs | Number of LTCH PPS cases | Average FY 2013 LTCH PPS payment per case | Average FY 2014 LTCH PPS payment per case1 | Percent change in estimated payments per discharge from FY 2013 to FY 2014 for the annual update to the Federal rate2 | Percent change in estimated payments per discharge from FY 2013 to FY 2014 for changes to the area wage level adjustment with budget neutrality3 | Percent change in payments per discharge from FY 2013 to FY 2014 for all changes4 |
|---|---|---|---|---|---|---|---|
| [Estimated FY 2013 payments compared to estimated FY 2014 payments] | |||||||
| 1Estimated FY 2014 LTCH PPS payments based on the payment rate and policy changes presented in the preamble and the Addendum to this final rule. | |||||||
| 2Percent change in estimated payments per discharge from FY 2013 to FY 2014 for the annual update to the standard Federal rate and the one-time prospective adjustment factor for FY 2014 as discussed in section V.A.2. of the Addendum to this final rule. Note, this column does not take into account that the one-time prospective adjustment to the standard Federal rate for FY 2013 under § 412.523(d)(3) is not applied to payments for discharges occurring before December 29, 2012, consistent with the statute (and therefore, are paid based on a relatively higher rate). | |||||||
| 3Percent change in estimated payments per discharge from FY 2013 to FY 2014 for changes to the area wage level adjustment under § 412.525(c) (as discussed in section V.B. of the Addendum to this final rule). | |||||||
| 4Percent change in estimated payments per discharge from FY 2013 LTCH PPS (shown in Column 4) to FY 2014 LTCH PPS (shown in Column 5), including all of the changes presented in the preamble and the Addendum to this final rule. Note, this column, which shows the percent change in estimated payments per discharge for all changes, does not equal the sum of the percent changes in estimated payments per discharge for the annual update to the standard Federal rate (column 6) and the changes to the area wage level adjustment with budget neutrality (Column 7) due to the effect of estimated changes in both estimated payments to SSO cases that are paid based on estimated costs and aggregate HCO payments (as discussed in this impact analysis), as well as other interactive effects that cannot be isolated. | |||||||
| (1) | (2) | (3) | (4) | (5) | (6) | (7) | (8) |
| ALL PROVIDERS | 425 | 140,888 | $39,308 | $39,816 | 0.4 | 0.0 | 1.3 |
| BY LOCATION: | |||||||
| RURAL | 28 | 6,562 | 34,978 | 35,304 | 0.4 | −0.2 | 0.9 |
| URBAN | 397 | 134,326 | 39,519 | 40,036 | 0.4 | 0.0 | 1.3 |
| LARGE | 198 | 77,789 | 41,475 | 42,066 | 0.4 | 0.1 | 1.4 |
| OTHER | 199 | 56,537 | 36,827 | 37,243 | 0.4 | −0.1 | 1.1 |
| BY PARTICIPATION DATE: | |||||||
| BEFORE OCT. 1983 | 16 | 5,662 | 35,125 | 35,633 | 0.4 | 0.0 | 1.4 |
| OCT. 1983-SEPT. 1993 | 44 | 17,322 | 41,877 | 42,476 | 0.4 | 0.1 | 1.4 |
| OCT. 1993-SEPT. 2002 | 183 | 64,278 | 38,650 | 39,076 | 0.4 | −0.1 | 1.1 |
| OCTOBER 2002 andAFTER | 182 | 53,626 | 39,707 | 40,285 | 0.4 | 0.1 | 1.5 |
| BY OWNERSHIP TYPE: | |||||||
| VOLUNTARY | 81 | 19,540 | 39,436 | 40,136 | 0.4 | 0.0 | 1.8 |
| PROPRIETARY | 326 | 118,352 | 39,176 | 39,645 | 0.4 | 0.0 | 1.2 |
| GOVERNMENT | 18 | 2,996 | 43,684 | 44,446 | 0.4 | −0.1 | 1.7 |
| BY REGION: | |||||||
| NEW ENGLAND | 14 | 7,287 | 35,077 | 35,550 | 0.4 | 0.1 | 1.3 |
| MIDDLE ATLANTIC | 30 | 8,389 | 41,642 | 42,355 | 0.4 | 0.4 | 1.7 |
| SOUTH ATLANTIC | 61 | 18,169 | 41,544 | 42,039 | 0.4 | −0.1 | 1.2 |
| EAST NORTH CENTRAL | 70 | 20,473 | 40,487 | 41,068 | 0.4 | 0.0 | 1.4 |
| EAST SOUTH CENTRAL | 31 | 8,813 | 39,444 | 40,016 | 0.4 | −0.1 | 1.4 |
| WEST NORTH CENTRAL | 26 | 6,521 | 39,500 | 40,032 | 0.4 | −0.3 | 1.3 |
| WEST SOUTH CENTRAL | 136 | 50,357 | 35,181 | 35,496 | 0.4 | −0.2 | 0.9 |
| MOUNTAIN | 32 | 7,055 | 42,904 | 43,500 | 0.4 | −0.3 | 1.4 |
| PACIFIC | 25 | 13,824 | 48,456 | 49,371 | 0.3 | 0.6 | 1.9 |
| BY BED SIZE: | |||||||
| BEDS: 0-24 | 25 | 2,723 | 34,215 | 34,417 | 0.4 | −0.3 | 0.6 |
| BEDS: 25-49 | 202 | 47,011 | 38,477 | 38,943 | 0.4 | 0.0 | 1.2 |
| BEDS: 50-74 | 117 | 37,910 | 40,133 | 40,733 | 0.4 | 0.0 | 1.5 |
| BEDS: 75-124 | 46 | 22,720 | 41,224 | 41,781 | 0.4 | 0.1 | 1.4 |
| BEDS: 125-199 | 22 | 16,152 | 38,293 | 38,676 | 0.4 | −0.2 | 1.0 |
| BEDS: 200 + | 13 | 14,372 | 38,924 | 39,447 | 0.4 | 0.1 | 1.3 |
e. Results
Based on the most recent available data for 425 LTCHs, we have prepared the following summary of the impact (as shown above in Table IV) of the LTCH PPS payment rate and policy changes presented in this final rule. The impact analysis in Table IV shows that estimated payments per discharge are expected to increase 1.3 percent, on average, for all LTCHs from FY 2013 to FY 2014 as a result of the payment rate and policy changes presented in this final rule, including an estimated increase in HCO payments. This estimated 1.3 percent increase in LTCH PPS payments per discharge from the FY 2013 to FY 2014 for all LTCHs (as shown in Table IV) was determined by comparing estimated FY 2014 LTCH PPS payments (using the payment rate and policies discussed in this final rule) to estimated FY 2013 LTCH PPS payments (as described above in section I.L.1. of this Appendix).
We are establishing a standard Federal rate of $40,607.31 for FY 2014. Specifically, we are updating the standard Federal rate for FY 2014 by 1.7 percent, which is based on the latest estimate of the LTCH PPS market basket increase (2.5 percent), the reduction of 0.5 percentage point for the MFP adjustment, and the 0.3 percentage point reduction consistent with sections 1886(m)(3) and (m)(4) of the Act. In addition, we are applying a one-time prospective adjustment factor for FY 2014 of 0.98734 (approximately −1.3 percent) to the standard Federal rate for the second year of the 3-year phase-in. We note that consistent with the statute, the one-time prospective adjustment to the standard Federal rate for FY 2013 is not applied to payments for discharges occurring before December 29, 2012. Therefore, payments for FY 2013 discharges occurring on or before December 28, 2012, are paid based on a standard Federal rate that does not reflect that adjustment (and, therefore, are paid based on a relatively higher rate).
We noted earlier in this section that, for most categories of LTCHs, as shown in Table IV (Column 6), the payment increase due to the 1.7 percent annual update to the standard Federal rate and the application of the one-time prospective adjustment for FY 2014 of approximately −1.3 percent for the second year of the 3-year phase-in is projected to result in approximately a 0.4 percent increase in estimated payments per discharge for all LTCHs from FY 2013 to FY 2014. (As noted previously, the estimate payment changes shown in this column were determined based on the FY 2013 standard Federal rate of $40,915.95, and do not take into account that the one-time prospective adjustment to the standard Federal rate for FY 2013 under § 412.523(d)(3) is not applied to payments for discharges occurring before December 29, 2012, consistent with the statute.)
In addition, our estimate of the changes in payments due to the update to the standard Federal rate also reflects estimated payments for SSO cases that are paid using special methodologies that are not affected by the update to the standard Federal rate. For these reasons, we estimate that payments may increase by less than 0.4 percent for certain hospital categories due to the annual update to the standard Federal rate and the application of the second phase of the one-time prospective adjustment for FY 2014.
(1) Location
Based on the most recent available data, the vast majority of LTCHs are located in urban areas. Only approximately 7 percent of the LTCHs are identified as being located in a rural area, and approximately 5 percent of all LTCH cases are treated in these rural hospitals. The impact analysis presented in Table IV shows that the average percent increase in estimated payments per discharge from FY 2013 to FY 2014 for all hospitals is 1.3 percent for all changes. For rural LTCHs, the percent change for all changes is estimated to be 0.9 percent, while for urban LTCHs, we estimate the increase would be 1.3 percent. Large urban LTCHs are projected to experience an increase of 1.4 percent in estimated payments per discharge from FY 2013 to FY 2014, while other urban LTCHs are projected to experience an increase of 1.1 percent in estimated payments per discharge from FY 2013 to FY 2014, as shown in Table IV.
(2) Participation Date
LTCHs are grouped by participation date into four categories: (1) Before October 1983; (2) between October 1983 and September 1993; (3) between October 1993 and September 2002; and (4) October 2002 and after. Based on the most recent available data, the categories of LTCHs with the largest percentage of LTCH cases (approximately 46 percent) are in hospitals that began participating in the Medicare program between October 1993 and September 2002, and hospitals that began participating in the Medicare program October 2002 and after, and they are projected to experience a 1.1 and 1.5 percent in estimated payments per discharge from FY 2013 to FY 2014, respectively, as shown in Table IV.
Approximately 4 percent of LTCHs began participating in the Medicare program before October 1983, and these LTCHs are projected to experience a slightly higher than average percent increase (1.4 percent) in estimated payments per discharge from FY 2013 to FY 2014, as shown in Table IV. Approximately 10 percent of LTCHs began participating in the Medicare program between October 1983 and September 1993. These LTCHs are also projected to experience a 1.4 percent increase in estimated payments from FY 2013 to FY 2014.
(3) Ownership Control
LTCHs are grouped into three categories based on ownership control type: voluntary, proprietary, and government. Based on the most recent available data, approximately 19 percent of LTCHs are identified as voluntary (Table IV). We expect that LTCHs in the voluntary category will experience a higher than the average increase (1.8 percent) in estimated FY 2014 LTCH PPS payments per discharge as compared to estimated payments in FY 2013 primarily because we project the estimated increase in HCO payments to be higher than the average increase for these LTCHs. The majority (nearly 77 percent) of LTCHs are identified as proprietary and these LTCHs are projected to experience slightly below the national average increase (1.2 percent) in estimated payments per discharge from FY 2013 to FY 2014. Finally, government-owned and operated LTCHs are expected to experience a larger than average increase in payments of 1.7 percent in estimated payments per discharge from FY 2013 to FY 2014.
(4) Census Region
Estimated payments per discharge for FY 2014 are projected to increase for LTCHs located in all regions in comparison to FY 2013. Of the 9 census regions, we project that the increase in estimated payments per discharge will have the largest positive impact on LTCHs in the Middle Atlantic and Pacific regions (1.7 percent and 1.9 percent, respectively as shown in Table IV). The estimated percent increase in payments per discharge from FY 2013 to FY 2014 for those regions is largely attributable to the changes in the area wage level adjustment.
In contrast, LTCHs located in the South Atlantic and West South Central regions are projected to experience the smallest increase in estimated payments per discharge from FY 2013 to FY 2014. The lower than national average estimated increase in payments of 1.2 percent for LTCHs in the South Atlantic and 0.9 percent for LTCHs in the West South Central region is primarily due to estimated decreases in payments associated with the changes to the area wage level adjustment.
(5) Bed Size
LTCHs are grouped into six categories based on bed size: 0-24 beds; 25-49 beds; 50-74 beds; 75-124 beds; 125-199 beds; and greater than 200 beds. Most bed size categories are projected to receive either a slightly higher or slightly lower than average increase in estimated payments per discharge from FY 2013 to FY 2014. We project that small LTCHs (0-24 beds) will experience a 0.6 percent increase in payments, mostly due to decreases in the area wage level adjustment, while large LTCHs (200+ beds) will experience a 1.3 percent increase in payments. LTCHs with between 50 and 74 beds are expected to experience an above average increase in payments per discharge from FY 2013 to FY 2014 (1.5 percent).
4. Effect on the Medicare Program
As noted previously, we project that the provisions of this final rule will result in an increase in estimated aggregate LTCH PPS payments in FY 2014 relative to FY 2013 of approximately $72 million (or approximately 1.3 percent) for the 425 LTCHs in our database. In addition, the effects of the expiration of the regulatory moratorium on the full application of the 25-percent threshold payment adjustment policy effective for cost reporting periods beginning or after October 1, 2013 (as discussed in section VIII.D. of the preamble of this final rule) will result in a payment reduction of approximately $90 million to LTCHs.
5. Effect on Medicare Beneficiaries
Under the LTCH PPS, hospitals receive payment based on the average resources consumed by patients for each diagnosis. We do not expect any changes in the quality of care or access to services for Medicare beneficiaries under the LTCH PPS, but we continue to expect that paying prospectively for LTCH services will enhance the efficiency of the Medicare program.
M. Effects of Requirements for Hospital Inpatient Quality Reporting (IQR) Program
In section IX.A. of the preamble of this final rule, we discuss our requirements for hospitals to report quality data under the Hospital IQR Program in order to receive the full annual percentage increase for the FY 2016 payment determination. Information is not available to determine the precise number of hospitals that would not meet the requirements to receive the full annual percentage increase for the FY 2016 payment determination. At the time that the analysis was prepared, 77 hospitals did not receive the full annual percentage increase for the FY 2014 payment determination.
We estimate that the total burden associated with the voluntary electronic quality measure reporting option will be similar to the burden outlined for hospitals in the Medicare EHR Incentive Program Stage 2 final rule (77 FR 53968 through 54162). However, by allowing hospitals to submit data for a maximum of four measure sets (16 measures) that could be used to satisfy the requirements for both programs, each hospital that participates in the voluntary electronic quality measure reporting option could realize a reduction in burden of up to approximately 800 hours. This estimate assumes an annual collection burden for chart-abstracted Stroke, VTE and PC-01 to be a combined 816 hours annually per hospital and an estimated 2.66 hours to submit those measures electronically for one quarter. Since the ED measures are a subset of the global measure set that also includes the Immunization measures, which will continue to be collected via chart-abstraction, we do not believe there will be a significant reduction in burden for electronic submission of the ED-1 and ED-2 measures.
We are finalizing our proposals related to validation, including submission of and payment for secure electronic versions of medical information for validation for the FY 2016 payment determination and subsequent years, as described in the ICRs for the Hospital IQR Program, and these changes will result in a cost savings to CMS of approximately $1.3 million.
N. Effects of Requirements for the PPS-Exempt Cancer Hospital Quality Reporting (PCHQR) Program for FY 2014
In section IX.B. of the preamble of this final rule, we discuss our policies for FYs 2015 and 2016 for the quality data reporting program for PPS-exempt cancer hospitals (PCHs), which we refer to as the PCHQR Program. The PCHQR Program is authorized under section 1866(k) of the Act, which was added by section 3005 of the Affordable Care Act. The quality reporting requirements affect all PCHs participating in Medicare. In the FY 2013 IPPS/LTCH PPS final rule (77 FR 53556 through 53561), we adopted five quality measures for the FY 2014 payment determination and subsequent years.
In this final rule, we are finalizing our program policy that PCHs submit data on 1 additional measure beginning with the FY 2015 program and 12 additional measures beginning with the FY 2016 program, for a total of 18 measures. We did not make changes to the reporting requirements that we have previously finalized for the five measures we first adopted beginning with the FY 2014 PCHQR Program.
The anticipated burden to these PCHs consists of the following: training of appropriate staff members on how to use the NSHN for the reporting of the SSI measure, CMS (QualityNet) for the reporting of the SCIP measures, and the CMS Web Measures Tool for the reporting of the clinical process/oncology care measures; the time required for collection and aggregation of data; and the time required for the reporting of data by the PCH's representative.
In addition, in order for a PCH to participate in the collection of HCAHPS data, a PCH must either: (1) Contract with an approved HCAHPS survey vendor that will conduct the survey and submit data on the PCH's behalf to the QIO Clinical Warehouse; or (2) self-administer the survey without using a vendor, provided that the PCH attends HCAHPS training. Finally, all PCHs that do not already report data under the PCHQR Program will need to register with QualityNet, identify a QualityNet administrator, complete an online Notice of Participation form, and learn the CMS contractor's and the CDC's collection mechanism in order to submit data for those measures.
One of our priorities is to help achieve better health and better health care for individuals through collection of valid, reliable, and relevant measures of quality health care data. Such data can be displayed publicly and used to further the development of health care quality, which, in turn, helps to further our objectives and goals. Health care organizations can use their health care quality data for many purposes such as in their risk management programs, health care acquired infection prevention programs and research and development of medical programs, among others.
We will share the information collected under the PCHQR Program with the public as is required under the statute. These data will be displayed on the Hospital Compare Web site. The goals of making these data available to the public in a public user-friendly and relevant format, include, but are not limited to: (1) Keeping the public informed of the quality of care that is being provided in PCHs as a whole; (2) keeping the public informed of the quality of care being provided in specific PCHs; (3) allowing the public to compare and contrast the data about specific PCHs, thus enabling the public to make informed health care decisions regarding PCHs; and (4) providing information about current trends in health care. There are many other public uses for these quality data concerning PCHs. Further, keeping the public informed of quality of care provided in health care has always been of high priority to CMS.
We also seek to align the PCHQR Program measures and reporting requirements with current HHS high priority conditions and topics and to ultimately provide a comprehensive assessment of the quality of health care delivered in a variety of settings.
O. Effects of Requirements for the LTCH Quality Reporting (LTCHQR) Program for FY 2014 through FY 2018
In section IX.C. of the preamble of this final rule, we discuss the implementation of section 3004(a) of the Affordable Care Act, which added section 1886(m)(5) to the Act. Section 1886(m)(5) of the Act provides that, for rate year 2014 and each subsequent year, any LTCH that does not submit data to the Secretary in accordance with section 1886(m)(5)(C) of the Act will receive a 2.0 percentage point reduction to the annual update to the standard Federal rate for discharges for the hospital during the applicable fiscal year. The initial requirements for this LTCHQR Program were finalized in section VII.C. of the FY 2012 IPPS/LTCH PPS final rule (76 FR 51743 through 51756).
In the FY 2012 IPPS/LTCH PPS final rule (76 FR 51839 through 51840), we estimated that only a few LTCHs would not receive the full payment update in any fiscal year because they did not submit data under the LTCHQR Program. We believe that the above statement made in the FY 2012 IPPS/LTCH PPS final rule remains valid. Data collection for the LTCHQR Program began October 1, 2012. We are now able to verify, following this first quarter (October 1, 2012-December 31, 2012) of data collection and submission, that a majority of CMS-certified LTCHs are submitting quality data to the LTCHQR Program. We believe that a majority of LTCHs will continue to collect and submit data for the FY 2015 payment determination and subsequent years because they will continue to view the LTCHQR Program as an important step in improving the quality of care patients receive in the LTCHs.
As discussed in section VIII.D.3. of the preamble of the FY 2013 IPPS/LTCH PPS final rule, for the FY 2015 payment determination and subsequent years, we retained the three quality measures that were finalized for use in the LTCHQR Program in the FY 2012 IPPS/LTCH PPS final rule, with some modifications. These measures are: (1) NHSN Catheter-Associated Urinary Tract Infections (CAUTI) Outcome Measure (NQF #0138); (2) NHSN Central Line Catheter-Associated Blood Stream Infection Event (CLABSI) Outcome Measure (NQF #0139); and (3) an Application of the Percent of Residents or Patients with Pressure Ulcers That Are New or Worsened (Short-Stay) (NQF #0678). In the FY 2012 IPPS/LTCH PPS final rule (76 FR 51780 through 51781), we estimated that the total yearly cost to all LTCHs that are paid under the LTCH PPS to report these data (including NHSN registration and training for the CAUTI and CLABSI quality measures, data submission for all three measures, and monitoring data submission) will be approximately $756, 326. We adopted this same burden estimate in the FY 2013 IPPS/LTCH PPS final rule.
As part of its endorsement maintenance process under NQF's Patient Safety Measures Project (http://www.qualityforum.org/projects/patient_safety_measures.aspx), the NQF reviewed the CAUTI and CLABSI measures that we adopted in the FY 2012 IPPS/LTCH PPS final rule. As a result of this review, the NQF expanded the scope of its endorsement to include additional care settings, including LTCHs. In the FY 2013 IPPS/LTCH PPS final rule, we adopted the CAUTI and CLABSI measures in their expanded form for the FY 2014 payment determination and subsequent years.
We did not believe that the total burden estimate of $756,326 that we made in the FY 2012 IPPS/LTCH PPS final rule would be affected by this expansion of the CAUTI and CLABSI measures. We made this statement because these expanded measures were the same measures we adopted in the FY 2012 IPPS/LTCH PPS final rule, except that the measure names had been changed and the scope of NQF endorsement expanded so as to be applicable to the LTCH setting. The expanded CAUTI and CLABSI measures made no changes to the way that data were to be collected and reported by LTCHs. Thus, the use of the expanded CAUTI and CLABSI measures continued to place no additional financial burden on LTCHs. In addition, we believed that this financial burden should remain relatively stable over the first several years of this LTCHQR Program, subject to normal inflationary increases, such as increased labor wage rates.
As discussed in section VIII.D.4.b. of the preamble of the FY 2013 IPPS/LTCH PPS final rule, for the FY 2016 payment determination and subsequent years, we added two additional quality measures to the LTCHQR Program. These quality measures are: (1) Percent of Residents or Patients Who Were Assessed and Appropriately Given the Seasonal Influenza Vaccine (Short-Stay) (NQF #0680); and (2) Influenza Vaccination Coverage Among Healthcare Personnel (NQF #0431). LTCHs will submit data for the staff immunization measure to the CDC's NHSN. Details related to the use of NHSN for data submission and information on definitions, numerator data, denominator data, data analyses, and measure specifications for the Influenza Vaccination Coverage among Healthcare Personnel (NQF #0431) measure can be found at http://www.cdc.gov/nhsn/LTACH/hcp-flu-vac/index.html.
Data for the patient influenza vaccination measure will be collected using the LTCH CARE Data Set Version 2.01, and we confirm that the new data item set consists of 3 additional items added to the LTCH CARE Data Set Version 1.01, creating Version 2.01 of the LTCH CARE Data Set. These items are harmonized with data elements (O0250: Influenza Vaccination Status) from the Minimum Data Set (MDS) 3.0. [213] The LTCH CARE Data Set Version 2.01 was approved by the Office of Management and Budget (OMB) on June 10, 2013 under the Paperwork Reduction Act (PRA). [214] The OMB control number is 0938-1163. The specifications and data elements for this measure are available in the CMS Long-Term Care Hospital Quality Reporting Program Manual Version 2.0 (Draft, May 2013) available on our Web site at: http://www.cms.gov/Medicare/Quality-Initiatives-Patient-Assessment-Instruments/LTCH-Quality-Reporting/Downloads/LTCH-QR-Program-Manual-v20-DRAFT.zip.
On May 15, 2013, the LTCHQR Program ended the submission timeframe for the first quarter of quality measure reporting. As a result, we have become more familiar with the burden of this program. We have now received feedback from LTCH providers about the time burden associated with the completion of the LTCH CARE Data Set. We have considered feedback from LTCHs in the form of public comments to the most recent LTCH proposed rule (FY 2014 IPPS/LTCH PPS proposed rule), questions during Open Door forums, and LTCH helpdesk inquiries. LTCHs have stated that we had underestimated the amount of time that is required of the LTCH staff to complete the LTCH CARE Data Set on each LTCH patient.
In response to the feedback received, we have significantly revised our burden estimates. For example, in our previous PRA package burden estimate ($756,326 and 26,100 annual hours for all LTCHs) we estimated burden based solely on LTCH yearly discharges of Medicare beneficiaries, while the revised burden estimate ($2,971,250 and 212,160 annual hours for all LTCHs) has been updated to reflect the requirement that LTCHs submit data for yearly LTCH discharges of both Medicare and non-Medicare patients. CMS has always required LTCHs to submit quality data on both Medicare and non-Medicare patients, however, we did not include estimates encompassing all payers into our proposed rule. In addition, the original burden calculation ($756,326 and 26,100 annual hours for all LTCHs) only took into account one assessment per patient (admission), while the revised estimate ($2,971,250 and 212,160 annual hours for all LTCHs) has been updated to reflect the requirement that LTCHs submit two assessment records per patient (admission and discharge).
While the burden calculation for this PRA submission has increased significantly compared to our original calculation, we believe that the calculation now more accurately reflects the burden associated with implementing data collection and submission, as mandated by section 1886(m)(5) of the Act. For a complete discussion on the current LTCH CARE Data Set version 2.01 burden estimate, we refer readers to the PRA package approved by OMB on June 10, 2013. [215]
In sections IX.C.8.b. and c. of the preamble to this final rule, we are finalizing our proposal to adopt four new quality measures for inclusion in the LTCHQR Program: (1) NHSN Facility-Wide Inpatient Hospital-Onset Methicillin-resistant Staphylococcus aureus (MRSA) Bacteremia Outcome Measure (NQF #1716); (2) NHSN Facility-Wide Inpatient Hospital-Onset Clostridium Difficile (C. Difficile) Outcome Measure (NQF #1717); (3) All-Cause Unplanned Readmission Measure for 30 Days Post-Discharge from Long-Term Care Hospitals; and (4) Application of Percent of Residents Experiencing One or More Falls with Major Injury (Long-Stay) (NQF #0674). The first three measures will apply to the FY 2017 payment determination and subsequent years. The fourth measure will apply to the FY 2018 payment determination and subsequent years.
Of the measures listed above, we believe that the first two measures (NHSN Facility-Wide Inpatient Hospital-Onset Methicillin-resistant Staphylococcus aureus (MRSA) Bacteremia Outcome Measure (NQF #1716) and NHSN Facility-Wide Inpatient Hospital-Onset Clostridium Difficile (C. Difficile) Outcome Measure (NQF #1717)) will only minimally increase burden on LTCHs. These two measures are reported through the CDC's NHSN. LTCHs are familiar with the submission of quality data using this system as they began submitting required quality data through NHSN on October 1, 2012 for the CAUTI and CLABSI measures. The third measure (All-Cause Unplanned Readmission Measure for 30 Days Post-Discharge from Long-Term Care Hospitals) is a Medicare FFS claims-based measure, and therefore will not increase the reporting burden of LTCHs. Lastly, we believe the fourth measure (application of Percent of Residents Experiencing One or More Falls with Major Injury (Long-Stay) (NQF #0674) will also have a minimal impact on the reporting burden, as calculated for the LTCH CARE Data Set Version 2.01 approved by the Office of Management and Budget (OMB) in accordance with the Paperwork Reduction Act (PRA). [216] This measure will be collected using the LTCH CARE Data Set to which a total of two questions will be added in order to allow CMS to collect the data necessary to calculate this measure.
The public comments that we received addressing burden and data collection associated with the LTCHQR Program are addressed in sections IX.C. and XIII.B.9. of the preamble of this final rule, where we discuss in detail the information collection requirements and the burden associated with those requirements.
P. Effects of Changes to the Requirements for the Inpatient Psychiatric Facilities Quality Reporting (IPFQR) Program
In the FY 2013 IPPS/LTCH PPS final rule (77 FR 53644), we finalized policies to implement the Inpatient Psychiatric Facilities Quality Reporting (IPFQR) Program. One goal of the IPFQR Program is to implement the statutory requirements of section 1886(s)(4) of the Act, as added by sections 3401(f) and 10322(a) of the Affordable Care Act. In addition, one of our priorities is to help achieve better health and better health care for individuals through collection of valid, reliable, and relevant measures of quality health care data. Such data will be publicly posted and, thus, available for use in furthering the development of health care quality, which, in turn, helps to further our objectives and goals. IPFs can use such health care quality data for many purposes such as in their risk management programs, patient safety and quality improvement initiatives and research and development of mental health programs, among others.
In section IX.D. of the preamble of this final rule, we are finalizing our proposal that, for the FY 2016 payment determination and subsequent years, IPFs must submit aggregate data on one additional chart-abstracted measure (SUB-1: Alcohol Use Screening), for a total of 7 chart-abstracted measures. We note that, at this time, we have decided to not finalize SUB-4 (Alcohol Drug Use: Assessing Status After Discharge). Although we proposed to use chart-abstraction, we are finalizing claims-based data collection for the Follow-Up After Hospitalization for Mental Illness (FUH) measure, which reduces burden on IPFs. In addition, we are finalizing a request for voluntary information. We did not make changes to the administrative, reporting or submission requirements for the existing six measures previously finalized in last year's rule (77 FR 53654 through 53657). However, there will be new reporting and submission requirements associated with the two additional measures and request for voluntary information for the FY 2016 payment determination and subsequent years.
II. Alternatives Considered Back to Top
This final rule contains a range of policies. It also provides descriptions of the statutory provisions that are addressed, identifies the finalized policies, and presents rationales for our decisions and, where relevant, alternatives that were considered.
III. Overall Conclusion Back to Top
1. Acute Care Hospitals
Table I of section I.G. of this Appendix demonstrates the estimated distributional impact of the IPPS budget neutrality requirements for the MS-DRG and wage index changes, and for the wage index reclassifications under the MGCRB. Table I also shows an overall increase of 0.5 percent in operating payments. As discussed in section I.G. of this Appendix, we estimate that operating payments will increase by approximately $498 million in FY 2014 relative to FY 2013. However, when we account for the impact of the changes in Medicare DSH payments and the impact of the new additional payments based on uncompensated care in accordance with section 3133 of the Affordable Care Act, based on estimates provided by the CMS Office of the Actuary, consistent with our policy discussed in section V.E. of the preamble of this final rule, we estimate that operating payments would increase by approximately $1.3 billion relative to FY 2013. In addition, we estimate a savings of $26 million associated with the HACs policies in FY 2014, which is an additional $2 million in savings as compared to FY 2013. We estimate that the expiration of the expansion of low-volume hospital payments in FY 2014 under section 605 of the ATRA will result in a decrease in payments of approximately $268 million. We estimate new technology payments will increase payments by $29 million in FY 2014. We estimate that the finalized policy to include labor and delivery patient days in the patient day utilization calculation for GME payments will decrease payments to providers by $19 million. Finally, we estimate that the policies related to validation, including submission of and payment for secure electronic versions of medical information for validation for the FY 2016 payment determination and subsequent years, as described in the ICRs for the Hospital IQR Program in section XII.B.6. of the preamble of this final rule, will result in a cost savings to CMS of approximately $1.3 million. These estimates, combined with our FY 2014 operating estimate of $1.3 billion, result in an estimated increase of approximately $1.1 billion for FY 2014. We estimate that hospitals will experience a 1.6 percent increase in capital payments per case, as shown in Table III of section I.I. of this Appendix. We project that there will be a $134 million increase in capital payments in FY 2014 compared to FY 2013. The cumulative operating and capital payments would result in a net increase of approximately $1.2 billion to IPPS providers. The discussions presented in the previous pages, in combination with the rest of this final rule, constitute a regulatory impact analysis.
2. LTCHs
Overall, LTCHs are projected to experience an increase in estimated payments per discharge in FY 2014. In the impact analysis, we are using the rates, factors, and policies presented in this final rule, including updated wage index values and relative weights, and the best available claims and CCR data to estimate the change in payments under the LTCH PPS for FY 2014. Accordingly, based on the best available data for the 423 LTCHs in our database, we estimate that FY 2014 LTCH PPS payments will increase approximately $72 million relative to FY 2013 as a result of the payment rates and factors presented in this final rule. In addition, we estimate that the expiration of the moratorium on the full application of the “25-percent threshold” payment adjustment policy under current law, beginning with cost reporting period beginning on or after October 1, 2013 as discussed in section VIII.D. of the preamble of this final rule, will result in a reduction in LTCH PPS payments of $90 million. Additionally, costs to LTCHs associated with the completion of the data for the LTCHQR Program is estimated to be $2.97 million.
IV. Accounting Statements and Tables Back to Top
A. Acute Care Hospitals
As required by OMB Circular A-4 (available at http://www.whitehouse.gov/omb/circulars/a004/a-4.pdf), in Table V below, we have prepared an accounting statement showing the classification of the expenditures associated with the provisions of this final rule as they relate to acute care hospitals. This table provides our best estimate of the change in Medicare payments to providers as a result of the changes to the IPPS presented in this final rule. All expenditures are classified as transfers to Medicare providers.
The costs to the Federal Government associated with the policies in this final rule are estimated at $1.2 billion.
| Category | Transfers |
|---|---|
| Annualized Monetized Transfers | $1.2 billion. |
| From Whom to Whom | Federal Government to IPPS Medicare Providers. |
B. LTCHs
As discussed in section I.L. of this Appendix, the impact analysis of the payment rates and factors presented in this final rule under the LTCH PPS, in conjunction with the estimated payment impact of the moratorium on the full application of the “25-percent threshold” payment adjustment policy under current law, is projected to result in a decrease in estimated aggregate LTCH PPS payments in FY 2014 relative to FY 2013 of approximately $18 million based on the data for 423 LTCHs in our database that are subject to payment under the LTCH PPS. Therefore, as required by OMB Circular A-4 (available at http://www.whitehouse.gov/omb/circulars/a004/a-4.pdf), in Table VI below, we have prepared an accounting statement showing the classification of the expenditures associated with the provisions of this final rule as they relate to the changes to the LTCH PPS. Table VI provides our best estimate of the estimated decrease in Medicare payments under the LTCH PPS as a result of the payment rates and factors and other provisions presented in this final rule based on the data for the 425 LTCHs in our database. All expenditures are classified as transfers to Medicare providers (that is, LTCHs). Lastly, we present the costs to LTCHs associated with the completion of the data for the LTCHQR Program at $2.97 million.
The savings to the Federal Government associated with the policies for LTCHs in this final rule is estimated at $18 million.
| Category | Transfers |
|---|---|
| Annualized Monetized Transfers | −$18 million. |
| From Whom to Whom | Federal Government to LTCH Medicare Providers. |
| Category | Costs |
| Annualized Monetized Costs for LTCHs to Submit Quality Data | $2.97 million. |
C. Part B Inpatient Hospital Services
The following accounting statement shows the classification of the expenditures associated with our final policy to provide payment for additional Part B inpatient services as discussed in section XI. of the preamble in this final rule.
| [In millions of 2013 dollars] | |||
| * These amounts are based on the conversion to constant year dollars of the 12-month timely filing policy impact of this final rule. | |||
| Category | Transfers | ||
| Annualized Monetized Transfers | Units Discount Rate | Period Covered | |
| 7% | 3% | CYs 2013-2017. | |
| −$830 | −$851 | ||
| From/To | Federal Government to Hospitals | ||
| Annualized Monetized Transfers | Units Discount Rate | Period Covered | |
| 7% | 3% | CYs 2013-2017. | |
| −$42 | −$43 | ||
| From/To | Beneficiaries to Hospitals | ||
V. Regulatory Flexibility Act (RFA) Analysis Back to Top
The RFA requires agencies to analyze options for regulatory relief of small entities. For purposes of the RFA, small entities include small businesses, nonprofit organizations, and small government jurisdictions. We estimate that most hospitals and most other providers and suppliers are small entities as that term is used in the RFA. The great majority of hospitals and most other health care providers and suppliers are small entities, either by being nonprofit organizations or by meeting the SBA definition of a small business (having revenues of less than $7.5 million to $34.5 million in any 1 year). (For details on the latest standards for health care providers, we refer readers to page 33 of the Table of Small Business Size Standards for NAIC 622 found on the SBA Web site at: http://www.sba.gov/contractingopportunities/sizestandardtopics/tableofsize/index.html.)
For purposes of the RFA, all hospitals and other providers and suppliers are considered to be small entities. Individuals and States are not included in the definition of a small entity. We believe that the provisions of this final rule relating to acute care hospitals would have a significant impact on small entities as explained in this Appendix. Because we lack data on individual hospital receipts, we cannot determine the number of small proprietary LTCHs. Therefore, we are assuming that all LTCHs are considered small entities for the purpose of the analysis in section I.L. of this Appendix. Medicare fiscal intermediaries and MACs are not considered to be small entities. Because we acknowledge that many of the affected entities are small entities, the analysis discussed throughout the preamble of this final rule constitutes our regulatory flexibility analysis. In the FY 2014 IPPS/LTCH PPS proposed rule, we solicited public comments on our estimates and analysis of the impact of our proposals on those small entities. Any public comments that we received and our responses are presented throughout this final rule.
VI. Impact on Small Rural Hospitals Back to Top
Section 1102(b) of the Social Security Act requires us to prepare a regulatory impact analysis for any proposed or final rule that may have a significant impact on the operations of a substantial number of small rural hospitals. This analysis must conform to the provisions of section 603 of the RFA. With the exception of hospitals located in certain New England counties, for purposes of section 1102(b) of the Act, we define a small rural hospital as a hospital that is located outside of an urban area and has fewer than 100 beds. Section 601(g) of the Social Security Amendments of 1983 (98) designated hospitals in certain New England counties as belonging to the adjacent urban area. Thus, for purposes of the IPPS and the LTCH PPS, we continue to classify these hospitals as urban hospitals. (We refer readers to Table I in section I.G. of this Appendix for the quantitative effects of the final policy changes under the IPPS for operating costs.)
VII. Unfunded Mandates Reform Act Analysis Back to Top
Section 202 of the Unfunded Mandates Reform Act of 1995 (Pub. L. 104-4) also requires that agencies assess anticipated costs and benefits before issuing any rule whose mandates require spending in any 1 year of $100 million in 1995 dollars, updated annually for inflation. In 2013, that threshold level is approximately $141 million. This final rule will not mandate any requirements for State, local, or tribal governments, nor will it affect private sector costs.
VIII. Executive Order 12866 Back to Top
In accordance with the provisions of Executive Order 12866, the Executive Office of Management and Budget reviewed this final rule.
Appendix B: Recommendation of Update Factors for Operating Cost Rates of Payment for Inpatient Hospital Services Back to Top
I. Background Back to Top
Section 1886(e)(4)(A) of the Act requires that the Secretary, taking into consideration the recommendations of MedPAC, recommend update factors for inpatient hospital services for each fiscal year that take into account the amounts necessary for the efficient and effective delivery of medically appropriate and necessary care of high quality. Under section 1886(e)(5) of the Act, we are required to publish update factors recommended by the Secretary in the proposed and final IPPS rules, respectively. Accordingly, this Appendix provides the recommendations for the update factors for the IPPS national standardized amount, the Puerto Rico-specific standardized amount, the hospital-specific rate for SCHs, and the rate-of-increase limits for certain hospitals excluded from the IPPS, as well as LTCHs. In prior years, we have made a recommendation in the IPPS proposed rule and final rule for the update factors for the payment rates for IRFs and IPFs. However, for FY 2014, we plan to include the Secretary's recommendation for the update factors for IRFs and IPFs in separate Federal Register documents at the time that we announce the annual updates for IRFs and IPFs. We also discuss our response to MedPAC's recommended update factors for inpatient hospital services.
II. Inpatient Hospital Update for FY 2014 Back to Top
A. FY 2014 Inpatient Hospital Update
Section 1886(b)(3)(B) of the Act, as amended by sections 3401(a) and 10319(a) of the Affordable Care Act, sets the applicable percentage increase under the IPPS for FY 2014 as equal to the rate-of-increase in the hospital market basket for IPPS hospitals in all areas, subject to a reduction of 2.0 percentage points if the hospital fails to submit quality data under rules established by the Secretary in accordance with section 1886(b)(3)(B)(viii) of the Act, and then subject to an adjustment based on changes in economy-wide productivity and an additional reduction of 0.3 percentage point. Sections 1886(b)(3)(B)(xi) and (b)(3)(B)(xii) of the Act, as added by section 3401(a) of the Affordable Care Act, state that the application of the multifactor productivity adjustment and the additional FY 2014 adjustment of 0.3 percentage point may result in the applicable percentage increase being less than zero.
We note that, in compliance with section 404 of the MMA, in section IV. of this final rule, we are replacing the FY 2006-based IPPS operating and capital market baskets with revised and rebased FY 2010-based IPPS operating and capital market baskets for FY 2014. In accordance with section 1886(b)(3)(B) of the Act, as amended by section 3401(a) of the Affordable Care Act, in section V.A.1. of the preamble of the FY 2014 IPPS/LTCH PPS proposed rule, we proposed a multifactor productivity (MFP) adjustment (the 10-year moving average of MFP for the period ending FY 2014) of 0.4 percent. Therefore, based on IHS Global Insight Inc.'s (IGI's) first quarter 2013 forecast of the proposed FY 2010-based IPPS market basket, we proposed an applicable percentage increase to the FY 2013 operating standardized amount of 1.8 percent (that is, the proposed FY 2014 estimate of the market basket rate-of-increase of 2.5 percent less an adjustment of 0.4 percentage point for economy-wide productivity (MFP) and less 0.3 percentage point) for hospitals in all areas, provided the hospital submits quality data in accordance with section 1886(b)(3)(B)(viii) of the Act and our rules. For hospitals that fail to submit quality data, we proposed an applicable percentage increase to the operating standardized amount of −0.2 percent (that is, the FY 2014 estimate of the market basket rate-of-increase of 2.5 percent less 2.0 percentage points for failure to submit quality data, less an adjustment of 0.4 percentage point for MFP, and less an additional adjustment of 0.3 percentage point). We also proposed that if more recent data become subsequently available (for example, a more recent estimate of the market basket and MFP adjustment), we would use such data, if appropriate, to determine the FY 2014 market basket update and MFP adjustment in the final rule.
For this final rule, in accordance with section 1886(b)(3)(B) of the Act, as amended by section 3401(a) of the Affordable Care Act, in section V.A.1. of the preamble of this final rule, we are making an MFP adjustment (the 10-year moving average of MFP for the period ending FY 2014) of 0.5 percent. Based on IHS Global Insight Inc.'s (IGI's) second quarter 2013 forecast of the FY 2010-based IPPS market basket, we are making an applicable percentage increase to the FY 2013 operating standardized amount of 1.7 percent (that is, the FY 2014 estimate of the market basket rate-of-increase of 2.5 percent less an adjustment of 0.5 percentage point for MFP and less 0.3 percentage point) for hospitals in all areas, provided the hospital submits quality data in accordance with section 1886(b)(3)(B)(viii) of the Act and our rules. For hospitals that fail to submit quality data, we are making an applicable percentage increase to the operating standardized amount of −0.3 percent (that is, the FY 2014 estimate of the market basket rate-of-increase of 2.5 percent less 2.0 percentage points for failure to submit quality data, less an adjustment of 0.5 percentage point for MFP, and less an additional adjustment of 0.3 percentage point).
B. Update for SCHs for FY 2014
Section 1886(b)(3)(B)(iv) of the Act provides that the FY 2014 applicable percentage increase in the hospital-specific rate for SCHs equals the applicable percentage increase set forth in section 1886(b)(3)(B)(i) of the Act (that is, the same update factor as for all other hospitals subject to the IPPS). Therefore, the update to the hospital specific rate for SCHs is subject to section 1886(b)(3)(B)(i) of the Act, as amended by sections 3401(a) and 10319(a) of the Affordable Care Act. Accordingly, we are making an applicable percentage increase to the hospital-specific rate applicable to SCHs of 1.7 percent for hospitals that submit quality data or −0.3 percent for hospitals that fail to submit quality data.
C. FY 2014 Puerto Rico Hospital Update
Section 401(c) of Public Law 108-173 amended section 1886(d)(9)(C)(i) of the Act and states that, for discharges occurring in a fiscal year (beginning with FY 2004), the Secretary shall compute an average standardized amount for hospitals located in any area of Puerto Rico that is equal to the average standardized amount computed under subclause (I) for FY 2003 for hospitals in a large urban area (or, beginning with FY 2005, for all hospitals in the previous fiscal year) increased by the applicable percentage increase under subsection (b)(3)(B) for the fiscal year involved. Therefore, the update to the Puerto Rico-specific operating standardized amount is subject to the applicable percentage increase set forth in section 1886(b)(3)(B)(i) of the Act as amended by sections 3401(a) and 10319(a) of the Affordable Care Act (that is, the same update factor as for all other hospitals subject to the IPPS). Accordingly, we are making an applicable percentage increase to the Puerto Rico-specific standardized amount of 1.7 percent.
D. Update for Hospitals Excluded from the IPPS
Section 1886(b)(3)(B)(ii) of the Act is used for purposes of determining the percentage increase in the rate-of-increase limits for children's and cancer hospitals. Section 1886(b)(3)(B)(ii) of the Act sets the percentage increase in the rate-of-increase limits equal to the market basket percentage increase. In accordance with § 403.752(a) of the regulations, RNHCIs are paid under the provisions of § 413.40, which also use section 1886(b)(3)(B)(ii) of the Act to update the percentage increase in the rate-of-increase limits.
Currently, children's hospitals, PPS-excluded cancer hospitals, and RNHCIs are among the remaining three types of hospitals still paid under the reasonable cost methodology, subject to the rate-of-increase limits. In this final rule, for FY 2014 and subsequent fiscal years, the rate-of-increase percentage applicable to the target amount for children's hospitals, PPS-excluded cancer hospitals, and RNHCIs is the percentage increase in the revised and rebased FY 2010-based IPPS operating market basket. Accordingly, the FY 2014 rate-of-increase percentage that will be applied to the target amount for cancer hospitals, children's hospitals, and RNHCIs is the FY 2014 percentage increase in the revised and rebased FY 2010-based IPPS operating market basket. For this final rule, the current estimate of the FY 2014 IPPS operating market basket percentage increase is 2.5 percent.
E. Update for LTCHs for FY 2014
Section 123 of Public Law 106-113, as amended by section 307(b) of Public Law 106-554 (and codified at section 1886(m)(1) of the Act), provides the statutory authority for updating payment rates under the LTCH PPS.
As discussed in section V.A. of the Addendum to this final rule, we are establishing an update to the LTCH PPS standard Federal rate for FY 2014 based on the full LTCH PPS market basket increase estimate (for this final rule, estimated to be 2.5 percent), subject to an adjustment based on changes in economy-wide productivity and an additional reduction required by sections 1886(m)(3)(A)(ii) and (m)(4)(D) of the Act, provided the LTCH submits quality data in accordance with section 1886(m)(5)(C) of the act and our rules. Beginning in FY 2014, in accordance with the LTCHQR Program under section 1886(m)(5) of the Act, we are reducing the annual update to the LTCH PPS standard Federal rate by 2.0 percentage points for failure of a LTCH to submit quality data. The MFP adjustment described in section 1886(b)(3)(B)(xi)(ii) of the Act is currently estimated to be 0.5 percent for FY 2014. In addition, section 1886(m)(3)(A)(ii) of the Act requires that any annual update for FY 2014 be reduced by the “other adjustment” at section 1886(m)(4)(D) of the Act, which is 0.3 percentage point. Therefore, based on IGI's second quarter 2013 forecast of the FY 2014 market basket increase, we are making an annual update to the LTCH PPS standard Federal rate of 1.7 percent (that is, the current FY 2014 estimate of the market basket rate-of-increase of 2.5 percent less an adjustment of 0.5 percentage point for MFP and less 0.3 percentage point), provided the LTCH submits quality data in accordance with the LTCHQR Program under section 1886(m)(5)(C) of the Act. Accordingly, we are applying an update factor of 1.017 in determining the LTCH PPS standard Federal rate for FY 2014 provided the LTCH submits quality data in accordance with section 1886(m)(5)(C) of the Act and our rules. For LTCHs that fail to submit quality data, we are making an annual update to the LTCH PPS standard Federal rate of -0.3 percent (that is, the FY 2014 estimate of the market basket rate-of increase of 2.5 percent less an adjustment of 0.5 percentage point for MFP, less an additional adjustment of 0.3 percentage point, and less 2.0 percentage points for failure to submit quality data) by applying an update factor of 0.997 in determining the LTCH PPS standard Federal rate for FY 2014. Furthermore, we are making an adjustment for the second year of the 3-year phase-in of the one-time prospective adjustment to the standard Federal rate under § 412.523(d)(3) by applying a factor of 0.98734 (or approximately -1.3 percent) in FY 2014, consistent with current law.
III. Secretary's Recommendations Back to Top
MedPAC is recommending an inpatient hospital update equal to one percent for FY 2014. MedPAC's rationale for this update recommendation is described in more detail below. As mentioned above, section 1886(e)(4)(A) of the Act requires that the Secretary, taking into consideration the recommendations of MedPAC, recommend update factors for inpatient hospital services for each fiscal year that take into account the amounts necessary for the efficient and effective delivery of medically appropriate and necessary care of high quality. Consistent with current law, we are recommending an applicable percentage increase to the standardized amount of 1.7 percent (that is, the FY 2014 estimate of the market basket rate-of-increase of 2.5 percent less an adjustment of 0.5 percentage point for MFP and less 0.3 percentage point). We are recommending that the same applicable percentage increase apply to SCHs and the Puerto Rico-specific standardized amount.
In addition to making a recommendation for IPPS hospitals, in accordance with section 1886(e)(4)(A) of the Act, we are recommending update factors for certain other types of hospitals excluded from the IPPS. Consistent with our policies for these facilities, we are recommending an update to the target amounts for children's hospitals, cancer hospitals, and RNHCIs of 2.5 percent.
For FY 2014, consistent with policy set forth in section VIII. of the preamble of this final rule, we are recommending an update of 1.7 percent (that is, the current FY 2014 estimate of the market basket rate-of-increase of 2.5 percent less an adjustment of 0.5 percentage point for MFP and less 0.3 percentage point) to the LTCH PPS standard Federal rate.
IV. MedPAC Recommendation for Assessing Payment Adequacy and Updating Payments in Traditional Medicare Back to Top
In its March 2013 Report to Congress, MedPAC assessed the adequacy of current payments and costs, and the relationship between payments and an appropriate cost base. MedPAC recommended an update to the hospital inpatient rates equal to 1.0 percent. MedPAC expects Medicare margins to remain low in 2013. At the same time, MedPAC's analysis finds that efficient hospitals have been able to maintain positive Medicare margins while maintaining a relatively high quality of care. MedPAC also recommended that Congress should require the Secretary to use the difference between the increase of the applicable percentage increase under the IPPS for FY 2014 and MedPAC's recommendation of a 1.0 percent update to gradually recover past overpayments due to documentation and coding changes.
Response: With regard to MedPAC's recommendation of an update to the hospital inpatient rates equal to 1 percent, for FY 2014, as discussed above, sections 3401(a) and 10319(a) of the Affordable Care Act amended section 1886(b)(3)(B) of the Act. Section 1886(b)(3)(B) of the Act, as amended by these sections, sets the requirements for the FY 2014 applicable percentage increase. Therefore, we are making an applicable percentage increase for FY 2014 of 1.7 percent, provided the hospital submits quality data, consistent with these statutory requirements.
With regard to MedPAC's recommendation that Congress should require the Secretary to use the difference between the increase of the applicable percentage increase under the IPPS for FY 2014 and MedPAC's recommendation of a 1.0 percent update to gradually recover past overpayments due to documentation and coding changes, we refer readers to section II.D. of the preamble of this final rule for a complete discussion of the FY 2014 documentation and coding adjustment. We note that section 631 of the ATRA amended section 7(b)(1)(B) of Public Law 110-90 to require the Secretary to make a recoupment totaling $11 billion by 2017. This adjustment represents the amount of the increase in aggregate payments as a result of not completing the prospective adjustment authorized under section 7(b)(1)(A) of Public Law 110-90 until FY 2013. Our actuaries estimate that if CMS were to fully account for the $11 billion recoupment required by section 631 of the ATRA in FY 2014, a −9.3 percent adjustment to the standardized amount would be necessary. MedPAC estimates that a −2.4 percent adjustment made in FY 2014, and not removed until FY 2018, also would recover the required recoupment amount. It is often our practice to delay or phase in rate adjustments over more than 1 year, in order to moderate the effect on rates in any one year. Therefore, consistent with the policies that we have adopted in many similar cases, we are making a -0.8 percent adjustment to the standardized amount in FY 2014.
We also note that, because the operating and capital prospective payment systems remain separate, we are continuing to use separate updates for operating and capital payments. The update to the capital rate is discussed in section III. of the Addendum to this final rule.
[FR Doc. 2013-18956 Filed 8-2-13; 4:15 pm]
BILLING CODE 4120-01-P
Footnotes Back to Top
1. We refer readers to the FY 1989 final rule (53 FR 38485, September 30, 1988) for the revision made for the discharges occurring in FY 1989; the FY 1990 final rule (54 FR 36552, September 1, 1989) for the FY 1990 revision; the FY 1991 final rule (55 FR 36126, September 4, 1990) for the FY 1991 revision; the FY 1992 final rule (56 FR 43209, August 30, 1991) for the FY 1992 revision; the FY 1993 final rule (57 FR 39753, September 1, 1992) for the FY 1993 revision; the FY 1994 final rule (58 FR 46278, September 1, 1993) for the FY 1994 revisions; the FY 1995 final rule (59 FR 45334, September 1, 1994) for the FY 1995 revisions; the FY 1996 final rule (60 FR 45782, September 1, 1995) for the FY 1996 revisions; the FY 1997 final rule (61 FR 46171, August 30, 1996) for the FY 1997 revisions; the FY 1998 final rule (62 FR 45966, August 29, 1997) for the FY 1998 revisions; the FY 1999 final rule (63 FR 40954, July 31, 1998) for the FY 1999 revisions; the FY 2001 final rule (65 FR 47064, August 1, 2000) for the FY 2001 revisions; the FY 2002 final rule (66 FR 39851, August 1, 2001) for the FY 2002 revisions; the FY 2003 final rule (67 FR 49998, August 1, 2002) for the FY 2003 revisions; the FY 2004 final rule (68 FR 45364, August 1, 2003) for the FY 2004 revisions; the FY 2005 final rule (69 FR 49848, August 11, 2004) for the FY 2005 revisions; the FY 2006 final rule (70 FR 47640, August 12, 2005) for the FY 2006 revisions; the FY 2007 final rule (71 FR 47870) for the FY 2007 revisions; the FY 2008 final rule (72 FR 47130) for the FY 2008 revisions; the FY 2009 final rule (73 FR 48510); the FY 2010 final rule (74 FR 43799); the FY 2011 final rule (75 FR 50114); the FY 2012 final rule (76 FR 51542); and the FY 2013 final rule (77 FR 53315). In the FY 2000 final rule (64 FR 41490, July 30, 1999), we did not modify the CC Exclusions List because we did not make any changes to the ICD-9-CM codes for FY 2000.
Back to Context2. The original list of the ICD-9-CM procedure codes for the procedures we consider nonextensive procedures, if performed with an unrelated principal diagnosis, was published in Table 6C in section IV. of the Addendum to the FY 1989 final rule (53 FR 38591). As part of the FY 1991 final rule (55 FR 36135), the FY 1992 final rule (56 FR 43212), the FY 1993 final rule (57 FR 23625), the FY 1994 final rule (58 FR 46279), the FY 1995 final rule (59 FR 45336), the FY 1996 final rule (60 FR 45783), the FY 1997 final rule (61 FR 46173), and the FY 1998 final rule (62 FR 45981), we moved several other procedures from DRG 468 to DRG 477, and some procedures from DRG 477 to DRG 468. No procedures were moved in FY 1999, as noted in the final rule (63 FR 40962), in the FY 2000 (64 FR 41496), in the FY 2001 (65 FR 47064), or in the FY 2002 (66 FR 39852). In the FY 2003 final rule (67 FR 49999), we did not move any procedures from DRG 477. However, we did move procedure codes from DRG 468 and placed them in more clinically coherent DRGs. In the FY 2004 final rule (68 FR 45365), we moved several procedures from DRG 468 to DRGs 476 and 477 because the procedures are nonextensive. In the FY 2005 final rule (69 FR 48950), we moved one procedure from DRG 468 to 477. In addition, we added several existing procedures to DRGs 476 and 477. In FY 2006 (70 FR 47317), we moved one procedure from DRG 468 and assigned it to DRG 477. In FY 2007, we moved one procedure from DRG 468 and assigned it toDRGs 479, 553, and 554. In FYs 2008, 2009, 2010, 2011, 2012, and 2013, no procedures were moved, as noted in the FY 2008 final rule with comment period (72 FR 46241), in the FY 2009 final rule (73 FR 48513), in the FY 2010 final rule (74 FR 43796), in the FY 2011 final rule (75 FR 50122), in the FY 2012 final rule (76 FR 51549), and in the FY 2013 final rule (77 FR 53321).
Back to Context3. Sarode R, et al., Efficacy and Safety of a Four Factor Prothrombin Complex Concentrate in Patients on Vitamin K Antagonists Presenting with Major Bleeding: A Randomized, Plasma Controlled, Phase IIIb Study. Circulation. Submitted October 31, 2012. Copy to be provided upon acceptance.
Back to Context4. Hanke A, et al., Efficacy and Long-Term Safety of a Pasteurized Nanofiltrated Prothrombin Complex Concentrate (BERIPLEX® P/N), 2009, J Thromb Haemost, Vol. 7 (Suppl.2) PP-WE-697.
Back to Context5. Goldstein, Joshua N., et al., Timing of Fresh Frozen Plasma Administration and Rapid Correction of Coagulopathy in Warfarin-Related Intracerebral Hemorrhage, Stroke 37.1 (2006):151-155.
Back to Context6. Dake, M.D., Ansel, G.M., Jaff, M.R., Ohki, T., Saxon, R.R., Smouse, H.B., Zeller, T., Roubin, G.S., Burket, M.W., Khatib, Y., Snyder, S.A., Ragheb, A.O., White, J.K., Machan, L.S. (2011), Paclitaxel-eluting stents show superiority to balloon angioplasty and bare metal stents in femoropopliteal disease: twelve-month zilver PTX randomized study results. Circulation Cardiovascular Interventions, published online September 27, 2011, 495-504.
Back to Context7. Dake, M.D., Ansel, G.M., Jaff, M.R., Ohki, T., Saxon, R.R., Smouse, H.B., Zeller, T., Roubin, G.S.,Burket, M.W., Khatib, Y., Snyder, S.A., Ragheb, A.O., White, J.K., Machan, L.S.(2011), Paclitaxeleluting stents show superiority to balloon angioplasty and bare metal stents in femoropopliteal disease: twelve-month zilver PTX randomized study results. Circulation Cardiovascular Interventions, published online September 27, 2011, 495-504.
Back to Context8. Dake, MD., VIVA 2012, October 10, 2012; Las Vegas, Nevada.
Back to Context9. Dake, M. D., Scheinert, D., Tepe, G., Tessarek, J., Fanelli, F., Bosiers, M., et al., (2011). Nitinol stents with polymer-free paclitaxel coating for lesions in the superficial femoral and popliteal arteries above the knee: Twelve-month safety and effectiveness results from the Zilver PTX single-arm clinical study. Journal of Endovascular Therapy, 18 (5), 613-623.
Back to Context10. Dake, M. D., Ansel, G. M., Jaff, M. R., Takao, O., Saxon, R. R., Smouse, H. B., Snyder, S. A., O'leary, E. E., Tepe, G., Scheinert, D., Zeller, T., (June 18, 2013) Sustained Safety and Effectiveness of Paclitaxel-Eluting Stents for Femoropopliteal Leasions: 2 Year-Follow-Up from the Zilver PTX Randomized and Single-Arm Clinical Studies. Journal of American College of Cardiology, Vol. 61, Issue 24.
Back to Context11. Hospitals generally have 45 days from publication of the proposed rule to request an out-migration adjustment in lieu of the section 1886(d)(8) deemed urban status.
Back to Context13. Wynn, B. et al. Analysis of the Joint Distribution of Disproportionate Share Hospital Payments. PM-1387-ASPE. September 20, 2002. Available at: http://www.urban.org/UploadedPDF/410975_ASPEDSH_final.pdf.
Back to Context14. Marion Ein Lewin and Stuart Altman, Editors; Committee on the Changing Market, Managed Care, and the Future Viability of Safety Net Providers, Institute of Medicine. America's Health Care SafetyNet: Intact but Endangered. 2000. Available at: http://www.nap.edu/catalog/9612.html.
Back to Context15. John K. Iglehart. Medicaid. N Engl J Med 1993; 328:896-900. March 25, 1993.
Back to Context16. Benjamin D. Sommers, M.D., Ph.D., Katherine Baicker, Ph.D., and Arnold M. Epstein, M.D. Mortality and Access to Care among Adults after State Medicaid Expansions. N Engl J Med 2012; 367:1025-1034. September 13, 2012.
Back to Context17. The Medicaid Access Study Group. Access of Medicaid Recipients to Outpatient Care. N Engl J Med 1994; 330:1426-1430. May 19, 1994.
Back to Context19. Krumholz HM, Lin Z, Keenan PS, et al. Relationship between hospital readmission and mortality rates for patients hospitalized with acute myocardial infarction, heart failure, or pneumonia. JAMA. 2013; 309(6): 587-593.
Back to Context20. National Quality Forum (NQF), Measure Evaluation Criteria (November, 2012). Available at: http://www/qualityforum.org/docs/measure_evaluation_criteria.aspx.
Back to Context21. Kurtz S, Ong K, Lau E, Mowat F, Halpern M.: Projections of primary and revision hip and knee arthroplasty in the United States from 2005 to 2030. J Bone Joint Surg Am. Apr 2007;89(4):780-785.
Back to Context22. Ong KL, Mowat FS, Chan N, Lau E, Halpern MT, Kurtz SM. Economic burden of revision hipand knee arthroplasty in Medicare enrollees. Clin Orthop Relat Res. May 2006;446:22-28.
Back to Context23. Kurtz SM, Ong KL, Schmier J, et al.: Future clinical and economic impact of revision total hip and knee arthroplasty. J Bone Joint Surg Am. Oct 2007;89 Suppl 3:144-151.
Back to Context24. Ibid.
Back to Context25. Ong KL, Mowat FS, Chan N, Lau E, Halpern MT, Kurtz SM. Economic burden of revision hip and knee arthroplasty in Medicare enrollees. Clin Orthop Relat Res. May 2006;446:22-28.
Back to Context26. Bozic KJ, Rubash HE, Sculco TP, Berry DJ. An analysis of medicare payment policy for total joint arthroplasty. Journal of Arthroplasty. 2008;23(6 Suppl 1):133-138.
Back to Context27. Jencks SF, Williams MV, Coleman EA. Rehospitalizations among patients in the Medicare fee-for-service program. N Engl J Med. April 2 2009;360(14):1478-1428.
Back to Context28. Committee MPA. Report to the Congress: Promoting Greater Efficiency in Medicare. 2007.
Back to Context29. Grosso L.M., Lindenauer P., Wang C., et al.: Hospital-level 30-day Readmission Following Admission for an Acute Exacerbation of Chronic Obstructive Pulmonary Disease: Report prepared for the Centers for Medicare & Medicaid Services. 2011; Available at: http://www.qualitynet.org/.
Back to Context30. Global Strategy for Diagnosis M, and Prevention of COPD. 2009; Available at: http://www.goldcopd.org/.
31. National Institute for Health and Clinical Excellence. Chronic Obstructive Pulmonary Disease: Management of Chronic Obstructive Pulmonary Disease in Adults in Primary and Secondary Care (Partial Update):. National Collaborating Centre for Acute and Chronic Conditions. Available at: http://www.nice.org.uk/nicemedia/live/13029/49397/49397.pdf.
32. Walters JA, PG Gibson, R Wood-Baker, M Hannay, EH Walters. Systemic corticosteroids for acute exacerbations of chronic obstructive pulmonary disease. Cochrane Database Syst Rev. 2009;CD001288(1).
33. Lightowler JV, Wedzicha JA, Elliott MW, Ram FS. Non-invasive positive pressure ventilation to treat respiratory Failure resulting from exacerbations of chronic obstructive pulmonary disease: Cochrane systematic review and meta-analysis. Bmj. 2003;326(7382).
Back to Context34. National Quality Forum, Measure Evaluation Criteria (November, 2012). Available at: http://www.qualityforum.org/docs/measure_evaluation_criteria.aspx.
Back to Context35. Gulshan Sharma, Kou Yong-Fang, Freeman Jean L, Zhang Dong D, Goodwin James S.: Outpatient Follow-up Visit and 30-Day Emergency Department Visit and Readmission in Patients Hospitalized for Chronic Obstructive Pulmonary Disease. Arch Intern Med. Oct. 2010;170:1664-1670.
36. Nelson EA, Maruish ME, Axler JL.: Effects of Discharge Planning and Compliance with Outpatient Appointments on Readmission Rates. Psychiatr Serv. July 1 2000;51(7):885-889.
Back to Context37. Citation Krumholz HM, Lin Z, Keenan PS, et al. Relationship between hospital readmission and mortality rates for patients hospitalized with acute myocardial infarction, heart failure, or pneumonia. JAMA. 2013; 309(6):587-593)”.
Back to Context38. Gross, L.M., Curtis, J.P., Lin, Z., et al.: Hospital-level 30-Day All-Cause Risk-Standardized Readmission Rate Following Elective Primary total Hip Arthroplasty (THA) and/or Total Knee Arthroplasty (TKA): Report prepared for the Centers for Medicare & Medicaid Services, 2012. Available on the Web site at: http://www.qualitynet.org/.
Back to Context39. Bozic KJ, Rubash HE, Sculco TP.: Berry DJ. An analysis of medicare payment policy for total joint arthroplasty. J Arthroplasty. Sep 2008;23(6 Suppl 1):133-138.
Back to Context40. Grosso L.M., Curtis J.P., Lin Z., et al.: Hospital-level 30-Day All-Cause Risk-Standardized Readmission Rate Following Elective Primary Total Hip Arthroplasty (THA) And/Or Total Knee Arthroplasty (TKA): Report prepared for the Centers for Medicare & Medicaid Services. 2012. Available on the Web site at: http://www.qualitynet.org/.
Back to Context41. http://qualityindicators.arhq.gov/Downloads/Modules/PSI/PSI%90Composite%20Development.pdf.
Back to Context42. Falkenberg, K., “Why rating your doctor is bad for your health.” Forbes: January 21, 2013.
Back to Context43. We described this process in the FY 2014 IPPS/LTCH PPS proposed rule as a “Disaster/Extraordinary Circumstances Waiver” process.
Back to Context44. Kohn L T, Corrigan J M., Donaldson MS (Institute of Medicine) To Err is Human: Building a Safer Health System. Washington, DC: National Academy Press, 2000.
Back to Context45. Binder, Leah F., The Leapfrog Group Testimony before the House of Representatives Committee of Oversight and Government Reform, April 16, 2008. Available at: http://www.leapfroggroup.org/policy_leadership/leapfrog_news/4732651.
Back to Context46. Id.
Back to Context47. Centers for Disease Control, The Direct Medical Costs of Healthcare Associated Infections in US Hospitals and the Benefits of Prevention, March, 2009. Available at: http://www.cdc.gov/hai/pdfs/hai/scott_costpaper.pdf.
Back to Context48. National Quality Forum (NQF), Serious Reportable Events in Healthcare—2011 Update: A Consensus Report, Washington, DC: NQF (2011).
Back to Context49. Center for Medicare and Medicaid Services (CMS), National Coverage Determination (NCD) for, Surgical or Other Invasive Procedure Performed on the Wrong Body Part (140.7), Pub-100-3 (2009); Surgical or Other Invasive Procedure Performed on the Wrong Patient (140.8), Pub 100-3 (2009); Wrong Surgery Performed on a Patient (140.9), Pub 100-3 (2009).
Back to Context50. Available at: https://www.qualityforum.org/Publications/2013/02/MAP_Pre-Rulemaking_Report_-_February_2013.aspx.
Back to Context51. Mathematica Policy Research (November 2011). Reporting period and reliability of AHRQ, CMS 30-day and HAC Quality Measures—Revised. Available at: http://www.cms.gov/Medicare/Quality-Initiatives-Patient-Assessment-Instruments/hospital-value-based-purchasing/Downloads/HVBP_Measure_Reliability-.pdf.
Back to Context52. Available at: http://www.medicare.gov/hospitalcompare/About/HOSInfo/RCD.aspx#ssi.
Back to Context53. Produced by the Cecil G. Sheps Center for Health Services Research at the University of North Carolina under a Cooperative Agreement with the Federal ORHP.
Back to Context54. Committee MPA. Report to the Congress: Promoting Greater Efficiency in Medicare. 2007.
Back to Context55. American Lung Association. Trends in COPD (Chronic Bronchitis and Emphysema): Morbidity and Mortality. 2010; Available at: http://www.lungusa.org/finding-cures/our-research/trend-reports/copd-trend-report.pdf.
Back to Context56. Grosso L.M., Lindenauer P., Wang C., et al. Hospital-level 30-day Readmission Following Admission for an Acute Exacerbation of Chronic Obstructive Pulmonary Disease: Report prepared for the Centers for Medicare & Medicaid Services. 2011; Available at: http://www.qualitynet.org/.
Back to Context57. AHRQ Quality Indicators. Fact Sheet: Prevention Quality Indicators. 2006; Available at: http://qualityindicators.ahrq.gov/downloads/pqi/2006-Feb-PreventionQualityIndicators.pdf.
Back to Context58. Environmental Protection Agency. Review of the National Ambient Air Quality Standards for Particulate Matter: Policy Assessment of Scientific and Technical Information. December 2005.
59. Medina-Ramon M, Zanobetti A, Schwartz J. The effect of ozone and PM 10 on hospital admissions for pneumonia and chronic obstructive pulmonary disease: a national multicity study. American Journal of Epidemiology. 2006;163(6):579-588.
60. Dominici F, Peng RD, Bell ML, et al. Fine particulate air pollution and hospital admission for cardiovascular and respiratory diseases. Journal of the American Medical Association. 2006;295(10):1127-1134.
Back to Context61. Medina-Ramon M, Zanobetti A, Schwartz J. The effect of ozone and PM 10 on hospital admissions for pneumonia and chronic obstructive pulmonary disease: a national multicity study. American Journal of Epidemiology. 2006;163(6):579-588.
Back to Context62. National Heart L, and Blood Institute, The Morbidity & Mortality: Chart Book on Cardiovascular, Lung and Blood Diseases. 2009; Available at: http://www.nhlbi.nih.gov/resources/docs/2009_ChartBook.pdf.
63. The Centers for Disease Control and Prevention. National Center for Health Statistics Chronic Lower Respiratory Disease. FastStats 2010; Available at: http://www.cdc.gov/nchs/fastats/copd.htm.
64. Agency for Healthcare Research and Quality. Healthcare Cost and Utilization Project Statistics on Hospitals Stays. 2009; Available at: http://hcupnet.ahrq.gov/.
Back to Context65. Andrews RM. The National Hospital Bill: The Most Expensive Conditions by Payer, 2006. Rockville: Agency for Healthcare Research and Quality; 2008.
Back to Context66. Grosso L.M., Lindenauer P., Wang C., et al. Hospital-level 30-day Mortality Following Admission for an Acute Exacerbation of Chronic Obstructive Pulmonary Disease: Report prepared for the Centers for Medicare & Medicaid Services. 2011; Available at: http://www.qualitynet.org.
Back to Context67. Global strategy for Diagnosis M, and Prevention of COPD, 2009; Available at: http://www.goldcopd.org/.
68. National Institute for Health and Clinical Excellence. Chronic Obstructive Pulmonary Disease: Management of Chronic Obstructive Pulmonary Disease in Adults in Primary and Secondary Care (Partial Update). National Collaborating Centre for Acute and Chronic Conditions. Available at: http://www.nice.org.uk/nicemedia/live/13029/49397/49397.pdf.
69. Walters JA, PG Gibson, R Wood-Baker, M Hannay, EH Walters. Systemic corticosteroids for acute exacerbations of chronic obstructive pulmonary disease. Cochrane Database Syst Rev. 2009; CD001288(1).
70. Lightowler JV, Wedzicha JA, Elliott MW, Ram FS. Non-invasive positive pressure ventilation to treat respiratory Failure resulting from exacerbations of chronic obstructive pulmonary disease: Cochrane systematic review and meta-analysis. Bmj. 2003;326(7382).
Back to Context71. Krumholz H, Normand S-L, Spertus JA, Shahian DM, Bradley EH. Measuring Performance for Treating Heart Attacks and Heart Failure: The Case for Outcomes Measurement. Health Affairs 2007;26:75-85.
72. Bradley EH, Herrin J, Elbel B, et al. Hospital Quality for Acute Myocardial Infarction: Correlation Among Process Measures and Relationship With Short-term Mortality. The Journal of the American Medical Association 2006;296:72-8.
Back to Context73. Krumholz HM, Lin Z, Keenan PS, et al. Relationship between hospital readmission and mortality rates for patients hospitalized with acute myocardial infarction, heart failure, or pneumonia. JAMA. 2013; 309(6):587-593.
Back to Context74. American Heart Association, Heart Disease and Stroke Statistics—2012 Update. American Heart Association, Circulation 2012, 125:e2-e220.
Back to Context75. Sacco RL, Hauser WA, Mohr JP, Foulkes MA. One‐year outcome after cerebral infarction in whites, blacks, and Hispanics. Stroke 1991;22:305‐11.
76. Andersen HE, Schultz‐Larsen K, Kreiner S, Forchhammer BH, Eriksen K, Brown A. Can readmission after stroke be prevented? Results of a randomized clinical study: a postdischarge follow‐up service for stroke survivors. Stroke 2000;31:1038‐45.
77. Gooding J, Jette AM. Hospital readmissions among the elderly. Journal of the American Geriatric Society 1985;33:595‐601.
Back to Context78. Andrews RM. The National Hospital Bill: The Most Expensive Conditions by Payer, 2006. Rockville: Agency for Healthcare Research and Quality; 2008.
Back to Context79. Bernheim S.M., Wang C., Wang Y., et al. Hospital 30‐Day Readmission Following Acute Ischemic Stroke Hospitalization Measure: Report prepared for the Centers for Medicare & Medicaid Services. 2010; Available at: http://www.qualitynet.org.
Back to Context80. Jack BW, Chetty VK, Anthony D, et al. A Reengineered Hospital Discharge Program to Decrease Rehospitalization. Annals of Internal Medicine 2009;150:178‐88.
81. Naylor MD, Brooten D, Cambell R, et al. Comprehensive Discharge Planning and Home Follow‐up of Hospitalized Elders: A Randomized Clinical Trial. The Journal of the American Medical Association 1999; 281:613‐20.
82. Bravata DM, Ho SY, Meehan TP, Brass LM, Concato J. Readmission and death after hospitalization for acute ischemic stroke: 5‐year follow‐up in the Medicare population. Stroke 2007; 38:1899‐904.
Back to Context83. Krumholz H, Normand S-L, Spertus JA, Shahian DM, Bradley EH. Measuring Performance for Treating Heart Attacks and Heart Failure: The Case for Outcomes Measurement. Health Affairs 2007;26:75-85.
84. Bradley EH, Herrin J, Elbel B, et al. Hospital Quality for Acute Myocardial Infarction: Correlation Among Process Measures and Relationship With Short-term Mortality. The Journal of the American Medical Association 2006;296:72-8.
Back to Context85. Jack BW, Chetty VK, Anthony D, et al. A Reengineered Hospital Discharge Program to Decrease Rehospitalization. Annals of Internal Medicine 2009;150:178-88.
86. Coleman EA, Parry C, Chalmers S, Min S-j. The Care Transitions Intervention: Results of a Randomized Controlled Trial. Archives of Internal Medicine 2006;166:1822-8.
87. Anderson C, Deepak BV, Amoateng-Adjepong Y, Zarich S. Benefits of Comprehensive Inpatient Education and Discharge Planning Combined With Outpatient Support in Elderly Patients With Congestive Heart Failure. Congestive Heart Failure 2005;November-December:315-21.
Back to Context88. Thom T, Haase N, Rosamond W, et al. Heart Disease and Stroke Statistics-2006 Update: A Report From the American Heart Association Statistics Committee and Stroke Statistics Subcommittee. Journal of the American Heart Association 2006:85-151.
Back to Context89. El Husseini,N.; Shea,K.J.; and Goldstein, L.B. (2011). “Concerns for the Reliability and Validity of the National Stroke Project Stroke Severity Scale.” Cerebrovasc. Dis. Vol 32:426-430.
Back to Context90. American Heart Association, Heart Disease and Stroke Statistics—2012 Update. American Heart Association, Circulation 2012, 125:e2-e220.
Back to Context91. Andrews RM. The National Hospital Bill: The Most Expensive Conditions by Payer, 2006. Rockville: Agency for Healthcare Research and Quality; 2008.
Back to Context92. Bernheim S.M., Wang C., Wang Y., et al. Hospital 30‐Day Mortality Following Acute Ischemic Stroke Hospitalization Measure: Report prepared for the Centers for Medicare & Medicaid Services. 2010; Available at: http://www.qualitynet.org.
Back to Context93. Fonarow GC, Reeves MJ, Zhao X, et al. Age-Related Differences in Characteristics, Performance Measures, Treatment Trends, and Outcomes in Patients With Ischemic Stroke. Journal of the American Heart Association 2010;121:879-91.
94. Bravata DM, Wells CK, Lo AC, et al. Processes of Care Associated With Acute Stroke Outcomes. Archives of Internal Medicine 2010;170:804-10.
Back to Context95. Krumholz H, Normand S-L, Spertus JA, Shahian DM, Bradley EH. Measuring Performance for Treating Heart Attacks and Heart Failure: The Case for Outcomes Measurement. Health Affairs 2007;26:75-85.
96. Bradley EH, Herrin J, Elbel B, et al. Hospital Quality for Acute Myocardial Infarction: Correlation Among Process Measures and Relationship With Short-term Mortality. The Journal of the American Medical Association 2006;296:72-8.
Back to Context97. Saposnik G, Hill MD, O'Donnell M, Fang J, Hachinski V, Kapral MK. Variables Associated With 7-Day, 30-Day, and 1-Year Fatality After Ischemic Stroke. Journal of the American Heart Association 2008;39.
98. Counsell C, Dennis M, McDowall M, Warlow C. Predicting Outcome After Acute and Subacute Stroke: Development and Validation of New Prognostic Models Journal of the American Heart Association 2002:1041-7.
Back to Context99. American Heart Association, Heart Disease and Stroke Statistics—2012 Update. American Heart Association, Circulation 2012, 125:e2-e220.
Back to Context100. Fonarow, G.C.; Pan, W.; Saver, J.L. et al. (2012) “Comparison of 30-Day Mortality Models for Profiling Hospital Performance in Acute Ischemic Stroke with vs without Adjustment for Stroke Severity. JAMA, vol. 308 No.3.
Back to Context101. Kim N., Bernheim S.M., Ott L.S., et al. Hospital-level, Risk-Standardized Payment Associated with a 30-Day Episode-of-Care for AMI: Report prepared for the Centers for Medicare & Medicaid Services. 2013; Available at: http://www.qualitynet.org.
Back to Context102. “National Healthcare Safety Network (NHSN) Validation Guidance and Toolkit 2012. Validation for Central Line-Associated Bloodstream Infection (CLABSI) in ICUs,” Centers for Disease Control and Prevention, Atlanta, GA, 2013, http://www.cdc.gov/nhsn/toolkit/validation-clabsi/index.html, last accessed July 3, 2013.
Back to Context103. “Central Line-Associated Bloodstream Infection Event”http://www.cdc.gov/nhsn/pdfs/pscmanual/4psc_clabscurrent.pdf, April 1, 2013. Last accessed 7/7/2013.
Back to Context104. “Catheter-Associated Urinary Tract Infection (CAUTI) Event”http://www.cdc.gov/nhsn/PDFs/pscManual/7pscCAUTIcurrent.pdf, last accessed February 19, 2013.
Back to Context105. Fortuna JA, Brenneman WA, Storli S, Birnbaum D, Brown KL. The current state of validating the accuracy of clinical data reporting: lessons to be learned from quality and process improvement scientists. Infect Control Hosp Epidemiol. 2013;34(6):611-4.
Back to Context106. NQF. Cancer Endorsement Maintenance 2011.Candidate Review Consensus—Phase 1. Available at: http://www.qualityforum.org/Projects/Cancer_Endorsement_Maintenance_2011.aspx#t=2&s=&p=3%7C.
Back to Context107. NQF. Cancer Endorsement Maintenance 2011.Candidate Review Consensus—Phase 1. Available at: http://www.qualityforum.org/Projects/Cancer_Endorsement_Maintenance_2011.aspx#t=2&s=&p=3%7C.
Back to Context108. NQF. Cancer Endorsement Maintenance 2011.Candidate Review Consensus—Phase 1. Available at: http://www.qualityforum.org/Projects/Cancer_Endorsement_Maintenance_2011.aspx#t=2&s=&p=3%7C.
Back to Context109. NQF. Cancer Endorsement Maintenance 2011.Candidate Review Consensus—Phase 1. Available at: http://www.qualityforum.org/Projects/Cancer_Endorsement_Maintenance_2011.aspx#t=2&s=&p=3%7C.
Back to Context110. NQF. Cancer Endorsement Maintenance 2011.Candidate Review Consensus—Phase 1. Available at: http://www.qualityforum.org/Projects/Cancer_Endorsement_Maintenance_2011.aspx#t=2&s=&p=3%7C.
Back to Context111. NQF. Cancer Endorsement Maintenance 2011.Candidate Review Consensus—Phase 1. Available at: http://www.qualityforum.org/Projects/Cancer_Endorsement_Maintenance_2011.aspx#t=2&s=&p=3%7C.
Back to Context112. NQF. Cancer Endorsement Maintenance 2011.Candidate Review Consensus—Phase 1. Available at: http://www.qualityforum.org/Projects/Cancer_Endorsement_Maintenance_2011.aspx#t=2&s=&p=3%7C.
Back to Context113. NQF. Cancer Endorsement Maintenance 2011. Candidate Review Consensus—Phase 1. Available at: http://www.qualityforum.org/Projects/Cancer_Endorsement_Maintenance_2011.aspx#t=2&s=&p=3%7C.
Back to Context114. NQF. Cancer Endorsement Maintenance 2011. Candidate Review Consensus—Phase 1. Available at: http://www.qualityforum.org/Projects/Cancer_Endorsement_Maintenance_2011.aspx#t=2&s=&p=3%7C.
Back to Context115. Catheter-Associated Urinary Tract Infection (CAUTI) Event at http://www.cdc.gov/nhsn/pdfs/pscManual/7pscCAUTIcurrent.pdf.
Back to Context116. Central Line-Associated Bloodstream Infection (CLABSI) Event at: http://www.cdc.gov/nhsn/pdfs/pscmanual/4psc_clabscurrent.pdf.
Back to Context117. Catheter-Associated Urinary Tract Infection (CAUTI) Event at http://www.cdc.gov/nhsn/pdfs/pscManual/7pscCAUTIcurrent.pdf.
118. Central Line-Associated Bloodstream Infection (CLABSI) Event at: http://www.cdc.gov/nhsn/pdfs/pscmanual/4psc_clabscurrent.pdf.
Back to Context119. Available at: http://www.qualityforum.org/WorkArea/linkit.aspx?LinkIdentifier=id&ItemID=72363.
Back to Context120. The LTCH CARE Data Set Version 2.01 was approved on June 10, 2013 by OMB in accordance with the PRA. The OMB Control Number is 0938-1163. Expiration Date June 30, 2016. Available at http://www.cms.gov/Regulations-and-Guidance/Legislation/PaperworkReductionActof1995/PRA-Listing-Items/CMS1252160.html .
Back to Context121. The LTCH CARE Data Set Version 2.01 was approved on June 10, 2013 by OMB in accordance with the PRA. The OMB Control Number is 0938-1163. Expiration Date June 30, 2016. Available on the Web site at: http://www.cms.gov/Regulations-and-Guidance/Legislation/PaperworkReductionActof1995/PRA-Listing-Items/CMS1252160.html .
Back to Context122. U.S. Department of Health and Human Services. 2011 Report to Congress: National Strategy for Quality Improvement in Health Care. Washington, DC: U.S. Department of Health and Human Services, 2011. Available at: http://www.ahrq.gov/workingforquality/nqs/nqs2011annlrpt.htm. Accessed on July 16, 2013.
Back to Context123. National Quality Forum, Consensus Standards Approval Committee Wednesday, July 11, 2012. Transcript. Available on the Web site at: http://www.qualityforum.org/WorkArea/linkit.aspx?LinkIdentifier=id&ItemID=71612.
124. Press Release: NQF Removes Time-Limited Endorsement Status for 13 Measures, Measures Now Have Endorsed Status. August 1, 2012. Available on the Web site at: http://www.qualityforum.org/News_And_Resources/Press_Releases/2012/NQF_Removes_Time-Limited_Endorsement_for_13_Measures;_Measures_Now_Have_Endorsed_Status.aspx.
Back to Context125. National Pressure Ulcer Advisory Panel. NPUAP Pressure Ulcer Stages/Categories. Accessed June 28, 2013. Available: http://www.npuap.org/resources/educational-and-clinical-resources/npuap-pressure-ulcer-stagescategories/.
Back to Context126. Gorwitz RJ, Kruszon-Moran D, McAllister SK, et al. Changes in the prevalence of nasal colonization with Staphylococcus aureus in the United States, 2001-2004. J Infect Dis 2008; 197: 1226-34.
Back to Context127. Department of Health and Human Services. National Action Plan to Prevent Healthcare-Associated Infections: Roadmap to Elimination. Available at http://www.hhs.gov/ash/initiatives/hai/infection.html.
Back to Context128. Centers for Disease Control and Prevention. State Has Implemented a MRSA Prevention Collaborative. Available at http://www.cdc.gov/hai/stateplans/states-w-MRSA-collaborative.html.
Back to Context129. Centers for Disease Control and Prevention. People at Risk of Acquiring MRSA Infections. Available at http://www.cdc.gov/mrsa/riskfactors/index.html.
130. Centers for Disease Control and Prevention. Management of Multidrug-Resistant Organisms in Healthcare Settings, 2006. Available at http://www.cdc.gov/hicpac/pdf/guidelines/MDROGuideline2006.pdf.
Back to Context131. Furuno JP, Hebden JN, Standiford HC, et al. Prevalence of methicillin-resistant Staphylococcus aureus and Acinetobacter baumannii in a long-term acute care facility. Am J Infect Control 2008;36:468-71.
Back to Context132. Centers for Medicare & Medicaid Services Center for Medicare & Medicaid Innovation. Hospital Acquired Conditions (HAC)—Report to Congress. Available at http://innovation.cms.gov/Files/x/HospAcquiredConditionsRTC.pdf.
Back to Context133. Bernard SL, Dalton K, Lenfestey N F, Jarrett NM, Nguyen KH, Sorensen AV, Thaker S, West ND. Study to support a CMS Report to Congress: Assess feasibility of extending the hospital-acquired conditions—present on admission IPPS payment policy to non-IPPS payment environments. Prepared for the Centers for Medicare & Medicaid Services (CMS Contract No. HHSM-500-T00007). 2011.
Back to Context134. Centers for Disease Control and Prevention. Protect Yourself from MRSA. Available at http://www.cdc.gov/features/mrsainhealthcare/.
Back to Context135. National Quality Forum. Measure Applications Partnership Pre-Rulemaking Report: 2013 Recommendations of Measures Under Consideration by HHS: February 2013. Available at: http://www.qualityforum.org/WorkArea/linkit.aspx?LinkIdentifier=id&ItemID=72738.
Back to Context136. Data from CMS-CDC correspondence on February 1, 2013.
Back to Context137. Centers for Medicare & Medicaid Services Center for Medicare & Medicaid Innovation. Hospital Acquired Conditions (HAC)—Report to Congress. Available at http://innovation.cms.gov/Files/x/HospAcquiredConditionsRTC.pdf.
Back to Context138. McDonald LC, Coignard B, Dubberke E, et al. Recommendations for surveillance of Clostridium difficile-associated disease. Infect Control Hosp Epidemiol 2007;28:140-145. Available at: http://www.jstor.org/stable/pdfplus/10.1086/511798.pdf?acceptTC=true.
Back to Context139. Centers for Disease Control and Prevention. Investigating Clostridium difficile Infections Across the U.S. Available at http://www.cdc.gov/hai/eip/pdf/Cdiff-factsheet.pdf.
Back to Context140. Department of Health and Human Services. National Action Plan to Prevent Healthcare-Associated Infections: Roadmap to Elimination. Available at http://www.hhs.gov/ash/initiatives/hai/infection.html.
Back to Context141. Centers for Disease Control and Prevention. Making Health Care Safer: Stopping C. difficile Infections. Available at: http://www.cdc.gov/VitalSigns/HAI/index.html.
Back to Context142. Centers for Disease Control and Prevention. Investigating Clostridium difficile Infections Across the U.S. Available at: http://www.cdc.gov/hai/eip/pdf/Cdiff-factsheet.pdf.
Back to Context143. Centers for Disease Control and Prevention. QuickStats: Rates of Clostridium difficile Infection Among Hospitalized Patients Aged ≥65 Years,* by Age Group — National Hospital Discharge Survey, United States, 1996—2009. MMWR, 60(34); 1171. Available at: http://www.cdc.gov/mmwr/preview/mmwrhtml/mm6034a7.htm .
144. Centers for Disease Control and Prevention. Making Health Care Safer: Stopping C. difficile Infections. Available at: http://www.cdc.gov/VitalSigns/HAI/index.html.
Back to Context145. Dubberke ER, Reske KA, Olsen MA, McDonald LC, Fraser VJ. Short- and long-term attributable costs of Clostridium difficile-associated disease in nonsurgical inpatients. Clin Infect Dis 2008; 46:497-504. Available at: http://cid.oxfordjournals.org/content/46/4/497.long.
Back to Context146. Centers for Disease Control and Prevention. Frequently Asked Questions about Clostridium difficile for Healthcare Providers. Available at: http://www.cdc.gov/HAI/organisms/cdiff/Cdiff_faqs_HCP.html.
Back to Context147. Goldstein EJC, Polonsky J, Touzani M, Citron DM. C. difficile infection (CDI) in a long-term acute care facility (LTAC). Anaerobe 2009;15:241-243. Available at: http://www.sciencedirect.com/science/article/pii/S1075996409001176.
Back to Context148. Centers for Medicare & Medicaid Services Center for Medicare & Medicaid Innovation. Hospital Acquired Conditions (HAC)—Report to Congress. Available at: http://innovation.cms.gov/Files/x/HospAcquiredConditionsRTC.pdf.
Back to Context149. Bernard SL, Dalton K, Lenfestey N F, Jarrett NM, Nguyen KH, Sorensen AV, Thaker S, West ND. Study to support a CMS Report to Congress: Assess feasibility of extending the hospital-acquired conditions—present on admission IPPS payment policy to non-IPPS payment environments. Prepared for the Centers for Medicare & Medicaid Services (CMS Contract No. HHSM-500-T00007). 2011.
Back to Context150. Centers for Disease Control and Prevention. State Has Implemented a C. diff Prevention Collaborative. Available at: http://www.cdc.gov/hai/stateplans/states-w-CDI-collaborative.html.
Back to Context151. National Quality Forum. Measure Applications Partnership Pre-Rulemaking Report: 2013 Recommendations of Measures Under Consideration by HHS: February 2013. Available at: http://www.qualityforum.org/WorkArea/linkit.aspx?LinkIdentifier=id&ItemID=72738.
Back to Context152. Data from CMS-CDC correspondence on February 1, 2013.
Back to Context153. Centers for Medicare & Medicaid Services Center for Medicare & Medicaid Innovation. Hospital Acquired Conditions (HAC)—Report to Congress. Available at http://innovation.cms.gov/Files/x/HospAcquiredConditionsRTC.pdf.
Back to Context154. Medicare Payment Advisory Commission, Report to the Congress: Medicare Payment Policy. Available at: http://www.medpac.gov/documents/Mar13_EntireReport.pdf, March 2013, see Chapter 11, Long-term care hospital services, pg. 237-257.
Back to Context155. RTI analysis of 2010-2011 Medicare MedPAR claims data under CMS contract HHSM-500-2008-00021I.
Back to Context156. Federal Register, Vol. 76, No. 160, Thursday, August 18, 2011/Rules and Regulations, IV.C.1.a.
Back to Context157. Jack BW, Chetty VK, Anthony D, Greenwald JL, Sanchez GM, Johnson AE, et al. A reengineered hospital discharge program to decrease rehospitalization: a randomized trial. Ann Intern Med 2009;150(3):178-87.
158. Coleman EA, Smith JD, Frank JC, Min SJ, Parry C, Kramer AM. Preparing patients and caregivers to participate in care delivered across settings: the Care Transitions Intervention. J Am Geriatr Soc 2004;52(11):1817-25.
159. Courtney M, Edwards H, Chang A, Parker A, Finlayson K, Hamilton K. Fewer emergency readmissions and better quality of life for older adults at risk of hospital readmission: a randomized controlled trial to determine the effectiveness of a 24-week exercise and telephone follow-up program. J Am Geriatr Soc 2009;57(3):395-402.
160. Garasen H, Windspoll R, Johnsen R. Intermediate care at a community hospital as an alternative to prolonged general hospital care for elderly patients: a randomised controlled trial. BMC Public Health 2007;7:68.
161. Koehler BE, Richter KM, Youngblood L, Cohen BA, Prengler ID, Cheng D, et al. Reduction of 30- day postdischarge hospital readmission or emergency department (ED) visit rates in high-risk elderly medical patients through delivery of a targeted care bundle. J Hosp Med 2009;4(4):211- 218.
162. Naylor M, Brooten D, Jones R, Lavizzo-Mourey R, Mezey M, Pauly M. Comprehensive discharge planning for the hospitalized elderly. A randomized clinical trial. Ann Intern Med 1994;120(12):999- 1006.
163. Naylor MD, Brooten D, Campbell R, Jacobsen BS, Mezey MD, Pauly MV, et al. Comprehensive discharge planning and home follow-up of hospitalized elders: a randomized clinical trial. Jama 1999;281(7):613-20.
Back to Context164. Naylor MD, Aiken LH, Kurtzman ET, Olds DM, Hirschman KB.The Importance of Transitional Care in Achieving Health Reform. Health Affairs 2011; 30(4):746-754.
Back to Context165. QualityNet. Hospital-wide All-Cause Unplanned Readmission (HWR) Measure. Available at http://www.qualitynet.org/dcs/ContentServer?c=Page&pagename=QnetPublic%2FPage%2FQnetTier4&cid=1228772504318. As obtained on March 20, 2013.
Back to Context166. National Quality Forum. Measure Applications Partnership Pre-Rulemaking Report: 2013 Recommendations of Measures Under Consideration by HHS: February 2013. Available at: http://www.qualityforum.org/WorkArea/linkit.aspx?LinkIdentifier=id&ItemID=72738.
Back to Context167. Refer to 77 FR 53377 and table on 77 FR 53531 for current condition-specific readmission measures used in the Hospital IQR Program, available at: http://www.gpo.gov/fdsys/pkg/FR-2012-08-31/pdf/2012-19079.pdf.
Back to Context168. National Quality Forum. “Patient Outcomes: All-Cause Readmissions Expedited Review 2011”. July 2012. pp12.
Back to Context169. National Quality Forum. Measure Applications Partnership Pre-Rulemaking Report: 2013 Recommendations of Measures Under Consideration by HHS: February 2013. Available at http://www.qualityforum.org/WorkArea/linkit.aspx?LinkIdentifier=id&ItemID=72738.
Back to Context170. QualityNet. Hospital-wide All-Cause Unplanned Readmission (HWR) Measure. Available at http://www.qualitynet.org/dcs/ContentServer?c=Page&pagename=QnetPublic%2FPage%2FQnetTier4&cid=1228772504318. As obtained on July 8, 2013.
Back to Context171. Currie LM. Fall and injury prevention. Annu Rev Nurs Res. 2006;24:39-74.
Back to Context172. Fuller GF. Falls in the elderly. Am Fam Physician. Apr 1 2000;61(7):2159-2168, 2173-2154.
Back to Context173. Premier Inc. Causes of Falls. 2013. Available: https://www.premierinc.com/quality-safety/tools-services/safety/topics/falls/causes_of_falls.jsp.
Back to Context174. Rubenstein LZ, Josephson KR, Robbins AS. Falls in the nursing home. Ann Intern Med. 1994 Sep 15; 121(6):442-51.
Back to Context175. Rubenstein LZ, Powers CM, MacLean CH. Quality indicators for the management and prevention of falls and mobility problems in vulnerable elders (ACOVE). Ann Intern Med. 2001 Oct 16;135(8 Pt 2):686-93.
Back to Context176. Centers for Medicare & Medicaid Services Center for Medicare & Medicaid Innovation. Hospital Acquired Conditions (HAC)—Report toCongress. Available at http://innovation.cms.gov/Files/x/HospAcquiredConditionsRTC.pdf.
Back to Context177. Bernard SL, Dalton K, Lenfestey N F, Jarrett NM, Nguyen KH, Sorensen AV, Thaker S, West ND. Study to support a CMS Report to Congress: Assess feasibility of extending the hospital-acquired conditions—present on admission IPPS payment policy to non-IPPS payment environments. Prepared for the Centers for Medicare & Medicaid Services (CMS Contract No. HHSM-500-T00007). 2011.
Back to Context178. Morse, J. M. (2002) Enhancing the safety of hospitalization by reducing patient falls. Am J Infect Control 2002; 30(6): 376-80.
Back to Context179. Rothschild JM, Bates DW, Leape LL. Preventable medical injuries in older patients. Arch Intern Med. 2000 Oct 9; 160(18):2717-28.
180. Morris JN, Moore T, Jones R, et al. Validation of long-term and post-acute care quality indicators. CMS Contract No: 500-95-0062/T.O. #4. Cambridge, MA: Abt Associates, Inc., June 2003.
181. Avidan AY, Fries BE, James ML, Szafara KL, Wright GT, Chervin RD. Insomnia and hypnotic use, recorded in the minimum data set, as predictors of falls and hip fractures in Michigan nursing homes. J Am Geriatr Soc. 2005 Jun; 53(6):955-62.
182. Fonad E, Wahlin TB, Winblad B, Emami A, Sandmark H. Falls and fall risk among nursing home residents. J Clin Nurs. 2008 Jan; 17(1):126-34.
183. Currie LM. Fall and injury prevention. Annu Rev Nurs Res. 2006;24:39-74.
184. Ellis AA, Trent RB. Do the risks and consequences of hospitalized fall injuries among older adults in California vary by type of fall? J Gerontol A Biol Sci Med Sci. Nov 2001;56(11):M686-692.
185. Chen XL, Liu YH, Chan DK, Shen Q, Van Nguyen H. Chin Med J (Engl). Characteristics associated with falls among the elderly within aged care wards in a tertiary hospital: a retrospective. 2010 Jul;123(13):1668-72.
186. Frisina PG, Guellnitz R, Alverzo J. A time series analysis of falls and injury in the inpatient rehabilitation setting. Rehabil Nurs. 2010 Jul-Aug;35(4):141-6, 166.
187. Lee JE, Stokic DS. Risk factors for falls during inpatient rehabilitant. Am J Phys Med Rehabil. 2008 May;87(5):341-50; quiz 351, 422.
Back to Context188. National Quality Forum (2008,December) National Voluntary Consensus Standards for influenza and pneumococcal vaccinations. Available from: http://www.qualityforum.org/Publications/2008/12/National_Voluntary_Consensus_Standards_for_Influenza_and_Pneumococcal_Immunizations.aspx.
Back to Context189. Nursing Home Quality Initiative, Quality Measures. December 2012. Available: http://www.cms.gov/Medicare/Quality-Initiatives-Patient-Assessment-Instruments/NursingHomeQualityInits/NHQIQualityMeasures.html.
Back to Context190. The LTCH CARE Data Set Version 2.01 was approved on June 10, 2013 by OMB in accordance with the PRA. The OMB Control Number is 0938-1163. Expiration Date June 30, 2016. Available at http://www.cms.gov/Regulations-and-Guidance/Legislation/PaperworkReductionActof1995/PRA-Listing-Items/CMS1252160.html.
Back to Context191. National Quality Forum (2008, December) National Voluntary Consensus Standards for influenza and pneumococcal vaccinations. Available from: http://www.qualityforum.org/Publications/2008/12/National_Voluntary_Consensus_Standards_for_Influenza_and_Pneumococcal_Immunizations.aspx.
Back to Context192. The LTCH CARE Data Set Version 2.01 was approved on June 10, 2013 by OMB in accordance with the PRA. The OMB Control Number is 0938-1163. Expiration Date June 30, 2016. Available on the Web site at: http://www.cms.gov/Regulations-and-Guidance/Legislation/PaperworkReductionActof1995/PRA-Listing-Items/CMS1252160.html.
Back to Context193. The LTCH CARE Data Set Version 2.01 was approved on June 10, 2013 by OMB in accordance with the PRA. The OMB Control Number is 0938-1163. Expiration Date June 30, 2016. Available at http://www.cms.gov/Regulations-and-Guidance/Legislation/PaperworkReductionActof1995/PRA-Listing-Items/CMS1252160.html .
Back to Context194. CMS Pamphlets: “Are You a Hospital Inpatient or Outpatient? If You Have Medicare Ask”, CMS Product No. 11435, Revised, February 2011; “How Medicare Covers Self-Administered Drugs Given in Hospital Outpatient Settings,” CMS Product No. 11333, Revised, February 2011.
Back to Context195. In addition, we note that prior to the 2005 amendments to the fee-for-service claims appeals process, an appeals adjudicator's scope of review was similarly limited to the initial determination(s) made on the claim(s) before them on appeal. We refer readers to 42 CFR 405.715 (for Part A reconsiderations); 42 CFR 405.807(a) and 405.810 (for Part B review determinations); 42 CFR 405.821 (for Part B hearing officer hearings); 42 CFR 405.720 and 405.855 and 20 CFR 404.906(a) (for ALJ hearings); 20 CFR 404.967 (for Appeals Council review).
Back to Context196. S. Rep. No. 90-744, at 239 (1967), H.R. Rep. No. 90-544, at 149 (1967).
Back to Context197. See the specifications manual at: http://www.qualitynet.org/dcs/ContentServer?pagename=QnetPublic%2FPage%2FQnetTier2&cid=1138115987129.
Back to Context198. The Oncology-Radiation Dose Limits to Normal Tissues measure applies only to lung and pancreatic cancer patients, the Prostate Cancer-Adjuvant Hormonal Therapy for High-Risk Patients applies to prostate cancer patients, at high risk of recurrence, receiving external beam radiotherapy who were prescribed adjuvant hormonal therapy, and the Prostate Cancer-Avoidance of Overuse Measure-Bone Scan for Staging Low-Risk Patients applies to prostate cancer patients at low risk of recurrence receiving certain kinds of therapy.
Back to Context199. The LTCH CARE Data Set Version 2.01 was approved on June 10, 2013 by OMB in accordance with the PRA. The OMB Control Number is 0938-1163. Expiration Date June 30, 2016.
Back to Context200. National Quality Forum, Consensus Standards Approval Committee Wednesday, July 11, 2012. Transcript. Available on the Web site at: http://www.qualityforum.org/WorkArea/linkit.aspx?LinkIdentifier=id&ItemID=71612.
201. Press Release: NQF Removes Time-Limited Endorsement Status for 13 Measures, Measures Now Have Endorsed Status. August 1, 2012. Available on the Web site at: http://www.qualityforum.org/News_And_Resources/Press_Releases/2012/NQF_Removes_Time-Limited_Endorsement_for_13_Measures;_Measures_Now_Have_Endorsed_Status.aspx
Back to Context202. The LTCH CARE Data Set Version 1.01 was approved on April 24, 2012 by OMB in accordance with the PRA. The OMB Control Number is 0938-1163. Expiration Date April 30, 2013. FRN 78 21955 through 21956, published April 12, 2013, solicits public comment on additions and updates to the LTCH CARE Data Set. http://www.cms.gov/Regulations-and-Guidance/Legislation/PaperworkReductionActof1995/PRA-Listing-Items/CMS1252160.html.
Back to Context203. Nursing Time—24 hours @ $41.59 per hour = $998.16; $998.16 × 440 LTCHs = approximately $439,190; Administrative Time—36 hours @ $15.59 per hour = $561.24; $561.24 × 440 LTCHs = approximately $246,946; TOTAL = $439,190 + $246,946 = $686,136.
Back to Context204. Nursing Time—24 hours @ $41.59 per hour = $998.16; $998.16 × 440 LTCHs = approximately $439,190; Administrative Time—36 hours @ $15.59 per hour = $561.24; $561.24 × 440 LTCHs = approximately $246,946; TOTAL = $439,190 + $246,946 = $686,136.
Back to Context205. The LTCH CARE Data Set Version 1.01 was approved on April 24, 2012 by OMB in accordance with the PRA. The OMB Control Number is 0938-1163. Expiration Date April 30, 2013. FRN 78 21955 through 21956, published April 12, 2013, solicits public comment on additions and updates to the LTCH CARE Data Set. http://www.cms.gov/Regulations-and-Guidance/Legislation/PaperworkReductionActof1995/PRA-Listing-Items/CMS1252160.html.
Back to Context206. The LTCH CARE Data Set Version 1.01 was approved on April 24, 2012 by OMB in accordance with the PRA. The OMB Control Number is 0938-1163. Expiration Date April 30, 2013. FRN 78 21955 through 21956, published April 12, 2013, solicits public comment on additions and updates to the LTCH CARE Data Set. http://www.cms.gov/Regulations-and-Guidance/Legislation/PaperworkReductionActof1995/PRA-Listing-Items/CMS1252160.html.
Back to Context207. The LTCH CARE Data Set Version 2.01 was approved on June 10, 2013 by OMB in accordance with the PRA. The OMB Control Number is 0938-1163. Expiration Date June 30, 2016. http://www.cms.gov/Regulations-and-Guidance/Legislation/PaperworkReductionActof1995/PRA-Listing-Items/CMS1252160.html.
Back to Context208. MedPAC Report to Congress, March 2012, page 261. Available at: http://www.medpac.gov/documents/Mar12_EntireReport.pdf.
Back to Context209. This time estimate includes the time required to complete both the required and voluntary questions on the LTCH CARE Data Set.
Back to Context210. 32 minutes/form × 38 forms per LTCH per month = 1,216 minutes per LTCH per month; 1,216 minutes/60 minutes per hour = 20.27 hours per LTCH per month; 20.27 hours per LTCH per month × 12 months/year = 243 hours per each LTCH/year; 243 hours/each LTCH per year × 440 LTCHs in U.S. = 106,920 hrs/all LTCHs/year.
Back to Context211. The mean hourly wage of $15.59 per hour for a Medical Secretary was obtained from the U.S. Bureau of Labor Statistics. We refer readers to: http://www.bls.gov/oes/current/oes436013.htm.
Back to Context212. The LTCH CARE Data Set Version 2.01 was approved on June 10, 2013 by OMB in accordance with the PRA. The OMB Control Number is 0938-1163. Expiration Date June 30, 2016.
Back to Context213. Centers for Medicare & Medicaid Services. MDS 3.0 Item Subsets V1.10.4 for the April 1, 2012 Release. Retrieved from https://www.cms.gov/NursingHomeQualityInits/30_NHQIMDS30TechnicalInformation.asp.
Back to Context214. The LTCH CARE Data Set Version 2.01 was approved on June 10, 2013 by OMB in accordance with the PRA. The OMB Control Number is 0938-1163. Expiration Date June 30, 2016.
Back to Context215. The LTCH CARE Data Set Version 2.01 was approved on June 10, 2013 by OMB in accordance with the PRA. The OMB Control Number is 0938-1163. Expiration Date June 30, 2016.
Back to Context216. The LTCH CARE Data Set Version 2.01 was approved on June 10, 2013 by OMB in accordance with the PRA. The OMB Control Number is 0938-1163. Expiration Date June 30, 2016.
Back to Context


























